Главная // Актуальные документы // ГОСТ Р (Государственный стандарт)СПРАВКА
Источник публикации
М.: Стандартинформ, 2009
Примечание к документу
Документ включен в
Перечень документов в области стандартизации, содержащих правила и методы исследований (испытаний) и измерений, в том числе правила отбора образцов, необходимые для применения и исполнения технического
регламента о безопасности сетей газораспределения и газопотребления и осуществления оценки соответствия (
Распоряжение Правительства РФ от 10.06.2011 N 1005-р).
Введен в действие с 1 января 2010 года.
Название документа
"ГОСТ Р 52890-2007. Контроль неразрушающий. Акустический метод контроля напряжений в материале трубопроводов. Общие требования"
(утв. Приказом Ростехрегулирования от 27.12.2007 N 584-ст)
"ГОСТ Р 52890-2007. Контроль неразрушающий. Акустический метод контроля напряжений в материале трубопроводов. Общие требования"
(утв. Приказом Ростехрегулирования от 27.12.2007 N 584-ст)
Утвержден и введен в действие
Приказом Ростехрегулирования
от 27 декабря 2007 г. N 584-ст
НАЦИОНАЛЬНЫЙ СТАНДАРТ РОССИЙСКОЙ ФЕДЕРАЦИИ
КОНТРОЛЬ НЕРАЗРУШАЮЩИЙ
АКУСТИЧЕСКИЙ МЕТОД КОНТРОЛЯ НАПРЯЖЕНИЙ
В МАТЕРИАЛЕ ТРУБОПРОВОДОВ
ОБЩИЕ ТРЕБОВАНИЯ
Non-destructive testing. Evaluation of stresses
in material of pipelines by ultrasound method.
General requirements
ГОСТ Р 52890-2007
Группа Т59
Дата введения
1 января 2010 года
Цели и принципы стандартизации в Российской Федерации установлены Федеральным
законом от 27 декабря 2002 г. N 184-ФЗ "О техническом регулировании", а правила применения национальных стандартов Российской Федерации -
ГОСТ Р 1.0-2004 "Стандартизация в Российской Федерации. Основные положения".
1. Разработан Нижегородским филиалом Института машиноведения им. А.А. Благонравова Российской академии наук (Нф ИМАШ РАН), Обществом с ограниченной ответственностью "ИНКОТЕС" (ООО "ИНКОТЕС"), Открытым акционерным обществом "Научно-исследовательский центр контроля и диагностики технических систем" (ОАО "НИЦ КД").
2. Внесен Техническим комитетом по стандартизации ТК 132 "Техническая диагностика".
3. Утвержден и введен в действие Приказом Федерального агентства по техническому регулированию и метрологии от 27 декабря 2007 г. N 584-ст.
4. Введен впервые.
Информация об изменениях к настоящему стандарту публикуется в ежегодно издаваемом информационном указателе "Национальные стандарты", а текст изменений и поправок - в ежемесячно издаваемых информационных указателях "Национальные стандарты". В случае пересмотра (замены) или отмены настоящего стандарта соответствующее уведомление будет опубликовано в ежемесячно издаваемом информационном указателе "Национальные стандарты". Соответствующая информация, уведомление и тексты размещаются также в информационной системе общего пользования - на официальном сайте Федерального агентства по техническому регулированию и метрологии в сети Интернет.
Монтаж и эксплуатация трубопроводных систем связаны с влиянием на их напряженное состояние множества различных факторов, которые не всегда возможно учесть при прочностных расчетах строящихся и эксплуатируемых трубопроводов. Прямые измерения механических напряжений в контрольных точках трубопроводной системы могут быть эффективно использованы как для проверки правильности таких расчетов, так и для оперативной диагностики технического состояния трубопроводных объектов.
Одним из наиболее перспективных методов измерения механических напряжений в материале без его разрушения является акустический метод, основанный на упругоакустическом эффекте - линейной зависимости скорости распространения упругих волн от напряжений, надежное экспериментальное определение которой обеспечено благодаря наличию современной измерительной техники.
