Главная // Актуальные документы // ГОСТ Р (Государственный стандарт)СПРАВКА
Источник публикации
М.: Стандартинформ, 2016
Примечание к документу
Документ
введен в действие с 1 декабря 2016 года.
Название документа
"ГОСТ Р 56638-2015. Национальный стандарт Российской Федерации. Чистые помещения. Вентиляция и кондиционирование воздуха. Общие требования"
(утв. и введен в действие Приказом Росстандарта от 13.10.2015 N 1558-ст)
"ГОСТ Р 56638-2015. Национальный стандарт Российской Федерации. Чистые помещения. Вентиляция и кондиционирование воздуха. Общие требования"
(утв. и введен в действие Приказом Росстандарта от 13.10.2015 N 1558-ст)
Утвержден и введен в действие
агентства по техническому
регулированию и метрологии
от 13 октября 2015 г. N 1558-ст
НАЦИОНАЛЬНЫЙ СТАНДАРТ РОССИЙСКОЙ ФЕДЕРАЦИИ
ЧИСТЫЕ ПОМЕЩЕНИЯ
ВЕНТИЛЯЦИЯ И КОНДИЦИОНИРОВАНИЕ ВОЗДУХА.
ОБЩИЕ ТРЕБОВАНИЯ
Clean rooms. Ventilation and air conditioning.
General requirements
ГОСТ Р 56638-2015
94 1000
Дата введения
1 декабря 2016 года
1 РАЗРАБОТАН Обществом с ограниченной ответственностью "Инвар-проект" (ООО "Инвар-проект") при участии Открытого акционерного общества Научно-исследовательский центр контроля и диагностики технических систем (АО НИЦКД)
2 ВНЕСЕН Техническим комитетом по стандартизации ТК 184 "Обеспечение промышленной чистоты"
3 УТВЕРЖДЕН И ВВЕДЕН В ДЕЙСТВИЕ
Приказом Федерального агентства по техническому регулированию и метрологии от 13 октября 2015 г. N 1558-ст
4 ВВЕДЕН ВПЕРВЫЕ
Правила применения настоящего стандарта установлены в ГОСТ Р 1.0-2012
(раздел 8). Информация об изменениях к настоящему стандарту публикуется в ежегодном (по состоянию на 1 января текущего года) информационном указателе "Национальные стандарты", а официальный текст изменений и поправок - в ежемесячном информационном указателе "Национальные стандарты". В случае пересмотра (замены) или отмены настоящего стандарта соответствующее уведомление будет опубликовано в ближайшем выпуске ежемесячного информационного указателя "Национальные стандарты". Соответствующая информация, уведомление и тексты размещаются также в информационной системе общего пользования - на официальном сайте Федерального агентства по техническому регулированию и метрологии в сети Интернет (www.gost.ru)
Чистые помещения широко применяются в электронной, приборостроительной, фармацевтической, пищевой и других отраслях промышленности, в производстве медицинских изделий, в больницах и т.д. Они стали неотъемлемой частью многих современных процессов и средством защиты человека, материалов и продукции от загрязнений.
К настоящему времени действует комплекс стандартов ИСО 14644 (ГОСТ Р ИСО 14644), которые устанавливают классификацию чистых помещений, требования к мониторингу, методам испытаний, проектированию, эксплуатации и др.
Ряд нормативных документов устанавливает требования к системам вентиляции и кондиционирования общего назначения без учета специфики чистых помещений. В то же время чистые помещения требуют особого подхода, поскольку они требуют использования высокоэффективных фильтров очистки воздуха EPA, HEPA и ULPA, высокой кратности воздухообмена, поддержания перепадов давления воздуха между помещениями и пр.
Эти факторы, а также рост объемов строительства чистых помещений обусловливают необходимость разработки специального стандарта по системам вентиляции и кондиционирования в чистых помещениях.
Цель настоящего стандарта - дать общие требования к системам вентиляции и кондиционирования чистых помещений, которые позволят задать требования к этим системам, разработать соответствующие разделы проекта, выполнить монтаж и испытания чистых помещений и затем эксплуатировать их.
Настоящий стандарт устанавливает требования к системам вентиляции и кондиционирования чистых помещений и чистых зон.
В стандарте не рассматриваются требования к системам вентиляции и кондиционирования общего назначения (не связанные с чистыми помещениями), установленные строительными и другими стандартами, нормами и правилами.
Стандарт не устанавливает специальные требования, определяемые технологией производства конкретных видов продукции, особенностями обращения с опасными материалами и отходами (токсичными, радиоактивными, содержащими патогенные микроорганизмы и пр.), а также требованиями безопасности труда, на которые распространяются другие нормативные документы.
В настоящем стандарте использованы нормативные ссылки на следующие документы:
ГОСТ Р ЕН 13779-2007 Вентиляция в нежилых зданиях. Технические требования к системам вентиляции и кондиционирования
ГОСТ Р ИСО 14644-4-2002 Чистые помещения и связанные с ними контролируемые среды. Часть 4. Проектирование, строительство и ввод в эксплуатацию
ГОСТ Р ЕН 779-2014 Фильтры очистки воздуха общего назначения. Определение технических характеристик
ГОСТ Р ЕН 1822-1-2010 Высокоэффективные фильтры очистки воздуха EPA, HEPA и ULPA. Часть 1. Классификация, методы испытаний, маркировка
СП 60.13330.2012 Отопление, вентиляция и кондиционирование воздуха. Актуализированная редакция СНиП 41-01-2003
