Главная // Актуальные документы // МетодикаСПРАВКА
Источник публикации
Документ опубликован не был
Примечание к документу
Документ введен в действие с 01.07.2002.
Название документа
"Р 50.2.021-2002. Рекомендации по метрологии. Государственная система обеспечения единства измерений. Эталонные растворы удельной электрической проводимости жидкостей. Методика приготовления и первичной поверки"
(приняты и введены в действие Постановлением Госстандарта России от 04.03.2002 N 84-ст)
"Р 50.2.021-2002. Рекомендации по метрологии. Государственная система обеспечения единства измерений. Эталонные растворы удельной электрической проводимости жидкостей. Методика приготовления и первичной поверки"
(приняты и введены в действие Постановлением Госстандарта России от 04.03.2002 N 84-ст)
Приняты и введены в действие
от 4 марта 2002 г. N 84-ст
РЕКОМЕНДАЦИИ ПО МЕТРОЛОГИИ
ГОСУДАРСТВЕННАЯ СИСТЕМА ОБЕСПЕЧЕНИЯ ЕДИНСТВА ИЗМЕРЕНИЙ
ЭТАЛОННЫЕ РАСТВОРЫ
УДЕЛЬНОЙ ЭЛЕКТРИЧЕСКОЙ ПРОВОДИМОСТИ ЖИДКОСТЕЙ
МЕТОДИКА ПРИГОТОВЛЕНИЯ И ПЕРВИЧНОЙ ПОВЕРКИ
Р 50.2.021-2002
Группа Т88.8
1 | РАЗРАБОТАНЫ | Государственным предприятием "Всероссийский научно-исследовательский институт физико-технических и радиотехнических измерений" (ГП "ВНИИФТРИ") Госстандарта России |
ВНЕСЕНЫ | Управлением метрологии Госстандарта России |
2 | ПРИНЯТЫ И ВВЕДЕНЫ В ДЕЙСТВИЕ Постановлением Госстандарта России от 04 марта 2002 г., N 84-ст |
3 | ВВЕДЕНЫ ВПЕРВЫЕ |
Настоящие рекомендации распространяются на эталонные растворы, применяемые в качестве рабочих эталонов или контрольных растворов удельной электрической проводимости (далее - УЭП) жидкостей, используемых при проведении поверки, калибровки и испытаниях кондуктометров, а также других средств измерений и контроля, принцип действия которых основан на зависимости измеряемого параметра жидкости от ее УЭП.
В настоящих рекомендациях использованы ссылки на следующие государственные стандарты:
ГОСТ 8.457-2000 Государственная система обеспечения единства измерений. Государственная поверочная схема для средств измерений удельной электрической проводимости жидкостей
ГОСТ 1770-74 Посуда мерная лабораторная стеклянная. Цилиндры, мензурки, колбы, пробирки. Общие технические условия
ГОСТ 14919-83 Электроплиты, электроплитки и жарочные электрошкафы бытовые. Общие технические условия
ГОСТ 19908-90 Тигли, чашки, стаканы, колбы, воронки, пробирки и наконечники из прозрачного кварцевого стекла. Общие технические условия
ГОСТ 22171-90 Анализаторы жидкости кондуктометрические лабораторные. Общие технические условия
ГОСТ 27425-87 Весы лабораторные. Общие технические требования
3.1 Рекомендации устанавливают методику приготовления и первичной поверки эталонных растворов УЭП, применяемых в соответствии с требованиями
ГОСТ 8.457. В качестве эталонных растворов УЭП жидкостей применяют водные растворы хлористого калия.
3.2 Диапазон воспроизводимых значений УЭП эталонными растворами: от 0,01 до 20 См/м.
3.3 Пределы основной относительной погрешности воспроизведения эталонными растворами значений УЭП составляют от 0,05 до 1% в зависимости от разряда соответствующего рабочего эталона по
ГОСТ 8.457.
3.4 Значения УЭП для водных растворов хлористого калия в зависимости от концентрации и температуры приведены в
таблицах А1,
А2 приложения А.
4 РЕАКТИВЫ, СРЕДСТВА ИЗМЕРЕНИЙ
И ВСПОМОГАТЕЛЬНОЕ ОБОРУДОВАНИЕ
Для приготовления эталонных растворов используют реактивы, средства измерений и вспомогательное оборудование, перечисленные в
таблице 1.
NN пп. | Наименование реактива, средства измерений, вспомогательного оборудования | Основные метрологические и (или) технические характеристики |
1 | Калий хлористый | Квалификация Х.Ч. |
2 | Вода дистиллированная | |
3 | Лабораторные весы | По ГОСТ 27425, кл. 2 |
4 | Термостат | Диапазон температур от 0 до 100 °C Погрешность поддержания температуры не более 0,02 °C |
5 | Термометр | По ТУ 25-2021 003-88 Диапазон температур от 0 до 50 °C Цена деления не более 0,1 °C |
