Главная // Актуальные документы // ГОСТ Р (Государственный стандарт)СПРАВКА
Источник публикации
М.: Стандартинформ, 2015
Примечание к документу
Документ
введен в действие с 1 января 2014 года.
Название документа
"ГОСТ Р 55194-2012. Национальный стандарт Российской Федерации. Электрооборудование и электроустановки переменного тока на напряжение от 1 до 750 кВ. Общие методы испытаний электрической прочности изоляции"
(утв. и введен в действие Приказом Росстандарта от 26.11.2012 N 1186-ст)
"ГОСТ Р 55194-2012. Национальный стандарт Российской Федерации. Электрооборудование и электроустановки переменного тока на напряжение от 1 до 750 кВ. Общие методы испытаний электрической прочности изоляции"
(утв. и введен в действие Приказом Росстандарта от 26.11.2012 N 1186-ст)
Утвержден и введен в действие
агентства по техническому
регулированию и метрологии
от 26 ноября 2012 г. N 1186-ст
НАЦИОНАЛЬНЫЙ СТАНДАРТ РОССИЙСКОЙ ФЕДЕРАЦИИ
ЭЛЕКТРООБОРУДОВАНИЕ И ЭЛЕКТРОУСТАНОВКИ ПЕРЕМЕННОГО ТОКА
НА НАПРЯЖЕНИЕ ОТ 1 ДО 750 кВ
ОБЩИЕ МЕТОДЫ ИСПЫТАНИЙ ЭЛЕКТРИЧЕСКОЙ ПРОЧНОСТИ ИЗОЛЯЦИИ
Electrical equipment and installation for a.c. voltages
from 1 to 750 kV. General methods of dielectric tests
IEC 60060-1:2010
(NEQ)
ГОСТ Р 55194-2012
Дата введения
1 января 2014 года
1 РАЗРАБОТАН Федеральным государственным унитарным предприятием "Всероссийский электротехнический институт имени В.И. Ленина" (ФГУП ВЭИ)
2 ВНЕСЕН Техническим комитетом по стандартизации ТК 37 "Электрооборудование для передачи, преобразования и распределения электроэнергии"
3 УТВЕРЖДЕН И ВВЕДЕН В ДЕЙСТВИЕ
Приказом Федерального агентства по техническому регулированию и метрологии от 26 ноября 2012 г. N 1186-ст
4 Настоящий стандарт разработан с учетом основных нормативных положений международного стандарта МЭК 60060-1:2010 "Методы испытаний высоким напряжением. Часть 1. Общие определения и требования к испытаниям" (IEC 60060-1:2010 "High-voltage test techniques - Part 1: General definitions and test requirements", NEQ)
5 ВВЕДЕН ВПЕРВЫЕ
Правила применения настоящего стандарта установлены в ГОСТ Р 1.0-2012 (раздел 8). Информация об изменениях к настоящему стандарту публикуется в ежегодном (по состоянию на 1 января текущего года) информационном указателе "Национальные стандарты", а официальный текст изменений и поправок - в ежемесячном указателе "Национальные стандарты". В случае пересмотра (замены) или отмены настоящего стандарта соответствующее уведомление будет опубликовано в ближайшем выпуске ежемесячного информационного указателя "Национальные стандарты". Соответствующая информация, уведомление и тексты размещаются также в информационной системе общего пользования - на официальном сайте Федерального агентства по техническому регулированию и метрологии в сети Интернет (www.gost.ru)
Настоящий стандарт распространяется на электрооборудование и электроустановки переменного тока частотой 50 Гц и их части (далее - электрооборудование) классов напряжения от 1 до 750 кВ.
Настоящий стандарт устанавливает:
1) общие методы испытаний электрической прочности изоляции электрооборудования:
- напряжением грозовых и коммутационных импульсов,
- переменным напряжением,
- постоянным напряжением,
- комбинацией вышеуказанных напряжений;
2) условия проведения этих испытаний;
3) требования к объекту испытания;
4) рекомендации по оценке результатов испытаний.
Настоящий стандарт не устанавливает методы испытаний:
- внешней изоляции в условиях загрязнения ее поверхности;
- изоляции, подвергающейся действию газов, испарений и химических отложений, вредных для изоляции;
- внешней изоляции, обусловленные учетом конденсации влаги на электрооборудовании категории размещения 2 по
ГОСТ 15150;
- изоляции на стойкость к воздействию частичных разрядов;
- изоляторов потоком искр.
Примечания
1 Для получения воспроизводимых и значимых результатов могут потребоваться альтернативные методы испытаний. Выбор соответствующих методов испытаний должен быть указан в нормативных документах (НД) на электрооборудование отдельных видов.
2 Для оборудования классов напряжения Uном свыше 750 кВ может оказаться невозможным обеспечить некоторые специфические методы испытаний и допуски.
В настоящем стандарте использованы нормативные ссылки на следующие стандарты:
ГОСТ 1516.3-96 Электрооборудование переменного тока на напряжения от 1 до 750 кВ. Требования к электрической прочности изоляции
ГОСТ 15150-69 Машины, приборы и другие технические изделия. Исполнение для различных климатических районов. Категории, условия эксплуатации, хранения и транспортирования в части воздействия климатических факторов внешней среды
ГОСТ 17512-82 Электрооборудование и электроустановки на напряжение 3 кВ и выше. Методы измерения при испытаниях высоким напряжением (с Изменением N 1)
ГОСТ 20074-83 Электрооборудование и электроустановки. Метод измерения характеристик частичных разрядов
ГОСТ 26196-84 Изоляторы. Методы измерения индустриальных радиопомех
Примечание - При пользовании настоящим стандартом целесообразно проверить действие ссылочных стандартов в информационной системе общего пользования - на официальном сайте Федерального агентства по техническому регулированию и метрологии в сети Интернет или по ежегодному информационному указателю "Национальные стандарты", который опубликован по состоянию на 1 января текущего года, и по выпускам ежемесячного информационного указателя "Национальные стандарты" за текущий год. Если заменен ссылочный стандарт, на который дана недатированная ссылка, то рекомендуется использовать действующую версию этого стандарта с учетом всех внесенных в данную версию изменений. Если заменен ссылочный стандарт, на который дана датированная ссылка, то рекомендуется использовать версию этого стандарта с указанным выше годом утверждения (принятия). Если после утверждения настоящего стандарта в ссылочный стандарт, на который дана датированная ссылка, внесено изменение, затрагивающее положение, на которое дана ссылка, то это положение рекомендуется применять без учета данного изменения. Если ссылочный стандарт отменен без замены, то положение, в котором дана ссылка на него, рекомендуется применять в части, не затрагивающей эту ссылку.
В настоящем стандарте применены следующие термины и соответствующие определения.
3.1 Термины и определения, относящиеся к характеристикам разрядов:
3.1.1 полный (завершенный) разряд: Электрический разряд, возникающий под действием электрического поля, полностью шунтирующий изоляцию между электродами и вызывающий снижение значения напряжения между электродами практически до нуля.
Примечания
1 Возможны непродолжительные полные разряды, при которых испытуемый объект на короткое время шунтируется искровым разрядом или дугой. Во время этих событий напряжение на испытуемом объекте мгновенно снижается до нуля или до очень низкого значения. В зависимости от характеристик испытательной схемы и испытуемого объекта, возможно восстановление электрической прочности изоляции, что позволяет испытательному напряжению достичь высокого значения. Такие события должны рассматриваться как полные разряды, если иное не указано в соответствующих НД на электрооборудование отдельных видов.
2 Полный разряд в твердом диэлектрике приводит к необратимой потере электрической прочности изоляции; в жидком или газовом диэлектрике потеря электрической прочности может быть лишь временной.
3.1.2 неполный (незавершенный) разряд: Электрический разряд, который шунтирует лишь часть изоляции между электродами, находящимися под разными потенциалами, и не вызывает снижение значения напряжения между электродами до нуля.
Примечания
1 Такое событие не должно рассматриваться как полный разряд, если иное не указано в соответствующих НД на электрооборудование отдельных видов.
2 Некоторые неполные разряды называют "частичными разрядами" и рассматриваются в
ГОСТ 20074.
3.1.3 искровой разряд: Полный разряд в газовом или жидком диэлектрике.
3.1.4 перекрытие: Полный разряд в газовом или жидком диэлектрике вдоль поверхности твердого диэлектрика.
3.1.5 пробой: Полный разряд в твердом диэлектрике.
3.2 Термины и определения, относящиеся к характеристикам испытательного напряжения:
3.2.1 испытательное напряжение: Напряжение заданной формы и длительности, которое прикладывают к изоляции для определения какой-либо ее характеристики.
3.2.2 нормированное испытательное напряжение: Испытательное напряжение, нормированное по значению.
3.2.3 выдерживаемое (фактическое) напряжение: Наибольшее значение испытательного напряжения, которое изоляция выдерживает с заданной вероятностью.
3.2.4 разрядное напряжение: Испытательное напряжение, которое вызывает полный разряд.
3.3 Термины и определения, относящиеся к видам испытательного напряжения:
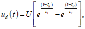
3.3.1 импульсное напряжение (импульс): Кратковременное напряжение, характеризуемое быстрым подъемом значения напряжения до максимального и последующим более медленным снижением значения напряжения.
3.3.2 полный грозовой импульс напряжения (полный грозовой импульс): Импульс, характеризуемый повышением значения напряжения до максимального за время от долей микросекунды до 20 мкс и последующим менее быстрым снижением значения напряжения до нуля.
3.3.3 срезанный импульс напряжения (срезанный импульс): Импульс, у которого скорость снижения напряжения существенно больше скорости изменения напряжения в момент времени, непосредственно предшествующий моменту среза.
3.3.4 коммутационный импульс напряжения (коммутационный импульс): Импульс, характеризуемый подъемом значения напряжения до максимального за время от 20 мкс до нескольких тысяч микросекунд и последующим снижением значения напряжения.
3.3.5 импульс с линейным фронтом (грозовой или коммутационный): Импульс, характеризуемый возрастанием напряжения с примерно постоянной скоростью до момента среза.
3.3.6 апериодический импульс напряжения (апериодический импульс): Импульс, форма которого может быть описана суммой двух экспоненциальных функций.
3.3.7 колебательный импульс напряжения (колебательный импульс): Импульс, представляющий собой затухающие колебания значения напряжения около нулевого значения или около другой составляющей.
3.3.8 испытательное переменное напряжение: Синусоидальное напряжение частотой от 45 до 65 Гц, а также, в определенных случаях, синусоидальное напряжение повышенной частоты (до 400 Гц).
3.3.9 испытательное переменное одноминутное (кратковременное) напряжение (одноминутное напряжение): Испытательное переменное напряжение, прикладываемое к изоляции с выдержкой, как правило, в течение 1 мин или в определенных случаях другого времени, но не более 5 мин.
3.3.10 переменное напряжение при плавном его подъеме: Переменное напряжение, прикладываемое подъемом с заданной скоростью от нуля до перекрытия или до определенного значения с последующим быстрым снижением его до нуля без выдержки.
3.4 Термины и определения, относящиеся к допуску и погрешности:
3.4.1 допуск: Параметр, устанавливающий допустимое расхождение между измеренным и нормированным значением.
Примечания
1 Следует отличать данное расхождение от погрешности измерения.
2 Решение о прохождении/непрохождении испытаний основано на измеренном значении без учета погрешности измерения.
3.4.2 погрешность (измерений): Параметр, характеризующий отклонение результатов измерений от истинных значений измеряемой величины.
Примечания
1 В настоящем стандарте все значения погрешности установлены для доверительной вероятности 95%.
2 Погрешность положительна и приводится без знака.
3 Не следует путать с допусками на установленные для испытаний значения или параметры.
3.5 Термины и определения, относящиеся к статистическим характеристикам разрядных напряжений:
3.5.1 вероятность возникновения полного разряда p: Вероятность появления случайного события - полного разряда при испытании объекта напряжением определенного значения и заданной формы.
Примечание - Параметр p может быть выражен в процентном отношении либо дробью.
3.5.2 вероятность отсутствия полного разряда q: Вероятность того, что при испытании объекта напряжением определенного значения и заданной формы не произойдет случайное событие - полный разряд.
Примечание - Если вероятность полного разряда равна p, то вероятность его отсутствия q равна (1 - p).
3.5.3 p%-ное разрядное напряжение Up: Значение напряжения, которому соответствует p-ная вероятность возникновения полного разряда.
Примечания
1 Математически p%-ное разрядное напряжение - это квантиль порядка p (или p-квантиль) разрядного напряжения.
2 U10 называется "статистическим выдерживаемым напряжением", а U90 - "статистическим гарантированным разрядным напряжением".
3.5.4 50%-ное разрядное напряжение U50: Значение напряжения, при котором вероятность возникновения полного разряда на испытуемом объекте равна 0,5.
3.5.5
стандартное отклонение от 50%-ного разрядного напряжения 
: Мера наклона кривой эффекта - зависимости вероятности появления полного разряда от амплитуды приложенного напряжения.
Примечание - В случае выполнения нормального закона распределения вероятности (распределение Гаусса) стандартное отклонение определяется разностью между 50%-ным и 16%-ным разрядными напряжениями (или между 84%-ным и 50%-ным разрядными напряжениями), отнесенной к 50%-ному разрядному напряжению. Стандартное отклонение часто выражают в относительных единицах либо процентах от 50%-ного разрядного напряжения.
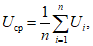
3.5.6 среднее арифметическое значение разрядного напряжения Uср:
где Ui - измеренное значение случайной величины - разрядного напряжения при полном разряде;
n - число полных разрядов.
3.5.7 среднеквадратичное отклонение разрядных напряжений s: Мера разброса разрядных напряжений от среднего арифметического значения
где Ui - измеренное i-е значение разрядного напряжения;
Uср - среднее арифметическое значение разрядного напряжения;
n - число полных разрядов.
3.6 Термины и определения, относящиеся к классификации изоляции:
3.6.1 внешняя изоляция: Воздушные промежутки и поверхность твердой изоляции в атмосферном воздухе, которые подвергаются непосредственному влиянию атмосферных и других внешних факторов: загрязнение, увлажнение, воздействие животных и птиц.
3.6.2 линейная изоляция: Внешняя изоляция проводов воздушных линий электропередачи относительно заземленных предметов, а также между соседними проводами.
3.6.3 внутренняя изоляция: Твердая, жидкая, газообразная изоляция (или их комбинация) внутренних частей электрооборудования, не подвергающаяся непосредственному влиянию атмосферных и других внешних факторов (загрязнение, увлажнение, воздействие животных и птиц).
3.6.4 самовосстанавливающаяся изоляция: Изоляция, полностью восстанавливающая изолирующие свойства после полного разряда.
3.6.5 несамовосстанавливающаяся изоляция: Изоляция, теряющая или не полностью восстанавливающая изолирующие свойства после полного разряда.
Примечание - В электрооборудовании высокого напряжения элементы как самовосстанавливающейся, так и несамовосстанавливающейся изоляции часто работают в комбинации, и возможна деградация отдельных элементов при повторяющихся или длительных приложениях напряжения. Поведение изоляции в этом отношении должно быть принято во внимание в соответствующих НД на электрооборудование отдельных видов.
3.7 Определение, относящееся к уровню напряжения электрооборудования:
3.7.1 класс напряжения электрооборудования: Номинальное междуфазное напряжение электрической сети, для работы в которой предназначено электрооборудование.
4 Общие требования и условия проведения испытаний
4.1 Расположение объекта испытаний на испытательном поле
4.1.1 Во избежание влияния посторонних окружающих предметов (стен, ограждений, испытательного оборудования) на результаты испытаний объект испытаний устанавливают на испытательном поле так, чтобы расстояния от него до этих предметов были не менее 150% наименьшего изоляционного расстояния во внешней изоляции объекта (в воздухе между заземленными и имеющими высокий потенциал частями объекта испытаний), кроме случаев, указанных в
4.1.2 и
4.1.3.
При испытании внешней изоляции объектов классов напряжения 500 кВ и выше в стандартах или технических условиях [далее - нормативные документы (НД)] указывают высоту заземленного основания объекта испытания, а также расположение и конструкцию ошиновки вблизи объекта.
При испытании кратковременным переменным напряжением или напряжением коммутационного импульса положительной полярности значением свыше 750 кВ (амплитудное или максимальное значение) расстояние от имеющей высокий потенциал части объекта до посторонних предметов (находящихся под напряжением или заземленных) должно быть не менее указанного на рисунке 1.
Рисунок 1 - Рекомендуемое наименьшее расстояние D
от находящихся под напряжением или заземленных посторонних
предметов до высоковольтного электрода испытуемого объекта
при испытании кратковременным переменным напряжением
или напряжением коммутационного импульса положительной
полярности с амплитудным (максимальным) значением U
4.1.2 Установленные в
4.1.1 расстояния могут быть уменьшены, если на распределение напряжения (электрическое поле) испытуемой изоляции посторонние предметы влияют незначительно, например, при испытании внутренней изоляции, находящейся в металлической оболочке, при испытании внешней изоляции под дождем и в других случаях, если это указано в НД на электрооборудование отдельных видов. При испытании внутренней изоляции, находящейся в металлической оболочке, допускается установка во внешней изоляции на время испытания специальных экранов или коронирующих устройств (диски, острия, проволочные спирали и другие приспособления). Допускается проводить периодические и приемо-сдаточные, а для объектов классов напряжения 500 кВ и выше - также типовые испытания при расстояниях до посторонних заземленных окружающих предметов, меньших установленных в
4.1.1.
4.1.3 Испытания линейной изоляции проводят на опорах (макетах опор) соответствующего класса напряжения. Провода линий допускается заменять макетами.
Длина провода должна быть такой, чтобы были исключены разряды с концов провода на опоры и окружающие предметы, но не менее полуторной длины гирлянды изоляторов в каждую сторону от гирлянды. При длине провода в каждую сторону от гирлянды, большей, чем тройная длина гирлянды, для исключения разрядов с концов провода допускается устанавливать на концах провода экраны. При длине гирлянды более 4 м расстояние до посторонних заземленных предметов должно быть не менее тройной длины гирлянды, а при меньшей длине - не менее полуторной.
Испытания элементов линейной изоляции как самостоятельных изделий проводят в соответствии с требованиями НД на эти изделия.
4.2 Требования к объекту испытаний
4.2.1 Испытания следует проводить на полностью собранном объекте, кроме случаев, указанных в
4.2.8 -
4.2.13.
4.2.2 Испытания следует проводить на объекте, изоляция которого прошла технологическую обработку, нормально применяемую предприятием-изготовителем для данного электрооборудования.
Дополнительные технологические операции при необходимости могут быть указаны в НД на электрооборудование отдельных видов.
4.2.3 Перед испытанием изоляции в сухом состоянии поверхность изолирующих деталей, находящихся в воздухе, должна быть очищена от загрязнений, а при испытании под дождем - также от жиров (например, протиркой спиртом или тринатрийфосфатом Na3PO4). Для протирки поверхности изоляционных деталей из органических материалов рекомендуется спирт.
4.2.4 Испытания изоляции газонаполненного оборудования проводят при минимальной плотности изоляционного газа, установленной НД на испытуемое электрооборудование.
Минимальной плотности соответствует минимальное давление газа при нормальной температуре, равной 20 °C. Если температура газа во время испытания отличается от 20 °C, то давление газа должно быть таким, чтобы была обеспечена минимальная плотность.
Для элегазового оборудования давление Pэ элегаза (или смеси с элегазом), при котором проводят испытание, в диапазонах температуры от нуля до 80 °C и абсолютного давления элегаза (смеси) от 0,3 до 0,8 МПа (от 3 до 8 кгс/см2) или избыточного давления элегаза (смеси) от 0,2 до 0,7 МПа (от 2 до 7 кгс/см2) определяют по формуле
Pэ = Pэ20 + 2,2·10-3(2Pэ20 +/- <*> P0)(t - 20), (1)
--------------------------------
<*> Знак "плюс" ставится, когда определяют избыточное давление, знак "минус" - когда определяют абсолютное давление.
где Pэ - давление (избыточное или абсолютное) элегаза (смеси) при температуре испытания, МПа (кгс/см2);
Pэ20 - нормированное минимальное давление (избыточное или абсолютное) элегаза (смеси) при температуре 20 °C, МПа (кгс/см2);
P0 - нормальное атмосферное давление, МПа (кгс/см2), принимаемое равным 0,1 МПа (1 кгс/см2);
t - температура окружающего воздуха при испытании, °C.
Примечание - При испытании изоляции газонаполненного оборудования с автоматически поддерживаемым давлением газа поправку к давлению на температуру газа не вводят.
4.2.5 При испытании электрической прочности изоляции между контактами одного и того же полюса газонаполненного коммутационного аппарата следует, если это указано в НД на эти аппараты, производить цикл операций "включение-отключение". Циклы "включение-отключение" без токовой нагрузки выполняют на нижнем пределе начального давления, после чего устанавливают минимальное давление по
4.2.4. Число этих операций указывают в НД на аппараты.
4.2.6 Изоляцию коммутационных аппаратов, имеющих дугогасящие, работающие в воздухе камеры из изолирующего материала, внутренние поверхности которых в процессе гашения дуги становятся проводящими, следует испытывать приложением одноминутного испытательного напряжения при замкнутом накоротко промежутке дугогасящей камеры и при электрическом соединении металлических крепежных элементов дугогасящей камеры с соответствующей токопроводящей частью.
4.2.7 Испытания проводят после того, как испытуемый объект достигнет температуры окружающей среды, если другие требования к внутренней изоляции не установлены НД на электрооборудование данного вида.
Допускается проводить испытание внешней изоляции при температуре объекта, превышающей температуру окружающей среды, но находящейся в диапазоне от 10 °C до 40 °C, если это обстоятельство не снижает электрические характеристики испытуемого объекта.
4.2.8 Допускается проводить испытание внешней изоляции на макетах или не полностью собранном объекте без установки частей электрооборудования, не влияющих на электрическую прочность внешней изоляции, а также на макетах с усиленной внутренней изоляцией, например на конденсаторе связи с уменьшенной емкостью, но с усиленной внутренней изоляцией.
При испытании внешней изоляции электрооборудования под дождем на макетах или не полностью собранных объектах должна быть соблюдена также идентичность условий испытания, относящихся к непосредственному смачиванию дождем отдельных частей макета и полностью собранного объекта и стеканию воды с одних частей на другие.
Для трансформаторов тока и напряжения с изолирующим (например, фарфоровым) кожухом, у которого внутренняя изоляция испытана отдельно, допускается проведение испытаний внешней изоляции на макете, если измерением при пониженном напряжении показано, что распределения напряжения по поверхности изолирующего кожуха трансформатора и макета его внешней изоляции между собой практически не различаются.
4.2.9 Допускается проводить испытание внутренней изоляции объекта без установки частей или с заменой другими частями, если это не может повлиять на электрическую прочность испытуемой изоляции.
Допускается проводить испытания внутренней изоляции электрооборудования, активная часть которого находится в металлическом баке, с инвентарными вводами, не подлежащими установке при эксплуатации на данном электрооборудовании. При этом инвентарный ввод должен быть изготовлен по тем же чертежам, что ввод трансформатора, реактора и выключателя, и может отличаться повышенной электрической прочностью изоляции. Допускается замена инвентарного ввода в случае его повреждения.
Допускается проводить периодические и приемо-сдаточные испытания аппаратов без наполнения их баков или резервуаров маслом или другой изолирующей средой, а также с опущенными баками или без баков, если при проведении типового испытания аппарата данного типа установлено, что изоляция без заполнителя выдерживает испытательное напряжение и что данное испытание эквивалентно испытанию полностью собранного аппарата.
4.2.10 Допускается проводить типовые и периодические испытания электрооборудования на одном элементе полюса или поэлементно в следующих случаях.
На одном элементе полюса коммутационного аппарата проводят:
- типовые испытания изоляции между разомкнутыми контактами аппаратов класса напряжения 500 кВ и выше под дождем, если предварительными исследованиями на аппарате более низкого класса напряжения установлено, что такие испытания эквивалентны испытаниям полностью собранного полюса;
- периодические испытания изоляции между разомкнутыми контактами в сухом состоянии и под дождем;
- типовые и периодические испытания изоляции относительно земли аппаратов классов напряжения 330 кВ и выше в сухом состоянии и под дождем.
Указанные испытания допускается проводить при условии, что полюс аппарата состоит из нескольких одинаковых элементов: конструктивно законченных изоляционных опорных колонн или подвесок, на каждой из которых расположены один или несколько модулей дугогасительной камеры.
Испытательное напряжение для изоляции между разомкнутыми контактами элемента полюса в сухом состоянии или под дождем устанавливают предварительными исследованиями распределения напряжения на полностью собранном полюсе аппарата или на эквивалентной модели полюса с учетом предельно возможной неравномерности. При этом за испытательное напряжение изоляции между контактами элемента принимают наибольшую долю полного испытательного напряжения между контактами, определенную с учетом неравномерности распределения испытательного напряжения по элементам; если эта доля составляет меньше 110% значения, полученного делением полного испытательного напряжения на число элементов, то ее принимают равной 110% указанного значения.
Поэлементно допускается проводить типовые и периодические испытания внутренней изоляции делителей напряжения емкостных трансформаторов напряжения, конденсаторов связи и их внешней изоляции в сухом состоянии. Испытательное напряжение элемента устанавливают расчетом для случая предельно возможной неравномерности распределения напряжения по элементам при нормированном допуске на отклонение действительного значения емкости элементов от номинального значения. При наличии на верхнем элементе экрана следует испытать на макете воздушный промежуток между экраном и заземленными частями.
Поэлементно допускается проводить типовые и периодические испытания внутренней изоляции каскадных трансформаторов тока и напряжения с фарфоровым кожухом. Испытательное напряжение, прикладываемое к элементу каскадного трансформатора тока или напряжения, должно быть установлено предприятием-изготовителем в соответствии с измеренным при пониженном напряжении распределением напряжения по элементам собранного трансформатора.
4.2.11 Допускается проводить приемо-сдаточные испытания поэлементно и (или) по отдельным изолирующим частям в следующих случаях.
Каскадные трансформаторы тока и напряжения, делители напряжения емкостных трансформаторов напряжения, конденсаторы связи испытывают поэлементно.
Крупногабаритные, отправляемые с предприятия-изготовителя в не полностью собранном виде выключатели, отделители с внутренней газовой изоляцией и выключатели нагрузки испытывают поэлементно и по отдельным изолирующим частям:
- испытывают отдельные модули (разрывы) и отдельные изолирующие части или их участки (изоляторы, тяги, воздуховоды и т.д.), а также проверяют соответствие основных изоляционных расстояний чертежам;
- разъединители, отделители с видимым промежутком между контактами, короткозамыкатели, заземлители, разъединяющие выключатели нагрузки, предохранители, шинные опоры испытывают по отдельным изолирующим частям или их участкам, а также проверяют соответствие основных изоляционных расстояний чертежам.
Испытательные напряжения при испытании элементов, отдельных изолирующих частей или их участков должны быть установлены предприятием-изготовителем в соответствии с распределением напряжения, определенным на полностью собранном объекте, с учетом нормированных допусков на отклонение действительного значения параметров элементов от их номинального значения. При определении испытательного напряжения модуля (разрыва) для изоляции между разомкнутыми контактами необходимо учитывать требования
4.2.10. При модульной конструкции выключателя испытательное напряжение на разрыве принимают наибольшим для данной конструкции модуля.
Примечание - Допускается не проводить испытания элементов опорной и продольной изоляции в виде керамических опорно-стержневых изоляторов и покрышек.
4.2.12 Испытание внешней изоляции электрооборудования, имеющего основные активные части, расположенные в металлической оболочке и присоединяемые через самостоятельные вводы, допускается заменять раздельными испытаниями вводов и воздушных изоляционных промежутков.
Вводы должны быть испытаны с учетом требований
4.2.13.
Воздушные изоляционные промежутки испытывают на макете оболочки или ее крышке, на которых устанавливают вводы и выступающие части (например, расширитель, выхлопную трубу, экраны). Расположение вводов и выступающих частей на макете должно либо соответствовать действительному их расположению для электрооборудования данного типа, либо сочетание формы и расположения частей и изоляционных расстояний, при котором изоляционные промежутки имеют наименьшую электрическую прочность, должны соответствовать наиболее неблагоприятному сочетанию для аналогичного электрооборудования данного класса напряжения. В последнем случае результаты испытания допускается распространять на электрооборудование других типов данного вида одного и того же класса напряжения.
Испытание воздушных изоляционных промежутков электрооборудования допускается не проводить, если они выбраны для электрооборудования данного типа на основе специальных исследований и с учетом нормированных допусков на производственные отклонения.
4.2.13 Допускается проводить испытание элемента электрооборудования, например ввода, отдельно от электрооборудования, в котором он применен, при этом его расположение по отношению к заземленным поверхностям, а также форму и размеры наружных токоведущих частей указывают в НД на электрооборудование отдельных видов. Не допускается заменять испытание вводов испытанием отдельно фарфоровых покрышек.
4.3.1 Нормальные атмосферные условия испытаний электрической прочности изоляции:
- температура воздуха t0 - 20 °C;
- атмосферное давление P0 - 101,3 кПа (1013 мбар или 760 мм рт. ст.);
- абсолютная влажность воздуха h0 - 11 г/см3.
Примечание - Приборы, автоматически корректирующие давление до уровня моря, являются непригодными и их не следует использовать.
4.3.2 Влажность измеряют с погрешностью не более 1 г/м
3. Абсолютную влажность воздуха определяют с помощью прибора, непосредственно измеряющего этот параметр или по показаниям сухого и влажного термометров психрометра согласно
рисунку 2.
Примечание 1 - Температуру сухого и влажного термометров следует определять с точностью до 1 °C.
Примечание 2 - При испытаниях на открытом воздухе при отрицательной температуре абсолютную влажность воздуха можно определять другими способами, обеспечивающими указанную точность. Допускается использовать данные местного гидрометеоцентра.
Рисунок 2 - Определение абсолютной влажности воздуха
h
по показаниям сухого и влажного термометров
4.3.3 Для определения абсолютной влажности воздуха могут быть также использованы измерения относительной влажности и температуры окружающей среды. Связь между абсолютной и относительной влажностью воздуха задается формулой
где h - абсолютная влажность воздуха, г/м3;
R - относительная влажность воздуха, %;
t - температура окружающей среды, °C.
4.3.4 Атмосферное давление следует измерять с погрешностью не более чем 2 гПа (2 мбар, 1,5 мм рт. ст.).
4.3.5 Испытание изоляции в помещении рекомендуется проводить при температуре окружающего воздуха от 10 °C до 40 °C. Испытание внешней изоляции в сухом состоянии следует проводить при температуре не ниже минус 10 °C.
Если испытуемый объект, например, трансформатор тока, встраиваемый в токопровод, размещенный в кожухе, предназначен для работы при верхнем рабочем значении температуры окружающего воздуха выше 45 °C, то допускается испытывать его изоляцию при верхнем рабочем значении температуры. При этом при введении поправочных коэффициентов к испытательным напряжениям по
п. 4.4 в формуле (7) второй сомножитель 293/(273 +
t) принимают равным единице.
Испытание внешней изоляции в сухом состоянии проводят при относительной влажности не более 80%.
Примечание - На открытых площадках допускается проведение испытания при температуре окружающего воздуха от минус 20 до плюс 40 °C и относительной влажности более 80%. Испытания на открытых площадках следует проводить при отсутствии осадков в виде дождя, тумана, снега, а также росы на поверхности испытуемой изоляции.
4.4 Поправочные коэффициенты на атмосферные условия
4.4.1 Электрическая прочность внешней изоляции зависит от атмосферных условий. Обычно разрядные напряжения воздушных промежутков увеличиваются с ростом плотности воздуха или его влажности. Однако, если относительная влажность воздуха превышает примерно 80%, разрядное напряжение становится нестабильным, особенно при перекрытиях по поверхности твердой изоляции.
4.4.2 При испытании внешней изоляции при атмосферных условиях, отличающихся от нормальных по
4.3.1, испытательные, выдерживаемые и разрядные напряжения должны быть приведены к нормальным атмосферным условиям.
Испытательное напряжение Uии, прикладываемое к объекту, должно быть равно нормированному испытательному напряжению Uн0, умноженному на коэффициент приведения K
Uии = Uн0·K. (2)
Выдерживаемое (разрядное) напряжение Uв0 (Uр0), приведенное к нормальным атмосферным условиям, должно быть равно измеренному при испытаниях Uви (Uри), деленному на коэффициент приведения K:

(3)

(4)
Коэффициент приведения K равен произведению двух поправочных коэффициентов:
K = K1·K2, (5)
где
K1 - поправочный коэффициент на плотность воздуха (по
4.4.3);
K2 - поправочный коэффициент на влажность воздуха (по
4.4.4).
Примечание - При испытании изоляции под дождем, а также в условиях загрязнения и увлажнения поправочный коэффициент на влажность воздуха K2 = 1.
4.4.3 Поправочный коэффициент на плотность воздуха определяют по формуле

(6)
где
m - показатель степени (по
4.4.5);

- относительная плотность воздуха при испытании, определяемая по формуле

(7)
где P - атмосферное давление при испытании, выраженное в тех же единицах, что и нормальное атмосферное давление P0;
t - температура воздуха при испытании, °C.
4.4.4 Поправочный коэффициент на влажность воздуха определяют по формуле
K2 = kw, (8)
где
w - показатель степени (по
4.4.5);
k - вспомогательный параметр, зависящий от вида испытательного напряжения и отношения абсолютной влажности воздуха при испытании
h к относительной плотности воздуха

. Значение параметра
k определяют по рисунку 3.
Рисунок 3 - Вспомогательный параметр k
в зависимости от отношения

В диапазоне значений отношения

от 1 до 15 значение параметра допускается определять по формулам:
для импульсного напряжения

(9)
для переменного напряжения

(10)
для постоянного напряжения

(11)
Примечание -
Формула (9) для импульсного напряжения выведена на основе экспериментальных данных для напряжений грозового импульса положительной полярности. Эта формула также применима и для напряжения грозового импульса отрицательной полярности и напряжения коммутационного импульса обеих полярностей.
4.4.5 Показатели степени
m и
w для поправочных коэффициентов на атмосферные условия, зависящих от вида разряда и напряжения, длины и формы разрядного промежутка, атмосферных условий, могут быть определены по
рисунку 4 с использованием параметра
q, определяемого по формуле

(12)
где L - длина минимального разрядного промежутка на испытуемом объекте, м;
U - 50%-ное разрядное или ожидаемое разрядное напряжение (кВ) или, когда они неизвестны, 1,1 испытательного напряжения (

