Главная // Актуальные документы // ГОСТ Р (Государственный стандарт)СПРАВКА
Источник публикации
М.: Стандартинформ, 2017
Примечание к документу
Действие данного документа приостановлено с 14.01.2020 на период до 01.01.2022
Приказом Росстандарта от 14.01.2020 N 2-ст.
Документ
введен в действие с 1 июля 2017 года.
Название документа
"ГОСТ Р ИСО 13370-2016. Национальный стандарт Российской Федерации. Тепловые характеристики зданий. Метод расчета теплопередачи через грунт"
(утв. и введен в действие Приказом Росстандарта от 13.12.2016 N 2014-ст)
"ГОСТ Р ИСО 13370-2016. Национальный стандарт Российской Федерации. Тепловые характеристики зданий. Метод расчета теплопередачи через грунт"
(утв. и введен в действие Приказом Росстандарта от 13.12.2016 N 2014-ст)
Утвержден и введен в действие
агентства по техническому
регулированию и метрологии
от 13 декабря 2016 г. N 2014-ст
НАЦИОНАЛЬНЫЙ СТАНДАРТ РОССИЙСКОЙ ФЕДЕРАЦИИ
ТЕПЛОВЫЕ ХАРАКТЕРИСТИКИ ЗДАНИЙ
МЕТОД РАСЧЕТА ТЕПЛОПЕРЕДАЧИ ЧЕРЕЗ ГРУНТ
Thermal performance of buildings. Calculation method
of heat transfer via the ground
(ISO 13370:2007,
Thermal performance of buildings - Heat transfer
via the ground - Calculation method,
IDT)
ГОСТ Р ИСО 13370-2016
Дата введения
1 июля 2017 года
1 ПОДГОТОВЛЕН Федеральным государственным бюджетным учреждением "Научно-исследовательский институт строительной физики Российской академии архитектуры и строительных наук" (НИИСФ РААСН) на основе официального перевода на русский язык англоязычной версии указанного в пункте 4 международного стандарта, который выполнен Федеральным государственным унитарным предприятием "Российский научно-исследовательский центр информации по стандартизации, метрологии и оценке соответствия" (ФГУП "СТАНДАРТИНФОРМ")
2 ВНЕСЕН Техническим комитетом по стандартизации ТК 465 "Строительство"
3 УТВЕРЖДЕН И ВВЕДЕН В ДЕЙСТВИЕ
Приказом Федерального агентства по техническому регулированию и метрологии от 13 декабря 2016 г. N 2014-ст
4 Настоящий стандарт идентичен международному стандарту ИСО 13370:2007 "Тепловые характеристики зданий. Теплообмен через землю. Методы вычислений" (ISO 13370:2007 "Thermal performance of buildings - Heat transfer via the ground - Calculation method", IDT).
Наименование настоящего стандарта изменено относительно наименования указанного международного стандарта для приведения в соответствие с ГОСТ Р 1.5-2012
(пункт 3.5).
При применении настоящего стандарта рекомендуется использовать вместо ссылочных международных стандартов соответствующие им национальные стандарты, сведения о которых приведены в дополнительном
приложении ДА
5 ВВЕДЕН ВПЕРВЫЕ
Правила применения настоящего стандарта установлены в
статье 26 Федерального закона от 29 июня 2015 г. N 162-ФЗ "О стандартизации в Российской Федерации". Информация об изменениях к настоящему стандарту публикуется в ежегодном (по состоянию на 1 января текущего года) информационном указателе "Национальные стандарты", а официальный текст изменений и поправок - в ежемесячном информационном указателе "Национальные стандарты". В случае пересмотра (замены) или отмены настоящего стандарта соответствующее уведомление будет опубликовано в ближайшем выпуске ежемесячного информационного указателя "Национальные стандарты". Соответствующая информация, уведомление и тексты размещаются также в информационной системе общего пользования - на официальном сайте Федерального агентства по техническому регулированию и метрологии в сети Интернет (www.gost.ru)
Настоящий стандарт предоставляет часть методики расчета, оценивающей вклад, который строительные конструкции вносят в энергопотребление и общую энергетическую характеристику зданий.
Настоящий стандарт характеризует плоские фрагменты конструкций здания, которые находятся в непосредственном контакте с грунтовым основанием здания. Ориентировочный метод расчета трансмиссионных тепловых потерь, предусматривающий учет теплопроводных включений, связанных с узлом соединения стена/перекрытие, изложен в ИСО 13789.
Расчеты теплопередачи через грунт могут быть выполнены с помощью численных методов, которые также допускают анализ теплопроводных включений (соединения стен/перекрытий), для оценки минимально допустимой температуры внутренних поверхностей.
В настоящем стандарте представлены методы, которые учитывают трехмерную природу теплового потока в грунте под зданием.
Коэффициенты теплопередачи перекрытий, находящихся в непосредственном контакте с грунтом, используются в строительных нормах и правилах ряда стран для ограничения тепловых потерь через данные перекрытия.
Коэффициенты теплопередачи, определенные для стационарного режима, также устанавливают связь среднего теплового потока с осредненной разностью температур. Для стен и кровель, находящихся на поверхности, возникают ежедневные периодические колебания в тепловом потоке, который аккумулируется в конструкциях и передается в связи с дневными колебаниями температуры. При этом ежедневную усредненную потерю теплоты можно найти из коэффициента теплопередачи и ежедневной усредненной разности температур внутри и снаружи. Однако для перекрытий и подвальных стен, находящихся в контакте с грунтовым основанием здания, большая тепловая инерция грунта дает в результате периодические тепловые потоки, имеющие отношение к годовому циклу внутренних и наружных температур. Установившийся тепловой поток является аппроксимацией среднего теплового потока за отопительный сезон.
В дополнение к установившейся части теплопередачи подробная оценка тепловых потерь перекрытий получается из коэффициентов годовой периодической теплопередачи, имеющей отношение к теплоемкости грунта, а также его теплопроводности вместе с амплитудой годовых колебаний средней температуры за месяц.
В
приложении D рассмотрен метод расчета теплопередачи через грунт вместе с методами переходных процессов для вычисления тепловых потоков или температур в зданиях, используя временной интервал 1 ч или менее.
Примеры расчетов, иллюстрирующие применение методов настоящего стандарта, приведены в
приложении K.
Настоящий стандарт содержит в себе метод расчета коэффициентов теплопередачи и расходов теплоты для фрагментов конструкций здания, находящихся в непосредственном соприкосновении с грунтовым основанием здания, включая бетонные плиты на грунте цокольных этажей, перекрытия без промежуточных опор и подвалы. Настоящий стандарт применим к следующим конструкциям здания:
- для плит, расположенных непосредственно на грунтовом основании; для перекрытий, образующих с грунтом воздушную прослойку; для ограждений неотапливаемых подвалов (на уровне внутренней поверхности перекрытия);
Примечание - В некоторых случаях внешние размеры определяют границу на нижней поверхности плиты настила.
- для ограждений отапливаемых подвалов (на уровне наружной поверхности основания).
Настоящий стандарт находит применение для расчетов энергопотребления и обеспечения тепловых потребностей, которые образуются из-за необходимости компенсировать теплопередачу через указанные конструкции при проектировании зданий за рубежом. На территории Российской Федерации методики, используемые в настоящем стандарте, могут применяться для справочных расчетов.
Настоящий стандарт содержит метод расчета установившейся части теплопередачи (средней скорости теплового потока за год) и определенной доли этой теплопередачи вследствие годовых периодических изменений температуры (сезонные колебания расхода теплоты относительно годового среднего). Эти сезонные колебания получаются на основе месячных данных, и, за исключением применения программ динамического моделирования в
приложении D, настоящий стандарт не применяется к периодам времени короче одного месяца.
В настоящем стандарте использованы нормативные ссылки на следующие международные стандарты:
ISO 6946:2007 Building components and building elements - Thermal resistance and thermal transmittance - Calculation method (Конструкции ограждающие строительные и их элементы. Сопротивление теплопередаче и коэффициент теплопередачи. Метод расчета)
ISO 7345:1987 Thermal insulation - Physical quantities and definitions (Теплоизоляция. Физические величины и определения)
ISO 13789:2007 Thermal performance of buildings - Transmission and ventilation heat transfer coefficients - Calculation method (Тепловые характеристики зданий. Удельные тепловые потери за счет теплопередачи и вентиляции. Методы расчета)
ISO 14683:2007 Thermal bridges in building construction - Linear thermal transmittance - Simplified methods and default values (Теплотехнические неоднородности. Удельные потери теплоты через линейные теплотехнические неоднородности. Упрощенные методы расчета и базовые величины)
3. Термины, определения, условные обозначения
и единицы измерения
3.1. Термины и определения
В настоящем стандарте применены термины и определения согласно ИСО 7345, а также следующие:
3.1.1 плита на грунте (slab on ground): Горизонтальный плоскостной элемент здания, выполняющий несущие и ограждающие функции и расположенный непосредственно на грунте по всей его площади.
3.1.2 перекрытие без промежуточных опор (suspended floor): Горизонтальный плоскостной элемент здания, выполняющий несущие и ограждающие функции и расположенный таким образом, что самая нижняя часть этого элемента удерживается над грунтом, образуя воздушную прослойку между перекрытием и грунтом.
Примечание - Воздушная прослойка, называемая также подпольем или нежилым пространством между грунтом и полом первого этажа, может быть вентилируемой или невентилируемой.
3.1.3 подвал (basement): Этаж здания, который частично или полностью расположен ниже уровня земли (с отметкой пола ниже планировочной отметки земли).
Примечание - Этот этаж может быть отапливаемым или неотапливаемым. В контексте данного стандарта под это определение подпадают этажи цокольные.
3.1.4 эквивалентная толщина (equivalent thickness): Толщина слоя (имеющего собственную величину теплопроводности), которая имеет такое же термическое сопротивление, как и сопротивление теплопередаче всей рассматриваемой конструкции.
3.1.5 стационарный коэффициент теплопередачи (steady-state heat transfer coefficient): Коэффициент установившейся части теплопередачи (в стационарном режиме), характеризующий тепловой поток, отнесенный к разности температур наружного и внутреннего воздуха.
3.1.6 внутренний нестационарный коэффициент теплопередачи (internal periodic heat transfer coefficient): Коэффициент теплопередачи (в нестационарных условиях), характеризующий тепловой поток, отнесенный к амплитуде изменения внутренней температуры воздуха помещения за годовой цикл.
3.1.7 наружный нестационарный коэффициент теплопередачи (external periodic heat transfer coefficient): Коэффициент теплопередачи (в нестационарных условиях), характеризующий тепловой поток, отнесенный к амплитуде изменения наружной температуры воздуха за годовой цикл.
3.1.8 размерная характеристика перекрытия (characteristic dimension of floor): Площадь перекрытия, отнесенная к половине его периметра.
3.1.9 фазовая разность (phase difference): Период времени между максимальным или минимальным значением температуры цикла и соответствующими максимальными и минимальными значениями расхода теплоты.
3.2. Условные обозначения и единицы измерения
Условное обозначение | Величина | Единица измерения |
A | Площадь перекрытия | м2 |
B' | Размерная характеристика перекрытия | м |
c | Удельная теплоемкость немерзлого грунта | Дж/(кг·°C) |
dg | Эквивалентная толщина грунта под перекрытием без промежуточных опор | м |
dt | Эквивалентная толщина плиты на грунтовом основании | м |
dw | Эквивалентная толщина ограждения подвала | м |
Hg | Стационарный коэффициент теплопередачи через грунт | Вт/°C |
h | Высота поверхности перекрытия над планировочной отметкой земли | м |
P | Открытый для воздействия периметр перекрытия | м |
Q | Количество теплоты | Дж |
R | Термическое сопротивление (сопротивление теплопередаче) | м2·°C/Вт |
Rf | Сопротивление теплопередаче конструкции перекрытия | м2·°C/Вт |
Rsi | Сопротивление теплопередаче на внутренней поверхности | м2·°C/Вт |
Rse | Сопротивление теплопередаче на внешней поверхности | м2·°C/Вт |
U | Коэффициент теплопередачи между внутренней и наружной окружающей средой по плоскости конструкции | Вт/(м2·°C) |
Ubf | Коэффициент теплопередачи пола подвала по плоскости конструкции | Вт/(м2·°C) |
Ubw | Коэффициент теплопередачи стен подвала по плоскости конструкции | Вт/(м2·°C) |
U' | Коэффициент эффективной теплопередачи для всего подвала по плоскости конструкции | Вт/(м2·°C) |
w | Толщина наружных стен | м |
z | Глубина пола подвала ниже уровня земли | м |
Ф | Количество теплоты | Вт |
| Теплопроводность немерзлого грунта | Вт/(м·°C) |
| Плотность немерзлого грунта | кг/м3 |
| Температура | °C |
| Удельный поток теплоты через линейный теплопроводный элемент, связанный с узлом соединения стена/перекрытие | Вт/(м·°C) |
| Удельный поток теплоты через линейный теплопроводный элемент, связанный с изоляцией края конструкции | Вт/(м·°C) |
Теплопередача через грунт характеризуется:
- тепловым потоком, связанным с площадью перекрытия в зависимости от конструкции перекрытия;
- тепловым потоком, связанным с периметром перекрытия в зависимости от теплопроводных включений на стыке соединения перекрытия со стеной;
- годовым периодическим тепловым потоком, также связанным с периметром перекрытия, который является следствием тепловой инерции грунта.
Стационарная или средняя за год часть теплопередачи может быть рассчитана с использованием одного из методов, изложенных ниже.
a) Трехмерный численный расчет, дающий результат непосредственно для рассматриваемого перекрытия: расчет рекомендуется выполнять в соответствии с нормативными документами, принимаемыми на национальном уровне. Этот результат применяется только для перекрытий заданного размера.
b) Двухмерный численный расчет, в котором используется перекрытие, имеющее условно бесконечную длину и ширину, равную размерной характеристике перекрытия (площади перекрытия, отнесенной к половине его периметра, см.
8.1): расчет рекомендуется выполнять в соответствии с нормативными документами, принимаемыми на национальном уровне. Этот результат применяется к перекрытиям, имеющим определенную размерную характеристику.
Примечание - Максимальные величины тепловых потоков возникают вблизи края перекрытий.
c) Расчет теплопередачи через плоскость перекрытия (см.
раздел 9) вместе с долей теплового потока через характерные линейные теплопроводные включения, который может быть определен из двухмерного численного расчета в соответствии с документами, принимаемыми на национальном уровне.
d) Теплопередача через плоскость перекрытия, которая рассчитывается в настоящем стандарте (см.
раздел 9) вместе с поправочными коэффициентами, которые характеризуют линейные теплопроводные включения на краях перекрытия. Такие поправочные коэффициенты принимают по специальным таблицам, подготовленным в соответствии с ИСО 14863.
Для
пунктов b) и
d) стационарная часть теплопередачи задается уравнением (1):

