Главная // Актуальные документы // ГОСТ Р (Государственный стандарт)СПРАВКА
Источник публикации
М.: Стандартинформ, 2010
Примечание к документу
Документ утратил силу с 1 января 2013 года в связи с изданием
Приказа Росстандарта от 13.12.2011 N 1474-ст. Взамен введен в действие
ГОСТ ISO 16140-2011.
Документ включен в
Перечень стандартов, содержащих правила и методы исследований (испытаний) и измерений, в том числе правила отбора образцов, необходимые для применения и исполнения требований технического
регламента "О безопасности пищевой продукции" (ТР ТС 021/2011) и осуществления оценки (подтверждения) соответствия продукции (
Решение Комиссии Таможенного союза от 09.12.2011 N 880).
Документ включен в
Перечень национальных стандартов, содержащих правила и методы исследований (испытаний) и измерений, в том числе правила отбора образцов, необходимых для применения и исполнения Федерального
закона "Технический регламент на молоко и молочную продукцию" и осуществления оценки соответствия (
Распоряжение Правительства РФ от 15.12.2008 N 1866-р
Документ
введен в действие с 1 января 2010 года.
Название документа
"ГОСТ Р ИСО 16140-2008. Национальный стандарт Российской Федерации. Микробиология продуктов питания и кормов для животных. Протокол валидации альтернативных методов"
(утв. и введен в действие Приказом Ростехрегулирования от 18.12.2008 N 589-ст)
"ГОСТ Р ИСО 16140-2008. Национальный стандарт Российской Федерации. Микробиология продуктов питания и кормов для животных. Протокол валидации альтернативных методов"
(утв. и введен в действие Приказом Ростехрегулирования от 18.12.2008 N 589-ст)
Утвержден и введен в действие
по техническому регулированию
и метрологии
от 18 декабря 2008 г. N 589-ст
НАЦИОНАЛЬНЫЙ СТАНДАРТ РОССИЙСКОЙ ФЕДЕРАЦИИ
МИКРОБИОЛОГИЯ ПРОДУКТОВ ПИТАНИЯ И КОРМОВ ДЛЯ ЖИВОТНЫХ
ПРОТОКОЛ ВАЛИДАЦИИ АЛЬТЕРНАТИВНЫХ МЕТОДОВ
Microbiology of food and animal feeding stuffs.
Protocol for the validation of alternative methods
ISO 16140:2003
Microbiology of food and animal feeding stuffs -
Protocol for the validation of alternative methods
(IDT)
ГОСТ Р ИСО 16140-2008
Группа Н19
ОКС 07.100.30
ОКСТУ 9109
Дата введения
1 января 2010 года
Цели и принципы стандартизации в Российской Федерации установлены Федеральным
законом от 27 декабря 2002 г. N 184-ФЗ "О техническом регулировании", а правила применения национальных стандартов Российской Федерации -
ГОСТ Р 1.0-2004 "Стандартизация в Российской Федерации. Основные положения".
1. Подготовлен Государственным научным учреждением "Всероссийский научно-исследовательский институт мясной промышленности имени В.М. Горбатова" Российской Академии сельскохозяйственных наук (ГНУ ВНИИМП им. В.М. Горбатова Россельхозакадемии) на основе собственного аутентичного перевода стандарта, указанного в пункте 4.
2. Внесен Техническим комитетом по стандартизации ТК 335 "Методы испытаний агропромышленной продукции на безопасность".
3. Утвержден и введен в действие
Приказом Федерального агентства по техническому регулированию и метрологии от 18 декабря 2008 г. N 589-ст.
4. Настоящий стандарт идентичен международному стандарту ИСО 16140:2003 "Микробиология продуктов питания и кормов для животных. Протокол валидации альтернативных методов" (ISO 16140:2003 "Microbiology of food and animal feeding stuffs - Protocol for the validation of alternative methods").
При применении настоящего стандарта рекомендуется использовать вместо ссылочных международных стандартов соответствующие им национальные стандарты Российской Федерации, сведения о которых приведены в дополнительном
Приложении V.
5. Введен впервые.
Информация об изменениях к настоящему стандарту публикуется в ежегодно издаваемом информационном указателе "Национальные стандарты", а текст изменений и поправок - в ежемесячно издаваемых информационных указателях "Национальные стандарты". В случае пересмотра (замены) или отмены настоящего стандарта соответствующее уведомление будет опубликовано в ежемесячно издаваемом информационном указателе "Национальные стандарты". Соответствующая информация, уведомление и тексты размещаются также в информационной системе общего пользования - на официальном сайте национального органа Российской Федерации по стандартизации в сети Интернет.
Необходимость быстрой оценки микробиологического качества сырья и готовых продуктов, а также микробиологического статуса производственных процессов в пищевой промышленности привела к разработке и усовершенствованию альтернативных методов микробиологического анализа, которые быстрее и/или проще в осуществлении, чем соответствующий стандартный метод, и некоторые из них можно автоматизировать.
Среди альтернативных методов есть такие, которые могут давать результаты, эквивалентные результатам стандартного метода, а результаты других могут заметно отличаться.
Поставщики и разработчики альтернативных методов, производители пищевых продуктов и напитков, службы здравоохранения и другие органы нуждаются в надежном общем протоколе валидации подобных альтернативных методов. Полученные данные могут также стать основой для сертификации метода независимой организацией.
Из-за большого числа методов, использованных лабораторией-организатором в сравнительном исследовании, представленном в настоящем стандарте, процедура не всегда подходит для "внутреннего" метода валидации альтернативного метода, применяемого отдельной лабораторией.
Настоящий стандарт устанавливает основной принцип и технический протокол валидации альтернативных методов в сфере микробиологического анализа пищевых продуктов, кормов для животных, образцов окружающей среды и ветеринарных образцов (см.
5.1.1.2.1) для:
- валидации альтернативных методов, которые можно использовать, в частности, в рамках официального контроля;
- международного признания результатов, полученных альтернативным методом.
Настоящий стандарт также устанавливает основные принципы сертификации альтернативных методов, основанные на протоколе валидации, определенном в
4.1.
В тех случаях, когда альтернативный метод применяется на постоянной основе для внутрилабораторного использования и не требуется соответствие (более высоким) сторонним критериям контроля качества, может оказаться достаточной менее строгая сравнительная валидация альтернативного метода.
В настоящем стандарте использованы нормативные ссылки на следующие стандарты:
ИСО 3534-1:1993
<1> Статистика. Словарь и условные обозначения. Часть 1. Общие статистические термины и термины, используемые при расчете вероятностей.
ISO 3534-1:1993 Statistics - Vocabulary and symbols - Part 1: General statistical terms and terms used in probability
ИСО 5725 (все части) Точность (правильность и прецизионность) методов и результатов измерений
ISO 5725 (all parts) Accuracy (trueness and precision) of measurement methods and results
ИСО 9001-2000
<1> Системы менеджмента качества. Требования
ISO 9001:2000 Quality management systems - Requirements
ИСО 11095-1996 Статистические методы. Линейная калибровка с использованием образцов сравнения
ISO 11095:1996 Linear calibration using reference materials
ИСО/ТС 11133-1-2000
<1> Микробиология пищевых продуктов и кормов для животных. Руководство по подготовке и производству культуральных сред. Часть 1. Общее руководство по обеспечению качества подготовки культуральных сред в лаборатории
--------------------------------
<1> Заменены на ИСО 3534-1-2006, ИСО 9001-2008, ИСО/ТС 11133-2009 соответственно.
ISO/TS 11133-1:2000 Microbiology of food and animal feeding stuffs - Guidelines on preparation and production of culture media - Part 1: General guidelines on quality assurance for the preparation of culture media in the laboratory
| | ИС МЕГАНОРМ: примечание. В тексте документа, видимо, допущена опечатка: ГОСТ Р ИСО/МЭК 17025-2006 "Общие требования к компетентности испытательных и калибровочных лабораторий" введен в действие взамен ИСО/МЭК 17025-2000, а не ИСО/МЭК 17025-2001. | |
ИСО/МЭК 17025-2001 <2> Общие требования к компетентности испытательных и калибровочных лабораторий
--------------------------------
<2> Заменен на ИСО/МЭК 17025-2005.
ISO/IEC 17025:2001 General requirements for the competence of testing and calibration laboratories
В настоящем стандарте применены следующие термины с соответствующими определениями:
3.1. Альтернативный метод (alternative): метод анализа, обеспечивающий для продуктов данной категории обнаружение или оценку такого же аналита
(3.4), какой измеряют с помощью соответствующего стандартного метода
(3.2).
Примечание 1. Метод может быть патентованным или некоммерческим и необязательно должен включать всю процедуру анализа от приготовления образцов до отчета об испытании.
Примечание 2. Альтернативный метод должен обладать качествами, соответствующими нуждам пользователя, например:
- быстродействие проведения анализа и/или получения результата;
- простота выполнения и/или автоматизации;
- аналитические качества (прецизионность, точность, предел обнаружения и т.д.);
- миниатюризация;
- снижение затрат.
Примечание 3. Термин "альтернативный" применяется для общего обозначения процедуры испытания и реакционной системы. Этот термин включает в себя все компоненты - материальные и иные, необходимые для реализации метода.
3.2. Стандартный метод (reference): принятый на международном уровне и широко применяемый метод.
Примечание. В настоящем стандарте под стандартным методом подразумеваются международные и европейские стандарты, а в случае их отсутствия - подходящие национальные стандарты эквивалентного статуса.
3.3. Валидация альтернативного метода (validation of an alternative method): процедура подтверждения соответствия того, что результаты, полученные альтернативным методом, сравнимы с результатами, полученными стандартным методом.
Примечание. Термин "сравнимы" определяется в настоящем стандарте техническим протоколом, адаптированным для метода каждого типа (см.
разделы 5 и
6).
3.4. Аналит (analyte): компонент, измеряемый данным методом анализа. Это может быть микроорганизм.
3.5. Качественный метод (qualitative method): метод анализа, результатом которого является установление наличия или отсутствия аналита (3.4), обнаруживаемого прямо или косвенно в определенном количестве образца.
3.6. Количественный метод (quantitative method): метод анализа, результатом которого является количество аналита (3.4), измеренное прямо (подсчет по массе или объему) или косвенно (поглощение цвета, импеданс и т.д.) в определенном количестве образца.
3.7. Сравнительное исследование методов (methods comparison study): исследование, проводимое лабораторией-организатором, целью которого является сравнение альтернативного метода со стандартным методом.
3.8. Межлабораторное исследование (inter-laboratory study): исследование рабочих характеристик метода с использованием одних и тех же образцов в нескольких лабораториях под контролем лаборатории-организатора.
3.9. Лаборатория-организатор (organising laboratory): лаборатория с квалифицированными сотрудниками, имеющими опыт проведения сравнительного исследования и организации межлабораторного исследования.
Примечание. Для анализа результатов необходимо участие квалифицированного специалиста по статистическим исследованиям.
4. ОБЩИЕ ПРИНЦИПЫ ВАЛИДАЦИИ И СЕРТИФИКАЦИИ
АЛЬТЕРНАТИВНЫХ МЕТОДОВ
Протокол валидации включает в себя два этапа:
- сравнительное исследование
(3.7) альтернативного
(3.1) и стандартного
(3.2) методов в лаборатории-организаторе;
- межлабораторное исследование
(3.8) каждого из двух методов.
Если это возможно, оба этапа проводят параллельно.
Технические правила проведения сравнительного исследования методов и межлабораторного исследования представлены в
разделах 5 и
6 соответственно, в зависимости от того, является ли альтернативный метод качественным или количественным.
Если альтернативный метод прошел валидацию и соответствует требованиям другой организации, то для процедуры признания таких результатов предусмотрены специальные правила, приведенные в
Приложении A.
4.2. Принципы сертификации
4.2.1. При последующей сертификации альтернативного метода применяют (в дополнение к
4.1) два следующих принципа.
Подробные сведения о проведении сертификации (управление сравнительным исследованием методов и межлабораторным исследованием, перечень организаций, участвующих в процессе, включая экспертную лабораторию, называемую в настоящем стандарте лабораторией-организатором, и приглашенных экспертов, сертифицирующий орган и т.д.) предоставляются сертифицирующим органом.
4.2.2. Изготовитель должен использовать систему качества, охватывающую весь ряд продукции, подлежащей сертификации, и основанную на соответствующем стандарте, относящемся к системам качества (ИСО 9001).
При выдаче сертификата сертифицирующая организация должна учитывать наличие сертификата системы качества, выданного сертифицирующим органом, аккредитованным в сфере систем качества.
4.2.3. После выдачи сертификата должна проводиться регулярная проверка качества сертифицированного метода. Должен регулярно проводиться аудит для установления соответствия:
- требованиям обеспечения качества (см.
4.2.1);
- требованиям контроля производства продукции (см.
4.2.1).
В дополнение к общим требованиям системы качества изготовитель регулярно предъявляет сертифицирующей организации обновленную документацию, учитывающую все изменения, внесенные в продукт или в процесс производства, которые могут отразиться на инструкциях по использованию метода и/или на рабочих характеристиках метода. После этого сертифицирующая организация решает, влияют ли внесенные изменения на результаты сертификации.
5. КАЧЕСТВЕННЫЕ МЕТОДЫ. ТЕХНИЧЕСКИЙ ПРОТОКОЛ ВАЛИДАЦИИ
5.1. Сравнительное исследование методов
5.1.1. Относительная точность, относительная специфичность и относительная чувствительность
5.1.1.1. Термины и определения
В настоящем стандарте применены следующие термины с соответствующими определениями:
5.1.1.1.1. Относительная точность (AC) (relative accuracy): степень соответствия между результатом, полученным стандартным методом, и результатом, полученным альтернативным методом, при исследовании идентичных образцов <1> (см.
5.1.1.3.1).
--------------------------------
<1> Труднодостижимо, если различаются этапы предварительного обогащения.
Примечание. Термин "относительная точность", используемый в настоящем стандарте, является дополнительным к терминам "точность" и "правильность", как они определены в ИСО 5725-1 и в ИСО 3534-1. В этих стандартах указывается, что точность - это степень близости результата испытания и принятого опорного значения, и что правильность - это степень близости среднего значения большого числа результатов испытания и принятого опорного значения. В настоящем стандарте в качестве принятого опорного значения выбрано значение, получаемое стандартным методом. Таким образом, термин "относительный" указывает на то, что стандартный метод автоматически не дает принятое опорное значение.
5.1.1.1.2. Положительное отклонение (PD) (positive deviation): альтернативный метод ложноположителен, когда он показывает положительное отклонение (т.е. получен положительный результат), в то время как стандартный метод дает отрицательный результат.
Положительное отклонение становится ложноположительным результатом, когда можно доказать, что истинный результат отрицателен.
Положительное отклонение считается истинно положительным, когда можно доказать, что истинный результат положителен.
5.1.1.1.3. Отрицательное отклонение (ND) (negative deviation): альтернативный метод показывает отрицательное отклонение (т.е. получен отрицательный результат), в то время как стандартный метод дает положительный результат.
Отрицательное отклонение считается ложноотрицательным, когда можно доказать, что истинный результат положителен.
5.1.1.1.4. Относительная чувствительность (SE) (relative sensitivity): способность альтернативного метода обнаруживать аналит, когда его обнаруживает стандартный метод (см.
5.1.1.3.1).
5.1.1.1.5. Относительная специфичность (SP) (relative specificity): способность альтернативного метода не обнаруживать микроорганизм тогда же, когда его не обнаруживает стандартный метод (см.
5.1.1.3.1).
5.1.1.2. Протокол измерений
5.1.1.2.1. Образцы пищевых продуктов
Для оценки чрезвычайно важно отобрать образцы пищевых продуктов, естественно контаминированные аналитом, подлежащим обнаружению при валидации.
Если метод нужно оценить для всех пищевых продуктов, то нужно изучить пять категорий пищевых продуктов. По просьбе изготовителя это число категорий можно снизить до одной, двух, трех или четырех, если валидация альтернативного метода ограничена такими указанными категориями. Рекомендованные категории перечислены в
Приложении B.
Подходящие образцы окружающей среды также могут быть включены в качестве одной из категорий. Ветеринарные образцы можно считать еще одной категорией (см.
Приложение B).
Желательно, чтобы образцы пищевых продуктов происходили из как можно более широкой зоны распространения для уменьшения искажения, связанного со спецификой местной пищи, и для расширения диапазона валидации.
При анализе естественно контаминированных образцов диапазон и распределение контаминации образцов должны представлять все уровни, обычно присутствующие в этих продуктах, с упором на меньшее значение.
Если невозможно получить достаточное количество естественно контаминированных пищевых продуктов каждой категории, то допустимо использование искусственно контаминированных образцов. Метод и уровни искусственной контаминации должны обеспечивать подобие характеристик полученных образцов характеристикам естественно контаминированных образцов (см. методы инокуляции и ограничения в
Приложении C).
5.1.1.2.2. Число образцов
Суммарное число испытательных подобразцов для анализа равно 60 для каждой пищевой категории, выбранной из списка, приведенного в
Приложении B. Внутри каждой категории выбирают представительные типы пищевых продуктов и анализируют 20 испытательных подобразцов пищевого продукта каждого типа предлагаемым методом и стандартным методом для получения минимум 60 результатов для каждой категории каждым методом. Для естественно контаминированных типов пищевых продуктов готовят образец, как описано в
Приложении D. Для искусственно контаминированных типов пищевых продуктов подстраивают уровни инокуляции таким образом, чтобы достичь частичного положительного выделения микроорганизмов в анализируемых испытательных подобразцах хотя бы одним из методов. Частичное выделение микроорганизмов достигается, когда в некотором числе, но не во всех испытательных подобразцах обнаруживается положительный результат одним или обоими методами, альтернативным или стандартным.
Желательно получить примерно 50% положительных результатов и 50% отрицательных. Это рекомендация, а не абсолютно требуемое процентное соотношение, при условии, что некоторое число испытательных подобразцов "положительно", а часть - "отрицательно" для одного и того же типа пищевого продукта.
5.1.1.2.3. Приготовление испытательных образцов
Стандартный и альтернативный методы должны быть проведены, насколько это возможно, на одном и том же образце.
Так, если первая стадия обоих методов одинакова (например, тот же самый предварительно обогащенный бульон), то проводят репликацию на второй стадии (Приложение D,
случай 1).
В случае когда первоначальная культуральная среда, методология или растворы различаются, готовят парные испытательные подобразцы для анализа. Имеются два основных метода для таких процедур приготовления.
В первом случае смешивают двойную навеску образца с равной по массе или объему навеской стерильной воды или другого подходящего разбавителя и тщательно гомогенизируют. Затем разделяют ее на два подобразца, обращая особое внимание на увеличение концентрации первичного обогащения примерно на 10% для компенсации эффекта разбавления разбавленного гомогенизированного образца (Приложение D,
случай 2).
Во втором случае непосредственно засевают образец пищевого продукта начальным посевным материалом в количестве, достаточном для получения частичного выделения микроорганизмов из анализируемых испытательных подобразцов хотя бы одним методом после того, как микроорганизмы пришли в состояние равновесия в образце пищевого продукта. Потом приготовляют испытательные подобразцы массой 25 г и процедуру продолжают так, как описано в
Приложении D. Такая процедура предпочтительна для жидких продуктов, но может быть применима и для пищевого продукта любого типа при условии, что пищевой продукт тщательно гомогенизирован.
5.1.1.3. Вычисления и интерпретация результатов
5.1.1.3.1. Обработка данных
Парные данные стандартного и альтернативного методов заносят в таблицу и вычисляют следующие параметры для каждой категории пищевого продукта (60 образцов), как указано в таблице 1.
Таблица 1
Парные результаты стандартного и альтернативного методов
Результаты | Стандартный метод положителен (R +) | Стандартный метод отрицателен (R -) |
Альтернативный метод положителен (A +) | +/+ положительное согласование (PA) | -/+ положительное отклонение (R-/A+) |
Альтернативный метод отрицателен (A -) | +/- отрицательное отклонение (ND) (A-/R+) | -/- отрицательное согласование (NA) |
Вычисления должны проводиться на ряде отрицательных результатов, полученных стандартным методом, число которых для результатов из таблицы 1 не может превышать удвоенное число положительных результатов. При необходимости можно выбирать отрицательные результаты, непосредственно следующие за положительным результатом в порядке анализа образцов.
Используются три следующих критерия:
Относительная точность:
Относительная специфичность:
Относительная чувствительность:
где N - суммарное число образцов (NA + PA + PD + ND);
[Положительное отклонение (PD), отрицательное отклонение (ND), отрицательное согласование (NA), положительное согласование (PA)];

- суммарное число отрицательных результатов для стандартного метода (NA + PD);