и
k - по
4.4.3 и
4.4.4).
Зависимости показателей степени
m и
w от параметра
q, полученные из данных таблицы 1, приведены на
рисунках 4а и
4б.
Таблица 1
Значения показателей степени m для поправочного
коэффициента на плотность воздуха и w для поправочного
коэффициента на влажность воздуха
в зависимости от параметра q
q | m | w |
< 0,2 | 0 | 0 |
0,2 до 1,0 | q(q - 0,2)/0,8 | q(q - 0,2)/0,8 |
1,0 до 1,2 | 1,0 | 1,0 |
1,2 до 2,0 | 1,0 | (2,2 - q)(2,0 - q)/0,8 |
> 2,0 | 1,0 | 0 |
Рисунок 4а - Значения показателя степени
m
для поправочного коэффициента на плотность воздуха
в зависимости от параметра q
Рисунок 4б - Значения показателя степени
w
для поправочного коэффициента на влажность воздуха
в зависимости от параметра q
4.4.6 Противоречивые требования при испытании внутренней и внешней изоляции
Поскольку уровни выдерживаемых напряжений нормированы применительно к стандартным атмосферным условиям, то при введении поправок на атмосферные условия (обусловленных отличием атмосферных условий при испытании от стандартных) может возникнуть ситуация, когда выдерживаемое напряжение внутренней изоляции окажется заметно выше выдерживаемого напряжения внешней изоляции.
В таких случаях необходимо принимать меры для повышения выдерживаемого напряжения внешней изоляции, чтобы обеспечить проведение испытаний внутренней изоляции нормированным напряжением. Эти меры должны быть отражены в соответствующих НД на отдельные виды оборудования и могут включать погружение внешней изоляции в жидкие диэлектрики или сжатые газы.
4.5 Условия при испытании изоляции под дождем
Испытания под дождем предназначены для оценки влияния естественного дождя на электрическую прочность внешней изоляции.
4.5.1 Испытуемый объект должен быть установлен в рабочее положение и на него должен падать равномерный дождь капельной структуры под углом примерно 45° к горизонтали. Зона действия дождя должна полностью перекрывать испытуемый объект.
Примечание 1 - Если в рабочем положении объекта его ось симметрии не вертикальна, то должны быть проведены испытания при двух направлениях дождя относительно объекта:
- при падении дождя на наклонный объект в направлении, параллельном вертикальной плоскости, проходящей через ось симметрии объекта;
- в направлении, перпендикулярном к этой плоскости.
Примечание 2 - Если данный объект имеет несколько рабочих положений, то испытание под дождем допускается проводить только для одного положения объекта, соответствующего наиболее низкому значению электрической прочности при испытании под дождем.
4.5.2 Испытание изоляции под дождем следует проводить при соблюдении нормированных условий в части значений интенсивности дождя, температуры и удельного сопротивления воды, указанных в таблице 2 и
приложении Г.
Таблица 2
Условия дождевания для стандартного метода
Условия дождевания | Единица | Диапазон |
Среднее значение интенсивности дождя для всех измерений: | | |
- вертикальная составляющая | [мм/мин] | от 1,0 до 2,0 |
- горизонтальная составляющая | [мм/мин] | от 1,0 до 2,0 |
Предельные значения интенсивности для любого отдельного измерения и для каждой составляющей | [мм/мин] | +/- 0,5 от среднего значения |
Температура воды | [°C] | Температура окружающей среды +/- 15 |
Удельное сопротивление воды  при температуре воды 20 °C, Ом·м | [мкСм/см] | 100 +/- 15 |
4.5.3 Удельное сопротивление воды рекомендуется определять в соответствии с
приложением Г. Удельное сопротивление воды, определенное при температуре воды
t, должно быть приведено к температуре 20 °C по формуле

(13)
где

- поправочный коэффициент для определения удельного сопротивления воды в зависимости от температуры, определяемый по
рисунку 5. Если по техническим причинам заданное удельное сопротивление воды не может быть получено, то допускается использовать воду с меньшим удельным сопротивлением. Значение этого сопротивления должно быть указано в протоколе испытаний.
Интенсивность дождя определяют с помощью водосборника в течение не менее 30 с. Для этого применяют разделенный водосборник с отверстиями площадью от 100 до 750 см2, расположенными соответственно на горизонтальной и вертикальной поверхностях его отделения. Отверстие на вертикальной поверхности должно быть расположено перпендикулярно к плоскости струи воды.
Интенсивность дождя следует измерять около оси объекта (или его испытуемой части) как можно ближе к объекту, но так, чтобы в водосборник не попадали отраженные от объекта капли воды. Измерения выполняют у верхней, средней и нижней точек объекта, если его высота составляет от 1 до 3 м, или только у средней точки, если высота объекта оказывается менее 1 м. Для объектов высотой более 3 м число измерительных зон должно быть увеличено, чтобы охватить все измерительные зоны по высоте объекта без их взаимного наложения.
Рисунок 5 - Поправочный коэффициент

для определения удельного сопротивления воды
в зависимости от температуры
На результаты испытаний могут оказывать влияние локальные аномальные (высокие или низкие) значения интенсивности дождя. Рекомендуется выявлять их с помощью локализованных измерений и в случае необходимости улучшать однородность интенсивности дождевания.
Водосборник следует перемещать вверх и вниз вблизи точки измерения, при этом ширина зоны измерения должна соответствовать ширине испытуемого объекта, а высота зоны должна быть не более 1 м.
При испытании объектов с горизонтальными размерами более 2 м измерения должны быть выполнены в двух или трех местах в горизонтальной плоскости, причем в каждом из этих мест - у верхней, средней и нижней точек объекта или только у средней точки.
Температуру воды и ее проводимость определяют по пробе, собранной непосредственно перед началом дождевания. Пробы воды могут быть взяты и из других мест (например, из накопительного резервуара), если проверка подтверждает отсутствие существенных изменений в характеристиках воды к моменту начала дождевания. До приложения испытательного напряжения испытуемый объект должен быть подвергнут предварительному воздействию дождя, по крайней мере, в течение 15 мин при нормированных условиях, приведенных в
таблице 2, и эти условия должны сохраняться в пределах нормированных допусков в течение всего времени испытания, которое должно быть проведено без прекращения дождевания. В указанное время может входить время, затраченное на регулирование и измерение интенсивности дождя. Предварительное воздействие дождя в течение 15 мин можно проводить водопроводной водой, не удовлетворяющей нормированным условиям. За этим воздействием должно следовать второе предварительное воздействие дождя в течение, по крайней мере, 2 мин, с использованием воды с нормированными параметрами, которые следует измерить сразу же перед началом испытания.
4.5.4 При испытании изоляции под дождем поправочный коэффициент на плотность воздуха определяют в соответствии с
4.4.
4.5.5 Если иное не указано в соответствующих НД на электрооборудование отдельных видов, методика испытаний под дождем должна быть точно такой же, как и методика испытаний в сухом состоянии.
4.6.1 Последовательность испытаний отдельными видами напряжения при необходимости устанавливают в НД на электрооборудование отдельных видов.
4.6.2 Результаты испытаний электрической прочности изоляции вносят в протокол испытаний или рабочий журнал, где должны быть зафиксированы данные наблюдений и измерений, с помощью которых выявляют наличие или отсутствие повреждения испытуемой изоляции, а также (если объект не выдержал испытание) данные о напряжении, при котором произошло повреждение изоляции (значение напряжения, длительность его выдержки до момента обнаружения повреждения, число приложений напряжения, предшествовавших повреждению и т.д.), о месте и характере повреждения изоляции.
В протоколе испытания внешней изоляции указывают атмосферные условия (температуру воздуха, атмосферное давление и абсолютную влажность воздуха), при которых проводились испытания, а также указывают введенные поправки на атмосферные условия.
4.6.3 Если изоляция электрооборудования не выдержала типового или периодического испытания, то повторное проведение испытания с неизменной конструкцией и технологией изготовления изоляции допускается в том случае, когда установлено, что:
- испытуемая конструкция изоляции не выдержала испытания по причине, не связанной с устройством, размерами конструкции и технологией изготовления изоляции;
- поврежден инвентарный ввод.
После замены инвентарного ввода проводят повторное испытание при том же виде напряжения и его полярности, при которых произошло повреждение. Если к условиям повторного проведения типового и периодического испытаний электрооборудования с неизменной конструкцией и технологией изготовления изоляции предъявлены дополнительные требования (например, для изоляторов - число образцов, подлежащих испытанию, и порядок их отбора), то эти условия должны быть указаны в НД на электрооборудование отдельных видов.
5 Испытания напряжениями грозовых импульсов
5.1 Определение значения испытательного напряжения и параметров импульса
5.1.1 Напряжение полного грозового импульса - напряжение грозового импульса в отсутствие полного разряда (см. рисунок 6). Для получения грозового импульса напряжения обычно используются генераторы импульсных напряжений (ГИН).
Рисунок 6 - Полный грозовой импульс напряжения
5.1.2 Выброс - превышение напряжения над максимальным значением импульсного напряжения вследствие появления затухающих колебаний напряжения вблизи максимального значения, вызванных параметрами испытательной схемы.
Примечание - Такие колебания (частотой, как правило, в диапазоне от 0,1 до 2 МГц) вызваны индуктивностью испытательной схемы, и в ряде случаев их невозможно избежать в громоздких схемах или при испытании объектов с большой индуктивностью. Методы оценки выбросов приведены в
приложении Б.
5.1.3 Зарегистрированная кривая - графическое или цифровое представление данных об импульсном напряжении.
5.1.4 Опорный уровень - уровень регистрации импульсной измерительной системой при нулевом сигнале на ее входе.
5.1.5 Базисная кривая - расчетная кривая напряжения полного грозового импульса без наложенных колебаний (см.
приложение Б).
5.1.6 Разностная кривая
R(
t) - разность между зарегистрированной и базисной кривыми (см.
приложение Б).
5.1.7 Наибольшее значение Uм - максимальное значение зарегистрированной кривой, измеренное от опорного уровня.
5.1.8 Максимум базисной кривой Uб - максимальное значение базисной кривой.
5.1.9 Функция испытательного напряжения k(f) - амплитудно-частотная функция, определяющая реакцию изоляции на воздействующие импульсы напряжения с выбросами. Функция k(f) выражается формулой
Примечание - Применение этой функции в качестве фильтра к разностной кривой напряжения позволяет выполнить расчет значения испытательного напряжения, эквивалентного напряжению полного грозового импульса (см.
приложение Б и
приложение В).
Рисунок 7 - Функция испытательного напряжения
5.1.10 Отфильтрованная разностная кривая Rf(t) - разностная кривая, отфильтрованная функцией испытательного напряжения.
5.1.11 Кривая испытательного напряжения - сумма базисной и отфильтрованной разностной кривых.
Примечание - Кривая является математическим представлением процесса фильтрации, а не физической сущностью или эквивалентным импульсом.
5.1.12 Эквивалентный сглаженный импульс - расчетное напряжение грозового импульса без выброса с максимальным значением, равным максимальному значению кривой испытательного напряжения, и той же длительностью фронта и длительностью импульса, что и соответствующая кривая испытательного напряжения.
Примечание - По физической сущности результат воздействия на изоляцию эквивалентного сглаженного импульса идентичен результату воздействия на нее зарегистрированной кривой напряжения.
5.1.13 Значение испытательного напряжения Ut - максимальное значение кривой испытательного напряжения, измеренное от опорного уровня.
5.1.14 Величина выброса

- разность между экстремальным значением зарегистрированной кривой и максимальным значением базисной кривой.
5.1.15 Относительная величина выброса

- отношение величины выброса к экстремальному значению напряжения, как правило, выраженное в процентах.
5.1.16 Длительность фронта импульса
Tф определяют как время, превышающее в 1,67 раза интервал времени
T между моментами, когда напряжение составляет 30 и 90% своего максимального значения (точки
A и
B на рисунке 8). При линейной временной развертке регистрирующей системы длительность фронта импульса равна длине отрезка
O1O2, которую определяют, как показано на рисунке 8.
Рисунок 8 - Временные параметры напряжения
полного грозового импульса
5.1.17 Условное начало импульса определяют как момент времени, находящийся ранее момента, соответствующего точке A, на время, равное 0,3Tф (точка O1 на рисунке 8) или 0,5T.
Примечание - Для осциллограмм с линейной временной разверткой это будет точка пересечения с осью абсциссы прямой линии, проведенной через точки A и B на фронте импульса.
5.1.18 Средняя крутизна фронта импульса - наклон наиболее подходящей прямой линии, рассчитанной по зарегистрированной кривой с использованием всех результатов обработки кривой между 30% и 90% уровнями экстремального значения, и обычно выраженный в кВ/мкс.
Примечание - В случае шума или колебаний при 30%-ных и 90%-ных уровнях напряжения набор данных ограничен первой точкой после последнего пересечения 30%-ного уровня и последней точкой перед первым пересечением 90%-ного уровня.
5.1.19 Время подъема до максимума Tм - отношение наибольшего значения Uм к средней крутизне фронта импульса.
5.1.20 Длительность полного импульса
Tи определяют как интервал времени между условным началом импульса
O1 и моментом на спаде импульса, когда значение напряжения понизилось до половины максимального значения. При линейной временной развертке длительность импульса равна длине отрезка
O1D, которую определяют по
рисунку 8.
5.1.21 Интервал времени импульсного напряжения

- интервал времени, в пределах которого зарегистрированная кривая напряжения превышает