Примечание - При пользовании настоящим стандартом целесообразно проверить действие ссылочных документов в информационной системе общего пользования - на официальном сайте Федерального агентства по техническому регулированию и метрологии в сети Интернет или по ежегодному информационному указателю "Национальные стандарты", который опубликован по состоянию на 1 января текущего года, и по выпускам ежемесячного информационного указателя "Национальные стандарты" за текущий год. Если заменен ссылочный документ, на который дана недатированная ссылка, то рекомендуется использовать действующую версию этого документа с учетом всех внесенных в данную версию изменений. Если заменен ссылочный документ, на который дана датированная ссылка, то рекомендуется использовать версию этого документа с указанным выше годом утверждения (принятия). Если после утверждения настоящего стандарта в ссылочный документ, на который дана датированная ссылка, внесено изменение, затрагивающее положение, на которое дана ссылка, то это положение рекомендуется применять без учета данного изменения. Если ссылочный документ отменен без замены, то положение, в котором дана ссылка на него, рекомендуется применять в части, не затрагивающей эту ссылку.
В настоящем стандарте использованы следующие термины с соответствующими определениями:
3.1
чистое помещение: Помещение, в котором контролируется концентрация взвешенных в воздухе частиц, построенное и используемое так, чтобы свести к минимуму поступление, выделение и удержание частиц внутри помещения, и позволяющее, по мере необходимости, контролировать другие параметры, например, температуру, влажность и давление. |
3.2
чистая зона: Пространство, в котором контролируется концентрация взвешенных в воздухе частиц, построенное и используемое так, чтобы свести к минимуму поступление, выделение и удержание частиц внутри зоны, и позволяющее, по мере необходимости, контролировать другие параметры, например, температуру, влажность и давление. Примечание - Чистая зона может быть открытой или замкнутой и находиться как внутри, так и вне чистого помещения. |
3.3 состояния чистого помещения
3.3.1
построенное: Состояние, в котором монтаж чистого помещения завершен, все обслуживающие системы подключены, но отсутствует производственное оборудование, материалы и персонал. |
3.3.2
оснащенное: Состояние, в котором чистое помещение укомплектовано оборудованием и действует по соглашению между заказчиком и исполнителем, но персонал отсутствует. |
3.3.3
эксплуатируемое: Состояние, в котором чистое помещение функционирует установленным образом с установленной численностью персонала, работающего в соответствии с документацией.
3.4
однонаправленный поток воздуха: Контролируемый поток воздуха с постоянной скоростью и примерно параллельными линиями тока по всему поперечному сечению чистой зоны. Примечание - Поток воздуха такого типа непосредственно уносит частицы из чистой зоны. |
3.5
неоднонаправленный поток воздуха: Распределение воздуха, при котором поступающий в чистую зону воздух смешивается с внутренним воздухом посредством подачи струи приточного воздуха. |
3.6 рекуперация тепла: повторное использование тепла воздуха, удаляемого из помещений (здания).
3.7 рециркуляция воздуха: Повторная подача части вытяжного воздуха в помещение (систему помещений) после фильтрации.
3.8 виды потоков воздуха в системе вентиляции и кондиционирования
3.8.1 приточный воздух, Lп: Воздух, подаваемый в помещение системой вентиляции и кондиционирования.
3.8.2 наружный воздух, Lн: Атмосферный воздух, поступающий в систему вентиляции и кондиционирования для подачи в обслуживаемое помещение.
3.8.3 вытяжной воздух, Lв: Воздух, выходящий из помещения через систему принудительной вентиляции.
3.8.4 удаляемый воздух, Lу: Часть вытяжного воздуха, удаляемая в атмосферу.
3.8.5 рециркуляционный воздух, Lр: Часть вытяжного воздуха, повторно поступающая в систему вентиляции и кондиционирования.
Примечание - К рециркуляционному воздуху может добавляться наружный воздух. При рециркуляции часть вытяжного воздуха после фильтрации может возвращаться в то же помещение (местная рециркуляция) или распределяться по нескольким помещениям.
3.9 инфильтрация воздуха, Lи: Поступление воздуха в помещение извне из-за неплотностей в ограждающих конструкциях.
3.10 эксфильтрация воздуха, Lэ: Утечка воздуха за пределы помещения из-за неплотностей в ограждающих конструкциях помещения.
3.11
утечка: Непредусмотренный поток воздуха через неплотности в конструкции. |
3.12
класс чистоты: Уровень чистоты по взвешенным в воздухе частицам, применимый к чистому помещению или чистой зоне, выраженный в терминах "Класс N ИСО", который определяет максимально допустимые концентрации (частиц/м3) для заданных диапазонов размеров частиц. |
3.13
время восстановления: Время снижения концентрации частиц в помещении в 100 раз по сравнению с начальной, достаточно большой концентрацией частиц. Примечание - Методика определения времени восстановления приведена в ГОСТ Р ИСО 14644-3 (B.12.3). |
3.14
кратность воздухообмена N: Отношение расхода воздуха L (м3/ч) к объему помещения V (м3), N = L/V, ч-1. |
3.15
расход воздуха L: Количество воздуха, подаваемого в помещение в час, м3/ч. |
3.16
эффективность вентиляции  : Эффективность вентиляции характеризует связь между концентрацией загрязнений в приточном воздухе, вытяжном воздухе и в зоне дыхания (внутри эксплуатируемой зоны). Эффективность вентиляции  вычисляется по формуле  (1) где CEHA - концентрация загрязнений в вытяжном воздухе; CIDA - концентрация загрязнений внутри помещения (в зоне дыхания в пределах эксплуатируемой зоны); CSUP - концентрация загрязнений в приточном воздухе. Эффективность вентиляции зависит от распределения воздуха, а также от вида и места нахождения источников загрязнения воздуха. Она может быть разной для различных видов загрязнений. Если происходит полное удаление загрязнений, то эффективность вентиляции равна единице. Более подробно понятие "эффективность вентиляции" рассмотрено в CR 1752. Примечание - Для обозначения данного понятия также широко используется термин "эффективность удаления загрязнений". |