- суммарное число положительных результатов для стандартного метода (PA + ND).
5.1.1.3.2. Доверительные интервалы
Вычисление доверительных интервалов, связанных с числом испытанных образцов, приведено в
Приложении E.
5.1.1.3.3. Несовпадающие результаты
Проверяют несовпадающие результаты, как описано в
Приложении F [критерий МакНемара (McNemar)], используя подсчет PD и ND (см.
5.1.1.3.1).
Когда значения PD и ND высоки и практически одинаковы, критерий МакНемара не позволяет установить статистическое различие между методами. В таком случае лаборатория-организатор должна постараться выяснить причины высоких значений PD и ND. Более того, из вышесказанного следует, что относительную точность метода нельзя интерпретировать, используя только критерий МакНемара.
5.1.1.3.4. Сводка вычислений
Все вычисления должны быть представлены в форме таблицы 2.
Таблица 2
Вычисление относительной точности, относительной
чувствительности и относительной специфичности
Матрицы | PA | NA | ND | PD | Сум- ма | Относитель ная точность AC (%) | N + | Относитель- ная чувстви- тельность SE (%) | N - | Относитель- ная специфич- ность SP (%) |
| | | | | N | 100 x (PA + + NA)/N | PA + ND | 100 x РА/N + | NA + + PD | 100 x NA/N - |
Пищевая катего- рия 1 | | | | | | | | | | |
Пищевая катего- рия 2 | | | | | | | | | | |
Пищевая катего- рия 3 | | | | | | | | | | |
Пищевая катего- рия 4 | | | | | | | | | | |
Пищевая катего- рия 5 | | | | | | | | | | |
ВСЕГО | | | | | | | | | | |
5.1.1.3.5. Интерпретация результатов
Нужно сформировать таблицу, включающую необработанные результаты (то есть все положительные и отрицательные результаты из
таблицы 1).
На основании числа положительных отклонений и числа отрицательных отклонений оценивают возможность альтернативного метода получать большее или меньшее число истинно положительных результатов, чем стандартным методом.
В отчете об исследовании результаты, полученные с естественно контаминированными и искусственно контаминированными образцами, должны быть представлены раздельно.
Процедура искусственной контаминации испытательных образцов должна быть описана в отчете об исследовании.
Данные, опубликованные в других источниках и соответствующие условиям, указанным в
Приложении A, можно использовать для оценки относительной точности.
5.1.2. Относительный уровень обнаружения
5.1.2.1. Определение
В рамках настоящего стандарта под относительным уровнем обнаружения понимают наименьшее число культивируемых микроорганизмов
(3.4), которое может быть обнаружено в образце в 50% случаев альтернативным и стандартным методами.
5.1.2.2. Протокол измерений
Испытание проводят следующим образом:
- используют один пищевой продукт из каждой пищевой категории, выбранной по
5.1.1.2.1, с учетом области применения валидации (см.
Приложение B);
- используют пять разных целевых микроорганизмов (или меньше, с учетом области применения валидации), каждый из которых предназначен для одной пищевой категории, если это возможно (определение целевых микроорганизмов приведено в
Приложении G);
- предпочтительно проводят испытания для пяти уровней (но минимум для трех уровней) по одному целевому микроорганизму на каждый пищевой продукт, включая отрицательный контрольный образец и т.д. Первым уровнем должен служить отрицательный контрольный образец. Вторым уровнем должен быть теоретический уровень обнаружения. Третий уровень - немного выше теоретического порога обнаружения, и все последующие уровни должны быть выше предыдущего. Можно использовать последовательные верхние уровни с концентрациями, разнящимися множителем, приблизительно равным 3;
- воспроизводят каждую комбинацию (пищевой продукт, уровень контаминации) шесть раз для испытания и альтернативным, и стандартным методами. Проводят разделение на уровне, где методы отличаются, как показано в
Приложении D. Таким образом, если этап 1 обоих методов одинаков (например, тот же предварительно обогащенный бульон), проводят разделение на этапе 2 (см. Приложение D,
случай 1). Если первый этап неодинаков, то есть культуральная среда, методология или степень разведения различаются, то смешивают удвоенную массу образца с равным по массе или объему количеством стерильной воды или другого подходящего разбавителя, а потом разделяют на два подобразца;
- используют полную процедуру альтернативного и стандартного методов, включая подготовку образца. Засев каждого пищевого образца можно проводить до или после добавления культуральной среды.
Если нужно, то для обеспечения лучшей прецизионности на самом нижнем уровне посевного материала увеличивают массу пищевого образца или число реплик образцов. Например, можно использовать 75 г пищевого образца, контаминированного тремя клетками, вместо 25 г образца, контаминированного одной клеткой.
Чем больше число использованных уровней засева, тем точнее определение порога обнаружения.
5.1.2.3. Вычисления
Для каждого уровня

(i = от 0 до 3) и каждой комбинации пищевой продукт/штамм (j = от 1 до 5) сравнивают оба метода, как указано в таблице 3:
Таблица 3
Вычисление относительного уровня обнаружения
───────────────────┬──────────────────────────────────────────────
Метод │ Результаты
├──────────────┬────────────────┬──────────────
│ Отрицательные│ Положительные │ Всего
│ (-) │ (+) │
───────────────────┴──────────────┴────────────────┴──────────────
Стандартный a n - a n = 6
──────────────────────────────────────────────────────────────────
Альтернативный

n - b n = 6
──────────────────────────────────────────────────────────────────
Всего a + b

2n = 12
──────────────────────────────────────────────────────────────────
Для таблиц малого размера 2 x 2 использовать точные критерии Фишера.
5.1.2.4. Сравнения
Чтобы не проводить сравнение обоих методов на каждом уровне и для каждого продукта и штамма, можно использовать одно и то же испытание при сравнении двух продуктов/штаммов на одном и том же уровне.
Если есть основания считать, что продукт и штаммы сравнимы, то такое же испытание можно провести при n > 6 с объединением продукта/штаммов для каждого уровня

Уровни тоже можно объединять для проверок, но используя при этом ранжирование:

как с объединением продукта/штаммов, так и без объединения.
В отчете указать все существенные различия между методами, продуктами/штаммами и/или уровнями.
5.1.2.5. Интерпретация результатов
Интерпретацию проводит лаборатория-организатор, на которую возложена ответственность за изучение методов сравнения.
Относительный уровень обнаружения лежит между двумя уровнями контаминирования, дающими соответственно уровень обнаружения менее и более 50%. Поэтому относительный уровень обнаружения представляют диапазоном.
5.1.3. Инклюзивность и эксклюзивность
Инклюзивность - это способность обнаружения с помощью альтернативного метода целевого аналита в широком диапазоне штаммов.
Эксклюзивность - это отсутствие интерференции от уместного для альтернативного метода диапазона нецелевых штаммов.
5.1.3.2. Протокол измерений
5.1.3.2.1. Выбор испытательных штаммов
5.1.3.2.1.1. Общие требования
Для устранения локальных отклонений используют диапазон микроорганизмов или штаммов.
Критерии для выбора испытательных штаммов приведены в
Приложении G.
Для каждого штамма должны быть приведены биохимические, серологические, а если уместно, то и генетические характеристики, подробные в степени, достаточной для установления их идентичности, и предпочтительно, чтобы штамм был изолирован от продукта. Кроме того, материал продукта, из которого он был выделен первоначально, должен быть известен и документирован.
5.1.3.2.1.2. Целевые микроорганизмы
Выбирают не менее 50 чистых культур микроорганизмов, подходящих для альтернативного метода и используемого пищевого продукта (см.
G.3), за исключением случая Salmonella (сальмонеллы).
В случае методов для Salmonella выбирают не менее 30 чистых культур или микроорганизмов.
5.1.3.2.1.3. Нецелевые микроорганизмы
Выбирают не менее 30 чистых культур микроорганизмов из числа тех штаммов, что заведомо приводят к интерференции с целевыми микроорганизмами, и из числа штаммов, естественно содержащихся в каждом материале испытуемого продукта, включенного в валидацию (см.
G.4).
5.1.3.2.2. Инокуляция
5.1.3.2.2.1. Общие требования
Каждое испытание проводится однократно. Засев питательной среды проводят с помощью разбавления чистой культуры каждого испытательного штамма. Образец продукта не добавляют.
5.1.3.2.2.2. Целевые микроорганизмы
Уровень засеваемой культуры должен быть в 10 - 100 раз больше минимального относительного уровня обнаружения для альтернативного метода. При этом нужно использовать полный протокол альтернативного метода, включая, если это необходимо, предварительное обогащение. В случае получения ложноотрицательных или сомнительных результатов штаммы нужно испытать повторно с привлечением стандартного метода.
5.1.3.2.2.3. Нецелевые микроорганизмы
Уровень засеваемой культуры должен быть близок к наибольшему уровню контаминации, который ожидают обнаружить во всех категориях используемых продуктов.
Необходимо установить наличие эксклюзивности. Если конечная питательная среда культуральной среды представляет собой избирательную жидкую питательную среду (бульон), то такую среду заменяют на подходящую неизбирательную жидкую питательную среду. Если альтернативный метод дает положительные или сомнительные результаты с нецелевыми микроорганизмами, то испытание повторяют с использованием полного протокола. Измерения стандартным методом проводят только один раз.
5.1.3.3. Представление результатов
Результаты представляют в виде таблицы 4.
Таблица 4
Представление результатов по избирательности
┌────────────────┬───────────────────────────────────────────────┐
│ Микроорганизмы │ Результаты │
│ ├───────────────────────┬───────────────────────┤
│ │ Стандартный метод │ Альтернативный метод │
│ ├──────────┬────────────┼──────────┬────────────┤
│ │Ожидаемый │Действитель-│Ожидаемый │Действитель-│
│ │результат │ный │результат │ный │
│ │ │результат │ │результат │
├────────────────┼──────────┼────────────┼──────────┼────────────┤
│ Целевые штаммы │ │ │ │ │
├────────────────┼──────────┼────────────┼──────────┼────────────┤
│ 1 │ │ │ │ │
├────────────────┼──────────┼────────────┼──────────┼────────────┤
│ 2 │ │ │ │ │
├────────────────┼──────────┼────────────┼──────────┼────────────┤
│ 1 │ │ │ │ │
├────────────────┼──────────┼────────────┼──────────┼────────────┤
│ 2 │ │ │ │ │
├────────────────┼──────────┼────────────┼──────────┼────────────┤
│ и т.д. │ │ │ │ │
└────────────────┴──────────┴────────────┴──────────┴────────────┘
5.1.3.4. Интерпретация результатов
Интерпретацию проводит лаборатория, на которую возложена ответственность за сравнительное изучение методов, причем в расчет должны приниматься как количественные, так и качественные аспекты (т.е. болезнетворность, распространенность, культуральные аспекты испытательных штаммов, например, подвижность, чувствительность к неблагоприятным факторам и т.д.).
Другие опубликованные данные по альтернативному методу, удовлетворяющие требованиям настоящего стандарта, также могут быть использованы лабораторией, отвечающей за сравнительное изучение методов, для получения дополнительной информации о вышеупомянутых критериях (см.
Приложение A, содержащее критерии признания сторонних результатов).
5.2. Межлабораторное исследование
Целью межлабораторного исследования является установление изменчивости результатов, полученных разными лабораториями при использовании идентичных образцов, и сравнение этих результатов с результатами, полученными при сравнительном исследовании методов.
5.2.1. Протокол измерений
5.2.1.1. Межлабораторное исследование должно включать в себя минимум 10 сотрудничающих лабораторий, результаты которых не содержат выбросов.
Указания и требования по организации, координации и проведению межлабораторных исследований приведены в
Приложении H.
Необходимо, чтобы специалист по анализу результатов из каждой сотрудничающей лаборатории проявил достаточную компетентность в применении альтернативного и стандартного методов до участия в самом исследовании.
5.2.1.2. Протокол включает следующие требования:
- для приготовления испытательных образцов используют одну подходящую пищевую матрицу
(Приложение B);
- протокол искусственной контаминации пищевого образца должен соответствовать выбранному пищевому субстрату. Каждый образец должен быть засеян индивидуально. Каждая "слепая" копия (реплика) должна быть приготовлена так, чтобы гарантировать гомогенность образцов при индивидуальном засеве каждой копии. Для установления гомогенности необходимо проанализировать соответствующее число образцов (см.
Приложение H);
- необходимо использовать, по меньшей мере, три разных уровня контаминации: первым уровнем

должен быть отрицательный контрольный уровень, один уровень

должен быть немного больше уровня обнаружения альтернативного метода и один уровень

должен быть примерно в 10 раз больше уровня обнаружения (например, 0; 3 и 30 клеток/25 г);
- каждая сотрудничающая лаборатория должна проанализировать, по меньшей мере, 8 "слепых" копий на каждом уровне контаминации стандартным и альтернативным методами;
- для анализа готовят суспензию из каждого образца;
- анализ образцов должен быть проведен в каждой лаборатории в установленный день;
- исследуемые образцы культивируют в соответствии с
Приложением J. Так, если первый этап культивирования одинаков и для стандартного, и для альтернативного методов, то эту культуру используют для засева на каждом из последующих этапов (Приложение J,
случай 1). Если первичные культуры для каждого метода различны, то соответствующие реплики используют для индивидуального выполнения каждого метода (Приложение J,
случай 2);
- в любом случае комбинация "число уровней контаминации/число реплик/число выбранных лабораторий" должна быть подобрана так, чтобы для вычислений имелось не менее 480 результатов (по 240 для каждого метода).
5.2.1.3. Лаборатория-организатор на основании всех полученных данных (см.
H.3 Приложения H) должна определить, какие результаты являются годными, а какие результаты являются выбросами, для должного учета при вычислении данных о точности. См.
Приложение K, в котором приведены рекомендации, определяющие микробиологические условия для отбраковки данных.
Предупреждение. Результаты лабораторий-участников не следует исключать, если нет четкого объяснения имеющихся грубых ошибок.
5.2.2.1. Для каждого уровня положительные результаты для каждого метода вносят в таблицы 5 и
6.
Таблица 5
Положительные результаты для стандартного метода
┌─────────────────────────┬──────────────────────────────────────┐
│ Лаборатории │ Уровень контаминации │
│ ├────────────┬────────────┬────────────┤
│ │ L │ L │ L │
│ │ 0 │ 1 │ 2 │
├─────────────────────────┼────────────┼────────────┼────────────┤
│ Лаборатория 1 │ /8 │ /8 │ /8 │
├─────────────────────────┼────────────┼────────────┼────────────┤
│ Лаборатория 2 │ /8 │ /8 │ /8 │
├─────────────────────────┼────────────┼────────────┼────────────┤
│ Лаборатория 3 │ /8 │ /8 │ /8 │
├─────────────────────────┼────────────┼────────────┼────────────┤
│ и т.д. │ /8 │ /8 │ /8 │
├─────────────────────────┼────────────┼────────────┼────────────┤
│ │ a │ b │ c │
│ Всего │ FP │ TP │ TP │
│ │ │ 1 │ 2 │
├─────────────────────────┴────────────┴────────────┴────────────┤
│ a Ложноположительные по стандартному методу. │
│ b Истинно положительные на уровне 1 по стандартному методу. │
│ c Истинно положительные на уровне 2 по стандартному методу. │
└────────────────────────────────────────────────────────────────┘
Таблица 6
Положительные результаты для альтернативного метода
┌─────────────────────────┬──────────────────────────────────────┐
│ Лаборатории │ Уровень контаминации │
│ ├────────────┬────────────┬────────────┤
│ │ L │ L │ L │
│ │ 0 │ 1 │ 2 │
├─────────────────────────┼────────────┼────────────┼────────────┤
│ Лаборатория 1 │ /8 │ /8 │ /8 │
├─────────────────────────┼────────────┼────────────┼────────────┤
│ Лаборатория 2 │ /8 │ /8 │ /8 │
├─────────────────────────┼────────────┼────────────┼────────────┤
│ Лаборатория 3 │ /8 │ /8 │ /8 │
├─────────────────────────┼────────────┼────────────┼────────────┤
│ и т.д. │ /8 │ /8 │ /8 │
├─────────────────────────┼────────────┼────────────┼────────────┤
│ │ a │ b │ c │
│ Всего │ FP │ TP │ TP │
│ │ │ 1 │ 2 │
├─────────────────────────┴────────────┴────────────┴────────────┤
│ a Ложноположительные по стандартному методу. │
│ b Истинно положительные на уровне 1 по альтернативному│
│методу. │
│ c Истинно положительные на уровне 2 по альтернативному│
│методу. │
└────────────────────────────────────────────────────────────────┘
5.2.2.2. Для уровня

и для каждого метода вычисляют выраженную в процентах специфичность SP по формуле
где

- общее число всех испытаний для уровня

FP - число ложноположительных результатов.
5.2.2.3. Для каждого уровня контаминации и для каждого метода вычисляют выраженную в процентах чувствительность SE по формуле
где

- общее число всех испытаний для уровней

и

соответственно;
TP - число истинно положительных результатов.
5.2.2.4. Для каждого уровня контаминации и совокупности результатов сравнивают альтернативный метод со стандартным методом для вычисления относительной точности и для изучения несовпадающих результатов.
Каждую пару результатов, полученных на образце, измеренном альтернативным и стандартным методами, представляют в таблице 7.
Таблица 7
Парные результаты альтернативного и стандартного методов,
полученные в межлабораторном исследовании
┌──────────────────┬──────────────────────────────┬──────────────┐
│ Альтернативный │ Стандартный метод │ Всего │
│ метод │ │ │
├──────────────────┼──────────────┬───────────────┤ │
│ + │ + │ - │ │
├──────────────────┼──────────────┼───────────────┼──────────────┤
│ + │ PA │ PD │ - │
├──────────────────┼──────────────┼───────────────┼──────────────┤
│ - │ ND │ NA │ - │
├──────────────────┼──────────────┼───────────────┼──────────────┤
│ Всего │ N │ N │ N │
│ │ + │ - │ │
└──────────────────┴──────────────┴───────────────┴──────────────┘
Вычисляют относительную точность AC, выраженную в процентах, по формуле
где N - число испытанных образцов (для уровня