, где

(см. рисунок 9).
Рисунок 9 - Интервал времени импульсного напряжения
5.1.22 Интеграл импульсного напряжения - интеграл зарегистрированной кривой напряжения в пределах нормированного интервала времени импульсного напряжения (см. рисунок 10).
Рисунок 10 - Интеграл импульсного напряжения
5.1.23 Срезанный грозовой импульс - грозовой импульс напряжения, срезанный полным разрядом, что вызывает резкое падение напряжения практически до нуля (см. рисунки 11 -
13).
Рисунок 11 - Грозовой импульс, срезанный на фронте
Рисунок 12 - Грозовой импульс, срезанный на спаде импульса
Рисунок 13 - Линейно нарастающий импульс,
срезанный на фронте
5.1.24 За значение испытательного напряжения срезанного импульса (разрядного напряжения) принимают:
- максимальное значение напряжения импульса, если разряд произошел на максимуме напряжения или за ним;
- напряжение в момент разряда (среза), если разряд произошел на фронте импульса.
5.1.25 Момент среза импульса - момент времени начала резкого изменения формы импульса вследствие быстрого снижения напряжения (точка
C на
рисунках 11 и
12).
5.1.26 Предразрядное время импульса
Tc определяют как интервал времени между условным началом импульса
O1 и моментом среза (см.
рисунки 11 и
12).
5.1.27 Длительность среза импульса
Tд.с определяют как время, превышающее в 1,67 раза интервал времени
T' между моментами, когда напряжение на срезе составляет 70% и 10% значения напряжения в момент среза (точки
D и
E на
рисунках 11 и
12).
5.1.28 Крутизну среза импульса определяют как частное от деления напряжения в момент среза на длительность среза.
Примечание - Следует учитывать, что при использовании обычных средств измерения длительность среза и его крутизна не могут быть определены с достаточной степенью точности.
5.1.29 Коэффициент перехода напряжения через нулевое значение
k0 определяют как отношение максимального значения первого полупериода колебаний после среза напряжения к максимальному значению срезанного импульса.
5.1.30 Наибольшее значение колебаний после среза - максимальная амплитуда колебаний после среза, измеренная от опорного уровня в направлении, противоположном направлению формирования импульса до среза (см.
рисунок 11).
5.1.31 Линейно нарастающий импульс, срезанный на фронте - импульс, скорость нарастания напряжения которого остается приблизительно постоянной до момента среза.
Данный срезанный импульс считается практически линейно нарастающим, если фронт импульса в интервале времени между моментами, когда напряжение составляет 30 и 100% значения напряжения в момент среза, находится между двумя прямыми, параллельными прямой
AB и отстоящими от нее на интервал времени, равный +/- 0,05 длительности фронта
Tф (см.
рисунок 13). Точки
A и
B - точки пересечения с горизонталями, соответствующими 30% и 90% значения напряжения в момент среза.
Импульс определяется:
- максимальным напряжением Uм;
- длительностью фронта Tф;
- условной крутизной S: S = Uм/Tф.
5.2 Стандартный грозовой импульс напряжения
5.2.1 Стандартный полный грозовой импульс должен быть полным апериодическим униполярным и иметь следующие параметры:
- длительность фронта Tф - (1,2 +/- 0,36) мкс;
- длительность импульса Tи - (50 +/- 10) мкс;
- допуск на максимальное значение напряжения импульса - +/- 3%.
Обозначение импульса: "1,2/50".
В ряде случаев при определенных параметрах испытательных схем и испытуемых объектов оказывается практически невозможным обеспечить временные параметры стандартного грозового импульса в пределах указанных допусков. В таких случаях допускается увеличение длительности фронта Tф, длительности импульса Tи или допусков на эти параметры, что должно быть отражено в соответствующих НД на электрооборудование отдельных видов.
Примечания
1 Допускается применять апериодический импульс с наложенными колебаниями и единичными выбросами напряжения при условии, что максимальные отклонения напряжения от средней кривой вследствие колебаний и выбросов не превышают 10% максимального значения напряжения вблизи максимума импульса (когда напряжение не ниже 90% максимального значения). Допускаются колебания на фронте импульса, однако амплитуды их должны быть таковы, чтобы кривая напряжения не выходила за пределы прямой линии, проведенной через точки
A' и
B' (см.
рисунок 14), которые лежат на вертикалях, проведенных через точки
A и
B (по
5.1.16), причем расстояние
AA' равно 25%, а
BB' - 5% максимального значения напряжения. При наличии колебаний на фронте точки
A и
B следует брать на средней кривой (см.
рисунок 14).
2 При испытании силовых трансформаторов, трансформаторов напряжения и реакторов допускается применение колебательного импульса, параметры основной части которого (до первого перехода напряжения через нуль) соответствуют требованиям, предъявляемым к стандартному импульсу, а наибольшее из максимальных значений остальной части импульса не превышает 50% максимального значения основной части импульса.
3 При испытании объектов, имеющих большую емкость, допускается увеличение длительности фронта импульса до 3 мкс. В НД на электрооборудование отдельных видов могут быть допущены импульсы с большей длительностью фронта.
4 При испытании объектов, имеющих малую индуктивность, допускается, как исключение, применять полный импульс с длительностью, уменьшенной до 15 мкс.
5 Указанные в
5.2.1 и далее допустимые отклонения для формы импульса и значения испытательного напряжения представляют собой отклонения измеренных значений от нормированных.
Рисунок 14 - Допустимые колебания на фронте импульса
5.2.2 Стандартный срезанный грозовой импульс должен представлять собой полный импульс, определенный по
5.2.1, срезанный при предразрядном времени 2 - 5 мкс. В тех случаях, когда необходимо учитывать параметры среза по
5.1.26 -
5.1.29 или часть из них, например, при испытании трансформаторов, значения, допуски, а также требования к воспроизводимости этих параметров должны быть указаны в НД на электрооборудование отдельных видов. Для получения срезанного импульса могут быть применены управляемые и неуправляемые шаровые или стержневые разрядники. При испытании силовых трансформаторов, трансформаторов напряжения и реакторов в качестве срезающего устройства рекомендуется применение шаровых разрядников. При применении неуправляемых шаровых разрядников допускается увеличение длительности фронта импульса, при этом срез должен происходить на фронте при напряжении, равном 0,75 - 0,9 максимального значения несрезанного импульса. Срезанный импульс может быть апериодическим (его длительность не нормируется) или колебательным. При испытании самовосстанавливающейся изоляции допускается не пользоваться срезающим устройством.
5.3 Определение и подбор значений параметров импульсов при испытаниях
5.3.1 При испытании нормированным напряжением характеристики импульса (напряжение, временные параметры и форма кривой) измеряют по
ГОСТ 17512 и контролируют поверенными измерительными системами (делители напряжения, измерительные устройства: цифровые измерительные системы, амплитудные вольтметры, осциллографы) при каждом испытании каждого объекта, кроме случаев, когда последовательно испытывают серию идентичных объектов. При испытании внутренней изоляции форму каждого импульса при нормированном значении испытательного напряжения следует проверять путем осциллографирования. Определение формы импульса путем расчета схемы испытательной цепи не может рассматриваться в качестве доказательства реальной формы импульса.
5.3.2 Перед приложением нормированного испытательного напряжения характеристики импульса контролируют при подключенном объекте при напряжении не менее 50% нормированного испытательного для объектов с несамовосстанавливающейся изоляцией и при напряжении не менее 90% нормированного испытательного для объектов с самовосстанавливающейся изоляцией.
5.3.3 Перед приложением к испытуемому объекту нормированного испытательного напряжения полного или срезанного импульса должна быть проведена градуировка испытательного генератора импульсов напряжения (ГИН) при присоединенном объекте с измерением параметров импульсов по
ГОСТ 17512 для установления зависимости между показаниями применяемого при испытаниях измерительного устройства и получаемыми при этом значениями испытательного напряжения. Для объектов с несамовосстанавливающейся изоляцией градуировку следует проводить при напряжении не менее 50% нормированного испытательного с последующей экстраполяцией; для объектов с самовосстанавливающейся изоляцией - при напряжении 90% - 100% нормированного испытательного. При испытании объектов с несамовосстанавливающейся изоляцией рекомендуется снять градуировочную кривую ГИН при отключенном объекте или при включенном объекте приложить промежуточные импульсы с напряжениями, равными примерно 75% и 90% нормированного напряжения, и измерить их по показаниям измерительного устройства. На основании этих данных пересчетом определяют градуировку ГИН при подключенном объекте вплоть до напряжения, равного нормированному испытательному напряжению.
При отсутствии калиброванного измерительного устройства с делителем в процессе градуировки ГИН определяют масштабный коэффициент поверенного измерительного устройства. Окончательно значение приложенного напряжения при испытании нормированным напряжением определяют по показаниям поверенного измерительного устройства с регистрацией осциллограмм.
5.4 Измерение тока во время испытаний импульсными напряжениями
Требования к измерению тока, протекающего через испытуемый объект при его испытании импульсным напряжением, должны быть отражены в соответствующих НД на электрооборудование отдельных видов.
5.5.1 Общие требования к методам испытаний
Требования, предъявляемые при испытании отдельных видов испытуемых объектов (испытательное напряжение, его полярность, которая должна быть использована, предпочитаемый порядок чередования полярности, если используются обе полярности напряжения, число последовательных приложений напряжения и интервал времени между ними) должны быть установлены в соответствующих НД на электрооборудование отдельных видов, принимая во внимание следующие факторы:
- обеспечение требуемой точности результатов испытания;
- случайный характер наблюдаемых явлений;
- зависимость от полярности измеряемых характеристик;
- возможность прогрессирующего ухудшения состояния изоляции при повторяющихся приложениях напряжения.
5.5.2 Для определения соответствия изоляции нормированным испытательным напряжениям применяют следующие методы:
1) Методы испытания выдерживаемым напряжением, к которым относятся:
- трехударный метод (А) - рекомендуется при отдельном испытании несамовосстанавливающейся изоляции;
- трехударный метод (Б);
- пятнадцатиударный метод (рекомендуется при отдельном испытании самовосстанавливающейся изоляции и при совместном испытании самовосстанавливающейся и несамовосстанавливающейся изоляции);
2) Метод разрядного напряжения (рекомендуется при отдельном испытании самовосстанавливающейся изоляции).
Применение методов - по НД, устанавливающим требования к электрической прочности изоляции электрооборудования и электроустановок.
При испытании должно быть приложено нормированное число импульсов испытательного напряжения каждой полярности (положительной и отрицательной) или только одной полярности в соответствии с указаниями НД на требования к электрической прочности изоляции.
Интервал времени между приложениями импульсов должен быть не менее 1 мин.
5.5.3 Испытание трехударным методом (А)
5.5.3.1 К испытуемому объекту должно быть приложено три импульса напряжения нормированной формы, полярности и значения испытательного напряжения.
5.5.3.2 При испытании полным грозовым импульсом допускается параллельно испытуемому объекту присоединять шаровой разрядник с разрядным напряжением 115% - 120% прикладываемого испытательного напряжения в случае испытания силовых трансформаторов, трансформаторов напряжения и реакторов и 105% - 110% в случае испытания другого электрооборудования. При испытании на шаровом разряднике не должно быть разряда.
5.5.3.3 Объект считают выдержавшим испытание, если не произошло ни одного полного разряда в изоляции и не обнаружено недопустимых повреждений изоляции.
Наличие недопустимых повреждений изоляции устанавливают на основе рассмотрения комплекса признаков, указанных в НД на это электрооборудование.
При испытании силовых трансформаторов, трансформаторов напряжения и реакторов для обнаружения недопустимых повреждений изоляции в качестве основного применяют метод, основанный на изменении при повреждении изоляции формы колебаний напряжений и токов в обмотках при приложении к испытуемой обмотке импульса напряжения. При сомнениях в интерпретации искажений формы колебаний допускается приложить дополнительно от одного до трех импульсов испытательного напряжения.
При испытании аппаратов, изоляторов, конденсаторов и трансформаторов тока для обнаружения недопустимых повреждений изоляции должны быть рассмотрены один или несколько из следующих признаков:
- искажение формы приложенного импульса;
- выход пузырьков газа на поверхность зеркала заполняющей жидкости;
- отсутствие разряда на срезающем промежутке и на внешней изоляции при испытании срезанными импульсами напряжения при наличии среза напряжения на осциллограмме приложенного импульса;
- существенная разница между значениями емкостей и (или) в кривых зависимости тангенсов угла диэлектрических потерь от напряжения, измеренных до и после импульсного испытания конденсаторов, трансформаторов тока напряжением 20 кВ и выше с основной жидкой или твердой изоляцией (за исключением фарфоровой) и вводов со слоистой изоляцией;
- отрицательные результаты испытания напряжением промышленной частоты, проводимого после испытания грозовыми импульсами, при этом одноминутное испытательное напряжение, используемое в качестве критерия выдерживания импульсного испытательного напряжения, должно быть приложено в течение 1 мин независимо от вида изоляции.
5.5.4 Испытание трехударным методом (Б)
5.5.4.1 К испытуемому объекту должно быть приложено три импульса напряжения нормированной формы, полярности и значения испытательного напряжения.
5.5.4.2 Объект считают выдержавшим испытание, если не произошло ни одного полного разряда в изоляции и не обнаружено недопустимых повреждений изоляции по
5.5.3.3.
Если происходит от одного до двух полных разрядов, испытуемый объект считается не выдержавшим испытание. Если происходит один полный разряд в самовосстанавливающейся изоляции, прикладываются 9 дополнительных импульсов, и если при этом полные разряды не происходят, испытуемый объект считается выдержавшим испытание.
Если происходит срабатывание любой системы защиты от повреждения в несамовосстанавливающейся изоляции, испытуемый объект считается не выдержавшим испытания.
5.5.5 Испытание пятнадцатиударным методом
5.5.5.1 К испытуемому объекту должно быть приложено 15 импульсов напряжения нормированной формы, полярности и значения испытательного напряжения.
5.5.5.2 Объект считают выдержавшим испытание, если не произошло ни одного полного разряда или недопустимого повреждения по
5.5.3.3 в несамовосстанавливающейся изоляции (внешней или внутренней) и произошло не более двух полных разрядов из каждой серии 15 импульсов в самовосстанавливающейся изоляции.
Примечания
1 Если при испытании газонаполненного оборудования полный разряд произошел при приложении импульса с номерами от 13 до 15, то необходимо приложить еще три импульса (максимум 18); при этом полный разряд должен отсутствовать. Рекомендуется провести осмотр частей оборудования с несамовосстанавливающейся изоляцией.
2 При отдельном испытании внешней изоляции допускаются частичные разряды во внутренней изоляции.
При указанных условиях допускается также принять меры по устранению частичных разрядов во внутренней изоляции, если это не вносит искажения в электрическое поле внешней изоляции, а также повысить прочность внутренней изоляции газонаполненного электрооборудования повышением давления газа.
5.5.5.3 Испытания полным и срезанным импульсами самовосстанавливающейся изоляции электрооборудования, не имеющего обмоток или конденсаторных обкладок, допускается заменять одним испытанием полным импульсом. В этом случае испытания проводят без срезающего устройства.
Испытания и оценку результатов проводят в последовательности:
- к испытуемому объекту прикладывают полные импульсы с максимальным значением, равным нормированному значению испытательного напряжения срезанного импульса;
- если на испытуемом объекте произойдет не более двух разрядов, то изоляцию считают выдержавшей испытание как полным, так и срезанным импульсами и отдельные испытания при нормированных полном и срезанном импульсах проводить не следует;
- если произошло более двух полных разрядов и предразрядное время не более чем для двух из них будет менее 2 мкс, то изоляцию считают выдержавшей испытание срезанным импульсом и должны быть проведены отдельно испытания нормированным испытательным напряжением полного импульса.
5.5.6 Испытание методом разрядного напряжения
5.5.6.1 Испытание проводят одним из методов полного разряда, указанных в
А.2 приложения А, с последующей оценкой результата в соответствии с
приложением А.
При испытании внешней изоляции значение разрядного напряжения определяют с учетом поправочных коэффициентов на атмосферные условия по
4.4.
Объект считают выдержавшим испытание, если нормированное испытательное напряжение меньше или равно выдерживаемому, определенному по
формуле А.1 приложения А.
5.6 Определение вольт-секундной характеристики изоляции
5.6.1 Вольт-секундную характеристику изоляции можно определять при линейно нарастающих импульсах или при импульсах постоянной формы.
5.6.2 Вольт-секундную характеристику при линейно нарастающих импульсах определяют путем приложения к изоляции серии импульсов напряжения, отвечающих требованиям
5.1.31, у которых примерно равными ступенями изменяется скорость нарастания напряжения
S на фронте импульса, и вызывающих полный разряд на объекте испытания.
При этом необходимо, чтобы полный разряд происходил всегда на фронте импульса в его линейной части.
Для каждого импульса по осциллограмме определяют разрядное напряжение по
5.1.24 и предразрядное время
Tс по
5.1.26.
Число ступеней нарастания скорости напряжения должно быть не менее четырех, а число импульсов на каждой ступени - не менее пяти.
По полученным экспериментальным точкам строят верхнюю и нижнюю огибающие кривые, а также среднюю кривую, приведенные на
рисунке 15 а. Указания об использовании кривых или отдельных точек вольт-секундной характеристики могут быть даны в НД на электрооборудование отдельных видов.
5.6.3 Вольт-секундную характеристику при импульсах постоянной формы (обычно стандартных грозовых импульсах) определяют путем приложения к изоляции серии импульсов напряжения постоянной формы с различными максимальными значениями, вызывающих полный разряд на объекте испытания.
Для каждого импульса по осциллограмме определяют разрядное напряжение по
5.1.24 и предразрядное время
Tс по
5.1.26. Число ступеней изменения напряжения должно быть не менее четырех, а число импульсов на ступени - не менее пяти.
Построение вольт-секундной характеристики и указания по ее использованию приведены на рисунке 15 б и в
5.6.2.
Рисунок 15 - Вольт-секундные характеристики изоляции
6 Испытания напряжениями коммутационных импульсов
6.1 Определение значения испытательного напряжения и параметров импульса
6.1.1 При испытании изоляции электрооборудования применяют следующие формы коммутационного импульса:
- колебательный импульс, представляющий собой затухающие колебания напряжения около нулевого значения (см.
рисунок 17 а) или униполярные колебания вокруг составляющей более низкой частоты (см.
рисунок 17 б).
Форма импульса (апериодическая или колебательная) и его параметры должны быть указаны в НД на электрооборудование отдельных видов.
Рисунок 16 - Апериодический коммутационный импульс
Рисунок 17 - Колебательный коммутационный импульс
6.1.2 За значение разрядного напряжения принимают максимальное значение напряжения импульса, если разряд произошел на максимуме напряжения и за ним, и значение напряжения в момент разряда (среза), если разряд произошел на подъеме напряжения (фронте).
6.1.3 Начало импульса O1 - момент времени, начиная с которого зарегистрированная кривая начинает монотонный подъем.
6.1.4 Время подъема импульса
Tп определяют как интервал времени между моментами, когда напряжение равно нулю (начало импульса
O1) и когда оно достигнет своего максимального значения
A (см.
рисунки 16 и
17).
6.1.5 Длительность импульса
Tи (время до полуспада) определяют как интервал времени между началом импульса
O1 и моментом, когда значение напряжения понизилось до половины максимального значения (см.
рисунки 16 и
17).
Примечание - При испытании внутренней изоляции силовых трансформаторов, трансформаторов напряжения и шунтирующих реакторов длительность импульса определяют как интервал между началом импульса O1 и первым переходом напряжения через нулевое значение (время до нуля).
6.1.6 Время свыше 90% определяют как интервал времени между точками на фронте и спаде импульса, где значение напряжения равно 90% максимального значения.
6.2 Стандартные коммутационные импульсы напряжения
6.2.1 Стандартный апериодический коммутационный импульс должен иметь следующие параметры, определяемые по
6.1.4 -
6.1.5 и
рисунку 16:
- время подъема Tп - (250 +/- 50) мкс;
- длительность импульса Tи - (2500 +/- 1500) мкс;
- допуск на максимальное значение импульса - +/- 3%.
Обозначение импульса: "250/2500".
Допускается применение апериодических импульсов 100/2500, 500/2500 и 1000/5000 с допусками: на время подъема - +/- 20%, на длительность - +/- 60% и на максимальное значение - +/- 3%. Необходимость применения этих импульсов должна быть указана в НД на электрооборудование отдельных видов.
6.2.2 Стандартный колебательный коммутационный импульс должен иметь форму, указанную на
рисунке 17 а. Полярность импульса определяется полярностью первого полупериода. Параметры импульса должны быть следующими:
а) для внутренней (испытуемой отдельно от внешней) изоляции газонаполненного электрооборудования:
- время подъема Tп - (4000 +/- 1000) мкс;
- длительность импульса Tи - (7500 +/- 2500) мкс;
- допуск на максимальное значение импульса - +/- 3%.
Обозначение импульса: "4000/7500".
Допускается применение униполярного импульса, приведенного на
рисунке 17 б, с параметрами стандартного колебательного импульса;
б) для внутренней изоляции силовых трансформаторов и шунтирующих реакторов:
- время подъема Tп - не менее 20 мкс;
- длительность импульса Tи - не менее 500 мкс;
- время свыше 90% T90 - не менее 200 мкс;
- допуск на максимальное значение импульса - +/- 3%.
Обозначение импульса: "20/500".
6.2.3 Форма и параметры коммутационного импульса, которым следует испытывать ту или иную изоляцию, а также отношение максимального значения второго полупериода к максимальному значению первого и время свыше 90%, если они влияют на результаты испытания, должны быть указаны в НД на электрооборудование отдельных видов.
6.3 Определение и подбор значений параметров импульсов при испытаниях
6.3.1 На испытание напряжением коммутационного импульса распространяются указания
5.3.
6.3.2 Требования к значениям суммарной емкости объекта и дополнительной емкости испытательных установок такие же, как и при испытании напряжением промышленной частоты по
7.3.5.
6.3.3 При испытании объектов с емкостной характеристикой (выключатели, разъединители, вводы, изоляторы, трансформаторы тока, конденсаторы и т.д.) апериодическим коммутационным импульсом напряжения рекомендуется использовать ГИН.
При испытании объектов приложенным колебательным импульсом напряжения рекомендуется применять схемы на основе испытательного трансформатора (каскада трансформаторов) или генератора импульсных напряжений.
При испытании трансформаторов индуктированным колебательным импульсом напряжения рекомендуется применять схемы, основанные на принципе разряда конденсаторной батареи на обмотку низшего напряжения (НН) испытуемого трансформатора непосредственно или через промежуточный трансформатор.
6.3.4 Для стандартного апериодического коммутационного импульса время подъема импульса Tп можно оценить с помощью выражения
Tп = K·T(90 - 30),
где K - безразмерная константа, равная:
K = 2,42 - 3,08·10-3·T(90 - 30) + 1,51·10-4 Tи,
T(90 - 30) - интервал времени, в течение которого напряжение на фронте импульса поднимается с 30% до 90% максимального значения, T(90 - 30) и Tи - в мкс.
Примечание - Для стандартного коммутационного импульса обычно принимается Tп = 2,4T(90 - 30).
6.3.5 На измерение характеристик напряжения коммутационных импульсов и токов распространяются указания
5.3 и
5.4.
6.4.1 Для определения соответствия изоляции нормированным испытательным напряжениям применяют те же методы, что и при напряжении грозового импульса
(5.5.2).
Применение методов и полярность импульсов - по НД на требования к электрической прочности изоляции электрооборудования и электроустановок
(5.5.2).
6.4.2 Испытание трехударным методом проводят в соответствии с
5.5.3 и
5.5.4.
При испытании аппаратов, трансформаторов тока и изоляторов наличие недопустимых повреждений устанавливают на основе рассмотрения комплекса признаков, изложенных в
5.5.3.3 и относящихся к импульсному напряжению.
6.4.3 Испытание пятнадцатиударным методом изоляции в сухом состоянии проводят в соответствии с
5.5.5.1 и
5.5.5.2.
6.4.4 Испытание пятнадцатиударным методом изоляции под дождем проводят в соответствии с
5.5.5.1 при условиях дождевания
4.5.2.
Объект считают выдержавшим испытание, если во время приложения каждой серии из 15 импульсов (положительной и отрицательной полярностей) произошло не более двух полных разрядов в самовосстанавливающейся изоляции.
Если произошло более двух перекрытий, то испытание повторяют при тех же самых условиях (приложением импульсов той полярности, при которой произошли перекрытия). Объект считают выдержавшим испытания, если при повторном испытании произошло не более двух перекрытий.
6.4.5 Испытание методом разрядного напряжения
Испытание изоляции методом разрядного напряжения с последующей оценкой результата следует проводить в соответствии с
5.5.6.1.
7 Испытания переменным напряжением
7.1 Определение значения испытательного напряжения и его параметров
7.1.1 За значение испытательного напряжения принимают условное действующее значение напряжения, определенное делением измеренного амплитудного значения на