Настоящий стандарт разработан в целях обеспечения методической основы применения метода акустической тензометрии для уточнения результатов прочностных расчетов сложных трубопроводных систем, а также для определения реального напряженного состояния материала трубопроводов различного назначения.
Настоящий стандарт распространяется на акустический эхо-метод определения одноосных или двухосных (осевых и окружных) напряжений 1-го рода в материале трубопроводов в условиях упругой деформации.
Настоящий стандарт устанавливает основные требования к порядку определения механических напряжений, усредненных по толщине материала и площади ультразвукового пучка, с использованием объемных ультразвуковых волн, распространяющихся в стенке трубы в радиальном направлении. Устанавливаемый стандартом метод акустической тензометрии может быть применен как при стендовых испытаниях труб, так и в натурных условиях, при монтажных, пусконаладочных работах и в процессе эксплуатации.
Устанавливаемый стандартом метод может быть использован для тонкостенных (с отношением внутреннего диаметра трубы к толщине стенки не менее 20) бесшовных и прямошовных металлических труб диаметром свыше 325 мм, применяемых для строительства магистральных и технологических трубопроводов.
В настоящем стандарте использованы нормативные ссылки на следующие стандарты:
ГОСТ Р 8.625-2006. Государственная система обеспечения единства измерений. Термометры сопротивления из платины, меди и никеля. Общие технические требования и методы испытаний
ГОСТ 12.1.001-89. Система стандартов безопасности труда. Ультразвук. Общие требования безопасности
ГОСТ 12.1.004-91. Система стандартов безопасности труда. Пожарная безопасность. Общие требования
ГОСТ 12.1.005-88. Система стандартов безопасности труда. Общие санитарно-гигиенические требования к воздуху рабочей зоны
ГОСТ 12.1.019-79. Система стандартов безопасности труда. Электробезопасность. Общие требования и номенклатура видов защиты
ГОСТ 12.1.038-82. Система стандартов безопасности труда. Электробезопасность. Предельно допустимые значения напряжений прикосновения и токов
ГОСТ 12.2.003-91. Система стандартов безопасности труда. Оборудование производственное. Общие требования безопасности
ГОСТ 12.2.013.0-91 (МЭК 745-1-82). Система стандартов безопасности труда. Машины ручные электрические. Общие требования безопасности и методы испытаний
ГОСТ 12.3.002-75. Система стандартов безопасности труда. Процессы производственные. Общие требования безопасности
ГОСТ 2789-73. Шероховатость поверхности. Параметры и характеристики
ГОСТ 10587-84 <1>. Смолы эпоксидно-диановые неотвержденные. Технические условия
--------------------------------
<1> Стандарт действует только на территории Российской Федерации.
ГОСТ 26266-90. Контроль неразрушающий. Преобразователи ультразвуковые. Общие технические требования.
Примечание. При пользовании настоящим стандартом целесообразно проверить действие ссылочных стандартов в информационной системе общего пользования - на официальном сайте Федерального агентства по техническому регулированию и метрологии в сети Интернет или по ежегодно издаваемому информационному указателю "Национальные стандарты", который опубликован по состоянию на 1 января текущего года, и по соответствующим ежемесячно издаваемым информационным указателям, опубликованным в текущем году. Если ссылочный стандарт заменен (изменен), то при пользовании настоящим стандартом следует руководствоваться заменяющим (измененным) стандартом. Если ссылочный стандарт отменен без замены, то положение, в котором дана ссылка на него, применяется в части, не затрагивающей эту ссылку.
3. Обозначения и сокращения
3.1. В настоящем стандарте применены следующие обозначения:

- осевые напряжения, МПа;

- окружные напряжения, МПа;

- задержка импульса упругой сдвиговой волны, поляризованной в осевом направлении, при текущем уровне напряжений, мкс;

- задержка импульса упругой сдвиговой волны, поляризованной в осевом направлении, при начальном уровне напряжений, мкс;

- задержка импульса упругой сдвиговой волны, поляризованной в окружном направлении, при текущем уровне напряжений, мкс;

- задержка импульса упругой сдвиговой волны, поляризованной в окружном направлении, при начальном уровне напряжений, мкс;

- задержка импульса упругой продольной волны при текущем уровне напряжений, мкс;

- задержка импульса упругой продольной волны при начальном уровне напряжений, мкс;

- собственная акустическая анизотропия материала, вычисляемая по формуле

;

,

,

- коэффициенты акустоупругой связи, 1/МПа;

- относительное изменение задержки импульса сдвиговой волны, поляризованной вдоль направления действия одноосного напряжения, при его изменении на 1 МПа;

- относительное изменение задержки импульса сдвиговой волны, поляризованной поперек направления действия одноосного напряжения, при его изменении на 1 МПа;

- относительное изменение задержки импульса продольной волны при изменении напряжения на 1 МПа;

,

- коэффициенты упругоакустической связи для двухосного напряженного состояния, МПа;
D,

- коэффициенты упругоакустической связи для одноосного напряженного состояния, МПа;

- температура трубопровода в зоне контроля при начальном значении напряжений, °C;
T - температура трубопровода в зоне контроля при текущем значении напряжений, °C;

- термоакустический коэффициент, 1/°C,
где

- относительное изменение задержки импульса продольной волны при изменении температуры на 1 °C;

- относительное изменение задержки импульса сдвиговой волны при изменении температуры на 1 °C.
3.2. В настоящем стандарте применены следующие сокращения:
НС - напряженное состояние;
ОК - объект контроля;
СИ - средство измерений;
ПЭП - пьезоэлектрический преобразователь.
4.1. Измерения осевых и окружных напряжений в точке измерений выполняют методом акустоупругости в соответствии с общими требованиями методики
[1].
4.2. Принцип метода основан на существующей в области упругих деформаций линейной зависимости скоростей распространения объемных упругих волн в направлении, перпендикулярном к плоскости действия напряжений, от механических напряжений, действующих в осевом и окружном направлениях.
4.3. Для тонкостенных труб, нагруженных внутренним давлением, напряжения в радиальном направлении малы по сравнению с напряжениями в осевых и окружных направлениях. Поэтому напряженное состояние считают локально плоским, зависимостью скоростей распространения объемных упругих волн от радиальных напряжений пренебрегают.
4.4. Для измерения осевых и окружных напряжений при двухосном напряженном состоянии используют сдвиговые волны, поляризованные в направлениях действия напряжений, а также продольные волны.
Для измерения одноосного напряжения используют сдвиговые волны, поляризованные вдоль и поперек направления действия напряжения, либо сдвиговую волну, поляризованную вдоль направления действия напряжения, и продольную волну.
Направление распространения волн - радиальное (перпендикулярно к плоскости действия измеряемых напряжений).
4.5. Схема прозвучивания материала соответствует эхо-методу ультразвукового контроля. Способ возбуждения упругих колебаний - контактный. Вид излучаемого сигнала - "радиоимпульс" с высокочастотным (ультразвуковым) заполнением, плавной огибающей и эффективной длительностью (на уровне 0,6 максимальной амплитуды) 2 - 4 периода основной частоты.
4.6. Излучение и прием акустических сигналов обеспечивают специализированные приемопередающие (совмещенные) ПЭП продольных и сдвиговых волн по
ГОСТ 26266.
4.7. Измеряемые напряжения являются усредненными по объему ультразвукового пучка, определяемого поперечными размерами ПЭП и толщиной материала. Как правило, это главные напряжения в плоскости, перпендикулярной к радиальному направлению. Значения напряжений отсчитывают от их начального уровня, соответствующего начальным значениям акустических параметров

,

и

.
4.8. Различают два режима определения механических напряжений по данным ультразвуковых измерений: акустическую тензометрию, когда значения начальных задержек двух сдвиговых, с взаимно перпендикулярной поляризацией, и продольной волн определяют непосредственно в точке измерений до возникновения искомых напряжений, и безнулевую акустическую тензометрию, когда значения начальных акустических параметров определяют на образцах - представителях материала трубы или иным косвенным способом. Порядок проведения безнулевой акустической тензометрии и оценки погрешности измерения в этом режиме описан в
Приложении А.
4.9. Коэффициенты упругоакустической связи (КУАС), применяемые для перехода от акустических параметров к "силовым" (значениям напряжений), являются характеристиками материала, определяемыми модулями его линейной и нелинейной упругости. Значения КУАС для трубных сталей должны быть определены с максимально допустимой относительной погрешностью +/- 10%.
4.10. Влияние температуры на точность измерения напряжений учитывают с помощью термоакустического коэффициента.
5. Требования к безопасности работ
5.1. К выполнению измерений и обработке их результатов допускают операторов, обладающих навыками эксплуатации оборудования ультразвукового неразрушающего контроля, умеющих пользоваться общероссийскими и отраслевыми нормативными и техническими документами по акустическим методам контроля, прошедших обучение работе с применяемыми СИ и аттестованных на знание правил безопасности в соответствующей отрасли промышленности.
5.3. Работы проводят в соответствии с требованиями безопасности, изложенными в инструкции по эксплуатации аппаратуры, входящей в состав используемых СИ.
5.4. Общие санитарно-гигиенические требования к воздуху рабочей зоны - по
ГОСТ 12.1.005.
5.5. При организации работ по определению механических напряжений акустическим методом должны быть соблюдены требования пожарной безопасности по
ГОСТ 12.1.004.
6. Требования к средствам измерений
6.1. В качестве СИ используют установки, собранные из серийной аппаратуры, или специализированные приборы для определения напряжений (далее - приборы), сертифицированные и поверяемые в установленном порядке.
6.2. СИ должны содержать комплект ПЭП, обеспечивающих излучение и прием сдвиговых и продольных упругих волн.
6.3. При необходимости в состав СИ включают контактный термометр с характеристиками по
ГОСТ Р 8.625.
6.4. Требования к допустимой погрешности средств измерений
На основании сведений о значениях коэффициентов акустоупругой связи