(1)
где

получается путем численного расчета по методу согласно
перечислению c) или из таблицы значений по методу согласно
пункту d).
В обоих случаях метод применяется к перекрытию любого размера или формы. Величина
U зависит от размера перекрытия, величина

не зависит от размера перекрытия.
Уравнение (1) видоизменяется в случае отапливаемого подвала (см.
9.3.4) и применения тепловой изоляции края перекрытия (см.
приложение B).
Для определения годового периодического теплового потока см.
7.3 и
приложение A.
5.1. Термические свойства грунта
Термические свойства грунта могут быть заданы следующим образом:
a) если термические свойства грунта известны, используют значения для конкретного местоположения, усредненные по глубине, равной ширине здания, и учитывающие нормальное содержание влаги;
b) если тип грунта известен или задается, принимают значения по
таблице 1;
c) в противном случае используются следующие значения:
Примечание -
Приложение G содержит информацию о диапазоне значений свойств грунта.
Таблица 1
Термические свойства грунта
Категория | Описание | Теплопроводность, | Объемная теплоемкость, |
| |
Вт/(м·К) | Дж/(м3·К) |
1 | Глина или ил | 1,5 | 3,0 x 106 |
2 | Песок или гравий | 2,0 | 2,0 x 106 |
3 | Однородная скальная порода | 3,5 | 2,0 x 106 |
5.2. Термические свойства строительных материалов
Для определения сопротивления теплопередаче любого строительного объекта применяются значения теплопроводности согласно нормативным документам, действующим на национальном уровне. При определении сопротивления теплопередаче материалов, используемых ниже уровня земли, рекомендуется учитывать влажностные и температурные условия эксплуатации.
Если есть ссылка на величину теплопроводности, то термическое сопротивление принимают как толщину, отнесенную к теплопроводности.
Примечание - Теплоемкость строительных материалов, используемых в конструкциях перекрытий, является небольшой по сравнению с теплоемкостью грунта и поэтому не принимается во внимание.
5.3. Сопротивление теплоотдаче на поверхностях конструкций
Значения сопротивления теплоотдаче на поверхностях конструкций должны соответствовать нормативным документам, действующим на национальном уровне.
Величина сопротивления теплоотдаче на внутренней поверхности Rsi применяется как для части перекрытия, обращенной в помещение, так и для части перекрытия, обращенной в пространство под перекрытием.
6. Внутренняя температура помещений и климатические данные
6.1. Внутренняя температура помещений
Если помещения и части помещений непосредственно над перекрытием, соприкасающиеся с грунтом, имеют разные температуры, то в расчетах следует использовать среднее значение для этих/этого помещения. Получить среднее значение можно путем определения температуры каждого пространства на площади пространства, которое находится в контакте с грунтом.
Чтобы вычислить расходы теплоты по настоящему методу, необходимо определить:
a) среднюю годовую внутреннюю температуру;
b) если требуется включить изменения внутренней температуры в расчет, необходимо вычислить амплитуду колебания внутренней температуры для годового среднего значения. Амплитуда определяется как половина разности между значениями максимума и минимума усредненных температур для каждого месяца.
6.2. Климатические данные
Чтобы вычислить расходы теплоты по настоящему методу, необходимо определить:
a) годовую среднюю наружную температуру;
b) если требуется включить изменения наружной температуры, необходимо вычислить амплитуду колебания температуры наружного воздуха для годового среднего значения. Амплитуда определяется как половина разности между значениями максимума и минимума усредненных температур для каждого месяца;
c) среднюю скорость ветра, измеренную на высоте 10 м над поверхностью земли (для перекрытий без промежуточных опор с естественной вентиляцией).
Если температура поверхности земли известна или может быть рассчитана, то эти данные можно использовать вместо температуры наружного воздуха для учета влияния снежного покрова, увеличения температуры на поверхности земли за счет солнца и/или длинноволновой радиации чистого неба. В таких случаях величину Rse следует исключить из всех формул настоящего стандарта.
7. Коэффициент теплопередачи и расход теплоты
7.1. Коэффициент теплопередачи
Коэффициенты теплопередачи для перекрытий (в т.ч. подвалов) относятся к теплопередаче по законам стационарного режима. Методы расчета приведены в
разделе 8 для разных типов перекрытий и подвалов. В формулах используются размерная характеристика перекрытия и эквивалентная толщина изоляции перекрытия (см.
раздел 8).
Если для грунта требуется коэффициент трансмиссионной теплопередачи, то его значение принимают равным коэффициенту стационарной теплопередачи через грунт
Hg, вычисленному по
формуле (1).
7.2. Теплопроводные включения на краю перекрытия
Формулы в настоящем стандарте выведены на основе изолированного перекрытия независимо от характера сопряжения узла между перекрытием и стеной. Эти формулы также подразумевают однородные термические свойства верхнего слоя почвы (кроме влияний, обусловленных исключительно изоляцией края).
На практике узлы сопряжения стена/пол для перекрытий из плит на грунтовом основании цокольных этажей не соответствуют идеальным случаям ввиду усиленного влияния теплопроводных включений на теплопередачу. Влияние теплопроводных включений должно быть учтено в расчете суммарных потерь теплоты здания путем использования коэффициента удельных потерь теплоты через линейные теплопроводные включения