. При испытании напряжением ниже 150 кВ, приложенным от внешнего источника, допускается значение испытательного напряжения определять по его действующему значению, измеренному, например, электростатическим вольтметром, если отношение амплитудного значения к действующему лежит в пределах

.
Примечание - В НД на электрооборудование отдельных видов могут быть указаны требования измерения действующего значения испытательного напряжения вместо амплитудного значения в случаях, когда действующее значение может играть важную роль, например, в тепловых процессах.
7.1.2 Амплитудное значение определяют как среднее от максимальных значений за период без учета незначительных высокочастотных колебаний, появляющихся на кривой напряжения вследствие, например, неполных разрядов.
7.1.3 Действующее значение определяют как квадратный корень из среднего арифметического квадратов значений напряжения за время одного периода.
7.2 Стандартное испытательное переменное напряжение
7.2.1 Частота напряжения должна быть в диапазоне от 45 до 65 Гц, кроме случаев испытания изоляции трансформаторов и реакторов индуктированным напряжением, когда допускается более высокая частота, но не более 400 Гц.
7.2.2 Форма кривой напряжения на объекте испытания должна быть практически синусоидальной, и оба полупериода близки по форме друг к другу с разницей величин положительных и отрицательных максимальных значений менее 2%; отношение амплитудного значения напряжения к действующему должно быть в пределах

.
7.2.3 Допустимое отклонение между нормированным и измеренным значениями испытательного напряжения не должно превышать +/- 1% при длительности приложения нормированного испытательного напряжения не более 1 мин.
При длительности приложения нормированного испытательного напряжения более 1 мин допустимое отклонение не должно превышать +/- 3%.
Примечания
1 Допуск представляет собой допустимую разность между нормированным и фактически измеренным значением напряжения. Эту разность следует отличать от погрешности измерения.
2 При испытании многообмоточных силовых трансформаторов одноминутным переменным напряжением, индуктированным в испытуемом трансформаторе, указание о допустимом отклонении между нормированным и измеренным значениями относится к напряжению линейного конца обмотки высшего напряжения (ВН) относительно земли.
7.3 Измерение напряжения и требования к испытательным установкам
7.3.1 При испытании нормированным испытательным напряжением его характеристики (значение, частоту и форму) определяют по
ГОСТ 17512 и контролируют поверенными измерительными системами.
Примечания
1 Отношение амплитудного значения напряжения к действующему определяют с помощью делителя напряжения, измерительного трансформатора напряжения и других измерительных устройств по показаниям вольтметров, измеряющих амплитудное и действующее значения напряжения, или других приборов, позволяющих определить указанное отношение.
2 При испытании объектов приложенным напряжением форму испытательного напряжения допускается не контролировать, если по расчету суммарное действующее значение напряжения высших гармоник не превышает 5% основной гармоники или если испытания проводят при значениях тока, для которых при ранее проведенных испытаниях было установлено, что требования к форме напряжения выполняются.
3 При испытании объектов напряжением, индуктированным в испытуемом объекте, необходимость контроля формы напряжения и допустимые отклонения от нормированной формы должны быть указаны в НД на электрооборудование отдельных видов.
4 Частоту испытательного напряжения допускается не контролировать, если она равна частоте внешней сети.
7.3.2 В целях защиты испытуемого объекта от случайного чрезмерного повышения напряжения параллельно испытуемому объекту допускается присоединять шаровой разрядник с пробивным напряжением, равным 110% - 120% испытательного. Рекомендуется между разрядником и испытуемым объектом включать защитный резистор.
7.3.3 Перед приложением к испытуемому объекту нормированного испытательного напряжения проводят градуировку испытательной установки при присоединенном объекте.
Для объектов с самовосстанавливающейся изоляцией градуировку проводят при напряжении 90% - 100% нормированного испытательного, а для объектов с несамовосстанавливающейся изоляцией - при напряжении не менее 50% нормированного испытательного.
7.3.4 Действующее значение установившегося тока короткого замыкания на стороне высшего напряжения испытательной установки при напряжении испытания должно быть не менее 1 А, кроме случаев, указанных в примечаниях.
Соответствие испытательной установки требованию настоящего пункта должно быть установлено расчетом тока короткого замыкания. Результаты расчета тока при номинальном напряжении испытательного трансформатора должны быть внесены в паспорт испытательной установки с указанием значения сопротивления защитного резистора, к которому отнесено значение тока.
Примечания
1 При испытании внутренней и внешней изоляции в сухом состоянии установившийся ток короткого замыкания испытательной установки допускается меньше 1 А, но не менее 0,3 А.
2 При испытании напряжением до 100 кВ изоляционных промежутков или частей изоляционных конструкций, заполненных жидким, газообразным, твердым диэлектриком или их комбинациями и испытуемых отдельно, установившийся ток короткого замыкания испытательной установки допускается меньше 1 А, но не менее 0,1 А.
7.3.5 При испытании электрооборудования, кроме газонаполненного, суммарная емкость испытуемого объекта и дополнительной емкости (делителя напряжения, измерительного шарового разрядника, а также специальной добавочной емкости) должна быть не менее 1000 пФ.
Примечание - Если сопротивление защитного резистора, включенного между испытуемым объектом и испытательным трансформатором, не превышает 1 кОм, емкость обмотки ВН трансформатора вместе с вводом может рассматриваться как одна из составляющих дополнительной емкости.
7.4 Измерение тока во время испытаний переменным напряжением
7.4.1 Для измерения тока обычно используют трансформатор тока, установленный на выводе заземления испытуемого объекта. Трансформатор тока может быть также установлен на высоковольтном проводе, соединяющем источник напряжения с испытуемым объектом.
7.4.2 Требования к измерению тока, протекающего через испытуемый объект при его испытании переменным напряжением, должны быть отражены в соответствующих НД на электрооборудование отдельных видов.
7.5.1 Для определения соответствия изоляции нормированным испытательным кратковременным переменным напряжениям применяют следующие методы:
1) метод испытания одноминутным напряжением;
2) метод среднего разрядного напряжения (рекомендуется для самовосстанавливающейся изоляции);
3) метод испытания напряжением при плавном подъеме (применяется для отдельного испытания внешней изоляции и испытания изоляции между контактами газонаполненных выключателей в соответствии с
ГОСТ 1516.3.
Применение того или другого метода - по НД на требования к электрической прочности изоляции электрооборудования.
7.5.2 Метод испытания одноминутным напряжением
7.5.2.1 Нормированное испытательное одноминутное напряжение прикладывают к изоляции однократно с выдержкой его в течение нормированного времени, указанного в
7.5.2.3 -
7.5.2.5.
7.5.2.2 Скорость подъема напряжения до 1/3 испытательного может быть произвольной (напряжение, равное указанному, может быть приложено толчком), дальнейшее повышение напряжения должно быть плавным и быстрым, но позволяющим при напряжении более 75% испытательного считывать показания измерительного прибора (рекомендуется скорость повышения около 2% нормированного значения в секунду). После достижения нормированного значения и выдержки при этом значении в течение нормированного времени (одноминутное) или без выдержки (при плавном подъеме) напряжение должно быть плавно и быстро снижено или до нуля, или до значения не выше 1/3 испытательного напряжения (после чего напряжение отключают).
Указанный способ подъема напряжения применяют также при определении среднего разрядного напряжения.
Примечание - Допустимые при испытании некоторых видов электрооборудования изменения методики подъема и снижения напряжения должны быть указаны в НД на электрооборудование отдельных видов.
7.5.2.3 При испытании объекта напряжением, приложенным от внешнего источника, длительность выдержки нормированного испытательного напряжения должна быть 1 мин.
Примечание - При испытании некоторых видов электрооборудования длительность выдержки нормированного испытательного напряжения может быть более 1 минуты, что должно быть отражено в НД на электрооборудование отдельных видов.
7.5.2.4 Для электрооборудования классов напряжения 220 кВ и ниже с основной органической твердой изоляцией (кроме бумажно-масляной) или изоляцией из кабельных масс длительность выдержки нормированного испытательного напряжения должна быть увеличена до 5 мин.
Аппараты классов напряжения 220 кВ и ниже со смешанной изоляцией, например, выключатели, имеющие деревянные, текстолитовые, бумажно-бакелитовые, стеклотекстолитовые детали, предназначенные для продолжительной работы под полным рабочим напряжением (например, тяги), допускается испытывать в течение 1 мин при условии, что детали из изолирующих материалов органического происхождения испытывали до сборки в течение 5 мин.
Допускается проводить испытание деталей по частям или их участкам, если предварительными исследованиями установлена доля напряжения, приходящаяся на испытуемую часть.
7.5.2.5 При испытании силовых трансформаторов, трансформаторов напряжения и реакторов напряжением, индуктированным в испытуемом объекте, при частоте до 100 Гц включительно длительность выдержки испытательного напряжения должна быть равна 1 мин, а при частоте
f более 100 Гц длительность выдержки испытательного напряжения
t в секундах должна быть уменьшена в соответствии с формулой

(14)
но не должна быть меньше 15 с.
7.5.2.6 При испытании внутренней изоляции и испытании внешней изоляции в сухом состоянии объект считают выдержавшим испытание, если во время его проведения не наблюдалось полного разряда или недопустимых повреждений.
При испытании изоляции масляных силовых трансформаторов, трансформаторов напряжения и масляных реакторов наличие недопустимых повреждений устанавливают на основе рассмотрения комплекса признаков, например изменения показаний приборов (амперметра, вольтметра), разряда на защитном шаровом промежутке, частичного повреждения изоляции, отмечаемого по звуку разрядов в баке и выделению газов или дыма, интенсивности частичных разрядов или других их характеристик (если это указано в стандартах на методы испытаний трансформаторов).
При испытании изоляции аппаратов, трансформаторов тока, изоляторов и конденсаторов наличие недопустимых повреждений устанавливают на основе рассмотрения следующих признаков:
- потрескивание;
- изменение показаний приборов, например амперметра или вольтметра;
- разряд на защитном шаровом промежутке;
- существенная разница между значениями емкостей и (или) между кривыми зависимости тангенса угла диэлектрических потерь от напряжения, измеренных до и после испытания конденсаторов, трансформаторов тока напряжением 20 кВ и выше с основной жидкой или твердой (кроме керамической) изоляцией и вводов со слоистой изоляцией;
- наличие следов от скользящих разрядов или стримерной короны на поверхности твердой органической изоляции;
- наличие скользящих разрядов или стримерной короны во внешней изоляции при приемо-сдаточных испытаниях, если они не наблюдались при типовых испытаниях.
В НД на электрооборудование отдельных видов могут быть установлены также и другие признаки наличия недопустимых повреждений.
Примечания
1 При приемо-сдаточных испытаниях аппаратов допускаются единичные частичные разряды в масле (потрескивание), если они не вызывают изменений режима в испытательной установке (изменений показаний приборов, разряда на защитном шаровом промежутке и т.п.) и отсутствуют при проведении повторного испытания.
2 При приемо-сдаточных испытаниях баковых масляных выключателей классов напряжения 110 кВ и выше допускаются единичные частичные разряды в масле, если они не вызывают изменений режима в испытательной установке (изменений показаний приборов, разряда на защитном шаровом промежутке и т.п.), появляются лишь по достижении полного значения испытательного напряжения и не появляются при проведении повторного испытания напряжением, равным 95% нормированного испытательного, при длительности его выдержки 30 с.
3 При испытании внутренней изоляции допускается возникновение слабой стримерной короны в воздухе и слабых скользящих разрядов по внешней поверхности фарфора.
7.5.2.7 Испытание изоляции под дождем проводят при условиях дождевания
4.5.
7.5.2.8 При испытании внешней изоляции под дождем объект считают выдержавшим испытание, если не произошло полного разряда в течение выдержки нормированного испытательного напряжения.
Если произошел полный разряд во внешней самовосстанавливающейся изоляции, то испытание должно быть повторено в тех же условиях испытания еще раз. Если при повторном приложении напряжения не произошло полного перекрытия, то объект считают выдержавшим испытание.
7.5.3 Метод среднего разрядного напряжения
7.5.3.1 Испытание проводят методом 100%-го разряда (см.
приложение А). При этом к испытуемому объекту прикладывают серию напряжений, плавно поднимаемых по
7.5.2.2 до полного разряда. Интервал между приложениями напряжения - не менее 1 мин.
Значение испытательного (разрядного) напряжения, достигнутое непосредственно перед полным разрядом, должно быть зарегистрировано.
При испытании внешней изоляции значение среднего разрядного напряжения определяют с учетом поправочных коэффициентов на атмосферные условия по
4.4.
7.5.3.2 Объект считают выдержавшим испытание, если нормированное испытательное напряжение меньше или равно выдерживаемому, определенному по
формуле (А.30) приложения А, или если нормированное среднее разрядное напряжение меньше или равно оценочному среднему разрядному напряжению