4. Требования к системам вентиляции и кондиционирования
Системы вентиляции и кондиционирования воздуха в чистых помещениях выполняют (
приложения A и
B):
- подачу требуемого количества наружного воздуха по санитарным нормам для дыхания человека;
- удаление вредных веществ;
- обеспечение требуемых параметров микроклимата;
- поддержание положительного или отрицательного давления воздуха в помещении;
- обеспечение заданной чистоты воздуха (класса чистоты).
Специфическими функциями чистых помещений, определяющими особенности построения систем вентиляции и кондиционирования, являются обеспечение заданной чистоты воздуха (класса чистого помещения или чистой зоны), поддержание перепада давления воздуха и заданного времени восстановления (при необходимости).
Системы вентиляции и кондиционирования чистых помещений должны обеспечивать:
- подачу требуемого количества наружного воздуха по санитарным нормам;
- удаление вредных веществ, выделяемых в воздух помещения (местные вытяжки);
- поддержание перепадов давления воздуха;
- поддержание заданных параметров микроклимата (температура и влажность воздуха) и удаление избытков тепла;
- поддержание заданного класса чистоты.
При проектировании следует оценить требуемый расход воздуха (кратность воздухообмена) для каждого из этих факторов. Проектная кратность воздухообмена для каждого помещения выбирается по наихудшему (наибольшему) значению.
Если какой-либо фактор требует большей кратности воздухообмена, чем обеспечение чистоты воздуха, то следует принять меры, позволяющие снизить необходимую кратность для этого фактора.
Примечания
1 На рисунке 1 штриховыми линиями показаны кратности, превышающие значение для обеспечения чистоты. Если это имеет место для местных вытяжек (местных отсосов), то следует рассмотреть целесообразность применения закрытых систем или иных решений для уменьшения объема вытяжного воздуха.
2 Значительные избытки теплоты и влаги, которые приводят к превышению расхода приточного воздуха по сравнению с необходимым для поддержания заданного класса чистоты, следует удалять местными средствами, встроенными в оборудование, а не за счет системы вентиляции и кондиционирования.
| | ИС МЕГАНОРМ: примечание. В официальном тексте документа, видимо, допущена опечатка: имеется в виду ГОСТ Р 56190-2014, а не ГОСТ Р 561904. | |
При проектировании, испытаниях и эксплуатации систем вентиляции и кондиционирования следует принимать меры по экономии энергии по
ГОСТ Р 561904, учитывая высокий расход воздуха в чистых помещениях.
4.2. Минимальный расход наружного воздуха для дыхания людей
В каждое помещение с постоянным пребыванием персонала (более двух часов) должно подаваться достаточное количество наружного воздуха, не ниже установленного строительными и санитарными нормами.
4.3. Удаление вредных веществ
4.3.1 Для удаления содержащихся в воздухе вредных веществ предусматриваются местные вытяжки (местные отсосы).
4.3.2 Для компенсации работы вытяжных установок следует предусмотреть необходимый расход приточного воздуха, который должен быть не менее суммарного расхода воздуха от всех вытяжных установок, если допускается их одновременная работа, либо суммарного расхода воздуха при работе вытяжных установок с наибольшим расходом воздуха.
4.3.3 Кратность воздухообмена, необходимая для компенсации вытяжек, определяется как частное от деления суммарного расхода вытяжного воздуха для данного помещения на объем помещения.
4.3.4 Удаление воздуха из помещения должно компенсироваться поступлением приточного воздуха.
4.4. Обеспечение микроклимата
4.4.1 Следует предусмотреть регулирование температуры и влажности воздуха (при необходимости) с учетом избытков теплоты и влаги, которые выделяются технологическим оборудованием и персоналом.
4.4.2 Параметры микроклимата задаются санитарными нормами и требованиями технологического процесса. При расчете системы вентиляции и кондиционирования воздуха следует учитывать требования экономии энергии. Не допускается устанавливать необоснованно жесткие требования к пределам регулирования температуры и влажности воздуха внутри чистых помещений сверх требований нормативных документов и технологического процесса.
4.4.3 Отдельные технологические процессы (например, фотолитография в производстве микросхем) предъявляют жесткие требования к температуре и влажности воздуха и допустимым пределам их изменения. Жесткие требования к верхнему и/или нижнему пределам регулирования параметров микроклимата предъявляются и к работе с порошками и капсулами в производстве лекарственных средств, что помимо регулирования температуры требует осушения или увлажнения воздуха.
4.5. Обеспечение перепадов давления воздуха
4.5.1 Перепад давления между различными помещениями вызывает эксфильтрацию (утечку) воздуха из помещения через щели в притворах дверей и разного рода неплотности. Величина утечки должна быть рассчитана для каждого помещения и учтена в балансе воздухообмена.
4.5.2 Утечка воздуха должна быть компенсирована равным количеством приточного воздуха. В балансе воздухообмена должна учитываться и инфильтрация воздуха, т.е. поступление воздуха из соседних помещений.
Количество воздуха Lg, проходящего через дверную щель (м3/ч), определяется по формуле

