Главная // Актуальные документы // ГОСТ Р (Государственный стандарт)СПРАВКА
Источник публикации
М.: Стандартинформ, 2014
Примечание к документу
Документ утратил силу с 01.01.2022 в связи с изданием
Приказа Росстандарта от 03.09.2021 N 918-ст. Взамен введен в действие
ГОСТ Р ИСО 17735-2021.
Документ
введен в действие с 01.12.2013.
Название документа
"ГОСТ Р ИСО 17735-2012. Национальный стандарт Российской Федерации. Воздух рабочей зоны. Определение суммарного содержания изоцианатных групп в воздухе методом жидкостной хроматографии с использованием в качестве реагента 1-(9-антраценилметил)пиперазина (MAP)"
(утв. и введен в действие Приказом Росстандарта от 29.11.2012 N 1370-ст)
"ГОСТ Р ИСО 17735-2012. Национальный стандарт Российской Федерации. Воздух рабочей зоны. Определение суммарного содержания изоцианатных групп в воздухе методом жидкостной хроматографии с использованием в качестве реагента 1-(9-антраценилметил)пиперазина (MAP)"
(утв. и введен в действие Приказом Росстандарта от 29.11.2012 N 1370-ст)
Утвержден и введен в действие
по техническому регулированию
и метрологии
от 29 ноября 2012 г. N 1370-ст
НАЦИОНАЛЬНЫЙ СТАНДАРТ РОССИЙСКОЙ ФЕДЕРАЦИИ
ВОЗДУХ РАБОЧЕЙ ЗОНЫ
ОПРЕДЕЛЕНИЕ СУММАРНОГО СОДЕРЖАНИЯ ИЗОЦИАНАТНЫХ ГРУПП
В ВОЗДУХЕ МЕТОДОМ ЖИДКОСТНОЙ ХРОМАТОГРАФИИ С ИСПОЛЬЗОВАНИЕМ
В КАЧЕСТВЕ РЕАГЕНТА 1-(9-АНТРАЦЕНИЛМЕТИЛ)ПИПЕРАЗИНА (MAP)
Workplace atmospheres. Determination of total isocyanate
groups in air by the method of liquid chromatography using
reagent 1-(9-anthracenylmethyl)piperazine (MAP)
ISO 17735:2009
Workplace atmospheres - Determination of total isocyanate
groups in air using 1-(9-anthracenylmethyl)piperazine (MAP)
reagent and liquid chromatography
(IDT)
ГОСТ Р ИСО 17735-2012
Группа Т58
Дата введения
1 декабря 2013 года
1 ПОДГОТОВЛЕН Автономной некоммерческой организацией "Научно-исследовательский центр контроля и диагностики технических систем" (АНО "НИЦ КД") на основе собственного аутентичного перевода на русский язык международного стандарта, указанного в
пункте 4
2 ВНЕСЕН Техническим комитетом по стандартизации ТК 457 "Качество воздуха"
3 УТВЕРЖДЕН И ВВЕДЕН В ДЕЙСТВИЕ
Приказом Федерального агентства по техническому регулированию и метрологии от 29 ноября 2012 г. N 1370-ст
4 Настоящий стандарт идентичен международному стандарту ИСО 17735:2009 "Воздух рабочей зоны. Определение суммарного содержания изоцианатных групп в воздухе методом жидкостной хроматографии с использованием в качестве реагента 1-(9-антраценилметил)пиперазина (MAP)" (ISO 17735:2009 "Workplace atmospheres - Determination of total isocyanate groups in air using 1-(9-anthracenylmethyl)piperazine (MAP) reagent and liquid chromatography").
При применении настоящего стандарта рекомендуется использовать вместо ссылочных международных стандартов соответствующие им национальные стандарты, сведения о которых приведены в дополнительном
приложении ДА
5 ВВЕДЕН ВПЕРВЫЕ
| | ИС МЕГАНОРМ: примечание. В официальном тексте документа, видимо, допущена опечатка: стандарт имеет номер ГОСТ Р 1.0-2012, а не ГОСТ 1.0-2012. | |
Правила применения настоящего стандарта установлены в ГОСТ 1.0-2012 (раздел 8). Информация об изменениях к настоящему стандарту публикуется в ежегодном (по состоянию на 1 января текущего года) информационном указателе "Национальные стандарты", а официальный текст изменений и поправок - в ежемесячном указателе "Национальные стандарты". В случае пересмотра (замены) или отмены настоящего стандарта соответствующее уведомление будет опубликовано в ближайшем выпуске ежемесячного информационного указателя "Национальные стандарты". Соответствующая информация, уведомление и тексты размещаются также в информационной системе общего пользования - на официальном сайте Федерального агентства по техническому регулированию и метрологии в сети Интернет (gost.ru)
Настоящий стандарт устанавливает методику определения содержания мономерных и олигомерных изоцианатов в воздухе рабочей зоны с использованием 1-(9-антраценилметил)пиперазина (MAP). Применение MAP обеспечивает более достоверную идентификацию изоцианатов на хроматограммах проб и их более точное количественное определение по сравнению с другими дериватизирующими агентами. Анализ методом высокоэффективной жидкостной хроматографии (ВЭЖХ) проводят в условиях градиентного элюирования (градиент pH) для селективного ускорения элюирования MAP-производных олигомерных изоцианатов, которые могут быть не обнаружены при проведении анализа в изократических условиях. Были проведены испытания
[7] по проверке эффективности MAP по сравнению с другими дериватизацирующими агентами при определении общего содержания изоцианатов в воздухе. Было выявлено, что MAP реагирует с фенилизоцианатом (используемым в качестве модельного изоцианата) также быстро или быстрее, чем другие реагенты, используемые при обычном анализе проб на содержание изоцианатов. Выходной сигнал от MAP-производных в ультрафиолетовой области спектра сопоставим с сигналом от производных 9-(метиламинометил)антрацена (MAMA), и он значительно больше, чем у других наиболее часто используемых дериватизирующих агентов [приблизительно в три раза больше, чем для производных 1-(2-метоксифенил)пиперазина (1-2MP) с ароматическими изоцианатами и в 14 раз больше, чем для 1-2MP-производных алифатических изоцианатов]. Изменение выходного сигнала УФ детектора в пересчете на одну изоцианатную группу при переходе от соединения к соединению для MAP-производных меньше, чем для любых других наиболее часто используемых сочетаний дериватизирующий агент/детектор (коэффициент вариации составляет 3,5% для пяти модельных изоцианатов). Эти результаты получены при точном количественном анализе детектируемых образцов немономерных изоцианатов, основанном на градуировочной зависимости, полученной по результатам анализа стандартных образцов мономеров. Обычно градуировку строят по образцам мономеров тех веществ, содержание которых собираются определять, но оказалось, что для построения градуировки можно использовать другие соединения, т.к. при переходе от одного соединения к другому изменение сигнала их MAP-производных не существенно. Интенсивность флуоресцентного сигнала MAP-производных сопоставима с интенсивностью MAMA-производных и значительно выше, чем у других дериватизирующих агентов (например приблизительно в 30 раз выше интенсивности флуоресцентного сигнала производных триптамина). Было установлено, что при переходе от одного соединения к другому изменение сигнала флуоресценции будет меньше для MAMA производных, но больше для производных триптамина (коэффициент вариации для MAMA-производных составляет 59%, для MAP-производных составляет 33% и для производных триптамина - 16% по пяти модельным изоцианатам). Изменение флуоресцентного сигнала MAP-производных при переходе от одного вещества к другому считается слишком большим для точного количественного определения немономерных изоцианатов по градуировочной зависимости, полученной с применением стандартных растворов мономерных изоцианатов. Тем не менее, чувствительность флуоресцентного детектора делает его применение особенно целесообразным для количественного определения мономеров при низком уровне их содержания, а высокая селективность очень важна при отнесении неидентифицированного пика на хроматограмме ВЭЖХ к MAP-производному. Использование при хроматографическом анализе MAP-производных электрохимических детекторов целесообразно, т.к. они будут давать интенсивный выходной сигнал. Использование при анализе методом ВЭЖХ градиентного (pH) режима элюирования с изменением pH обеспечивает избирательное ускорение элюирования аминов (амины являются MAP-производными) и очень большое (что ускоряет элюирование МДИ более, чем в 100 раз). Исходные равновесные условия восстанавливаются практически сразу. При анализе с применением MAP продолжительностью 30 мин может быть количественно определено большое число олигомерных изоцианатов, которые могут быть и не обнаружены при более продолжительном анализе изократическим методом.
Метод анализа с применением MAP был проверен при проведении нескольких параллельных исследований с другими методами. В
[8] показано, что при отборе проб воздуха в импинжеры с раствором MAP и в импинжеры NIOSH 5521 (сопоставимые с импинжерами MDHS 25) получены сопоставимые результаты, где осуществляется их распыление. В методике
[8] в качестве реагента применялся MAP, но не использовалось градиентное (pH) элюирование. В
[9] приведено сравнение результатов измерений при отборе проб в импинжеры с MAP и в другие импинжеры (NIOSH 5521 и NIOSH 5522), а также при отборе проб с применением двух фильтров. При этом среднее содержание олигомера MAP было значительно выше, чем при применении импинжеров с растворами других реагентов, и немного выше, чем при применении двух фильтров. При определении MAP-производных изоцианатов по этим методикам применялся градиентный режим элюирования с изменением pH.
Метод с применением MAP в настоящее время утвержден и доступен в виде методики Национального института по безопасности и здоровью населения (США) - NIOSH Method 5525
[11]. Значения метрологических характеристик этой методики определены в
[12].
Настоящий стандарт устанавливает общие положения по отбору и анализу проб на содержание изоцианатов органических соединений, присутствующих в виде взвешенных частиц в воздухе рабочей зоны.
Настоящий стандарт применяют для определения различных органических соединений, содержащих функциональные NCO-группы, в том числе монофункциональных изоцианатов (например, фенилизоцианата), мономерных диизоцианатов [например 1,6-гексаметилендиизоцианата (HDI), толуолдиизоцианатов (TDI), 4,4'-дифенилметандиизоцианата (MDI) и изофорондиизоцианатов (IPDI)], форполимеров [например, биурет- и изоцианурата (HDI)], а также промежуточных продуктов, образующихся в процессе получения или термического разложения полиуретана.
В смешанных системах, содержащих HDI и IPDI, невозможно идентифицировать и количественно определить мономеры IPDI при низком уровне их содержания в соответствии с настоящим стандартом из-за совместного элюирования мономерного IPDI и HDI-уретидиндиона.
Диапазон измерений содержания NCO-групп в молях в расчете на каждое соединение в пробе данным методом составляет приблизительно от 1·10-10 до 2·10-7.
В настоящем стандарте использованы нормативные ссылки на следующие стандарты:
ИСО 5725-2:1994 Точность (правильность и прецизионность) методов и результатов измерений. Часть 2. Основной метод определения повторяемости и воспроизводимости стандартного метода измерений (включая техническую поправку 1:2002) [ISO 5725-2:1994, Accuracy (trueness and precision) of measurement methods and results - Part 2: Basic method for the determination of repeatability and reproducibility of a standard measurement method (including Technical Corrigendum 1:2002)]
ИСО 16200-1:2001 Качество воздуха рабочей зоны. Отбор проб летучих органических соединений с последующей десорбцией растворителем и газохроматографическим анализом. Часть 1. Отбор проб методом прокачки (ISO 16200-1:2001, Workplace air quality - Sampling and analysis of volatile organic compounds by solvent desorption/gas chromatography - Part 1: Pumped sampling method)
Определенный объем воздуха пропускают либо через импинжер, содержащий раствор 1-9(антраценилметил)пиперазина (MAP), либо через фильтр, пропитанный MAP, либо через линию отбора проб, состоящую из импинжера, за которым расположен пропитанный MAP-реагентом фильтр. Выбор устройства отбора проб зависит от химических и физических свойств присутствующих в воздухе изоцианатов
[13]. При использовании импинжера раствор подвергают твердофазной экстракции (SPE), а элюат концентрируют и анализируют методом обращенно-фазовой высокоэффективной жидкостной хроматографии (ВЭЖХ) с регистрацией аналитического сигнала с помощью последовательно расположенных ультрафиолетового детектора (УФД) и флуоресцентного детектора (ФЛД).