.
Примечание - Величина удельного потока теплоты через линейный элемент зависит от системы, используемой для определения размеров здания.
Таким образом, суммарные потери теплоты здания вычисляются на основе разделяющей плоскости:
- на уровне внутренней поверхности пола для плит на грунтовом основании цокольных этажей, перекрытий без промежуточных опор и неотапливаемых подвалов или
- на уровне наружной поверхности земли для отапливаемых подвалов.
Примечание - В некоторых случаях система внешних размеров определяется границей на нижней поверхности плиты перекрытия.
Коэффициент теплопередачи элементов над разделяющей поверхностью следует оценивать в соответствии с нормативными документами, действующими на национальном уровне.
7.3. Расчет расхода теплоты
Теплопередача через грунт может быть рассчитана на основе годовых данных с использованием исключительно коэффициента стационарной теплопередачи через грунт либо на сезонной или месячной основе с использованием дополнительных периодических коэффициентов, которые учитывают тепловую инерцию грунта. Соответствующие коэффициенты приведены в
приложении A настоящего стандарта.
7.4. Влияние грунтовых вод
Грунтовые воды оказывают незначительное влияние на теплопередачу, если эти воды не находятся на мелкой глубине и имеют невысокую скорость потока. Однако такие условия встречаются редко, и в большинстве случаев не следует учитывать влияние грунтовых вод.
Если уровень подземных вод ниже уровня земли и скорость потока грунтовой воды неизвестны, то коэффициент стационарной теплопередачи через землю Hg следует умножать на коэффициент Gw.
Примечание - Табличные значения
Gw приведены в
приложении H.
Методы настоящего стандарта применимы также к следующим ситуациям:
- определение расходов теплоты для отдельных помещений (см.
приложение C);
- применение программ динамического моделирования (см.
приложение D).
Примечание - Настоящий стандарт может быть также использован для расчета плиты на грунтовом основании цокольных этажей со встроенной отопительной системой (см.
приложение I) и для холодных складских помещений.
8. Параметры, используемые в расчетах
8.1. Размерная характеристика перекрытия
Чтобы учесть трехмерную природу теплообмена в пределах грунта, формулы в настоящем стандарте выражены на основе размерной характеристики перекрытия B', определенной как площадь перекрытия, отнесенная к половине периметра:

(2)
Примечание - Для бесконечно длинного перекрытия размерная характеристика перекрытия B' является шириной перекрытия.
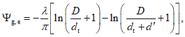
Специальные граничные условия, например изоляция края перекрытия, формируются через задание теплового потока по периметру перекрытия.
При наличии подвалов величина B' вычисляется из площади и периметра пола подвала без учета стен подвала. При этом в тепловой поток, направленный из подвала, включается дополнительный член, относимый к периметру и глубине пола подвала ниже уровня земли.
В настоящем стандарте величина P является открытым периметром перекрытия: общей длиной наружной стены, отделяющей отапливаемое здание от внешней окружающей среды или от неотапливаемого пространства снаружи изоляционного материала.
Следовательно:
- для существующего здания значение P - общий периметр здания, A - общая площадь цокольного этажа;
- чтобы вычислить потерю теплоты из части здания (например, для каждого отдельного жилья, расположенного в ряду типовых зданий), величина P включает в себя значения длины наружных стен, отделяющих отапливаемое пространство от внешней окружающей среды, и исключает значения длины стен, отделяющих рассматриваемую часть от других отапливаемых частей здания. При этом величиной A является рассматриваемая площадь цокольного этажа;
- неотапливаемые пространства снаружи изоляционного слоя материала здания (например, крыльцо, пристроенные гаражи и складские площади) исключаются из определения значений параметров P и A (но длина стены между отапливаемым зданием и неотапливаемым пространством включается в периметр; потери теплоты в грунт оцениваются таким образом, как если бы отапливаемые пространства отсутствовали).
8.2. Эквивалентная толщина
Понятие "эквивалентная толщина" введено для упрощения выражения коэффициентов теплопередачи.
Сопротивление теплопередаче представляется его эквивалентной толщиной, которая соответствует толщине грунта с таким же сопротивлением теплопередаче.
В настоящем стандарте:
- dt - эквивалентная толщина для перекрытий;
- dw - эквивалентная толщина для стен подвалов ниже уровня земли.
Коэффициенты стационарной теплопередачи через грунт связаны с отношением эквивалентной толщины к размерной характеристике перекрытия. Коэффициенты нестационарной теплопередачи связаны с отношением эквивалентной толщины к изменяющейся глубине теплообмена.
9. Расчет коэффициентов теплопередачи
9.1. Плита цокольного этажа на грунтовом основании
Плиты цокольных этажей на грунтовом основании включают в себя любое перекрытие, состоящее из бетонной плиты, лежащей на земле всей ее площадью, независимо от того, поддерживается ли эта плита землей по всей площади или не поддерживается, расположена ли она на уровне или вблизи уровня внешней поверхности земли (см. рисунок 1). Эта плита перекрытия может быть:
- неизолированной;
- однородно изолированной (сверху, снизу или внутри плиты) по всей ее площади.
1 - монолитная бетонная плита перекрытия; 2 - земля
(грунтовое основание); w - толщина наружных стен
Рисунок 1 - Схематическое изображение плиты
цокольного этажа на грунтовом основании
Если перекрытие имеет горизонтальную и/или вертикальную изоляцию края, то коэффициент теплопередачи может быть скорректирован с помощью методики, изложенной в
приложении B.
Коэффициент теплопередачи зависит от размерной характеристики перекрытия
B' [см.
8.1 и
уравнение (2)] и общей эквивалентной толщины
dt (см.
8.2), определенной уравнением (3):

(3)
где w - полная толщина стен, включая все нанесенные слои;
Rf - сопротивление теплопередаче плиты перекрытия, включая термическое сопротивление любых слоев изоляции по всей площади сверху, снизу или внутри плиты перекрытия и термическое сопротивление любого настила (покрытия) пола.
Сопротивление теплопередаче плотных бетонных плит и тонких напольных покрытий по данному методу допускается не брать в расчет. Также принимается, что забутовка ниже плиты перекрытия имеет такую же теплопроводность, как земля, и ее термическое сопротивление не следует включать в расчет.
При вычислении коэффициента теплопередачи используется
уравнение (4) или
(5) в зависимости от теплоизоляции перекрытия.
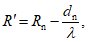
Если dt < B' (неизолированные и умеренно изолированные перекрытия), то

(4)
Если dt < B' (обильно изолированные перекрытия), то

(5)
Примечание - Для обильно изолированных перекрытий
уравнение (5) можно записать в виде:
где Rg - эффективное сопротивление теплопередаче грунта, заданное следующим выражением:
Коэффициент теплопередачи должен округляться до сотых, если представлен в качестве окончательного результата. Промежуточные вычисления следует принимать с округлением до тысячных долей.
Значение коэффициента теплопередачи может быть очень мало для крупных перекрытий, так что потребуется большее число десятичных разрядов.
Коэффициент стационарной теплопередачи через грунт между внутренней и наружной окружающей средой получают с использованием
уравнения (1).
9.2. Перекрытие без промежуточных опор
Перекрытием без промежуточных опор является любое перекрытие, удерживаемое над грунтовым основанием здания, например деревянное или из балок с заполнением межблочного пространства (см.
рисунок 2). В настоящем пункте рассматривается типовой проект перекрытия без промежуточных опор, в котором пространство под перекрытием естественно вентилируется наружным воздухом. При наличии механической вентиляции пространства под перекрытием или при заданной интенсивности вентиляции пользуются
приложением E.
Коэффициент теплопередачи задается уравнением (6):

(6)
где Uf - коэффициент теплопередачи части перекрытия без промежуточных опор по плоскости, Вт/(м2·°C) (между внутренней окружающей средой и пространством под перекрытием);

- коэффициент теплопередачи для потока теплоты через грунт, Вт/(м
2·°C);
Ux - эквивалентный коэффициент теплопередачи между пространством под перекрытием и наружной частью, учитывающий тепловой поток через стены пространства под перекрытием и за счет вентиляции этого пространства, Вт/(м2·°C).
Расчет величины Uf должен учитывать влияние любых образующихся теплопроводных включений. Данная величина может быть вычислена в соответствии с нормативными документами, действующими на национальном уровне или путем расчета температурных полей. Сопротивление теплопередаче на поверхности конструкции для теплового потока, направленного вниз, применяется в случае отапливаемого здания, сопротивление теплопередаче на поверхности конструкций для теплового потока, направленного вверх, применяется в случае неотапливаемого здания.
1 - земля (грунтовое основание);
h - высота поверхности перекрытия над уровнем
земли; Rf - сопротивление теплопередаче перекрытия
без промежуточных опор; Rg - эффективное сопротивление
теплопередаче грунта
Рисунок 2 - Схематическое изображение перекрытия
без промежуточных опор

(7)

(8)
| | ИС МЕГАНОРМ: примечание. Условные обозначения даны в соответствии с официальным текстом документа. | |
где Rg - термическое сопротивление изоляции на подстилающем слое пространства под перекрытием, Вт/(м2·°C).
Если пространство под перекрытием имеет глубину более чем 0,5 м ниже уровня земли, то
Ug следует вычислять в соответствии с
уравнением (B.2).
Если изоляция края применяется вокруг подстилающего слоя пространства под перекрытием, то
Ug следует определять в соответствии с
уравнением (E.3).
Ux определяется по выражению (9):

(9)
где h - высота верхней поверхности перекрытия над уровнем земли, м;
Uw - коэффициент теплопередачи стен пространства под перекрытием выше уровня земли, Вт/(м2·°C), определенный в соответствии с нормативными документами, действующими на национальном уровне;

- площадь отверстий системы вентиляции, приходящихся на единицу длины периметра пространства под перекрытием, м
2/м;
v - средняя скорость ветра на высоте 10 м, м/с;
fw - фактор защиты от ветра.
Если значение
h изменяется по периметру перекрытия, то в
уравнении (9) следует использовать среднее значение высоты.
В
приложении E приведены уравнения для вычисления средней температуры в пространстве под перекрытием.
Фактор защиты от ветра соотносит скорость ветра на высоте 10 м (допуская отсутствие препятствий на пути ветра) к скорости ветра вблизи земли, учитывая ветрозащиту смежными зданиями и т.д. Характерные значения приведены в таблице 2.
Таблица 2
Значения фактора ветрозащиты
Местоположение | Пример | Фактор ветрозащиты fw |
Загороженное | Центр города | 0,02 |
Среднее | Пригород | 0,05 |
Открытое | Сельская местность | 0,10 |
Стационарный коэффициент теплопередачи через грунт между внутренней и внешней окружающей средой получают с использованием
уравнения (1).
9.3.1 Общие положения
Методики, приведенные для подвалов, применяются к зданиям, в которых часть пространства находится ниже уровня земли (см.
рисунок 3). Данная методика использует принцип, применимый для монолитной плиты, лежащей на грунтовом основании цокольного этаже, но с учетом следующего:
- глубина z пола подвала ниже уровня земли;
- возможно применение изоляции разной толщины, покрывающей стены и пол подвала.
1 - монолитная бетонная плита пола; 2 - земля (грунтовое
основание); Rf - сопротивление теплопередаче конструкции
пола; Rw - сопротивление теплопередаче стен подвала,
включая все слои изоляции; w - толщина наружных стен;
z - глубина пола подвала ниже уровня земли
Рисунок 3 - Схематическое изображение здания
с обогреваемым подвалом
Если значения z изменяются по периметру здания, то в расчетах следует использовать среднее значение.
Примечание - Если
z = 0, то формулы сокращаются до уравнений по
9.1 для плиты на грунтовом основании.
Настоящий стандарт не охватывает случай, когда подвал частично находится над уровнем земли. Однако осреднение полных потерь теплоты через грунт из такого здания может быть получено путем рассмотрения здания таким образом, как если бы оно имело подвал по всей площади здания с глубиной, равной половине действительной глубины цокольной части.
Подвалы с частичным отоплением рассмотрены в
9.5.
Изложенные методики позволяют определить величину полного теплового потока из подвала через грунт.
Части стен выше уровня земли можно оценивать по их коэффициенту теплопередачи, вычисленному в соответствии с нормативными документами, действующими на национальном уровне.
9.3.2 Пол подвала
Для определения
Ubf вычисляют размерную характеристику для пола подвала, используя
уравнение (3). В расчет включается некоторая изоляция пола подвала путем введения соответствующего фактора в общую эквивалентную толщину
dt, заданную уравнением (10):

