Главная // Актуальные документы // ГОСТ Р (Государственный стандарт)СПРАВКА
Источник публикации
М.: ИПК Издательство стандартов, 2002
Примечание к документу
Документ утратил силу с 1 января 2017 года в связи с изданием
Приказа Росстандарта от 13.07.2016 N 843-ст. Взамен введен в действие
ГОСТ Р 8.586-2016.
С 1 июля 2003 года до вступления в силу технических регламентов акты федеральных органов исполнительной власти в сфере технического регулирования носят рекомендательный характер и подлежат обязательному исполнению только в части, соответствующей целям, указанным в
пункте 1 статьи 46 Федерального закона от 27.12.2002 N 184-ФЗ.
Документ
введен в действие с 1 октября 2002 года.
Название документа
"ГОСТ Р 8.586-2001. Государственный стандарт Российской Федерации. Государственная система обеспечения единства измерений. Средства измерений характеристик искусственного и естественного излучения для обеспечения сохранности музейных экспонатов. Методика поверки"
(принят и введен в действие Постановлением Госстандарта России от 30.11.2001 N 504-ст)
"ГОСТ Р 8.586-2001. Государственный стандарт Российской Федерации. Государственная система обеспечения единства измерений. Средства измерений характеристик искусственного и естественного излучения для обеспечения сохранности музейных экспонатов. Методика поверки"
(принят и введен в действие Постановлением Госстандарта России от 30.11.2001 N 504-ст)
Принят и введен в действие
от 30 ноября 2001 г. N 504-ст
ГОСУДАРСТВЕННЫЙ СТАНДАРТ РОССИЙСКОЙ ФЕДЕРАЦИИ
ГОСУДАРСТВЕННАЯ СИСТЕМА ОБЕСПЕЧЕНИЯ ЕДИНСТВА ИЗМЕРЕНИЙ
СРЕДСТВА ИЗМЕРЕНИЙ ХАРАКТЕРИСТИК ИСКУССТВЕННОГО
И ЕСТЕСТВЕННОГО ИЗЛУЧЕНИЯ ДЛЯ ОБЕСПЕЧЕНИЯ
СОХРАННОСТИ МУЗЕЙНЫХ ЭКСПОНАТОВ
МЕТОДИКА ПОВЕРКИ
State system for ensuring the uniformity of measurements.
Instruments measuring the characteristics of artificial
and natural radiation for the safety of museum exhibits.
Methods for verification
ГОСТ Р 8.586-2001
Группа Т84.10
ОКСТУ 0008
ОКС 17.020
17.240
Дата введения
1 октября 2002 года
1 РАЗРАБОТАН Техническим комитетом по стандартизации ТК 386 "Основные нормы и правила по обеспечению единства измерений в области ультрафиолетовой спектрорадиометрии", Федеральным государственным унитарным предприятием "Всероссийский научно-исследовательский институт оптико-физических измерений" (ФГУП ВНИИОФИ) Госстандарта России, Государственным научно-исследовательским институтом реставрации (ГОСНИИР) Министерства культуры России
2 ПРИНЯТ И ВВЕДЕН В ДЕЙСТВИЕ
Постановлением Госстандарта России от 30 ноября 2001 г. N 504-ст
3 Настоящий стандарт соответствует рекомендациям Международной комиссии по освещению (МКО) - CIE N 53 "Методы определения характеристик радиометров и фотометров". - 1982 (Methods of characterizing the performance of radiometers and photometers)
4 ВВЕДЕНЫ ВПЕРВЫЕ
Настоящий стандарт распространяется на средства измерений характеристик световой среды при музейном мониторинге (далее - СИ ММСС), применяемые для обеспечения сохранности экспонатов в помещениях музеев - залах экспозиции художественных ценностей, помещениях фондохранилищ и реставрации.
Методы оценки погрешностей СИ ММСС, представленные в настоящем стандарте, соответствуют рекомендациям МКО, рекомендациям Министерства культуры
[1] и
СНиП 23-05 [2].
Настоящий стандарт устанавливает методику поверки СИ ММСС.
Межповерочный интервал СИ ММСС - 1 год.
В настоящем стандарте использованы ссылки на следующие стандарты:
| | ИС МЕГАНОРМ: примечание. ГОСТ 8.195-89 утратил силу с 1 января 2015 года в связи с введением в действие ГОСТ 8.195-2013 (Приказ Росстандарта от 10.10.2013 N 1154-ст). | |
ГОСТ 8.195-89 Государственная система обеспечения единства измерений. Государственная поверочная схема для средств измерений спектральной плотности энергетической яркости, спектральной плотности силы излучения и спектральной плотности энергетической освещенности в диапазоне длин волн 0,25 - 25,00 мкм; силы излучения и энергетической освещенности в диапазоне длин волн 0,2 - 25,0 мкм
ГОСТ 8.207-76 Государственная система обеспечения единства измерений. Прямые измерения с многократными наблюдениями. Методы обработки результатов наблюдений. Основные положения
ГОСТ 8.552-86 Государственная система обеспечения единства измерений. Государственная поверочная схема для средств измерений потока излучения и энергетической освещенности в диапазоне длин волн 0,03 - 0,4 мкм
Операции поверки СИ ММСС в соответствии с требованиями
[3] указаны в таблице 1.
Таблица 1
Наименование операции | Номер пункта настоящего стандарта | Проведение операции при поверке |
первичной | периодической |
1 Внешний осмотр | | Да | Да |
2 Опробование | | Да | Да |
3 Определение основных метрологических характеристик СИ ММСС | | Да | Да |
3.1 Определение погрешности СИ ММСС, возникающей из-за неидеальной коррекции спектральной чувствительности. Измерение относительной спектральной чувствительности в диапазоне длин волн 0,2 - 1,1 мкм | | Да | Да |
3.2 Определение погрешности чувствительности СИ ММСС | | Нет | Да |
3.3 Определение погрешности СИ ММСС, возникающей из-за отклонений значения коэффициента линейности от единицы. Определение границ диапазона измерений | | Да | Да |
3.4 Определение погрешности СИ ММСС, возникающей из-за неидеальной коррекции угловой зависимости чувствительности | | Да | Нет |
| | ИС МЕГАНОРМ: примечание. В официальном тексте документа, видимо, допущена опечатка: пункт 8.3.5 отсутствует. Возможно, имеется в виду пункт 8.4. | |
|
3.5 Определение основной относительной погрешности СИ ММСС | | Да | Да |
При проведении поверки используют основные и вспомогательные средства поверки, указанные в таблице 2.
Таблица 2
Номер пункта настоящего стандарта | Наименование и тип основного или вспомогательного средства поверки, обозначение нормативного документа, регламентирующего технические требования, метрологические и основные технические характеристики средства поверки |
| Установка для измерений спектральной чувствительности приемников излучения в диапазоне длин волн 0,2 - 1,1 мкм в составе рабочего эталона потока излучения и энергетической освещенности (РЭ ПИ и ЭО) по ГОСТ 8.552, включающая в себя источники излучения - лампы типов ЛД(Д), ДКсШ-120, КГМ-12-100, монохроматор типа МДР-23, фотоприемники типов Ф-34, ФПД-1, ФД-288К. Суммарное относительное среднее квадратическое отклонение (СКО)  |
| | ИС МЕГАНОРМ: примечание. ГОСТ 8.195-89 утратил силу с 1 января 2015 года в связи с введением в действие ГОСТ 8.195-2013 (Приказ Росстандарта от 10.10.2013 N 1154-ст). | |
|
| Установка для измерений чувствительности СИ ММСС в диапазоне длин волн 0,2 - 1,1 мкм в составе РЭ спектральной плотности энергетической освещенности (СПЭО) по ГОСТ 8.195, включающая в себя источники излучения - лампы типов ДБ-30, ЛБ-18, КГМ-12-100, ДКсШ-120, радиометр. СКО  |
| Установка для измерений коэффициента линейности чувствительности СИ ММСС в составе РЭ ПИ и ЭО по ГОСТ 8.552, включающая в себя нейтральные ослабители, источники излучения - лампы типов ДКсШ-120, КГМ-12-100, ЛБ-18, ЛДЦ-2. СКО  |
| Установка для измерений угловой зависимости чувствительности СИ ММСС в составе РЭ ПИ и ЭО по ГОСТ 8.552, включающая в себя гониометр ГС-5. СКО  . |
5. Требования к квалификации поверителей
К поверке СИ ММСС допускают лиц, освоивших работу с поверяемыми приборами и используемыми эталонами и установками, изучивших требования настоящего стандарта, прошедших аттестацию в соответствии с
[4].
6. Требования безопасности
При поверке СИ ММСС необходимо соблюдение правил электробезопасности
[5]. Измерения могут выполнять операторы, аттестованные по группе электробезопасности не ниже III и прошедшие инструктаж на рабочем месте по безопасности труда при эксплуатации электрических установок. При работе с источниками УФ излучения необходимо использовать индивидуальные средства защиты от УФ излучения - защитные очки, щитки, перчатки и т.п. в соответствии с требованиями
[6].
В помещении, в котором эксплуатируют источники УФ излучения, должна быть предусмотрена приточно-вытяжная вентиляция для исключения вредного воздействия озона на людей.
7. Условия поверки и подготовка к ней
При проведении поверки соблюдают следующие условия:
- температура окружающего воздуха, °C ...................... 20 +/- 5;
- относительная влажность воздуха, % ....................... 65 +/- 15;
- атмосферное давление, кПа ................................ 84 - 104;
- напряжение питающей сети, В .............................. 220 +/- 4;
- частота питающей сети, Гц ................................ 50 +/- 1.
7.2 При подготовке к поверке необходимо включить все приборы в соответствии с их инструкциями по эксплуатации.
При внешнем осмотре должны быть установлены:
- соответствие комплектности СИ ММСС паспортным данным;
- отсутствие механических повреждений блоков СИ ММСС;
- сохранность соединительных кабелей и сетевых разъемов;
- четкость надписей на панели и шкалах;
- наличие маркировки (типа и заводского номера);
- отсутствие сколов, царапин и загрязнений на оптических деталях.
При опробовании должны быть установлены:
- наличие показаний СИ ММСС при освещении излучением в рабочем диапазоне длин волн;
- правильное функционирование переключателей пределов измерений.
8.3 Определение основных метрологических характеристик СИ ММСС
8.3.1 Определение погрешности СИ ММСС, возникающей из-за неидеальной коррекции спектральной чувствительности
Погрешность, вызванную отклонением реальной относительной спектральной чувствительности поверяемого СИ ММСС от стандартной
(приложение А), определяют по результатам измерений относительной спектральной чувствительности (ОСЧ) в диапазоне длин волн 0,2 - 1,1 мкм. ОСЧ поверяемого СИ ММСС сравнивают с известной спектральной чувствительностью эталонного приемника излучения в составе РЭ по
ГОСТ 8.552. В качестве СИ ММСС используют радиометры, спектрорадиометры, фотометры, приборы для измерения коэффициента пульсации излучения
(приложение Б).
При измерении ОСЧ радиометров в диапазоне длин волн 0,2 - 0,35 мкм используют источник излучения на основе дейтериевой лампы типа ЛД(Д), монохроматор типа МДР-23 и эталонный приемник излучения - фотодиод типа ФПД-1. В диапазоне длин волн 0,35 - 1,10 мкм используют источник излучения - лампу типа КГМ-12-100, монохроматор типа МДР-23 и эталонный приемник излучения - фотодиод типа ФД-288К.
Эталонный приемник излучения (далее - эталонный приемник) и поверяемое СИ ММСС поочередно устанавливают за выходной щелью монохроматора таким образом, чтобы поток монохроматического излучения не выходил за пределы апертурной диафрагмы поверяемого СИ ММСС. Регистрируют показания эталонного приемника

и поверяемого СИ ММСС

поочередно 5 раз на каждой длине волны с шагом 5 нм. Затем за выходной щелью монохроматора устанавливают светофильтр и регистрируют показания эталонного приемника

