Главная // Актуальные документы // ГОСТ Р (Государственный стандарт)СПРАВКА
Источник публикации
М.: Стандартинформ, 2011
Примечание к документу
Документ утратил силу с 1 января 2015 года в связи с изданием
Приказа Росстандарта от 30.12.2013 N 2379-ст. Взамен введен в действие
ГОСТ 8.292-2013.
Документ
введен в действие с 1 января 2012 года.
Название документа
"ГОСТ Р 8.709-2010. Национальный стандарт Российской Федерации. Государственная система обеспечения единства измерений. Кондуктометры жидкости лабораторные. Методика поверки"
(утв. и введен в действие Приказом Росстандарта от 25.11.2010 N 519-ст)
"ГОСТ Р 8.709-2010. Национальный стандарт Российской Федерации. Государственная система обеспечения единства измерений. Кондуктометры жидкости лабораторные. Методика поверки"
(утв. и введен в действие Приказом Росстандарта от 25.11.2010 N 519-ст)
Утвержден и введен в действие
агентства по техническому
регулированию и метрологии
от 25 ноября 2010 г. N 519-ст
НАЦИОНАЛЬНЫЙ СТАНДАРТ РОССИЙСКОЙ ФЕДЕРАЦИИ
ГОСУДАРСТВЕННАЯ СИСТЕМА ОБЕСПЕЧЕНИЯ ЕДИНСТВА ИЗМЕРЕНИЙ
КОНДУКТОМЕТРЫ ЖИДКОСТИ ЛАБОРАТОРНЫЕ
МЕТОДИКА ПОВЕРКИ
State system for ensuring the uniformity of measurements.
Laboratory conductometers of liquid.
Methods of verification
ГОСТ Р 8.709-2010
Группа Т88.5
Дата введения
1 января 2012 года
Цели и принципы стандартизации в Российской Федерации установлены Федеральным
законом от 27 декабря 2002 г. N 184-ФЗ "О техническом регулировании", а правила применения национальных стандартов Российской Федерации -
ГОСТ Р 1.0-2004 "Стандартизация в Российской Федерации. Основные положения".
1. Разработан Федеральным государственным унитарным предприятием "Всероссийский научно-исследовательский институт метрологии им. Д.И. Менделеева" (ФГУП "ВНИИМ им. Д.И. Менделеева") Федерального агентства по техническому регулированию и метрологии.
2. Внесен Управлением метрологии Федерального агентства по техническому регулированию и метрологии.
3. Утвержден и введен в действие
Приказом Федерального агентства по техническому регулированию и метрологии от 25 ноября 2010 г. N 519-ст.
4. Введен впервые.
Информация об изменениях к настоящему стандарту публикуется в ежегодно издаваемом информационном указателе "Национальные стандарты", а текст изменений и поправок - в ежемесячно издаваемых информационных указателях "Национальные стандарты". В случае пересмотра (замены) или отмены настоящего стандарта соответствующее уведомление будет опубликовано в ежемесячно издаваемом информационном указателе "Национальные стандарты". Соответствующая информация, уведомление и тексты размещаются также в информационной системе общего пользования - на официальном сайте Федерального агентства по техническому регулированию и метрологии в сети Интернет.
Настоящий стандарт распространяется на лабораторные кондуктометры жидкости и кондуктометрические установки, в том числе кондуктометрические преобразователи (далее - кондуктометры), предназначенные для измерения удельной электрической проводимости жидкостей в диапазоне от

до 50 См/м с пределами допускаемой основной относительной или приведенной погрешности +/- 0,25% и более, и устанавливает методику их первичной и периодической поверок.
Стандарт распространяется также на лабораторные кондуктометры для измерения удельной электрической проводимости жидкостей в диапазоне от