(10)
где w - полная толщина стен здания на уровне земли, включая все конструктивные слои;
Rf - сопротивление теплопередаче плиты пола, включая термическое сопротивление всех слоев изоляции по всей площади плиты, которые находятся сверху, снизу, внутри плиты пола, а также термическое сопротивление любого настила пола.
Другие члены уравнения определены в
3.2.
Сопротивление теплопередаче плотных бетонных плит и тонких настилов пола можно не брать в расчет. Предполагается, что забутовка под плитой имеет такую же теплопроводность, как и грунтовое основание, поэтому термическое сопротивление забутовки не следует брать в расчет.
Уравнение (11) или
(12) используется в зависимости от теплоизоляции пола подвала.
Если (dt + 0,5z) < B' (пол подвала без изоляции и с умеренной изоляцией), то

(11)
Если (dt + 0,5z) >= B' (обильно изолированные полы подвалов), то

(12)
9.3.3 Стены подвала
Ubw зависит от общей эквивалентной толщины для стен подвала, dw, заданной уравнением (13):

(13)
где
Rw - сопротивление теплопередаче стен подвала, включая все слои, другие обозначения определены в
3.2.
Ubw определяется выражением (14):

(14)
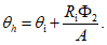
Формула для Ubw использует величины dw и dt. Эта формула действительна для случая dw >= dt (распространенный случай). Если, однако, dw < dt, то dt следует заменить на dw в уравнении (14).
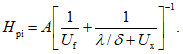
9.3.4 Теплопередача из подвала
Эффективный коэффициент теплопередачи, характеризующий все ограждающие конструкции, соприкасающиеся с грунтом, определяется уравнением (15):

(15)
Стационарный коэффициент теплопередачи через грунт между внутренней и наружной окружающей средой описывается уравнением (16) (см. также
раздел 4).

(16)
Примечание - Уравнение (16) позволяет рассчитать поток теплоты из всего подвала. Передача теплоты через пол и передача теплоты через стены подвала взаимосвязаны, и поэтому первые два члена в уравнении (16) для теплового потока через пол и стены соответственно являются аппроксимациями.
9.4. Неотапливаемый подвал
Формула, приведенная в настоящем пункте, применяется к неотапливаемым подвалам, которые вентилируются с наружной стороны.
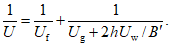
Коэффициент теплопередачи между внутренней и внешней окружающей средой (по плоскости), U, задается уравнением (17):

(17)
где Uf - коэффициент теплопередачи через пол (между внутренней средой помещения и подвалом);
Uw - коэффициент теплопередачи через стены подвала над уровнем земли;
n - интенсивность вентиляции подвала (кратность воздухообмена);
V - объем воздуха в подвале, м3.
В отсутствие специальной информации можно использовать значение n = 0,3 ч-1.
Uf и Uw вычисляются в соответствии с нормативными документами, действующими на национальном уровне.
Ubf и
Ubw вычисляются в соответствии с
9.3.
Примечание - Средняя температура в подвале может быть вычислена методом, изложенным в
приложении E.
Коэффициент стационарной теплопередачи через грунт между внутренней и внешней окружающей средой получают с использованием
уравнения (1).
9.5. Частично отапливаемый подвал
Расходы теплоты для частично отапливаемых подвалов можно вычислить по следующей методике:
a) необходимо рассчитать расход теплоты для полностью отапливаемого подвала;
b) необходимо рассчитать расход теплоты для неотапливаемого подвала;
c) следует объединить расходы теплоты по a) и b) в пропорции к площадям отапливаемых и неотапливаемых частей подвала в контакте с грунтом.
(обязательное)
ОПРЕДЕЛЕНИЕ РАСХОДА ТЕПЛОТЫ ЧЕРЕЗ ГРУНТ
A.1 Методы расчета
Три метода расчета расхода теплоты Ф представлены ниже. Метод следует выбирать исходя из цели и точности расчета, для которых выполняются вычисления, чтобы оценить расход теплоты:
а) расчет расхода теплоты через грунт отдельно для каждого месяца (см.
A.2);
б) расчет среднего расхода теплоты через грунт в течение отопительного сезона (см.
A.4);
в) расчет годового среднего расхода теплоты через грунт (см.
A.5).
A.2 Месячный расход теплоты с использованием синусоидальных колебаний температуры
Чтобы учесть влияние большой тепловой инерции грунта, теплопередача представлена стационарной или усредненной составляющей и годовой периодической. Установившаяся часть относится к разности между средней годовой внутренней температурой и средней годовой наружной температурой. Периодическая часть относится к амплитуде колебания значений внутренней и наружной температур относительно их соответственных средних значений.
Предполагается, что внутренние и наружные температуры изменяются синусоидально вблизи их годовых средних значений по следующим формулам:

(A.1)

(A.2)
где

- средняя внутренняя температура за месяц
m, °C;

- годовая средняя внутренняя температура, °C;

- амплитуда колебаний в месячной средней внутренней температуре, °C (определение согласно
6.1);

- средняя наружная температура за месяц
m, °C;

- годовая средняя наружная температура, °C;

- амплитуда колебаний в месячной средней наружной температуре, °C (определение согласно
6.2);
m - номер месяца (от m = 1 для января до m = 12 для декабря);

- номер месяца, в котором была минимальная наружная температура (в случае необходимости

может быть выражена десятичным числом).
Значение

следует определять из рассмотрения средней наружной температуры за каждый месяц; величины колебаний с малыми значениями включать в расчет не следует. Величина

может выводиться на основе климатологической информации для определенной страны или рассматриваемого места. Она выражается в целых месяцах или долях месяца в зависимости от рассматриваемого периода времени. В отсутствие специальной информации следует использовать

в северном полушарии и

в южном полушарии.
Примечание -

допускает, что минимальная температура наблюдается в середине января, а максимальная температура в середине июля;

допускает обратное утверждение. Это является хорошей аппроксимацией для многих видов климата.
Для расчета требуются только годовая средняя температура и годовая амплитуда. Эти величины могут быть получены из месячных значений.
Рисунок A.1 иллюстрирует определение

и

. То же самое применимо к внутренним температурам.
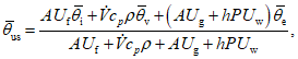
При указанных выше условиях средний расход теплоты в месяц m задается выражением:

(A.3)
где Hg - коэффициент стационарной теплопередачи через грунт, Вт/К;
Hpi - коэффициент внутренней периодической теплопередачи, Вт/К;
Hpe - коэффициент внешней периодической теплопередачи, Вт/К;

- опережение во времени цикла теплового потока в сравнении с внутренней температурой, по месяцам;

- отставание во времени цикла теплового потока в сравнении с наружной температурой, по месяцам.
X - номер месяца, m (от m = 1 для января до m = 12
для декабря); Y - температура,

;

- годовая средняя
наружная температура;

- амплитуда колебаний в месячной
средней наружной температуре;

- месячная
средняя наружная температура за месяц m
Рисунок A.1 - Иллюстрация изменения наружной температуры
за год (в северном полушарии)
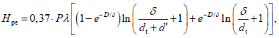
Hpi и
Hpe - включают влияние линейных теплопроводных включений на краю перекрытия. Если
Hpi и
Hpe вычисляются без учета теплопроводных включений на краях, то член

должен быть добавлен в каждую из обозначенных величин (см.
раздел 4).
Примечание - Нестационарный цикл теплообмена опережает изменение внутренней температуры и задерживает изменение наружной температуры. В настоящем стандарте

и

являются положительными числами; опережение/запаздывание учитывается в способе записи
уравнения (A.3).
Приложение F дает ориентировочные методы расчета коэффициентов
Hpi и
Hpe и разностей фаз

и

. Формулы в
приложении E для
Hpe применяются в случаях, несвязанных с теплопередачей на краях перекрытия. Подробнее величина
Hpe рассмотрена в ИСО 14683.
Уравнение (A.3) предполагает, что годовое изменение внутренней температуры осуществляется таким образом, что величина

меньше зимой, чем летом. Если применяется обратное, то

следует применять как отрицательную величину.
Для расчетов на основании допущения постоянной внутренней температуры,

, отсутствует необходимость принимать во внимание
Hpi.
A.3 Месячный расход теплоты с использованием средних температур
В случае, когда месячные внутренние и наружные температуры неизвестны, расход теплоты за месяц вычисляется по формуле:

(A.4)
где допускается, что разности фаз

и

(см.
пункт A.2) являются нулями.
A.4 Средний расход теплоты за холодный или теплый периоды
Для расчетов сезонной теплопередачи допускается не брать в расчет влияние разности фаз между тепловым потоком и колебаниями температуры. Тогда средняя интенсивность теплопередачи через грунт за холодный период устанавливается из средних косинусных значений в
уравнении A.3 за отопительный сезон:

(A.5)
где значение

, которое зависит от продолжительности отопительного сезона, задается выражением (A.6):

(A.6)
где n - число месяцев в отопительном сезоне.
Уравнение (A.5) предполагает, что годовое изменение внутренней температуры осуществляется таким образом, что величина

меньше зимой, чем летом. Если применяется обратное, то

следует брать как отрицательную величину.
Примечание - Для вычислений на основании допущения постоянной внутренней температуры

отсутствует необходимость принимать во внимание
Hpi.
Применение
уравнения (A.5) ограничивается расчетом тепловых потерь, выполненных на сезонных (не на месячных) показателях.
Уравнение (A.5) может быть также использовано для расчета тепловых потерь, выполненных на месячной основе в случае, когда не требуется месячное изменение в потерях через грунт. Это оказывает влияние на определение теплопотерь через грунт в качестве постоянного члена, приводя, таким образом, к переоценке этих потерь на границах отопительного сезона и их недооценке в середине отопительного сезона.
Средняя скорость теплового потока за теплый период рассчитывается подобным образом:

(A.7)
где

- величина из
уравнения (A.6), определенная с учетом числа месяцев в теплом периоде для
n.
A.5 Средний годовой расход теплоты
Если

и

или продолжительность отопительного сезона неизвестны или если потери через грунт требуются в приближении, то расход теплоты через грунт можно взять как постоянную величину:

(A.8)
Зачастую данная величина является аппроксимацией с хорошей точностью, особенно в случае продолжительного отопительного сезона или если

и

оказывают противоположное влияние на тепловой поток.
A.6 Максимальный месячный расход теплоты
Максимальный месячный расход теплоты описывается формулой:

(A.9)
Примечание - Это выражение соответствует постоянной внутренней температуре и максимальному вкладу от изменения наружной температуры.
A.7 Коэффициент теплопередачи через грунт за месяц
Коэффициент теплопередачи через грунт Hg,m в месяц m определяется по формуле:

(A.10)
A.8 Общая теплопередача через грунт в течение отопительного сезона или сезона охлаждения
Общей теплопередачей через грунт является интеграл по расходу теплоты, который может быть приблизительно аппроксимирован суммой месячных значений:

(A.11)
Qm = 86400·NmФm, (A.12)
где Q - суммарная теплопередача, Дж;
Qm - теплопередача в месяце m, Дж;
Nm - число дней в месяце m;
Фm - расход тепла в месяце m, Дж;
m1 - первый месяц холодного или теплого периода;
m2 - последний месяц холодного или теплого периода;
86400 - число секунд в 1 сут.