или для всех уровней);
PA - число положительных согласований (positive agreement);
NA - число отрицательных согласований (negative agreement).
5.2.2.5. Вычисляют доверительные интервалы для каждого соотношения (см.
5.1.1.3.2).
5.2.2.6. Изучают несовпадающие результаты в соответствии с
Приложением F, используя результаты подсчета PD и ND (см.
таблицу 8).
5.2.3. Интерпретация
Сравнивают AC
(таблица 7), SE и SP (
таблицы 5 и
6) с соответствующими им данными, полученными в сравнительном исследовании, включая естественно контаминированные образцы и относительный уровень обнаружения.
Эти критерии на самом деле не характеризуют внутрилабораторные и межлабораторные изменчивости метода (понятия повторяемости и воспроизводимости). В
Приложении L приведены дополнительные критерии (согласованность результатов в одной лаборатории, соответствие результатов в разных лабораториях и коэффициент расхождения между согласованностью и соответствием), которые можно использовать при изучении такой изменчивости (критерии повторяемости и воспроизводимости определены для количественных методов, и их как таковые нельзя использовать применительно к качественным методам).
6. КОЛИЧЕСТВЕННЫЕ МЕТОДЫ. ТЕХНИЧЕСКИЙ ПРОТОКОЛ ВАЛИДАЦИИ
6.1. Общие требования
Число колоний микроорганизмов в данном образце является наиболее распространенным результатом стандартных количественных методов. Записывают всю информацию - массу образца, серию разбавления, объем посевного материала и число колоний при каждом разбавлении. В микробиологии эти дискретные данные часто сокращают, например, проводят подсчет колоний только в чашках, содержащих менее 300 колоний, потом для получения конечного результата используют коэффициент расширения, обратно пропорциональный коэффициенту разбавления. Из-за наличия других факторов, влияющих на процесс роста микроорганизмов, а также в целях получения симметричного распределения или квазинормального распределения данные подсчета часто преобразуют в логарифмический вид или в значения квадратного корня. Целесообразность такого преобразования можно проверить, используя гистограммы с набором экспериментальных точек (30 или более), полученных при одинаковых условиях.
Подразделы 6.2 и
6.3 в основном относятся к валидации количественных методов сбора непрерывных данных (или данных в интервале значений), при этом отдельно включены замечания по подсчету числа микроорганизмов.
6.2. Сравнительное исследование методов
6.2.1. Линейность и относительная точность
6.2.1.1. Термины и определения
6.2.1.1.1. Линейность (linearity): способность метода при использовании с заданной матрицей давать результаты, пропорциональные количеству аналита в образце, т.е. увеличению аналита соответствует линейное или пропорциональное увеличение результатов.
Примечание 1. Характеристику результата или сигнальную функцию получают путем измерения зависимости сигнала или результата метода от концентрации аналита (доз) в различных образцах стандартных материалов (RM) с известными характеристиками. В микробиологии, где стабильный стандартный материал практически отсутствует, эти известные характеристики можно получить путем многократных повторных измерений с использованием стандартного метода.
После подгонки, сглаживания или обработки другим алгоритмом данных разработчик альтернативного метода должен создать монотонную модель во всей области применения метода для преобразования результатов измерений в значения, наиболее близкие к стандартным результатам. Подгоночная модель является первой (или исходной) градуировочной характеристикой и включает все градуировочные коэффициенты в области концентраций; она часто нелинейна. Но эти аспекты не включены в процедуру валидации.
Частью процедуры валидации является проверка градуировки, которая дает конечную градуировочную характеристику, устанавливающую соотношение между преобразованными результатами измерений и соответствующими стандартными значениями <1> в одинаковой системе единиц. При использовании одинаковых шкал на осях эта характеристика должна быть линейной с отсекаемым на оси отрезком, равным нулю (одинаковыми наименьшими значениями), и наклоном 1 (при одинаковых масштабных единицах по осям) и правильно оцененными характеристиками разброса.
--------------------------------
<1> Их получают по стандартному методу с естественно контаминированными образцами, если недоступны стандартные материалы и известные значения.
Не следует проводить экстраполяцию выше и ниже испытательных концентраций, кроме случаев, когда нужно изучить поведение вблизи "нулевой" концентрации.
Примечание 2. При обработке результатов подсчетов микроорганизмов с помощью метода регрессии линейность не всегда правильно достигается для результатов подсчета, соответствующих низким уровням или широким диапазонам. Такие результаты подсчетов имеют квазипуассоновские распределения со среднеквадратическим отклонением воспроизводимости, пропорциональным корню квадратному из среднего подсчитанного числа микроорганизмов. При этом возникают те же трудности оценки, которые упомянуты в примечании к подпункту
6.2.2.1.
6.2.1.1.2. Точность (accuracy): близость результатов испытания к принятому опорному значению величины (ИСО 3534-1).
Примечание. Термин "точность", когда он относится к серии результатов испытаний, включает в себя сочетание случайных составляющих и общей систематической погрешности (смещения).
6.2.1.1.3. Смещение (систематическая погрешность) (bias): разность между математически ожидаемым результатом испытания и принятым опорным значением (ИСО 3534-1).
Примечание. Смещение есть полная систематическая погрешность, в отличие от случайной погрешности. Могут быть одна или несколько составляющих систематической погрешности, дающих вклад в смещение. Большему систематическому отклонению от принятого опорного значения соответствует большее значение систематической погрешности.
6.2.1.1.4. Относительная точность (AC) (relative accuracy): степень соответствия между результатом, полученным стандартным методом, и результатом, полученным альтернативным методом, при исследовании идентичных образцов (см.
5.1.1.1.1).
6.2.1.2. Протокол измерений
6.2.1.2.1. План
Для проверки градуировочной характеристики требуется большое число различных образцов (при возможности, стандартные материалы - см.
Приложение C) и исследование нескольких уровней (доз или концентраций), в зависимости от диапазона концентраций для практического использования.
Для определения градуировочной характеристики требуется использование минимум пяти различных уровней аналита для каждого типа пищевого продукта. Уровни должны равномерно распределяться по всему исследуемому диапазону <1>, включающему минимальный (равный или не равный нулю), центральный, максимальный и два промежуточных уровня. Шкалу следует выбрать до того, как выбраны уровни концентрации, и с учетом диапазона контаминации и ожидаемого предела обнаружения (LOD): линейную для небольших диапазонов (например, < 3 · LOD или от 10 · LOD до 100 · LOD), включающих ноль, и логарифмическую для широких диапазонов (например, > 3 · LOD). При этом может измениться соотношение между среднеквадратическими отклонениями и средними значениями результатов (см. примечание в
6.2.1.3.1).
--------------------------------
<1> Графические примеры неприемлемых и приемлемых распределений результатов измерений приведены в
Приложении P.
Приоритет отдается естественно контаминированным образцам. Термин "уровень" используется в значении концентрации аналита, предполагаемой априори. В принципе, оптимальный план для регрессионного анализа получают путем выбора подходящего и уместного диапазона концентраций аналита, исключения исследования образцов с аналогичными подсчетами микроорганизмов или исключения повторяющихся данных с одинаковыми результатами. Для жидкостей диапазон может быть получен путем разведений, но необходимо обеспечить гомогенность как жидких, так и твердых образцов.
Образцы на одном уровне должны быть независимо продублированы путем подготовки подобразцов. На каждом уровне анализируют одинаковое число подобразцов - по меньшей мере два, а в идеальном случае - от пяти до 10. Когда и в стандартном, и в альтернативном методах используют одни и те же десятикратные разведения подобразцов, испытания дублируют на уровне чашек Петри (см.
случай 1 Приложения M). Когда десятикратные разбавления нужно проводить только в стандартном методе, проводят исследование дублирующих образцов (см.
случай 2 Приложения M).
Чашки Петри, в двух дупликациях, засеваются каждым десятикратным разбавлением.
Следовательно, для проверки градуировочной характеристики альтернативным методом проводят минимум 10 измерений (в идеальном случае от 25 до 50 измерений) с использованием естественно контаминированных образцов.
При отсутствии стандартных образцов материалов невозможно корректно оценить точность альтернативного метода, и определяют только относительную точность путем измерения тех же подобразцов стандартным методом.
6.2.1.2.2. Категории пищевых продуктов
Исследуют 5 категорий пищевых продуктов. Это число можно уменьшить до 1, 2 или 3 категорий, если альтернативный метод подлежит валидации только для таких заявленных категорий (например, молочные продукты). Рекомендованные категории перечислены в
Приложении B.
Соответствующие образцы должны быть естественно контаминированы исследуемым аналитом.
В случае возможности использования образцов окружающей среды их нужно считать отдельной категорией (см.
Приложение B).
Желательно, чтобы образцы пищевых продуктов происходили из как можно более широкой зоны распространения для того, чтобы уменьшить смещения, обусловленные особенностями местного пищевого ассортимента, и расширить диапазон валидации.
Диапазон контаминации должен быть распространен на весь диапазон количественного испытания.
Если невозможно получить достаточное число естественно контаминированных образцов пищевых продуктов с нужными уровнями, то допустима искусственная контаминация некоторых образцов. Такие образцы должны составлять меньшинство в общем числе испытуемых образцов. Процедура искусственной контаминации должна обеспечивать получение образцов с характеристиками аналита, подобными характеристикам для естественно контаминированных образцов (см. Приложение C,
2-й и
3-й случаи).
Таким образом, для каждой из пяти пищевых категорий и стандартным, и альтернативным методами измеряют минимум пять уровней целевого аналита, причем каждый образец реплицируется одинаковое число раз (от 2 до 10), что составляет всего от 10 до 50 измерений для каждых метода и пищевой категории. Если полученные результаты дают основания полагать, что матрица негомогенна или по составу ее компонентов, или из-за вариаций в концентрации целевого аналита по матрице, то необходимо провести исследование дополнительных образцов.
После раздельной оценки по каждой пищевой категории глобальная оценка градуировочной характеристики для всех категорий пищевых продуктов является полезным инструментом для идентификации возможных расхождений между областью применения, точностью и разбросом повторяемости во всем диапазоне аналита.
6.2.1.3. Вычисления
6.2.1.3.1. Общие требования
Перед тем как проводить какие-либо вычисления, строят график значений, представленных двумерными точками, для каждого образца для стандартного и альтернативного методов, используя ось y (вертикальную) для альтернативного метода, а ось x (горизонтальную) для стандартного метода. Точки на каждом уровне должны образовывать дискретный кластер. Для обнаружения выбросов и нелинейности исследуют график визуально с целью обнаружения аномальных результатов, которыми являются те, что явно отдалены от соответствующего кластера. Если таковые имеются, то образец испытывают повторно, если это возможно. Если нет объяснения или результат по-прежнему остается вне кластера, то надо временно отбросить такой результат и повторить указанные ниже вычисления, чтобы оценить влияние отброшенного результата путем сравнения с вычислениями с учетом всех данных. Если это связано с эффектом разбавления, то внимательно исследуют эту возможность.
Если все кажется правильным, то используют программу линейной регрессии <1>, которая дает возможность определить вероятность недостаточного согласования или нелинейности, и, что также возможно, программу регрессии с неравномерным взвешиванием (ИСО 11095). Если доступна менее продвинутая программа вычислений или имеется только компьютер с меньшей производительностью, то требуемые вычисления приведены в
6.2.1.3.2.
--------------------------------
<1> Или электронную таблицу, как в Excel.
Предупреждение. Если простая линейная регрессия приводит к линейной аппроксимации (y = a + bx), то ее коэффициента корреляции r недостаточно для получения требуемой информации. Статистическая значимость r или наклона b не являются синонимами критерия линейности. В этом случае нужно проверить две гипотезы (a = 0 и b = 1).
Примечание. Если ошибка повторяемости по y (или так же по x) зависит от значения y (что, к сожалению, часто случается на практике), например, прямо пропорционально увеличивающаяся ошибка, то лучше использовать сглаженную взвешивающую функцию (например, вес [y] = постоянная / дисперсия = постоянная /

), чтобы правильно аппроксимировать прямую линию y = a + bx с помощью метода линейной регрессии (аналогично методу взвешенных наименьших квадратов для взвешенных наименьших квадратов). Это приближает прямую к наблюдаемым точкам, которые имеют меньший разброс, и удаляет от точек с большим разбросом. При этом оценки наклона b и отсекаемого отрезка a сильно зависят от такой процедуры взвешивания. Это трудный технический прием, предназначенный для статистического использования, и в настоящем стандарте не применяется. Дополнительные сведения можно найти в книгах по статистике, посвященных общему линейному моделированию GLIM/GLM, и т.д. (см. ИСО 11095). Таким образом, если после сбора данных и изучения графиков регрессии вопрос о линейности остается сомнительным, рекомендуется использовать статистическую экспертизу для данного анализа.
6.2.1.3.2. Оценки с помощью метода регрессии
6.2.1.3.2.1. Принцип метода регрессии
В общем случае вертикальную ось y (зависимую переменную) используют для альтернативного метода, а горизонтальную ось x (независимую переменную) - для стандартного метода. Эта независимая переменная x должна быть точной, прецизионной и иметь вполне известные значения.
Если есть основания предполагать, что погрешность повторяемости

, которая может возникнуть по x, сравнительно сопоставима или превышает таковую для

по y, то подгоночные функции y(x) или x(y) могут привести к значительно отличающимся прямым линиям. В случае когда среднеквадратичные отклонения повторяемости

и

сравнимы (соответственно по x и по y), вычисляют другие оценки (см.
R.3 Приложения R). Если повторяемость для

намного больше, чем для

, то меняют оси x на y и y на x для проведения регрессии y(x) или используют регрессию x(y) без перестановки осей (см.
R.4 Приложения R). При таких выборах (см.
R.2 Приложения R) используют критическую точку отсечения, равную 2, для отношения погрешностей повторяемости по x и y или обратного значения.
6.2.1.3.2.2. Дополнительные оценки
Если погрешности повторяемости

или остаточная погрешность

сильно зависят от x (или от y), то есть остатки, кажется, явно увеличиваются или уменьшаются с x (или с y, то есть s не является константой), то подгоночная линия регрессии может быть неверной и может не проходить через точки с большей точностью. Более того, соотношение между CL и x (или y) может быть ненадежным в основной части диапазона измерений. В этом случае используют метод взвешенной регрессии.
Когда это представляется необходимым и для того, чтобы упростить этот шаг, можно использовать монотонные математические преобразования обеих осей x и y. Например, преобразования x' = log x и y' = log y или

и

можно использовать для получения хорошей оценки для m (отрицательного или положительного, полуцелого или нет): выбор проводят по визуальной оценке остатков или повторяемости

для каждого x. Постоянные погрешности соответствуют идеальному преобразованию.
При использовании такого преобразования отсекаемый на оси отрезок a не должен очень сильно отличаться от нуля. Затем, когда проведены все оценки, как, например, оценки значений <y> и CL, могут быть выполнены их обратные преобразования.
6.2.1.4.1. Соотношение относительных точностей альтернативного и стандартного методов оценивают с помощью линейной модели: y = a + bx.
При отсутствии систематической погрешности между методами (т.е. при идеальной точности) это уравнение переходит в уравнение y = x, которое применимо в случае, когда характеристики методов эквивалентны. В этом случае отсекаемый отрезок теоретически равен нулю. Оценку величины отсекаемого отрезка a получают для обоих методов путем проверки гипотезы p{a = 0}. Если альтернативный метод имеет систематическое смещение относительно стандартного метода, то вероятность p{a = 0} менее

(двухсторонний доверительный интервал).
Теоретический наклон линии, проходящей через точки, соответствующие общей истинной эквивалентности методов, равен единице. Оценочный наклон b, полученный обоими методами, должен быть проверен с помощью гипотезы p{b = 0}. Если альтернативный метод не дает достоверно совпадающих значений со значениями стандартного метода, то вероятность p{b = 1} менее

(двухсторонний доверительный интервал). В этом случае альтернативный метод имеет систематическую погрешность относительно стандартного метода, зависящую от значений концентрации (x или y) и достигающую максимума на границах области.
6.2.1.4.2. Линейность или несогласование могут быть представлены графически
(Приложение N). Лучшим является график остатков (см.
R.1 Приложения R). Строится не график зависимости значений

от

(k = 1 до N, N = qn), а график зависимости оценочных остатков

от

, который характеризует характер нелинейности, если она обнаружена с помощью функции p(F), приведенной в
R.5 Приложения R.
6.2.1.4.3. Оценку точности методов с использованием

получают, главным образом, на основании остаточного среднеквадратического отклонения

(см.
Приложение R). Такая оценка характеризует границы, в пределах которых специфицированная точность результата определяется с вероятностью 95% при t, приблизительно равном 2.
Соответствующие

(см.
Приложение R) предпочтительнее для использования, так как они включены в справочную систему.
6.2.2. Обнаружение и предел количественного определения
6.2.2.1. Общие требования
Следующая характеристика связана с надежностью сигнала (или результата), полученного альтернативным методом, для определения ненулевой концентрации, измеренной стандартным методом. Такая характеристика дает пределы прецизионности, включающие систематическую погрешность на нижнем крае области концентраций.
Фоновый шум или "фон" (инструментального или иного происхождения) обычно определяют как минимум шестью независимыми холостыми измерениями. Результат такого измерения используют для корректировки общей систематической погрешности реальных измерений с помощью центрального (среднего) значения, и он служит важной оценкой разброса

.
Часто, когда невозможно измерить или обнаружить величину ниже данного нижнего уровня, выбирают образцы с концентрацией микроорганизмов, близкой к первой оценке

, взятой из предыдущей прямой линии для проверки градуировки:
где

определено в
Приложении R. В окрестности такой концентрации оценивают среднеквадратическое отклонение, ожидаемое значение которого близко к

и которое используется вместо него. Другая процедура предусматривает использование среднего значения и среднеквадратического отклонения всех данных измерений самых низких доз, обнаруженных после реплицирования разведений по одной и той же схеме (коэффициент разведения от 1:2 до меньше либо равно 1:10).
Примечание. Оценка среднеквадратического отклонения

включает в себя много неопределенностей, в основном связанных с диапазоном ниже нижнего уровня разведения. Таким образом, исходная оценка s (проводимая, по возможности, устойчивым методом

, приведенным в
Приложении Q) часто S является достаточной для получения дополнительных оценок.
6.2.2.2. Термины и определения
6.2.2.2.1. Критический уровень (LC) (critical level): наименьшее (ненулевое) количество, которое можно обнаружить, но для которого нельзя получить точное количественное значение. Ниже этого уровня нельзя быть уверенным, что истинное значение не равно нулю.
Примечание. На этом уровне вероятность

ложноотрицательных результатов равна 50% (

- статистическая ошибка второго типа, см.
6.2.2.4).
6.2.2.2.2. Предел обнаружения (LOD) (detection limit): больше, чем критический уровень (6.2.2.2.1), поскольку он включает в себя показатель, т.е. доверительную вероятность

, который должен быть намного выше 50%, например, 95%.
Например, LOD = среднее значение (холостое) +

(холостое), где

есть гауссовское критическое значение при

(односторонний доверительный интервал, см.
6.2.2.4), для достаточно большого числа n холостых образцов.
6.2.2.2.3. Предел количественного определения (LOQ) (quantification limit): наименьшее количество аналита (т.е. наименьшее реальное число организмов), которое можно измерить и количественно оценить с заданной прецизионностью и точностью в экспериментальных условиях метода, подлежащего валидации.
Примечание. Ассоциация химиков-аналитиков, состоящих на государственной службе (AOAC), определяет предел количественного определения для количественных методов как

. Это равноценно утверждению, что коэффициент изменчивости

должен быть ниже 10%, см.
[2].
6.2.2.3. Протокол измерений и образцы
Для оценки базового или порогового разброса

проводят по меньшей мере шесть (лучше 10) определений холостых образцов (отрицательных, с нулевой дозой или дозой, близкой к нулю).
Примечание. При подсчете числа организмов достаточно более пяти образцов на минимальном, не равном нулю, уровне, для того чтобы удостовериться, что степень контаминации составляет p < 50%, когда не обнаруживается положительных образцов (доверительный уровень 95%). Если обнаруживается один положительный образец из пяти, то можно считать, что p > 1%. Таким образом, если начать с трех доз аналита стандартного материала, выбранных из 3, 10, 30, 100, 300 и т.д. KOE/единица, и реплицируя каждый из них минимум шесть раз, можно оценить критический уровень (50%-ное обнаружение): например, в идеальном случае может быть следующее: 0/6 при 10, 2/6 при 30, 5/6 при 100, что дает оценку, близкую к 30 KOE/единица. Тем не менее оценку, которую дает эта процедура, можно использовать. (Данные о когерентном оценивании см. в
Приложении P).
В общем случае критический уровень и предел обнаружения включают статистические ошибки двух типов:

[(соответствует определению несуществующей разницы (ложноположительный результат)] и

[соответствует необнаружению истинной разницы (ложноотрицательный результат)].
Показатель

является вероятностью достоверного определения значения, превышающего LC.
Из результатов определений

на холостом образце оценивают их среднеквадратическое отклонение

(по

,
приложение R) и систематическую погрешность:

= медиане

, что свидетельствует об общей недостаточной специфичности, которая является статистически значимой, если

(см. ниже).
Критический уровень

(

для альтернативного метода) для

(и

).
(Точнее,

где

является значением коэффициента Стьюдента для одностороннего уровня

и n - 1 степени свободы, для

и n = 6,

, и при этом

; если

, то

).
Предел обнаружения равен

(

для альтернативного метода), для

и

.
(Точнее,

, где

является значением коэффициента Стьюдента для одностороннего уровня

и n - 1 степени свободы, например, для

и n = 6,

, и при этом

; для

,

).
Предел количественного определения

(

для альтернативного метода).
6.2.3. Относительная чувствительность и определение неизвестных образцов
6.2.3.1. Общие требования
Оценку чувствительности применяют для того, чтобы убедиться, что значения, получаемые альтернативным методом, заметно не отличаются от таковых для стандартного метода (разница менее 30%).
6.2.3.2. Определение
В настоящем стандарте относительная чувствительность альтернативного метода (relative sensitivity) определяется как способность метода обнаруживать два разных количества аналита, измеренных стандартным методом в заданной матрице с заданным средним значением или по всему диапазону измерения; т.е. это - минимальное изменение количества (увеличение концентрации x аналита), которое приводит к значимому изменению измеряемого сигнала (результат y).
Примечание. Относительная чувствительность отличается от предела обнаружения
(6.2.2), так как ее вычисляют для каждого значения в диапазоне измерений. Она связана со статистическими ошибками двух типов

(двухсторонний доверительный интервал) и b.
6.2.3.3. Вычисления
Протокол измерений и образцы описаны в
6.2.1.2.
Относительная чувствительность:

для двухстороннего доверительного интервала с

и показателя

, при

, в соответствии с
R.6.2 Приложения R.
(Точнее,

Для

, статистической мощности

и n = 5,

и

, при этом

).
Идентификация и определение неизвестных образцов:
Строят график профиля прецизионности s(< x(y) >) или график зависимости CV(< x(y) >) от x(y).
6.2.4. Специфичность, инклюзивность и эксклюзивность
6.2.4.1. Определения
6.2.4.1.1. Специфичность (specificity) в настоящем стандарте определяется как степень, в которой на метод влияют (или не влияют) другие компоненты, присутствующие в многокомпонентном образце, т.е. способность метода точно обнаруживать данный аналит или измерять его количество в образце, без интерференции со стороны нецелевых компонентов, таких как влияние матрицы или фоновый шум.
6.2.4.1.2. Инклюзивность и эксклюзивность (inclusivity, exclusivity)
В настоящем стандарте избирательность определяется как мера степени отсутствия интерференции при наличии нецелевых аналитов. Метод избирателен, если его можно использовать для обнаружения исследуемого аналита и если он гарантирует, что обнаруживаемый сигнал может происходить только от такого специфического аналита.
Критерий неприменим к суммарному числу жизнеспособных организмов.
Инклюзивность - способность альтернативного метода обнаружить целевой аналит в широком спектре штаммов.
Эксклюзивность - отсутствие интерференции от сопутствующего спектра нецелевых штаммов в альтернативном методе.
6.2.4.2. Протокол измерения
6.2.4.2.1. Образцы
В микробиологии (за исключением случая суммарного определения числа микроорганизмов, посеянных в чашки Петри) инклюзивность и эксклюзивность устанавливаются с помощью анализа:
- минимум 30 положительных чистых штаммов (исследуемого аналита);
- минимум 20 отрицательных чистых штаммов (аналитов, отличных от исследуемого) из культур, отличающихся тем, что они обычно создают постоянную и устойчивую интерференцию с целевым аналитом.
Выбирают положительные и отрицательные штаммы, которые часто контаминируют исследуемый пищевой продукт(ы). Для штаммов, не принадлежащих к данному набору, проводят полную идентификацию различных испытуемых штаммов. Необходимо знать источник происхождения штаммов, не входящих в набор.
Чистые штаммы из лабораторных культур составляют испытуемые образцы. Уровень инокуляции для каждого микроорганизма фиксируют на уровне, в 100 раз превышающем порог обнаружения целевых штаммов.
Каждый образец, содержащий штамм, анализируют дважды.
6.2.4.2.2. Протокол измерений
Специфичность, инклюзивность и эксклюзивность стандартного метода не нужно устанавливать, если они уже известны.
6.2.4.3. Представление результатов
Характеристика избирательности дается только описательно (см. таблицу 8) относительно предела обнаружения целевого аналита, и поэтому вычисления не требуются. Отсутствие инклюзивности и эксклюзивности - это часть общей недостаточности специфичности (см. также систематическую погрешность в
6.2.1.4).
Таблица 8
Представление результатов для инклюзивности
и эксклюзивности
Испытанный штамм | Стандартный метод Ожидаемый или полученный результат, уровень инокулята и т.д. | Альтернативный метод Результаты (указать уровень обнаружения и т.д.) |
| (единичное испытание) | Дупликат |
Целевые штаммы | | |
| | |
| | |
и т.д. | | |
Нецелевые штаммы | | |
| | |
| | |
и т.д. | | |
Опубликованные данные, соответствующие требованиям настоящего стандарта, лаборатория-организатор, на которую возложена ответственность за сравнительное исследование методов, также может использовать для получения информации, дополнительной к вышеуказанным критериям (см.
Приложение A, в котором приведены критерии для признания сторонних результатов).
6.2.4.4. Интерпретация
Для надежного использования необходимо оценить, соответствует ли альтернативный метод спецификациям изготовителя, а также конкретным требованиям.
6.2.5. Дополнительные характеристики альтернативного метода
Для альтернативного метода документируют все относящиеся к делу характеристики, влияющие на работу метода: например, стабильность, достоверность, устойчивость или повышенная надежность и т.д.
6.3. Межлабораторное исследование
6.3.1. Общие требования
Проводят совместное исследование для сравнения рабочих характеристик (точности и прецизионности) альтернативного метода и стандартного метода.
Рекомендации для лаборатории-организатора, относящиеся к совместному исследованию, приведены в
Приложении H (также см. ИСО 5725-2).
6.3.2. Термины и определения
В настоящем стандарте применены следующие термины с соответствующими определениями:
6.3.2.1. Точность (accuracy): степень близости результатов измерений к принятому опорному значению (ИСО 3534-1).
Примечание. Это примерно оценивается как систематическая ошибка, которая является системной частью ошибки.
6.3.2.2. Прецизионность (precision): степень близости независимых результатов испытаний, полученных в конкретных регламентированных условиях повторяемости и воспроизводимости (см.
6.3.5 и
6.3.6) (ИСО 3534-1).
6.3.2.3. Выброс - резко отклоняющееся значение (outlier): экстремальное значение, которое обычно случайным образом проявляется менее чем в 1% испытаний, но более часто в случае возникновения аномальных ситуаций. Для количественной оценки соответствующей вероятности нужно использовать соответствующие критерии.
Примечание. Устойчивый подход, используемый в настоящем стандарте, не исключает из рассмотрения выброс, за исключением того случая, когда имеются явные свидетельства разумного микробиологического обоснования. Такой подход можно использовать или в виде испытательной процедуры для обнаружения выброса, или для устойчивых статистических оценок.
6.3.3. Протокол измерений и образцы
6.3.3.1. Межлабораторное исследование проводят минимум в восьми сотрудничающих лабораториях, имеющих результаты без выбросов.
Оценки точности и прецизионности вычисляют по большому числу дублирующих результатов испытаний. Полученное значение должно включать в себя минимум 96 результатов для одной выбранной пищевой матрицы.
Рекомендации и требования к организации, координации и проведению межлабораторных исследований приведены в
Приложении H.
На лабораторию-организатора возложена также ответственность за подготовку протокола испытаний и таблицы данных (см. ниже) для записи всех экспериментальных данных и критических экспериментальных условий, использованных каждой лабораторией (см.
H.3 Приложения H).
Необходимо, чтобы специалист по анализу результатов из каждой сотрудничающей лаборатории проявил достаточную компетентность в применении альтернативного и стандартного методов до участия в самом исследовании.
6.3.3.2. Протокол включает в себя следующие требования:
- нужно использовать одну подходящую пищевую матрицу (см.
Приложение B);
- концентрации аналита должны быть выбраны так, чтобы они включали по меньшей мере нижний, средний и верхний уровни всего диапазона для альтернативного метода. Лаборатория-организатор должна подтвердить гомогенность образцов;
- должен быть включен отрицательный контрольный образец; можно использовать пищевые образцы, искусственно контаминированные целевым аналитом;
- для сравнения альтернативного и стандартного методов должны использоваться одни те же образцы для обоих методов. Четыре подобразца на каждом уровне (или две аликвотные пробы, каждую из которых измеряют обоими методами) приготовляют для каждой лаборатории. Такие образцы кодируют слепым образом, но снабжают этикетками так, чтобы два из них измерялись стандартным методом и два - альтернативным;
- жидкие образцы (по сравнению с твердыми образцами) обеспечивают большую гарантию гомогенности, если их приготавливают и рассылают без изменения микробиологического состава и правильно используют. В особых случаях может оказаться необходимым разделить образцы прямо перед измерением обоими методами;
- анализ образцов нужно проводить в каждой сотрудничающей лаборатории и в лаборатории-организаторе в указанный день, с использованием сходных партий сред и комплектов оборудования для испытаний;
- округление результатов должна проводить лаборатория-организатор. После группировки результатов каждой из лабораторий окончательные табулированные данные для каждого уровня (j) аналита должны быть представлены, как показано в таблице 9.
Таблица 9
Представление результатов межлабораторного исследования
для каждого уровня (j) аналита
┌─────────────┬──────────────────────────────────────────────────┐
│ Лаборатории │ Методы (k) и дупликаты (r) │
│ (i) ├────────────────────────┬─────────────────────────┤
│ │ Стандартный │ Альтернативный │
│ │ метод │ метод │
│ │ (кодированный) │ (кодированный) │
│ ├────────────┬───────────┼────────────┬────────────┤
│ │ Дупликат 1 │ Дупликат 2│ Дупликат 1 │ Дупликат 2 │
├─────────────┼────────────┼───────────┼────────────┼────────────┤
│ 1 │ │ │ │ │
├─────────────┼────────────┼───────────┼────────────┼────────────┤
│ 2 │ │ │ │ │
├─────────────┼────────────┼───────────┼────────────┼────────────┤
│ и т.д. │ │ │ │ │
├─────────────┼────────────┼───────────┼────────────┼────────────┤
│ (n) │ │ │ │ │
└─────────────┴────────────┴───────────┴────────────┴────────────┘
6.3.4. Вычисления
6.3.4.1. В микробиологии данные {y} не всегда подчиняются нормальному, т.е. гауссовскому, статистическому распределению.
Распределение данных можно проверить, если имеется достаточное число значений (намного более 30 результатов) - все для одного уровня. Часто для получения более симметричного распределения немногочисленные отсчеты лучше преобразовать в логарифмы. Также можно использовать более сложные процедуры.
Часто бывает трудно получить надежные оценки (среднее, среднеквадратическое отклонения и т.д.) с малой систематической погрешностью, особенно при наличии выбросов. ИСО 5725 включает в себя критерии резко отклоняющихся значений, т.е. выбросов (Cochran, Dixon, Grubbs), для того чтобы отбросить неблагоприятно влияющие значения и получить лучшую оценку; однако при этом уменьшается число значений, используемых для статистического анализа.
Поэтому для того чтобы избежать таких трудностей, в настоящем стандарте используют устойчивые оценочные алгоритмы, которые нечувствительны к экстремальным значениям и, более того, не слишком зависят от распределения данных. Кроме того, такие алгоритмы позволяют сохранить данные лабораторий с экстремальными значениями, если исключение данных не подтверждено вескими микробиологическими обоснованиями. Используют три согласованных значения для каждой из лабораторий-участников:
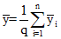
- оценку глобального центра (для оценок систематической погрешности): срединное значение (медиану) MED (вместо среднего значения M);
- оценку разброса между средними значениями дупликатов, включая воспроизводимость

, основанную на значении рекурсивной медианы

(см.
Приложение Q), вместо классического среднеквадратического отклонения (s);
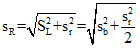
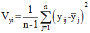
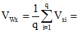
- оценку типичного внутреннего разброса, среднеквадратического отклонения повторяемости, полученного из срединного значения (медианы) среднеквадратических отклонений дупликатов:

, вместо классического обобщенного среднеквадратического отклонения, основанного на среднем значении дисперсий.
6.3.4.2. Для каждого метода k (например, 1 - стандартный, 2 - альтернативный) и уровня j аналита проводят вычисления в соответствии с таблицей 10.
Таблица 10
Представление результатов межлабораторного исследования
по оценке согласованных значений для каждого метода
──────────────────┬─────────────────┬──────────────────────────────────────
Уровень j │ Реплики │
Метод k │ │
──────────────────┴─────────────────┴──────────────────────────────────────
1 2

───────────────────────────────────────────────────────────────────────────
───────────────────────────────────────────────────────────────────────────
2 ··· ··· ··· ···
───────────────────────────────────────────────────────────────────────────
···
───────────────────────────────────────────────────────────────────────────
N ··· ··· ··· ···
───────────────────────────────────────────────────────────────────────────
МЕДИАНА:

Устойчивая

───────────────────────────────────────────────────────────────────────────
Константы

и

; только последняя константа зависима от того, что используются только дупликаты (значения двух лабораторий), а не больше, число реплик <1>.
--------------------------------
<1> Константа вычисляется по формуле

, где

значению функции

- квадрат для p = 0,5

и V - число степеней свободы в повторных результатах (здесь для дубликата V = 2 - 1).

соответствует следующей процедуре, в которой не используется оценка центра:

. Она включает два этапа последовательного вычисления медианы:
- по каждому из n значений вычисляют медиану (n - 1) абсолютных разностей этого значения с другими значениями и
- оценка разброса - это медиана n медиан этих отклонений, подсчитанных в предыдущем шаге (например, см.
Приложение P).
Примечание. Более совершенные процедуры отсутствуют. Абсолютное отклонение медианы для значений, вычисленных по процедуре MEDианы (или MAD) (Hampel, 1974), равно

. Эта устойчивая оценка разброса симметрична относительно оценки центра (MED).
Для распределения Гаусса:

. Другая сопоставимая альтернатива основана на межквантильном диапазоне IQR = Q3 - Q1 = 3-я - 1-я квартили; для распределения Гаусса

. Последний результат легко получить с помощью процедур программы EXCEL <2>.
--------------------------------
<2> Использовать следующие статистические функции Excel: MEDIAN (диапазон) для 2-й квартили и QUARTILE (диапазон; k), где k = 1,2 или 3 для 1-й, 2-й и 3-й квартили.
6.3.5. Относительная точность
6.3.5.1. Определение
В настоящем стандарте принятые опорные значения, используемые в определении правильности, задаются только результатами, полученными стандартным методом на идентичных образцах.
Таким образом, отклонение результатов измерений, полученных альтернативным методом, лучше соответствует относительной точности.
6.3.5.2. Вычисления
Для каждого уровня j аналита вычисляют

для всех лабораторий I = 1 до n,
где

- среднее дупликатов лаборатории i, полученное альтернативным методом;

- среднее дупликатов лаборатории i, полученное стандартным методом.
Таким образом, медиана

, равная систематической погрешности D, и устойчивое среднеквадратическое отклонение

порождают t-образную статистику:

с n - 1 степенями свободы (df).
По таблице распределения Стьюдента t находят вероятность того, что D = 0. (Например, при n = 12 (11 df) критическое значение для двухстороннего доверительного интервала с

равно

). Если

, то систематическая погрешность D между двумя сравниваемыми методами значима, т.е. альтернативный метод имеет недостаточную точность относительно стандартного метода для такого уровня j.
Соотношение между относительной точностью и уровнями можно моделировать (постоянная или пропорциональная систематическая погрешность и т.д.) с учетом линейности градуировочной характеристики.
6.3.5.3. Интерпретация
Предполагается нулевая систематическая погрешность (D = 0). Однако если оцененное абсолютное значение D слишком большое для цели данного метода или достигнута статистическая значимость, то альтернативный метод отличается от стандартного.
6.3.6.1. Термины и определения
6.3.6.1.1. Повторяемость (сходимость) (repeatability): характеристика близости согласования последовательных и независимых результатов анализа, полученных одним и тем же методом на идентичном испытуемом материале, при одних и тех же условиях (оборудование, оператор, лаборатория и короткий промежуток времени, т.е. в условиях повторяемости).
6.3.6.1.2. Предел повторяемости (r) (repeatability limit): значение, которое с доверительной вероятностью 95% не превышается абсолютной величиной разности между результатами двух измерений (или испытаний), полученными в условиях повторяемости.
На практике, если разность между двумя результатами превышает (r), то результаты должны считаться сомнительными.
6.3.6.2. Вычисления
Для каждого метода k и уровня j аналита вычисляют:
- предел повторяемости

со <1> среднеквадратическим отклонением повторяемости

;
--------------------------------
<1> Константа

с

и двусторонним

или 95% уровнем доверительной вероятности.
- относительное среднеквадратическое отклонение повторяемости

.
Повторяемость альтернативного и стандартного методов проверяют, используя F-распределение:

с n и n степенями свободы. По F-таблице определяют вероятность p(F) того, что

; например, для n = 12 критическое значение для двустороннего доверительного интервала с

равно

.
Если F или 1/F больше

, то тогда сравниваемые методы обладают разной повторяемостью для уровня j.
Соотношение между повторяемостью и уровнями можно моделировать так же, как относительное среднеквадратическое отклонение повторяемости. Дополнительные сведения содержатся в ИСО 5725.
6.3.6.3. Интерпретация
Предполагается сопоставимая повторяемость для каждого уровня аналита. Однако если получена статистическая значимость

(двусторонний доверительный интервал), то альтернативный метод отличается от стандартного.
В настоящее время отсутствуют критерии для отбраковки альтернативного метода.
6.3.7. Воспроизводимость
6.3.7.1. Термины и определения
В настоящем стандарте применены следующие термины с соответствующими определениями:
6.3.7.1.1. Воспроизводимость (reproducibility): характеристика близости согласования между отдельными результатами испытаний на идентичном испытательном материале, полученными с использованием одного и того же метода, операторами в разных лабораториях с использованием разного оборудования (т.е. в условиях воспроизводимости).
6.3.7.1.2. Предел воспроизводимости (R) (reproducibility limit): значение, которое с доверительной вероятностью 95% не превышается абсолютным значением разности между результатами двух измерений (или испытаний), полученными в условиях воспроизводимости.
На практике, если разность между двумя результатами превышает R, то результаты должны считаться сомнительными.
6.3.7.2. Вычисления
Значение R вычисляют по среднеквадратическому отклонению воспроизводимости

и межлабораторному среднеквадратическому отклонению

, для каждого метода k и каждого уровня j аналита.
- Предел воспроизводимости

со среднеквадратическим отклонением воспроизводимости

и

= лабораторной дисперсии, при

.
- Относительное среднеквадратическое отклонение воспроизводимости

.
Воспроизводимости альтернативного и стандартного методов сравнивают, используя F-распределение:

с (n - 1) и (n - 1) степенями свободы. По F-таблице определяют вероятность p(F) того, что

; например, при n = 12 (11df), критическое значение для двустороннего доверительного интервала с

равно

. Если F или 1/F больше

, то сравниваемые методы обладают разной воспроизводимостью для уровня j.
Можно моделировать соотношение между воспроизводимостью и уровнями, а также относительную воспроизводимость

. Дополнительные сведения содержатся в ИСО 5725.
После этого оценить вероятность p(F) того, что однородность межлабораторного разброса, представляющего собой лабораторные различия, меньше, чем их собственный типичный разброс измерений:

с df(NUM) = n - 1 и df(DENOM) = n степеней свободы. По F-таблице определяют вероятность p(F), характеризующую важность межлабораторной дисперсии

.
6.3.7.3. Интерпретация
Предполагается сопоставимая воспроизводимость для каждого уровня аналита. Однако если получена статистическая значимость

(двусторонний доверительный интервал), то альтернативный метод отличается от стандартного (в худшую или лучшую сторону, в зависимости от R).
В настоящее время отсутствуют критерии для отбраковки альтернативного метода.
Соотношение