.
7.5.4 Метод испытания переменным напряжением при плавном подъеме
7.5.4.1 К испытуемому объекту должно быть приложено напряжение, значение которого поднимают до нормированного значения и затем без выдержки снижают до нуля по
7.5.2.2. Напряжение должно быть приложено 3 раза с интервалом между приложениями не менее 1 мин.
7.5.4.2 Испытание изоляции под дождем проводят при условиях дождевания
4.5.
7.5.4.3 Объект считают выдержавшим испытание, если во время испытания не произошло ни одного полного разряда. В случае одного полного разряда испытание должно быть повторено при шести приложениях напряжения; изоляцию считают выдержавшей испытание, если при повторном испытании не произошло ни одного полного разряда.
Примечания
1 При испытании изоляционных конструкций, собираемых из отдельных армированных элементов, не допускается полного разряда между арматурой отдельных элементов, если параллельно с элементами включены емкости значением более 1000 пФ каждая.
2 При отдельном испытании внешней изоляции допускаются частичные разряды во внутренней изоляции при условии, что испытуемый объект выдержал испытание внутренней изоляции. При указанном условии допускается также принимать меры по устранению частичных разрядов во внутренней изоляции, если это не вносит искажений в электрическое поле внешней изоляции, а также повышать прочность внутренней изоляции, например повышением давления сжатого газа.
7.6 Испытание изоляции на стойкость к тепловому пробою
7.6.1 Проверку стойкости изоляции к тепловому пробою проводят приложением к изоляции нормированного напряжения, выдерживаемого до достижения установившегося значения тангенса угла диэлектрических потерь.
Тепловой режим должен быть эквивалентен режиму при номинальном токе электрооборудования.
Для вводов силовых трансформаторов, шунтирующих и токоограничивающих реакторов, а также выключателей, предназначенных для работы в условиях погружения одного из концов ввода в горячее масло, указанный эквивалентный режим допускается осуществлять при погружении соответствующей части ввода в горячее масло, при этом температура окружающего воздуха должна быть от 15 °C до 20 °C. Температура масла, окружающего ввод, должна быть (90 +/- 20) °C, эту температуру измеряют в точке, расположенной на расстоянии 15 см от поверхности ввода и 3 см от поверхности масла.
7.6.2 Указанное в
7.6.1 испытание проводят, как правило, на собранных изделиях. В технически обоснованных случаях допускается проводить испытание на отдельных деталях (например, изоляторах, в том числе вводах, воздухопроводах, штангах, тягах) и узлах.
7.7 Испытание электрооборудования переменным напряжением на радиопомехи
7.7.1 Условия проведения испытания
7.7.1.1 Испытание проводят с изоляцией в сухом состоянии при относительной влажности окружающего воздуха не более 80%. Непосредственно перед проведением испытания изолирующие поверхности должны быть протерты чистой сухой тканью для удаления волокон и пыли. Испытание следует проводить не ранее чем через 2 ч после окончания других испытаний изоляции данного объекта.
7.7.1.2 Корпус, бак, основание и другие заземляемые части объекта должны быть заземлены. При испытании коммутационных аппаратов напряжение должно быть приложено как во включенном, так и в отключенном положениях аппарата. В отключенном положении испытание проводят дважды при приложении напряжения к одному из контактов и заземлении другого контакта. При симметрии электрического поля в изоляции между контактами испытание проводят один раз.
7.7.1.3 При испытании должны быть приняты меры для снижения влияния на результаты измерения заземленных и незаземленных посторонних окружающих предметов. Внешний фон радиопомех (уровень радиопомех, создаваемых внешним полем и испытательным трансформатором) должен быть не менее чем на 6 дБ ниже нормированного уровня радиопомех.
7.7.2 Методика проведения испытания
7.7.2.1 Измерение уровня радиопомех должно проводиться в соответствии с
ГОСТ 26196.
7.7.2.2 Уровень радиопомех (напряжение в микровольтах) должен быть измерен при напряжении

после его выдержки в течение не менее 5 мин (
Um - наибольшее рабочее напряжение электрооборудования).
7.7.2.3 Измерения следует проводить на частоте (500 +/- 50) кГц. Могут быть использованы другие измерительные частоты в диапазоне 0,5 - 2 МГц, если это указано в НД на электрооборудование отдельных видов.
Измерительную частоту указывают в протоколе испытаний.
7.7.2.4 Рекомендуется измерять характеристики радиопомех (зависимости уровня радиопомех от напряжения). При этом значение напряжения выдерживают в течение не менее 5 мин равным

, затем снижают ступенями, равными примерно

, до

, а затем повышают такими же ступенями до

и выдерживают в течение 1 мин, после чего такими же ступенями снова снижают до

. При последнем снижении напряжения на каждой ступени измеряют уровень радиопомех. Далее проводится не менее двух циклов повышения и снижения напряжения. Зависимость уровня радиопомех от напряжения при его снижении является характеристикой радиопомех электрооборудования.
7.7.2.5 Объект считают выдержавшим испытание, если уровень радиопомех при повторном подъеме напряжения до значения

не превышает нормированное значение, указанное в НД на электрооборудование отдельных видов.
7.8 Испытание внешней изоляции переменным напряжением на отсутствие видимой короны
7.8.1 Испытание на отсутствие видимой короны проводят в сухом состоянии в затемненном помещении, а на открытых площадках - в ночное время. Отсутствие видимой короны определяют визуально или фотографированием.
7.8.2 При визуальном определении наблюдению должно предшествовать 30-минутное пребывание наблюдателя в темноте.
7.8.3 При фотографировании отсутствие видимой короны определяют при полностью открытой диафрагме фотоаппарата. При невозможности обеспечения полного затемнения испытуемый объект фотографируют на фоне черного экрана.
7.8.4 При визуальном наблюдении для выявления возможных мест коронирования значение напряжения на испытуемом объекте поднимают плавно до 110% - 120% нормированного испытательного напряжения, затем снижают до нормированного значения, а при фотографировании поднимают до нормированного значения и выдерживают его 5 мин, в течение которых производится фоторегистрация.
7.8.5 Объект считают выдержавшим испытание, если при нормированном значении напряжения отсутствовала видимая корона или наблюдалась визуально или на фотографии только слабая корона без значительных стримеров, возникающих в отдельных точках.
8 Испытания постоянным напряжением
8.1 Определение значения испытательного напряжения и его параметров
8.1.1 За значение испытательного напряжения принимают его среднее арифметическое значение за время приложения напряжения.
8.1.2 Амплитуду пульсации постоянного напряжения (периодического отклонения от среднего арифметического значения) определяют как половину разности между максимальным и минимальным значениями напряжения.
Примечание - В случаях, когда форма пульсации близка к синусоидальной, допускается для определения амплитуды пульсации использовать истинные действующие ее значения, умноженные на

.
8.1.3 Коэффициент пульсации определяют как отношение амплитуды пульсации к среднему арифметическому значению, выраженное в процентах.
8.2 Стандартное испытательное постоянное напряжение
8.2.1 Испытательное напряжение, приложенное к испытуемому объекту, должно быть постоянным с коэффициентом пульсации не более 3%.
8.2.2 Допустимое отклонение между нормированным и измеренным значениями не должно превышать +/- 1% при длительности приложения нормированного испытательного напряжения не более 1 мин.
При длительности приложения нормированного испытательного напряжения более 1 мин допустимое отклонение не должно превышать +/- 3%.
Примечание - Допуск представляет собой допустимую разность между заданным и фактически измеренным значением. Эту разность следует отличать от погрешности измерения.
8.3 Измерение напряжения и требования к испытательным установкам
8.3.1 При испытании нормированным испытательным напряжением его значение и амплитуду пульсации измеряют по
ГОСТ 17512 и контролируют поверенными измерительными системами.
8.3.2 Перед приложением к испытуемому объекту нормированного испытательного напряжения должна быть градуирована испытательная установка при присоединенном объекте.
Для объектов с самовосстанавливающейся изоляцией градуировку проводят при напряжении 90% - 100% нормированного испытательного, а для объектов с несамовосстанавливающейся изоляцией - при напряжении не менее 50% испытательного с последующей экстраполяцией.
8.3.3 Источник испытательного напряжения должен обеспечивать условия, при которых падение напряжения на испытуемом объекте от токов утечки и частичных разрядов в схеме испытания и испытуемом объекте не превышало бы 10% нормированного испытательного напряжения.
8.4 Измерение тока при испытаниях постоянным напряжением
8.4.1 При протекании тока через испытуемый объект можно выделить следующие его составляющие:
- емкостный ток, возникающий вследствие начального подъема испытательного напряжения и пульсации или других наложенных на него колебаний;
- ток абсорбции, появляющийся вследствие медленных перемещений зарядов внутри изоляции и продолжающийся в течение времени от нескольких секунд до нескольких часов;
- длительный ток утечки, который является установившимся постоянным током, возникающим при постоянно приложенном напряжении после того, как вышеуказанные составляющие спадают до нуля;
- ток частичных разрядов.
8.4.2 Для измерения первых трех составляющих тока необходимо использовать приборы, охватывающие широкий диапазон значений тока. Необходимо обеспечить условия, при которых измерение любой составляющей тока не будет подвергаться неблагоприятному влиянию других составляющих.
8.4.3 Относительное значение и значимость каждой составляющей тока зависят от типа и состояния испытуемого объекта, цели проведения испытания и его длительности. В соответствии с этим методы измерения должны быть установлены в соответствующих НД на электрооборудование отдельных видов.
Измерения токов должны быть проведены с помощью поверенных измерительных средств и систем.
8.4.4 Измерения токов частичных разрядов должны проводиться в соответствии с
ГОСТ 20074.
Примечание - Измерительные цепи должны быть снабжены устройствами защиты от перенапряжений, которые могут возникнуть при полных разрядах, сопровождающихся токами, намного превышающими токи нормального режима.
8.5.1 Для определения соответствия изоляции нормированным испытательным кратковременным постоянным напряжениям применяют следующие методы:
1) метод испытаний постоянным напряжением с нормированной длительностью выдержки;
2) метод среднего разрядного напряжения (рекомендуется для самовосстанавливающейся изоляции).
8.5.2 Испытание постоянным напряжением с нормированной длительностью выдержки
8.5.2.1 Скорость подъема напряжения до 1/3 испытательного может быть произвольной (напряжение, равное указанному, может быть приложено толчком), дальнейшее повышение напряжения должно быть плавным и быстрым, но позволяющим при напряжении более 75% испытательного считывать показания измерительного прибора (рекомендуется скорость повышения около 2% нормированного значения в секунду). После достижения нормированного значения и выдержки при этом значении в течение нормированного времени напряжение должно быть снижено до нуля путем разрядки емкости испытательной схемы через соответствующее сопротивление, включая разрядку емкости испытуемого объекта (после чего напряжение отключают).
Указанный способ подъема напряжения применяют также при определении среднего разрядного напряжения.
Примечание - Допустимые при испытании некоторых видов электрооборудования изменения методики подъема и снижения напряжения должны быть указаны в НД на электрооборудование отдельных видов.
8.5.2.2 Длительность выдержки нормированного испытательного напряжения должна быть 1 мин.
Примечание - При испытании некоторых видов электрооборудования длительность выдержки нормированного испытательного напряжения может быть более 1 минуты, что должно быть отражено в НД на электрооборудование отдельных видов.
8.5.2.3 Объект считают выдержавшим испытание, если во время его проведения не произошло полного разряда или недопустимых повреждений изоляции, признаки которых должны быть указаны в НД на электрооборудование отдельных видов.
8.5.3 Метод среднего разрядного напряжения
8.5.3.1 Испытание проводят методом 100%-го разряда (см.
приложение А). При этом к испытуемому объекту прикладывают серию напряжений, плавно поднимаемых по
7.5.2.2 до полного разряда. Интервал между приложениями напряжения - не менее 1 мин.
Значение испытательного (разрядного) напряжения, достигнутое непосредственно перед полным разрядом, должно быть зарегистрировано.
При испытании внешней изоляции значение среднего разрядного напряжения определяют с учетом поправочных коэффициентов на атмосферные условия по
4.4.
8.5.3.2 Число приложений напряжения определяется в соответствующих НД на электрооборудование отдельных видов.
8.5.3.3 Объект считают выдержавшим испытание, если нормированное испытательное напряжение меньше или равно выдерживаемому, определенному по
формуле (А.30) приложения А, или если нормированное среднее разрядное напряжение меньше или равно оценочному среднему разрядному напряжению

.
9 Испытания комбинированным и наложенным напряжениями
9.1 Определение значения испытательного напряжения и его параметров
9.1.1 При испытаниях изоляции электрооборудования могут использоваться комбинированное и наложенное напряжения.
9.1.2 При испытаниях комбинированным напряжением к двум высоковольтным выводам испытуемого объекта от двух разных испытательных установок прикладываются испытательные напряжения противоположной полярности (см.
рисунок 18).
Примечание - Испытаниям комбинированным напряжением подвергаются, например, продольная изоляция выключателей, межконтактная изоляция разъединителей и междуфазная изоляция электрооборудования в трехфазном исполнении.
9.1.3 За значение комбинированного испытательного напряжения принимается максимальная разность потенциалов между двумя высоковольтными выводами испытуемого объекта (см.
рисунок 19 а).
Примечание - Стилизованные осциллограммы комбинированного напряжения и его составляющих приведены на
рисунке 19 а для случая, не учитывающего емкостной связи между двумя высоковольтными выводами 1 и 2 испытуемого объекта. При испытании реальных объектов такая связь всегда существует. Благодаря этой связи потенциал каждой составляющей комбинированного напряжения будет вызывать падение напряжения на высоковольтных выводах 1 и 2 (

- на выводе 1 от потенциала на выводе 2 и

- на выводе 2 от потенциала на выводе 1). В результате максимальная разность потенциалов между двумя высоковольтными выводами окажется меньше испытательного напряжения (
U =
U1 -
U2) на величину

. Поэтому для обеспечения испытаний с нормированным значением комбинированного испытательного напряжения (
U =
U1 -
U2) необходимо скомпенсировать указанные падения напряжений путем увеличения составляющих напряжения на соответствующую величину.
Рисунок 18 - Структурная схема испытаний
комбинированным напряжением
9.1.4 Интервал времени между моментами, когда две составляющие напряжения достигают своих максимальных значений, определяется задержкой по времени

(см.
рисунок 20).
9.1.5 При испытаниях наложенным напряжением к одному высоковольтному выводу испытуемого объекта от двух разных испытательных установок прикладываются испытательные напряжения одноименной или противоположной полярности (см.
рисунок 21).
9.1.6 За значение наложенного испытательного напряжения принимается максимальное абсолютное значение, измеренное на испытуемом объекте (см.
рисунок 19 б).
9.1.7 Два испытательных напряжения, входящих в состав комбинированного или наложенного испытательных напряжений, определяются как составляющие этих напряжений.
9.1.8 Если в соответствующих НД на электрооборудование отдельных видов не указано иначе, различие между нормированным и измеренным значениями испытательных напряжений не должно превышать +/- 5%.
9.1.9 Допуск задержки по времени не должен превышать +/- 0,05
Tп, где
Tп - длительность фронта, или время подъема импульса, или четверть периода переменного напряжения.
Tп - значение времени одной из двух составляющих напряжения с наибольшими временными параметрами.
9.2 Измерение напряжения и требования к испытательным установкам
9.2.1 При испытаниях изоляции комбинированным напряжением должны использоваться два отдельных источника напряжения, каждый из которых через защитное сопротивление подводится к одному из высоковольтных выводов испытуемого объекта
(рисунок 18).
9.2.2 Защитные сопротивления должны выбираться таким образом, чтобы при возникновении полного разряда между высоковольтными выводами испытуемого объекта каждый источник напряжения был бы защищен от воздействия напряжения от другого источника напряжения.
9.2.3 Измерение напряжений между каждым из выводов высокого напряжения объекта испытания и землей должно проводиться в соответствии с требованиями
ГОСТ 17512.
Примечание - Для измерения составляющих комбинированного напряжения рекомендуется использовать двухканальное измерительное устройство.
Рисунок 19 - Стилизованное представление
комбинированного и наложенного напряжений
а - комбинация двух импульсных напряжений;
б - комбинация импульсного и переменного напряжений
Рисунок 20 - Определение задержки по времени

Рисунок 21 - Структурная схема испытаний
наложенным напряжением
9.2.4 При испытаниях изоляции наложенным напряжением оба источника напряжения должны соединяться с высоковольтным выводом испытуемого объекта через блокирующие устройства (см. рисунок 21).
9.2.5 Допуск задержки по времени определяется по
9.1.9.
9.2.6 Измерение наложенного напряжения между высоковольтным выводом испытуемого объекта и землей должно проводиться в соответствии с требованиями
ГОСТ 17512.
Примечание - Рекомендуется использовать трехканальное измерительное устройство, позволяющее регистрировать наложенное напряжение и две его составляющие
(рисунок 21).
9.2.7 На
рисунке 19 показано стилизованное представление комбинированного (см.
рисунок 19 а) и наложенного (см.
рисунок 19 б) напряжений при испытании изоляции комбинированным и наложенным напряжениями.
9.3 Методы испытаний комбинированным и наложенным напряжениями
9.3.1 Расположение объектов испытания и методы испытания комбинированным и наложенным напряжениями должны определяться соответствующими НД на электрооборудование отдельных видов.
9.3.2 При определении поправок на атмосферные условия параметр
q (4.4.4) должен быть рассчитан исходя из значения испытательного комбинированного или наложенного напряжения.
9.3.3 При определении поправок на атмосферные условия параметры
K1 и
K2 (
4.4.2 и
4.4.3) должны рассчитываться ориентируясь на составляющую с наибольшим значением испытательного напряжения.
9.3.4 Рассчитанные поправки на атмосферные условия должны применяться к обоим составляющим испытательного напряжения.
(рекомендуемое)
СТАТИСТИЧЕСКАЯ ОЦЕНКА РЕЗУЛЬТАТОВ ИСПЫТАНИЙ
А.1 Общие положения
А.1.1 Испытания электрической прочности изоляции со статистической оценкой результатов испытаний можно применять только в тех случаях, когда разряды в изоляции не вызывают изменений в состоянии испытуемого объекта, т.е. когда результаты каждого приложения напряжения являются независимыми от предыдущих. Это имеет место при испытании внешней самовосстанавливающейся изоляции, при испытании изоляции газонаполненных аппаратов с выполнением требований
4.2.5 настоящего стандарта в части осуществления операций "включение-отключение", а также при испытании несамовосстанавливающейся изоляции в случае, если разрядное (пробивное) напряжение определяют на основании испытания достаточного числа идентичных образцов, изготовленных по одной технологии.
А.1.2 Основной задачей статистической оценки результатов испытания изоляции является определение выдерживаемого напряжения с нормированной вероятностью и сравнение этого напряжения с нормированным значением.
В общем случае выдерживаемое с заданной вероятностью (обычно 90 или 50%) напряжение определяют по формуле