Если для отбора проб используют пропитанный MAP-реагентом фильтр, то проводят экстракцию растворителем либо на месте отбора проб после его окончания, либо в лаборатории. Поскольку экстракция пробы с фильтра производится в аналитической лаборатории, метод применим для анализа только тех изоцианатов, которые при отборе проб находились в парообразном состоянии. Полученный раствор фильтруют и анализируют методом ВЭЖХ/УФД/ФЛД. Полученные пики изоцианатов идентифицируют по их положению в ультрафиолетовой и флуоресцентной области спектра, регистрируемого УФД и ФЛД, путем сравнения с хроматограммой чистого изоцианатного продукта, при его наличии. Количественное определение соединений, для которых имеются образцы сравнения (обычно мономеры), выполняют сравнением высоты флуоресцентного пика пробы с высотой флуоресцентного пика соответствующих растворов стандартных образцов, полученных при регистрации хроматограмм с помощью ФЛД. Изоцианаты, для которых не имеется референтных соединений, количественно определяют путем сравнения площади, полученной с помощью УФД для пробы, с площадью пика, полученной на УФД для соответствующего референтного мономера (т.е. мономера, из которого получают изоцианатный продукт).
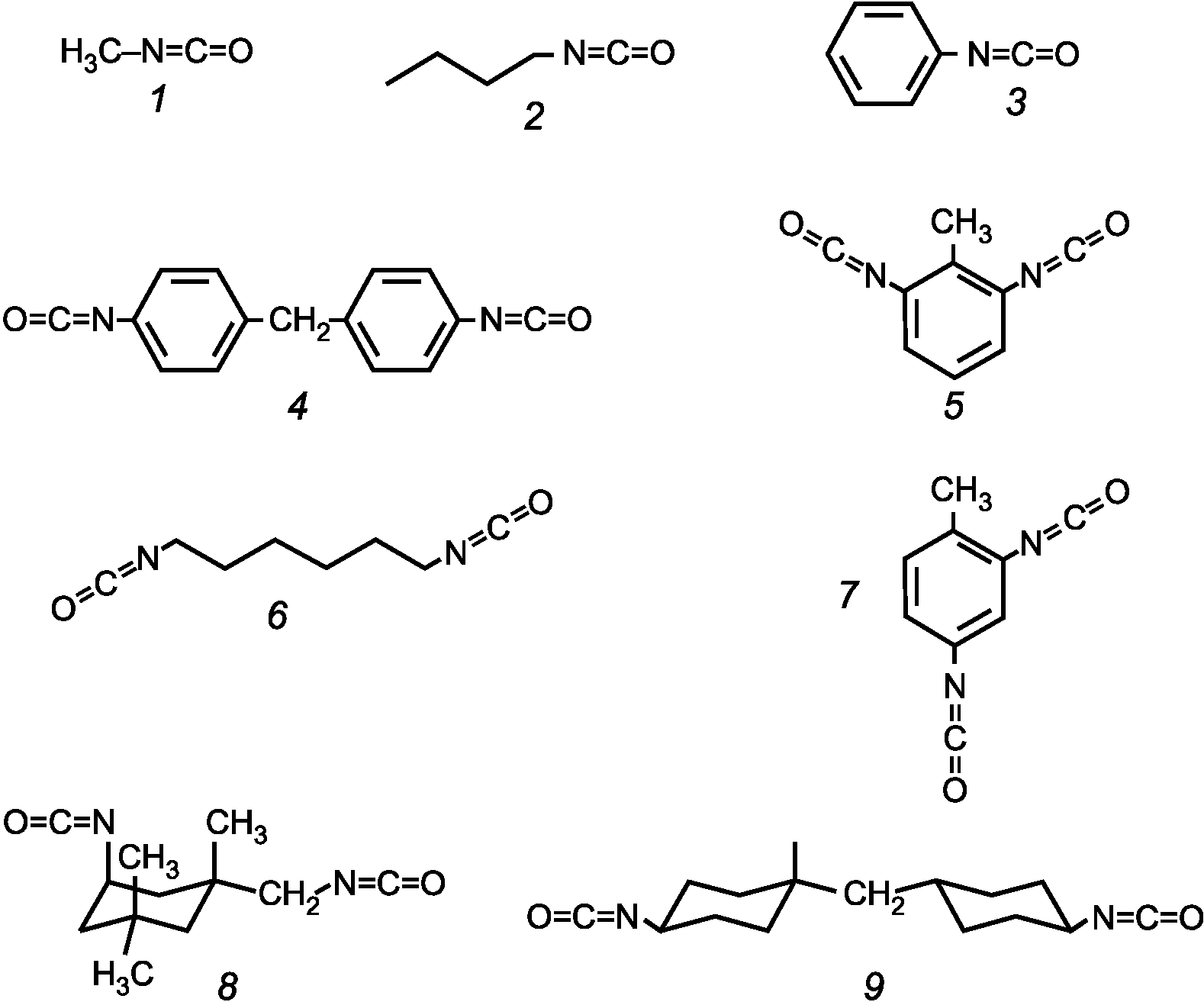
Структура некоторых наиболее распространенных мономерных диизоцианатов приведена на
рисунке 1.
1 - метилизоцианат; 2 - бутилизоцианат; 3 - фенилизоцианат;
4 - 4,4'-MDI; 5 - 2,6-TDI; 6 - HDI; 7 - 2,4-TDI; 8 - IPDI;
9 - HMDI
Рисунок 1 - Структура некоторых наиболее распространенных
изоцианатов
ПРЕДУПРЕЖДЕНИЕ - При приготовлении реагентов соблюдают соответствующие требования безопасности. Работают с реагентами в вытяжном шкафу во избежание контакта с растворителями, изоцианатами или другими летучими реагентами. Все манипуляции с реагентами и растворителями осуществляют в нитриловых перчатках.
При проведении анализа, если не установлено иное, следует использовать только хроматографически чистые реагенты и хроматографически чистую воду.
4.1 MAP-реагент
Приготовление MAP-реагента основано на реакции 9-(хлорметил)антрацена с пиперазином (см.
рисунок 2).
1 - 9-(хлорметил)антрацен; 2 - пиперазин; 3 - MAP
Рисунок 2 - Схема получения MAP
При проведении следующих процедур используют хроматографически чистые растворители.
Растворяют 10,8 ммоль (2,47 г) 9-(хлорметил)антрацена (с массовой долей основного вещества не менее 98%) в 25 мл метиленхлорида. Переносят полученный раствор в делительную воронку.
Растворяют 54,4 ммоль (4,69 г) пиперазина (с массовой долей основного вещества 99%) и 21,8 ммоль (3,04 мл) триэтиламина (с массовой долей основного вещества 99,5%) в 37 мл метиленхлорида. Переносят полученный раствор в круглодонную двугорлую колбу вместимостью 250 мл с магнитной мешалкой.
При перемешивании добавляют к этому раствору раствор 9-(хлорметил)антрацена по каплям в течение 30 мин. Промывают делительную воронку метиленхлоридом объемом 10 мл. Оставляют реакционную смесь при постоянном перемешивании, по крайней мере, на два часа для протекания реакции.
Промывают реакционную смесь в делительной воронке три раза 130 мл воды, энергично встряхивая ее в течение 1 мин. Отделяют эмульсию, образовавшуюся после первого промывания, содержащую в основном примеси, а не MAP. Удаляют промывные воды.
Переносят промытый раствор MAP в предварительно взвешенную круглодонную колбу. Дают метиленхлориду испариться под действием непрерывного потока азота. Взвешивают колбу с остатком для приблизительного вычисления выхода продукта. Полученный неочищенный MAP можно безопасно хранить в морозильной камере до проведения дальнейшей очистки.
MAP очищают с применением колоночной хроматографии и последующей сублимацией. В стеклянную хроматографическую колонку внутренним диаметром приблизительно 50 мм переносят суспензию силикагеля в толуоле так, чтобы толщина слоя силикагеля в колонке составила приблизительно 80 мм. Промывают стенки колонки толуолом и дают ему даже достичь поверхности силикагеля.
Растворяют неочищенный MAP в 80 мл толуола. Обрабатывают полученную смесь ультразвуком в течение 5 мин и фильтруют через фильтровальную бумагу. Сохраняют фильтрат. Растворяют осадок на фильтре в 20 мл толуола, обрабатывают в течение 5 мин ультразвуком и снова фильтруют через фильтровальную бумагу. Утилизируют фильтр с осадком. Объединяют фильтраты и осторожно переносят их в хроматографическую колонку поверх слоя силикагеля. Пропускают через колонку дополнительный объем толуола. Удаляют толуоловый элюат.
Начинают элюирование этилацетатом. Собирают порции элюата объемом 20 мл в одноразовые виалы с крышками, футерованными политетрафторэтиленом (ПТФЭ). Контролируют порции элюата путем нанесения пробы каждой из них объемом 1 мкл на пластинку (см. ниже) тонкослойной хроматографии (ТСХ) и наблюдают за интенсивностью пятна в ультрафиолетовом свете после испарения растворителя. Эта процедура обеспечивает обнаружение в элюенте MAP или других соединений. Проводят элюирование этилацетатом до исчезновения желтой окраски, для чего необходимо около 400 мл этилацетата. На этой стадии весь MAP должен остаться в колонке. После исчезновения желтой окраски начинают элюирование метанолом, которого в этом случае требуется от 1,0 до 1,5 л.
Элюирование MAP может быть осуществлено сразу же после ТСХ. Ту порцию фракции, для которой получено значимое пятно на пластинке для ТСХ, анализируют методом ТСХ для определения фракций, содержащих MAP.
Анализ методом ТСХ проводят следующим образом. Используют серийно выпускаемые пластинки для ТСХ, покрытые силикагелем с флуоресцентным индикатором. Пластинки размером (100 x 30) мм отвечают требованиям проведения анализа. Наносят аликвоты объемом 1 мкл нескольких фракций на близком расстоянии друг от друга, отступив приблизительно 15 мм от нижней части пластинки, и погружают пластинку нижним концом в небольшой сосуд, содержащий слой метанола толщиной 10 мл. Закрывают сосуд и дают метанолу подняться по пластинке до границы, находящейся на расстоянии 5 мм от ее верхней части. Вынимают пластинку из метанола и ожидают, пока метанол, пропитавший пластинку, не испарится. В присутствии MAP при освещении коротковолновым УФ-излучением наблюдается темное пятно, которое ярко светится при его освещении длинноволновым УФ-излучением. Идентифицируют пятно от MAP сравнением коэффициента удержания Rf от аликвотных пятен с Rf стандартного образца MAP.
По результатам анализа методом ТСХ объединяют порции, содержащие чистый MAP. Взвешивают круглодонную колбу, используемую в роторном испарителе. Переносят объединенные фракции в колбу, но таким образом, чтобы их объем не превышал половины объема колбы в любой заданный момент времени. Нагревают баню испарителя до температуры (35 - 40) °C. После испарения и удаления следов растворителя из всех объединенных фракций MAP под глубоким вакуумом взвешивают колбу со всем ее содержимым для вычисления выхода.
Затем очищают порошок MAP путем его сублимации. Растворяют MAP в небольшом объеме метиленхлорида (< 20 мл) и переносят раствор в сублиматор. Дают метиленхлориду испариться под слабым потоком азота, следя за тем, чтобы уровень раствора в колбе был ниже дна пальчикового холодильника. После того, как метиленхлорид испарится, герметично закупоривают колбу и понижают давление с помощью вакуумного насоса до 6,67 мПа <1> или меньше. Пускают слабый поток холодной воды через пальчиковый холодильник, а колбу с сублимируемым веществом помещают в парафиновую ванну с температурой, поддерживаемой в интервале от 125 °C до 130 °C. Сублимация занимает несколько часов и может потребоваться ее продолжение в течение ночи. Сублимацию можно считать завершенной в том случае, если не происходит дальнейшего роста кристаллов MAP на пальчиковом холодильнике, и небольшое количество вещества на дне сублиматора остается постоянным. По окончании сублимации счищают кристаллы с пальчикового холодильника с помощью шпателя. Обычно выход составляет 2,236 г (74% теоретического). Температура плавления MAP составляет от 146 °C до 147 °C. Массовая доля основного вещества в MAP, определяемая методом ВЭЖХ, обычно составляет 99%.
--------------------------------
<1> 1 кПа = 7,5 торр.
4.2 Растворы реагентов
4.2.1 Раствор для импинжера
В качестве растворителя для импинжера используют бутилбензоат с массовой долей основного вещества не менее 99%. Для более глубокой очистки бутилбензоата его пропускают через слой хроматографически чистого силикагеля. Растворяют MAP в бутилбензоате для получения раствора с концентрацией 1·10-4 моль/л (массовая концентрация 27,6 мг/л). Хранят раствор в морозильной камере до использования.
4.2.2 Раствор для пропитки фильтра
Растворяют MAP в ацетонитриле для получения раствора с массовой концентрацией 2 мг/мл. Хранят раствор до использования в морозильной камере.
4.2.3 Раствор для пропитки фильтра
Растворяют MAP в ацетонитриле для получения раствора концентрацией 1·10-4 моль/л (27,6 мг/л). Хранят до использования в морозильной камере.
4.2.4 Стабильность растворов реагентов
Предпочтительно готовить раствор для нанесения на фильтр непосредственно перед его использованием, хотя этот раствор можно хранить в морозильной камере в течение двух недель. Растворы для импинжера и экстракции фильтров сохраняют стабильность, по крайней мере, в течение месяца при хранении в холодильнике.
4.3 Стандартные градуировочные растворы
Выходной сигнал УФ-детектора имеет практически одинаковый вид для всех MAP-производных изоцианатов. Это позволяет использовать MAP-производный мономер изоцианатного продукта, представляющего интерес, в качестве стандартного образца для количественного определения MAP-производных неизвестных олигомерных изоцианатов по пикам на хроматограмме. Градуировочный график, как зависимость выходного сигнала УФД от числа или содержания изоцианатных групп, затем может быть использован для количественного определения олигомерных изоцианатов, для которых отсутствуют стандартные образцы. По этой причине проще использовать стандартные градуировочные растворы, которые количественно оценены через содержание NCO-групп, а не через массовую концентрацию изоцианатного соединения.
Эквивалентом является количество вещества изоцианатного соединения, содержащего моль изоцианатной группы, или количество вещества MAP-производного изоцианатного соединения, содержащего один моль групп связанных MAP. Эквивалентная масса изоцианатного соединения - это относительная молекулярная масса, деленная на число изоцианатных групп в одной молекуле,
n. Эквивалентная масса MAP-производного изоцианата - это его относительная молекулярная масса, деленная на число MAP-групп в молекуле. Число изоцианатных групп, независимо от места их присоединения, может быть определено в молях на литр. В
таблице 1 приведены значения относительной молекулярной массы и эквивалентной массы для наиболее распространенных изоцианатов и их MAP-производных.
Таблица 1
Относительные молекулярные массы и эквивалентные массы
некоторых наиболее распространенных изоцианатов и их
MAP-производных
Наименование соединения | Краткое обозначение | Относительная молекулярная масса | Эквивалентная масса | Относительная молекулярная масса MAP-производного | Эквивалентная масса MAP-производного |
1-(9-антраценилметил)пиперазин | MAP | 276,38 | 276,38 | - | - |
Метилизоцианат | - | 57,05 | 57,05 | 333,43 | 333,43 |
Бутилизоцианат | - | 99,13 | 99,13 | 375,51 | 375,51 |
Фенилизоцианат | - | 119,12 | 119,12 | 395,50 | 395,50 |
1,6-гексаметилен-диизоцианат 1,6-диизоцианатогексан | HDI | 168,20 | 84,10 | 720,96 | 360,48 |
Толуолдиизоцианат (как 2,4-, так и 2,6-диизоцианатотолуол) | TDI | 174,16 | 87,08 | 726,92 | 363,46 |
Изофорондиизоцианат 1-изоцианато-3-изоцианатометил-3,5,5-триметилциклогексан | IPDI | 222,29 | 111,14 | 775,05 | 387,52 |
4,4'-дифенилметандиизоцианат ди-(4-изоцианатофенил)метан | 4,4'-MDI | 250,26 | 125,13 | 803,02 | 401,51 |
Гидрированный (гидрогенизированный) MDI метилен-бис(цикло-гексил-4-изоцианат) 4,4'-дициклогексилметандиизоцианат | HMDI | 262,35 | 131,18 | 815,11 | 407,56 |
Изоцианатная группа | NCO | 42 | 42 | - | - |
4.3.1 Приготовление производных мономеров