,

,

материала ОК применяют СИ, для которых допустимая абсолютная погрешность измерения задержки

удовлетворяет условию

, (1)
где (3 - 5) - метрологический запас;

- максимально допустимое значение абсолютной погрешности измерения задержки t, вычисляемое по формуле

, (2)
где

- минимальный по абсолютной величине коэффициент акустоупругой связи ОК;

- абсолютная погрешность измерения коэффициента акустоупругой связи ОК;

- допустимая абсолютная погрешность измерения напряжения;

- предел текучести материала.
6.5. Требования к программному обеспечению средств измерений
6.5.1. Алгоритмическая часть программного обеспечения должна выполнять вычисление акустических параметров с погрешностью в соответствии с
6.4.
6.5.2. Программное обеспечение должно учитывать условия проведения акустических измерений на ОК, в частности, температурный режим.
6.5.3. Первичная акустическая информация для каждой зоны контроля должна постоянно храниться на внешних носителях, защищенных от несанкционированного доступа.
6.6. Вспомогательные устройства и материалы
6.6.1. Шлифовальный инструмент для подготовки поверхности по
ГОСТ 12.2.013.0.
6.6.2. Обезжиривающая жидкость (спирт по
ГОСТ 17299 или ацетон по
ГОСТ 2768) для подготовки поверхности.
6.6.3. Контактная жидкость (эпоксидная смола по
ГОСТ 10587).
7. Требования к объекту контроля
7.1. Толщина стенки трубопровода должна быть, по крайней мере, в 20 раз меньше диаметра трубы.
7.2. Температура поверхности в точке измерения: 0 °C - 80 °C.
7.3. Перед установкой ПЭП поверхность очищают от грязи, окалины, ржавчины и обезжиривают.
7.4. Класс шероховатости поверхности в точке измерений - не ниже Ra 2,5
(ГОСТ 2789).
7.5. Расстояние от точки измерений до сварного шва - не менее удвоенной толщины стенки трубы.
7.6. Вязкость контактной жидкости при температуре измерения должна соответствовать вязкости эпоксидной смолы при температуре 25 °C: 12 - 25 Па x с (
ГОСТ 10587).
8. Порядок подготовки к проведению измерений
8.1. Изучают сертификаты на материал трубопровода.
8.2. Определяют вид напряженного состояния трубопровода (одноосное или двухосное).
8.3. Определяют расположение точек измерений и выбирают схему измерения напряжений.
8.4. Приводят состояние поверхности в выбранных точках в соответствие условиям проведения измерений (
7.3,
7.4).
8.5. Размеры подготовленных поверхностей должны в три раза превышать соответствующие размеры пьезопластин ПЭП.
8.6. Наносят слой контактной жидкости на подготовленную поверхность трубопровода.
8.7. Устанавливают ПЭП на поверхность трубопровода, подключают их к прибору (выполняют одновременно для трех ПЭП в одном корпусе или последовательно для ПЭП в раздельном исполнении).
8.8. Включают прибор, проверяют его работоспособность, выводя на экран видеоконтрольного устройства временную развертку принимаемых сигналов.
8.9. Проверяют качество акустического контакта (на экране видеоконтрольного устройства без значительных видимых искажений должны наблюдаться многократно отраженные импульсы, задержка которых при счете от первого отраженного импульса должна составлять значения, обеспечивающие требуемую в соответствии с
6.4 точность измерений напряжений).
8.10. Проверяют отсутствие на временной развертке дополнительных импульсов, вызванных либо наличием в области измерения дополнительных отражающих поверхностей (дефектов, слоев), либо неправильной ориентацией преобразователя сдвиговых колебаний относительно осей симметрии материала.
8.11. При необходимости измеряют в выбранных точках температуру поверхности трубопровода с погрешностью +/- 1 °C.
9. Порядок проведения измерений
Для каждого типа волны, применяемого при измерении, выполняют следующие операции:
9.1. На временной развертке выбирают "первый" эхо-импульс (как правило, первый отраженный импульс) и следующий за ним "второй" эхо-импульс для измерения задержки импульса при его пробеге двойной толщины материала.
9.2. Для "первого" эхо-импульса отсчитывают момент времени, соответствующий определенной реперной точке профиля импульса.
Примечание. В качестве реперной точки, как правило, выбирают одну из точек пересечения сигналом нулевого уровня.
9.3. Для "второго" эхо-импульса с той же погрешностью, что и для "первого", определяют момент времени, соответствующий той же самой реперной точке профиля этого импульса.
9.4. По разности времен определяют задержку импульса