в вольтах и поверяемого СИ ММСС

в вольтах, соответствующие рассеянному излучению в монохроматоре. ОСЧ поверяемого СИ ММСС

рассчитывают по известным значениям ОСЧ

эталонного приемника по формуле

(1)
Для каждой длины волны определяют среднее арифметическое значение ОСЧ

. Оценку относительного среднего квадратического отклонения
Sо результата
n независимых измерений определяют по формуле

(2)
Суммарное относительное среднее квадратическое отклонение результатов измерений ОСЧ

, %, определяют по формуле

(3)
где

- неисключенная систематическая погрешность, определяемая погрешностью эталонного приемника.
Значение суммарного СКО результата измерений ОСЧ для каждой длины волны в диапазоне длин волн от 0,2 до 0,4 мкм должно быть не более 4%.
| | ИС МЕГАНОРМ: примечание. ГОСТ 8.195-89 утратил силу с 1 января 2015 года в связи с введением в действие ГОСТ 8.195-2013 (Приказ Росстандарта от 10.10.2013 N 1154-ст). | |
Измерения ОСЧ спектрорадиометров в диапазоне длин волн 0,2 - 1,1 мкм проводят с использованием эталонного источника излучения, поверенного в ранге РЭ СПЭО по ГОСТ 8.195.
ОСЧ спектрорадиометра определяют для исключения влияния рассеянного света на результаты измерений характеристик световой среды. Эталонные источники излучения - лампы типов ЛД(Д) и КГМ 12-100 устанавливают на расстоянии 0,3 - 1,0 м от спектрорадиометра так, чтобы значения СПЭО составляли (0,2 - 2,0)·10
6 Вт/м
3. Регистрируют показания спектрорадиометра в единицах СПЭО - ваттах на кубический метр (Вт/м
3). ОСЧ спектрорадиометра

определяют по отношению измеренных значений СПЭО к значениям СПЭО эталонного источника излучения. Погрешность определения ОСЧ спектрорадиометра оценивают в соответствии с
формулами (2) и
(3) по значениям СКО результата измерений и погрешности РЭ СПЭО ГОСТ 8.195. Значение суммарного СКО результата измерений ОСЧ должно быть не более 4%.
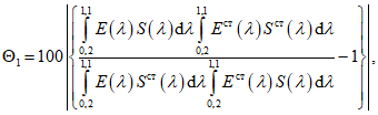
Погрешность спектральной коррекции

, вызванную отклонением реальной относительной спектральной чувствительности

поверяемого СИ ММСС от стандартной
(приложение А), %, определяют по формуле

(4)
где

- относительная спектральная плотность энергетической освещенности контрольных источников излучения;

- относительная спектральная плотность энергетической освещенности стандартного источника излучения.
Для определения возможности применять поверяемый прибор в качестве СИ ММСС для обеспечения сохранности музейных экспонатов в соответствии с настоящим стандартом установлены контрольные и стандартные источники излучения, табулированные значения

и

которых приведены в таблицах 3 -
12. Расчет по

необходимо выполнять с использованием специально разработанных компьютерных программ. Значение погрешности спектральной коррекции СИ ММСС

, рассчитанное для каждого контрольного источника, должно быть не более 6%.
Таблица 3
Значения

стандартного источника типа А
Длина волны, нм | | Длина волны, нм | | Длина волны, нм | |
250 | 2,13·10-4 | 440 | 1,05·10-1 | 630 | 5,61·10-1 |
255 | 3,01·10-4 | 445 | 1,13·10-1 | 635 | 5,75·10-1 |
260 | 4,26·10-4 | 450 | 1,21·10-1 | 640 | 5,88·10-1 |
265 | 5,78·10-4 | 455 | 1,30·10-1 | 645 | 6,01·10-1 |
270 | 7,83·10-4 | 460 | 1,39·10-1 | 650 | 6,14·10-1 |
275 | 1,03·10-3 | 465 | 1,48·10-1 | 655 | 6,27·10-1 |
280 | 1,33·10-3 | 470 | 1,58·10-1 | 660 | 6,39·10-1 |
285 | 1,68·10-3 | 475 | 1,68·10-1 | 665 | 6,52·10-1 |
290 | 2,09·10-3 | 480 | 1,78·10-1 | 670 | 6,64·10-1 |
295 | 2,57·10-3 | 485 | 1,88·10-1 | 675 | 6,76·10-1 |
300 | 3,13·10-3 | 490 | 1,99·10-1 | 680 | 6,88·10-1 |
305 | 3,75·10-3 | 495 | 2,10·10-1 | 685 | 7,00·10-1 |
310 | 4,49·10-3 | 500 | 2,22·10-1 | 690 | 7,12·10-1 |
315 | 5,37·10-3 | 505 | 2,33·10-1 | 695 | 7,24·10-1 |
320 | 6,38·10-3 | 510 | 2,45·10-1 | 700 | 7,35·10-1 |
325 | 7,55·10-3 | 515 | 2,57·10-1 | 705 | 7,46·10-1 |
330 | 8,94·10-3 | 520 | 2,69·10-1 | 710 | 7,57·10-1 |
335 | 1,04·10-2 | 525 | 2,81·10-1 | 715 | 7,68·10-1 |
340 | 1,21·10-2 | 530 | 2,94·10-1 | 720 | 7,78·10-1 |
345 | 1,42·10-2 | 535 | 3,07·10-1 | 725 | 7,88·10-1 |
350 | 1,62·10-2 | 540 | 3,20·10-1 | 730 | 7,98·10-1 |
355 | 1,85·10-2 | 545 | 3,33·10-1 | 735 | 8,07·10-1 |
360 | 2,12·10-2 | 550 | 3,46·10-1 | 740 | 8,16·10-1 |
365 | 2,39·10-2 | 555 | 3,59·10-1 | 745 | 8,25·10-1 |
370 | 2,70·10-2 | 560 | 3,72·10-1 | 750 | 8,34·10-1 |
375 | 3,05·10-2 | 565 | 3,86·10-1 | 755 | 8,42·10-1 |
380 | 3,44·10-2 | 570 | 3,99·10-1 | 760 | 8,51·10-1 |
385 | 3,84·10-2 | 575 | 4,12·10-1 | 765 | 8,59·10-1 |
390 | 4,27·10-2 | 580 | 4,26·10-1 | 770 | 8,67·10-1 |
395 | 4,72·10-2 | 585 | 4,39·10-1 | 775 | 8,75·10-1 |
400 | 5,21·10-2 | 590 | 4,52·10-1 | 780 | 8,83·10-1 |
405 | 5,74·10-2 | 595 | 4,66·10-1 | 785 | 8,90·10-1 |
410 | 6,33·10-2 | 600 | 4,79·10-1 | 790 | 8,97·10-1 |
415 | 6,90·10-2 | 605 | 4,93·10-1 | 795 | 9,04·10-1 |
420 | 7,56·10-2 | 610 | 5,07·10-1 | 800 | 9,11·10-1 |
425 | 8,20·10-2 | 615 | 5,21·10-1 | 805 | 9,18·10-1 |
430 | 8,90·10-2 | 620 | 5,34·10-1 | 810 | 9,24·10-1 |
435 | 9,68·10-2 | 625 | 5,48·10-1 | 815 | 9,30·10-1 |
Окончание таблицы 3
Длина волны, нм | | Длина волны, нм | | Длина волны, нм | |
820 | 9,35·10-1 | 915 | 9,96·10-1 | 1010 | 9,91·10-1 |
825 | 9,40·10-1 | 920 | 9,97·10-1 | 1015 | 9,89·10-1 |
830 | 9,45·10-1 | 925 | 9,98·10-1 | 1020 | 9,88·10-1 |
835 | 9,50·10-1 | 930 | 9,98·10-1 | 1025 | 9,86·10-1 |
840 | 9,54·10-1 | 935 | 9,99·10-1 | 1030 | 9,83·10-1 |
845 | 9,59·10-1 | 940 | 9,99·10-1 | 1035 | 9,81·10-1 |
850 | 9,63·10-1 | 945 | 1,000 | 1040 | 9,79·10-1 |
855 | 9,67·10-1 | 950 | 1,000 | 1045 | 9,77·10-1 |
860 | 9,70·10-1 | 955 | 1,000 | 1050 | 9,74·10-1 |
865 | 9,74·10-1 | 960 | 9,99·10-1 | 1055 | 9,71·10-1 |
870 | 9,77·10-1 | 965 | 9,99·10-1 | 1060 | 9,68·10-1 |
875 | 9,80·10-1 | 970 | 9,98·10-1 | 1065 | 9,65·10-1 |
880 | 9,82·10-1 | 975 | 9,98·10-1 | 1070 | 9,62·10-1 |
885 | 9,85·10-1 | 980 | 9,97·10-1 | 1075 | 9,59·10-1 |
890 | 9,87·10-1 | 985 | 9,96·10-1 | 1080 | 9,56·10-1 |
895 | 9,89·10-1 | 990 | 9,96·10-1 | 1085 | 9,53·10-1 |
900 | 9,91·10-1 | 995 | 9,95·10-1 | 1090 | 9,50·10-1 |
905 | 9,93·10-1 | 1000 | 9,94·10-1 | 1095 | 9,47·10-1 |
910 | 9,95·10-1 | 1005 | 9,93·10-1 | 1100 | 9,43·10-1 |
Таблица 4
Значения

контрольного источника -
металлогалогенной лампы для СИ ММСС (радиометров)
Длина волны, нм | | Длина волны, нм | | Длина волны, нм | |
260 | 1,16·10-4 | 365 | 1,000 | 470 | 1,06·10-2 |
265 | 2,04·10-3 | 370 | 1,11·10-1 | 475 | 9,40·10-3 |
270 | 2,02·10-3 | 375 | 3,69·10-1 | 480 | 7,70·10-3 |
275 | 9,34·10-3 | 380 | 1,94·10-1 | 485 | 1,23·10-2 |
280 | 2,36·10-2 | 385 | 1,99·10-1 | 490 | 5,92·10-2 |
285 | 7,99·10-3 | 390 | 2,02·10-1 | 495 | 7,29·10-2 |
290 | 3,19·10-2 | 395 | 4,73·10-2 | 500 | 3,10·10-2 |
295 | 3,42·10-2 | 400 | 5,58·10-2 | 505 | 2,43·10-2 |
300 | 2,28·10-1 | 405 | 5,25·10-1 | 510 | 1,35·10-2 |
305 | 5,56·10-2 | 410 | 3,64·10-2 | 515 | 4,76·10-2 |
310 | 5,62·10-2 | 415 | 8,40·10-2 | 520 | 2,01·10-2 |
315 | 4,20·10-1 | 420 | 1,12·10-1 | 525 | 6,61·10-2 |
320 | 1,01·10-1 | 425 | 1,47·10-1 | 530 | 1,05·10-2 |
325 | 2,83·10-2 | 430 | 1,46·10-1 | 535 | 3,24·10-1 |
330 | 3,15·10-2 | 435 | 7,24·10-1 | 540 | 6,67·10-2 |
335 | 1,08·10-1 | 440 | 1,78·10-1 | 545 | 8,90·10-1 |
340 | 4,86·10-2 | 445 | 4,27·10-2 | 550 | 3,41·10-2 |
345 | 1,13·10-1 | 450 | 2,13·10-2 | 555 | 9,93·10-3 |
350 | 8,46·10-2 | 455 | 9,66·10-3 | 560 | 1,96·10-2 |
355 | 2,20·10-1 | 460 | 1,27·10-2 | 565 | 1,02·10-2 |
360 | 1,93·10-1 | 465 | 1,02·10-2 | 570 | 8,95·10-3 |
Окончание таблицы 4
Длина волны, нм | | Длина волны, нм | | Длина волны, нм | |
575 | 4,55·10-1 | 645 | 8,52·10-3 | 715 | 7,04·10-3 |
580 | 4,14·10-1 | 650 | 1,47·10-2 | 720 | 1,08·10-2 |
585 | 8,85·10-3 | 655 | 8,29·10-3 | 725 | 6,87·10-3 |
590 | 6,89·10-3 | 660 | 9,18·10-3 | 730 | 7,26·10-3 |
595 | 5,53·10-3 | 665 | 6,07·10-3 | 735 | 6,64·10-3 |
600 | 6,57·10-3 | 670 | 9,26·10-3 | 740 | 7,80·10-3 |
605 | 6,27·10-3 | 675 | 6,35·10-3 | 745 | 8,88·10-3 |
610 | 5,73·10-3 | 680 | 5,80·10-3 | 750 | 1,01·10-2 |
615 | 1,56·10-2 | 685 | 6,78·10-3 | 755 | 7,61·10-3 |
620 | 9,50·10-3 | 690 | 1,77·10-2 | 760 | 8,71·10-3 |
625 | 1,24·10-2 | 695 | 7,13·10-3 | 765 | 6,78·10-3 |
630 | 7,74·10-3 | 700 | 6,94·10-3 | 770 | 7,04·10-3 |
635 | 8,07·10-3 | 705 | 6,58·10-3 | 775 | 8,84·10-3 |
640 | 1,36·10-2 | 710 | 9,96·10-3 | 780 | 6,59·10-3 |
Таблица 5
Значения