Точно взвешивают приблизительно 0,5 ммоль (1 миллиэквивалент) диизоцианата или 1 ммоль (1 миллиэквивалент) моноизоцианата и записывают полученное значение с точностью до четвертой значащей цифры. Навеску растворяют в 10 мл толуола. Взвешивают приблизительно 1,2 ммоль MAP (чтобы получить его избыток по массовой доле в растворе 20%) и записывают полученное значение с точностью до четвертой значащей цифры. Навеску растворяют в 20 мл толуола. При перемешивании раствора MAP добавляют раствор изоцианата по каплям в течение 10 - 15 мин. Продолжают перемешивание в течение, по крайней мере, 1 часа. Плотно закрывают колбу с раствором и оставляют на ночь в морозильной камере для максимального выпадения осадка искомого продукта. Собирают выделившуюся фазу несколько раз с использованием воронки Бюхнера. Промывают эту фазу несколько раз охлажденным толуолом для удаления остатков MAP, затем смесь промывают несколько раз охлажденным гексаном для вытеснения толуола. Переносят твердый продукт в предварительно взвешенную одноразовую виалу вместимостью 20 л. Создают в виале глубокий вакуум и поддерживают его до получения постоянной массы виалы, а затем герметично закрывают крышкой, футерованной ПТФЭ. Выход (по массе) обычно составляет > 95%, а содержание основного вещества достаточно для приготовления стандартных градуировочных растворов. Опыт показывает, что при хранении этих производных в морозильной камере в темном месте они сохраняют стабильность в течение нескольких лет.
4.3.2 Приготовление стандартных растворов мономерных производных для ВЭЖХ анализа
Взвешивают MAP-производное: приблизительно 5,0·10
-5 моль (для моноизоцианата) или 2,5·10
-5 моль (для диизоцианата) и переносят в маркированную мерную колбу класса А вместимостью 10 мл (см.
[1]). Навеску MAP-производного растворяют в нескольких миллилитрах диметилформамида (ДМФА) и доводят им раствор до метки. При желании вместо ДМФА можно использовать метиленхлорид для растворения MAP-производных, хорошо растворимых в метиленхлориде (алифатических диизоцианатов и 2,4-TDI). Исходные стандартные и разбавленные растворы имеют концентрацию приблизительно 5,0·10
-3 моль/л (для моноизоцианата) или 2,5·10
-3 моль/л (для диизоцианата), соответственно. Хранят исходные стандартные растворы в морозильной камере. Рабочие стандартные растворы приготовляют путем растворения MAP-производных в ацетонитриле для получения максимальной концентрации стандарта приблизительно 2,0·10
-4 моль/л (для моноизоцианата) или 1,0·10
-4 моль/л (для диизоцианата), соответственно. Для получения растворов другой концентрации исходные растворы могут быть последовательно разбавлены обычно до наименьшей концентрации, которая составляет приблизительно 1·10
-7 моль/л (для моноизоцианата) или 0,5·10
-7 моль/л (для диизоцианата), соответственно. Эти стандартные и разбавленные растворы сохраняют стабильность в течение трех месяцев при хранении в холодильнике.
4.3.3 Приготовление стандартных растворов мономерных производных для твердофазной экстракции
Периодически оценивают степень извлечения MAP-производных мономеров из картриджей для твердофазной экстракции (ТФЭ).
Исходные стандартные растворы в ДМФА нельзя использовать для приготовления стандартов для ТФЭ, так как присутствие ДМФА даже при низком его содержании может привести к преждевременному элюированию MAP-производных. Стандартные образцы для прохождения через картридж твердофазной экстракции должны быть получены из исходных растворов в метиленхлориде. MAP-производные алифатических диизоцианатов и 2,4-TDI достаточно хорошо растворимы в метиленхлориде. MAP-производные 2,6-TDI и MDI обладают меньшей растворимостью. Все MAP-производные, кроме MDI, достаточно хорошо растворимы в метиленхлориде, чтобы приготовить исходные растворы с концентрацией 1·10-3 моль/л (для моноизоцианата) или 0,5·10-3 моль/л (для диизоцианата), соответственно. Для MDI может быть приготовлен исходный стандартный раствор с концентрацией 2·10-4 моль/л. Эти исходные стандартные растворы могут быть в дальнейшем разбавлены бутилбензоатом с целью получения растворов для импинжера.
4.3.4 Приготовление растворов производных технических изоцианатов
Было показано, что данная методика подходит для продуктов на основе HDI и IPDI и может быть применена для других продуктов.
Взвешивают приблизительно 0,5 г сыпучего изоцианатного продукта и переносят его в виалу вместимостью 7 мл. Затем добавляют 4,5 г (3,4 мл) метиленхлорида и перемешивают раствор до тех пор, пока он не станет однородным. Определяют плотность этого исходного раствора, но это необязательно, если последующие анализы носят качественный характер. Разбавляют исходный раствор метиленхлоридом в 100 раз. Перемешивают его до получения однородного раствора, затем сразу же добавляют 25 мкл этого раствора к 975 мкл раствора MAP в ацетонитриле с концентрацией 5·10-4 моль/л. Важно провести второе разбавление MAP-производного раствором настолько быстро, насколько возможно, поскольку разбавленные растворы изоцианатов не стабильны. Оставляют полученный раствор на ночь в темном месте для протекания реакции. На следующий день приливают к раствору 5 мкл уксусного ангидрида и оставляют его для протекания реакции, по крайней мере, на два часа при комнатной температуре или на ночь в холодильнике перед анализом методом ВЭЖХ.
4.4 Подвижная фаза в высокоэффективной жидкостной хроматографии
При анализе методом ВЭЖХ применяют градиентный режим элюирования с изменением pH. Слабые и сильные подвижные фазы имеют одинаковые соотношения вода/органическая фаза. Они отличаются только значением pH водной фазы. Интенсивность флуоресценции MAP-производных сильно зависит от pH подвижной фазы. Поэтому в подвижную фазу после выхода ее из аналитической колонки и перед попаданием в блок детекторов добавляют кислый раствор для обеспечения независимости флуоресцентного сигнала от pH подвижной фазы.
4.4.1 Буферные растворы для подвижной фазы
К 3840 мл воды добавляют 46,1 г фосфорной кислоты с массовой долей основного вещества 86% (приблизительно 27 мл, 0,4 моль) и 15,1 мл муравьиной кислоты с массовой долей основного вещества 96% (0,4 моль). Начальное значение pH должно быть приблизительно равно 1,6. Добавляют к этому раствору триэтиламин (с массовой долей основного вещества 99,5%) аликвотами объемом 10 мл, перемешивая после добавления каждой из них до тех пор, пока не будет добавлен весь объем (117 мл) триэтиламина. Значение pH раствора должно быть равно 6,0. При необходимости доводят pH раствора до 6,0, добавляя дополнительное количество триэтиламина. Делят этот раствор на две порции, объемом по 2 л. К одной из полученных порций раствора добавляют 33,5 мл концентрированной соляной кислоты. Тщательно перемешивают. Конечное значение pH раствора должно составлять 1,6. Ко второй части раствора добавляют 33,5 мл воды. По этой методике получают буферные растворы концентрацией фосфорной и муравьиной кислот 0,1 моль/л, со значениями pH, приблизительно равными 1,6 и 6,0, соответственно. Опыт показывает, что буферные растворы стабильны в течение шести месяцев при их хранении в холодильнике.
4.4.2 Первичные подвижные фазы
Слабую подвижную фазу (A) получают смешиванием ацетонитрила с буферным раствором с pH 6,0 с отношением по объему 65/35. Сильную подвижную фазу (B) получают смешиванием ацетонитрила с буферным раствором с pH 1,6, с отношением по объему 65/35. Подвижные фазы фильтруют через нейлоновые фильтры с номинальной тонкостью фильтрации 0,45 мкм. Перед использованием подвижную фазу дегазируют либо с помощью вакуумного дегазирования, либо с помощью гелиевого барботирования. Как показывает опыт, основная первичная подвижная фаза стабильна в течение шести месяцев при обеспечении предотвращения испарения.
4.4.3 Послеколоночная кислая подвижная фаза
Разбавляют водой 35 мл раствора фосфорной кислоты с массовой долей основного вещества 85% для получения конечного раствора объемом 350 мл. Смешивают этот раствор с 650 мл ацетонитрила. Фильтруют этот раствор через нейлоновый фильтр с номинальной тонкостью фильтрации 0,45 мкм. Дегазируют подвижную фазу перед использованием либо с помощью вакуумирования (вакуумного дегазирования), либо с помощью гелиевого барботирования. Опыт показывает, что кислая подвижная фаза сохраняет стабильность в течение шести месяцев, если не будет происходить испарения.
5.1 Устройство отбора проб
Выбор устройства отбора проб зависит от химических и физических свойств изоцианата, содержащегося в воздухе
[13]. Если о физической и химической природе изоцианатов, находящихся в воздухе, известно мало, то в этом случае устройство отбора проб должно состоять из миниатюрного импинжера, за которым следует фильтр, пропитанный MAP (см. ИСО/ТО 17737)
[3]. Если в воздухе присутствуют изоцианаты только в виде паров, то может быть использован фильтр, пропитанный MAP, или миниатюрный импинжер. Если в воздухе присутствуют изоцианаты в виде твердых частиц диаметром < 2 мкм (конденсационный аэрозоль или аэрозоль, являющийся побочным продуктом процесса горения), то в этом случае следует использовать фильтры. Если в воздухе присутствуют изоцианаты в виде частиц диаметром > 2 мкм (например, при распылении красочных покрытий), то рекомендация по выбору импинжера или фильтра будет зависеть от реакционной способности аэрозоля. Реакции с участием аэрозолей, содержащих алифатические изоцианаты, обычно протекают достаточно медленно, поэтому они могут быть уловлены с помощью фильтра, пропитанного MAP, как описано в
[14]. Часто реакции с участием частиц аэрозолей диаметром > 2 мкм, содержащих ароматические изоцианаты, например, образующихся в процессах распыления красочных покрытий, содержащих выделяемые MDI
[15], протекают быстро, и их следует улавливать с помощью импинжера. При наличии частиц диаметром < 2 мкм, и реакционно-способных частиц диаметром > 2 мкм рекомендуется применять устройство отбора проб, состоящее из импинжера, после которого расположен фильтр, пропитанный MAP.
5.1.1 Фильтры
Применяют фильтры из стекловолокна (без оправы), обеспечивающие проскок отбираемого аэрозоля не более 5% массы пробы. Выбор диаметра фильтра и фильтродержателя в основном зависит от физического состояния изоцианата. Пар и аэрозоль с частицами относительно небольшого размера могут быть эффективно уловлены с помощью обычного устройства отбора проб с фильтром (например, в полистирольном картридже для фильтров открытого или закрытого типа с диаметром 37 мм или полипропиленовом фильтродержателе для фильтров с диаметром 13 мм). Для улавливания аэрозолей с частицами относительно большого диаметра (> 20 мкм) рекомендуется использовать пробоотборник для отбора проб в зоне дыхания [например, разработанный в Институте гигиены труда (IOM), Великобритания]. Так как изоцианаты обладают сильным сенсибилизирующим действием, целесообразно определять изоцианаты в составе частиц, которые будут осаждаться в какой-либо области дыхательных путей, т.е. во вдыхаемой фракции
[16].
5.1.2 Миниатюрные импинжеры
Миниатюрный импинжер состоит из градуированного приемника и входной трубки с коническим концом. Соединяют эти две части таким образом, чтобы расстояние между входным отверстием и дном приемника составляло от 1 до 2 мм. Серийно выпускаются импинжеры со встроенной входной трубкой.
5.2 Побудитель расхода
Побудитель расхода должен обеспечивать объемную скорость потока 2 л/мин и соответствовать требованиям ЕН 1232
[6] или эквивалентного стандарта.
5.3 Трубки
Используют пластиковые, резиновые или другие подходящие соединительные шланги длиной приблизительно 900 мм и подходящего диаметра для обеспечения герметичного подсоединения к побудителю расхода и к выходному отверстию устройства отбора проб. Клипсы должны обеспечивать надежное крепление пробоотборника и соединительных трубок с одеждой. Было замечено, что растворители из импинжеров (в частности, толуол) могут вымывать некоторые вещества из трубок, что в итоге влияет на результат анализа пробы. Неизвестно, вымывает ли бутилбензоат из материала трубок влияющие на анализ соединения при обычных условиях отбора проб, но было установлено, что проблемы, возникающие при применении толуола, можно в значительной степени уменьшить, используя шланги из фторэластомера <1>. Поэтому при отборе проб с помощью импинжеров рекомендуется использовать шланги из фторэластомера. Достаточно на выходе из импинжера подсоединить шланг короткой длины из фторэластомера в качестве переходника перед шлангом из пластика, резины или другого подходящего материала <2>.