.
Примечание. Если

не удовлетворяет неравенству

, (3)
проводят измерение временного интервала между "первым" и "n-м" эхо-импульсами

(n - порядковый номер эхо-импульса на временной развертке), учитывая условие (3). Порядок измерения

аналогичен порядку измерения

.
Для проверки совпадения реперных точек "первого" и "n-го" эхо-импульсов, а также для оценки допустимости степени фазового искажения "n-го" эхо-импульса используют следующее соотношение:

, (4)
где k - число отражений "n-го" эхо-импульса относительно "первого";

- период высокочастотного заполнения импульса.
9.5. После установки пьезоэлектрических преобразователей измеряют начальные значения задержек для волн каждого типа, применяемых при измерении. После приложения нагрузки измеряют текущие значения задержек для соответствующих волн.
9.6. После измерения начальных значений допускается снятие ПЭП с контролируемого объекта с повторной их установкой в те же точки для измерений текущих значений.
9.7. Полученные для каждого типа волны временные развертки рекомендуется записывать в базу данных для хранения и последующего уточнения (при необходимости) значений временных задержек.
10. Правила обработки результатов измерений
Вычисление механических напряжений проводят в соответствии с рекомендациями методики
[1].
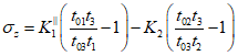
10.1. Для двухосного НС напряжения вычисляют по формулам:

, (5)

. (6)
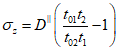
10.2. Для одноосного НС напряжения вычисляют по формулам:

, либо

, (7)

, либо

. (8)
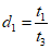
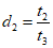
Примечание. Первый вариант (использование сдвиговых волн) предпочтителен, так как используются волны одного типа и алгоритм нечувствителен к температурным изменениям. В этом случае формулы для определения напряжений можно записать в виде

,

, (9)
10.3. При малых (менее 0,02) значениях параметров

,

их можно записать в виде

(10)
и считать величину

параметром собственной анизотропии материала, а величину

- параметром анизотропии в напряженном состоянии. Тогда формулы для расчета осевых или окружных одноосных напряжений можно записать в виде

,

, (11)
где величина (

) определяет степень акустической анизотропии, наведенной одноосным напряжением.
10.4. Если разность температур (

) между начальными

и текущими T измерениями превышает 10 °C, то для учета температурного фактора величины

заменяют на

.
10.5. Если величины

,

различаются существенно (более чем на 1,5% - 2%), материал считают анизотропным и расчет двухосного НС проводят по формулам:

, (12)

, (13)
где

,

- коэффициенты упругоакустической связи для напряжений, действующих вдоль и поперек направления образующей трубы соответственно.
10.6. Одноосное напряжение в анизотропном материале рассчитывают по формуле