контрольного источника -
лампы типа КГМ для СИ ММСС (радиометров)
Длина волны, нм | | Длина волны, нм | | Длина волны, нм | |
300 | 5,80·10-3 | 435 | 2,45·10-1 | 570 | 5,91·10-1 |
305 | 8,41·10-3 | 440 | 2,59·10-1 | 575 | 6,01·10-1 |
310 | 1,19·10-2 | 445 | 2,73·10-1 | 580 | 6,12·10-1 |
315 | 1,62·10-2 | 450 | 2,87·10-1 | 585 | 6,22·10-1 |
320 | 2,16·10-2 | 455 | 3,01·10-1 | 590 | 6,33·10-1 |
325 | 2,81·10-2 | 460 | 3,15·10-1 | 595 | 6,43·10-1 |
330 | 3,56·10-2 | 465 | 3,29·10-1 | 600 | 6,53·10-1 |
335 | 4,39·10-2 | 470 | 3,42·10-1 | 605 | 6,63·10-1 |
340 | 5,29·10-2 | 475 | 3,56·10-1 | 610 | 6,73·10-1 |
345 | 6,22·10-2 | 480 | 3,69·10-1 | 615 | 6,83·10-1 |
350 | 7,15·10-2 | 485 | 3,83·10-1 | 620 | 6,93·10-1 |
355 | 8,13·10-2 | 490 | 3,95·10-1 | 625 | 7,03·10-1 |
360 | 9,13·10-2 | 495 | 4,09·10-1 | 630 | 7,13·10-1 |
365 | 1,00·10-1 | 500 | 4,22·10-1 | 635 | 7,23·10-1 |
370 | 1,08·10-1 | 505 | 4,35·10-1 | 640 | 7,33·10-1 |
375 | 1,16·10-1 | 510 | 4,48·10-1 | 645 | 7,44·10-1 |
380 | 1,24·10-1 | 515 | 4,61·10-1 | 650 | 7,54·10-1 |
385 | 1,33·10-1 | 520 | 4,74·10-1 | 655 | 7,64·10-1 |
390 | 1,42·10-1 | 525 | 4,87·10-1 | 660 | 7,74·10-1 |
395 | 1,51·10-1 | 530 | 5,00·10-1 | 665 | 7,84·10-1 |
400 | 1,60·10-1 | 535 | 5,12·10-1 | 670 | 7,94·10-1 |
405 | 1,70·10-1 | 540 | 5,24·10-1 | 675 | 8,04·10-1 |
410 | 1,81·10-1 | 545 | 5,35·10-1 | 680 | 8,15·10-1 |
415 | 1,92·10-1 | 550 | 5,46·10-1 | 685 | 8,25·10-1 |
420 | 2,04·10-1 | 555 | 5,58·10-1 | 690 | 8,36·10-1 |
425 | 2,17·10-1 | 560 | 5,69·10-1 | 695 | 8,46·10-1 |
430 | 2,31·10-1 | 565 | 5,80·10-1 | 700 | 8,57·10-1 |
Окончание таблицы 5
Длина волны, нм | | Длина волны, нм | | Длина волны, нм | |
705 | 8,67·10-1 | 840 | 9,88·10-1 | 975 | 9,83·10-1 |
710 | 8,77·10-1 | 845 | 9,89·10-1 | 980 | 9,81·10-1 |
715 | 8,87·10-1 | 850 | 9,90·10-1 | 985 | 9,79·10-1 |
720 | 8,96·10-1 | 855 | 9,91·10-1 | 990 | 9,77·10-1 |
725 | 9,04·10-1 | 860 | 9,92·10-1 | 995 | 9,75·10-1 |
730 | 9,12·10-1 | 865 | 9,93·10-1 | 1000 | 9,73·10-1 |
735 | 9,19·10-1 | 870 | 9,94·10-1 | 1005 | 9,71·10-1 |
740 | 9,25·10-1 | 875 | 9,95·10-1 | 1010 | 9,68·10-1 |
745 | 9,31·10-' | 880 | 9,96·10-1 | 1015 | 9,66·10-1 |
750 | 9,37·10-1 | 885 | 9,97·10-1 | 1020 | 9,64·10-1 |
755 | 9,43·10-1 | 890 | 9,98·10-1 | 1025 | 9,62·10-1 |
760 | 9,48·10-1 | 895 | 9,99·10-1 | 1030 | 9,59·10-1 |
765 | 9,52·10-1 | 900 | 1,000 | 1035 | 9,57·10-1 |
770 | 9,56·10-1 | 905 | 1,000 | 1040 | 9,55·10-1 |
775 | 9,60·10-1 | 910 | 1,000 | 1045 | 9,53·10-1 |
780 | 9,63·10-1 | 915 | 1,000 | 1050 | 9,51·10-1 |
785 | 9,66·10-1 | 920 | 9,99·10-1 | 1055 | 9,48·10-1 |
790 | 9,69·10-1 | 925 | 9,99·10-1 | 1060 | 9,46·10-1 |
795 | 9,72·10-1 | 930 | 9,98·10-1 | 1065 | 9,43·10-1 |
800 | 9,74·10-1 | 935 | 9,97·10-1 | 1070 | 9,41·10-1 |
805 | 9,76·10-1 | 940 | 9,96·10-1 | 1075 | 9,39·10-1 |
810 | 9,78·10-1 | 945 | 9,95·10-1 | 1080 | 9,37·10-1 |
815 | 9,80·10-1 | 950 | 9,93·10-1 | 1085 | 9,34·10-1 |
820 | 9,82·10-1 | 955 | 9,91·10-1 | 1090 | 9,29·10-' |
825 | 9,84·10-1 | 960 | 9,89·10-1 | 1095 | 9,24·10-1 |
830 | 9,85·10-1 | 965 | 9,87·10-1 | 1100 | 9,19·10-1 |
835 | 9,87·10-1 | 970 | 9,85·10-1 | | |
Таблица 6
Значения

контрольного источника -
трехполосной люминесцентной лампы для СИ ММСС
(радиометров и фотометров)
Длина волны, нм | | Длина волны, нм | |
400 | 1,16·10-2 | 470 | 2,41·10-2 |
405 | 1,37·10-1 | 475 | 3,07·10-2 |
410 | 1,17·10-2 | 480 | 3,90·10-2 |
415 | 1,26·10-2 | 485 | 3,86·10-2 |
420 | 1,36·10-2 | 490 | 1,42·10-1 |
425 | 1,89·10-2 | 495 | 3,82·10-2 |
430 | 2,62·10-2 | 500 | 3,73·10-2 |
435 | 4,66·10-1 | 505 | 1,74·10-2 |
440 | 5,27·10-2 | 510 | 8,10·10-3 |
445 | 4,06·10-2 | 515 | 5,20·10-3 |
450 | 3,13·10-2 | 520 | 4,41·10-3 |
455 | 2,94·10-2 | 525 | 5,18·10-3 |
460 | 2,77·10-2 | 530 | 9,61·10-3 |
465 | 2,58·10-2 | 535 | 1,22·10-1 |
Окончание таблицы 6
Длина волны, нм | | Длина волны, нм | |
540 | 4,47·10-1 | 630 | 2,07·10-1 |
545 | 3,84·10-1 | 635 | 5,07·10-2 |
550 | 3,30·10-1 | 640 | 2,38·10-2 |
555 | 1,24·10-1 | 645 | 3,82·10-2 |
560 | 4,66·10-2 | 650 | 5,26·10-2 |
565 | 4,22·10-2 | 655 | 3,32·10-2 |
570 | 3,83·10-2 | 660 | 1,42·10-2 |
575 | 7,73·10-2 | 665 | 1,47·10-2 |
580 | 1,56·10-1 | 670 | 1,55·10-2 |
585 | 1,63·10-1 | 675 | 1,61·10-2 |
590 | 1,69·10-1 | 680 | 1,67·10-2 |
595 | 1,50·10-1 | 685 | 1,73·10-2 |
600 | 1,34·10-1 | 690 | 1,82·10-2 |
605 | 3,66·10-1 | 695 | 1,91·10-2 |
610 | 1,000 | 700 | 2,00·10-2 |
615 | 3,89·10-1 | 705 | 5,90·10-2 |
620 | 1,51·10-1 | 710 | 8,89·10-2 |
625 | 1,79·10-1 | 715 | 3,41·10-2 |
| | 720 | 5,36·10-3 |
Таблица 7
Значения