до 100 См/м, в конструкции которых предусмотрена возможность подключения мер электрического сопротивления или электрической проводимости.
В настоящем стандарте использованы нормативные ссылки на следующие стандарты:
ГОСТ 8.395-80. Государственная система обеспечения единства измерений. Нормальные условия измерений при поверке. Общие требования
ГОСТ 12.1.004-91. Система стандартов безопасности труда. Пожарная безопасность. Общие требования
ГОСТ 26.011-80. Средства измерений и автоматизации. Сигналы тока и напряжения электрические непрерывные входные и выходные
ГОСТ 8711-93 (МЭК 51-2-84). Приборы аналоговые показывающие электроизмерительные прямого действия и вспомогательные части к ним. Часть 2. Особые требования к амперметрам и вольтметрам
ГОСТ 13646-68. Термометры стеклянные ртутные для точных измерений. Технические условия
ГОСТ 22261-94. Средства измерений электрических и магнитных величин. Общие технические условия.
Примечание. При пользовании настоящим стандартом целесообразно проверить действие ссылочных стандартов в информационной системе общего пользования - на официальном сайте Федерального агентства по техническому регулированию и метрологии в сети Интернет или по ежегодно издаваемому информационному указателю "Национальные стандарты", который опубликован по состоянию на 1 января текущего года, и по соответствующим ежемесячно издаваемым информационным указателям, опубликованным в текущем году. Если ссылочный стандарт заменен (изменен), то при пользовании настоящим стандартом следует руководствоваться заменяющим (измененным) стандартом. Если ссылочный стандарт отменен без замены, то положение, в котором дана ссылка на него, применяется в части, не затрагивающей эту ссылку.
При проведении первичной и периодических поверок должны быть выполнены следующие операции:
- определение основной погрешности (
7.3,
7.4).
4.1. При проведении поверки применяют следующие средства поверки:
- лабораторный автоматизированный кондуктометр типа КЛ-4 "Импульс" по техническим условиям
[1] или другого типа с диапазоном измерений от