(2)
где Fg - площадь щели, м2;

- перепад давления, Па;

- коэффициент местного сопротивления дверных щелей;
3600 - число секунд в одном часе.
4.6. Обеспечение заданной чистоты воздуха
4.6.1. Однонаправленный поток
Однонаправленный поток воздуха создается, как правило, в автономных зонах, работающих по принципу рециркуляции воздуха. Рециркуляция воздуха может быть организована как внутри самого помещения (местная рециркуляция), так и с помощью вентиляционной установки за пределами помещения.
Основными параметрами зоны с однонаправленным потоком воздуха являются:
- направление потока (вертикальный или горизонтальный);
- скорость потока воздуха;
- класс чистоты (5 ИСО в эксплуатируемом состоянии, 4 ИСО - 1 ИСО);
- тип фильтров;
- размеры зоны;
Примечание - Технические решения по обеспечению класса 5 ИСО зависят от состояния чистого помещения (чистой зоны), для которых класс чистоты задан:
- в оснащенном состоянии класс 5 ИСО может быть обеспечен неоднонаправленным потоком воздуха (примером служат зоны B по
ГОСТ Р 52249);
- в эксплуатируемом состоянии для обеспечения класса 5 ИСО однонаправленный поток обязателен.
Не допускается нахождение какого-либо предмета между источником воздуха (фильтром) и рабочей поверхностью во время использования зоны по назначению. Это следует иметь в виду при выборе направления потока воздуха, расстояния между фильтрами и рабочей поверхностью и при организации рабочего места.
Расстояние между фильтрами и рабочей поверхностью не должно быть необоснованно большим.
Там, где это возможно, предусматриваются гибкие занавеси или щитки, ограничивающие зону и начинающиеся от границы фильтров.
Высота проема от пола до нижней кромки занавеси (щитка) должна быть такой, чтобы скорость потока воздуха в проеме была более 0,2 м/с
(ГОСТ Р ИСО 14644-4).
Примечание - Это требование не всегда выполнимо по условиям применения (технологии) зоны с однонаправленным потоком, например, операционных.
4.6.2. Неоднонаправленный поток
Класс чистоты обеспечивается за счет:
- многоступенчатой фильтрации воздуха;
- выбора фильтров соответствующих классов (таблица 1);
- кратности воздухообмена.
Таблица 1
Рекомендуемые классы фильтров для различных классов
чистоты и ступеней фильтрации
Класс чистоты | | Классы фильтров |
4 ИСО | О | |
5 ИСО (эксплуатируемое состояние) | О | |
5 ИСО (оснащенное состояние) | О и Н | F7 + F9 + H14 |
6 ИСО | Н | F7 + F9 + H13 |
7 ИСО | Н | F7 + F9 + E12 |
8 ИСО | Н | F7 + F9 + E11 |
<*> Н - неоднонаправленный поток воздуха; О - однонаправленный поток воздуха. <**> Чистые зоны классов 4 ИСО и 5 ИСО могут выполняться в виде автономных установок с финишными фильтрами U15 и H14 соответственно. Примечание - Чистые зоны классов 1 ИСО - 3 ИСО устанавливаются, как правило, в чистых помещениях и воздух в них попадает через фильтры, встроенные в оборудование и чистую зону (U16 для 3 ИСО, U17 для 1 ИСО и 2 ИСО). |
Кратность воздухообмена задает расход воздуха для чистых помещений классов 6 ИСО - 9 ИСО и класса 5 ИСО (оснащенное состояние). Существует два подхода к определению кратности воздухообмена для обеспечения чистоты:
- применение рекомендаций, стандартов и правил;
- расчетный метод.
Методы расчета кратности воздухообмена (расхода воздуха) для обеспечения заданной чистоты воздуха приведены в
приложении C.
4.6.3. Выбор фильтров очистки воздуха
Для чистых помещений предусматривается многоступенчатая фильтрация воздуха.
Рекомендуемые классы фильтров для различных классов чистоты и ступеней фильтрации показаны в
таблице 1.
Для увеличения срока службы фильтров тонкой очистки (класс F), защиты от насекомых и в других случаях рекомендуется устанавливать на входе кондиционера фильтры классов М5 или М6.
Последний (финишный) фильтр устанавливается, как правило, в потолке (стене), образующем контур чистого помещения. Для областей применения, требующих контроля микробиологической чистоты воздуха (производство лекарственных средств, лечебные учреждения, контрольные лаборатории и др.), это требование является обязательным.
При установке финишных фильтров на входе камеры статического давления, выходе кондиционера и других местах воздуховод до контура чистого помещения или камера статического давления должны быть выполнены из материала, не выделяющего частиц, например, нержавеющей стали.
4.7. Принципиальная схема вентиляции и кондиционирования
Принципиальная схема вентиляции и кондиционирования воздуха
(приложение B) включает:
- схематичное представление помещений с нанесением основных воздуховодов в одну линию;
- схемы кондиционеров и вытяжных установок с указанием подводимых сред и их основных параметров;
- температуру и влажность с указанием помещения, по которому они регулируются;
- значения расходов воздуха (наружный, приточный, вытяжной, удаляемый, рециркуляционный), а также расходов воздуха за счет инфильтрации и эксфильтрации;
- классы чистоты помещений;
- перепады давления;
- фильтры очистки воздуха с указанием типов;
- клапаны регулирования давления и противопожарные, устанавливаемые в воздуховодах;
- другую необходимую информацию.
В принципиальной схеме расходы воздуха должны соответствовать
таблице балансов воздухообмена.
4.8. Баланс воздухообмена
Для каждого помещения должен быть обеспечен баланс воздухообмена, т.е. равенство приточного воздуха (с учетом инфильтрации) и воздуха, удаляемого из помещения (местная и общеобменная вытяжка, эксфильтрация воздуха). Результаты расчетов оформляют в виде таблицы и наносят на принципиальную схему вентиляции и кондиционирования воздуха
(приложение B).
Указанные выше типы потоков воздуха следует определять для каждого помещения и системы в целом. На основе этого рассчитывается баланс воздухообмена, результаты которого оформляются в виде таблицы и наносятся на принципиальную схему вентиляции и кондиционирования воздуха
(приложение A).
Регулирование баланса воздухообмена осуществляется с помощью клапанов (регуляторов потока воздуха), устанавливаемых на притоке и/или вытяжке.
4.9. Расчет расходов воздуха в чистых помещениях
4.9.1. Расчет расхода наружного воздуха
Расход наружного воздуха рассчитывается из необходимости:
- выполнения санитарно-гигиенических норм;
- компенсации удаляемого воздуха (как из отдельных помещений за счет работы вытяжных установок, так и удаляемого через систему кондиционирования);
- компенсации утечек из-за разности давления в чистых помещениях и окружающей среде.
Расход наружного воздуха для всей системы вентиляции равен сумме расходов воздуха для каждого помещения. Расход воздуха для отдельного помещения равен сумме объемов воздуха, удаляемого местными вытяжными установками и потерь из-за утечек.