в целом верно. Однако это зависит от результатов метода и контекста применения. Вероятность наличия неоднородности при большом разбросе между лабораториями обычно свидетельствует о том, что стандартизацию метода нужно усовершенствовать, т.е. рабочие инструкции не вполне понятны (формулировка, объяснения, и т.д.), анализы проводятся некачественно (недостаточность квалификации) или присутствуют аномальные изменения во времени для реакций, культур и т.д., а также всех внешних условий в лаборатории.
(обязательное)
ОСОБЫЕ ПРАВИЛА ДЛЯ ПРИЗНАНИЯ СТОРОННИХ РЕЗУЛЬТАТОВ,
ПОЛУЧЕННЫХ РАНЕЕ ПРИ ИСПОЛЬЗОВАНИИ
ПРЕЖНЕЙ СИСТЕМЫ ВАЛИДАЦИИ
A.1. Общие требования
Это касается данных, полученных с помощью международных или европейских стандартов и других стандартных методов.
A.2. Альтернативные методы, которые претерпели изменения или ранее прошли валидацию в соответствии с международным или европейским стандартом
При оценке возможности того, можно ли имеющиеся сторонние данные признать в соответствии с настоящим стандартом, устанавливают, был ли альтернативный метод каким-либо образом изменен после того, как появились эти данные.
Если изменения были и они считаются серьезными, то результаты не могут быть признаны.
Если изменений не было или они были несущественными, то тогда нужно обратиться в службу менеджмента качества лаборатории, проводящей валидацию.
Если лаборатория-организатор не была аккредитована в соответствии с ИСО/МЭК 17025, то необходимо провести аудит для проверки калибровки, сред, температуры, оборудования, записей об обучении со времени, когда проводилась валидация. Результаты не могут быть приняты, если результаты аудита неудовлетворительны. Результаты аудита должны быть документированы письменно.
Если, однако, лаборатория-организатор признана на основании результатов аудита или лаборатория имела аккредитацию в соответствии с ИСО/МЭК 17025, то критерии валидации считаются достаточно надежными.
Также должна быть оценена информация о сотрудничающих лабораториях (их возможности и их практический опыт в обеспечении качества).
A.3. Альтернативные методы, которые не проходили валидацию с использованием стандартного метода в соответствии с международным или европейским стандартом
Прежние исследования приемлемы в соответствии с настоящим стандартом при условии, что:
- они были проведены в соответствии с протоколами валидации, одобренными авторитетной группой технических экспертов, и результаты таких исследований были ими полностью признаны;
- технические эксперты работали под эгидой международно признанных организаций, занимающихся методами валидации (например, AFNOR, NORVAL, AOAC International, AOAC Research Institute);
- процедуры валидации включают в себя исследования, соответствующие требованиям настоящего стандарта, по меньшей мере, к полному числу образцов и к пищевой матрице.
Если альтернативный метод прошел сличение с международно признанным стандартным методом (как, например, AOAC International), который отличается в несущественных аспектах от стандартного метода, соответствующего Международному или Европейскому стандарту, и если протокол близок к настоящему стандарту, то результаты могут быть признаны.
Если метод значительно отличается от стандартного метода, соответствующего Международному или Европейскому стандарту, то проводят оценку с целью определения того, существенно ли влияют эти отличия на работу метода. Оценка проводится с учетом дополнительных данных (если они есть), необходимых для выяснения процедурных отличий и/или отличий, связанных со стандартным методом (например, разный первичный обогащенный бульон). Если решения содержат утверждения, что стандартные методы имеют существенное отличие, то они должны быть документально обоснованы лабораторией-организатором. Должны быть оговорены данные, требуемые для объяснения предполагаемых отличий.
(справочное)
КЛАССИФИКАЦИЯ ТИПОВ ОБРАЗЦОВ ДЛЯ ИССЛЕДОВАНИЙ ПО ВАЛИДАЦИИ
B.1. Образцы пищевых продуктов и кормов для животных
Таблица B.1
Категории пищевых продуктов и связанные с ними основные
пищевые патогенные микроорганизмы
┌──────────┬──────┬──────┬─────┬────┬───────┬───────┬────────┬─────┬──────┐
│ Тип │Yersi-│Clost-│List-│ E. │Staphy-│S. │Campylo-│Salmo│Bacil-│
│ продукта │nia │ridium│eria │coil│lococ- │aureus │bacter │nella│lus │
│ │spp. │perf- │mono-│O157│cus │entero-│spp. │spp. │cereus│
│ │ │rin- │cyto-│ & │aureus │toxins │ │ │ │
│ │ │gens │genes│VTEC│ │ │ │ │ │
├──────────┴──────┴──────┴─────┴────┴───────┴───────┴────────┴─────┴──────┤
│ Мясные продукты │
├──────────┬──────┬──────┬─────┬────┬───────┬───────┬────────┬─────┬──────┤
│Сырые │ x │ │ x │ x │ │ │ x │ x │ x │
├──────────┼──────┼──────┼─────┼────┼───────┼───────┼────────┼─────┼──────┤
│Прошедшие │ │ │ x │ │ x │ x │ │ │ │
│тепло- │ │ │ │ │ │ │ │ │ │
│обработку │ │ │ │ │ │ │ │ │ │
├──────────┼──────┼──────┼─────┼────┼───────┼───────┼────────┼─────┼──────┤
│Заморожен-│ │ │ x │ │ │ │ │ │ │
│ные │ │ │ │ │ │ │ │ │ │
├──────────┼──────┼──────┼─────┼────┼───────┼───────┼────────┼─────┼──────┤
│Ферменти- │ │ │ x │ x │ │ │ │ │ │
│рованные │ │ │ │ │ │ │ │ │ │
├──────────┼──────┼──────┼─────┼────┼───────┼───────┼────────┼─────┼──────┤
│Вяленые │ │ x │ x │ x │ x │ x │ │ │ │
├──────────┼──────┼──────┼─────┼────┼───────┼───────┼────────┼─────┼──────┤
│Другой │ │Блюда/│Паш- │ │ │ │ │ │ │
│ │ │соусы │тет │ │ │ │ │ │ │
├──────────┴──────┴──────┴─────┴────┴───────┴───────┴────────┴─────┴──────┤
│ Домашняя птица │
├──────────┬──────┬──────┬─────┬────┬───────┬───────┬────────┬─────┬──────┤
│Сырые │ x │ │ │ │ │ │ x │ x │ │
├──────────┼──────┼──────┼─────┼────┼───────┼───────┼────────┼─────┼──────┤
│Прошедшие │ │ │ │ │ │ │ │ │ │
│теплообра-│ │ │ │ │ │ │ │ │ │
│ботку │ │ │ │ │ │ │ │ │ │
├──────────┼──────┼──────┼─────┼────┼───────┼───────┼────────┼─────┼──────┤
│Заморожен-│ │ │ │ │ │ │ │ │ │
│ные │ │ │ │ │ │ │ │ │ │
├──────────┼──────┴──────┴─────┼────┼───────┼───────┼────────┼─────┼──────┤
│Другие │ Блюда/соусы │ │ │ │ │ │ │
├──────────┴───────────────────┴────┴───────┴───────┴────────┴─────┴──────┤
│ Рыба и морепродукты │
├──────────┬──────┬──────┬─────┬────┬───────┬───────┬────────┬─────┬──────┤
│Сырые │ x │ │ x │ │ │ │ x │ x │ │
├──────────┼──────┼──────┼─────┼────┼───────┼───────┼────────┼─────┼──────┤
│Прошедшие │ │ │ │ │ │ │ │ │ │
│теплообра-│ │ │ │ │ │ │ │ │ │
│ботку │ │ │ │ │ │ │ │ │ │
├──────────┼──────┼──────┼─────┼────┼───────┼───────┼────────┼─────┼──────┤
│Заморожен-│ │ │ │ │ │ │ │ │ │
│ные │ │ │ │ │ │ │ │ │ │
├──────────┼──────┼──────┼─────┼────┼───────┼───────┼────────┼─────┼──────┤
│Копченые │ │ │ x │ │ x │ │ │ │ │
├──────────┼──────┼──────┼─────┼────┼───────┼───────┼────────┼─────┼──────┤
│Другие │ │ │ │ │ │ │ │ │ │
├──────────┴──────┴──────┴─────┴────┴───────┴───────┴────────┴─────┴──────┤
│ Фрукты и овощные продукты │
├──────────┬──────┬──────┬─────┬────┬───────┬───────┬────────┬─────┬──────┤
│Сырые │ x │ │ x │ x │ │ │ x │ x │ │
├──────────┼──────┼──────┼─────┼────┼───────┼───────┼────────┼─────┼──────┤
│Прошедшие │ │ │ │ │ │ │ │ │ │
│теплообра-│ │ │ │ │ │ │ │ │ │
│ботку │ │ │ │ │ │ │ │ │ │
├──────────┼──────┼──────┼─────┼────┼───────┼───────┼────────┼─────┼──────┤
│Заморожен-│ │ │ │ │ │ │ │ │ │
│ные │ │ │ │ │ │ │ │ │ │
├──────────┼──────┼──────┼─────┼────┼───────┼───────┼────────┼─────┼──────┤
│Сушеные │ │ │ │ │ │ │ │ │ x │
├──────────┼──────┼──────┼─────┼────┼───────┼───────┼────────┼─────┼──────┤
│Ферменти- │ │ │ │ │ │ │ │ │ │
│рованные │ │ │ │ │ │ │ │ │ │
├──────────┼──────┼──────┼─────┼────┼───────┼───────┼────────┼─────┼──────┤
│Вяленые/ │ │ │ │ │ │ │ │ │ │
│соленые │ │ │ │ │ │ │ │ │ │
├──────────┼──────┼──────┼─────┼────┼───────┼───────┼────────┼─────┼──────┤
│Соки/кон- │ │ │ │ x │ │ │ │ x │ │
│центраты │ │ │ │ │ │ │ │ │ │
├──────────┼──────┼──────┼─────┼────┼───────┼───────┼────────┼─────┼──────┤
│Обезвожен-│ │ │ │ │ │ │ │ │ │
│ные │ │ │ │ │ │ │ │ │ │
│продукты │ │ │ │ │ │ │ │ │ │
│/продукты │ │ │ │ │ │ │ │ │ │
│питания с │ │ │ │ │ │ │ │ │ │
│умеренным │ │ │ │ │ │ │ │ │ │
│обезвожи- │ │ │ │ │ │ │ │ │ │
│ванием │ │ │ │ │ │ │ │ │ │
├──────────┼──────┼──────┼─────┼────┼───────┴───────┴────────┼─────┼──────┤
│Другие │ │ │ │ │ Переработанные грибы │ │ │
├──────────┴──────┴──────┴─────┴────┴────────────────────────┴─────┴──────┤
│ Молочные продукты │
├──────────┬──────┬──────┬─────┬────┬───────┬───────┬────────┬─────┬──────┤
│Сырые │ x │ │ x │ x │ x │ x │ x │ x │ x │
├──────────┼──────┼──────┼─────┼────┼───────┼───────┼────────┼─────┼──────┤
│Прошедшие │ │ │ │ │ │ │ │ │ x │
│теплообра-│ │ │ │ │ │ │ │ │ │
│ботку │ │ │ │ │ │ │ │ │ │
├──────────┼──────┼──────┼─────┼────┼───────┼───────┼────────┼─────┼──────┤
│Заморожен-│ │ │ x │ x │ x │ x │ │ x │ x │
│ные │ │ │ │ │ │ │ │ │ │
├──────────┼──────┼──────┼─────┼────┼───────┼───────┼────────┼─────┼──────┤
│Ферменти- │ │ │ x │ x │ x │ x │ │ x │ x │
│рованные │ │ │ │ │ │ │ │ │ │
├──────────┼──────┼──────┼─────┼────┼───────┼───────┼────────┼─────┼──────┤
│Сушеные │ │ │ │ │ x │ x │ │ x │ x │
├──────────┼──────┼──────┼─────┼────┼───────┼───────┼────────┼─────┼──────┤
│Другой │ │ │ │ │ │ │ │ │ │
├──────────┴──────┴──────┴─────┴────┴───────┴───────┴────────┴─────┴──────┤
│ Шоколад/хлебобулочные изделия │
├──────────┬──────┬──────┬─────┬────┬───────┬───────┬────────┬─────┬──────┤
│Обезвожен-│ │ │ │ │ │ │ │ x │ │
│ные │ │ │ │ │ │ │ │ │ │
│продукты │ │ │ │ │ │ │ │ │ │
│/продукты │ │ │ │ │ │ │ │ │ │
│питания с │ │ │ │ │ │ │ │ │ │
│умеренным │ │ │ │ │ │ │ │ │ │
│обезвожи- │ │ │ │ │ │ │ │ │ │
│ванием │ │ │ │ │ │ │ │ │ │
├──────────┼──────┼──────┼─────┼────┼───────┼───────┼────────┼─────┼──────┤
│Сушеные │ │ │ │ │ │ │ │ x │ │
├──────────┼──────┼──────┼─────┼────┴───────┴───────┼────────┼─────┼──────┤
│Другие │ │ │ │Кондитерские │ │ │Завар-│
│ │ │ │ │изделия │ │ │ные │
│ │ │ │ │ │ │ │кремы │
├──────────┴──────┴──────┴─────┴────────────────────┴────────┴─────┴──────┤
│ Другие продукты │
├──────────┬──────┬──────┬─────┬────┬───────┬───────┬────────┬─────┬──────┤
│Пиво │ │ │ │ │ │ │ │ │ │
├──────────┼──────┼──────┼─────┼────┼───────┼───────┼────────┼─────┼──────┤
│Соусы │ │ │ │ │ │ │ │ │ │
├──────────┼──────┼──────┼─────┼────┼───────┼───────┼────────┼─────┼──────┤
│Специи │ │ x │ │ │ │ │ │ x │ x │
├──────────┼──────┼──────┼─────┼────┼───────┼───────┼────────┼─────┼──────┤
│Майонез │ │ │ │ │ │ x │ │ x │ │
├──────────┼──────┼──────┼─────┼────┼───────┼───────┼────────┼─────┼──────┤
│Макароны │ │ │ │ │ │ x │ │ │ │
├──────────┼──────┼──────┼─────┼────┼───────┼───────┼────────┼─────┼──────┤
│Яйца и │ │ │ │ │ │ │ │ x │ │
│производ- │ │ │ │ │ │ │ │ │ │
│ные │ │ │ │ │ │ │ │ │ │
├──────────┼──────┼──────┼─────┼────┼───────┼───────┼────────┼─────┼──────┤
│Зерновые │ │ │ │ │ │ │ │ │ │
│/рис │ │ │ │ │ │ │ │ │ x │
├──────────┴──────┴──────┴─────┴────┴───────┴───────┴────────┴─────┴──────┤
│ Корма для животных │
├──────────┬──────┬──────┬─────┬────┬───────┬───────┬────────┬─────┬──────┤
│Разное │ │ │ │ │ │ │ │ x │ │
└──────────┴──────┴──────┴─────┴────┴───────┴───────┴────────┴─────┴──────┘
Таблица B.2
Пищевые категории и связанные с ними основные непатогенные
микроорганизмы
┌────────────────┬─────────┬───────────┬───────────┬───────────┬──────────┐
│ Тип продукта │Дрожжи и │Молочнокис-│Общее число│ Кишечная │Esherichia│
│ │плесневые│лые │жизнеспо- │ палочка │ coli │
│ │ грибы │бактерии │собных │ │ │
│ │ │ │организмов │ │ │
├────────────────┴─────────┴───────────┴───────────┴───────────┴──────────┤
│ Мясные продукты │
├────────────────┬─────────┬───────────┬───────────┬───────────┬──────────┤
│Сырые │ │ x │ x │ x │ x │
├────────────────┼─────────┼───────────┼───────────┼───────────┼──────────┤
│Прошедшие │ │ x │ x │ x │ │
│теплообработку │ │ │ │ │ │
├────────────────┼─────────┼───────────┼───────────┼───────────┼──────────┤
│Замороженные │ │ │ x │ x │ │
├────────────────┼─────────┼───────────┼───────────┼───────────┼──────────┤
│Ферментированные│ x │ x │ │ │ │
├────────────────┼─────────┼───────────┼───────────┼───────────┼──────────┤
│Вяленые │ │ x │ │ │ │
├────────────────┼─────────┼───────────┼───────────┼───────────┼──────────┤
│Другие │ x │ │ │ │ x │
├────────────────┴─────────┴───────────┴───────────┴───────────┴──────────┤
│ Продукты из домашней птицы │
├────────────────┬─────────┬───────────┬───────────┬───────────┬──────────┤
│Сырые │ │ x │ x │ x │ x │
├────────────────┼─────────┼───────────┼───────────┼───────────┼──────────┤
│Прошедшие │ │ x │ x │ x │ │
│теплообработку │ │ │ │ │ │
├────────────────┼─────────┼───────────┼───────────┼───────────┼──────────┤
│Замороженные │ │ │ x │ x │ │
├────────────────┼─────────┼───────────┼───────────┼───────────┼──────────┤
│Другие │ │ │ │ │ │
├────────────────┴─────────┴───────────┴───────────┴───────────┴──────────┤
│ Рыба и морепродукты │
├────────────────┬─────────┬───────────┬───────────┬───────────┬──────────┤
│Сырые │ │ x │ x │ x │ x │
├────────────────┼─────────┼───────────┼───────────┼───────────┼──────────┤
│Прошедшие │ │ x │ x │ x │ │
│теплообработку │ │ │ │ │ │
├────────────────┼─────────┼───────────┼───────────┼───────────┼──────────┤
│Замороженные │ │ │ x │ x │ │
├────────────────┼─────────┼───────────┼───────────┼───────────┼──────────┤
│Копченые │ │ x │ x │ x │ │
├────────────────┴─────────┴───────────┴───────────┴───────────┴──────────┤
│ Фруктовые и овощные продукты │
├────────────────┬─────────┬───────────┬───────────┬───────────┬──────────┤
│Сырые │ │ x │ x │ x │ x │
├────────────────┼─────────┼───────────┼───────────┼───────────┼──────────┤
│Прошедшие │ │ │ x │ x │ │
│теплообработку │ │ │ │ │ │
├────────────────┼─────────┼───────────┼───────────┼───────────┼──────────┤
│Замороженные │ │ │ x │ x │ │
├────────────────┼─────────┼───────────┼───────────┼───────────┼──────────┤
│Сушеные │ x │ │ x │ x │ │
├────────────────┼─────────┼───────────┼───────────┼───────────┼──────────┤
│Ферментированные│ x │ │ │ │ │
├────────────────┼─────────┼───────────┼───────────┼───────────┼──────────┤
│Вяленые/соленые │ x │ │ │ │ │
├────────────────┼─────────┼───────────┼───────────┼───────────┼──────────┤
│Соки/концентраты│ x │ x │ │ │ │
├────────────────┼─────────┼───────────┼───────────┼───────────┼──────────┤
│Обезвоженные │ x │ │ │ │ │
│продукты │ │ │ │ │ │
│/продукты │ │ │ │ │ │
│питания │ │ │ │ │ │
│с умеренным │ │ │ │ │ │
│обезвоживанием │ │ │ │ │ │
├────────────────┼─────────┼───────────┼───────────┼───────────┼──────────┤
│Другие │ │ │ │ │ │
├────────────────┴─────────┴───────────┴───────────┴───────────┴──────────┤
│ Молочные продукты │
├────────────────┬─────────┬───────────┬───────────┬───────────┬──────────┤
│Сырые │ │ │ x │ x │ x │
├────────────────┼─────────┼───────────┼───────────┼───────────┼──────────┤
│Прошедшие │ │ │ x │ x │ │
│теплообработку │ │ │ │ │ │
├────────────────┼─────────┼───────────┼───────────┼───────────┼──────────┤
│Замороженные │ │ │ x │ x │ x │
├────────────────┼─────────┼───────────┼───────────┼───────────┼──────────┤
│Ферментированные│ x │ │ │ │ │
├────────────────┼─────────┼───────────┼───────────┼───────────┼──────────┤
│Сушеные │ │ │ x │ x │ │
├────────────────┼─────────┼───────────┼───────────┼───────────┼──────────┤
│Другие │ │ │ │ │ │
├────────────────┴─────────┴───────────┴───────────┴───────────┴──────────┤
│ Шоколад/хлебобулочные изделия │
├────────────────┬─────────┬───────────┬───────────┬───────────┬──────────┤
│Обезвоженные │ x │ │ x │ x │ │
│продукты │ │ │ │ │ │
│/продукты │ │ │ │ │ │
│питания │ │ │ │ │ │
│с умеренным │ │ │ │ │ │
│обезвоживанием │ │ │ │ │ │
├────────────────┼─────────┼───────────┼───────────┼───────────┼──────────┤
│Сушеные │ │ │ x │ x │ │
├────────────────┴─────────┴───────────┴───────────┴───────────┴──────────┤
│ Другие продукты │
├────────────────┬─────────┬───────────┬───────────┬───────────┬──────────┤
│Пиво │ x │ │ │ │ │
├────────────────┼─────────┼───────────┼───────────┼───────────┼──────────┤
│Соусы │ x │ x │ │ │ │
├────────────────┼─────────┼───────────┼───────────┼───────────┼──────────┤
│Специи │ │ │ │ │ │
├────────────────┼─────────┼───────────┼───────────┼───────────┼──────────┤
│Майонез │ x │ x │ │ │ │
├────────────────┼─────────┼───────────┼───────────┼───────────┼──────────┤
│Макароны │ │ │ │ │ │
├────────────────┼─────────┼───────────┼───────────┼───────────┼──────────┤
│Яйца │ │ │ │ │ │
│и производные │ │ │ │ │ │
├────────────────┼─────────┼───────────┼───────────┼───────────┼──────────┤
│Зерновые/рис │ │ │ │ │ │
├────────────────┴─────────┴───────────┴───────────┴───────────┴──────────┤
│ Корма для животных │
├────────────────┬─────────┬───────────┬───────────┬───────────┬──────────┤
│Разное │ x │ │ │ x │ │
└────────────────┴─────────┴───────────┴───────────┴───────────┴──────────┘
B.2. Ветеринарные образцы
Для скрининга сельскохозяйственных животных следующие образцы проверяют на наличие Salmonella.
Таблица B.3
Ветеринарные образцы для Salmonella
Животное, продукт или его среда | Образец для анализа |
Дегенерированные яйца | Смешанная проба фекальных образцов |
Куры-несушки | Смешанная проба фекальных образцов |
Однодневные цыплята | Подстилочная солома из коробок |
Молодки племенной птицы | Объединенная выборка фекальных образцов |
Тушки племенной птицы | Объединенная выборка мекония |
Свежее мясо домашней птицы | Кусочки кожи с шеи или кусочки тканей |
Домашняя птица | Объединенная выборка фекальных образцов |
Свежая говядина, телятина и свинина | Мазки с поверхности туш, кусочки тканей и вытекающая жидкость |
(обязательное)
ИСПОЛЬЗОВАНИЕ ЕСТЕСТВЕННО КОНТАМИНИРОВАННЫХ ОБРАЗЦОВ
И ПРИГОТОВЛЕНИЕ ИСКУССТВЕННО КОНТАМИНИРОВАННЫХ ОБРАЗЦОВ
ДЛЯ ИССЛЕДОВАНИЙ ПО ВАЛИДАЦИИ
Необходимо проводить выбор типа пищевого продукта в категории так, чтобы увеличить долю естественно контаминированных образцов. В случае, если доступно лишь ограниченное число естественно контаминированных образцов, можно воспользоваться вторым вариантом, представленным ниже, для увеличения числа образцов. Третий вариант должен использоваться только в хорошо обоснованных случаях. Можно также использовать стандартные материалы, содержащие микроорганизмы, подвергнутые стрессу, предпочтительно с вполне определенными уровнями целевого аналита (микроорганизмов) и указанным сроком хранения.
1-й вариант Естественно контаминированные образцы
Используют образцы, собранные из продуктов, которые
поточно анализирует лаборатория-организатор или другие
лаборатории.
Хранение должно минимизировать микробиологические
изменения и уменьшить микробный стресс. Контаминация
(качественная или количественная, сообразно обстоятельствам)
должна быть подтверждена немедленно перед исследованием
для валидации.
2-й вариант Контаминирование смесью
Засевают жидкие и полутвердые испытуемые продукты путем
разбавления естественно контаминированным образцом сходного
типа.
Фоновая микрофлора в "разбавленном продукте" должна быть
сходного типа в состоянии стресса, подобного тому, что
присутствует в естественно контаминированных продуктах.
3-й вариант Образцы с добавлением известного количества
определяемого вещества
Если стандартный материал
<1> доступен, то его
используют для проведения засевания. Если стандартный
материал отсутствует, то используемые штаммы изолируют
от продукта того же типа.
Определяют протокол создания стресса целевого
микроорганизма, и во время засева должен наблюдаться стресс.
Уровень микрофлоры должен быть представительным
для контаминации, которая происходит в этом продукте
естественным образом.
4-й вариант Стандартные материалы
Стандартные материалы, такие как сертифицированный
стандартный материал, содержащие подходящие и вполне
определенные уровни целевого аналита (микроорганизмов)
в стабильном стрессовом состоянии, можно использовать
для внесения посевного материала в испытуемые образцы
для анализа как качественными, так и количественными
методами. Для качественных исследований их использование
должно быть ограничено, когда в качестве стандартных
материалов доступны только несколько штаммов или
серологических типов целевого аналита пищевого
происхождения.
--------------------------------
<1> Испытывают 10 реплик на каждом из трех - четырех уровней контаминации.
(обязательное)
ДУПЛИКАЦИЯ ОБРАЗЦОВ ДЛЯ ОПРЕДЕЛЕНИЯ ОТНОСИТЕЛЬНОЙ ТОЧНОСТИ
И ОТНОСИТЕЛЬНОГО УРОВНЯ ОБНАРУЖЕНИЯ
ДЛЯ КАЧЕСТВЕННЫХ МЕТОДОВ
D.1. Случай 1 - все условия первой стадии культивирования одинаковы для обоих методов
D.2. Случай 2 - первая стадия культивирования обоих методов различается
Примечание. Нужно отметить, что во втором случае из-за разбавления среды образцом и растворителем нельзя применять готовую к использованию среду, и концентрация ингредиентов в лабораторно приготовленном бульоне должна быть увеличена примерно на 10%.
(обязательное)
ВЫЧИСЛЕНИЕ ДОВЕРИТЕЛЬНЫХ ИНТЕРВАЛОВ,
СВЯЗАННЫХ С ЧИСЛОМ ИСПЫТУЕМЫХ ОБРАЗЦОВ
Для каждого значения (p) величин AC
<1>, SE и SP, выраженных в процентах, (см.
5.1.3.1), вычисляют доверительные интервалы (CI):
- если 10% < p < 90%, приблизительно вычисляют двусторонние доверительные интервалы при 95%
CI (при 95%) =