6 | Мерные цилиндры | Вместимость 500, 1000 мл |
7 | Стакан | Вместимость 50, 100, 150 мл |
8 | Колбы плоскодонные конические | Вместимость 500, 2000 мл |
9 | Электрошкаф вакуумно-сушильный | Диапазон температур от 0 до 300 °C Достигаемое остаточное давление в рабочей камере не более 10 мм рт. ст. |
10 | Электроплитка бытовая | |
5 УСЛОВИЯ ПРИГОТОВЛЕНИЯ ЭТАЛОННЫХ РАСТВОРОВ
5.1 Условия приготовления и подготовка к приготовлению должны соответствовать
приложению 2 к ГОСТ 22171.
5.2 Для первичной поверки мер УЭП водных растворов электролитов, предназначенных для использования в качестве рабочих эталонов, применяют эталонные средства измерений, перечисленные в
таблице 2.
Изготавливаемая мера УЭП | Погрешность определения значения меры УЭП, не более | |
Рабочие эталоны 0-го разряда | 0,05 - 0,1% | Государственный первичный эталон ГЭТ 132-2000 |
Рабочие эталоны 1-го разряда | 0,3% | Эталонные растворы 0-го разряда, компаратор УЭП жидкостей с пределом погрешности компарирования не более 0,02% |
Рабочие эталоны 2-го разряда | 0,5 - 1% | Эталонные растворы 1-го разряда, компаратор УЭП жидкостей с пределом погрешности компарирования не более 0,05% |
5.3 При первичной поверке соблюдают следующие условия:
- температура, °C 20 +/- 5;
- относительная влажность, % до 80;
- атмосферное давление, кПа от 84 до 106,7.
6 ПРИГОТОВЛЕНИЕ ЭТАЛОННЫХ РАСТВОРОВ
6.1 По
таблице А1 приложения А с помощью линейной интерполяции определяют концентрацию водного раствора хлористого калия, с требуемым значением УЭП:
к1 < к < к2,
где CN - концентрация хлористого калия в растворе с требуемой УЭП, моль/л;
CN1,
CN2 - концентрации хлористого калия из
таблицы А1 (
CN2 >
CN1), моль/л;
к2,
к1 - соответствующие вышеуказанным концентрациям УЭП
(таблица А1), См/м;
к - УЭП получаемого раствора, См/м.
Количество хлористого калия, необходимое для приготовления раствора заданной концентрации, рассчитывают по формуле
m = CN·M·V,
где m - количество хлористого калия, г;
M - молярная масса, г/моль;
V - объем изготавливаемого раствора, л.
6.2 Взвешивают на лабораторных весах 2-го класса точности рассчитанное количество хлорида калия. Бюксу, в которой проводят взвешивание, заполняют не более чем на 0,3 объема. Растворяют хлористый калий дистиллированной водой, переносят в мерный цилиндр, не доводя на 2 - 3 см уровень воды в мерном цилиндре до отметки, указывающей объем изготавливаемого раствора. Помещают мерный цилиндр в термостат и выдерживают в течение 30 мин при температуре (20,0 +/- 0,1) °C, затем доливают мерный цилиндр дистиллированной водой при той же температуре до отметки, указывающей объем изготавливаемого раствора. Переливают полученный раствор в коническую плоскодонную колбу с притертой пробкой, выдерживают его не менее 12 ч. Затем проводят первичную поверку и разливают в емкости, предназначенные для хранения.
Для диапазона от 1·10
-2 до 1·10
-3 См/м значение УЭП приготовленного раствора будет равно сумме рассчитанного по
таблице А1 приложения А и предварительно измеренного значения УЭП дистиллированной воды, примененной для приготовления раствора.
7 ПЕРВИЧНАЯ ПОВЕРКА ЭТАЛОННЫХ РАСТВОРОВ
7.1 Первичную поверку эталонных растворов 0-го разряда проводят с помощью эталонных установок, входящих в состав ГЭТ 132-99, в соответствии с правилами их хранения и применения.
7.2 Первичную поверку эталонных растворов, применяемых в качестве рабочих эталонов 1-го и 2-го разряда, проводят с помощью компараторов УЭП жидкостей по эталонным растворам соответственно 0-го и 1-го разрядов по
ГОСТ 8.457.
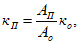
Значение УЭП, полученное компарированием растворов, рассчитывают по формуле
где кП - УЭП поверяемого раствора;
ко - УЭП эталонного раствора;
AП - постоянная первичного преобразователя с поверяемым раствором;
Aо - постоянная первичного преобразователя с эталонным раствором.
Первичные преобразователи компаратора УЭП жидкостей должны быть однотипными, должно выполняться условие