--------------------------------
<1> Fluran является примером подходящей серийно выпускаемой продукции. Данная информация приведена для удобства пользователей настоящего стандарта и не является рекламой ИСО данной продукции.
<2> Tygon R-3603 является примером подходящей серийно выпускаемой продукции. Данная информация приведена для удобства пользователей настоящего стандарта и не является рекламой ИСО данной продукции.
5.4 Расходомер
Для измерения объемного расхода применяют портативный расходомер, обеспечивающий измерение расхода в требуемом диапазоне с погрешностью в пределах +/- 5% в условиях применения. Расходомер должен быть откалиброван по первичному эталону перед его транспортированием к месту применения.
5.5 Фильтрование и установка для проведения твердофазной экстракции
Перед использованием растворитель для анализа методом ВЭЖХ фильтруют в устойчивой к действию растворителей установке для фильтрования под вакуумом с использованием нейлоновых фильтров с номинальной тонкостью фильтрации 0,45 мкм. Перед анализом пробы, отобранные на фильтры, пропускают через фильтрующие насадки шприцев из ПТФЭ для фильтров с номинальной тонкостью фильтрации 0,45 мкм. Пробы, отобранные с помощью импинжера, подвергают твердофазной экстракции (ТФЭ) с использованием вакуумного коллектора. Одноразовые вкладыши из ПТФЭ вставляют в отверстие вакуумного коллектора для предотвращения загрязнения проб. Картриджи для ТФЭ вместимостью 6 мл, содержащие 500 мг силикагеля, подсоединяют ко входам одноразовых вкладышей из ПТФЭ.
5.6 Система жидкостного хроматографа
5.6.1 Автоматический дозатор
Применяют любые автоматические серийно выпускаемые дозаторы, обеспечивающие подачу проб с приемлемой погрешностью и прецизионностью.
5.6.2 Побудитель расхода
Применяют насос, подходящий для анализа методом ВЭЖХ с градиентным элюированием. Предпочтительно, чтобы вся система ВЭЖХ была выполнена из инертных материалов, а трубки для жидкости, находящиеся после системы ввода проб, были изготовлены из высокоинертного материала полиэфирэфиркетона (PEEK) или титана. Если трубки для жидкости системы ВЭЖХ, находящиеся после системы ввода проб, изготовлены из нержавеющей стали, желательно по возможности заменить их трубками из PEEK.
5.6.3 Аналитическая колонка
Используют аналитическую колонку длиной 150 мм, диаметром 4,6 мм, с неподвижной фазой C8 <1> на диоксиде кремния высокой чистоты с частицами диаметром 5 мкм. Рекомендуется перед аналитической колонкой устанавливать короткую заменяемую защитную колонку с такой же неподвижной фазой.
--------------------------------
<1> C8 Inertsil является примером подходящей продукции, имеющейся в продаже. Данная информация приведена для удобства пользователей настоящего стандарта и не является рекламой ИСО этой продукции.
5.6.4 Термостат колонки
Аналитическую колонку помещают в колоночный термостат, в котором поддерживается температура 30 °C или, по крайней мере, на 5 °C превышающая окружающую температуру.
5.6.5 Послеколоночный насос подачи кислоты
Насос, используемый в системе ВЭЖХ, должен обеспечивать подачу одной подвижной фазы с объемной скоростью 0,7 мл/мин в смесительный тройник, подсоединенный непосредственно к аналитической колонке. Так как противодавление ниже по потоку от аналитической колонки низкое, то между этим насосом и смесительным тройником может потребоваться установка демпфера пульсаций для обеспечения подачи подвижной фазы без пульсаций потока.
5.6.6 Детекторы
Для идентификации и количественного определения соединений методом ВЭЖХ применяют два детектора, соединенных последовательно: оптический детектор, работающий на переменной длине волны в УФ-области, УФД и ФЛД. Предпочтительно использовать ФЛД с ксеноновым источником излучения, поскольку в этом случае будет доступна более широкая область длин волн возбуждения. Допускается использовать ФЛД с дейтериевым источником излучения.
6.1 Подготовка к отбору проб в условиях лаборатории
6.1.1 Очистка аппаратуры для отбора проб
Аппаратуру для отбора проб многократного применения следует тщательно очищать перед использованием. Импинжеры, содержащие остатки бутилбензоата, следует промыть ацетоном, дать им высохнуть и, если это необходимо, замочить в моющем растворе на основе концентрированной серной кислоты, не содержащем хромовокислых солей. Через 30 мин их вынимают, тщательно промывают водой и сушат в сушильном шкафу. Кассеты, одобренные IOM <2>, из нержавеющей стали (но не весь корпус пробоотборника) помещают в небольшой лабораторный стакан с хлористым метиленом, обрабатывают ультразвуком в течение 15 мин, вынимают и дают высохнуть. Затем промывают их водой и помещают в раствор азотной кислоты концентрацией 6 моль/л на 30 мин (10 мин из которых проводят обработку ультразвуком), промывают водой и сушат в сушильном шкафу.
--------------------------------
<2> IOM - Institute of medicine of the National Academies (USA) - Институт медицины Национальной академии США.
6.1.2 Приготовление фильтров, покрытых реагентом MAP
С помощью микрошприца в помещении, свободном от изоцианатов, наносят раствор MAP массовой концентрацией 2 мг/мл на фильтр из стекловолокна или кварцевого волокна таким образом, чтобы плотность покрытия реагентом составляла 1,0 мкг/мм2 (например, наносят 250 мкл раствора на фильтр диаметром 25 мм). После испарения растворителя помещают фильтры в холодильник и хранят до использования. Готовые к использованию фильтры вставляют в соответствующие фильтродержатели.
6.1.3 Приготовление растворов для экстракции
Переносят необходимое количество раствора MAP для экстракции фильтров (раствор MAP в ацетонитриле концентрацией 1·10-4 моль/л) в широкогорлый сосуд с крышкой, футерованной ПТФЭ. Размер сосуда и количество раствора зависят от диаметра используемого фильтра и типа пробоотборника. В случае пробоотборников, одобренных IOM, кассеты из нержавеющей стали полностью погружают в раствор для экстракции объемом 10 мл. Для экстракции только одного фильтра требуется раствор значительно меньшего объема (например, 5,0 мл для фильтров диаметром 37 мм).
6.2 Подготовка к отбору проб в условиях применения
6.2.1 Градуировка побудителя расхода
Побудитель расхода градуируют при подключенной представительной линии отбора проб с использованием портативного расходомера. Если для отбора проб используют импинжер, то во время градуировки он должен быть заполнен соответствующим раствором.
6.2.2 Подготовка устройств отбора проб
Пробоотборники подготавливают к отбору проб в помещении, свободном от изоцианатов. Если для отбора проб используют импинжеры, то в каждый из них переносят по 15 мл раствора MAP в бутилбензоате концентрацией 1·10-4 моль/л. Подсоединяют выходное отверстие каждого загруженного устройства отбора проб к побудителю расхода с использованием подходящего шланга, обеспечивают герметичное соединение без утечек. Включают побудитель расхода, подсоединяют откалиброванный расходомер к входному отверстию устройства отбора проб и устанавливают соответствующую объемную скорость расхода. Выключают побудитель расхода и закрывают устройство отбора проб на время его транспортирования к месту отбора проб.
6.3.1 Отбор проб с использованием фильтра
В помещении, свободном от изоцианатов, закрепляют устройство отбора проб на одежде работника по возможности как можно ближе к зоне дыхания. Закрепляют побудитель расхода на его ремне или на другом надежном месте. По мере готовности к отбору проб включают побудитель расхода. Регистрируют время начала отбора проб. Отбирают требуемый объем воздуха при объемной скорости потока от 1 до 2 л/мин (1 л/мин - для кассетных фильтров диаметром 37 мм, 2 л/мин - для пробоотборников IOM). Минимальный объем пробы воздуха составляет 1 л. Максимальный объем пробы воздуха зависит от возможности продолжения работы насоса без существенного падения объемной скорости потока, но объем пробы воздуха 960 л (8 ч для рабочей смены при объемной скорости потока 2 л/мин) должен быть достигнут. При большой загрузке фильтр может засориться, что приведет к снижению объемной скорости потока. Если есть подозрения, что это произошло, то проверяют объемную скорость потока воздуха в устройстве отбора проб. Останавливают отбор проб и считают пробу недействительной в том случае, если в течение отбора проб объемная скорость потока воздуха отклоняется более чем на +/- 5% номинального значения. В конце отбора проб измеряют объемную скорость потока воздуха, выключают побудитель расхода и регистрируют время окончания отбора проб. Если есть вероятность, что при отборе проб были уловлены некоторые изоцианаты в виде твердых частиц, то немедленно помещают фильтр в сосуд с раствором для экстракции. Если есть достаточные основания полагать, что при отборе проб были уловлены изоцианаты только в виде паров, то не нужно проводить экстракцию фильтра перед его транспортированием в лабораторию. Вычисляют среднюю объемную скорость потока воздуха путем усреднения результатов ее измерения в течение всего отбора проб и вычисляют объем отобранного воздуха умножением объемной скорости потока воздуха, в л/мин, на продолжительность отбора проб, в мин.
6.3.2 Отбор проб с использованием импинжера
При отборе проб с использованием импинжера следуют указаниям (см.
6.3.1) относительно крепления устройства отбора проб к одежде работника для контроля за объемной скоростью потока воздуха и вычисления отобранного объема воздуха. Отбор проб проводят при объемной скорости потока воздуха 1 л/мин. Следят за тем, чтобы во время отбора проб импинжер находился практически в вертикальном положении. Поскольку в растворе для импинжера применяется нелетучий растворитель (бутилбензоат), нет необходимости повторно заполнять импинжер во время отбора проб. По окончании отбора проб переносят раствор из импинжера в виалу или сосуд с крышкой, футерованной ПТФЭ.
6.3.3 Отбор проб с использованием комбинации импинжера и фильтра
Если предполагается, что в исследуемом воздухе присутствуют как частицы диаметром < 2 мкм (которые нельзя эффективно уловить с помощью импинжеров), так и относительно быстро отверждающиеся частицы диаметром > 2 мкм (которые, как полагают, неэффективно образуют производные на пропитанном фильтре), то в этом случае следует использовать линию отбора проб, состоящую из импинжера, следом за которым расположен фильтр, пропитанный реагентом. После отбора проб можно поместить фильтр либо в раствор из импинжера, либо в отдельный сосуд для экстракции фильтра с крышкой, футерованной ПТФЭ.
6.4 Холостые пробы и отрицательный контроль
При очень низком содержании изоцианатов на результат хроматографического анализа могут оказывать существенное влияние побочные соединения, присутствующие в MAP-реагенте. Холостые пробы и отрицательный контроль используют для идентификации на хроматограмме пиков побочных соединений, содержащихся в реагентах. Холостые пробы чистых реактивов для условий применения - это пробы, с которыми обращаются так же, как с обычными пробами, но воздух не пропускают. На каждые десять обычных проб должна приходиться одна холостая проба для условий применения и минимум три холостые пробы - на серию. С пробами для отрицательного контроля обращаются так же, как с обычными пробами, отбор проб воздуха в данном случае проводят близко от основного места отбора проб, в воздухе, в котором не ожидается присутствие аналита. Для идентификации на хроматограмме пиков мешающих веществ, которые могут быть внесены при отборе проб, рекомендуется отбирать по три такие пробы на серию обычных проб.
Желательно отобрать, по крайней мере, 3 мл каждой технической смеси изоцианатов, если их применяют в рабочей зоне. Продукция, содержащая изоцианаты, хорошо подходит для качественного определения изоцианатов в пробе. Продукты, не содержащие изоцианаты, могут включать соединения, взаимодействующие с дериватизирующими реагентами с образованием мешающих соединений на хроматограмме пробы, которые могут дать побочные пики. По этой причине получение производных и их анализ для технических смесей, не содержащих изоцианаты, могут быть полезны при идентификации неизвестных пиков на хроматограмме пробы, которые в противном случае могут быть ошибочно приписаны изоцианатам.