4.9.2. Расчет приточного воздуха для каждого помещения
Приточный воздух выполняет следующие функции:
- обеспечение требуемого класса чистоты;
- обеспечение требований по микробиологической чистоте воздуха там, где они предъявляются;
- подачу требуемого количества наружного воздуха;
- удаление избытков теплоты и влаги и поддержание требуемых параметров микроклимата в помещении;
- компенсацию утечек воздуха из-за перепадов давления.
При определении расхода приточного воздуха (кратности воздухообмена) следует учесть:
- время восстановления класса чистоты после внесения загрязнений в чистое помещение (если требуется);
- параметры микроклимата (температуру и относительную влажность воздуха, скорость движения воздуха);
- требуемый расход наружного воздуха по санитарно-гигиеническим нормам;
- удаление вредных веществ, образующихся в ходе технологического процесса;
- требуемую скорость воздушного потока в зонах с однонаправленным потоком воздуха (в случае, если он решается за счет системы вентиляции, а не при помощи автономных установок).
Эти требования должны выполняться для каждого чистого помещения.
5. Основные типы систем вентиляции и кондиционирования
5.1 Реализация требований к системам вентиляции и кондиционирования может быть выполнена разными средствами исходя из назначения чистого помещения и условий экономии энергии.
5.2 В чистых помещениях могут применяться следующие типы систем вентиляции и кондиционирования:
- прямоточная;
- прямоточная с рекуперацией тепла;
- с рециркуляцией воздуха;
- двухуровневая;
- с локальными зонами.
Исходя из конкретных условий, могут применяться и другие системы с учетом капитальных и эксплуатационных затрат.
Локальные установки очистки воздуха могут размещаться как в самом помещении, так и за его пределами. В состав локальной установки, как правило, входят вентилятор, HEPA (EPA или ULPA) фильтры. При необходимости предусматриваются фильтры для удаления запахов и химические фильтры.
Наиболее распространенные схемы вентиляции и кондиционирования приведены в
приложении A.
6. Проектирование систем вентиляции и кондиционирования
Задание на проектирование и задание, выдаваемое разработчиком технологического раздела проекта, должны содержать основные исходные данные для разработки проекта системы вентиляции и кондиционирования воздуха чистых помещений:
а) планы и разрезы помещений и здания с нанесением локальных чистых зон;
в) категории помещений по взрывопожароопасности;
г) выделение вредных веществ;
д) выделение тепла и влаги от оборудования;
е) численность персонала;
ж) характеристика климата района строительства;
и) назначение чистых помещений и/или чистых зон, исходя из того, что требуется защищать:
- процесс,
- человека и окружающую среду от процесса,
- и то, и другое.
Данные о назначении чистого помещения необходимы для правильной организации перепадов давления (положительное, отрицательное) и направления движения воздушных потоков.
6.2. Этапы проектирования
6.2.1. Принципиальные решения
Принципиальные решения (концепция проекта, предпроектная документация) разрабатываются в сложных случаях, в частности:
- если предусмотрена разработка принципиальных технологических решений до разработки проектной документации;
- когда структура системы не очевидна и требуется разработка различных вариантов, например, оценка целесообразности применения открытых или закрытых (изолирующих) технологий;
- когда трудозатраты на разработку проектной документации велики (большие и/или сложные объекты) и возможны экономия времени и средств путем выделения этапа разработки принципиальных решений и согласования их с заказчиком.
6.2.2. Проектная документация (стадия П)
В состав документации входят пояснительная записка и графические материалы.
Пояснительная записка включает в себя:
- исходные данные;
- данные об источниках и носителях теплоснабжения, холодоснабжения, пара;
- описание систем отопления;
- описание систем вентиляции и кондиционирования с указанием типов фильтров, перепадов давления, изоляции воздуховодов и других характеристик;
- данные о расходах электроэнергии, тепла, холода и пара в зимний и летний периоды;
- данные о резервировании оборудования;
- обоснование кратностей воздухообмена;
- i-d диаграммы температуры и влагосодержания воздуха;
- описание систем дымоудаления;
- требования к автоматизации вентиляции и кондиционирования;
- описание воздушно-тепловых завес (при необходимости);
- мероприятия по технике безопасности и охране труда;
- мероприятия по энергосбережению;
- другие материалы.
Графические материалы включают в себя:
- принципиальные схемы и характеристику систем вентиляции и кондиционирования;
- принципиальные схемы и характеристику систем отопления;
- принципиальные схемы и характеристику систем холодоснабжения;
- принципиальные схемы и характеристику дымоудаления;
- таблицы местных вытяжек (местных отсосов);
- планы помещений с указанием перепадов давления и/или перетоков воздуха;
- спецификация основного оборудования вентиляции и кондиционирования;
- другие материалы.
Последовательность разработки проектных решений по вентиляции и кондиционированию показана в
приложении B.
6.2.3. Рабочая документация
В состав рабочей документации входят:
- общие данные;
- принципиальные схемы вентиляции и кондиционирования;
- планы помещений с нанесением воздуховодов, клапанов, зонтов, канальных фильтров и другого оборудования; указываются сечения воздуховодов;
- планы вентиляционных камер с нанесением кондиционеров, вытяжных установок и другого оборудования;
- планы кровли (при необходимости);
- аксонометрические схемы для всех приточных и вытяжных систем;
- схемы дымоудаления;
- спецификации оборудования;
- другие материалы исходя из особенностей объекта.
Данный перечень документов в проекте не является исчерпывающим.
7. Требования к материалам воздуховодов
Воздуховоды за пределами чистых помещений должны быть выполнены из коррозионно-стойких и не отслаивающихся материалов. Самым распространенным материалом для воздуховодов является сталь горячего цинкования. Толщина цинкового покрытия должна составлять не менее 40 мкм.
Материал вытяжных воздуховодов должен быть стойким к воздействию агрессивных веществ, содержащихся в вытяжном воздухе (при их наличии).
(справочное)
СХЕМЫ ВЕНТИЛЯЦИИ И КОНДИЦИОНИРОВАНИЯ ВОЗДУХА
A.1 Прямоточная система
Простейшей схемой вентиляции и кондиционирования воздуха является прямоточная система, когда в помещение подается 100% наружного воздуха (рисунок A.1).
где