контрольного источника - ртутной лампы
среднего давления для СИ ММСС (радиометров и фотометров)
Длина волны, нм | | Длина волны, нм | | Длина волны, нм | |
200 | 5,55·10-2 | 305 | 3,67·10-1 | 410 | 7,52·10-2 |
205 | 8,19·10-2 | 310 | 1,20·10-1 | 415 | 8,64·10-3 |
210 | 1,04·10-1 | 315 | 6,09·10-1 | 420 | 8,36·10-3 |
215 | 1,04·10-1 | 320 | 1,50·10-2 | 425 | 9,92·10-3 |
220 | 1,23·10-1 | 325 | 1,19·10-2 | 430 | 1,39·10-2 |
225 | 1,29·10-1 | 330 | 1,13·10-2 | 435 | 6,38·10-1 |
230 | 1,18·10-1 | 335 | 1,03·10-1 | 440 | 2,37·10-2 |
235 | 1,02·10-1 | 340 | 9,48·10-3 | 445 | 1,20·10-2 |
240 | 8,64·10-2 | 345 | 7,87·10-3 | 450 | 7,58·10-3 |
245 | 4,87·10-2 | 350 | 6,71·10-3 | 455 | 6,42·10-3 |
250 | 9,05·10-2 | 355 | 9,12·10-3 | 460 | 5,43·10-3 |
255 | 4,42·10-1 | 360 | 9,51·10-3 | 465 | 5,19·10-3 |
260 | 1,75·10-1 | 365 | 1,000 | 470 | 5,57·10-3 |
265 | 2,93·10-1 | 370 | 2,68·10-2 | 475 | 5,65·10-3 |
270 | 1,01·10-1 | 375 | 1,01·10-2 | 480 | 5,38·10-3 |
275 | 6,52·10-2 | 380 | 1,03·10-2 | 485 | 6,13·10-3 |
280 | 1,78·10-1 | 385 | 7,87·10-3 | 490 | 1,79·10-2 |
285 | 2,15·10-2 | 390 | 2,27·10-2 | 495 | 7,15·10-3 |
290 | 8,08·10-2 | 395 | 5,82·10-3 | 500 | 4,26·10-3 |
295 | 1,21·10-1 | 400 | 7,40·10-3 | 505 | 4,49·10-3 |
300 | 1,48·10-1 | 405 | 3,30·10-1 | 510 | 4,63·10-3 |
Окончание таблицы 7
Длина волны, нм | | Длина волны, нм | | Длина волны, нм | |
515 | 4,70·10-3 | 710 | 7,11·10-3 | 905 | 5,62·10-3 |
520 | 4,65·10-3 | 715 | 5,05·10-3 | 910 | 5,65·10-3 |
525 | 4,69·10-3 | 720 | 5,01·10-3 | 915 | 5,70·10-3 |
530 | 4,74·10-3 | 725 | 4,94·10-3 | 920 | 5,72·10-3 |
535 | 9,77·10-3 | 730 | 4,89·10-3 | 925 | 5,76·10-3 |
540 | 6,49·10-3 | 735 | 4,90·10-3 | 930 | 5,79·10-3 |
545 | 7,18·10-1 | 740 | 4,93·10-3 | 935 | 5,82·10-3 |
550 | 5,61·10-3 | 745 | 4,92·10-3 | 940 | 5,84·10-3 |
555 | 5,50·10-3 | 750 | 4,94·10-3 | 945 | 5,87·10-3 |
560 | 5,40·10-3 | 755 | 4,98·10-3 | 950 | 5,89·10-3 |
565 | 5,51·10-3 | 760 | 4,97·10-3 | 955 | 5,92·10-3 |
570 | 6,27·10-3 | 765 | 4,99·10-3 | 960 | 5,96·10-3 |
575 | 9,48·10-3 | 770 | 5,01·10-3 | 965 | 5,98·10-3 |
580 | 7,04·10-1 | 775 | 5,04·10-3 | 970 | 6,01·10-3 |
585 | 5,47·10-3 | 780 | 5,05·10-3 | 975 | 6,04·10-3 |
590 | 5,07·10-3 | 785 | 5,11·10-3 | 980 | 6,05·10-3 |
595 | 5,05·10-3 | 790 | 5,09·10-3 | 985 | 6,05·10-3 |
600 | 5,02·10-3 | 795 | 5,11·10-3 | 990 | 6,07·10-3 |
605 | 4,98·10-3 | 800 | 5,14·10-3 | 995 | 6,08·10-3 |
610 | 4,99·10-3 | 805 | 5,16·10-3 | 1000 | 6,09·10-3 |
615 | 4,92·10-3 | 810 | 5,16·10-3 | 1005 | 6,09·10-3 |
620 | 4,97·10-3 | 815 | 5,16·10-3 | 1010 | 6,23·10-3 |
625 | 4,94·10-3 | 820 | 5,18·10-3 | 1015 | 7,66·10-2 |
630 | 4,92·10-3 | 825 | 5,18·10-3 | 1020 | 6,18·10-3 |
635 | 4,95·10-3 | 830 | 5,19·10-3 | 1025 | 6,09·10-3 |
640 | 4,99·10-3 | 835 | 5,22·10-3 | 1030 | 6,08·10-3 |
645 | 5,02·10-3 | 840 | 5,25·10-3 | 1035 | 6,06·10-3 |
650 | 5,07·10-3 | 845 | 5,28·10-3 | 1040 | 6,04·10-3 |
655 | 5,16·10-3 | 850 | 5,31·10-3 | 1045 | 6,01·10-3 |
660 | 5,25·10-3 | 855 | 5,33·10-3 | 1050 | 5,96·10-3 |
665 | 5,27·10-3 | 860 | 5,36·10-3 | 1055 | 5,93·10-3 |
670 | 6,07·10-3 | 865 | 5,38·10-3 | 1060 | 5,89·10-3 |
675 | 5,22·10-3 | 870 | 5,41·10-3 | 1065 | 5,86·10-3 |
680 | 5,21·10-3 | 875 | 5,43·10-3 | 1070 | 5,82·10-3 |
685 | 5,23·10-3 | 880 | 5,45·10-3 | 1075 | 5,79·10-3 |
690 | 5,82·10-3 | 885 | 5,48·10-3 | 1080 | 5,75·10-3 |
695 | 5,27·10-3 | 890 | 5,52·10-3 | 1085 | 5,72·10-3 |
700 | 5,25·10-3 | 895 | 5,55·10-3 | 1090 | 5,69·10-3 |
705 | 5,34·10-3 | 900 | 5,58·10-3 | 1095 | 5,66·10-3 |
| | | | 1100 | 5,69·10-3 |
Таблица 8
Значения

контрольного источника -
D 65 для СИ ММСС (радиометров)
Длина волны, нм | | Длина волны, нм | | Длина волны, нм | |
300 | 3,21·10-2 | 570 | 8,29·10-1 | 840 | 4,02·10-1 |
310 | 9,86·10-2 | 580 | 8,27·10-1 | 850 | 3,23·10-1 |
320 | 1,45·10-1 | 590 | 7,70·10-1 | 860 | 4,96·10-1 |
330 | 3,24·10-1 | 600 | 7,86·10-1 | 870 | 4,88·10-1 |
340 | 3,61·10-1 | 610 | 7,86·10-1 | 880 | 4,79·10-1 |
350 | 3,87·10-1 | 620 | 7,73·10-1 | 890 | 4,72·10-1 |
360 | 4,11·10-1 | 630 | 7,36·10-1 | 900 | 4,67·10-1 |
370 | 4,32·10-1 | 640 | 7,45·10-1 | 910 | 4,57·10-1 |
380 | 4,40·10-1 | 650 | 7,15·10-1 | 920 | 2,38·10-1 |
390 | 5,31·10-1 | 660 | 7,20·10-1 | 930 | 9,50·10-2 |
400 | 6,99·10-1 | 670 | 7,43·10-1 | 940 | 1,44·10-1 |
410 | 7,75·10-1 | 680 | 7,10·10-1 | 950 | 1,34·10-1 |
420 | 7,92·10-1 | 690 | 6,30·10-1 | 960 | 1,52·10-1 |
430 | 7,34·10-1 | 700 | 6,50·10-1 | 970 | 2,23·10-1 |
440 | 8,88·10-1 | 710 | 6,71·10-1 | 980 | 4,25·10-1 |
450 | 9,92·10-1 | 720 | 5,55·10-1 | 990 | 4,32·10-1 |
460 | 1,000 | 730 | 6,29·10-1 | 1000 | 4,38·10-1 |
470 | 9,76·10-1 | 740 | 6,76·10-1 | 1010 | 4,65·10-1 |
480 | 9,85·10-1 | 750 | 5,72·10-1 | 1020 | 4,83·10-1 |
490 | 9,27·10-1 | 760 | 4,18·10-1 | 1030 | 4,66·10-1 |
500 | 9,33·10-1 | 770 | 6,02·10-1 | 1040 | 4,48·10-1 |
510 | 9,21·10-1 | 780 | 5,70·10-1 | 1050 | 4,32·10-1 |
520 | 8,96·10-1 | 790 | 5,79·10-1 | 1060 | 4,22·10-1 |
530 | 9,21·10-1 | 800 | 5,35·10-1 | 1070 | 4,11·10-1 |
540 | 8,95·10-1 | 810 | 4,67·10-1 | 1080 | 4,01·10-1 |
550 | 8,93·10-1 | 820 | 5,17·10-1 | 1090 | 3,72·10-1 |
560 | 8,59·10-1 | 830 | 5,43·10-1 | 1100 | 4,13·10-1 |
Таблица 9
Значения

контрольного источника -
AM 1.5 для СИ ММСС (радиометров)
Длина волны, нм | | Длина волны, нм | | Длина волны, нм | |
300 | 6,06·10-5 | 570 | 1,000 | 840 | 4,95·10-1 |
310 | 3,91·10-3 | 580 | 9,99·10-1 | 850 | 4,63·10-1 |
320 | 3,82·10-2 | 590 | 9,99·10-1 | 860 | 4,45·10-1 |
330 | 1,12·10-1 | 600 | 9,84·10-1 | 870 | 6,59·10-1 |
340 | 1,61·10-1 | 610 | 9,86·10-1 | 880 | 6,50·10-1 |
350 | 2,02·10-1 | 620 | 9,77·10-1 | 890 | 5,72·10-1 |
360 | 2,48·10-1 | 630 | 9,67·10-1 | 900 | 6,30·10-1 |
370 | 2,89·10-1 | 640 | 9,61·10-1 | 910 | 5,57·10-1 |
380 | 3,01·10-1 | 650 | 9,38·10-1 | 920 | 6,02·10-1 |
390 | 3,14·10-1 | 660 | 9,40·10-1 | 930 | 1,28·10-1 |
400 | 4,41·10-1 | 670 | 9,45·10-1 | 940 | 1,95·10-1 |
410 | 6,14·10-1 | 680 | 9,44·10-1 | 950 | 1,80·10-1 |
420 | 6,50·10-1 | 690 | 9,30·10-1 | 960 | 2,09·10-1 |
430 | 6,77·10-1 | 700 | 9,14·10-1 | 970 | 3,01·10-1 |
440 | 7,65·10-1 | 710 | 8,98·10-1 | 980 | 4,02·10-1 |
450 | 8,74·10-1 | 720 | 8,83·10-1 | 990 | 3,82·10-1 |
460 | 8,73·10-1 | 730 | 8,67·10-1 | 1000 | 4,14·10-1 |
470 | 9,38·10-1 | 740 | 8,52·10-1 | 1010 | 4,35·10-1 |
480 | 9,30·10-1 | 750 | 8,36·10-1 | 1020 | 4,57·10-1 |
490 | 9,53·10-1 | 760 | 7,18·10-1 | 1030 | 4,46·10-1 |
500 | 9,77·10-1 | 770 | 8,13·10-1 | 1040 | 4,31·10-1 |
510 | 9,53·10-1 | 780 | 7,97·10-1 | 1050 | 4,23·10-1 |
520 | 9,53·10-1 | 790 | 7,81·10-1 | 1060 | 4,05·10-1 |
530 | 9,84·10-1 | 800 | 7,72·10-1 | 1070 | 3,91·10-1 |
540 | 1,000 | 810 | 7,56·10-1 | 1080 | 3,80·10-1 |
550 | 9,92·10-1 | 820 | 7,39·10-1 | 1090 | 3,52·10-1 |
560 | 9,93·10-1 | 830 | 7,22·10-1 | 1100 | 3,91·10-1 |
Таблица 10
Значения

контрольного источника - натриевой лампы
высокого давления для СИ ММСС (радиометров и фотометров)
Длина волны, нм | | Длина волны, нм | | Длина волны, нм | |
400 | 7,40·10-4 | 530 | 5,31·10-3 | 660 | 5,65·10-3 |
405 | 3,42·10-1 | 535 | 1,10·10-2 | 665 | 5,69·10-3 |
410 | 7,59·10-2 | 540 | 7,14·10-3 | 670 | 6,89·10-3 |
415 | 9,84·10-3 | 545 | 7,81·10-1 | 675 | 5,71·10-3 |
420 | 8,86·10-3 | 550 | 6,33·10-3 | 680 | 5,69·10-3 |
425 | 1,02·10-2 | 555 | 6,21·10-3 | 685 | 5,69·10-3 |
430 | 1,44·10-2 | 560 | 6,09·10-3 | 690 | 6,19·10-3 |
435 | 6,63·10-1 | 565 | 6,21·10-3 | 695 | 5,77·10-3 |
440 | 2,55·10-2 | 570 | 6,88·10-3 | 700 | 5,75·10-3 |
445 | 1,31·10-2 | 575 | 1,19·10-2 | 705 | 5,90·10-3 |
450 | 8,68·10-3 | 580 | 7,59·10-1 | 710 | 8,05·10-3 |
455 | 7,04·10-3 | 585 | 6,02·10-3 | 715 | 5,41·10-3 |
460 | 5,94·10-3 | 590 | 9,98·10-1 | 720 | 5,36·10-3 |
465 | 5,44·10-3 | 595 | 1,000 | 725 | 5,22·10-3 |
470 | 6,11·10-3 | 600 | 9,99·10-1 | 730 | 5,12·10-3 |
475 | 6,32·10-3 | 605 | 5,11·10-3 | 735 | 5,16·10-3 |
480 | 5,88·10-3 | 610 | 5,15·10-3 | 740 | 5,24·10-3 |
485 | 6,81·10-3 | 615 | 5,00·10-3 | 745 | 5,21·10-3 |
490 | 1,90·10-2 | 620 | 5,11·10-3 | 750 | 5,25·10-3 |
495 | 7,44·10-3 | 625 | 5,03·10-3 | 755 | 5,31·10-3 |
500 | 4,66·10-3 | 630 | 5,01·10-3 | 760 | 5,29·10-3 |
505 | 4,84·10-3 | 635 | 5,07·10-3 | 765 | 5,33·10-3 |
510 | 5,03·10-3 | 640 | 5,12·10-3 | 770 | 5,39·10-3 |
515 | 5,20·10-3 | 645 | 5,36·10-3 | 775 | 5,48·10-3 |
520 | 5,11·10-3 | 650 | 5,40·10-3 | 780 | 5,50·10-3 |
525 | 5,18·10-3 | 655 | 5,51·10-3 | | |
Таблица 11
Значения