6.6 Транспортирование проб
Помещают виалы с растворами из импинжеров, сосуды с растворами для экстракции фильтров или не подвергнутые экстракции фильтры в кулер. Целесообразно применять кулер, снабженный приспособлением, обеспечивающим удержание проб во время их транспортирования, например кюветой из пенополистирола с отверстиями, подходящими для надежной установки виал или сосудов с пробами. В любом случае стеклянные сосуды следует поддерживать в вертикальном положении во время транспортировки и предотвращать их соприкосновение друг с другом. Для сохранения проб в охлажденном состоянии во время их транспортировки применяют многослойную упаковку. Для исключения любой возможности загрязнения проб не рекомендуется транспортировать пробы технических смесей в том же контейнере, что и пробы воздуха. Если пробы технических смесей транспортируют вместе с пробами воздуха, то они должны быть упакованы таким образом, чтобы загрязнение проб было исключено. Помещают кулер в прочный ящик, соответствующий требованиям транспортировки опасных веществ. Пробы следует транспортировать в соответствии с Правилами перевозки опасных грузов
[17]. В соответствии с этими правилами пробы, отобранные в импинжеры с бутилбензоатом, необязательно транспортировать, как опасные вещества. Пробы, отобранные на фильтр и экстрагированные ацетонитрилом в условиях применения, следует транспортировать в соответствии с правилами транспортировки ацетонитрила.
6.7 Пробы, отобранные на фильтр
При получении проб, отобранных в полевых условиях, добавляют по 5 мкл уксусного ангидрида в каждую из них. Это обеспечивает перевод избытка MAP-реагента в производное ацетамида. Эту процедуру проводят потому, что ацетилированный MAP в последующем ВЭЖХ анализе дает значительно меньшие хвосты, чем свободный MAP и потому, что введение большого количества избытка реагента по опубликованным данным приводит к порче аналитической колонки. Оставляют пробы для протекания реакции по крайней мере на два часа при комнатной температуре или на ночь в холодильнике перед анализом. Присоединяют выход шприца с фильтрующей насадкой из ПТФЭ с номинальной тонкостью фильтрации 0,45 мкм через одноразовый вкладыш из ПТФЭ к одному из портов вакуумного коллектора для ТФЭ. Подсоединяют пустой цилиндр шприца из полипропилена на входе фильтрующей насадки. Вводят раствор для экстракции в шприц. Пропускают пробу через фильтрующую насадку из ПТФЭ под действием положительного или отрицательного давления и собирают в виалу вместимостью 20 мл. Записывают конечный объем контрольной пробы как Vf, это объем раствора, пошедшего на экстракцию фильтра. До анализа пробы хранят в морозильной камере холодильника. Рекомендуется провести анализ проб в течение месяца для сведения к минимуму проблем с идентификацией хроматографических пиков, связанных с MAP-производными побочных веществ, которые могут появиться в пробе со временем.
6.8 Пробы, отобранные в импинжеры
Общий объем раствора пробы в импинжере составляет 15,0 мл и его обозначают как Vt. Анализируют порцию раствора пробы из импинжера объемом 5,0 мл и обозначают этот объем как Vtp. Подсоединяют картридж для ТФЭ вместимостью 6 мл, содержащий 500 мг силикагеля, к фильтрующей насадке шприца. Кондиционируют картридж для ТФЭ с помощью бутилбензоата объемом 2 мл так, чтобы уровень жидкости опустился до верхнего края слоя сорбента. Добавляют порцию контрольной пробы объемом 5,0 мл в картридж из ТФЭ, настраивая вакуумный насос коллектора для получения объемной скорости потока от 1 до 2 мл/мин и выключают его, когда уровень жидкости достигнет верхнего края сорбента. Добавляют 6 мл метиленхлорида непосредственно в картридж из ТФЭ и проводят элюирование до тех пор, пока уровень жидкости не достигнет верхнего края сорбента. Удаляют весь собранный элюат.
Добавляют 3 мл смеси ацетонитрила и метанола с объемным отношением девять к одному в картридж. Проводят элюирование при объемной скорости потока от 1 до 2 мл/мин до тех пор, пока уровень жидкости не достигнет верхней части сорбента. Собирают элюат в предварительно взвешенную виалу вместимостью 7 мл. Добавляют 3 мл метанола в картридж для ТФЭ. Проводят элюирование и собирают элюат в эту же виалу. Уменьшают объем элюата приблизительно до 1 мл путем испарения растворителя под слабым потоком азота. Вычисляют объем пробы на основе ее массы и плотности ацетонитрила (0,786 г/мл). Записывают конечный объем пробы как Vf. Хранят пробы в морозильной камере холодильника до анализа.
7 Анализ методом высокоэффективной жидкостной хроматографии
Устанавливают объемную скорость потока жидкости 1,5 мл/мин. Устанавливают объемную скорость подачи кислоты 0,7 мл/мин с помощью насоса, расположенного после хроматографической колонки. Поддерживают температуру аналитической колонки на уровне 30 °C или по крайней мере на 5 °C выше окружающей среды.
Приведенные ниже длины волн оптимальны для прибора, который применялся при разработке метода, приведенного в настоящем стандарте. Установка оптимальных длин волн для других приборов может несколько отличаться. Настраивают УФД на длину волны 253 нм. При использовании ФЛД с ксеноновым источником устанавливают длину волны возбуждения 368 нм. На этой длине волны ФЛД обеспечивается наилучшая селективность и, следовательно, получают наилучшее доказательство того, что пик соответствует MAP-производному. Если требуется максимальная чувствительность, то устанавливают длину волны возбуждения 250 нм. При использовании ФЛД с дейтериевым источником устанавливают длину волны возбуждения 250 нм. Если конструкцией ФЛД предусмотрена возможность выбора длины волны источника излучения, то устанавливают длину волны 409 нм. Настраивают автоматический дозатор ВЭЖХ на подачу пробы объемом 30 мкл для промывки иглы между вводом образцов.
7.2 Программа для высокоэффективной жидкостной хроматографии
Программа для ВЭЖХ может быть настроена таким образом, чтобы было получено наилучшее сочетание разрешения пиков и продолжительности анализа для отдельного изоцианата. Ввод пробы должен осуществляться при элюировании 100%-ной подвижной фазой A, но время удерживания при этом и скорость нарастания начального градиента зависят от природы выходящих ранее изоцианатов. Программа для ВЭЖХ, приведенная в
таблице 2, является достаточно исчерпывающей и предназначена гарантировать элюирование наибольшего числа изоцианатов из возможных. Рекомендуется в начале определять изоцианаты, элюируемые самыми последними. Обычно для улучшения разрешения пиков время удерживания 13 мин при элюировании 100%-ной подвижной фазой B может быть сокращено, а градиент подобран более пологим.
Таблица 2
Время, мин | Конечная точка этапа |
От 0 до 4 включ. | Элюирование 100%-ной подвижной фазой A <a> |
Св. 4 до 17 включ. | Линейный градиент от 100%-ной подвижной фазы A <a> к 100%-ной подвижной фазе B <b> |
Св. 17 до 30 включ. | Поддержание 100%-ной подвижной фазы B <b> |
Св. 30 до 36 включ. | Возврат к подвижной фазе A <a> с массовой долей 100% |
<a> Смесь ацетонитрил/буферный раствор с pH 6,0 (с отношением по объему 65/35 (см. 4.4.1). <b> Смесь ацетонитрил/буферный раствор с pH 1,6 (с отношением по объему 65/35 (см. 4.4.1). |
Примеры хроматограмм MAP-производных изоцианатов приведены на
рисунке 3.
a)
b)
c)
t - время; V - разность потенциалов;
a) - хроматограмма, полученная с помощью ФЛД, для HDI-MAP
концентрацией 2,5·10-7 моль/л и IPDI-MAP концентрацией
2,5·10-7 моль/л (два изомера общей концентрацией 2,5·10-7
моль/л); b) - хроматограмма, полученная с помощью УФД,
для технической смеси изоцианатов, содержащей олигомеры
на основе HDI и IPDI; c) - хроматограмма, полученная
с помощью ФЛД, для технической смеси изоцианатов,
содержащей олигомеры на основе HDI и IPDI
Рисунок 3 - Примеры хроматограмм MAP-производных изоцианатов
8 Обработка результатов измерений
8.1 Количественное определение мономеров
Содержание изоцианатов, для которых имеются чистые стандартные образцы, например мономерные диизоцианаты, может быть определено либо по отношению к интенсивности пика, либо его площади для заданного соединения, при точном времени удерживания с градуировочным графиком, полученным на основе стандартных растворов анализируемых веществ. Хотя количественно мономеры можно определить по хроматограммам, полученным с помощью УФД или ФЛД по высоте или площади пика, для количественного определения рекомендуется использовать высоту пика на хроматограмме, полученной с помощью ФЛД. Он является более чувствительным и более селективным по сравнению с УФД. Предпочтительно использовать высоту пика, а не его площадь, особенно, если на хроматограмме наблюдаются близко расположенные перекрывающиеся пики. Подтверждают идентичность мономера на хроматограмме пробы, сравнивая отношения сигналов ФЛД/УФД для пиков пробы на хроматограмме, полученной с помощью ФЛД или УФД, со стандартным раствором, дающим аналогичный сигнал.
Примечание - Отношение выходных сигналов ФЛД/УФД будет несколько отличаться при низком уровне содержания изоцианатов из-за нелинейности градуировочного графика для ФЛД. Обычно для пика пробы на хроматограмме отношение сигналов ФЛД/УФД составляет не более 25% для стандартного пика соизмеримого размера.
8.2 Количественное определение олигомеров (суммарного содержания обнаруженных изоцианатов)
Содержание изоцианатов, для которых нет в наличии стандартных образцов, таких, как например олигомерные изоцианаты, определяют исходя из площади пиков на хроматограмме пробы, полученной с помощью УФД, и наклона градуировочного графика, построенного с использованием стандартных растворов анализируемых соединений. Часто несколько пиков изоцианатов выходят на хроматограмме вместе в виде огибающей нескольких пиков плохого разрешения. В этом случае лучше определить интеграл под всей огибающей кривой на хроматограмме в заданном диапазоне, чем интегрировать пики по отдельности. Хроматограмму, полученную с помощью ФЛД, применяют для качественного подтверждения присутствия MAP-производных изоцианатов среди элюируемых соединений. При отсутствии MAP-производных каких-либо соединений, базовая линия хроматограммы, полученной с помощью ФЛД, будет горизонтальной. Поэтому хроматограмму, полученную с помощью ФЛД, можно использовать для определения начала и конца интегрирования на хроматограмме, полученной с помощью УФД. Выходной сигнал ФЛД слишком сильно меняется от одного соединения к другому, чтобы использовать этот детектор для количественного определения изоцианатов, для которых отсутствуют стандартные образцы. Однако выбранные длины волн возбуждения и испускания, обеспечивают обнаружение MAP-производных с достаточно хорошей селективностью. Опыт показывает, что для MAP-производных изоцианатов отношение выходных сигналов ФЛД/УФД составляет приблизительно от 0,33 до 2 отношения для MAP-производных мономерных диизоцианатов. Хроматограммы проб следует сравнить с хроматограммами холостых проб и результатами отрицательного контроля для того, чтобы отличить пики по производным изоцианатов от пиков по производным побочных соединений, содержащихся в реагентах, и пиков по другим соединениям.
9 Калибровка и контроль качества
9.1 Стандартные градуировочные растворы
Калибровку проводят ежедневно с использованием шести стандартных градуировочных растворов в соответствующем диапазоне измерений. Анализируют эти растворы среди проб. Рабочий диапазон УФД, в молях изоцианатных групп на литр составляет приблизительно от 1·10-7 до 2 q 10-4. Рабочий диапазон некоторых ФЛД может быть изменен посредством настройки чувствительности детектора. Обычно рекомендуется настраивать чувствительность ФЛД таким образом, чтобы его рабочий диапазон соответствовал более низким значениям концентрации по сравнению с УФД. Это позволит количественно определить мономер при очень низком уровне его содержания. Однако в таких условиях MAP-производные при их высоком содержании могут выдавать флуоресцентный сигнал вне пределов диапазона измерений ФЛД. Стандартные градуировочные растворы должны содержать MAP-производное(ые) соответствующего(щих) мономерного(ных) диизоцианата(ов).