i - номер помещения.
Рисунок A.1 - Прямоточная система
вентиляции и кондиционирования
Эта система неэкономична, поскольку весь поступающий в помещение воздух проходит весь цикл подготовки - от параметров наружного воздуха до требуемых параметров воздуха чистого помещения. Для этой системы характерны высокие показатели энергозатрат и сниженный срок службы фильтров.
A.2 Системы с рекуперацией тепла
В определенной степени улучшить показатели этой системы позволяет рекуперация тепла (рисунок A.2).
где

i - номер помещения.
Рисунок A.2 - Прямоточная система вентиляции
и кондиционирования с рекуперацией тепла
Прямоточные системы ввиду их неэкономичности применяются только там, где они необходимы и где недопустима рециркуляция воздуха (работа с вредными веществами, опасными патогенными микроорганизмами и пр.).
A.3 Система с рециркуляцией воздуха
Там, где это возможно, применяются системы с рециркуляцией, что позволяет снизить энергозатраты в несколько раз по сравнению с прямоточными системами (рисунок A.3).
где


- расход воздуха местной вытяжной установки из
i-го помещения;

- расход воздуха, подаваемого в кондиционер из
i-го помещения.
Рисунок A.3 - Одноуровневая система вентиляции
и кондиционирования с рециркуляцией
A.4 Двухуровневая система
В условиях холодной зимы или жаркого лета, а также при обслуживании чистых помещений несколькими кондиционерами применяется двухуровневая система. В ней наружный воздух готовится до определенных параметров в отдельном (центральном) кондиционере, а затем подается в рециркуляционные кондиционеры (рисунок A.4).
Рисунок A.4 - Двухуровневая система
вентиляции и кондиционирования
A.5 Местная рециркуляция воздуха
Для создания локальных зон с повышенной чистотой, в том числе зон с однонаправленным потоком (операционные и другие критические зоны) используются фильтровентиляционные модули или рециркуляционные установки (рисунок A.5).
Рисунок A.5 - Система вентиляции и кондиционирования
с местной рециркуляцией воздуха
(справочное)
ПОСЛЕДОВАТЕЛЬНОСТЬ РАЗРАБОТКИ ПРОЕКТНЫХ РЕШЕНИЙ
ПО ВЕНТИЛЯЦИИ И КОНДИЦИОНИРОВАНИЮ
При разработке проекта (проектной документации) систем вентиляции и кондиционирования чистых помещений решаются как общие задачи для любых помещений, так и специальные задачи для чистых помещений и чистых зон, определяемые видом потока воздуха (однонаправленный и неоднонаправленный) и видом систем (открытые, закрытые).
К общим задачам относятся:
- расчеты расходов приточного, вытяжного и удаляемого воздуха для всех помещений;
- расчет расхода наружного воздуха;
- определение возможности рециркуляции воздуха и, если она допустима, расчет доли рециркуляционного воздуха в приточном воздухе (расчет расхода рециркуляционного воздуха);
- оценка целесообразности рекуперации тепла и разработка соответствующих решений;
- определение требований к кондиционерам, вытяжным устройствам и другому оборудованию.
Обязательным разделом проектной документации являются таблица балансов воздухообмена (таблица B.1) и принципиальная схема вентиляции и кондиционирования воздуха
(рисунок B.1).
Таблица B.1
Пример таблицы балансов воздухообмена
N пом. | Наименование помещения | Тип зоны по GMP (класс чистоты) | Объем помещения, м3 | Перепад давления, Па | Кратность воздухообмена, 1/ч | Приток | Вытяжка |
Инфильтрация | Принудительный | Всего, м3/ч | Эксфильтрация | Местная | Общеобменная | Всего, м3/ч |
из пом. N | м3/ч | м3/ч | NN систем | в пом. N | м3/ч | м3/ч | NN систем | м3/ч | NN систем |
1 | Комната переодевания | K/C | 15 | 15 | 30 | 3 | 100 | 350 | K-1 | 450 | 7 | 100 | - | - | 350 | B-1 | 450 |
2 | Материальный шлюз | K/C | 20 | 15 | 15 | 3 | 100 | 200 | K-1 | 300 | 7 | 100 | - | - | 200 | B-1 | 300 |
3 | Технологический коридор | C | 60 | 30 | 20 | 4 6 | 100 100 | 1000 | K-1 | 1200 | 1 2 | 100 100 | - | - | 1000 | B-1 | 1200 |
4 | Комната переодевания | C/B | 20 | 45 | 30 | 5 | 100 | 500 | K-1 | 600 | 3 | 100 | - | - | 500 | B-1 | 600 |
5 | Участок наполнения | A/B | 70 | 60 | 30 | - | - | 2100 | K-1 | 2100 | 4 | 100 | - | - | 2000 | B-1 | 2100 |