(А.1)
где Uв.о - выдерживаемое напряжение испытуемого объекта;

- нижнее значение 50%-ного разрядного напряжения (
U50) в доверительном интервале при заданной точности определения
U50;

- наибольшее значение в относительных единицах стандартного отклонения

в доверительном интервале при заданной точности определения

;

- коэффициент, определяемый заданной (нормированной) вероятностью выдерживания;

при нормированной вероятности выдерживания
p = 90% и

при
p = 50%.
Погрешность определения стандартного отклонения в настоящем стандарте нормируется не более 0,2 при доверительной вероятности 95%, а 50%-ного разрядного напряжения - 0,02 при той же доверительной вероятности.
А.1.3 Стандартное отклонение принимают равным:
- для внешней изоляции при напряжениях грозового импульса - 0,03;
- для элегазовой аппаратной изоляции при давлении 0,3 - 0,4 МПа при напряжении грозового импульса - 0,05, при напряжении коммутационного импульса - 0,06;
- для внешней изоляции при напряжениях коммутационного импульса в зависимости от типа межэлектродного промежутка:
кольцо (экран)-плоскость (земля), в том числе при наличии опорной конструкции из изоляторов в этом промежутке - 0,06,
стержень-плоскость (неэкранированный нож разъединителя против заземленной плоскости) - 0,08,
кольцо-кольцо, горизонтально расположенные (между экранами разъединителя):
между экранами одного и того же полюса - 0,06,
между экранами соседних полюсов - 0,05,
провод в пролете-земля - 0,04,
провод-провод в пролете - 0,03,
провод-провод параллельно и в пересечении на подстанции - 0,05,
провод-опора, экран-опора, экран-траверса - 0,06.
Для конструкций внешней изоляции, существенно отличающихся от приведенных, и для внутренней воздушной изоляции (воздух под давлением) значения стандартного отклонения определяют по результатам испытаний в соответствии с настоящим приложением.
А.2 Классификация статистических методов испытания
Относительно широкое распространение и достаточную проработку для статистической оценки результатов испытаний имеют следующие методы испытаний изоляции полным разрядом:
1) ступенчатый метод;
2) метод "вверх-вниз";
3) метод 100%-ного разряда.
Примечания
1 Ступенчатый метод и метод "вверх-вниз" применяются для оценки статистических параметров случайного события (появления полного разряда или противоположного ему события - отсутствия полного разряда): 50%-ного разрядного напряжения
U50 и стандартного отклонения

.
2 Метод 100%-ного разряда применяется для оценки статистических параметров случайной величины (значения разрядного напряжения Ui): среднего разрядного напряжения Uср и среднеквадратичного отклонения s. В отличие от двух первых методов метод 100%-ного разряда используют для статистической обработки результатов испытания изоляции лишь при полных разрядах на ней.
А.2.1 Ступенчатый метод испытания предусматривает приложение к объекту
j серий из
N приложений напряжения неизменной формы, в каждой из которых определяется относительное число разрядов (частость)
fj =
nj/
N. Для получения достоверных результатов число приложений
N должно быть не менее 20. В двух последовательных сериях значение амплитуды (уровень) воздействующего напряжения различается на величину ступени

, которая зависит от формы воздействующего напряжения, типа испытуемой изоляционной конструкции и исчисляется в долях от абсолютного значения ожидаемого стандартного отклонения

.
Ступенчатый метод используют в основном при испытаниях изоляции импульсными напряжениями, хотя он пригоден и при других формах воздействующего напряжения.
А.2.2 Метод испытания "вверх-вниз" предусматривает приложение к объекту одинаковых по форме и различных для каждого из последующих приложений по значению напряжений в зависимости от результата предшествующего приложения. Если при приложении данного напряжения на объекте испытания произошел полный разряд, то значение напряжения при последующем приложении уменьшают, если же полного разряда не было, то значение напряжения увеличивают.
Данный метод испытания так же, как и ступенчатый, применяемый, в основном, при испытаниях импульсными напряжениями, имеет то преимущество, что требует наименьшего числа опытов для определения 50%-ного разрядного напряжения с заданной точностью. Его используют, главным образом в тех случаях, когда значение стандартного отклонения нормировано и требуется определить только 50%-ное разрядное напряжение.
А.2.3 Метод 100%-ного разряда предусматривает многократное приложение к объекту непрерывно возрастающего или поддерживаемого неизменным напряжения до появления полного разряда. При каждом приложении регистрируют напряжение (и время), при котором происходит полный разряд.
Данным методом могут быть выполнены испытания при переменном, постоянном и импульсном напряжениях. В последнем случае требования к значению предразрядного времени Tр (диапазону изменения предразрядного времени) и соответствующему ему разрядному напряжению Uр (диапазону изменения разрядного напряжения) должны быть указаны в НД на электрооборудование отдельных видов.
А.3 Проведение испытания и анализ его результатов
В большинстве случаев зависимость вероятности разряда от амплитуды воздействующего напряжения (кривая эффекта) с достаточной для практических целей точностью аппроксимируется выражением, совпадающим с математической записью нормального закона распределения вероятности (распределение Гаусса)

(А.2)
В частности, принято считать, что статистические разрядные характеристики внешней самовосстанавливающейся изоляции удовлетворительно описываются выражением (А.2) при изменении вероятности разряда в пределах 2% - 98%, а для внутренней газовой изоляции - в пределах 10% - 90%.
При определении параметров функции распределения вероятности по экспериментальным данным из-за ограниченного числа опытов значения параметров кривой эффекта носят оценочный характер и обычно обозначаются:

- оценочное значение 50%-ного разрядного напряжения;

- оценочное значение стандартного отклонения, характеризующего наклон кривой эффекта.
А.3.1 Испытание ступенчатым
методом (А.2.1) может быть выполнено двумя способами:
1) определением относительного числа разрядов на нескольких различных уровнях напряжения;
2) только при двух значениях напряжения U1 и U2, соответствующих относительным числам разрядов (частости разряда) 0,1 и 0,9.
В качестве примера применения первого более простого способа проведения испытания ступенчатым методом в таблице А.1 приведены результаты испытания опорной изоляционной конструкции, а на
рисунке А.1 представлена кривая эффекта, построенная на вероятностной сетке по данным таблицы А.1.
Таблица А.1
Результаты испытания ступенчатым методом опорной
изоляционной конструкции (число приложений
напряжения в серии - N = 20)
Порядковый номер серии j | 1 | 2 | 3 | 4 |
Амплитуда приложенного напряжения Uj, кВ | 487 | 497 | 503 | 512 |
Число полных разрядов nj | 2 | 8 | 12 | 18 |
Частость полного разряда fj = nj/N | 0,1 | 0,4 | 0,6 | 0,9 |
Рисунок А.1 - Кривая эффекта, построенная по результатам
Ось ординат вероятностной сетки выполнена в масштабе нормального закона распределения вероятности, а поскольку построенная на ней кривая эффекта носит линейный характер, то она подчиняется этому закону.
Экспериментальное значение 50%-ного разрядного напряжения

составляет 500 кВ (см.
рисунок А.1). При подчинении кривой эффекта нормальному закону абсолютное оценочное значение стандартного отклонения

определяется разностью между 50%-ным и 16%-ным разрядными напряжениями и составляет 10 кВ. Оценочное значение относительного стандартного отклонения

, определяемое как

(А.3)
окажется равным

.
Испытание вторым способом, получившим название "двух точек", выполняют в следующей последовательности:
- проводят приблизительную оценку U50 при нескольких различных уровнях напряжения приложением 4 - 5 раз напряжения каждого уровня, а затем 10 раз напряжения того уровня, при котором наблюдались разряды и отсутствие разрядов; затем, если необходимо, корректируют уровень воздействующего напряжения;
- при напряжении

, где

- относительное значение ожидаемого стандартного отклонения, определяют относительное число разрядов
fр (частость разряда) при промежуточном числе приложений напряжения, равном 20;
- если частость разряда оказывается в пределах 0,85 - 0,95, то испытание продолжают до 100 приложений напряжения.
Уточненное значение
fр также должно находиться в указанных пределах, в противном случае корректируют уровень напряжения и опыт повторяют. После определения точки
U2 аналогичное испытание выполняют для определения точки
U1, соответствующей частости разряда в пределах 0,05 - 0,15, т.е. при напряжении

определяют частость разряда
fр сначала при промежуточном числе приложений напряжения и т.д.
Общее число приложений напряжения, равное 200, достаточно для получения погрешности для

(при его относительном значении не более 0,1) и 50%-ного разрядного напряжения, нормируемых настоящим стандартом (соответственно 0,2 и 0,02 при 95%-ной доверительной вероятности).
При больших значениях

необходимое суммарное число результатов
N может быть определено по приближенной формуле

(А.4)
где

- оценочное значение 50%-ного разрядного напряжения,

- относительная погрешность определения

.
При заданном значении

и доверительной вероятности 95%,

(А.5)
Полученные указанным способом значения
U1 и
U2 наносят на вероятностную сетку, как показано на
рисунке А.2. Через полученные точки проводят прямую линию. Абсолютное оценочное значение

определяют как разность напряжений, соответствующих вероятностям разрядов, равным 50% и 16%
(рисунок А.2), а оценочное значение 50%-ного разрядного напряжения

- как напряжение, соответствующее вероятности разряда 50%.
Значение 50%-ного разрядного напряжения
U50 и относительное значение стандартного отклонения

будут находиться в интервалах:

(А.6)

(А.7)
где

- оценочное относительное значение стандартного отклонения

.
Поскольку

- нижние значения 50%-ного разрядного напряжения (
U50) в доверительном интервале при заданной точности определения
U50, а

- наибольшее значение в относительных единицах стандартного отклонения

в доверительном интервале при заданной точности определения

, то значения

и

определяются по формулам:

(А.8)

(А.9)
В зависимости от величины

значения

и

определяются как:

и

при


и

при

Затем

и

подставляют в
формулу (А.1) для определения выдерживаемого напряжения и оценки результатов испытания.
А.3.2 При испытании методом "вверх-вниз" для определения 50%-ного разрядного напряжения
(А.2.2) разность между соседними уровнями напряжения

выбирают в пределах
где

- ожидаемое или нормируемое относительное значение стандартного отклонения;

- ожидаемое значение 50%-ного разрядного напряжения.
Результаты испытаний представляют в виде ряда возрастающих значений напряжения
U0,
U1,
U2, ...
Ui,
Um, следующих через равные ступени напряжения

, и соответствующих этим значениям напряжений чисел разрядов
n0,
n1,
n2, ...
ni,
nm и отсутствия разрядов

,

,

, ...

,

. Если суммарное число разрядов
N меньше суммарного числа отсутствия разрядов
N', то оценочное значение 50%-ного разрядного напряжения

определяют по формуле

(А.10)
где U0 - нижний уровень напряжения (нулевая ступень), которое прикладывали два или более раз;
N и A определяют по формулам:

(А.11)
Рисунок А.2 - Кривая эффекта, построенная по результатам
по двум уровням напряжения
Если суммарное число отсутствия разрядов меньше суммарного числа разрядов, то

(А.12)
где N' и A' определяют по формулам:

(А.13)
где m - число ступеней испытательного напряжения (без "нулевой" ступени).
Необходимое число приложений напряжения (ступеней - (
N +
N')) для определения 50%-ного разрядного напряжения с заданной точностью и доверительной вероятностью 95% при

и погрешность 50%-ного разрядного напряжения

вычисляют по приближенным формулам:

(А.14)

(А.15)
Абсолютное оценочное значение стандартного отклонения можно определить по формуле

(А.16)
где

(А.17)
В качестве примера применения метода испытаний "вверх-вниз"
(метод А.2.2) на рисунке А.3 приведены результаты испытания опорной изоляционной конструкции.
Рисунок А.3 - Результаты испытаний изоляции
Для приведенных на рисунке А.3 результатов испытаний исходными данными для определения оценочных значений 50%-ного разрядного напряжения

и стандартного отклонения

являются:
- нижний уровень напряжения (нулевая ступень) U0 = 480 кВ;
- ступень напряжения

;
- суммарное число разрядов N = 15;
- суммарное число отсутствия разрядов N' = 16.
Разряды происходили при трех уровнях напряжения i:
- первый уровень - 485 кВ - 3 разряда,
- второй уровень - 490 кВ - 8 разрядов,
- третий уровень - 495 кВ - 4 разряда.
Отсюда коэффициент A будет равен
Оценочное значение 50%-ного разрядного напряжения определяется по
формуле (А.10):
Абсолютное оценочное значение стандартного отклонения определяется по
формуле (А.16):
А.3.3 При испытании методом 100%-ного разряда
(А.2.3) результаты испытаний представляют серию из
N значений случайной величины - разрядного напряжения
Ui. В большинстве случаев статистические характеристики разрядного напряжения (зависимости вероятности появления
pi разрядного напряжения с совокупностью значений
U, равными или меньше
Upi, от величины разрядного напряжения) с достаточной для практических целей точностью аппроксимируются нормальным законом распределения с параметрами: среднее разрядное напряжение
Uср и среднеквадратичное отклонение
s, характеризующее разброс разрядных напряжений относительно
Uср (наклон кривой распределения вероятности).
По полученной совокупности значений
Ui определяют оценочное значение среднего разрядного напряжения

и абсолютное оценочное значение среднеквадратичного отклонения
sa по формулам:

(А.18)

(А.19)
Примечание - Вероятность
p50 появления разрядного напряжения с совокупностью значений

равна 50%.
Для исключения случайных ошибок результаты испытаний могут быть представлены графически на вероятностной сетке. Для этого значения разрядных напряжений располагают в порядке возрастания и нумеруют. Затем значения
pi =
Ni/(
N + 1) в процентах наносят на вероятностную сетку по оси ординат в функции от
Ui (рисунок А.4), где
Ni - число всех разрядов при напряжении
U <=
Upi, а
N - общее число приложений напряжения (разрядов).
Если среднеквадратичное отклонение не нормировано, то по полученным значениям

и

определяют среднее разрядное напряжение
Uср и абсолютное значение среднеквадратичного отклонения
sa по формулам:

(А.20)
Рисунок А.4 - Вероятность появления разрядного

(А.21)
где

(А.22)
tp,

,

являются функциями числа разрядов (приложений напряжения)
N и доверительной вероятности; при доверительной вероятности 95% соответствующие значения этих функций даны в таблице А.2
Таблица А.2
N | | | |
5 | 1,24 | 0,60 | 2,87 |
10 | 0,72 | 0,69 | 1,83 |
15 | 0,55 | 0,73 | 1,58 |
20 | 0,47 | 0,76 | 1,46 |
30 | 0,37 | 0,80 | 1,34 |
40 | 0,32 | 0,82 | 1,28 |
50 | 0,28 | 0,84 | 1,25 |
По полученным значениям

и

определяют

,

и

по формулам

(А.23)

(А.24)

(А.25)
где

- нижнее значение среднего разрядного напряжения (
Uср) в доверительном интервале при заданной точности определения
Uср;

- верхнее значение среднего разрядного напряжения (
Uср) в доверительном интервале при заданной точности определения
Uср;

- наибольшее значение в относительных единицах среднеквадратичного отклонения
s в доверительном интервале при заданной точности определения.
При числе опытов, равном 15, и доверительной вероятности, равной 95%:

(А.26)

(А.27)

(А.28)
Затем

,

и относительное значение среднеквадратичного отклонения

подставляют в формулы (А.29) и (А.30) для оценки верхней (формула (А.29)) и нижней (формула (А.30)) границ разброса разрядных напряжений относительно среднего значения
Uср.