Хотя это не установлено в методике измерений, но применение внутреннего стандарта возможно будет улучшать метрологические характеристики метода. Применение внутреннего стандарта обеспечивает выявление и/или корректировку, например изменчивости объема вводимой пробы и дрейфа времени удерживания. Очевидно, что внутренние стандарты не должны присутствовать в пробе и должны давать хроматографические пики в тех областях хроматограммы, где не наблюдаются пики аналитов. Для анализа проб, содержащих ди- и полиизоцианаты, в качестве подходящих внутренних стандартов используют MAP-производные моноизоцианатов (таких, как фенилизоцианат или бутилизоцианат), поскольку они будут давать пики на хроматограмме между пиками реагента и диизоцианатов.
9.2 Градуировочные графики
Строят градуировочные графики (зависимость выходного сигнала cNCO, моль/л, от концентрации NCO-групп в стандартном градуировочном растворе) для количественного определения мономера и олигомера. Олигомер количественно определяют по линейному градуировочному графику на основе площадей пиков для мономерного MAP-производного на хроматограмме, полученной с помощью УФД. Мономер количественно определяют с применением любого из двух детекторов, регистрирующих высоту или площадь пика, однако для пика флуоресцентного сигнала рекомендуется регистрировать высоту хроматографического пика. Может потребоваться квадратичная аппроксимация градуировочного графика, полученного с помощью ФЛД, поскольку в области низкого содержания на графике может появиться изгиб.
9.3 Холостые пробы реактивов
Анализируют две холостые пробы растворителя (ацетонитрила) в начале каждой серии проб. Хроматограмму второй холостой пробы используют для настройки автоматического вычитания хроматограммы растворителя из хроматограмм проб. Анализируют одну дополнительную холостую пробу растворителя на каждую серию пробы. Анализируют одну холостую пробу, содержащую MAP-реагент, на каждые десять проб, при этом не менее трех на каждую серию проб. Используют контрольные пробы для условий применения и холостые пробы для отрицательного контроля для идентификации пиков, не относящихся к изоцианатам (обычно пиков побочных соединений, содержащихся в реагентах), которые скорее всего могут появиться на хроматограммах проб.
Анализируют технические продукты, применяемые в рабочей зоне, представительные для соединений, содержащихся в пробе воздуха. По возможности всегда анализируют технические продукты. Также рекомендуется анализировать продукцию, не содержащую изоцианаты (например, фракцию высокомолекулярного спирта двухфазной спрей-системы, содержащей высокомолекулярный спирт), чтобы убедиться в том, что они не содержат мешающих соединений, которые могут быть ошибочно приняты за изоцианаты. Технические продукты следует перед анализом дериватизировать с помощью MAP (см.
4.3.4). Для подтверждения отнесения пиков на хроматограммах проб к изоцианатам рекомендуется применять хроматограммы технических изоцианатов, особенно при низком уровне содержания.
9.5 Введение аналита для контроля качества
В каждой серии проб вводят аналит в один неиспользованный пробоотборник на каждые десять проб и минимум один раз на серию проб. Содержание аналита в пробе для контроля качества должно соответствовать его содержанию в конкретной серии проб и/или требованиям, предъявляемым к точности проводимого анализа. Это может означать введение в пробоотборник аналита при содержании, эквивалентном тому, которое должно быть отобрано из атмосферы, содержащей аналит при предельно допустимом уровне воздействия, и отбор проб в течение периода представительного для периода в условиях применения. Вводимый аналит может иметь и более низкий уровень содержания, если он будет соответствовать уровню его содержания в реальных пробах.
Строят градуировочный график зависимости высоты или площади пика (предпочтительно высоты пика), полученного с помощью ФЛД от концентрации NCO-групп cNCO, моль/л, в стандартных градуировочных растворах мономера. Определяют cNCO в контрольной пробе по градуировочному графику.
Для проб, отобранных на фильтр, массу изоцианата m, в микрограммах на контрольную пробу, вычисляют по формуле
m = cNCOmeqVf·1000,
где cNCO - концентрация NCO-групп в контрольной пробе, определенная по градуировочному графику, моль/л;
meq - масса мономерного изоцианата, в грамм-эквивалентах изоцианата <1> (см.
таблицу 1), или масса NCO-групп, в грамм-эквивалентах изоцианата, т.е. 42;
--------------------------------
<1> В системе СИ единицей mед вместо "грамм-эквивалентов" будет "г/моль".
Vf - конечный объем контрольной пробы (см.
6.7), мл.
Примечание - Единица, в которой будет выражено окончательное значение m, будет зависеть от того, в какой единице выражена meq, подставляемая в формулу. Окончательное значение может быть выражено в микрограммах мономера или микрограммах NCO-групп (для олигомера в микрограммах NCO-групп или микрограммах других изоцианатсодержащих соединений, если эквивалентные массы этих соединений известны).
Для проб, отобранных с помощью импинжера, массу изоцианата m, в микрограммах на контрольную пробу, вычисляют по формуле
m = cNCOmeqVf(Vt/Vtp)·1000,
где cNCO - концентрация NCO-групп, в контрольной пробе, определенная по градуировочному графику, моль/л;
meq - масса мономерного изоцианата, в грамм-эквивалентах изоцианата (см.
таблицу 1), или масса NCO-групп, в грамм-эквивалентах изоцианата, т.е. 42;
Vf - конечный объем раствора контрольной пробы после ТФЭ (см.
6.8), мл;
Vt - общий объем бутилбензоатного контрольного раствора в импинжере (см.
6.8), мл;
Vtp - объем, контрольной пробы бутилбензоатного раствора изоцианата (см.
6.8), мл.
Примечание - Единица, в которой будет выражено окончательное значение m, будет зависеть от того, в какой единице выражена meq, подставляемая в формулу. Окончательное значение может быть выражено в микрограммах мономера или микрограммах NCO-групп (для олигомера в микрограммах NCO-групп или микрограммах других изоцианатсодержащих соединений, если эквивалентные массы этих соединений известны).
10.2 Олигомеры (общее содержание обнаруженных изоцианатов)
Все MAP-производные изоцианатов при их регистрации с помощью УФД имеют близкие коэффициенты преобразования, олигомеры могут быть количественно определены по градуировочному графику, построенному на основе результатов анализа стандартных градуировочных растворов мономера, предпочтительно того мономера, из которого получен олигомер. Строят градуировочный график зависимости площади пика, полученного с помощью УФД, от концентрации NCO-групп, моль/л, в стандартных градуировочных растворах мономера. По угловому коэффициенту градуировочного графика вычисляют концентрацию NCO-групп отдельного изоцианата, группы изоцианатов или всех изоцианатов cNCO, tp, моль/л, в контрольной пробе по формуле
cNCO, tp = Atp/bcal,
где Atp - площадь пика на хроматограмме, полученной с помощью УФД, для изоцианата(ов) в контрольной пробе;
bcal - угловой коэффициент градуировочного графика, выраженный в единицах площади пика, полученного с помощью УФД, на концентрацию.
По данной методике можно определить содержание в молях изоцианатной группы олигомеров в объеме пробы. По этой методике нельзя определить массу искомого соединения, мкг, если неизвестна его эквивалентная масса. В действительности имеют дело со смесью соединений с различными и неизвестными эквивалентными массами. Для пересчета концентрации NCO-групп, моль/л, в микрограммы изоцианатной группы на пробу используют формулы (см.
10.1) и эквивалентную массу NCO-группы: 42 грамма на эквивалент. В некоторых странах, включая Австралию, Финляндию, Ирландию, Швецию и Соединенное Королевство, приняты единицы поглощенной дозы: микрограммы NCO-групп в единице объема воздуха.
Любое неизоцианатное соединение, которое образует производный продукт с MAP, является потенциальным мешающим определению соединением. Любое соединение, которое элюирует во время или после времени удерживания мономера и поглощает на длине волны 253 нм, потенциально может мешать количественному определению изоцианатов. Мешающие соединения, для которых не наблюдается значимой флуоресценции на заданной длине волны возбуждения и испускания, почти наверняка не содержат MAP. Если это не амины, то их можно с легкостью отделить от MAP-производного за счет изменения градиента pH. Пики MAP-производных побочных соединений наблюдаются на хроматограмме и могут оказывать мешающее влияние при низком уровне содержания изоцианатов. Влияние мешающих соединений сводят к минимуму, проводя анализ проб в течение 30 дней после их отбора и используя холостые пробы и пробы отрицательного контроля для идентификации пиков побочных соединений.
12 Определение характеристик эффективности
Измерение концентрации изоцианатов в воздухе рабочей зоны имеет неопределенность, которая может быть выражена как суммарная (см.
[5]) или расширенная неопределенность (см.
[4]). Поэтому оценку неопределенности необходимо выполнять в соответствии с одним из этих двух способов. В обоих случаях эта оценка включает в себя определение составляющих неопределенности, выполненное при лабораторных испытаниях или испытаниях, воспроизводящих условия применения, или на основе имеющейся информации. Полученные значения неопределенности измерения затем могут быть сравнены с заданными критериями, например установленными в
[5] или предусмотренными национальным и международными законодательными актами.
Этот раздел по определению метрологических характеристик взят из
[2] с внесением небольшого числа изменений. Хотя большинство факторов, являющихся источником неопределенности в методах, описанных в
[2] и в настоящем стандарте одинаковы, различия этих методов обуславливают некоторые изменения в отношении факторов, вносящих вклад в неопределенность. Очевидно, что оцененные или вычисленные значения вкладов в неопределенность часто будут различны.
Вклады в неопределенность и критерии приведены в
таблице 3.
Таблица 3
Вклады в неопределенность и критерии
Вклад в неопределенность | Символ вклада | Пункт | Критерий (предельно допускаемое значение) |
Объем контрольной пробы | Vsam | | - |
Расход при отборе проб - калибровка | qcal | | Относительная неопределенность < 2% |
Расход при отборе проб - разброс | | | < 5% |
Продолжительность отбора проб | t | | Относительная неопределенность < 0,1% |
Температура во время отбора проб | T | | Относительная неопределенность < 4% |
Давление во время отбора проб | p | | Относительная неопределенность < 2% |
Масса аналита | msam | | - |
Стабильность аналита во время хранения | wNCO, s | | Не наблюдается существенной разницы между результатами измерений для проб, полученными до и после хранения |
Эффективность реакции/экстракции | | | Более 90% при предельном значении с относительной неопределенностью, < 3% |
Масса изоцианата в стандартных градуировочных растворах | mCS | | Относительная неопределенность, < 2% |
Несоответствие градуировочного графика | LOF | | Относительные разности в пределах диапазона градуировки < 3%; при предельном значении < 2% |
Дрейф выходного сигнала в промежутках между градуировками | RD | | < 3% |
Прецизионность анализа | r | | < 1% |
Селективность | s | | Разрешающая способность > 1 |
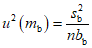
Уровень холостых показаний | mb | | < 50 нг при относительной неопределенности < 5% |
Межлабораторные вариации | | | Относительная неопределенность < 7,5% |
12.2 Оценка характеристик эффективности <1>
--------------------------------
<1> Оценка характеристик эффективности основана на подходе, подробно описанном в
[4].
12.2.1 Эффективность улавливания в зависимости от распределения частиц по размеру
Подробное описание требований и методов определения данной характеристики приведено в
[4].
12.2.2 Отбор проб воздуха
12.2.2.1 Объем отобранного воздуха
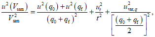
Отобранный объем воздуха Vsam, обычно выраженный в миллилитрах, вычисляют на основе расхода воздуха, измеренного до и после отбора проб, как установлено в ИСО 16200-1 по формуле