6 | Участок приготовления растворов | C | 35 | 45 | 30 | - | - | 1050 | K-1 | 1050 | 3 | 100 | 300 | B-2 | 650 | B-1 | 1050 |
7... | ... Коридор | ... K | ... 100 | 0... | 3 | 1 2... | ... 100 100 | 100 | K-1 | 300 | - | - | - | - | 300 | B-1 | 300 |
| ... | | | | | | | | | | | | | | | | |
| ... | | | | | | | | | | | | | | | | |
... | Всего: | | | | | | | | | | | | | | | | |
Рисунок B.1 - Пример принципиальной схемы вентиляции
и кондиционирования воздуха
Последовательность разработки проектных решений по вентиляции и кондиционированию показана на
рисунке B.2.
┌─────────────────────────────────────────────────────────────────────────┐
│ Выбор принципа построения │
│ системы вентиляции и кондиционирования │
│ (с рециркуляцией и без рециркуляции) │
└─────────────────────────────────────┬───────────────────────────────────┘
V
┌─────────────────────────────────────────────────────────────────────────┐
│ Выбор числа ступеней фильтрации и типов фильтров. │
│ Определение принципа организации потоков воздуха в чистых │
│ помещениях и чистых зонах │
└────────────────┬───────────────────────────────────────┬────────────────┘
V V
┌──────────────────────────────────┐ ┌─────────────────────────────────┐
│ Однонаправленный поток │ │ Неоднонаправленный поток │
└────────────────┬─────────────────┘ └────────────────┬────────────────┘
│ V
│ ┌─────────────────────────────────┐
│ │Расчет кратности воздухообмена │
│ │с учетом требований: │
V │- класса чистоты; │
┌──────────────────────────────────┐ │- концентрации микроорганизмов; │
│ Площадь сечения потока, │ │- микроклимата, исходя │
│ скорость потока │ │ из требований технологии; │
└────────────────┬─────────────────┘ │- санитарных норм; │
│ │- перепада давления │
│ │и компенсации утечек; │
│ │- компенсации вытяжек │
│ └────────────────┬────────────────┘
V V
┌─────────────────────────────────────────────────────────────────────────┐
│ Построение принципиальной схемы вентиляции │
│ и кондиционирования. Расчет воздушного баланса │
└─────────────────────────────────────┬───────────────────────────────────┘
V
┌─────────────────────────────────────────────────────────────────────────┐
│ Выбор оборудования, определение состава секций кондиционеров, │
│ типов кондиционеров, холодильных машин, парогенераторов и пр. │
└─────────────────────────────────────┬───────────────────────────────────┘
V
┌─────────────────────────────────────────────────────────────────────────┐
│ Разработка проекта системы воздуховодов │
└─────────────────────────────────────┬───────────────────────────────────┘
V
┌─────────────────────────────────────────────────────────────────────────┐
│ Разработка требований к автоматизации управления системой │
│ вентиляции и кондиционирования │
└─────────────────────────────────────────────────────────────────────────┘
Рисунок B.2 - Последовательность разработки
проектных решений по вентиляции и кондиционированию
(справочное)
РАСЧЕТ РАСХОДА ВОЗДУХА (КРАТНОСТИ ВОЗДУХООБМЕНА)
ДЛЯ ОБЕСПЕЧЕНИЯ ЧИСТОТЫ И ВРЕМЕНИ ВОССТАНОВЛЕНИЯ
Основным источником загрязнений в чистом помещении является человек. Во многих случаях эмиссия загрязнений от оборудования и конструкций мала по сравнению с выделениями от человека, и ею можно пренебречь.
C.1 Расчетный метод определения концентрации частиц
Метод позволяет определить концентрацию частиц в воздухе в зависимости от разных факторов. При расчете используются следующие величины:
Lп - расход приточного воздуха, м3/с;
Lи - объем воздуха, проникающего в помещение из-за негерметичности (инфильтрация воздуха), м3/с;
V - объем помещения, м3;
x - доля рециркуляционного воздуха;
C - концентрация частиц в воздухе помещения, частиц/м3;
Cn - концентрация частиц в воздухе в установившемся режиме, частиц/м3;
C0 - концентрация частиц в воздухе в начальный момент, частиц/м3;
CI - концентрация частиц в воздухе, поступающем за счет инфильтрации, частиц/м3;
Cнар - концентрация частиц в наружном воздухе, частиц/м3;
t - время, с;