, (14)
либо

, (15)
где

,

- коэффициенты упругоакустической связи для одноосного напряжения, действующего вдоль и поперек направления образующей трубы соответственно.
11. Правила оформления результатов контроля
11.1. Результаты контроля фиксируют в журнале, форма которого приведена в
Приложении Б.
Дополнительные сведения, подлежащие записи, порядок оформления и хранения журнала (или заключения) следует устанавливать в технических документах на контроль.
11.2. Если измерения напряжений являются частью научно-исследовательских работ, результаты измерений оформляют в соответствии с общими требованиями и правилами оформления отчетов о научно-исследовательских работах.
11.3. Результаты контроля сохраняют до следующего контроля ОК.
(рекомендуемое)
ИЗМЕРЕНИЕ МЕХАНИЧЕСКИХ НАПРЯЖЕНИЙ
В РЕЖИМЕ БЕЗНУЛЕВОЙ АКУСТИЧЕСКОЙ ТЕНЗОМЕТРИИ
А.1. Принципиальную возможность измерения напряжений в режиме безнулевой акустической тензометрии, когда по каким-либо причинам невыполнимы акустические измерения до возникновения искомых напряжений, определяют для труб конкретной спецификации на основе имеющихся баз данных или экспериментально.
А.2. В режиме безнулевой акустической тензометрии измеряют задержки импульсов упругих волн, соответствующие текущему напряженному состоянию материала. При этом выбирают базовые значения временных задержек сдвиговых и продольной волн так, чтобы число эхо-импульсов было для них одинаковым. Если по каким-либо причинам это невозможно, в расчетных алгоритмах учитывают соответствующий коэффициент пересчета.
А.3. При отсутствии необходимых баз данных начальные значения акустических параметров, соответствующие ненапряженному состоянию материала трубы данной спецификации, определяют экспериментально (на ненагруженных частях трубы, аналогичных трубах, образцах - представителях материала трубы или непосредственно в точке измерений другими акустическими или иными способами). Адекватность труб или образцов-представителей ненагруженному состоянию материала в точке измерений должна быть подтверждена ссылками на исполнительные документы, сертификаты или другие документы.
А.4. Основными сведениями для принятия решения о принципиальной возможности оценки напряженного состояния материала труб конкретной спецификации в режиме безнулевой акустической тензометрии являются: технология изготовления (бесшовные, одношовные, двухшовные), класс прочности и (или) марка стали, завод-изготовитель. Их находят в технических документах на трубы или иными способами.
А.5. Дополнительные сведения об акустических свойствах материала труб получают экспериментально. Для этого выбирают не менее пяти контрольных точек, равномерно расположенных по периметру трубы, и столько же точек по длине трубы. В этих точках определяют величины

,

,

с требуемой точностью. Желательно проводить измерения на ненагруженных частях трубопровода или аналогичных ненагруженных трубах. Допускается проводить измерения непосредственно на действующем трубопроводе при условии, что достоверно известны значения действующих напряжений в точках измерений.
А.6. Предварительная оценка принципиальной возможности измерения напряжений в режиме безнулевой акустической тензометрии основана на сравнении параметров акустической анизотропии в указанных контрольных точках. Вычисляют величины

- разброс значений параметра анизотропии по периметру трубы и

- разброс значений параметра анизотропии по ее длине.
А.6.1. Если выполняются неравенства

;

, (А.1)
то допускается возможность измерения напряжений в режиме безнулевой акустической тензометрии, при этом ошибку определения напряжений оценивают по формулам:
- для одноосного напряженного состояния

, (А.2)
- для двухосного напряженного состояния

,

, (А.3)
где

,

- разброс величин

,

.
Рекомендуется применять режим безнулевой акустической тензометрии в том случае, если соответствующие ошибки не превышают 30% предела текучести.
А.6.2. Если

, то ошибка определения напряжений может достигать значения предела текучести материала трубопровода и превышать его. В этом случае либо принимают решение о нецелесообразности осуществления безнулевой акустической тензометрии для труб такой спецификации, либо о применении дополнительных акустических или иных способов определения собственной акустической анизотропии материала в точке измерений.
А.6.3. Если

, но

, то возможность измерения напряжений в режиме безнулевой акустической тензометрии обусловлена привязкой начальных акустических параметров к точкам, расположенным на одинаковом расстоянии от сварного шва (для прямошовных труб), или применением дополнительных акустических или иных способов определения собственной акустической анизотропии материала в точке измерений.
В этом случае проводят измерения по
А.5 не менее чем на двух трубах с увеличением не менее чем в 2 раза числа точек измерений по периметру трубы.
А.7. Результаты исследования принципиальной возможности измерения напряжений в режиме безнулевой акустической тензометрии с указанием расположения точек измерений должны быть оформлены в виде заключения.
А.8. Вычисление значений напряжений в режиме безнулевой акустической тензометрии проводят по
10.1 и
10.2 с учетом
10.3, при этом в качестве значений задержек