контрольного источника - металлогалогенной лампы
с тремя добавками для СИ ММСС (радиометров и фотометров)
Длина волны, нм | | Длина волны, нм | |
400 | 8,84·10-2 | 495 | 1,99·10-1 |
405 | 1,22·10-1 | 500 | 2,33·10-1 |
410 | 1,53·10-1 | 505 | 1,89·10-1 |
415 | 2,54·10-1 | 510 | 1,63·10-1 |
420 | 2,97·10-1 | 515 | 1,79·10-1 |
425 | 2,02·10-1 | 520 | 1,94·10-1 |
430 | 1,98·10-1 | 525 | 3,19·10-1 |
435 | 2,13·10-1 | 530 | 4,40·10-1 |
440 | 2,47·10-1 | 535 | 7,10·10-1 |
445 | 2,01·10-2 | 540 | 1,000 |
450 | 1,82·10-1 | 545 | 7,81·10-1 |
455 | 1,94·10-1 | 550 | 3,18·10-1 |
460 | 2,15·10-1 | 555 | 2,49·10-1 |
465 | 1,94·10-1 | 560 | 2,04·10-1 |
470 | 1,79·10-1 | 565 | 2,79·10-1 |
475 | 1,68·10-1 | 570 | 4,43·10-1 |
480 | 1,55·10-1 | 575 | 4,09·10-1 |
485 | 1,59·10-1 | 580 | 3,66·10-1 |
490 | 1,65·10-1 | 585 | 5,02·10-1 |
Окончание таблицы 11
Длина волны, нм | | Длина волны, нм | |
590 | 7,97·10-1 | 675 | 3,65·10-1 |
595 | 7,31·10-1 | 680 | 2,50·10-1 |
600 | 7,09·10-1 | 685 | 1,94·10-1 |
605 | 6,41·10-1 | 690 | 1,41·10-1 |
610 | 5,90·10-1 | 695 | 1,27·10-1 |
615 | 4,00·10-1 | 700 | 1,16·10-1 |
620 | 2,94·10-1 | 705 | 1,11·10-1 |
625 | 2,53·10-1 | 710 | 1,07·10-1 |
630 | 2,08·10-1 | 715 | 1,04·10-1 |
635 | 2,17·10-1 | 720 | 1,03·10-1 |
640 | 2,20·10-1 | 725 | 9,22·10-2 |
645 | 1,99·10-1 | 730 | 8,28·10-2 |
650 | 1,91·10-1 | 735 | 9,16·10-2 |
655 | 1,95·10-1 | 740 | 9,63·10-2 |
660 | 2,02·10-1 | 745 | 9,59·10-2 |
665 | 3,69·10-1 | 750 | 9,56·10-2 |
670 | 5,20·10-1 | | |
Таблица 12
Значения

контрольного источника - металлогалогенной лампы
с редкоземельными элементами для СИ ММСС
(радиометров и фотометров)
Длина волны, нм | | Длина волны, нм | |
400 | 6,11·10-1 | 520 | 7,05·10-1 |
405 | 6,62·10-1 | 525 | 6,99·10-1 |
410 | 7,40·10-1 | 530 | 6,92·10-1 |
415 | 7,74·10-1 | 535 | 7,10·10-1 |
420 | 8,12·10-1 | 540 | 7,55·10-1 |
425 | 7,72·10-1 | 545 | 7,81·10-1 |
430 | 7,45·10-1 | 550 | 9,11·10-1 |
435 | 7,43·10-1 | 555 | 8,49·10-1 |
440 | 7,43·10-1 | 560 | 7,43·10-1 |
445 | 7,21·10-1 | 565 | 7,79·10-1 |
450 | 6,95·10-1 | 570 | 8,22·10-1 |
455 | 7,44·10-1 | 575 | 9,09·10-1 |
460 | 8,09·10-1 | 580 | 1,000 |
465 | 7,94·10-1 | 585 | 9,32·10-1 |
470 | 7,70·10-1 | 590 | 8,50·10-1 |
475 | 7,68·10-1 | 595 | 8,51·10-1 |
480 | 7,72·10-1 | 600 | 8,54·10-1 |
485 | 7,39·10-1 | 605 | 8,31·10-1 |
490 | 7,16·10-1 | 610 | 7,97·10-1 |
495 | 7,29·10-1 | 615 | 8,04·10-1 |
500 | 7,51·10-1 | 620 | 8,13·10-1 |
505 | 7,49·10-] | 625 | 7,83·10-1 |
510 | 7,36·10-1 | 630 | 7,49·10-1 |
515 | 7,19·10-1 | 635 | 7,37·10-1 |
Окончание таблицы 12
Длина волны, нм | | Длина волны, нм | |
640 | 6,94·10-] | 700 | 7,45·10-1 |
645 | 6,69·10-1 | 705 | 4,41·10-1 |
650 | 6,31·10-1 | 710 | 4,11·10-1 |
655 | 6,55·10-1 | 715 | 4,14·10-1 |
660 | 6,76·10-1 | 720 | 4,14·10-1 |
665 | 7,39·10-1 | 725 | 4,22·10-1 |
670 | 8,12·10-1 | 730 | 4,31·10-1 |
675 | 6,95·10-1 | 735 | 3,56·10-1 |
680 | 6,73·10-1 | 740 | 3,25·10-1 |
685 | 6,58·10-1 | 745 | 3,19·10-1 |
690 | 6,43·10-1 | 750 | 3,17·10-1 |
695 | 7,27·10-1 | | |
8.3.2 При измерении чувствительности СИ ММСС используют источники излучения - лампы типов ДКсШ-120, ДБ-30 и КГМ-12-100. При измерении чувствительности фотометра-яркомера используют равнояркий самосветящийся экран диаметром не менее 0,05 м. При измерении чувствительности прибора для измерения коэффициента пульсации излучения используют источник излучения - лампу типа ЛБ-18. На расстоянии 1 м от лампы (0,1 м от экрана) на оптической скамье поочередно устанавливают эталонный радиометр и поверяемое СИ ММСС. Показания эталонного радиометра

в вольтах и поверяемого СИ ММСС
I в вольтах регистрируют поочередно 5 раз. Значение чувствительности
S, В/Вт, поверяемого СИ ММСС рассчитывают по формуле

(5)
где

- чувствительность эталонного радиометра, В/Вт.
Определяют среднее значение чувствительности поверяемого СИ ММСС, суммарное СКО результата измерений с учетом погрешности эталонного радиометра. Погрешность определения чувствительности

СИ ММСС не должна быть более 6%.
8.3.3 Коэффициент линейности СИ ММСС определяют в целях установления границы диапазона измерений. При измерении коэффициента линейности используют источники излучения - лампы типов ДКсШ-120 и КГМ-12-100. На оптической скамье устанавливают два однотипных источника излучения. Расстояние между поверяемым СИ ММСС и источниками излучения выбирают таким образом, чтобы показания поверяемого СИ ММСС соответствовали нижней границе диапазона измерений, указанной в паспорте. Регистрируют показания поверяемого СИ ММСС отдельно от каждого из двух источников излучения
I1 и
I2 и суммарное показание

от двух источников излучения в вольтах. Измерения проводят поочередно 5 раз с использованием экранирующих заслонок и рассчитывают коэффициент линейности
G в относительных единицах по формуле

(6)
Определяют среднее арифметическое значение

, СКО
Sо, суммарное СКО результатов измерений

, погрешность СИ ММСС

, вызванную отклонением значения коэффициента линейности от единицы, по формуле

(7)
При определении границ диапазона измерений поверяемого СИ ММСС расстояние от источников излучения до поверяемого СИ ММСС уменьшают таким образом, чтобы значение показаний от каждого источника излучения увеличилось на порядок. Регистрируют показания
I1,
I2,

и рассчитывают соответствующее значение погрешности

. Измерения повторяют, увеличивая показания на порядок до достижения верхней границы диапазона измерений поверяемого СИ ММСС. По результатам измерений определяют границы диапазона измерений поверяемого СИ ММСС. Диапазон измерений энергетической освещенности СИ ММСС должен быть от 0,5 мВт/м
2 до 0,5 Вт/м
2, освещенности и яркости - соответственно от 0,1 до 20000 лк и от 0,1 до 20000 кд/м
2. Значение погрешности

в пределах диапазона измерений СИ ММСС не должно превышать 2%.
При измерении коэффициента линейности СИ ММСС - прибора для измерения коэффициента пульсации излучения используют эталонный радиометр, источники излучения - лампы типов ЛБ-18, ЛДЦ-20 и КГМ-12-100. На расстоянии 1 м от лампы на оптической скамье поочередно устанавливают эталонный радиометр и поверяемый прибор. Измерения показаний эталонного радиометра
Iэт и поверяемого прибора
I проводят поочередно 5 раз для каждой лампы. Значение коэффициента линейности
G определяют по отношению измеренных сигналов: G
I/
Iэт. Определяют среднее значение коэффициента линейности поверяемого прибора, суммарное СКО результата измерений. Предельная погрешность

приборов для измерения коэффициента пульсации не должна превышать 10%.
8.3.4 При измерении зависимости чувствительности СИ ММСС от угла падения потока излучений поверяемое СИ ММСС устанавливают на неподвижное плечо гониометра типа ГС-5. На подвижное плечо гониометра устанавливают источник излучения типа ДКсШ-120 или КГМ-12-100. Регистрируют показания

поверяемого СИ ММСС в зависимости от угла падения

потока излучения в пределах от 0° до 85° с шагом 5°. Показания СИ ММСС

для угла

нормируют на показание СИ ММСС

при нормальном угле падения

потока излучения. Рассчитывают угловую зависимость

отклонения относительной чувствительности от функции

по формуле

(8)
Косинусную погрешность СИ ММСС

, %, рассчитывают по формуле

(9)
Значение

рассчитывают с использованием специально разработанных компьютерных программ. Значение

должно быть не более 2%. При превышении этого значения косинусной погрешности допускается ограничивать угол зрения СИ ММСС с указанием в паспорте значений угла зрения и поправочных коэффициентов, учитывающих угловые размеры источника излучения.
8.4 Определение основной относительной погрешности СИ ММСС проводят в соответствии с
ГОСТ 8.207.
Оценку относительного среднего квадратического отклонения
Sо результатов
n независимых измерений проводят по
формуле (2). СКО
Sо, определяемое по результатам измерений по
8.3.3, должно быть не более 1% в рабочем диапазоне СИ ММСС.
Границу относительной неисключенной систематической погрешности (НСП)

определяют по формуле

(10)
где

- граница
j-й неисключенной систематической погрешности.
Источниками относительной НСП являются:

- погрешность спектральной коррекции (

по
8.3.1);

- погрешность определения абсолютной чувствительности (

по
8.3.2);

- погрешность, определяемая коэффициентом линейности (

по
8.3.3);

- погрешность, определяемая угловой зависимостью чувствительности (

по
8.3.4).
Граница относительной НСП СИ ММСС должна быть не более 10%.
Предел допускаемой основной относительной погрешности