(A.13)
где N - общее число дней в отопительном сезоне.
(обязательное)
ПЛИТА НА ГРУНТОВОМ ОСНОВАНИИ С ИЗОЛЯЦИЕЙ КРАЯ
B.1 Общее положение
Монолитная плита на грунтовом основании здания может иметь изоляцию края, расположенную либо горизонтально, либо вертикально по периметру пола. Формулы настоящего приложения допускается применять при небольшой ширине или глубине изоляции края D по сравнению с шириной здания.
В случае, когда численные методы для расчета коэффициента удельных потерь теплоты через линейную теплотехническую неоднородность включают в себя влияние изоляции края, то рассчитанные в соответствии с настоящим приложением величины не должны быть дополнительно включены в расчет.
| | ИС МЕГАНОРМ: примечание. В официальном тексте документа, видимо, допущена опечатка: пункты Б.2 и Б.3 отсутствуют. Возможно, имеются в виду пункты B.2 и B.3. | |
Влияние изоляции края определяется как удельный поток теплоты через линейную теплотехническую неоднородность (краевой узел плиты перекрытия)

, который получают в соответствии с
Б.2 для горизонтальной изоляции края или в соответствии с
Б.3 для вертикальной изоляции края. Фундаменты низкой плотности, имеющие теплопроводность ниже теплопроводности грунта, воспринимаются при этом как вертикальная изоляция края. Величина удельного потока теплоты через линейный элемент

, имеет отрицательное значение.
Если элемент фундамента имеет больше, чем один компонент изоляции края (вертикально или горизонтально, внутри или снаружи), то расчет величины

нижеуказанными методами ведется для каждого изолированного края отдельно. В итоговом расчете используется та изоляция, которая дает наименьшее снижение потерь теплоты.
Примечание - Формулы настоящего приложения обеспечивают хорошую точность оценки влияния дополнительных потоков теплоты через узлы изоляции края с неизолированным перекрытием. Данные формулы недооценивают влияние добавочного потока теплоты изоляции края к уже изолированному перекрытию.
Уравнения (B.5) и
(B.6) включают дополнительную эквивалентную толщину, которая является следствием изоляции края
d', определенной как:

(B.1)
где R' - дополнительное сопротивление теплопередаче, внесенное изоляцией края (или фундаментом), т.е. разность между сопротивлением теплопередаче изоляции края и сопротивлением теплопередаче грунта (или плиты), которое она заменяет:

(B.2)
где Rn - сопротивление теплопередаче горизонтальной или вертикальной изоляции края (или грунтового основания), м2·°C/Вт;
dn - толщина изоляции края (или фундамента), м.
Когда величина

включается в расчет, то
уравнение (1) видоизменяется до следующего выражения:

(B.3)
| | ИС МЕГАНОРМ: примечание. В официальном тексте документа, видимо, допущена опечатка: уравнение (Б.4) отсутствует. Возможно, имеется в виду уравнение (B.4). | |
Для вычислений установившегося процесса влияние изоляции края может быть включено в теплопередачу перекрытия (пола) с использованием уравнения (Б.4).

(B.4)
где
U0 - коэффициент теплопередачи перекрытия (пола) без изоляции края по плоскости. В этом случае для вычисления коэффициента установившейся теплопередачи через грунт применяют
уравнение (1).
Примечание - Любая изоляция по всей плите на грунтовом основании учитывается в расчете U0.
Коэффициенты

и

включены в величины
Hpi и
Hpe (см.
приложение A).
B.2 Горизонтальная изоляция плиты пола
Уравнение (B.5) применяется к изоляции, расположенной горизонтально вдоль периметра плиты пола (см.
рисунок B.1):

(B.5)
где D - ширина горизонтальной изоляции, м;
| | ИС МЕГАНОРМ: примечание. В официальном тексте документа, видимо, допущена опечатка: уравнение (Б.1) отсутствует. Возможно, имеется в виду уравнение (B.1). | |
1 - плита перекрытия; 2 - горизонтальная изоляция;
3 - стена фундамента; dn - толщина изоляции основания;
D - ширина горизонтальной изоляции
Рисунок B.1 - Схематическое изображение
горизонтальной изоляции плиты
На рисунке B.1 показано расположение изоляции под монолитной плитой.
Уравнение (B.5) также применяется к горизонтальной изоляции над плитой или снаружи относительно здания.
B.3 Вертикальная изоляция плиты пола
Уравнение (B.6) применяется к изоляции, расположенной вертикально ниже уровня земли (грунтового основания) вдоль периметра пола (перекрытия) (см.
рисунок B.2) и к устройствам фундамента из материала меньшей теплопроводности, чем грунтовое основание (см.
рисунок B.3).

(B.6)
где D - глубина вертикальной изоляции фундамента ниже уровня земли, м;
На
рисунке B.2 показана изоляция внутренней стороны стены фундамента.
Уравнение (B.6) также применимо к случаю, когда реализована вертикальная изоляция наружной стороны или внутри стены фундамента.
1 - стена фундамента; 2 - плита перекрытия на грунте;
3 - вертикальная изоляция; dn - толщина изоляции
фундамента; D - глубина вертикальной изоляции
фундамента ниже уровня земли (грунтового основания)
Рисунок B.2 - Схематическое изображение
вертикальной изоляции плиты
1 - стена фундамента низкой плотности

;
2 - плита перекрытия на грунте; dn - толщина изоляции
фундамента; D - глубина вертикальной изоляции фундамента
ниже уровня земли (грунтового основания)
Рисунок B.3 - Схематическое изображение вертикальной
изоляции плиты (фундамент низкой плотности)
(обязательное)
РАСХОДЫ ТЕПЛА ДЛЯ ОТДЕЛЬНЫХ ПОМЕЩЕНИЙ
Формулы настоящего стандарта позволяют определить общий расход тепла через целое перекрытие. Если требуется определить расход тепла для отдельных помещений здания, причем в некоторых из них имеются наружные стены, а в других наружных стен нет, тепловой поток через пол (перекрытие) может быть разделен на две части. Эти части тепла потока применяются соответственно для помещений с наружными стенами (краевая область) и помещений, не имеющих наружных стен (центральная область). Чтобы получить общий тепловой поток для отдельных помещений, требуется учесть влияние стен и других элементов.
Сначала вычисляют установившийся расход тепла для целого перекрытия Фt. Затем этот расход тепла подразделяют на части: для краевой области Фe и для центральной области Фm следующим образом:

(C.1)

(C.2)

(C.3)

(C.4)
где qe - плотность теплового потока для комнат на краю здания;
qm - плотность теплового потока для комнат в середине здания;
Ae - общая площадь пола (перекрытия) комнат на краю здания;
Am - общая площадь пола (перекрытия) комнат в середине здания;
B - средняя ширина комнат на краю здания;
B' - размерная характеристика целого перекрытия (согласно
8.1).
Периодическую теплопередачу вследствие годового изменения в наружной температуре следует применять только для помещений в краевой области здания.
(обязательное)
ПРИМЕНЕНИЕ ПРОГРАММ ДИНАМИЧЕСКОГО МОДЕЛИРОВАНИЯ
Настоящее приложение рассматривает метод расчета теплопередачи через грунт с учетом переходных процессов для вычисления тепловых потоков или температур в зданиях при временном интервале 1 ч или менее.
Конструкция перекрытия вместе с грунтовым основанием моделируется как один компонент, состоящий из каждого слоя перекрытия с учетом 0,5 м глубины грунта и виртуального слоя.
Виртуальный слой включается так, что годовой средний тепловой поток является корректным. Он имеет сопротивление теплопередаче Rv и не принимаемую в расчет теплоемкость. Величину Rv вычисляют по формуле (D.1):

(D.1)
где U - стационарный коэффициент теплопередачи через перекрытие (включая влияние грунтового основания, вычисленный методами этого стандарта или численными методами с использованием граничных условий и допущений, приемлемых для вычисления U с помощью настоящего стандарта);
Rsi - внутреннее сопротивление теплопередаче на внутренней поверхности перекрытия;
Rf - общее сопротивление теплопередаче всех слоев в сооружении перекрытия;
Rg - сопротивление теплопередаче слоя земли толщиной 0,5 м.
В этой тепловой модели виртуальный слой может быть установлен толщиной 0,1 м так, чтобы его теплопроводность составляла 0,1/RV, его плотность и удельную теплоемкость следует принять равными нулевым или очень малым значениям [1 кг/м3 и 1 Дж/(кг·°C) соответственно].
Граничным значением нижней части виртуального слоя принимают виртуальную температуру

.
Величина

может быть назначена для каждого месяца года в соответствии с формулой:

(D.2)
Примечание - Данная формула учитывает любую теплопередачу, связанную с дополнительным потоком тепла через край перекрытия.
Уравнение (D.2) является приближенным. Альтернативно, величина

может быть вычислена с использованием численного метода для разных временных интервалов.