,

,

используют значения задержек

,

,

, полученные в соответствии с
А.5.
(рекомендуемое)
ФОРМА ПРОТОКОЛА ИЗМЕРЕНИЙ
"УТВЕРЖДАЮ"
Руководитель
__________________________________
наименование организации
_______________ __________________
личная подпись, инициалы, фамилия
"____" _____________ 20___ г.
измерения механических напряжений
___________________________________________________________________________
(объект контроля, контролируемый участок трубопровода)
1. Дата измерения _________________________________________________________
2. Организация, проводящая измерения ______________________________________
3. Владелец объекта _______________________________________________________
4. Данные об объекте контроля:
назначение ____________________________________________________________
завод-изготовитель, технология изготовления трубы _____________________
режим термо- или виброобработки _______________________________________
диаметр, толщина трубы ________________________________________________
состояние поверхности _________________________________________________
дополнительные сведения об объекте контроля ___________________________
5. Условия нагружения объекта контроля при проведении измерений:
внутреннее давление ___________________________________________________
температура рабочей среды _____________________________________________
температура окружающей среды __________________________________________
дополнительные нагрузки _______________________________________________
6. Эскиз объекта контроля с указанием местоположения точек измерений и их
нумерации (в приложении)
7. Сведения о материалах объекта контроля:
страна-изготовитель ___________________________________________________
марка материала (национальный, иной стандарт) _________________________
технология изготовления _______________________________________________
8. Режим измерений (акустическая тензометрия, безнулевая акустическая
тензометрия) ______________________________________________________________
___________________________________________________________________________
9. Таблица 1 - Значения акустической анизотропии в точках измерений
и число эхо-импульсов
┌─────────────┬────────┬─────────────────────────┬───────┬────────┬───────┐
│ Номер точки │Материал│ Анизотропия в момент │ n │ n │ n │
│ измерений │ │ измерения, % │ || │ ┴ │ l │
│ │ │ │ │ │ │
├─────────────┼────────┼─────────────────────────┼───────┼────────┼───────┤
│ │ │ │ │ │ │
└─────────────┴────────┴─────────────────────────┴───────┴────────┴───────┘
условия определения начальных значений задержек (для акустической
тензометрии) ______________________________________________________________
способ определения начальных значений акустических параметров (для
безнулевой акустической тензометрии) ______________________________________
___________________________________________________________________________
10. Наименование и код базы данных ________________________________________
11. Таблица 2 - Результаты измерений
┌─────────┬──────────────────┬─────────────┬────────────────┬─────────────┐
│ Номер │Начальные значения│ Температура │Текущие значения│ Температура │
│ точки │ задержек │материала, °C│ задержек │материала, °C│
│измерений│импульсов, мкс │ │ импульсов, мкс │ │
├─────────┼──────────────────┼─────────────┼────────────────┼─────────────┤
│ │ │ │ │ │
├─────────┴──────────────────┴─────────────┴────────────────┴─────────────┤
│ Значения напряжений и погрешности измерения (МПа) │
├─────────────────┬─────────────────┬───────────────┬─────────────────────┤
│ сигма │ Дельта │ сигма │ Дельта │
│ z │ z │ t │ t │
├─────────────────┼─────────────────┼───────────────┼─────────────────────┤
│ │ │ │ │
└─────────────────┴─────────────────┴───────────────┴─────────────────────┘
Обследование провел оператор: ______________________ __________________
личная подпись инициалы, фамилия
Руководитель лаборатории
неразрушающего контроля: ______________________ __________________
личная подпись инициалы, фамилия
Примечания. 1. В
таблице 1 указывают номер эхо-импульса, используемого для измерения задержек:

- для сдвиговой волны, поляризованной параллельно образующей трубы;

- для сдвиговой волны, поляризованной перпендикулярно к образующей трубы;

- для продольной волны.
2. В
таблице 2 в графах "Начальные значения" и "Текущие значения" допускается вместо значений соответствующих задержек указывать наименования записей в базе данных с измеренными значениями.
[1] Методика выполнения измерений. Свидетельство 531/1700. Трубы стальные для трубопроводов. Методика выполнения измерений механических напряжений методом акустоупругости.