рассчитывают по формуле

(11)
где K - коэффициент, определяемый соотношением случайной и неисключенной систематической погрешностей;

- суммарное относительное СКО, определяемое по
формуле (3).
Для СИ ММСС

. Случайной погрешностью по сравнению с систематической пренебрегают и принимают

.
Предел допускаемой основной относительной погрешности СИ ММСС должен быть не более 10%.
9. Оформление результатов поверки
9.1 При положительных результатах поверки оформляют свидетельство о государственной поверке согласно
[3] и поверяемое СИ ММСС допускают к применению в качестве СИ ММСС для обеспечения сохранности музейных экспонатов в соответствии с настоящим стандартом.
9.2 При отрицательных результатах поверки свидетельство о предыдущей поверке аннулируют и выдают извещение о непригодности с указанием причин в соответствии с
[3].
(обязательное)
СРЕДСТВА ИЗМЕРЕНИЙ ХАРАКТЕРИСТИК СВЕТОВОЙ СРЕДЫ
ПРИ МУЗЕЙНОМ МОНИТОРИНГЕ
Интенсивность оптического излучения наиболее полно характеризуют энергетической и эффективной освещенностью. Энергетическую освещенность (ЭО) или облученность в точке поверхности E, измеряемую в ваттах на квадратный метр (Вт/м2), определяют как отношение потока излучения, падающего на элемент поверхности, содержащий рассматриваемую точку, к площади этого элемента:
E dФ/dA, (А.1)
где dФ - поток излучения или мощность излучения, Вт;
dA - площадь элемента поверхности, м2.
Для измерения ЭО в различных диапазонах длин волн применяют радиометры оптического излучения. Значения ЭО, Вт/м
2, для диапазона длин волн (

,

) определяют по формуле

(А.2)
где M - безразмерный коэффициент;

- спектральная плотность энергетической освещенности (СПЭО), Вт/м
3.
Радиометры УФ излучения предназначены для измерения ЭО в диапазонах длин волн: 0,315 - 0,400 мкм (УФ-A), 0,315 - 0,340 мкм (УФ-A1), 0,340 - 0,400 мкм (УФ-A2), 0,280 - 0,315 мкм (УФ-B), 0,20 - 0,28 мкм (УФ-C).
Радиометры инфракрасного (ИК) излучения предназначены для измерений ЭО в диапазонах длин волн 0,78 - 1,4 мкм (ИК-A), 1,4 - 3 мкм (ИК-B), 3 - 1000 мкм (ИК-C).
Стандартная относительная спектральная чувствительность

радиометра должна иметь постоянные значения в рабочем диапазоне длин волн (

,

) и значения, равные нулю, вне диапазона длин волн (

,

), так что показания радиометра
I пропорциональны измеряемому значению ЭО согласно формуле

(А.3)
Степень приближения реальной относительной спектральной чувствительности радиометра к стандартной в соответствии с критериями, разработанными МКО (CIE N 53) определяет погрешность радиометра оптического излучения.
Спектрорадиометры оптического излучения предназначены для измерения спектральной плотности энергетической освещенности (СПЭО) в ваттах на кубический метр (Вт/м
3). Значения ЭО излучения в рабочем спектральном диапазоне определяют интегрированием СПЭО по длинам волн в соответствии с
формулой (А.2). Спектрорадиометры оптического излучения позволяют также определить эффективную освещенность
Eэфф интегрированием СПЭО по длинам волн с учетом безразмерного спектрального коэффициента относительной эффективности

оптического излучения:

(А.4)
Наиболее распространены на практике измерения эффективной освещенности оптического излучения с учетом относительной спектральной световой эффективности излучения по зрительному ощущению. Световую эффективную освещенность или освещенность в точке поверхности EV, лк, определяют как отношение светового потока, падающего на элемент поверхности, содержащий рассматриваемую точку, к площади этого элемента:
EV dФV/dA, (А.5)
где dФV - световой поток, лм.
Стандартная относительная спектральная чувствительность

люксметра должна соответствовать относительной спектральной световой эффективности оптического излучения

, так что показания люксметра
IV пропорциональны измеряемому значению освещенности согласно формуле

(А.6)
где N - коэффициент пропорциональности, лк·м2/Вт.
Коэффициент естественной освещенности (КЕО) представляет собой отношение естественной освещенности внутри помещения к естественной наружной горизонтальной освещенности, измеряемых с использованием двух люксметров внутри и вне помещения.
Энергетическую яркость оптического излучения
L определяют как отношение потока излучения, испускаемого с элемента поверхности, к произведению телесного угла

, ср, в котором распространяется поток излучения, на площадь элемента поверхности dA, м
2, и косинус угла

отклонения направления излучения от нормали к поверхности:

(А.7)
На практике широко распространены измерения эффективной яркости оптического излучения с учетом относительной спектральной световой эффективности излучения по зрительному ощущению. Световую эффективную яркость или яркость в точке поверхности
LV, кд/м
2, определяют как отношение светового потока излучения, dФ
V, лм, испускаемого элементом поверхности, к произведению телесного угла

, ср, в котором этот поток распространяется, на площадь элемента поверхности dA, м
2, и косинус угла

отклонения от нормали к поверхности:

(А.8)
Стандартная относительная спектральная чувствительность

яркомера должна соответствовать относительной спектральной световой эффективности оптического излучения

, так что показания яркомера
IL пропорциональны измеряемому значению яркости согласно формуле

(А.9)
Коэффициент пульсации Z освещенности E(t), %, определяют по формуле

(А.10)
где T - период пульсации освещенности оптического излучения, с;
Emax, Emin - соответственно максимальное и минимальное значения E(t), лк, за период T.
Приборы для измерения коэффициента пульсации освещенности - фотометры-пульсметры определяют максимальное, минимальное и среднее значения освещенности за период
T и рассчитывают значение коэффициента пульсации. Стандартная спектральная чувствительность фотометров-пульсметров должна соответствовать относительной спектральной световой эффективности

.
Показатели ослепленности и дискомфорта рассчитывают в относительных единицах на основании измеренных яркостей источников света и отражающих поверхностей в пределах поля зрения наблюдателя. Стандартная спектральная чувствительность яркомеров для определения показателей ослепленности и дискомфорта соответствует относительной спектральной световой эффективности

.
Показатель ослепленности P в относительных единицах рассчитывают по формуле

(А.11)
где m - безразмерный коэффициент, зависящий от типа источника света, оказывающего слепящее действие (далее - слепящий источник);
n - число слепящих источников в поле зрения наблюдателя;
La - яркость адаптации, кд/м2;

- угол между линией зрения и направлением на слепящий источник, ...°;
Ei - освещенность в плоскости наблюдения, лк, создаваемая i-м слепящим источником, рассчитываемая по формуле

(А.12)
где

- угловое распределение яркости слепящих источников в поле зрения наблюдателя, кд/м
2;

- угловой размер слепящего источника, ср;

- телесный угол, ср.
Для слепящих источников небольших угловых размеров значение Ei, лк, рассчитывают по формуле

(А.13)
где MV - размерный коэффициент, м2·ср;
IV - сила света, кд;
r - расстояние до слепящего источника, м.

(А.14)
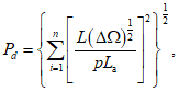
Показатель дискомфорта Pd рассчитывают по формуле

(А.15)
где p - индекс Гата позиции источника.
Энергетическую экспозицию H, Дж/м2, определяют интегрированием ЭО по времени t, с, в течение периода воздействия излучения T, с, и измеряют дозиметрами оптического излучения:

(А.16)
Световую экспозицию HV, лк·с, определяют интегрированием освещенности по времени t, с, в течение периода воздействия излучения T, с, и измеряют дозиметрами-люксметрами:

(А.17)
(обязательное)
НОРМИРУЕМЫЕ ХАРАКТЕРИСТИКИ СВЕТОВОЙ СРЕДЫ В МУЗЕЯХ
Экспонирование произведений искусства, проведение технологических операций хранения экспонатов и их реставрации требует соблюдения оптимальных характеристик световой среды - светоцветовых характеристик, относительного содержания ультрафиолетового (УФ) и инфракрасного (ИК) излучения. Характеристики источников излучения, подлежащие нормированию, указаны в таблице Б.1.
Таблица Б.1
Источник света | Цветовая температура, К | Относительное содержание излучений |
УФ диапазон, мкВт/лм | ИК диапазон, мВт/лм |
Лампы накаливания в зависимости от типа, мощности и конструкции (стандартные лампы накаливания, зеркальные лампы) | 2600 - 2900 | 20 - 45 | 40 - 100 |
Галогенные лампы накаливания (лампы с двойной колбой, лампы "холодного пучка", трубчатые лампы) | 3000 - 3300 | 50 - 90 | 30 - 200 |
Люминесцентные лампы, различающиеся по цветопередаче (ЛТБ, ЛБ, ЛЕ, ЛД) | 2600 - 6500 | 70 - 180 | 5 - 10 |
Естественный свет через остекление светопроемов в зависимости от состояния небосвода и сезона | 5300 - 11000 | 120 - 700 | 3 - 250 |
Металлогалогенные лампы | 6000 | 70 - 120 | 50 - 190 |
При освещении музейных экспонатов необходимо учитывать их назначение, форму, светостойкость материала, цветовые характеристики, размещение в экспозиции.
Музейные экспонаты (произведения живописи, графики, скульптуры, прикладного искусства, предметы нумизматики, археологии, фотодокументы, газеты, коллекции насекомых, животных, растений и др.) весьма разнообразны по размерам и фактуре, могут быть плоскими или объемными, цветными (монохромными, полихромными) или черно-белыми, светостойкими или несветостойкими, могут быть расположены на полу, стенах, специальных стендах, в витринах, шкафах, вертикально, горизонтально или наклонно.
Классификация экспонатов в зависимости от их светостойкости, цветовых характеристик и формы приведена в
таблице Б.2, причем по светостойкости все экспонаты разделены на три группы: I - высокой, II - средней и III - низкой светостойкости, а по цветовым характеристикам - на четыре группы: 1 - ахроматические или серые, т.е. не имеющие выраженного цветового тона; 2 - одноцветные, имеющие по всей поверхности более или менее одинаковый тон; 3 - многоцветные тональные, в пределах площади поверхности которых цветовой тон может меняться, но при этом может быть выделен преобладающий (например, теплый, холодный или нейтральный); 4 - многоцветные пестрые, для которых можно считать равноценными все цветовые тона.
Наименование экспонатов и материалов | Группа светостойкости | Группа цветовых характеристик | Форма |
Живопись: | | | |
- масло, темпера | II | 3, 4 | Плоская |
- акварель, пастель | III | 3, 4 | Плоская |
Графика: | | | |
- черно-белая | III | 1 | Плоская |
- цветная | III | 3, 4 | Плоская |
Иконопись | II | 3, 4 | Плоская |
Рукописи, книги, газеты | III | 1 | Плоская |
Фотографии | III | 1, 3 | Плоская |
Марки | III | 4 | Плоская |
Драгоценности | I | 3 | Объемная |
Монеты, медали, ордена | I | 2 | Рельефная |
Значки | I | 4 | Рельефная |
Оружие | I | 2 | Объемная |
Одежда, ткани, гобелены, кружева, ковры, мех, кожа | III | 2, 4 | Плоская |
Кость | II | 2 | Объемная |
Фарфор, керамика, стекло, эмаль | I | 2, 3 | Объемная |
Утварь: | | | |
- стеклянная, металлическая | I | 3, 4 | Объемная |
- деревянная | II | 3, 4 | Объемная |
Скульптура: | | | |
- деревянная | II | 1 | Объемная |
- мраморная, гипсовая, чугунная | I | 1 | Объемная |
- бронзовая | I | 2 | Объемная |
Мебель деревянная | II | 3 | Объемная |
Минералы, горные породы | I | 1, 2, 3 | Объемная |
Бабочки, чучела | III | 4 | Объемная |
Техническое оборудование | I | 1, 2 | Объемная |
Следует учитывать, что среди материалов, указанных в
таблице Б.2 и отнесенных к определенной группе светостойкости, могут встречаться отдельные виды, светостойкость которых другая. Например, драгоценные камни, в основном, относятся к высокой группе светостойкости, но некоторые из них: отдельные образцы корундов (изумруды, сапфиры, рубины), аквамаринов, аметистов, топазов, цирконов, турмалинов, гранатов, жемчуга, бирюзы и др. - менее устойчивы к воздействию света. Более низкую светостойкость могут иметь также отдельные виды стекол, керамики, красок, материала скульптур и т.д. Группу светостойкости конкретных экспонатов следует определять с участием хранителей музеев.
В основных помещениях музеев рекомендуется применять различные системы искусственного освещения с отличительными нормируемыми характеристиками.
При освещении экспозиций системы освещения во многом определяются содержанием тематико-экспозиционного плана в зале.
В экспозиционных залах, в которых преобладают экспонаты, расположенные на стенах, создают, как правило, общее локализованное освещение.
При расположении экспонатов на стендах может быть принята в зависимости от строительных параметров освещения и конструкций стендов как система общего, так и система комбинированного освещения.
Общее равномерное освещение рекомендуется предусматривать в помещениях, в которых основной экспозицией является мебель, отделка или убранство, а также в залах некоторых исторических и технических музеев.
Комбинированное освещение используют преимущественно в залах, где экспонаты располагают в витринах, шкафах, на стеллажах и т.д., а также для трехмерных объектов (скульптуры, барельефов, диорам и других объемных композиций), для выявления формы которых общий рассеянный свет необходимо дополнять тенеобразующим направленным (как правило, верхнебоковым освещением).
При всех системах освещения экспозиционных залов для улучшения условий восприятия экспонатов вне зоны их расположения создают освещение пониженного уровня.
Характеристики световой среды в зонах экспозиции и на экспонатах должны соответствовать приведенным в таблице Б.3.
Группа экспонатов по степени светостойкости | В видимом диапазоне спектра | Относительное содержание излучений |
освещенность, лк | цветовая температура, К | в УФ диапазоне, мкВт/лм | в ИК диапазоне, мВт/лм |
I - стекло, керамика, минералы, металлы и др. | 200 - 500 | 4000 - 6000 | 20 - 200 | 30 - 40 |
II - масляная живопись, кожа, дерево, кость, иконы и др. | 75 - 150 | 2700 - 3100 | 20 - 45 | 50 - 70 |
III - акварель, темпера, ткань, бумага и др. | 30 - 50 | 2700 - 3100 | 20 - 30 | 90 - 120 |
Представленные в таблице Б.3 уровни допустимой освещенности для различных групп экспонатов по светостойкости зафиксированы по границам устойчивости зрительного восприятия методом субъективных экспертных оценок.
Значения нормируемых цветовых температур источников света получены согласно установленным зонам зрительного комфорта диаграммы Крюйтхоффа
[7] для обеспечения адекватности цветоощущений при разных уровнях освещенности, исходя из физиологических особенностей зрения человека.
Предлагаемые нижние значения содержания ультрафиолетового излучения соответствуют характеристикам традиционных ламп накаливания, которые при нормируемых уровнях освещенности не допускают видимого старения экспонатов, образования микрофлоры даже на несветостойких экспонатах.
Содержание инфракрасного излучения гарантирует нагрев поверхности экспонатов не более чем на 1 °C даже при самых высоких допустимых уровнях освещенности, приведенных в
таблице Б.3.
Кроме перечисленных параметров световой среды, при разработке экспозиционного освещения в музеях определены качественные характеристики осветительных установок, подлежащие нормированию, и их допустимые значения:
- рекомендуемые уровни освещенности в экспозиционных залах должны быть достаточно равномерными, кроме случаев, требующих заведомой неравномерности для наилучшего показа экспоната (освещение скульптуры и других объемных экспонатов или барельефов). Отношение наибольшей освещенности к наименьшей не должно превышать 3:1;
- показатель дискомфорта от источников прямой и отраженной блесткости - не более 25;
- коэффициент пульсации освещенности - 15%.
Достижение указанных значений параметров световой среды позволяет понизить уровни экспозиционного освещения и соответственно увеличить сохранность экспонатов примерно на 20%.
С целью повысить степень сохранности несветостойких экспонатов допустима фильтрация излучений в видимой области спектра, если это не влияет на цветоощущения. Ахроматические экспонаты (рукописи, фотографии, графика, печатные тексты и др.) следует устанавливать за фильтром желтого тона, срезающим ультрафиолетовую и сине-голубую часть спектра излучений. Освещение монохромных экспонатов светом той же цветности улучшает качество зрительного эффекта и повышает устойчивость к воздействию излучений примерно в 10 раз.
Распределение яркости в экспозиционном зале в пределах поля зрения посетителей не должно иметь резких перепадов (не более трехкратного).
Рекомендуемые соотношения яркостей отражающих поверхностей в экспозиционных помещениях должны составлять:
Lсп:Lпот:L1, 2, 3:Lп 10:5:3:1, где Lсп, Lпот, L1, 2, 3, Lп - яркости соответственно светопроемов с солнце- и светозащитными устройствами, потолка, трех стен с экспонатами и пола.
Соотношения яркостей экспоната и фона, на котором этот экспонат рассматривают, необходимо выбирать в зависимости от характера объекта и ожидаемого психологического воздействия. В ряде случаев сильный, сознательно создаваемый контраст между экспонатом и фоном значительно улучшает условия различения.
Например, некоторые мелкие предметы со сложными очертаниями или ажурные (ювелирные изделия, изделия из кости, кружево и т.п.) лучше видны на темном фоне. Изделия из стекла, фарфора лучше выглядят на светлом фоне.
При экспонировании картин, фотографий и подобных им произведений создание слишком большого контраста с фоном, как правило, нарушает целостность художественного восприятия. Слишком темный фон ухудшает условия светового комфорта, слишком светлый фон "забивает" экспонаты и, хорошо освещая стоящего перед ним зрителя, образует его яркое отражение в защитном стекле или в блестящей фактуре экспоната. Рекомендуется использовать нейтральный фон с коэффициентом отражения порядка 0,3.
Для ограничения отраженной блесткости от бликующих поверхностей (живопись, защитные стекла картин и витрин, металлические поверхности и т.д.) направление падения светового потока необходимо выбирать в зависимости от характера экспонатов:
а) угол падения прямого света на плоские экспонаты (картины, гравюры, ткани, плакаты и т.д.) при расположении их на стенах помещения или вертикальных стендах выбирают от 45° до 75° по отношению к горизонтали.
При углах, больших 75°, на экспонатах образуются тени от рам, фактуры, искажающие экспонаты; при углах менее 45° блики от экспонатов с блестящей фактурой могут оказывать слепящее действие на посетителей;
б) угол падения прямого света на объемные экспонаты выбирают от 30° до 50°, при которых в наилучшей степени выявляются форма и детали указанных экспонатов;
в) направленный свет, падающий под малым углом к поверхности (-10°), необходим для крупных рельефных поверхностей (барельефов, чеканки и т.п.) и для экспонатов с микрорельефом, который следует подчеркнуть (монеты, минералы, клинопись и пр.).
Для объемных рельефных экспонатов с целью смягчить тени к направленному верхнебоковому освещению следует добавлять общее рассеянное.
Фондохранилища включают в себя несколько помещений различного назначения, основными из которых являются помещения для хранения экспонатов, для приемки, осмотра, акклиматизации экспонатов и изолятор.
В помещении для хранения экспонатов, в изоляторе и камере акклиматизации применяют систему общего искусственного освещения с установкой на светопроемах свето- и солнцезащитных устройств при низких нормируемых средних значениях коэффициента естественного освещения (КЕО) (< 0,1).
При совмещении зон хранения и осмотра экспонатов необходимо предусматривать локализованное освещение, обеспечивающее различные уровни освещенности в зоне хранения и в зоне осмотра экспонатов. При необходимости следует осуществлять два режима управления освещением, обеспечивающих создание различных уровней освещенности.
Нормируемые характеристики светового режима основных помещений фондохранилищ приведены в таблице Б.4.
Таблица Б.4
Наименование помещений фондохранилищ | В видимом диапазоне спектра | Относительное содержание излучений |
освещенность, лк | цветовая температура, К | в УФ диапазоне, мкВт/лм | в ИК диапазоне, мВт/лм |
Помещение для хранения экспонатов | 30 - 50 | 2700 - 2800 | 20 - 30 | 90 - 120 |
Помещения для осмотра экспонатов | 300 - 500 | 4000 - 6000 | 20 - 200 | 30 - 40 |
Изолятор и камера акклиматизации | 20 - 30 | 2700 - 2800 | 20 - 30 | 90 - 120 |
Показатель дискомфорта для помещений хранения не должен превышать 60, тогда как в помещениях для осмотра экспонатов этот показатель должен быть не выше 40 при коэффициенте пульсации 15%. При расчетах характеристик систем освещения фондохранилищ коэффициент принимают равным 1,3.
При реставрационных работах должна быть применена система комбинированного освещения, состоящая из общего (как правило, локализованного) и местного освещения.
При реставрационных работах должны быть обеспечены:
- варьирование уровней освещенности и направления света в зависимости от вида технологической операции;
- высокое качество цветопередачи, дифференцируемой в зависимости от реставрируемого объекта;
- защита экспонатов от интенсивного воздействия на их поверхность теплового излучения, не допускающего перегрева красочного слоя более чем на 5 °C;
- отсутствие тенеобразования на поверхности экспоната, ограничение прямой и отраженной блесткости;
- использование средств оптического увеличения;
- проведение исследований в широком диапазоне монохроматических излучений.
Строительное оборудование помещения для реставрационных работ должно предусматривать проведение различных операций реставрации, особенно тонирование живописи непосредственно у открытого светопроема.
Нормируемые значения светового режима различных по технологическому назначению реставрационных мастерских указаны в таблице Б.5.
Таблица Б.5
Наименование реставрационной мастерской | Освещенность, лк | Цветовая температура, К | Относительное содержание ИК излучений, мВт/лм |
Общее освещение | Общее + местное освещение |
Реставрация масляной и темперной живописи | 500 | 2000 - 20000 | 3100 - 6000 | 30 - 40 |
Реставрация рисунка, акварели, графики, ткани, изделий из меха, кожи и т.д. | 300 | 1000 - 2000 | 3100 - 6000 | 30 - 40 |