и обеспечиваться равенство температур поверяемого и эталонного растворов.
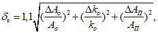
7.3 Пределы основной относительной погрешности значений УЭП эталонного раствора рассчитывают по формуле
где

- погрешность значения постоянной кондуктометрической ячейки с эталонным раствором;

- погрешность значения постоянной кондуктометрической ячейки с поверяемым раствором;

- погрешность значения УЭП эталонного раствора.
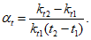
7.4 Измерения должны проводиться не менее, чем для двух различных температур. Значения УЭП для других температур в диапазоне 0 - 50 °C рассчитывают по формуле
где кt - рассчитываемое значение УЭП для температуры t;
кtu - измеренное значение УЭП для температуры tu;
- температурные коэффициенты УЭП водных растворов хлористого калия.
Коэффициент

получают из
таблицы А2 приложения А, рассчитывая по формуле
При этом должны выполняться условия:
t1 < t < t2 и к1 < к < к2.
7.5 Значение УЭП изготовленного раствора не должно отличаться от рассчитанного по
разделу 6 более чем на 5%.
7.6 На эталонные растворы УЭП, прошедшие первичную поверку, выдается свидетельство по форме
приложения к ПР 50.2.006. Рекомендуемая форма оборотной стороны свидетельства о первичной поверке эталонных растворов приведена в
приложении Б.
8 ХРАНЕНИЕ ЭТАЛОННЫХ РАСТВОРОВ
8.1 Эталонные растворы должны храниться в герметичных емкостях при нормальных условиях в темном месте.
8.2 В качестве материала для изготовления емкостей используют химически стойкое стекло или полиэтилен.
8.3 Растворы, предназначенные для применения в качестве рабочих эталонов, должны иметь свидетельство о первичной поверке.
8.4 На комплект емкостей с эталонными растворами, имеющими разные аттестованные значения УЭП, но одинаковые сроки хранения и одинаковые значения основной относительной погрешности, может быть оформлено одно свидетельство о поверке.
8.5 На емкостях с эталонными растворами указывают наименование раствора, номер свидетельства о поверке, значение УЭП, объем, дату поверки.
8.6 Срок хранения с сохранением метрологических характеристик водного раствора хлористого калия не должен превышать:
для рабочих эталонов 0-го разряда - 0,5 года;
для рабочих эталонов 1-го и 2-го разрядов - одного года.
(справочное)
Таблица А1
Зависимость УЭП (
k) водных растворов хлористого калия
от его концентрации (CN) при температуре 25 °C
(Молярная масса KCl: М = 74,552 г/моль)
CN, моль/л | 0,0005 | 0,001 | 0,005 | 0,01 | 0,02 | 0,05 | 0,1 | 0,2 | 0,5 | 1,0 | 2,0 |
k, См/м | 0,0074 | 0,0147 | 0,072 | 0,1413 | 0,277 | 0,67 | 1,288 | 2,43 | 5,86 | 11,18 | 20,5 |
Таблица А2
Зависимость УЭП (
k, См/м) водных растворов хлористого калия
от температуры (t, °C) заданной концентрации (CN, моль/л)
t, °C | 0 | 5 | 10 | 15 | 20 | 25 | 30 | 35 | 40 | 45 | 50 |
CN, моль/л |
0,01 | 0,0776 | 0,0895 | 0,1020 | 0,1148 | 0,1278 | 0,1413 | 0,1552 | 0,1694 | 0,1838 | 0,1984 | 0,2131 |
0,1 | 0,715 | 0,822 | 0,933 | 0,1048 | 1,167 | 1,288 | 1,412 | 1,538 | 1,666 | 1,795 | 1,926 |
1,0 | 6,544 | 7,424 | 8,319 | 9,25 | 10,21 | 11,18 | 12,17 | 13,17 | 14,18 | 15,20 | 16,22 |
(рекомендуемое)
ФОРМА ОБОРОТНОЙ СТОРОНЫ СВИДЕТЕЛЬСТВА
О ПЕРВИЧНОЙ ПОВЕРКЕ ЭТАЛОННЫХ РАСТВОРОВ
Результаты первичной поверки:
Сохранение величины УЭП аттестованного раствора, указанное в свидетельстве,
при хранении во вскрытой емкости не гарантируется.
Поверку провел:
Подпись
Дата
УДК 537.311.3:006.354 | | Т88.8 | |
Ключевые слова: раствор эталонный, проводимость удельная электрическая, жидкость, приготовление, поверка |