(D.3)
где
Ubf и
Ubw - определяются в соответствии с
9.3.
(обязательное)
УЧЕТ ВЕНТИЛЯЦИИ ПОД ПЕРЕКРЫТИЯМИ БЕЗ ПРОМЕЖУТОЧНЫХ ОПОР
E.1 Общие выражения для средней температуры и теплопередачи
Тепловые потери через перекрытие без промежуточных опор в пространство под перекрытием передаются из этого пространства в наружную окружающую среду тремя путями:
а) через грунтовое основание;
б) через стены (выше уровня земли) в пространства под перекрытием;
в) за счет вентиляции пространства под перекрытием.
Установившееся тепловое равновесие вышеупомянутых тепловых потоков дает среднюю температуру в пространстве под перекрытием в виде:

(E.1)
где

- средняя годовая температура в пространстве под перекрытием, °C;

- средняя годовая внутренняя температура, °C;

- средняя годовая наружная температура, °C;

- средняя годовая температура вентилирующего воздуха, °C;
Uf - коэффициент теплопередачи части перекрытия без промежуточных опор по плоскости, Вт/(м2·°C);
Ug - коэффициент теплопередачи грунтового основания, Вт/(м2·°C);
Uw - коэффициент теплопередачи стены пространства под перекрытием без промежуточных опор (над уровнем земли), Вт/(м2·°C);

- скорость воздухообмена, м
3/с;
h - высота перекрытия без промежуточных опор над уровнем земли, м;
cp - удельная теплоемкость воздуха при постоянном давлении, Дж/(кг·°C);

- плотность воздуха, кг/м
3.
Ug следует получать методом, изложенным в
9.2, если глубина основания пространства под перекрытием без промежуточных опор ниже уровня земли
z не превышает 0,5 м. Если
z > 0,5 м, то можно использовать методы, аналогичные методам
пункта 9.3, так что:

(E.2)
где
Ubf и
Ubw получают в соответствии с
9.3.
Коэффициент теплопередачи перекрытия (между внутренней и наружной окружающей средой) определяется уравнением (E.3):

(E.3)
Уравнения (E.2) и (E.3) могут быть также применены для неотапливаемых подвалов.
E.2 Расчетный расход воздуха
Для механически вентилируемых перекрытий

м
3/с задается.
Для перекрытий с естественной вентиляцией:

(E.4)
где

- площадь отверстий вентиляции на длину периметра пространства, м
2/с;
v - проектная скорость ветра на высоте 10 м, м/с;
fw - фактор защиты от ветра, определенный в
9.2.
Для вычислений с использованием настоящего стандарта,
cp = 1000 Дж/(кг·К) (при 10 °C);

(при 10 °C и давлении 100 кПа).
E.3 Естественная вентиляция
E.4 Механическая вентиляция с внутренней стороны ограждения

(E.5)
E.5 Механическая вентиляция с наружной стороны ограждения

(E.6)
E.6 Невентилируемое пространство под перекрытием

(E.7)
E.7 Неотапливаемые подвалы
(справочное)
КОЭФФИЦИЕНТЫ НЕСТАЦИОНАРНОЙ ТЕПЛОПЕРЕДАЧИ
F.1 Общие положения
В настоящем приложении приведены формулы для определения коэффициентов нестационарной теплопередачи
Hpi и
Hpe, введенных в
приложении A. Формулы для величины
Hpi могут быть использованы для перекрытий, конструкции которых являются однородными по всей площади перекрытия. Формулы для величины
Hpe являются приблизительными для идеализированных соединений узлов стена/перекрытие. Они подходят для неизолированных перекрытий и изолированных перекрытий с незначительным образованием линейных теплопроводных включений на краях перекрытия. Для других случаев значения могут быть получены численными методами согласно нормативным документам, действующим на национальном уровне.
F.2 Глубина нестационарной теплопередачи
Коэффициенты нестационарной теплопередачи связаны с глубиной периодической теплопередачи,

, глубиной грунта, на которой (для одномерного теплового потока) амплитуда температуры уменьшается до 1/e температуры на поверхности, где e - основание натурального логарифма (e = 2,718). Для годового температурного цикла задается выражением:

(F.1)
Примечание - 3,15·107 есть число секунд в году.
Таблица E.1 дает приблизительные значения величин,

, которые могут быть использованы для вычислений с помощью настоящего стандарта.
Таблица E.1
Глубина периодической теплопередачи
Категория | Тип грунта |  , м |
1 | Глина или ил | 2,2 |
2 | Песок или гравий | 3,2 |
3 | Однородная скальная порода | 4,2 |
F.3 Разности фаз
Уравнения (E.2) и
(E.3) характеризуют приблизительные значения разностей фаз для плиты на земле цокольного этажа:

(F.2)

(F.3)
Изоляция края плиты перекрытия на грунтовом основании цокольного этажа может значительно увеличивать задержку по времени по сравнению с изменением наружной температуры, особенно в случае, когда изоляция располагается вертикально или с наружной стороны здания.
Для перекрытий без промежуточных опор это влияние меньше, так как тепловой поток за счет вентиляции не имеет запаздывания по времени.
Для подвалов глубиной, сопоставимой с величиной

или более, применяются
уравнения (F.2) и
(F.3) с заменой
dt на
dw.
Точное значение времени опережения или задержки между тепловым потоком и колебаниями температуры не сильно влияет на результат расчета энергопотребления. Значения разности фаз с точностью до 1 мес указаны в таблице F.2. Они подходят для большинства вычислений и на практике дают в результате небольшие ошибки, если не принимать во внимание время задержки или время опережения, т.к. принятые температуры и тепловой поток будут в фазе.
Таблица F.2
Разности фаз (в месяцах)
Тип перекрытия | | |
Плита на грунте без изоляции | 0 | 1 |
Плита на грунте с внутренней горизонтальной изоляцией | 0 | 1 |
Плита на грунте с вертикальной и наружной изоляцией | 0 | 2 |
Перекрытие без промежуточных опор | 0 | 0 |
Подвал (отапливаемый или без отопления) | 0 | 1 |
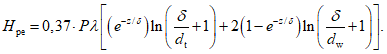
F.4 Плита перекрытия на грунте: без изоляции или полностью изолированная
F.4.1 Изменение внутренней температуры
Коэффициент нестационарной теплопередачи, связанный с изменениями внутренней температуры по годовому циклу, определяется выражением:

(F.4)
F.4.2 Изменение наружной температуры
Коэффициент нестационарной теплопередачи, связанный с изменениями наружной температуры по годовому циклу, определяется выражением:

(F.5)
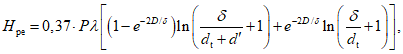
F.5 Плита перекрытия на грунте с изоляцией
F.5.1 Изменение внутренней температуры
В этом случае не принимается во внимание изоляция и вычисляется
Hpi согласно
уравнению (E.4).
F.5.2 Изменение наружной температуры
Hpe состоит из двух членов: один связан с краем перекрытия, а другой относится к середине перекрытия.
Для перекрытий, включающих горизонтальную изоляцию,

(F.6)
где D - ширина горизонтальной изоляции, м;
Для перекрытий, включающих вертикальную изоляцию,

(F.7)
где D - глубина вертикальной изоляции фундамента ниже уровня земли, м.
Если элемент фундамента имеет более чем одну сторону изоляции (вертикальной или горизонтальной, внутри или снаружи), то расчет величины Hpe ведут вышеупомянутыми методами для каждой части изоляции отдельно. В качестве расчетного принимают наименьшее значение сопротивления теплопередаче.
F.6 Перекрытие без промежуточных опор
F.6.1 Общие положения
Для вычисления нестационарных коэффициентов используют
Uf,
Ux и
dg, которые определяются согласно
9.2.
F.6.2 Изменение внутренней температуры

(F.8)
F.6.3 Изменение наружной температуры

(F.9)
F.7 Отапливаемый подвал
F.7.1 Изменение внутренней температуры
Коэффициент нестационарной теплопередачи вследствие изменений внутренней температуры по годовому циклу состоит из двух членов: один связан с полом подвала, а другой - со стенами подвала:

(F.10)
F.7.2 Изменение наружной температуры
Коэффициент нестационарной теплопередачи вследствие изменений наружной температуры по годовому циклу состоит из двух членов: один связан с полом подвала, а другой - со стенами подвала:

(F.11)
F.8 Неотапливаемый подвал
F.8.1 Изменение внутренней температуры

(F.12)
F.8.2 Изменение наружной температуры

(F.13)
(справочное)
ТЕРМИЧЕСКИЕ СВОЙСТВА ГРУНТА
Термические свойства грунта зависят от нескольких факторов, включая плотность, степень водонасыщения, гранулометрический состав, тип минералов, составляющих частицы этого грунта, и состояние (мерзлый или немерзлый). В результате термические свойства грунта изменяются в значительной степени от глубины, а также могут изменяться со временем благодаря изменениям в содержании влаги или вследствие замерзания и оттаивания.
Значения свойств грунта, используемые для вычислений теплопередачи, включая измеренные значения, представляют грунт, который находится вблизи здания, и за период времени, к которому относятся вычисления (например, отопительный сезон).
Таблица G.1 указывает диапазон теплопроводности разных типов немерзлого грунта и показывает представительные значения, заданные в
5.1.
Таблица G.1
Теплопроводность грунта
Тип грунта | Сухая плотность  , кг/м 3 | Содержание влаги u, кг/кг | Степень насыщения, % | Теплопроводность  , Вт/(м·К) | Характерное значение  , Вт/(м·К) |
Ил | 1400 - 1800 | 0,10 - 0,30 | 70 - 100 | 1,0 - 2,0 | 1,5 |
Глина | 1200 - 1600 | 0,20 - 0,40 | 80 - 100 | 0,9 - 1,4 | 1,5 |
Торф | 400 - 1100 | 0,05 - 2,00 | 0 - 100 | 0,2 - 0,5 | - |
Сухой песок | 1700 - 2000 | 0,04 - 0,12 | 20 - 60 | 1,1 - 2,2 | 2,0 |
Мокрый песок | 1700 - 2100 | 0,10 - 0,18 | 85 - 100 | 1,5 - 2,7 | 2,0 |
Скала | 2000 - 3000 | а | а | 2,5 - 4,5 | 3,5 |
а - обычно очень малое (содержание влаги составляет менее 0,03 массы), за исключением пористых скальных пород. |
Объемная теплоемкость

, может быть рассчитана по формуле:

(G.1)
где c - удельная теплоемкость грунта, Дж/(кг·°C);

- плотность в сухом состоянии, кг/м
3;
cs - удельная теплоемкость минералов, Дж/(кг·°C);
cw - удельная теплоемкость воды, Дж/(кг·°C);
u - массовое содержание влаги по массе, отнесенной к сухому состоянию, кг/кг.
Для большинства минералов cs = 1000 Дж/(кг·К) и cw = 4180 Дж/(кг·°C) при 10 °C.
| | ИС МЕГАНОРМ: примечание. В официальном тексте документа, видимо, допущена опечатка: уравнение (Ж.1) отсутствует. Возможно, имеется в виду уравнение (G.1). | |
Характерные значения