с

соответственно, для p (в %) = AC, SE, SP;
- для

вычислить нижний доверительный предел при 95% (односторонний) с

соответственно, для p (в %) = AC, SE, SP.
В этом случае предпочтительно использовать биномиальную таблицу для n = 10, 20, 30, 40, 50, 60 (см. таблицу E.1).
--------------------------------
Таблица E.1
Нижний доверительный предел при 95% для p = 90% и больше
n = | 10 | 20 | 30 | 40 | 50 | 60 |
p = 0,90 | 0,75 | 0,83 | 0,82 | 0,84 | 0,83 | 0,84 |
0,92 | 0,85 | 0,83 | 0,85 | 0,86 | 0,87 | 0,88 |
0,94 | 0,85 | 0,88 | 0,88 | 0,89 | 0,89 | 0,89 |
0,96 | 0,85 | 0,93 | 0,92 | 0,91 | 0,93 | 0,93 |
0,98 | 0,95 | 0,93 | 0,95 | 0,96 | 0,95 | 0,96 |
0,99 | 0,95 | 0,98 | 0,98 | 0,96 | 0,97 | 0,98 |
Пример. Для n = 20, p = 94% LCL (p; при 95%) = 88%.
(обязательное)
КРИТЕРИЙ, ИСПОЛЬЗУЕМЫЙ ДЛЯ АНАЛИЗА
НЕСОГЛАСУЮЩИХСЯ РЕЗУЛЬТАТОВ
Подсчитывают суммарное число несогласующихся результатов Y следующим образом:
Y = PD + ND (например, PD = 2, ND = 10, следовательно, Y = 12).
Проверяют, могут ли методы различаться из-за соотношения между чувствительностью и специфичностью:
- для Y < 6 (менее шести рассогласований): испытание отсутствует;
- для

(т. е. между 6 и 22 рассогласованиями), определяют m как наименьшее из двух значений, т. е. PD и ND (например, m = PD = 2, так как PD < ND) и используют биномиальный закон распределения в соответствии с таблицей F.1.
Если

для заданного Y, то два метода различны при

(двусторонний доверительный интервал).
Таблица F.1
Значения M для рассогласований Y

Рассогласования Y = PD + ND | От 6 до 8 | От 9 до 11 | От 12 до 14 | От 15 до 16 | От 17 до 19 | От 20 до 22 |
M = Max(m) при альфа < 0,05 | 0 | 1 | 2 | 3 | 4 | 5 |
Например, для Y = 12 рассогласований и m = 2, M = 2 и

, таким образом, два метода различаются с p < 0,05.
- для Y > 22 (более 22 рассогласований) использовать критерий МакНемара с распределением хи-квадрат для 1 степени свободы:

с d = |PD - ND| и Y = PD + ND.
Два метода различаются при

(двусторонний доверительный интервал), если

.
Этот критерий хи-квадрат соответствует минимальному d для каждого Y из следующей таблицы F.2 для

(т.е. для заданного Y d должно быть не меньше значения, приведенного в таблице F.2, чтобы сделать заключение о различии методов).
Таблица F.2
Значения d для рассогласований Y (Y > 22)
─────────────────┬─────────┬─────────┬─────────┬────────┬────────┬─────────
Рассогласования │От 22 до │От 27 до │ От 32 │ От 38 │От 45 до│От 52 до
Y = PD + ND │ 26 │ 31 │ до 37 │ до 44 │ 51 │ 58
─────────────────┴─────────┴─────────┴─────────┴────────┴────────┴─────────

10 11 12 13 14 15
───────────────────────────────────────────────────────────────────────────
(обязательное)
АСПЕКТЫ, ПОДЛЕЖАЩИЕ УЧЕТУ ПРИ ВЫБОРЕ ШТАММОВ
ДЛЯ ИСПЫТАНИЯ ИЗБИРАТЕЛЬНОСТИ
Это Приложение устанавливает минимальные требования к испытаниям для общего пользования. При выборе испытательных штаммов большинство последних должно происходить из диапазона пищевых материалов, используемых в исследовании, и охватывать рекомендованный диапазон целевого аналита с учетом следующих факторов: географическое распределение, распространенность, многообразие идентификационных характеристик, например, биохимических характеристик, характеристик серотипа, типа бактериофага и т.д., и любые требования, сделанные разработчиками альтернативного метода.
G.2. Категории целевых групп
- неопределенная группа, например, суммарное число, бактерии группы кишечной палочки, дрожжевые грибки, молочнокислые бактерии;
- семейство, например, Enterobacteriaceae;
- род, например, Salmonella, Pseudomonas, Listeria;
- вид, например, Listeria monocytogenes, Staphylococcus aureus, Escherichia coli;
- штамм, например, Salmonella enteritidis тип бактериофага 4.
G.3. В соответствии с целевой группой, определенной в
G.1, можно выбрать диапазон положительных микроорганизмов:
- для неопределенных групп, в которых целевая группа определена стандартным методом, используемые штаммы должны выбираться из тех, которые способны на типичный рост в стандартном методе;
- для семейств: используют штаммы из диапазона родов в этом семействе и, если это возможно, включают представительный элемент всех родов семейства;
- для родов: используют диапазон видов из этого рода и, если возможно, испытывают все виды из такого рода;
- для видов: диапазон штаммов из этих видов. Определение штамма необходимо учитывать при принятии этого решения. В настоящее время патогены, такие как Salmonella и Listeria, были подразделены на серотипы, однако Listeria spp. также подразделяется на типы фагов; в будущем будут использоваться другие методы подразделения на генетические типы, такие как RAPD, PFGE и риботипирование. При определении положительных штаммов, которые будут использоваться в испытании, лаборатории-организаторы должны пользоваться доступной современной информацией для гарантии того, что эти штаммы в данное время являются подходящими к целевым пищевым категориям;
- для штамма: диапазон источников этого штамма.
G.4. Нецелевые группы, используемые в исследовании на избирательность:
- Нецелевые группы (т.е. те, которые, как ожидается, должны дать отрицательный результат и которые используются в испытаниях на перекрестную реактивность) должны быть определены в соответствии с целевой группой;
- Когда целевая группа - семейство: нецелевые штаммы должны включать семейства;
- Когда целевая группа - род: нецелевые штаммы должны включать другие роды, которые считаются похожими на целевой род;
- Когда целевая группа - вид: нецелевые штаммы должны включать другие виды внутри целевого рода;
- Когда целевая группа - штамм: нецелевые штаммы должны включать другие штаммы из того же вида.
(обязательное)
РЕКОМЕНДАЦИИ ПО ОРГАНИЗАЦИИ И ПРОВЕДЕНИЮ
СОВМЕСТНЫХ ИССЛЕДОВАНИЙ
H.1. Подготовка пищевых образцов
Отрицательные (контрольные) образцы
В общем случае должна использоваться только искусственная контаминация, и целевой аналит не должен присутствовать в незасеянной пище. Берут подходящее число образцов в соответствии с
Приложением J и анализируют их для подтверждения факта отсутствия целевого аналита. Отрицательные контрольные образцы используют в тех случаях, когда это предусмотрено во время пробного испытания.
Положительные образцы, содержащие целевой аналит
При некоторых количественных исследованиях, например, испытаниях на суммарное число бактерий, дрожжей и плесневых грибков, бактерий группы кишечной палочки и т.д., для совместных исследований следует использовать естественно контаминированные образцы, содержащие целевой аналит и/или типичную микрофлору. В отсутствие подходящего числа естественно контаминированных образцов или в тех случаях, когда уровень контаминации слишком узок или непригоден, можно использовать искусственно контаминированные образцы. Образцы необходимо контаминировать, используя второй или третий вариант, описанный в
Приложении C. В случаях, когда используют стандартные материалы
(Приложение C), на лабораторию-организатора возложена ответственность за рассылку и стандартных материалов, и подробных процедур инокуляции каждой сотрудничающей лаборатории.
В случае применения и качественных, и количественных методов пищевые материалы и целевой аналит/микроорганизмы должны допускать гомогенизацию, и они должны оставаться стабильными как при перевозке, так и в течение проведения анализов. Исследования на гомогенность и стабильность должны быть проведены перед отправкой испытательного материала из лаборатории-организатора.
Пищевой образец должен содержать характерную фоновую микрофлору или интерферирующие компоненты, которые также должны оставаться стабильными при перевозке и в ходе исследований, как это описано в
Приложении C.
Альтернативный метод должен испытываться с использованием минимум одного типа пищевого продукта, выбранного из пищевых категорий, описанных в
Приложении B. Качество и пригодность пищевого продукта должны быть определены до исследования.
Характеристики выбранного на основе сравнительных исследований штамма микроорганизма (см.
Приложение G), используемого для валидации метода, должны быть типичными для искомого рода или вида, например, темп роста, антигенные характеристики и чувствительность к вредным веществам и т.д.
H.2. Транспортирование образцов
Лаборатория-организатор должна определить используемый тип пищевого продукта и проверить, подходит ли упаковка для предстоящего транспортирования.
Индивидуальные образцы должны быть дважды запечатаны для гарантии отсутствия протекания из одного образца, что нарушило бы целостность всех других образцов.
Каждая сотрудничающая лаборатория несет ответственность за передачу лаборатории-организатору подробных сведений, которые гарантируют то, что рассылка образцов для исследования будет соответствовать международным и национальным почтовым правилам.
Лаборатория-организатор должна проверить правильность рассылки образцов и методов распределения, послав набор образцов в сотрудничающую лабораторию с запросом об их немедленном возврате, для того, чтобы перед исследованием уточнить влияние условий пересылки (безопасность и стабильность микроорганизмов). Любые нежелательные влияния должны быть оценены и приняты меры для минимизации предотвращения их появления в будущем.
Для сохранения целевого аналита или естественно существующей микрофлоры неизменными во время распределения в сотрудничающие лаборатории может оказаться необходимым транспортировать образцы в охлажденном или замороженном состоянии. Лаборатория-организатор должна определить условия упаковки и наилучший способ транспортирования. В идеальном случае желательно предусмотреть средства для контроля температуры образцов при транспортировании.
Для каждой лаборатории должна быть предоставлена дополнительная посылка образцов, идентичная испытуемым образцам, для измерения температуры образцов при получении.
H.3. Организация совместного исследования (см. ИСО 11133-1)
H.3.1. Рабочие протоколы
Стандартные рабочие протоколы должны быть распределены между сотрудничающими сторонами для ознакомления и внесения комментариев до начала испытаний. Окончательный протокол должен быть опубликован до начала оценивания.
H.3.2. Подтверждение качества образцов
Каждая сотрудничающая лаборатория должна получить указание подсчитать общее бактериальное число в обозначенном образце. Лаборатория-организатор должна направить каждой сотрудничающей лаборатории стандартный метод подсчета.
H.3.3. Альтернативный метод и стандартный метод
Операторы, проводящие анализ в каждой сотрудничающей лаборатории, должны владеть навыками соответствующего стандарта (при необходимости их следует обучить) и быть хорошо ознакомлены с выполнением альтернативного метода и стандартного метода до начала испытаний.
H.3.4. Реагенты и рабочие условия
Дополнительные факторы, например, качество и состав культуральной среды и реагентов, контроль за температурой инкубации и т.д., могут оказывать большое влияние на исход испытания. В связи с этим такую изменчивость нужно минимизировать (например, путем рассылки сред и/или реагентов всем сотрудничающим лабораториям) или это должно быть учтено при интерпретации результатов.
В протоколе должна быть указана степень допустимого отклонения в отношении всех параметров анализа, например, времен, температур, масс, суммарного определения числа микроорганизмов на чашках Петри и дня анализа. Если никакие отклонения не допускаются, то должно быть сделано четкое предупреждение.
H.3.5. Руководство
В течение всего периода валидации лаборатория-организатор должна быть доступна для предоставления консультации или рекомендации сотрудничающим лабораториям.
H.3.6. Сбор данных
Лаборатория-организатор должна разработать опросный лист, целью которого является сбор информации, относящейся к критически важным моментам протокола. Все сотрудничающие лаборатории должны документировать такие подробности, как pH среды, время инкубации, начальная и конечная температура инкубации, данные по контролю качества, состояние образцов по прибытии, время прибытия, температура при прибытии, условия хранения/время хранения и т.д. Содержание опросного листа должно быть согласовано лабораторией-организатором и разработчиком альтернативного метода для обеспечения соответствия с критически важными этапами анализа или процедуры испытания альтернативным методом.
H.3.7. Подтверждение качества испытуемых образцов
Лаборатория-организатор должна провести анализ типичных аликвот образцов в запланированный день начала анализа для подтверждения наличия и гомогенности целевого аналита. Образцы, которые до этого хранились в идеальных условиях, также должны быть проанализированы лабораторией-организатором в день начала анализа сотрудничающими лабораториями. Результаты таких анализов можно использовать только для подтверждения процедуры внесения посевного материала и стабильности аналита. Эти результаты нельзя использовать при статистической оценке испытуемого метода.
(обязательное)
ОПРЕДЕЛЕНИЕ ОТСУТСТВИЯ ЦЕЛЕВОГО АНАЛИТА В ОТРИЦАТЕЛЬНЫХ
КОНТРОЛЬНЫХ ОБРАЗЦАХ
Для того чтобы проверить отсутствие целевого микроорганизма в продукте, который будет использоваться в качестве отрицательных контрольных образцов или перед искусственной инокуляцией, необходимо провести анализ испытуемых материалов. Чем больше число исследованных подобразцов, тем больше уверенность в надежности определения. Отрицательные контрольные образцы также проверяют в ходе исследования.
Существует вероятность того, что очень низкие уровни аналита (единицы микроорганизмов) не обнаруживаются из-за количества испытуемого образца или в случае неоднородного распределения микроорганизмов по образцу.
С точки зрения статистики, при испытании восьми образцов вероятность обнаружения наличия 1, 2, 3, 4 или 5 клеток на 600 г продукта составляет 0,33; 0,57; 0,72; 0,83 и 0,90 соответственно.
Разделяют число анализируемых образцов на 2 категории:
- минимум шесть образцов анализируют перед началом эксперимента, чтобы проверить отсутствие микроорганизмов, причем число образцов определяется протоколом испытаний;
- дополнительные отрицательные образцы исследуют в ходе эксперимента, причем число образцов определяется протоколом испытаний.
(обязательное)
РЕПЛИКАЦИЯ ОБРАЗЦОВ ДЛЯ МЕЖЛАБОРАТОРНЫХ ИССЛЕДОВАНИЙ
КАЧЕСТВЕННЫХ МЕТОДОВ
J.1. Случай 1 - соответствует идентичности 1-го этапа культивирования стандартного и альтернативного методов
Каждым методом испытывают на каждом из трех-четырех уровней контаминации восемь реплик образцов.
J.1. Случай 2 - репликация путем дупликации, когда первые этапы культивирования для каждого метода различаются
Каждым методом испытывают на каждом из трех - четырех уровней контаминации восемь реплик образцов.
(обязательное)
УЧЕТ И ОБСУЖДЕНИЕ ДАННЫХ
По завершении межлабораторного исследования вся информация в таблицах данных и результаты должны быть представлены в лабораторию-организатор и изучены следующим образом:
- проверяют, чтобы образцы/комплект испытательного оборудования и т.д. не были повреждены при перевозке;
- указывают товарный знак и номер партии используемой среды. Экспертная лаборатория проверяет, соответствует ли формула стандартному методу;
- в случае повреждения образца данные должны быть отбракованы. Нужно также учитывать возможность перекрестной контаминации других образцов в этой упаковке;
- отбраковывают данные, если условия или время транспортирования выходят за рамки специфицированных допустимых отклонений;
- отбраковывают данные, если значения подсчета выходят за рамки специфицированных допустимых отклонений;
- отбраковывают данные, если из данных опросного листа видно, что лаборатория отклонилась от стандартного протокола или от критических рабочих условий.
(справочное)
МЕЖЛАБОРАТОРНОЕ ИССЛЕДОВАНИЕ КАЧЕСТВЕННЫХ МЕТОДОВ:
КРИТЕРИИ СОГЛАСОВАННОСТИ, СООТВЕТСТВИЯ И КОЭФФИЦИЕНТ
РАСХОЖДЕНИЯ МЕЖДУ СОГЛАСОВАННОСТЬЮ И СООТВЕТСТВИЕМ
L.1. Общие требования
Критерии точности, чувствительности и специфичности (см.
5.2.2) не в полной мере характеризуют изменчивость метода внутри и между лабораториями (прецизионность метода).
Это Приложение содержит дополнительные критерии (согласованность, соответствие и коэффициент расхождения между согласованностью и соответствием), которые позволяют проанализировать такую изменчивость.
Критерии повторяемости и воспроизводимости характеризуют возможную разницу между двумя образцами, отправленными в одну или разные лаборатории. Поскольку разность неколичественных данных нельзя использовать, статистика качественных методов основана на вероятности (выраженной в процентах) того, что два образца дадут одинаковый результат.
Такие критерии разработаны в европейском проекте SMT CT 96 2098, финансируемом Европейской комиссией/DG XII, для валидации шести основных стандартизованных методов, используемых в микробиологии пищевых продуктов (координатор - др. C. Lahellec, AFSSA, Франция)
[9].
Вычисления представлены в таблице L.1.
Таблица L.1
┌──────────────┬───────────────────────────────────────┬──────────────────┐
│ Лаборатории │ Номер реплики │ Число │
│ ├───────┬───────┬───────┬───────┬───────┤ положительных │
│ │ 1 │ 2 │ 3 │ 4 │ 5 │результатов (из 5)│
├──────────────┼───────┼───────┼───────┼───────┼───────┼──────────────────┤
│ 1 │ + │ + │ + │ + │ + │ 5 │
├──────────────┼───────┼───────┼───────┼───────┼───────┼──────────────────┤
│ 2 │ + │ + │ + │ + │ + │ 5 │
├──────────────┼───────┼───────┼───────┼───────┼───────┼──────────────────┤
│ 3 │ + │ + │ + │ + │ + │ 5 │
├──────────────┼───────┼───────┼───────┼───────┼───────┼──────────────────┤
│ 4 │ + │ + │ + │ + │ + │ 5 │
├──────────────┼───────┼───────┼───────┼───────┼───────┼──────────────────┤
│ 5 │ - │ - │ + │ + │ + │ 3 │
├──────────────┼───────┼───────┼───────┼───────┼───────┼──────────────────┤
│ 6 │ + │ + │ + │ + │ + │ 5 │
├──────────────┼───────┼───────┼───────┼───────┼───────┼──────────────────┤
│ 7 │ - │ - │ + │ + │ + │ 3 │
├──────────────┼───────┼───────┼───────┼───────┼───────┼──────────────────┤
│ 8 │ + │ + │ + │ + │ + │ 5 │
├──────────────┼───────┼───────┼───────┼───────┼───────┼──────────────────┤
│ 9 │ + │ + │ + │ + │ + │ 5 │
├──────────────┼───────┼───────┼───────┼───────┼───────┼──────────────────┤
│ 10 │ + │ + │ + │ + │ + │ 5 │
└──────────────┴───────┴───────┴───────┴───────┴───────┴──────────────────┘
Данные, приведенные в этой таблице, относятся только к одному уровню одного типа пищевого продукта. На практике совместное испытание является более обширным, но меньший набор данных облегчает объяснение вычислений.
L.2. Согласованность (accordance)
L.2.1. Определение
Согласованность (accordance) - это выраженная в процентах вероятность получения одинакового результата (т.е. оба положительные или оба отрицательные) от двух идентичных подобразцов, анализируемых в одной лаборатории, в условиях повторяемости (т.е. один оператор, использующий то же оборудование и те же реагенты и с минимальным разумным временным интервалом).
Согласованность, таким образом, эквивалентна повторяемости в количественных методах.
L.2.2. Вычисления
Для получения согласованности по результатам межлабораторного исследования для каждой лаборатории-участника поочередно вычисляют вероятность того, что два образца дадут один и тот же результат. Затем находят среднюю вероятность по всем лабораториям.
Для тех лабораторий (как, например, лаборатория 1), где все образцы оказались положительными, наилучшая оценка вероятности получения того же результата точно равна 1,00, или 100%.
Для других (например, лаборатории 5 и 7) вероятность того, что одна реплика окажется положительной, равна 3/5 = 0,60. Для получения вероятности положительности пары реплик возводят эту вероятность в квадрат