, (1)
где q0 - расход в начале отбора пробы, мл/мин;
qf - расход в конце отбора пробы, мл/мин;
t - продолжительность отбора проб, мин.
Неопределенность результатов измерения объема отобранного воздуха складывается из неопределенностей, связанных:
a) с измерениями расхода до и после отбора проб,
b) с определением продолжительности отбора проб,
c) с изменениями расхода во время отбора проб - и может быть вычислена по формуле

(2)
в которой последний член представляет собой вклад в неопределенность, связанную с изменениями расхода во время отбора проб.
12.2.2.2 Продолжительность отбора проб
Продолжительность отбора проб t может быть определена с погрешностью в пределах +/- 0,5 мин. При продолжительности отбора проб 8 ч относительной неопределенностью измерений t пренебрегают из-за ее небольшого значения.
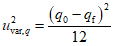
12.2.2.3 Изменения расхода во время отбора проб
Мгновенное значение расхода во время отбора проб неизвестно. Неопределенность, обусловленная изменениями расхода во время отбора проб, uvar, q может быть оценена на основе предположения о равномерном распределении по формуле

. (3)
12.2.2.4 Приведение значений объема пробы к заданным температуре и давлению
Для приведения значений объема пробы к заданным температуре и давлению (STP, см.
[18]) необходимо знать их действительные средние значения во время отбора проб. Неопределенности значений температуры
T и давления
p, используемых для приведения к заданным условиям, могут быть получены на основе:
a) результатов реальных измерений с учетом неопределенности, обусловленной градуировкой датчиков температуры и давления, по формуле