, заданные в
5.1 и полученные по
уравнению (Ж.1), следующие (округлены до целых):
- глина/ил -

;
- песок -

;
- скала -

.
(справочное)
ВЛИЯНИЕ ПРОТОЧНЫХ ГРУНТОВЫХ ВОД
Влияние проточных грунтовых вод можно оценить путем умножения установившегося расхода теплоты на фактор Gw. Чтобы установить данный фактор, необходимо знать глубину уровня подземных вод и скорость потока подпочвенной воды. Для плиты перекрытия на грунтовом основании цокольного этажа и подвалов величину Gw умножают на коэффициент стационарной теплопередачи через грунт Hg. Для перекрытий без промежуточных опор величину Gw умножают на коэффициент теплопередачи грунта Ug. Данный фактор не применяется для коэффициентов нестационарной теплопередачи Hpi и Hpe.
Значения
Gw даны в
таблице H.1 как функция безразмерных отношений

,

и

,
где zw - глубина грунтовых вод ниже уровня грунтового основания, м;
lc - длина, которая относит тепловой поток за счет теплопроводности к тепловому потоку вследствие влияния грунтовой воды, м.
Эта длина lc описывается выражением:

(H.1)
где qw - средняя скорость дрейфа грунтовой воды, м/с;

- плотность воды, кг/м
3;
cw - удельная теплоемкость воды, Дж/(кг·°C).
Примечание -

на 10 °C.
Если lc >> B', то преобладает тепловой поток за счет теплопроводности. Если lc << B', то преобладает тепловой поток вследствие влияния грунтовой воды.
Таблица H.1
zw/B' | lc/B' | Gw |
dt/B' = 0,1 | dt/B' = 0,5 | dt/B' = 1,0 |
0,0 | 1,0 | 1,01 | 1,01 | 1,00 |
0,0 | 0,2 | 1,16 | 1,11 | 1,07 |
0,0 | 0,1 | 1,33 | 1,20 | 1,13 |
0,0 | 0,0 | - | 1,74 | 1,39 |
0,5 | 1,0 | 1,00 | 1,00 | 1,00 |
0,5 | 0,1 | 1,06 | 1,04 | 1,02 |
0,5 | 0,02 | 1,11 | 1,07 | 1,05 |
0,5 | 0,0 | 1,20 | 1,12 | 1,08 |
1,0 | 0,1 | 1,05 | 1,03 | 1,02 |
2,0 | 0,0 | 1,02 | 1,01 | 1,00 |
(справочное)
ПЛИТА ПЕРЕКРЫТИЯ НА ГРУНТОВОМ ОСНОВАНИИ СО ВСТРОЕННОЙ
(ПАНЕЛЬНОЙ) СИСТЕМОЙ ОТОПЛЕНИЯ ИЛИ ОХЛАЖДЕНИЯ
Расход тепла через перекрытие, включающее в свою конструкцию встроенную систему (панельного) отопления или охлаждения при равномерном распределении тепла, может быть рассчитан в соответствии с методами настоящего стандарта со следующими изменениями:
- необходимо заменить внутреннюю температуру Ti на среднюю температуру в плоскости нагревательных элементов Th;
- следует включить в расчет величины dt только некоторое сопротивление теплопередаче, рассчитываемое ниже элемента нагрева/охлаждения, толщину стены и сопротивление теплопередаче на наружной поверхности конструкции перекрытия.
Средняя температура в плоскости элементов нагрева/охлаждения, как правило, неизвестна, так как температура помещения контролируется, а система может приводиться в действие прерывисто (ночная задержка или ночное отключение). В таких случаях температуру на поверхности пола можно оценивать одним из следующих путей, изложенных ниже:
а) Если средняя скорость подачи тепла (или отвода тепла) в системе напольного отопления Ф
h известна, то сначала вычисляется расход теплоты через пол с использованием температуры помещения в качестве внутренней температуры Ф
1. Затем вычисляется средняя температура в плоскости нагревательного элемента

из выражения:

(I.1)
где

- средняя комнатная температура, °C;
Rt - сопротивление теплопередаче между внутренней окружающей средой и плоскостью нагревательного элемента, м2·°C/Вт;
A - площадь перекрытия (пола), м2.
б) Если средняя скорость подачи тепла (или отвода тепла) в системе напольного отопления неизвестна, то вычисляется тепловой баланс в комнате (потери тепла через грунт не берутся в расчет), представляющий требование сообщения полезного тепла Ф2. Среднюю температуру в плоскости нагревательного элемента определяют по формуле:

(I.2)
(справочное)
ХОЛОДИЛЬНЫЕ КАМЕРЫ
J.1 Холодильные камеры являются рефрижераторными сооружениями, в которых внутренняя среда сохраняется при температуре ниже 0 °C.
Необходимо предохранять грунтовое основание ниже холодильной камеры от пучения грунта при замерзании. В связи с этим пол холодильной камеры изолируется и нагрев обеспечивается ниже изоляции для обеспечения незамерзания грунта [грунтовое основание поддерживается на температуре выше 0 °C (5 °C есть общепринятая проектная температура)]. Предложенная в этом приложении методика может быть также использована для других аналогичных ситуаций, например, для катков.
J.2 В настоящем стандарте вычисления выполняются с допущением, что температура на поверхности земли (грунтовом основании) является постоянной. (Летом температура грунта может подниматься выше расчетной температуры, но влияние этого подъема является минимальным).
Могут потребоваться расчеты для определения следующих параметров:
- размер нагревательных элементов для предохранения от образования инея;
- размер рефрижераторной установки;
- годовое потребление энергии.
J.3 Соответствующие типы теплопередачи:
a) от нагревательных элементов в наружную окружающую среду (через грунт);
b) от нагревательных элементов в охлажденное пространство.
J.4 Расход тепла через грунт может быть рассчитан в соответствии с методиками настоящего стандарта со следующими изменениями:
a) необходимо заменить внутреннюю температуру

на расчетную температуру поверхности грунта (например, 5 °C);
b) следует включить в расчет величины dt только некоторое сопротивление теплопередаче, рассчитываемое ниже нагревательного элемента, толщину стены и сопротивление теплопередаче на наружной поверхности конструкции.
J.5 Расход тепла от нагревательных элементов в охлаждаемое пространство задается выражением:

(J.1)
где Фf - расход тепла, Вт;

- проектная внутренняя температура холодильной камеры, °C;

- проектная температура поверхности грунта, °C;
Ri - сопротивление теплопередаче слоев перекрытия между плоскостью нагревательных элементов и внутренней поверхностью пола, м2·°C/Вт.
(справочное)
K.1 Пример 1. Плита на грунтовом основании (прямоугольное перекрытие)
K.1.1 Обмеры
Рисунок K.1 показывает террасу (или ряд) из пяти зданий, пронумерованных от 1 до 5 с плитой на грунте типа глина в основании цокольного этажа; размеры пола указаны; перекрытие не изолировано; толщина стены 0,3 м.
1, 2, 3, 4, 5 - номера зданий
Вычисляется коэффициент стационарной теплопередачи через грунт, Hg:
а) для завершенного строительства (все пять зданий вместе);
б) для каждого из пяти зданий отдельно;
в) складываются вместе результаты из б), затем сравниваются с а).
K.1.2 Здания 1, 2, 3, 4 и 5
P = 30 + 7 + 30 + 7 = 74 м и A = 7·30 = 210 м2, поэтому
Для глинистой почвы

, поэтому
dt = 0,3 + 1,5(0,17 + 0 + 0,04) = 0,615 м
dt < B', поэтому
Hg = 0,533·210 = 116,1 Вт/°C.
K.1.3 Здания 1 и 5
Величина
P не включает в себя значения длины стен, отделяющих рассматриваемую часть от других отапливаемых частей сооружения согласно описанию в
8.1.
P = 6 + 7 + 6 = 19 м и A = 42 м2, таким образом, B' = 4,421 м.
dt = 0,615 м (как в предыдущем случае).
U = 0,654 Вт/(м2·°C) и Hg = 27,4 Вт/°C.
K.1.4 Здания 2, 3 и 4
P = 6 + 6 = 12 м и A = 42 м2, таким образом, B' = 7,0 м.
dt = 0,615 м как ранее.
U = 0,478 Вт/(м2·°C) и Hg = 20,1 Вт/°C.
K.1.5 Сравнение всех зданий и суммы для отдельных домов
Сложение величин Hg для каждого дома дает:
Hg = 2·27,4 + 3·20,1 = 115,1 Вт/°C.
Это значение немного отличается от значения 116,1 Вт/°C, полученного при оценке всего здания. Это различие (меньше 1%) является стандартной погрешностью в результате применения методики к частям дома, а не к целому зданию.
K.2 Пример 2. Плита на грунтовом основании: L-образное здание при различных вариантах изоляции
K.2.1 Обмеры
На
рисунке K.2 показано жилое здание L-образной формы с
w = 0,3 м. Категория грунта - 2, поэтому

.
P = 10 + 6 + 6 + 3 + 4 + 9 = 38 м и A = 42 м2, таким образом, B' = 4,421 м.
Данная площадь получена как сумма площадей двух прямоугольников.
A = (10·6) + (3·4) = 72 м2;
B' = 72/19 = 3,789 м.
Рисунок K.2 - Здание L-образной формы
K.2.2 Без изоляции перекрытия (сопротивление теплопередаче плиты не учитывается)
dt = 0,3 + 2,0(0,17 + 0 + 0,04) = 0,72 м;

.
K.2.3 Фундамент/основание низкой плотности
Фундамент/основание имеет толщину 300 мм и глубину 600 мм с теплопроводностью 0,25 Вт/(м·°C). В данной ситуации расчет проводят с использованием методики для вертикальной изоляции.
Для данных оснований:

;

;
D = 0,6 м;
U = 0,91 - 2·0,400/3,789 = 0,70 Вт/(м2·°C).
K.2.4 Всесторонняя изоляция
Сооружение перекрытия включает в себя 25 мм изоляции теплопроводностью 0,04 Вт/(м·°C).
Rf = 0,25/0,04 = 0,625 м2·°C/Вт;
dt = 0,3 + 2,0(0,17 + 0,625 + 0,04) = 1,97 м;

.
K.2.5 Изоляция с высоким сопротивлением теплопередаче
Сооружение перекрытия включает в себя 100 мм изоляции теплопроводностью 0,04 Вт/(м·°C).
Rf = 0,01/0,04 = 2,5 м2·°C/Вт;
dt = 0,3 + 2,0(0,17 + 2,5 + 0,04) = 5,72 м;

.
K.2.6 Предыдущий пример с изоляцией (для предохранения от инея)
В дополнение к всесторонней изоляции, как в
K.2.5, фундамент/основание отделяется вертикальной изоляцией от внутренней поверхности фундамента на глубину 500 мм и продолжающейся под основанием, чтобы образовать изоляцию грунта, выступающую на 600 мм от здания (см.
рисунок K.1). Оба слоя изоляции (и вертикальная, и на грунте) имеют толщину 75 мм с расчетной теплопроводностью 0,05 Вт/(м·°C), что дает сопротивление теплопередаче 1,5 м
2·°C/Вт. Дополнительная изоляция предоставляется на углах для предотвращения образования инея, но это не принимается во внимание для расчета тепловых потерь.
Рисунок K.3 - Изоляция для предохранения от инея
Согласно
приложению B величину

рассчитывают сначала для вертикальной изоляции. Затем для изоляции грунта, чтобы установить, какая из них дает большее снижение потерь тепла.
Дополнительное сопротивление теплопередаче для изоляции находят следующим образом:
R' = 1,5 - 0,075/2,0 = 1,46 м2·°C/Вт,
дополнительная эквивалентная толщина определяется как:
d' = 1,46·2,0 = 2,93 м.
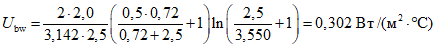
Для вертикальной изоляции:

.
Для изоляции грунта:

.