(А.29)

(А.30)
где

- коэффициент, определяющий заданную (нормированную) вероятность появления разрядного напряжения со значением
U <=
Uр.в (
Uр.н). При вероятности появления разрядного напряжения со значениями
Uр.в(90) (
p = 90%) и
Uр.н(10) (
p = 10%)

. При
U =
Uср (
p = 50%)

.
Границы разброса разрядных напряжений можно также определить графически, используя кривую распределения
рисунка А.4.
А.4 Метод наибольшего правдоподобия
Метод наибольшего правдоподобия может использоваться для оценки результатов всех вышеуказанных методов испытаний при любой функции распределения вероятности. Данный метод допускает оценку параметров и, следовательно, значений разрядного напряжения Uр. Кроме того, можно, используя все полученные результаты, найти доверительные интервалы, относящиеся к любой доверительной вероятности C.
При испытании
методами А.2.1 и
А.2.2 известны число разрядов
N и число отсутствия разрядов
N' при каждом уровне напряжения
Ui. Если для функции распределения вероятности полного разряда справедливо выражение

, то при уровне напряжения
Ui вероятность разряда будет

, а вероятность отсутствия разряда будет

. Функция правдоподобия
Li, соответствующая
N разрядам и
N' отсутствия разрядов, при уровне напряжения
Ui будет

(А.31)
Поскольку
Ui,
N и
N' известны,
Li является функцией только параметров
U50 и

.
Правдоподобие всей совокупности результатов, охватывающих n значений Ui, будет

(А.32)
При испытании
методом А.2.3 каждому полному
i-му разряду соответствует значение напряжения
Ui. Обычно значение напряжения
Ui будет появляться
mi раз, где
mi >= 1. Логарифм правдоподобия
L будет

(А.33)
где f - функция плотности вероятности в окрестностях Ui(i = 1, ... n).
Наилучшие оценки параметров
U50,

- это такие значения
U*
50 и

, при которых достигается наибольшее значение
L. Расчеты должны проводиться численными методами.
При использовании компьютера максимальное значение
L можно найти итерационными методами расчетов для ожидаемых значений параметров (
U*
50 и

). Имея оцененные параметры, можно найти значение
Uр, соответствующее любому значению вероятности
p, используя ожидаемую функцию распределения вероятности разряда. При
C = 0,9 уравнение

позволяет определить эти доверительные интервалы.
Примечание - В дополнение к анализу, основанному на распределении Гаусса (см.
А.3.1), метод наибольшего правдоподобия позволяет также получать достоверные результаты для других функций распределения вероятности, а именно: для распределений Вейбула или Гумбела.
(рекомендуемое)
РАСЧЕТА ПАРАМЕТРОВ СТАНДАРТНЫХ ГРОЗОВЫХ ИМПУЛЬСОВ НАПРЯЖЕНИЯ
С НАЛОЖЕННЫМИ ВЫБРОСАМИ ИЛИ КОЛЕБАНИЯМИ
Б.1 Основы методик
Методики основаны на применении эмпирической формулы, описывающей значение испытательного напряжения
Ut, имитирующего грозовой импульс с наложенными колебаниями или выбросом величиной

:
Ut =
Uб +
k(
f)(
Uм -
Uб), (Б.1)
где Uб - максимальное значение базисной кривой;
Uм - максимальное значение напряжения без помех, полученное при регистрации;
k(f) - функция испытательного напряжения, зависящая от частоты и определяемая следующим выражением:

(Б.2)
где f - частота наложенных колебаний, МГц.
Б.2 Методика оценки параметров полных грозовых импульсов
Данная методика позволяет решать
уравнение (Б.1) и используется для компьютерной обработки данных цифровой регистрации импульсов. Методика применяется для получения кривой испытательного напряжения, по которой рассчитываются параметры импульса.
Методика включает в себя такую последовательность действий:
1) находится опорный уровень зарегистрированной кривой с помощью расчета среднего значения напряжения относительно горизонтальной линии в начале регистрации при входном напряжении, равном нулю;
2) устраняется сдвиг опорного уровня зарегистрированной кривой U(t), чтобы получить ту же кривую с компенсированным сдвигом U0(t) и использовать эту кривую для последующих действий;
3) находится наибольшее значение
Uм зарегистрированной кривой с компенсированным сдвигом
U0(
t) (рисунок Б.1);
Рисунок Б.1 - Зарегистрированная кривая напряжения
с выбросами, базисная кривая и кривая разности
двух первых кривых
4) находится последняя выборка данных на фронте импульса со значением напряжения, составляющим менее 0,2 от наибольшего значения
Uм;
5) находится последняя выборка данных на спаде импульса со значением напряжения, составляющим более 0,4 от наибольшего значения;
6) для дальнейшего анализа отбираются данные, начиная с выборки, следующей за выборкой, определенной в
перечислении 4, и кончая выборкой, определенной в перечислении 5;
7) используя данные, полученные в перечислении 6, подбираются неизвестные параметры следующей функции (см.
В.1 приложения В):
где t - время;
ud(t) - функция напряжения;
U,

,

и
td - параметры, которые должны быть найдены при подборе функции
ud(
t) <1>;
--------------------------------
<1>
U - постоянная амплитуда,

и

- постоянные времени импульса,
td - задержка времени между началом сглаживающей кривой и моментом запуска зарегистрированной кривой.
8) строится базисная кривая
Uб(
t), используя нулевые значения точек выборки вплоть до времени
td (как рассматривается в
п. 7) и значения
ud(
t) точек выборки от времени
td до момента последней выборки по
п. 5) (см.
рисунок Б.1);
9) вычитая из зарегистрированной кривой с компенсированным сдвигом U0(t) базисную кривую Uб(t), получаем разностную кривую R(t) = U0(t) - Uб(t) (рисунок Б.2);
Рисунок Б.2 - Кривая испытательного напряжения,
базисная кривая и отфильтрованная разностная кривая
10) создается цифровой фильтр с передаточной функцией
H(
f), равной функции испытательного напряжения
k(
f), определяемой
формулой (Б.2);
11) для получения отфильтрованной разностной кривой
Rf(
t) к разностной кривой
R(
t) применяется цифровой фильтр (см.
рисунок Б.2);
12) для получения кривой испытательного напряжения Ut(f) отфильтрованная разностная кривая Rf(t) добавляется к базисной кривой Uб(t);
13) по кривой испытательного напряжения
Ut(
t) рассчитываются величина испытательного напряжения
Ut и его временные параметры (см.
рисунок Б.2);
14) находится максимальное значение
Uб базисной кривой
Uб(
t) (см.
рисунок Б.2);
15) вычисляется относительная величина выброса

;
16) воспроизводится зарегистрированная кривая с компенсированным сдвигом
U0(
t) и кривая испытательного напряжения
Ut(
t) (см.
рисунок Б.3);
17) определяются и приводятся сведения о значениях испытательного напряжения
Ut, длительности фронта импульса
Tф, длительности импульса
Tи и относительной величине выброса

.
Рисунок Б.3 - Импульс испытательного
и зарегистрированного напряжений
Б.3 Методика ручной оценки параметров полных грозовых импульсов
Данная методика относится к ручной расчетной оценке параметров импульса с помощью графического решения
уравнения (Б.1).
Примечание - Вычисление вручную приводит к менее точным результатам, по сравнению с
методикой Б.2.
Методика включает в себя такую последовательность действий:
1) для устранения колебаний на фронте и амплитуде импульса вручную строится базисная кривая Uб(t) поверх зарегистрированной кривой U(t);
2) находятся максимальные значения Uб;
3) находится максимальное значение Uм зарегистрированной кривой U(t);
4) рассчитывается длительность выброса t путем нахождения разницы между значениями времени в двух точках пересечения кривых U(t) и Uб(t) по обе стороны от амплитуды U(t) и рассчитывается частота выброса f0 = 1/2t.
5) по
формуле (Б.2) рассчитывается значение амплитудно-частотной функции испытательного напряжения
k(
f);
6) по
формуле (Б.1) рассчитывается значение испытательного напряжения
Ut;
7) рассчитывается относительная величина выброса

;
8) для определения 30%-ных, 90%-ных и 50%-ных уровней напряжения по базисной кривой, используя Ut в качестве амплитудного значения напряжения, находятся временные параметры импульса;
9) приводятся данные о значении испытательного напряжения
Ut, длительности фронта
Tф, длительности импульса
Tи и относительной величине выброса

.
Б.4 Методика оценки параметров грозовых импульсов, срезанных на спаде
Данная методика использует алгоритм
п. Б.2 для вычисления параметров полных грозовых импульсов. Эта методика может применяться, если срез происходит при уровне напряжения ниже 95% уровня наибольшего значения.
Для данной методики необходимы две регистрации напряжения:
1) вычисляемого импульса, срезанного на спаде,
2) полного контрольного импульса, зарегистрированного, как правило, при более низком напряжении без изменения настроек измерительной системы.
Методика включает в себя такую последовательность действий:
Применяется последовательность действий от
1) до
3) Б.2 к полному контрольному и срезанному импульсам:
1) находится опорный уровень зарегистрированной кривой с помощью расчета среднего значения напряжения относительно горизонтальной линии в начале регистрации при входном напряжении, равном нулю;
2) устраняется сдвиг опорного уровня зарегистрированной кривой U(t), чтобы получить ту же кривую с компенсированным сдвигом U0(t) и использовать эту кривую для последующих действий;
3) находится наибольшее значение Uм зарегистрированной кривой с компенсированным сдвигом U0(t).
Далее применяется последовательность действий от
4) до
8) Б.2 к полному контрольному импульсу:
4) находится последняя выборка данных на фронте импульса со значением напряжения, составляющим менее 0,2 от наибольшего значения
Uм;
5) находится последняя выборка данных на спаде импульса со значением напряжения, составляющим более 0,4 от наибольшего значения;
6) для дальнейшего анализа отбираются данные, начиная с выборки, следующей за выборкой, определенной в
перечислении 4, и кончая выборкой, определенной в перечислении 5;
7) используя данные, полученные в перечислении 6, подбираются неизвестные параметры следующей функции (см.
В.1 приложения В):
где t - время;
ud(t) - функция напряжения;
U,

,

и
td - параметры, которые должны быть найдены при подборе функции
ud(
t) <1>;
--------------------------------
<1>
U - постоянная амплитуда,

и

- постоянные времени импульса,
td - задержка времени между началом сглаживающей кривой и моментом запуска зарегистрированной кривой.
8) строится базисная кривая
Uб(
t), используя нулевые значения точек выборки вплоть до времени
td [как рассматривается в
перечислении 7) и значения
ud(
t) точек выборки от времени
td до момента последней выборки по
перечислению 5)].
Далее применяется последовательность действий от
1) до
7) Б.2 к импульсу, срезанному на спаде:
1) находится момент среза;
2) находится точка, где кривая срезанного импульса начинает отклоняться от кривой полного контрольного импульса;
3) для дальнейшего анализа отбираются данные, включающие эту точку;
4) находится задержка по времени tL между зарегистрированным полным контрольным и срезанным импульсами (а именно: используя методику взаимной корреляции, или сличая уровни 30%-ных, 50%-ных и 80%-ных напряжений на фронте);
5) разницу в задержках по времени между полным и срезанным импульсами сводят к нулю;
6) вычисляется отношение E между амплитудами срезанного и полного импульсов (например, делением амплитудных значений или делением средних значений, рассчитанных для обеих регистраций на заданном интервале);
7) используя этот коэффициент E, корректируют амплитуду базисной кривой;
8) для получения разностной кривой R(t) = U0(t) - Uб(t) из зарегистрированной кривой с компенсированным сдвигом U0(t) вычитается градуированная коэффициентом E базисная кривая Uб(t);
9) создается цифровой фильтр с передаточной функцией
H(
f), равной функции испытательного напряжения
k(
f), определяемой
формулой (Б.2);
10) для получения отфильтрованной разностной кривой Rf(t) к разностной кривой R(t), применяется цифровой фильтр;
11) для получения кривой испытательного напряжения Ut(t) отфильтрованная разностная кривая Rf(t) добавляется к базисной кривой Uб(t);
12) по кривой испытательного напряжения Ut(t) определяется значение испытательного напряжения Ut и его временные параметры;
13) находится максимальное значение Uб базисной кривой Uб(t);
14) вычисляется относительная величина выброса

;
15) воспроизводятся зарегистрированная кривая U(t) и кривая испытательного напряжения Ut(t);
16) приводятся сведения о значениях испытательного напряжения
Ut, длительности фронта импульса
Tф, предразрядного времени
Tс и относительной величине выброса

.
(справочное)
ДЛЯ РЕАЛИЗАЦИИ КОМПЬЮТЕРНОЙ ПРОГРАММЫ РАСЧЕТА
ПАРАМЕТРОВ НАПРЯЖЕНИЯ ГРОЗОВОГО ИМПУЛЬСА
В.1 Руководство для выполнения подбора базисной кривой
Функция, которая должна соответствовать зарегистрированной кривой, имеет четыре неизвестных (
U,

,

и
td):

(В.1)
Алгоритм Левенберга - Марквардта и его модернизированные варианты были успешно использованы для подбора этой сглаживающей функции по зарегистрированной кривой. Ниже приводятся примеры программных обеспечений, которые использовались для указанной цели:
Программное обеспечение (опробированные версии) | Функция, используемая для подбора |
<1>, и его средства поддержки (версия 7.0.4) | lqscurvefit |
GNU Octave <2> (Версия 3.2.0) | leasqr |
LabVIEW TM <3> (LabVIEW 8 Professional) | Nonlinear Curve Fit |
LabWindows TM/CVI <4> (Версия 6.0) | NonLinearFit |
<1>  - торговая марка продукции, обеспечиваемая The MathWorks, Inc. <2> GNU Octave - свободно распространяемая компьютерная программа под общедоступной лицензией GNU, J.W. Eaton и т.д. http://www.gnu.org/software/octave/. <3> NI LABVIEW TM - торговая марка продукции, обеспечиваемая Объединением по национальным приборам. <4> NI LabWindows TM/CVI - торговая марка продукции, обеспечиваемая Объединением по национальным приборам. |
Установка начальных приближений для независимых параметров сокращает время вычислений. Начальные приближения для аппроксимирующей функции могут быть, например, следующими:
U - наибольшее значение кривой,

- 70 мкс,

- 0,4 мкс,
td - реальное или возможное начало импульса.
Нормализация данных (т.е.: представление значений напряжения и времени в относительных единицах при изменении этих параметров в пределах от 0 до 1) позволяет улучшить сходимость алгоритма. Подобранные нормализованные параметры затем необходимо вернуть к изначальным размерностям по напряжению и времени.
В.2 Пример цифрового фильтра как цифрового отображения функции испытательного напряжения
Для того чтобы в компьютерной программе было реализовано исполнение роли функции испытательного напряжения
k(
f) должно быть создано ее цифровое отображение - цифровой фильтр с амплитудно-частотной характеристикой, равной характеристике функции испытательного напряжения [
формула (Б.2) в приложении Б].
Приведенный ниже пример является эффективной и точной реализацией конструкции фильтра с бесконечной импульсной характеристикой (БИХ) нулевой фазы. Могут также использоваться другие фильтры, например, фильтры с конечной импульсной характеристикой (КИХ), создаваемые с помощью метода частотной выборки или методов проектирования фильтров с произвольной частотной характеристикой, основанные на использовании окон, а также коммерческое программное обеспечение.
БИХ-фильтр нулевой фазы позволяет ослабить сигнал лишь на половину необходимой величины, однако данные проходят через фильтр дважды: сначала в прямом, а затем в обратном направлении. Такая фильтрация позволяет получать на выходе функцию испытательного напряжения с пренебрежимо малой погрешностью по амплитуде и фазовому сдвигу.
Для создания прямого фильтра необходимы только два коэффициента:

(В.2)
где a = 2,2·10-12 (точка - 3 дБ коэффициента K фильтра);
TS - интервал дискретизации, используемый при записи сигнала;
x(i) - входной массив выборки (напряжения) в фильтр;
y(i) - выходной массив выборки из фильтра.
Например, при интервале дискретизации 10 нс коэффициенты a1 и b0 принимают значения:
a1 = -0,9585113, b0 = b1 = 0,02074434.
Фильтрация проводится дважды (один раз в прямом и один раз в обратном направлениях), используя прямой БИХ-фильтр со следующим разностным уравнением:
y(i) = 0,02074434(x(i) + x(i - 1)) +
+ 0,9585113y(i - 1). (В.3)
Чтобы избежать при вычислении численных ошибок, характерных для БИХ-фильтров, в коэффициентах фильтра должно использоваться достаточно большое число значащих цифр (в данном случае предпочтительно >= 6).
(рекомендуемое)
МЕТОДИКА ОПРЕДЕЛЕНИЯ УДЕЛЬНОГО СОПРОТИВЛЕНИЯ ВОДЫ
Г.1 Устройство измерительной ячейки
Устройство ячейки для измерения сопротивления воды показано на рисунке Г.1. Электроды рекомендуется изготовлять из платины.
1 - измерительная ячейка; 2 - стеклянный стакан;
3 - электроды; 4 - медный провод; 5 - стеклянная трубка;
6 - дренажное отверстие; 7 - пробка-фиксатор
Рисунок Г.1 - Прибор для измерения удельного
сопротивления воды
Допускается применение меди, однако в этом случае перед каждым циклом измерений электроды необходимо зачищать мелкой наждачной бумагой.
Диаметр электрода должен находиться в пределах 20 - 30 мм и отличаться от диаметра стеклянной трубки не более чем на 0,3 мм. Расстояние между электродами 50 - 100 мм. Погрешность определения внутреннего диаметра трубки и расстояния между электродами не более 2%.
Г.2 Порядок измерений
Перед началом измерений ячейку трижды прополаскивают дистиллированной или исследуемой водой. После этого прибор собирают в соответствии с
рисунком Г.1 и в него заливают воду так, чтобы ее уровень не менее чем на 10 мм превышал уровень верхнего электрода. При наличии пузырьков у верхнего электрода необходимо их устранить покачиванием прибора.
Сопротивление столба воды R (Ом) между электродами измеряют любым способом при условии, что во время измерения между электродами должно быть приложено переменное напряжение не менее 30 В. Погрешность измерений сопротивления должна быть не более 3%.
Удельное сопротивление воды

рассчитывают по формуле

(Г.1)
где F - сечение стеклянной трубки, см2; l - расстояние между электродами, см.
Примечание - При изготовлении прибора рекомендуется выдерживать соотношение F/l равным единице.