. Проделывают ту же операцию для получения вероятности отрицательности пары реплик

. Затем суммируют эти цифры для получения полной вероятности того, что две реплики дадут одинаковый результат (0,36 + 0,16 = 0,52).
Проводят такие вычисления для всех лабораторий (см. таблицу L.2).
Таблица L.2
Вычисление согласованности
┌───────────┬───────┬───────────┬─────────┬─────────┬─────────┬───────────┐
│Лаборатории│Число │Вероятность│Вероят- │Вероят- │Вероят- │Вероятность│
│ │положи-│положитель-│ность пар│ность │ность пар│пар с оди- │
│ │тельных│ного │положи- │отрицате-│отрица- │наковыми │
│ │образ- │образца │тельных │льного │тельных │результа- │
│ │цов │ │образцов │образца │образцов │тами │
├───────────┼───────┼───────────┼─────────┼─────────┼─────────┼───────────┤
│ 1 │ 5 │ 1,00 │ 1,00 │ 0,00 │ 0,00 │ 1,00 │
├───────────┼───────┼───────────┼─────────┼─────────┼─────────┼───────────┤
│ 2 │ 5 │ 1,00 │ 1,00 │ 0,00 │ 0,00 │ 1,00 │
├───────────┼───────┼───────────┼─────────┼─────────┼─────────┼───────────┤
│ 3 │ 5 │ 1,00 │ 1,00 │ 0,00 │ 0,00 │ 1,00 │
├───────────┼───────┼───────────┼─────────┼─────────┼─────────┼───────────┤
│ 4 │ 5 │ 1,00 │ 1,00 │ 0,00 │ 0,00 │ 1,00 │
├───────────┼───────┼───────────┼─────────┼─────────┼─────────┼───────────┤
│ 5 │ 3 │ 0,60 │ 0,36 │ 0,40 │ 0,16 │ 0,52 │
├───────────┼───────┼───────────┼─────────┼─────────┼─────────┼───────────┤
│ 6 │ 5 │ 1,00 │ 1,00 │ 0,00 │ 0,00 │ 1,00 │
├───────────┼───────┼───────────┼─────────┼─────────┼─────────┼───────────┤
│ 7 │ 3 │ 0,60 │ 0,36 │ 0,40 │ 0,16 │ 0,52 │
├───────────┼───────┼───────────┼─────────┼─────────┼─────────┼───────────┤
│ 8 │ 5 │ 1,00 │ 1,00 │ 0,00 │ 0,00 │ 1,00 │
├───────────┼───────┼───────────┼─────────┼─────────┼─────────┼───────────┤
│ 9 │ 5 │ 1,00 │ 1,00 │ 0,00 │ 0,00 │ 1,00 │
├───────────┼───────┼───────────┼─────────┼─────────┼─────────┼───────────┤
│ 10 │ 5 │ 1,00 │ 1,00 │ 0,00 │ 0,00 │ 1,00 │
├───────────┴───────┴───────────┴─────────┴─────────┼─────────┴───────────┤
│ │Среднее: │
│ │0,904 = 90,4% │
└───────────────────────────────────────────────────┴─────────────────────┘
Согласованность - это среднее значение вероятностей, что для двух реплик будет получен одинаковый результат для каждой лаборатории. В данном случае согласованность составляет 90,4%.
Примечание. Так как повторяемость характеризует разницу, в то время как согласованность измеряет сходство, высокие значения согласованности означают, что метод надежен, в отличие от количественных методов, где желательны низкие значения повторяемости.
L.3. Соответствие (concordance)
L.3.1. Определение
Соответствие (concordance) - это выраженная в процентах вероятность получения одинакового результата от двух идентичных образцов, анализируемых в разных лабораториях.
Соответствие, таким образом, является эквивалентом воспроизводимости в количественных методах.
L.3.2. Вычисления
Для вычисления соответствия по результатам межлабораторного исследования используют поочередно каждую реплику в каждой лаборатории-участнике и группируют по парам с идентичными результатами всех других лабораторий.
Соответствие - это выраженная в процентах доля всех пар, дающих одинаковые результаты, от всех возможных упомянутых пар данных.
Поочередно используют каждую реплику из каждой лаборатории, начиная с первой реплики из лаборатории 1, которая положительна. Ее можно объединить в пару с любой из 45-ти реплик из других лабораторий, и все, кроме 4, из этих пар (а именно, кроме тех, что составлены из реплик из лабораторий 5 и 7) сочетаются (т.е. являются парой с двумя положительными репликами), и, таким образом, для 41 пары получают одинаковый результат.
То же самое проделывают с остальными 4-мя репликами лаборатории 1, так что получается суммарное число в 225 (5·45) межлабораторных пар реплик, включающих реплики из лаборатории 1, из которых 205 (5·41) дают одинаковый результат.
То же выполняют во всех других лабораториях со всеми репликами, которые оказались положительными.
Для лаборатории 5, где 3 реплики из 5 положительны, 2 отрицательных результата совпадают лишь с 2-мя другими отрицательными результатами лаборатории 7, в то время как из 3-х положительных каждый совпадает с 43-мя положительными репликами. Таким образом, суммарное число пар с одинаковым результатом 133 (2·2 + 3·43).
Таблица L.3
Лаборатории | Число положительных образцов | Межлабораторные пары с одинаковыми результатами | Суммарное число межлабораторных пар |
1 | 5 | 205 | 225 |
2 | 5 | 205 | 225 |
3 | 5 | 205 | 225 |
4 | 5 | 205 | 225 |
5 | 3 | 133 | 225 |
6 | 5 | 205 | 225 |
7 | 3 | 133 | 225 |
8 | 5 | 205 | 225 |
9 | 5 | 205 | 225 |
10 | 5 | 205 | 225 |
Всего | | 1906 | 2250 |
Соответствие - это процентная доля всех пар дупликатов, дающих одинаковый результат; в этом примере соответствие равно 84,7%(1906/2250·100).
Примечание. Так как воспроизводимость характеризует разницу, а соответствие характеризует подобие, высокие значения соответствия свидетельствуют о надежности метода, в отличие от количественных методов, где желательны низкие значения воспроизводимости.
L.4. Коэффициент расхождения между согласованностью и соответствием
L.4.1. Общие положения и определение
Если соответствие меньше согласованности, то это свидетельствует о том, что вероятность получения одного и того же результата для двух идентичных образцов, анализируемых в одной лаборатории, больше, чем в случае анализа в разных лабораториях, что дает основание предполагать, что может существовать изменчивость рабочих характеристик между лабораториями. В случае количественного метода эта ситуация соответствует тому, что воспроизводимость больше повторяемости.
К сожалению, величины соответствия и согласованности сильно зависят от уровня точности, что затрудняет процесс оценки степени межлабораторной вариации.
Поэтому полезно вычислить коэффициент расхождения между согласованностью и соответствием (COR), определяемый следующим образом:
COR = согласованность x (100 - соответствие)/соответствие x (100 - согласованность).
L.4.2. Критерии значимости
Значение 1,00 коэффициента расхождения между согласованностью и соответствием указывает, что согласованность и соответствие одинаковы, и чем больше этот коэффициент, тем более доминирующую роль играет межлабораторная вариация.
Тем не менее значения, превышающие 1,00, могут появляться из-за случайной вариации, поэтому необходимо провести испытания на статистическую значимость для подтверждения, доказательны ли данные о повышенной межлабораторной вариации. "Точным критерием" является наилучший рекомендованный для этого критерий <1>. Основной принцип, лежащий в основе таких критериев, заключается в том, что вероятность события вычисляется для всех наборов результатов для реплик, которые могли привести к общему числу положительных и отрицательных результатов.
--------------------------------
<1> Этот критерий можно вычислить, используя, например, статистические пакеты программ SAS.
Возможные распределения общего числа 46 положительных и 4 отрицательных реплик приведены в столбцах в
таблице L.4.
Реальное распределение показано жирным шрифтом (третий столбец) в
таблице L.4. По критерию в ходе вычислений складываются вероятности P для всех тех возможных вариантов размещения результатов, которые, по меньшей мере, столь же доказательно свидетельствуют о наличии межлабораторной вариации, как и реальное распределение - здесь это означает использование всех перестановок в трех столбцах справа. Если эта вероятность меньше, чем принятое значение в 0,05 или 5%, то маловероятно, что эта степень межлабораторных вариаций могла появиться случайно, и, таким образом, можно сделать вывод, что существует значимая межлабораторная вариация в рабочих характеристиках.
В иллюстративной таблице L.4 значение P = 0,039 указывает, что межлабораторная вариация значима с уровнем 5%.
Таблица L.4
Возможные распределения положительных реплик (столбцы)
для получения общего числа 46 положительных
4 | 3 | 3 | 2 | 1 |
4 | 4 | 3 | 4 | 5 |
4 | 4 | 5 | 5 | 5 |
4 | 5 | 5 | 5 | 5 |
5 | 5 | 5 | 5 | 5 |
5 | 5 | 5 | 5 | 5 |
5 | 5 | 5 | 5 | 5 |
5 | 5 | 5 | 5 | 5 |
5 | 5 | 5 | 5 | 5 |
5 | 5 | 5 | 5 | 5 |
В случаях, когда программное обеспечение для "точного критерия" недоступно, в качестве альтернативы можно использовать обычный статистический анализ с помощью критерия хи-квадрат таблиц сопряженности признаков. Результаты этого критерия менее надежны, чем результаты "точного критерия" при числе реплик, обычно используемом в совместных исследованиях, но результаты моделирования дают основания полагать, что такой критерий является разумным указателем значимости межлабораторных расхождений.
При использовании любого критерия следует учитывать, что способность обнаруживать межлабораторные расхождения зависит от числа лабораторий и числа повторных образцов, проанализированных каждой лабораторией. Незначимый результат таких критериев не должен приниматься как указание на то, что рабочие характеристики лабораторий не отличаются, а является свидетельством того, что расхождения не доказаны, особенно если значение P чуть превышает 0,05. Идеальным решением было бы приводить значение коэффициента расхождения между согласованностью и соответствием с указанием среднеквадратической погрешности или доверительных пределов, но распределение коэффициента расхождения между согласованностью и соответствием сильно асимметрично, что затрудняет получение надежных пределов.
(обязательное)
РЕПЛИКАЦИЯ ОБРАЗЦОВ ДЛЯ ОПРЕДЕЛЕНИЯ ОТНОСИТЕЛЬНОЙ ТОЧНОСТИ
КОЛИЧЕСТВЕННЫХ МЕТОДОВ
M.1. Случай 1 - и в стандартном, и в альтернативном методах используют одинаковые десятичные разбавления каждого подобразца
Обоими методами культивируется одинаковое число подобразцов (минимум два, а желательно от пяти до 10).
Случай 2 - только стандартный метод требует десятичных разбавлений
Обоими методами культивируется одинаковое число подобразцов (минимум два, а желательно от пяти до 10).
(обязательное)
ПРИМЕРЫ ПРИЕМЛЕМЫХ И НЕПРИЕМЛЕМЫХ СИТУАЦИЙ
И ДИАПАЗОН ИЗМЕРЕНИЙ ДЛЯ ОЦЕНКИ ЛИНИИ РЕГРЕССИИ
ДЛЯ КОЛИЧЕСТВЕННЫХ МЕТОДОВ
Неприемлемые ситуации
Рисунок N.1. Отсутствие центральных точек
Рисунок N.2. Плохое разделение на кластеры
Рисунок N.3. Диапазон слишком узок, чтобы охватить участок
от 0 до 1
Рисунок N.4. Для использования с удлиненной шкалой,
только если SD (среднеквадратическое отклонение)
возрастает с ростом y
Приемлемая ситуация
Рисунок N.5. Приемлемая ситуация
(обязательное)
ОЦЕНКА ЛИНЕЙНОСТИ КОЛИЧЕСТВЕННЫХ МЕТОДОВ ПРИ ПОМОЩИ
ГРАФИЧЕСКОГО ПРЕДСТАВЛЕНИЯ
O.1. Случаи нелинейности
Рисунок O.1
Рисунок O.2
Рисунок O.3
O.2. Случаи линейности
Рисунок O.4
Рисунок O.5
(обязательное)
ПРЕДЕЛ ОБНАРУЖЕНИЯ И ПРЕДЕЛ КОЛИЧЕСТВЕННОГО ОПРЕДЕЛЕНИЯ
ЧИСЛА МИКРООРГАНИЗМОВ
P.1. Предел обнаружения
Обычно при наличии неопределенности метода, связанной, например, с используемым образцом, наблюдение только одной колониеобразующей единицы (КОЕ) на среде недостаточно для предположения о присутствии аналита. На таком низком уровне для качественных методов необходим дихотомический подход к событию, т.е. выявление присутствия (1 и более KOE) и отсутствия (нет KOE). Таким образом, процесс подчиняется закону Пуассона (низкие или высокие значения) или биномиальному закону (промежуточные значения) с частотой присутствия np.
Учитывая, что теоретический отрицательный контрольный образец не дает результата о присутствии аналита, предел обнаружения для низкой контаминации (пуассоновский) достигается минимум по np присутствиям, соответствующим порогам принятия решения LC = 3 (при

) или 5 (при 99%). Пределы обнаружения также получают, включая статистическую ошибку 2-го типа

, например, LOD = 7 при односторонней

и

.
Пуассоновский закон дает минимальное число np положительных результатов из n (пропорционально p) для достижения значимо положительного утверждения на уровне доверительной вероятности

(см. таблицу P.1).
Таблица P.1
Минимальное число np положительных результатов из n
n | np, если 1 - альфа = 0,95 | np, если 1 - альфа = 0,99 |
1 | 1 | 1 |
2 | 2 | 2 |
3 | 2 | 3 |
4 | 3 | 3 |
От 5 до 15 | 3 | 4 |
16 и больше | 3 | 5 |
Однако не исчезает другой тип ошибки: недостаточная статистическая мощность, если размер выборки n слишком мал. Например, отсутствие положительных при n = 2 образцах означает, что вероятность контаминации меньше 78% (с 95% доверительной вероятности). Один положительный из двух соответствует вероятности контаминации 2,5% или более, с той же доверительной вероятностью. Можно видеть, что для достижения значимо положительного утверждения при уровнях доверительной вероятности 95% или 99% минимальная вероятность p контаминации уменьшается с увеличением n:

и, соответственно, 5/n (точнее 2,996/n и 4,605/n). Из этого, в основном, следует, что если нужно получить вероятность контаминации p = 10% (при 95%), то необходимо взять более 30 образцов,

. Минимальный уровень p, таким образом, является показательным.
P.2. Предел определения
Применение правила Ассоциации AOAC к общему числу микроорганизмов позволяет получить значение

В данном стандарте априори используется пуассоновское распределение со значениями

и

, что дает

P.3. Объем образца
До сих пор объем образца не учитывался. При разделении образца на множество подобразцов и использовании всех их для определения наличия контаминации необходимо обнаружение по меньшей мере трех (или пяти) KOE во всем образце. Следовательно, вышеуказанные пределы можно представить в виде числа KOE для данного подобразца. Повторять выбор образца, пока не получатся, по меньшей мере три колонии для определения окончательной оценки объема.
В общем, полученный минимальный объем нужен для микробиологического определения; его также можно получить путем разбавления. Таким образом, теоретический предел L KOE на среде при разбавлении в конце концов, корректируется умножением на коэффициент разбавления k, т.е. получается kL. Например, L = 7 KOE/мг во взвеси с разбавлением 1 к 10 твердого образца соответствовал бы пределу L = 70 KOE/мг в твердом образце.
(обязательное)
УСТОЙЧИВАЯ ОЦЕНКА ДИСПЕРСИИ, ОСНОВАННАЯ
НА РЕКУРСИВНОЙ МЕДИАНЕ Sn
[9]
Таблица Q.1
Устойчивая оценка дисперсии, основанная на рекурсивной
медиане Sn
(обязательное)
ВЫЧИСЛЕНИЯ С ПОМОЩЬЮ МЕТОДА РЕГРЕССИИ
R.1. Обозначения и предварительные оценки
i - уровень (концентрации аналита), включая ноль, если не преобразован в логарифмы (i = от 1 до q);
q - число уровней;
j - одно повторение, проведенное альтернативным методом, а также стандартным методом (j = от 1 до n);
n - число повторений, одно и то же число для каждого уровня i;
N - число образцов (N = qn).
Априори используют ось x для стандартного метода и ось y для альтернативного метода. При необходимости можно сделать более адекватный выбор в
S.2.
R.1.1. Оценивают среднее значение уровня для каждого образца на этом испытуемом уровне для стандартного метода

и для альтернативного метода

.
Для каждого уровня образца i = от 1 до q

и

.
R.1.2. Вычисляют среднеквадратические отклонения повторяемости на каждом уровне:

для стандартного метода и

для альтернативного метода.
Среднеквадратические отклонения повторяемости на каждом уровне образцов от i = 1 до q:

, где

[аналогично].
R.1.3. Вычисляют глобальное среднеквадратическое отклонение повторяемости

на всех уровнях:

для стандартного метода и

для альтернативного. Глобальное среднеквадратическое отклонение повторяемости

всех уровней равно

, где

в пределах дисперсии;

, где

в пределах дисперсии.
R.1.4. Оценивают глобальные средние

и

обоих методов (i = от 1 до q уровней), как показано ниже:

и

.
Выбирают ортогональную линейную регрессию (см.
R.3, GMFR) или линейную регрессию обычных наименьших квадратов (см.
R.4, OLS <1>):
--------------------------------
<1> OLS - обычный метод наименьших квадратов.
Коэффициент выбора

.
- Если R > 2, продолжают использовать ось x (независимая переменная) для стандартного метода и затем используют оценки по методу OLS (S.4: х = ref).
- Если R < 1/2, используют ось x для альтернативного метода и ось y для стандартного и затем используют оценки по методу OLS (см. S.4: x = alt). Потом проводят замену всех оценок для x на оценки для y и наоборот, т.е.
Если 1/2 < R < 2 (случай квазиравной повторяемости по x и y), используют (ортогональные) оценки по методу GMFR (см.
R.3), сохраняя ось x за стандартным методом.
R.3. Ортогональная линейная регрессия (GMFR)
R.3.1. Глобальные среднеквадратические отклонения
Вычисляют глобальные среднеквадратические отклонения:

для стандартного метода и

для альтернативного метода, как показано:

, где


, где

R.3.2 Оценивают коэффициент корреляции r, как показано:

с ковариацией

R.3.3. Оценивают отсекаемый отрезок a и наклон b линии регрессии y = a + bx следующим образом:
Наклон

, отсекаемый отрезок

.
R.3.4. Путем регрессии оценивают остаточное среднеквадратическое отклонение

по точкам, вычисленным с помощью регрессии:
где
получено по точкам, вычисленным с помощью регрессии

; i = от 1 до q.
R.3.5. Оценивают среднеквадратическое отклонение

отсекаемого отрезка a и проверяют гипотезу a = 0.
Проверка гипотезы a = 0:

с (q - 2) степенями свободы;
По таблице Стьюдента получаем: p(t) = p{a = 0}; критическое значение

для двусторонней

.
R.3.6. Оценивают среднеквадратическое отклонение

наклона b и проверяют гипотезу b = 1.
Проверка гипотезы b = 1:

с (q - 2) степенями свободы;
По таблице Стьюдента получаем: p(t) = p{b = 1}; критическое значение

для двусторонней

.
Затем переходят к пункту R.4.
R.4. Линейная регрессия с использованием обычного метода наименьших квадратов (OLS) <1>
--------------------------------
<1> Статистические функции Excel, которые здесь используются: CORREL({x}; {y}) для коэффициента корреляции, COVAR({x}; {y}) для ковариации, но эта последняя функция смещена и умножается на n/(n - 1), где n = COUNT({y}), a SLOPE({y}; {x}) и INTERCEPT({y}; {x}), которые являются оценками для b и a, STEYX({y}; {x}) для остаточного SD на y, TDIST(t; df; tails) для вероятности t-распределения Стьюдента и FDIST(F; df1; df2; tails) для вероятности из F-распределения Snedecor-Fisher.
R.4.1. Глобальные среднеквадратические отклонения
где
где
R.4.2. Коэффициент корреляции
с ковариацией
R.4.3. Наклон

, отсекаемый отрезок

для линии регрессии y = a + bx.
R.4.4. Определяют остаточное среднеквадратическое отклонение
по точкам, оцененным с помощью регрессии

(к = 1 до N, N = qn).
R.4.5. Среднеквадратическое отклонение отсекаемого отрезка a:
Проверка гипотезы a = 0:

с (N - 2) степенями свободы.
По таблице Стьюдента получаем: p(t) = p{a = 0}; критическое значение

для двусторонней

.
R.4.6. Стандартное отклонение наклона b:
Проверка гипотезы b = 1:

с (N - 2) степенями свободы.
По таблице Стьюдента получаем: p(t) = p{b = 1}; критическое значение

для двусторонней

.
R.5 Критерий линейности (недостаточная подгонка) <1>
с

степенями свободы для числителя F и

для его знаменателя.
--------------------------------
<1> Эти сведения отсутствуют в Excel (см. ИСО 11095).
По F-таблице Снедекора можно получить

и критические значения F(p) для

, как показано в таблице R.1:
Таблица R.1.