для вертикальной изоляции обеспечивает большее влияние, таким образом, результирующую величину рассчитывают как:
U = 0,27 - 2·0,033/3,789 = 0,25 Вт/(м2·°C).
K.2.7 Теплопроводные включения на краю перекрытия
| | ИС МЕГАНОРМ: примечание. В официальном тексте документа, видимо, допущена опечатка: рисунок M.4 отсутствует. Возможно, имеется в виду рисунок K.4. | |
Данный пример описывает случай изоляции перекрытия, как в
K.2.5, но ниже плиты, так что присутствует линейное теплопроводное включение (через край этой плиты, см.
рисунок M.4). Численный расчет двухмерного температурного поля используется для определения удельного потока тепла через линейный элемент.
Как в
K.2.5,
U0 = 0,27 Вт/(м
2·°C).
В рассматриваемом случае в качестве результата численного расчета применяется следующее значение:

.
Исходя из допустимой скорости потерь тепла для линейного теплопроводного включения:
Hg = 0,27·72 + 0,07·38 = 22,1 Вт/°C.
Рисунок K.4 - Мостик холода на краю перекрытия
K.3 Пример 3. Перекрытие без промежуточных опор
K.3.1 Обмеры
| | ИС МЕГАНОРМ: примечание. В официальном тексте документа, видимо, допущена опечатка: рисунок M.5 отсутствует. Возможно, имеется в виду рисунок K.5. | |
Рисунок M.5 показывает прямоугольное перекрытие без промежуточных опор размерами 10,5 м x 7,2 м. Местоположение относится к средней незащищенности от внешнего влияния. Проектная скорость ветра 4,0 м/с; вентиляционное отверстие в стене пространства под перекрытием составляет 0,002 м
2/м. Высота перекрытия над уровнем земли равна 0,3 м; толщина стены - 0,3 м; категория грунта - 1.
P = 35,4 м; A = 75,6 м2; B' = 4,271 м.
Рисунок K.5 - Размеры перекрытия без промежуточных опор
Перекрытие без промежуточных опор является неизолированным [Uf = 2,0 Вт/(м2·°C)] и стены пространства под перекрытием не имеют изоляции [UW = 1,7 Вт/(м2·°C)].
Ug вычисляют с использованием общей эквивалентной толщины для грунтового основания пространства под перекрытием (которое является неизолированным: Rg = 0);
dg = 0,3 + 1,5(0,17 + 0 + 0,04) = 0,615 м;

;

.
Таким образом,

.
K.3.3 Изоляция стен пространства под перекрытием
Стены пространства под перекрытием изолированы, т.е.
Uw = 0,5 Вт/(м2·°C);

;

.
K.3.4 Изоляция перекрытия без промежуточных опор
Перекрытие без промежуточных опор изолировано, т.е.:
Uf = 0,5 Вт/(м2·°C);
| | ИС МЕГАНОРМ: примечание. В официальном тексте документа, видимо, допущена опечатка: пункт M.3.2 отсутствует. Возможно, имеется в виду пункт К.3.2. | |
Ux = 0,375 Вт/(м
2·°C), как в
M.3.2;

.
K.4 Пример 4. Отапливаемый подвал
Подвал имеет площадь пола 10 м на 7,5 м и глубину 2,5 м ниже уровня земли. Категория грунта - 2. Толщина стены на уровне земли 0,3 м. Пол подвала не изолирован; стены подвала состоят из 300 мм кирпичной кладки [теплопроводность 1,7 Вт/(м·°C)] и 50 мм изоляции теплопроводностью 0,035 Вт/(м·°C).
P = 35 м; A = 75 м2; B' = 4,286 м; z = 2,5 м;
Rf = 0; Rw = 0,05/0,035 + 0,3/1,7 = 1,605 м2·°C/Вт;
dt = 0,3 + 2,0(0,17 + 0 + 0,04) = 0,72 м;
dw = 2,0(0,13 + 1,605+ 0,04) = 3,350 м;
dt + 0,5z = 0,66 + 1,25 = 1,91.
Это меньше, чем B', поэтому

;

;
Hg = AUbf + zPUbw = 75·0,533 + 2,5·35·0,302 = 66,4 Вт/°C;
U' = 66,4/(75 + 2,5·35) = 0,41 Вт/(м2·°C).
K.5 Пример 5. Расход тепла за месяц
| | ИС МЕГАНОРМ: примечание. В официальном тексте документа, видимо, допущена опечатка: таблица M.1 отсутствует. Возможно, имеется в виду таблица K.1. | |
Для здания 1 в
примере 1 принимают изоляцию, сопротивление теплопередаче 1,25 м
2·°C/Вт по всему перекрытию. Средняя месячная наружная температура такая, как задано в таблице M.1.
Таблица K.1
Средняя месячная наружная температура
Месяц | Янв. | Фев. | Март | Апр. | Май | Июнь | Июль | Авг. | Сен. | Окт. | Нояб. | Дек. |
Температура, °C | 1,3 | 1,8 | 3,7 | 7,6 | 10,3 | 13,5 | 15,4 | 14,2 | 10,4 | 7,3 | 5,9 | 4,3 |
Существуют менее точные данные о внутренней температуре: расчетные оценки составляют 15 °C в январе и 19 °C в июле.
Годовые средние температуры:
- внутренняя -

;
- наружная (сумма упомянутых выше месячных значений, деленная на 12) -

.
Амплитуды температуры:
- внутренняя -

;
- наружная -

.
P = 19 м;
A = 42 м
2;
B' = 4,421 м;

;
dt = 2,49 м;
U0 = 0,345 Вт/(м2·°C); Hg = 14,49 Вт/°C.

;

.
| | ИС МЕГАНОРМ: примечание. В официальном тексте документа, видимо, допущена опечатка: таблица M.2 отсутствует. Возможно, имеется в виду таблица K.2. | |
Принимая
z = 1,

,

, можно получить расход тепла для каждого месяца (см.
таблицу M.2):
Таблица K.2
Месяц | Янв. | Фев. | Март | Апр. | Май | Июнь | Июль | Авг. | Сен. | Окт. | Ноябрь | Дек. |
Расход тепла, Вт | 138 | 149 | 155 | 154 | 148 | 136 | 124 | 113 | 107 | 107 | 114 | 125 |
Если отопительный сезон длится с начала сентября и до конца мая (девять месяцев), то средний расход тепла в течение этого периода по данным
таблицы K.2 составляет 133 Вт.
| | ИС МЕГАНОРМ: примечание. В официальном тексте документа, видимо, допущена опечатка: таблица M.3 отсутствует. Возможно, имеется в виду таблица K.3. | |
Альтернативно, используя
уравнения (A.4) и
(A.5), т.е. игнорируя разность фаз, средний расход тепла за отопительный сезон определяют по уравнению (см.
таблицу M.3):

.
Если внутренняя температура является постоянной и равна 20 °C:

.
Таблица K.3
Расход тепла за месяц без учета разности фаз
Месяц | Янв. | Фев. | Март | Апр. | Май | Июнь | Июль | Авг. | Сен. | Окт. | Ноябрь | Дек. |
Расход тепла, Вт | 215 | 221 | 215 | 198 | 174 | 151 | 133 | 127 | 133 | 151 | 174 | 198 |
Средний тепловой поток по
таблице K.3 (сентябрь - май) равен 187 Вт.
Разность фаз оказывает слабое влияние на средний расход тепла за отопительный сезон.
(справочное)
СВЕДЕНИЯ О СООТВЕТСТВИИ ССЫЛОЧНЫХ МЕЖДУНАРОДНЫХ СТАНДАРТОВ
НАЦИОНАЛЬНЫМ СТАНДАРТАМ РОССИЙСКОЙ ФЕДЕРАЦИИ
Таблица ДА.1
Обозначение ссылочного международного стандарта | Степень соответствия | Обозначение и наименование соответствующего национального стандарта |
| | ИС МЕГАНОРМ: примечание. В официальном тексте документа, видимо, допущена опечатка: стандарт имеет номер ГОСТ Р 57356-2016, а не ГОСТ Р ИСО 6946-2016. | |
|
ISO 6946:2007 | IDT | ГОСТ Р ИСО 6946-2016 "Конструкции ограждающие строительные и их элементы. Метод расчета сопротивления теплопередаче и коэффициента теплопередачи" |
| | ИС МЕГАНОРМ: примечание. В официальном тексте документа, видимо, допущена опечатка: стандарт имеет номер ГОСТ Р 55655-2013, а не ГОСТ Р 55635-2013. | |
|
ISO 7345:1987 | MOD | ГОСТ Р 55635-2013 (ИСО 7345:1987) "Тепловая изоляция. Физические величины и определения" |
ISO 13789:2007 | - | |
ISO 14683:2007 | NEQ | ГОСТ Р 54851-2011 "Конструкции ограждающие строительные неоднородные. Расчет приведенного сопротивления теплопередаче" |
<*> Соответствующий национальный стандарт отсутствует. До его принятия рекомендуется использовать перевод на русский язык данного международного стандарта. Примечание - В настоящей таблице использованы следующие условные обозначения степени соответствия стандартов: - IDT - идентичные стандарты; - MOD - модифицированные стандарты; - NEQ - неэквивалентные стандарты. |