до 150 См/м и пределом допускаемой основной относительной погрешности +/- 0,25%, аттестованный в качестве рабочего эталона 2-го разряда;
- вольтметры и миллиамперметры по
ГОСТ 22261 и
ГОСТ 8711, обеспечивающие измерение напряжения и силы постоянного тока в диапазонах, установленных ГОСТ 26.011, класса точности не ниже 0,05 - 0,4;
- термостат КРИОВИСТ-07 типа СЖМЛ-19/2,5-И1 или другого типа, обеспечивающий диапазон регулирования температуры от 0 °C до 90 °C, допустимое отклонение температуры в зависимости от класса точности кондуктометра +/- 0,02 °C и +/- 0,1 °C и имеющий выход для подключения выносной термостатирующей ванны;
- выносную термостатирующую ванну, имеющую не менее двух мест для размещения первичных преобразователей образцового и поверяемого кондуктометров, с допускаемой разностью температур в местах размещения первичных преобразователей не более 0,02 °C или 0,1 °C;
- точный термометр группы N 6 или N 7 с диапазонами измерений от 20 °C до 24 °C и от 24 °C до 28 °C соответственно, ценой деления шкалы 0,01 °C;
- ртутные стеклянные лабораторные термометры типа ТЛ-4 N 2 и N 3 по
ГОСТ 13646 с пределами измерений от 0 °C до 55 °C и от 50 °C до 105 °C соответственно, ценой деления шкалы 0,1 °C;
- поверочные растворы, приготовленные по рекомендациям
[2], либо государственный стандартный образец (ГСО) удельной электрической проводимости водных сред (ГСО 7374-97/7378-97, ГСО 7853-2000);
4.2. Соотношение пределов допускаемых относительных или абсолютных погрешностей средств поверки и поверяемых кондуктометров должно быть не более 1:3 при поверке кондуктометров с пределами допускаемой основной погрешности +/- 0,6% и более и не более 1:2 - при поверке кондуктометров с пределами допускаемой основной погрешности менее +/- 0,6%.
При поверке кондуктометрических преобразователей, имеющих выходные электрические сигналы, за погрешность средств поверки принимают сумму пределов допускаемых погрешностей эталонного кондуктометра и прибора, измеряющего выходной сигнал.
4.3. Допускается применять другие средства поверки, по метрологическим характеристикам не уступающие приведенным в настоящем стандарте.
5. Требования безопасности
При проведении поверки соблюдают меры безопасности в соответствии с требованиями руководства по эксплуатации на поверяемые кондуктометры и средства поверки.
Помещения, в которых проводят работы с поверочными растворами, должны быть оборудованы устройствами приточно-вытяжной вентиляции и вытяжными шкафами в соответствии с требованиями
ГОСТ 12.1.004.
При работе с поверочными растворами применяют индивидуальные средства защиты по типовым отраслевым нормам, утвержденным в установленном порядке.
Помещение, в котором проводят работы с поверочными растворами, должно быть обеспечено подводом проточной питьевой воды.
Использованные поверочные растворы сливают только в специально подготовленную посуду с крышками. Не допускается слив поверочных растворов в общую канализационную сеть.
6. Условия поверки и подготовка к ней
При проведении поверки должны быть соблюдены нормальные условия по
ГОСТ 8.395:
- температура окружающего воздуха от 15 °C до 25 °C;
- относительная влажность воздуха от 30% до 80%;
- атмосферное давление от 84 до 106 кПа;
- напряжение питания (220 +/- 4,4) В.
Перед проведением поверки выполняют следующие работы:
- приготавливают поверочные растворы по рекомендациям
[2] в количестве, необходимом для проведения всего объема измерений при поверке;
- термостат и выносную термостатирующую ванну соединяют между собой трубопроводами и заполняют дистиллированной водой;
- средства поверки и поверяемые кондуктометры подготавливают к работе в соответствии с требованиями руководств по эксплуатации на них, в том числе проводят проверку и регулировку поверяемых кондуктометров, предусмотренные в качестве мер их профилактического обслуживания;
- к выходу кондуктометрических преобразователей подключают соответствующий прибор;
- задают на термостате требуемую температуру и включают его;
- средства поверки и поверяемый кондуктометр прогревают в течение времени, указанного в руководстве по эксплуатации, но не менее чем за 30 мин.
При внешнем осмотре устанавливают соответствие поверяемого кондуктометра следующим требованиям:
- кондуктометр должен быть представлен на поверку с паспортом (формуляром) и руководством по эксплуатации, а также со свидетельством о предыдущей поверке;
- комплектность кондуктометра при периодической поверке должна соответствовать комплектности, указанной в паспорте. При первичной поверке после ремонта допускается несоответствие по запасным частям;
- эталонный кондуктометр должен иметь неповрежденное клеймо или пломбу предприятия-изготовителя или поверяющей организации; в случае повреждения клейма (пломбы) должен быть представлен акт с указанием причин повреждения.