и критические значения F(p) для

F crit | n = 2 | n = 5 |
q = 5 | 5,41 | 3,10 |
q = 6 | 4,53 | 2,78 |
Это соотношение нелинейно, если

или

.
R.6. Границы доверительного интервала (CL)
R.6.1. Границы доверительного интервала

расчетной точки <y> в любой точке x:

с

где t является значением из таблицы Стьюдента для двустороннего уровня доверительной вероятности

и (N - 2) степеней свободы.
R.6.2. Обратные доверительные пределы

при <x> для неизвестного образца y:

с s(<y>) при <x> = (y - a)/b и где t является значением из таблицы Стьюдента для двухстороннего уровня доверительной вероятности

и (N - 2) степеней свободы.
(обязательное)
ПРИМЕРЫ ВЫЧИСЛЕНИЙ ДЛЯ КОЛИЧЕСТВЕННЫХ МЕТОДОВ
S.1. Случай 1 - пример регрессии OLS (сравнение альтернативного метода со стандартным методом)
┌──┬──────────────────────────────────┬───────────────────────────────────┐
│N │ Стандартный метод │ Альтернативный метод │
│ ├─────────┬─────────┬──────┬───────┼─────────┬─────────┬──────┬────────┤
│ │Реплика 1│Реплика 2│ M │ S │Реплика 1│Реплика 2│ M │ Sd │
│ │ │ │ xi │ xi │ │ │ yi │ yi │
├──┼─────────┼─────────┼──────┼───────┼─────────┼─────────┼──────┼────────┤
│1 │ 4,073 │ 4,214 │4,143 │ 0,100 │ 4,342 │ 4,652 │4,497 │ 0,219 │
│2 │ 5,758 │ 5,778 │5,768 │ 0,014 │ 5,720 │ 6,289 │6,005 │ 0,402 │
│3 │ 6,828 │ 6,816 │6,822 │ 0,008 │ 6,227 │ 6,252 │6,239 │ 0,018 │
│4 │ 6,992 │ 7,000 │6,996 │ 0,006 │ 6,737 │ 7,719 │7,228 │ 0,694 │
│5 │ 7,856 │ 7,737 │7,796 │ 0,084 │ 6,976 │ 7,932 │7,454 │ 0,676 │
├──┴─────────┴─────────┴──────┴───────┼─────────┴─────────┴──────┴────────┤
│ MED = 6,822 0,014│ MED = 6,239 0,402│
│ Устойчивая Swx = 0,021│ Устойчивая Swx = 0,596│
└─────────────────────────────────────┴───────────────────────────────────┘
q (уровней) = 5
n (реплик) = 2

v(df) = 3
Пример. Стандартный метод на оси x, классическая регрессия y(x).
Регрессия: сравнение альтернативного метода со стандартным
Из меню Excel: Tools/Data analysis/Regression (Инструменты/анализ данных/Регрессия)
┌──────────────────┬────────────┬──────────────────────────┬──────────────┐
│ Методы N │ Стандартный│ Альтернативный Y │Y=STDEV(Y1:Y2)│
│ │ ├─────────────┬────────────┤ │
│ │ │ Реплика 1 │ Реплика 1 │ │
├─────────┬────────┼────────────┼─────────────┼────────────┼──────────────┤
│Первая │ 1 │ 4,143 │ 4,342 │ 4,652 │ 0,219 │
│реплика │ │ │ │ │ │
│ ├────────┼────────────┼─────────────┼────────────┼──────────────┤
│Реплика 1│ 2 │ 5,768 │ 5,720 │ 6,289 │ 0,402 │
│ ├────────┼────────────┼─────────────┼────────────┼──────────────┤
│ │ 3 │ 6,822 │ 6,227 │ 6,252 │ 0,018 │
│ ├────────┼────────────┼─────────────┼────────────┼──────────────┤
│ │ 4 │ 6,996 │ 6,737 │ 7,719 │ 0,694 │
│ ├────────┼────────────┼─────────────┼────────────┼──────────────┤
│ │ 5 │ 7,796 │ 6,976 │ 7,932 │ 0,676 │
├─────────┼────────┼────────────┼─────────────┼────────────┴──────────────┤
│Вторая │ 1 │ 4,143 │ 4,652 │Устойчивая s = 0,596 │
│реплика │ │ │ │ wy │
│ ├────────┼────────────┼─────────────┼───────────────────────────┤
│Реплика 2│ 2 │ 5,768 │ 6,289 │ │
│ ├────────┼────────────┼─────────────┤ │
│ │ │ │ │= 1,4826 * MEDIAN ({s }) │
│ ├────────┼────────────┼─────────────┤ w │
│ │ 3 │ 6,822 │ 6,252 │ │
│ ├────────┼────────────┼─────────────┤ │
│ │ 4 │ 6,996 │ 7,719 │ │
│ ├────────┼────────────┼─────────────┤ │
│ │ 5 │ 7,796 │ 7,932 │ │
└─────────┴────────┴────────────┴─────────────┴───────────────────────────┘
Для использования инструментов регрессионного анализа:
a:) копируют все {x};
b:) копируют {y} Реплика 2;
c:) используют только два первых столбца, для {x} и {y}.
Сводка выходных данных
┌────────────────────────────────────────────────────────────────┐
│ Регрессионная статистика │
├───────────────────────────────────┬────────────────────────────┤
│Множественный R │ 0,9177 │
├───────────────────────────────────┼────────────────────────────┤
│R квадрат │ 0,8422 │
├───────────────────────────────────┼────────────────────────────┤
│Нормированный R квадрат │ 0,8225 │
├───────────────────────────────────┼────────────────────────────┤
│Стандартная ошибка │ 0,491 │ = Sr
├───────────────────────────────────┼────────────────────────────┤
│Наблюдения │ 10 │ N = qn
└───────────────────────────────────┴────────────────────────────┘
n = 2 реплики
q = 5 уровней
Дисперсионный анализ
| df | SS | MS | F | Значимость F |
Регрессия | 1 | 10,287 | 10,287 | 42,701 | -4 1,8 x 10 |
Остаток (v df) | 8 | 1,927 | 0,241 | | |
Итого | 9 | 12,214 | | | |
| Коэффици- енты | Стандартная ошибка | t- статистика | P- значение | Нижние 95% | Верхние 95% |
Пересечение (а) | 1,207 | 0,792 | 1,523 | 0,166 | -0,620 | 3,034 |
X Пересечение 1 (b) | 0,805 | 0,123 | 6,535 | 1,8 x -4 x 10 | 0,521 | 1,089 |
95% доверительный интервал включает a = 0 и b = 1.
Несогласованность (нелинейность):
v1(df num) = 3 = q - 2 (для числителя);
v2(df den) = 5 = q(n - 1) (для знаменателя);
устойчивое

;
p(устойч. F) = 0,931 = FDIST(F:v1:v2).
Выводы: нет достаточной точности, так как 0,52 < b < 1,09 и - 0,6 < a < 3,0, и линейности (p = 0,931)
График линейной подгонки
Рисунок S.1
График остатков
Рисунок S.2
График нормального распределения
Рисунок S.3
S.2. Случай 2 - Пример GMFR / ортогональной регрессии
Регрессия: сравнение альтернативного метода со стандартным
┌─┬───────────────────────────┬───────────────────────────────┬───────────┐
│N│ Стандартный метод │ Альтернативный метод │ Оценка │
│ │ │ │ остатков │
│ ├───────┬───────┬─────┬─────┼───────┬───────┬───────┬───────┼─────┬─────┤
│ │Реплика│Реплика│ M │ s │Реплика│Реплика│ M │ s │ Y │ По y│
│ │1 │2 │ xi │ xi │1 │2 │ yi │ Dyi │ │ │
├─┼───────┼───────┼─────┼─────┼───────┼───────┼───────┼───────┼─────┼─────┤
│1│ 3,126 │ 5,161 │4,143│1,439│ 4,342 │ 4,652 │ 4,497 │ 0,219 │4,479│0,018│
├─┼───────┼───────┼─────┼─────┼───────┼───────┼───────┼───────┼─────┼─────┤
│2│ 5,623 │ 5,914 │5,768│0,206│ 5,720 │ 6,289 │ 6,005 │ 0,402 │5,836│0,169│
├─┼───────┼───────┼─────┼─────┼───────┼───────┼───────┼───────┼─────┼─────┤
│3│ 6,908 │ 6,736 │6,822│0,121│ 6,227 │ 6,252 │ 6,239 │ 0,018 │6,716│0,477│
├─┼───────┼───────┼─────┼─────┼───────┼───────┼───────┼───────┼─────┼─────┤
│4│ 6,939 │ 7,053 │6,996│0,081│ 6,737 │ 7,719 │ 7,228 │ 0,694 │6,862│0,366│
├─┼───────┼───────┼─────┼─────┼───────┼───────┼───────┼───────┼─────┼─────┤
│5│ 8,657 │ 6,936 │7,796│1,217│ 6,976 │ 7,932 │ 7,454 │ 0,676 │7,530│0,076│
├─┴───────┴───────┴─────┴─────┴───────┴───────┴───────┴───────┴─────┴─────┤
│s(Mx) = 1,408 s(My) = 1,176 │
│М = 6,305 М = 6,285 М = 0,000 │
│MED = 6,882 0,206 MED = 6,239 0,402 │
│устойчивый s = 0,305 устойчивый Sd = 0,596 │
│ wx wy │
│ │
│q (уровней) = 5 │
│n (реплик) = 2 Sd / s = 1,95 │
│ wy wx │
│v (df) = 3 │
└─────────────────────────────────────────────────────────────────────────┘
Выбор: стандартный метод по оси x, ортогональная регрессия
r(М) = 0,9642 Sr(M) = 0,363
Sr(y) = 0,514
| s | t:H | p(t:H) | H |
b = 0,835 | 0,129 | 1,277 | 0,291 | 1 |
a = 1,019 | 0,830 | 1,228 | 0,307 | 0 |
Недостаточная подгонка (нелинейность):
v1(df num) = 3 = q - 2;
v2(df den) = 5 = q(n - 1);
уст.

;
p(уст. F) = 0,8144 = FDIST(F:v1:v2).
График линейной подгонки
Рисунок S.4
График остатков
Рисунок S.5
(обязательное)
СОВМЕСТНОЕ ИССЛЕДОВАНИЕ - РЕЗУЛЬТАТЫ КРУГОВЫХ ИСПЫТАНИЙ
НА ДУПЛИКАТАХ
R = 2 реплики
Число лабораторий, n = 16
─────────────┬───────────────┬───────────────┬─────────────┬───────────────
Лаборатории │ Реплика 1 │ Реплика 2 │ M │ Sw
─────────────┴───────────────┴───────────────┴─────────────┴───────────────
1 4,30 6,18 5,24 1,33
2 5,60 6,00 5,80 0,28
3 5,60 4,70 5,15 0,64
4 6,72 4,74 5,73 1,40
5 7,06 6,25 6,66 0,57
6 4,70 3,30 4,00 0,99
7 3,30 3,30 3,30 0,00
8 7,55 4,60 6,08 2,09
9 4,26 3,30 3,78 0,68
10 5,60 6,01 5,81 0,29
11 5,00 5,70 5,35 0,49
12 8,76 7,08 7,92 1,19
13 6,26 5,60 5,93 0,47
14 6,79 3,30 5,05 2,47
15 3,30 6,43 4,87 2,21
16 3,30 4,76 4,03 1,03
───────────────────────────────────────────────────────────────────────────
MIN= 3,30 3,30 0,00
MAX= 8,76 7,92 2,47
MEDIAN{...} Med = 5,30 0,83
По Sn устойчивое


устойчивое s(r) = 1,24

устойчивое

───────────────────────────────────────────────────────────────────────────
(справочное)
СПИСОК ОБОЗНАЧЕНИЙ И СОКРАЩЕНИЙ
AC - относительная точность.
CI - доверительный интервал.
CL - граница доверительного интервала.
FP - ложноположительный.
LC - критический уровень.
LOD - предел обнаружения.
LOQ - предел количественного определения
NA - отрицательное согласование.
ND - отрицательное отклонение.
PA - положительное согласование.
PD - положительное отклонение.
r - предел повторяемости.
R - предел воспроизводимости.

- относительное среднеквадратическое отклонение повторяемости.

- относительное среднеквадратическое отклонение воспроизводимости.

- среднеквадратическое отклонение повторяемости.

- среднеквадратическое отклонение воспроизводимости.
SE - относительная чувствительность.
SP - относительная специфичность.
TP - истинно положительный.
(обязательное)
СВЕДЕНИЯ О СООТВЕТСТВИИ ССЫЛОЧНЫХ МЕЖДУНАРОДНЫХ СТАНДАРТОВ
НАЦИОНАЛЬНЫМ СТАНДАРТАМ РОССИЙСКОЙ ФЕДЕРАЦИИ
Таблица V.1
Сведения о соответствии национальных стандартов
Российской Федерации ссылочным международным стандартам
┌────────────────┬────────┬───────────────────────────────────────────────┐
│ Обозначение │Степень │ Обозначение и наименование │
│ ссылочного │соответ-│ соответствующего национального │
│ международного │ ствия │ стандарта │
│ стандарта │ │ │
├────────────────┼────────┼───────────────────────────────────────────────┤
│ │ │прецизионность) методов и результатов│
│ │ │измерений. Часть 1. Основные положения и│
│ │ │определения │
├────────────────┼────────┼───────────────────────────────────────────────┤
│ │ │прецизионность) методов и результатов│
│ │ │измерений. Часть 2. Основной метод определения│
│ │ │повторяемости и воспроизводимости стандартного│
│ │ │метода измерений │
├────────────────┼────────┼───────────────────────────────────────────────┤
│ │ │прецизионность) методов и результатов│
│ │ │измерений. Часть 3. Промежуточные показатели│
│ │ │прецизионности стандартного метода измерений │
├────────────────┼────────┼───────────────────────────────────────────────┤
│ │ │прецизионность) методов и результатов│
│ │ │измерений. Часть 4. Основные методы определения│
│ │ │правильности стандартного метода измерений │
├────────────────┼────────┼───────────────────────────────────────────────┤
│ │ │прецизионность) методов и результатов│
│ │ │измерений. Часть 5. Альтернативные методы│
│ │ │определения прецизионности стандартного метода│
│ │ │измерений │
├────────────────┼────────┼───────────────────────────────────────────────┤
│ │ │прецизионность) методов и результатов│
│ │ │измерений. Часть 6. Использование значений│
│ │ │точности на практике │
├────────────────┼────────┼───────────────────────────────────────────────┤
│ │ │качества. Основные положения и словарь │
├────────────────┼────────┼───────────────────────────────────────────────┤
│ │ │Статистические методы. Вероятность и основы│
│ │ │статистики. Термины и определения │
├────────────────┼────────┼───────────────────────────────────────────────┤
│ │ │Линейная калибровка с использованием образцов│
│ │ │сравнения │
├────────────────┼────────┼───────────────────────────────────────────────┤
ИС МЕГАНОРМ: примечание.
В тексте документа, видимо, допущена опечатка: ГОСТ Р ИСО/МЭК
17025-2006 "Общие требования к компетентности испытательных и калибровочных
лабораторий" идентичен международному стандарту ИСО/МЭК 17025:2005, а не
ИСО/ИЕС 17025:2001.
│17025:2001 │ │компетентности испытательных и калибровочных│
│ │ │лабораторий │
├────────────────┼────────┼───────────────────────────────────────────────┤
│ИСО/ТС │
* │ИСО/ТС 11133-1-2008 Микробиология пищевых│
│11133-1:2000 │ │продуктов и кормов для животных. Руководство по│
│ │ │подготовке и производству культуральных сред.│
│ │ │Часть 1. Общее руководство по обеспечению│
│ │ │качества подготовки культуральных сред в│
│ │ │лаборатории │
├────────────────┴────────┴───────────────────────────────────────────────┤
│ * Соответствующий национальный стандарт отсутствует. До его│
│утверждения рекомендуется использовать перевод на русский язык данного│
│международного стандарта. Перевод данного международного стандарта│
│находится в Федеральном информационном фонде технических регламентов│
│и стандартов. │
│ Примечание: в настоящей таблице использованы следующие условные│
│обозначения степени соответствия стандартов: │
│ - IDT - идентичные стандарты. │
└─────────────────────────────────────────────────────────────────────────┘
[I] EN ISO 9001, Quality management systems - Requirements (ISO 9001:2000)
[2] EN ISO/IEC 17025, General requirements for the competence of testing
and calibration laboratories (ISO/IEC 17025:1999)
[3] ISO 11095, Linearcalibration using reference materials
[4] C.Clayton, J.Hines, P.Elkins, Detection limits with specified
assurance probabilities, Anal. Chem. (1987), 59, 2606-2514
[5] D.Coleman, J.Auses, N.Grams, Regulation - From an industry
perspective or Relationships between detection limits, quantation
limits, and significant digits Chermometrics & Intell. Lab. Syst.
(1997), 37, 71-80
[6] L.A. Currie, Limits for qualitative detection and quantative
determination: Application to radiochemistry, Anal. Chem. (1968), 40,
586-593
[7] DRAPER Norman R., YANG Younghong(Fred); Generalization of the
geometric mean functional relationship, Comput. Statist. & Data
Anal. (1997), 23, 355-372
[8] A.Hubaux, G.Vos, Decisin and detection limits for linear calibration
curves, Anal.Chem. (1970), 42, 8, 849-855
[9] Rousseeuw Peter J., Croux Christophe, Alternatives to the median
absolute deviation, JASA88, (1993), 424, 1273-1283
[10] Gopal K. Kanji, Statistical tests, Sage publication, (1993)
[11] MicroVal Rules and Certificatin Scheme (1998), published by the Micro
Val secretariat NEN. Nederlands Normalisatie-instituut (NEN)
Vinderweg 6 P.O. Box 5059, 2600 GB Delft, Netherlands
[12] Langton, SD, Chevenment, R., Nagelkerke, N., and Lombard,
B: Analyzing collaborative trials for qualitative microbiological
methods: accordance concordance, Internatinal Journal of Food
Microbiology (in press)