- эффективность фильтрации наружного воздуха;

- эффективность фильтрации рециркуляционного воздуха;
s - интенсивность выделения частиц внутри помещения, частиц/с;

- фактор эффективности системы вентиляции, в практике расчетов для чистых помещений принимается

;
H - эффективность фильтров;
k1, k2 - константы.
Кратность воздухообмена определяется по формуле:

(C.1)
Причинами появления частиц в помещении являются:
Причина | Привносимое число частиц |
наружный воздух | |
рециркуляционный воздух | |
инфильтрация воздуха | |
выделение частиц внутри помещения | S |
Из помещения частицы удаляются вытяжным воздухом:

(C.2)
Разница между числом частиц, которые удаляются из помещения и появляются в нем в течение определенного времени, приводит к изменению концентрации частиц в помещении.
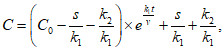
Концентрация частиц в чистом помещении в момент времени t определяется по формуле:

(C.3)
где

;
- переменной Cvar:
и постоянной Cconst:
т.е. C = Cvar + Cconst.
Переменная часть характеризует переходный процесс, когда чистое помещение достигает требуемого класса чистоты после внесения загрязнений или перехода из эксплуатируемого состояния в оснащенное. Чем больше кратность воздухообмена, тем меньше длительность этого переходного процесса, называемого временем восстановления Tв.
Рядом нормативных документов задано, что величина Tв не должна превышать 15 - 20 мин. Это означает, что по истечении этого времени чистое помещение будет работать в стационарном режиме, т.е. величина Cvar должна быть пренебрежимо малой.
При проектировании полезно строить графики зависимости концентрации частиц от времени (рисунок C.1), которые наглядно показывают динамику переходного режима и стабилизацию работы чистого помещения.
Рисунок C.1 - Зависимость концентрации частиц
от времени после пуска чистого помещения
Длительность переходного процесса дает величину Tв.
Значение концентрации частиц в стационарном режиме определяет класс чистого помещения.
При проектировании решается обратная задача: по заданной концентрации частиц (классу чистоты) определяется необходимый объем приточного воздуха и кратность воздухообмена (рисунок C.2).
Рисунок C.2 - Подбор кратности воздухообмена в зависимости
от класса чистоты и эффективности фильтрации воздуха
В практической работе удобно пользоваться программой расчета чистоты воздуха в чистых помещениях, разработанной фирмой "Camfil" (Швеция)
[1].
C.2 Упрощенный метод оценки кратности воздухообмена
Самый простой подход к оценке требуемого расхода приточного воздуха без учета инфильтрации и других элементов
формулы (C.3) состоит в использовании формулы (C.4):

(C.4)
где C - средняя концентрация частиц в воздухе в 1 м3;
E - суммарная эмиссия частиц в чистом помещении (например, 5 x 106 частиц с размерами >= 0,5 мкм в мин);
60 - число минут в часе;
Lп - расход приточного воздуха, м3/ч.
Оценка кратности воздухообмена для чистых помещений с заданным предельным уровнем микробных загрязнений может быть определена следующим образом.
Отправной точкой в расчете является оценка эмиссии микроорганизмов от людей и оборудования. Если выделение микроорганизмов оборудованием и поступление их извне мало, то число микроорганизмов в 1 м3 воздуха приблизительно равно:

(C.5)
где Kп - численность персонала в помещении;
V - объем помещения, м3;
N - кратность воздухообмена, ч-1;
60 - число минут в часе;
nэ - число КОЕ/мин, выделяемых человеком (КОЕ - колониеобразующие единицы);

- фактор эффективности системы вентиляции, для чистых помещений

.
Соответственно кратность воздухообмена может быть получена как:

(C.6)
где nнорм - предельно допустимое значение концентрации микроорганизмов, КОЕ/м3.
Эти методы могут использоваться для ориентировочной оценки кратности воздухообмена. В проект следует закладывать данные с достаточным запасом.
| Густавссон Я. Вычисление чистоты чистого помещения//Технология чистоты. - 1999, N 1. С. 21 - 25. |