Кондуктометр не должен иметь следующих внешних дефектов:
- неисправности органов управления, разъемов, зажимов, клемм, штуцеров, соединительных проводов, кабелей, трубопроводов;
- загрязненности циферблатов и цифровых табло;
- нечеткости надписей и маркировок;
- повреждения корпуса и выходящих наружу конструктивных элементов;
- утечки жидкости из внутренних полостей первичных преобразователей.
При опробовании кондуктометра проверяют:
- возможность установки органов управления и настройки в любом из предусмотренных положений, плавность хода, отсутствие заеданий и надежность фиксации в установленном положении;
- исправность устройств сигнализации включения кондуктометра в сеть питания и соответствие значения номинального тока предохранителя требуемому значению;
- техническое состояние кондуктометра по другим параметрам в соответствии с руководством по эксплуатации на него.
7.3. Определение основной погрешности
7.3.1. Основную погрешность определяют методом прямого сличения результатов измерения удельной электрической проводимости одних и тех же контрольных растворов при использовании поверяемого и эталонного кондуктометров.
7.3.2. Основную погрешность определяют не менее чем в трех точках каждого диапазона (поддиапазона) кондуктометра, расположенных на начальном 10% - 30%, среднем 40% - 60% и конечном 70% - 90% участках диапазона (поддиапазона) измерений; для кондуктометров с отношением верхних пределов измерений к нижнему в диапазонах (поддиапазонах) измерений более 10:1 и с нормированной относительной погрешностью число поверяемых точек должно быть не менее трех в каждом десятичном разряде диапазона (поддиапазона) измерений.
В каждой из поверяемых точек проводят не менее трех измерений удельной электрической проводимости при поверке кондуктометров, для которых нормирована основная погрешность, и не менее пяти измерений при поверке кондуктометров, для которых нормированы составляющие (систематическая и случайная) погрешности. Перед каждым измерением обеспечивают существенное изменение показаний (выходного сигнала) поверяемого кондуктометра. Этого добиваются, заменяя пробы одного и того же поверочного раствора для кондуктометров с заполняемыми и проточными преобразователями, или переключением поддиапазона измерений, причем интервал времени между последующими измерениями должен быть не менее 5 мин.
7.3.3. При поверке кондуктометров с пределами допускаемых значений основной погрешности более +/- 1,0% разрешается не учитывать при оценке погрешности результаты первых двух измерений, если они отличаются друг от друга и (или) от результатов последующих измерений более чем на два предела допускаемых значений основной погрешности; при этом общее число измерений должно быть увеличено на число неучтенных.
7.3.4. Перед измерением первичные преобразователи эталонного и поверяемого кондуктометров промывают контрольным раствором, подлежащим измерению, в порядке, указанном в руководствах по эксплуатации на кондуктометры.
Основную погрешность кондуктометра определяют со всеми первичными преобразователями, входящими в комплект поставки (кроме запасных, применение которых требует обязательной настройки кондуктометра).
Допускаемая разность температур контрольного раствора в первичных преобразователях эталонного и поверяемого кондуктометров не должна превышать:
- 0,02 °C - для кондуктометров с пределами допускаемых значений основной погрешности (или ее систематической составляющей) менее +/- 1,0%;
- 0,1 °C - для кондуктометров с пределами допускаемых значений основной погрешности (или ее систематической составляющей) +/- 1,0% и более.
При поверке кондуктометров с термокомпенсацией температура контрольного раствора в первичных преобразователях эталонного и поверяемого кондуктометров должна быть 25 °C с допустимыми отклонениями для поверяемого кондуктометра, соответствующими отклонениям для нормальных условий, указанных в руководстве по эксплуатации на него, для эталонного (не имеющего термокомпенсации) - в пределах +/- 0,02 °C или +/- 0,1 °C.
Измерение удельной электрической проводимости (отсчет показаний) проводят при установлении стабильной температуры контрольного раствора в первичных преобразователях, о чем свидетельствует постоянство показаний (выходного сигнала) кондуктометров в течение времени, достаточного для снятия показаний, но не менее 1 мин. При этом время, необходимое для выполнения одного измерения, не должно превышать 30 мин.
Показания кондуктометров с аналоговыми отсчетными устройствами отсчитывают с округлением до 0,5 цены деления шкалы, что составляет погрешность отсчета не более +/- 0,25 цены деления шкалы.
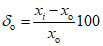
7.3.5. Значения основной погрешности