Реставрация ювелирных изделий, часов и т.п. | 300 | 1000 - 3000 | 3100 - 6000 | 30 - 40 |
Реставрация крупногабаритных изделий (мебели, карет, скульптуры) | 500 | - | 3100 - 6000 | 30 - 40 |
Значения освещенности, указанные в таблице Б.5 в графе "Общее + местное освещение", выбирают в зависимости от выполняемых в процессе реставрации операций. Примеры выбора значений освещенности по операциям для технологических процессов реставрации масляной, темперной живописи и рукописей приведены в таблицах Б.6 -
Б.8.
Таблица Б.6
Нормируемые уровни освещенности рабочих поверхностей
для операций реставрации масляной живописи
Операция процесса реставрации | Предварительная классификация точности [2] | Нормируемое значение освещенности, лк [2] | Оптимальный уровень освещенности, лк |
Профилактическая заклейка картины | Средней точности, IVв | 400 | 600 |
Укрепление красочного слоя и грунта | Очень высокой точности, IIа, б | 3000 - 4000 | 4000 - 5000 |
Снятие картины и натяжение на подрамник | Средней точности, IVв | 400 | 600 |
Дублирование картины и подведение кромок | Высокой точности, IIб | 1000 | 1000 |
Подведение и обработка грунта | Очень высокой точности, IIа, б | 2000 - 3000 | 3000 - 4000 |
Удаление слоя загрязнений | Очень высокой точности, IIа, б | 2000 - 3000 | 4000 - 5000 |
Утончение и выравнивание лака | Наивысшей точности, Iа, б, в | 2500 - 5000 | 10000 - 15000 |
Удаление слоя записей | Наивысшей точности, Iа, б, в | 2500 - 5000 | 15000 |
Тонировка | Наивысшей точности, Iа, б | 4000 - 5000 | 20000 |
Покрытие картины лаком | Очень высокой точности, IIа, б | 3000 - 4000 | 5000 |
Таблица Б.7
Нормируемые уровни освещенности рабочих поверхностей
для операций реставрации темперной живописи
Операция процесса реставрации | Предварительная классификация точности [2] | Нормируемое значение освещенности [2] | Оптимальный уровень освещенности, лк |
Укрепление и подведение грунта красочного слоя | Очень высокой точности, IIа, б, в | 2000 - 4000 | 4000 - 5000 |
Удаление поверхностных загрязнений | Очень высокой точности, IIа, б, в | 2000 - 4000 | 8000 - 10000 |
Расчистка | Наивысшей точности, Iа, б | 4000 - 5000 | 10000 |
Утончение и удаление слоя олифы | Очень высокой точности, IIа, б | 2000 - 4000 | 7000 - 9000 |
Тонирование | Наивысшей точности, Iа, б | 4000 - 5000 | 20000 |
Таблица Б.8
Нормируемые уровни освещенности рабочих поверхностей
для операций реставрации рукописей
Операция процесса реставрации | Предварительная классификация точности по [2] | Нормируемое значение освещенности по [2], лк | Оптимальный уровень освещенности, лк |
Расплетение рукописи, отделение блока от переплета | Средней точности, IVв | 400 | 600 |
Разделение блока на тетради | Средней точности, IVв | 400 | 600 |
Укрепление миниатюр | Очень высокой точности, IIа, б | 3000 | 5000 - 8000 |
Удаление поверхностных загрязнений с листа | Наивысшей точности, Iб | 4000 | 15000 - 20000 |
Увлажнение и распрямление под прессом | Малой точности, IV | 300 | 500 |
Сшивание рукописи | Средней точности, IVв | 400 | 600 |
Показатель дискомфорта систем освещения не должен превышать 40 при коэффициенте пульсации освещенности не более 10%.
Измерение характеристик световой среды в основных помещениях музеев на соответствие нормам следует проводить на определенных уровнях геометрического объема помещения или фрагментов установленных экспонатов.
Характеристики световой среды при общем освещении различных музейных помещений следует измерять в горизонтальной плоскости на уровне 0,8 м от пола.
При оценках светового режима для экспонатов, вертикально расположенных на стенах или стендах, измерения следует проводить в зоне экспозиционного пояса на высоте примерно 1,6 м (среднестатистический уровень зрения).
Измерительный прибор необходимо направлять в сторону источников света, контролируя при этом, чтобы на окно фотоприемников не падала тень от оператора, выполняющего измерения, а также от временно находящихся посторонних предметов.
Показатели состояния светового режима в экспозиционных залах и запасниках музея на соответствие нормам хранения и экспонирования должны фиксировать хранители в специальном журнале не менее двух раз в течение светлого времени суток, особенно в периоды повышенной интенсивности излучений.
Измерения характеристик светового режима в видимой, ультрафиолетовой и инфракрасной областях спектра проводят, как правило, в зонах экспозиций с указанием причин временного превышения норм светового режима (сезонные изменения интенсивности естественного света, смена установленных в светильниках источников света, несоблюдение правил эксплуатации средств освещения и светозащиты и др.).
Реализацию требований настоящего стандарта по освещению основных помещений музеев обеспечивают применительно к каждому конкретному музею и экспозиции проведением предпроектных исследований, светотехнических расчетов с составлением необходимых проектно-технических и эксплуатационных документов.
Содержание исследовательско-проектных разработок и оборудования систем искусственного и естественного освещения должно определять техническое задание, составленное на основе предметно-демонстрационного плана и художественно-экспозиционных предложений по оформлению выставки со стороны музея. К разработке технического задания (далее - ТЗ) должны быть привлечены специалисты-светотехники в области музейного освещения.
Разработке ТЗ должно предшествовать обследование существующего в музейных помещениях светового режима при воздействии искусственных и естественного источников излучений (в видимом, ультрафиолетовом и инфракрасном диапазонах) с определением технических путей их трансформации применительно к содержанию предметно-демонстрационного плана по светостойкости и экспозиционной выразительности.
В ТЗ должны быть зафиксированы основные требования к характеристикам светового режима различных помещений музея, к устанавливаемому экспозиционному оборудованию, светозащитным материалам и устройствам для светопроемов, конструкциям светильников и источникам света.
Содержанием ТЗ должна быть определена этапность выполнения как проектных разработок, так и работ по монтажно-техническому оборудованию систем освещения с заключениями экспертов, позволяющая обеспечить юридическую ответственность исполнителей за качество работ даже при условиях стопроцентной предоплаты их стоимости.
На основе ТЗ разрабатывают светотехнические проекты систем защиты от естественного света светопроемов экспозиционных залов, а также систем искусственного освещения зон экспозиций и систем освещения, встроенных в экспозиционное оборудование.
Выбор конструкций и типов светозащитных устройств для светопроемов, а также типажей светильников и источников света по экспозиционной выразительности и дизайну на начальном этапе проектирования исполнителями согласуют с заказчиком. Затем проводят расчеты параметров систем освещения, обеспечивающих получение в постоянной экспозиции нормируемых светоцветовых характеристик светового режима, а также облученности в видимом, ультрафиолетовом и инфракрасном диапазонах спектра. Результаты расчетов должны быть предъявлены заказчику на основе физического воспроизведения фрагментов освещения, построенных по методике светотехнического моделирования.
Разработанный светотехнический проект должен быть согласован исполнителями с компетентной организацией, занимающейся превентивной консервацией музейных ценностей, а также со службами государственного пожарного надзора.
Результатом проектирования должны быть: пояснительная записка с обоснованием полноты выполнения ТЗ; спецификация на оборудование; строительно-монтажные чертежи; ТЗ на оснащение системами освещения основных помещений музея для электромонтажных и осветительных фирм, имеющих соответствующую лицензию на выполнение работ в музеях.
Строительно-монтажные работы в части систем освещения проводят при авторском надзоре со стороны проектировщиков и привлекаемых специалистов по музейному освещению с контролем поставки только сертифицированного музейного оборудования и независимой экспертизой светового режима, с использованием специализированных средств измерений и контроля параметров световой среды.
В процессе сдачи работ по системам освещения заказчику должны быть предъявлены технические паспорта на системы освещения с гарантиями сохранности предметов экспозиции, технические описания и правила эксплуатации систем освещения и светозащиты, порядок приобретения и поставки элементов оборудования, срок их службы, а также наименования и адреса организаций, выполняющих ремонтные и профилактические работы в процессе эксплуатации.
Оценку характеристик светового режима в помещениях музея на соответствие нормам должны проводить только специалисты-светотехники в области музейного освещения.
Реализация систем освещения в основных помещениях музеев с соблюдением нормируемых характеристик светового режима и выполнением совокупности требований экологической безопасности (нормируемый температурно-влажностный режим, пожаробезопасность, защита от биоповреждений, пыли и т.д.) возможна лишь на основе использования специализированных средств освещения и светозащиты. Следует исключить использование при оборудовании музеев технических средств обеспечения светового режима без соответствующих документов на их применение именно в музейном освещении.
Ограничение и регулировка светопоступлений прямых солнечных лучей в экспозиционные залы и запасники через светопроемы музейных зданий должны быть достигнуты с использованием специальных конструктивных приспособлений в виде солнцезащитных устройств. Конструктивные решения солнцезащитных устройств зависят от способов их установки относительно светопроемов (наружные, межстекольные и внутренние). Солнцезащитные устройства могут быть стационарными (козырьки, ребра, экраны и др.) и регулируемыми (маркизы, жалюзи, шторы-жалюзи, шторы и т.д.). Регулировка может быть осуществлена как вручную (механически), так и с помощью электропривода или автоматически.
Выбор варианта солнцезащиты для конкретного музея определяется климатической зоной его расположения, ориентацией светопроемов относительно сторон света и содержанием представленной в музее экспозиции.
Для нормализации светового режима светопроемы экспозиционных залов, кроме солнцезащитных устройств, перераспределяющих (в частности, уменьшающих) количественные характеристики излучений, должны быть оборудованы специальными селективными светозащитными материалами (и соответствующими устройствами из них), экранирующими вредные составляющие оптических излучений. Грамотный подбор материалов и устройств в светопроемах музейных помещений различного назначения позволяет стабилизировать в них световой и температурно-влажностный режимы. В качестве селективных материалов могут быть использованы специальные стекла, прозрачные полимерные пленки, экранирующие ультрафиолетовое излучение, тонированные пленки комплексного действия, а также ткани из полиэфирных волокон и стеклоткани, отражающие или поглощающие инфракрасное или ультрафиолетовое излучение.
Средние значения КЕО для светопроемов экспозиционных залов должны составлять 1% - 1,5%.
В системах искусственного освещения основных музейных помещений в качестве источников света допустимо использование следующих разновидностей ламп:
- ламп накаливания, разнообразных по конструкции, в том числе общего назначения и зеркальных с прозрачными колбами;
- галогенных ламп накаливания с интерференционными отражателями и фильтрами ультрафиолетовой защиты;
- люминесцентных ламп с цветовой температурой 2800 - 6000 К с устройствами защиты от избыточного содержания ультрафиолетового излучения;
- металлогалогенных ламп с цветовой температурой 6000 К с устройствами защиты от избыточного содержания ультрафиолетового излучения.
При выборе источника света следует дополнительно учитывать продолжительность горения и световую отдачу.
Реализация систем искусственного освещения в экспозиционных залах возможна на основе широкого ассортимента светильников, выпускаемых современными светотехническими фирмами, с определением конкретного типа в процессе выполнения светотехнического проекта. Оперативную перекомпоновку систем освещения при смене экспозиции обеспечивают с помощью малогабаритных осветительных шинопроводов.
Освещение экспонатов, расположенных в герметизированных витринах, обеспечивают светильниками, вынесенными из полезного объема витрины. Остекление витрин выполняют из материалов, обеспечивающих подавление составляющих спектра излучений, неблагоприятно влияющих на предметы экспозиции.
В помещениях для хранения экспонатов должна быть применена система общего освещения, выполняемая светильниками с лампами накаливания, перекрытыми сплошным силикатным стеклом. В помещениях для хранения масляной и темперной живописи, предметов из кости и т.п., в которых экспонаты не могут храниться в полной темноте, необходимо предусмотреть систематическое включение освещения в течение дня.
При отсутствии осветительных приборов для специальных операций реставрации, в том числе и при работе приборами оптического увеличения, допускается использовать близкие по характеристикам световые приборы, разработанные для других целей, в том числе:
- студийные софиты в виде торшеров, настольных и подвесных светильников на люминесцентных и металлогалогенных лампах;
- медицинские светильники различного назначения (стоматологические, операционные);
- специализированные светильники обеспечения операций в промышленности с выполнением высокоточной зрительной работы (сборка микросхем, ювелирные работы, работа в часовой промышленности).
(справочное)
БИБЛИОГРАФИЯ
| Рекомендации по проектированию искусственного освещения музеев. - М., 1988 |
| Естественное и искусственное излучение |
| Государственная система обеспечения единства измерений. Порядок проведения поверки средств измерений |
| Государственная система обеспечения единства измерений. Порядок аттестации поверителей средств измерений |
| Правила технической эксплуатации электроустановок потребителей. - М., 1986 |
| | ИС МЕГАНОРМ: примечание. В официальном тексте документа, видимо, допущена опечатка: имеется в виду СН 4557-88, а не СанПин 4557-88. | |
|
| Санитарные нормы ультрафиолетового излучения в производственных помещениях |
| Справочная книга по светотехнике. Под редакцией Ю.Б. Айзенберга. - М., 1995 |