, %, вычисляют по формуле

, (1)
где

- наибольший результат измерений из всех полученных результатов измерений на i-й отметке шкалы поверяемым кондуктометром при измерении удельной электрической проводимости поверочного раствора, См/м;

- значение удельной электрической проводимости поверочного раствора на i-й отметке шкалы, измеренное эталонным кондуктометром и принятое за действительное, См/м.
Значение основной погрешности в приведенной форме

, %, вычисляют по формуле

, (2)
где

- нормирующее значение удельной электрической проводимости, указанное в руководстве по эксплуатации на поверяемый кондуктометр, См/м;

- наибольшая разность по всей шкале кондуктометра, См/м.
Значение основной погрешности не должно превышать допускаемых значений, указанных в руководстве по эксплуатации поверяемого кондуктометра.
7.4. Определение основной погрешности поэлементным методом
7.4.1. Основную погрешность в диапазоне удельной электрической проводимости (УЭП) более чем 30 См/м и менее чем

определяют с помощью электрических имитаторов (мер сопротивления) поэлементно: определяют основную погрешность измерительного блока анализатора и постоянную первичного преобразователя.
7.4.2. Заменяют первичный преобразователь анализатора магазином сопротивления и подбором сопротивления на нем добиваются показания измерительного блока анализатора, соответствующего показанию эталонного кондуктометра.
Постоянную первичного преобразователя кондуктометра

,

, вычисляют по формуле

, (3)
где

- значение УЭП по эталонному кондуктометру, См/м;

- значение имитирующего сопротивления, Ом.
За постоянную первичного преобразователя кондуктометра принимают среднее арифметическое значение результатов трех измерений.
Относительную погрешность определения постоянной первичного преобразователя

, %, кондуктометра вычисляют по формуле

, (4)
где

- значение постоянной первичного преобразователя, рассчитанное по
формуле (3),

;

- значение постоянной, указанное в руководстве по эксплуатации на кондуктометр,

.
Значение

не должно превышать значения, указанного в руководстве по эксплуатации.
7.4.3. Основную погрешность измерительного блока кондуктометра определяют методом замещения первичного преобразователя имитирующим сопротивлением (мерой сопротивления или проводимости) 20%, 50% и 80% каждого диапазона (поддиапазона) кондуктометра.
7.4.4. Значение основной погрешности измерительного блока кондуктометра не должно превышать значения, указанного в руководстве по эксплуатации.
8. Оформление результатов поверки
8.1. Результаты поверки вносят в протокол, форма которого приведена в
Приложении А.
8.2. Положительные результаты поверки кондуктометра оформляют выдачей свидетельств о поверке по
правилам [3], отметкой в паспорте или нанесением оттиска поверительного клейма на кондуктометр.
8.3. Кондуктометр, не удовлетворяющий требованиям настоящего стандарта, к выпуску и применению не допускают, поверительное клеймо гасят, свидетельство о поверке аннулируют и выдают извещение о непригодности с указанием причин по
правилам [3].
(справочное)
ПРОТОКОЛ N
первичной поверки _________________________________________________________
периодической наименование кондуктометра
типа ________________________________________________, N _________________,
принадлежащего ____________________________________________________________
наименование предприятия, организации,
___________________________________________________________________________
заполняют при первичной поверке
Диапазон измерений ________________________________________________________
Предел допускаемого значения основной погрешности _________________________
Примененные средства поверки
Наименование, тип | Заводской номер | Класс точности, пределы допускаемой погрешности | Сведения о прохождении поверки | Другие характеристики и уточнения |
| | | | |
Условия проведения поверки
Температура окружающего воздуха _________________ °C
Относительная влажность воздуха _________________ %
Атмосферное давление ____________________________ кПа
Напряжение питания ______________________________ В
1. Внешний осмотр _________________________________________________________
___________________________________________________________________________
2. Опробование ____________________________________________________________
___________________________________________________________________________
3. Определение основной погрешности _______________________________________
Поверяемый участок диапазона измерений, См/м |  , См/м |  , См/м |  , См/м |  , %  , % |
| | | | |
4. Заключение _____________________________________________________________
прибор годен, забракован, указать причину
___________________________________________________________________________
Поверку провел _____________________ _______________________
подпись инициалы, фамилия
"___" ____________ 20__ г.
[1] Технические условия Кондуктометр лабораторный
ТУ 6-5Ж2.840.047ТУ-89 автоматизированный КЛ-4 "Импульс"
[2] Рекомендации по метрологии Государственная система обеспечения
удельной электрической проводимости
жидкостей. Методика приготовления
и первичной поверки
[3]
Правила по метрологии Государственная система обеспечения
ПР 50.2.006-94 единства о измерений. Порядок проведения
поверки средств измерений.