, (4)
где ucal - неопределенность, обусловленная градуировкой датчиков;
smeas - стандартное отклонение результатов измерений температуры/давления;
n - число результатов измерений температуры/давления;
b) информации о предельных значениях температуры и давления во время отбора проб в предположении их равномерного распределения.
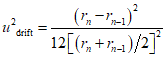
Например, если предельные значения температуры Tmin и Tmax известны, то неопределенность, обусловленную изменением температуры T, вычисляют по формуле

. (5)
Как правило, первый член в
формуле незначителен по сравнению со вторым.
12.2.2.5 Суммарная неопределенность объема пробы
Вклады в неопределенность, полученные по
12.2.2.4, суммируют и неопределенность объема пробы, приведенного к стандартным условиям, вычисляют по формуле

. (6)
12.2.3.1 Масса аналита в пробе
Массу изоцианата в пробе воздуха msam вычисляют по формуле

, (7)
где

- эффективность улавливания;

- эффективность реакции/экстракции;
fr - коэффициент преобразования;
manal - масса изоцианата в пробе без учета поправки;
Sa - стабильность аналита в пробе;

- коэффициент, связанный с изменчивостью устройств отбора проб.
12.2.3.2 Стабильность аналита
Стабильность аналита должна быть установлена экспериментально для условий хранения (время, температура и другие окружающие условия), типичных для конкретной лаборатории. Испытания следует проводить при уровне содержания изоцианата, соответствующем концентрации, эквивалентной предельно допустимому значению.
При времени t = 0 и t = t должен быть проанализирован ряд проб (n >= 6) в условиях повторяемости. Для обоих значений времени пробы следует выбирать случайным образом из партии репрезентативных проб, чтобы свести к минимуму возможные систематические изменения содержания. Для проверки стабильности используют t-критерий Стьюдента (двусторонний критерий при уровне доверительной вероятности 95%). Неопределенность определения стабильности состоит из вкладов, обусловленных:
a) десорбцией (случайная составляющая эффективности десорбции);
b) градуировкой (случайная составляющая градуировки);
c) прецизионностью анализа;
d) неоднородностью партии проб.
По существу, вклад в неопределенность, обусловленный определением стабильности аналита, уже включен в другие вклады в неопределенность и нет необходимости его учитывать.
12.2.3.3 Эффективность реакции/экстракции
Эффективность реакции/экстракции изоцианата и ее неопределенность, как правило, получают на основе повторных измерений концентрации аттестованных стандартных образцов (АСО) изоцианата или продукта(ов) его реакции. Неопределенность, обусловленную неполнотой реакции/экстракции, для уровня содержания изоцианата, соответствующего предельно допустимому значению, вычисляют на основе вкладов:
a) неопределенности значения концентрации стандартного раствора;
b) стандартного отклонения средней степени извлечения;
c) отклонения средней массы изоцианата в пробе по отношению к массе изоцианата в АСО.
Неопределенность, обусловленную неполнотой реакции/экстракции, вычисляют по формуле

, (8)
где mCRM - аттестованная масса изоцианата в АСО;
uCRM - неопределенность аттестованной массы изоцианата в АСО;
mdet - средняя масса изоцианата, определенная при анализе;
s(mdet) - стандартное отклонение среднего значения массы, полученной на основе результатов повторных измерений.
Последним членом в
формуле, представляющим собой неопределенность, обусловленную значимым систематическим смещением значения измеренной массы от аттестованного значения, можно пренебречь, если
a) смещение статистически незначимо при уровне доверительной вероятности 95%;
b) введена поправка на смещение.
Если АСО нет в наличии, то следует использовать материал наивысшего метрологического качества.
12.2.3.4 Коэффициент преобразования
По методике измерений, установленной в настоящем стандарте, можно количественно определить изоцианаты, для которых нет в наличии аналитических стандартов, на основе коэффициента преобразования УФД для MAP-производного наиболее подходящего мономерного диизоцианата. Другими словами, метод обеспечивает количественное определение изоцианатов в том случае, если для них получен такой же коэффициент преобразования УФД, как и для мономера. В действительности коэффициент преобразования УФД в зависимости от соединения будет незначительно отличаться. Неопределенность коэффициента преобразования может быть оценена по изменчивости коэффициентов преобразования для нескольких различных изоцианатов.
12.2.3.5 Нескорректированная масса аналита
Неопределенность некорректируемой массы соединения обусловлена:
a) неопределенностью значений концентрации соединения в используемых стандартных градуировочных растворах;
b) несоответствием градуировочной функции;
c) дрейфом выходного сигнала детектора между градуировками;
d) прецизионностью анализа;
e) селективностью хроматографической системы.
12.2.3.6 Стандартные градуировочные растворы
Неопределенность значений концентрации изоцианата в используемых стандартных градуировочных растворах зависит от типа стандартного раствора.
Для стандартных градуировочных растворов в толуоле или ацетонитриле неопределенность состоит из следующих вкладов:
a) неопределенность значений чистоты изоцианата, известной из сопроводительной документации изготовителя, как правило, представляемой как минимальный уровень чистоты, wNCO, p, например, массовая доля wNCO, p = 99% или массовая доля wNCO, p >= 99%; в первом случае относительная неопределенность, обусловленная наличием примесей задается как (100 - wNCO, p)%; во втором случае - это относительная неопределенность, оцениваемая в предположении равномерного распределения по формуле

; (9)
b) неопределенности взвешивания веществ и растворов по методу разности масс, т.е. в этом случае неопределенность взвешивания, обычно uweigh, вычисляют по формуле

, (10)
где ubal - погрешность используемых весов.
12.2.3.7 Несоответствие градуировочной функции
Неопределенность, обусловленную несоответствием градуировочной функции, можно вычислить для концентрации изоцианата (соответствующей массе изоцианата, отобранного при предельном значении) по отклонениям от градуировочной функции, полученной взвешенным методом наименьших квадратов для линейной регрессии, деленным на концентрацию изоцианата в стандартном градуировочном растворе, по формуле

, (11)
где mregr - масса изоцианата, вычисленная по уравнению регрессии, при уровне концентрации стандартного раствора, соответствующему самому близкому к массе изоцианата, представляющего пробу при предельном значении;
msms - масса изоцианата, содержащегося в соответствующем стандартном градуировочном растворе;

- относительный остаток для заданного уровня концентрации.
Примечание - Несоответствие градуировочной функции вносит вклад в неопределенность, обусловленную неполнотой экстракции или реакции, если их эффективность значительно отличается от 1. В этом случае независимо от того, была ли введена поправка на неполноту реакции/экстракции или нет, неопределенность, обусловленную несоответствием градуировочной функции, можно не учитывать при оценке неопределенности.
12.2.3.8 Дрейф выходного сигнала детектора
Неопределенность, обусловленную дрейфом выходного сигнала детектора DR, можно оценить на основе относительных разностей выходных сигналов между последовательными градуировками по формуле

, (12)
где rn - выходной сигнал детектора для стандартного градуировочного раствора, наиболее точно соответствующий массе изоцианата при его предельном содержании в пробе;
n - число повторных анализов.
12.2.3.9 Прецизионность анализа
Неопределенность, обусловленную (недостаточной) прецизионностью анализа ur, оценивают в условиях повторяемости, анализируя стандартные градуировочные растворы одного и того же состава; проводят минимум шесть повторных анализов. При этом проводят не менее шести повторных анализов. Затем неопределенность вычисляют по формуле

, (13)
где sanal - стандартное отклонение выходных сигналов при повторных анализах;
n - число повторных анализов;

- среднее значение выходного сигнала.
При оценке неопределенности данный вклад в неопределенность при определении эффективности реакции/экстракции можно не учитывать, т.к. он уже был включен.
12.2.3.10 Селективность анализа
Используемая система разделения (колонка для ВЭЖХ, градиентная программа) должна быть оптимизирована для сведения к минимуму неопределенности, обусловленной (незамеченным) совместным элюированием потенциальных мешающих соединений.
Разрешение используемой ВЭЖХ системы R вычисляют по формуле

, (14)
где

- разность времени удерживания изоцианата и мешающего соединения, с;
bNCO - ширина пика изоцианата на полувысоте, с;
bl - ширина пика мешающего соединения на полувысоте, с.
Разрешение R должно быть больше 1. В этом случае максимальная неопределенность, обусловленная совместным элюированием, составляет 2,5%. Типичный вклад в неопределенность составит +/- 0,7%.
12.2.3.11 Суммарная неопределенность анализируемой массы изоцианата
Приведенные в
12.2.3.6 -
12.2.3.8 и
12.2.3.10 вклады в неопределенность объединяют и неопределенность измерения массы соединения
u(
manal), (исключая неопределенность, обусловленную недостаточной прецизионностью) вычисляют по формуле

, (15)
где usel - неопределенность селективности анализа.
12.2.3.12 Суммарная неопределенность массы отобранных изоцианатов
Вклады в неопределенность, приведенные в
12.2.3.3 -
12.2.3.8,
12.2.3.10 и в
12.2.3.11, объединяют и неопределенность массы отобранных изоцианатов в пробе воздуха
u(
msam) вычисляют по формуле

. (16)
12.2.4 Масса соединения в холостой пробе
Массу изоцианата в холостой пробе mb определяют проведением анализа ряда холостых проб в условиях повторяемости; проводят не менее шести повторных анализов. Неопределенность вычисляют с использованием углового коэффициента градуировочной функции, экстраполированной к точке, соответствующей уровню сигнала холостой пробы, по формуле

, (17)
где sb - стандартное отклонение результатов повторных анализов;
n - число повторных анализов;
bb - угловой коэффициент градуировочного графика, экстраполированного к уровню холостых показаний.
Если сигнал холостого опыта в три раза меньше уровня шумов детектора при времени удерживания изоцианата, то уровень сигнала холостого опыта mb и его неопределенность u(mb) следует вычислять на основе уровня шумов детектора с использованием коэффициента градуировочной функции, экстраполированной к нулевому уровню выходного сигнала, в предположении о его равномерном распределении по формулам

, (18)

, (19)
где r0 - уровень шумов;
b0 - угловой коэффициент градуировочной функции при нулевом уровне выходного сигнала.
12.2.5 Межлабораторные вклады в неопределенность
Возможно отступление от установленной процедуры оценки составляющих неопределенности анализа, приведенной в настоящем стандарте, при применении его в различных лабораториях. Окончательные дополнительные вклады в неопределенность могут быть определены количественно при проведении межлабораторных сличений, охватывающих:
a) всю процедуру измерений, включая отбор проб;
b) аналитическую часть процедуры измерений.
Межлабораторные сличения организуют в соответствии с ИСО 5725-2 с использованием образцов достаточной гомогенности для обеспечения того, чтобы вклад в межлабораторную неопределенность, обусловленный негомогенностью, был незначительным. На практике, как правило, достаточно, чтобы неопределенность из-за негомогенности была < 2%.
12.2.6 Суммарная неопределенность
Суммарную неопределенность концентрации изоцианата в пробе воздуха
uc(
Cm) получают объединением вкладов в неопределенность, вычисленных по
формулам (6),
(16) и
(19), прибавляя (при необходимости) межлабораторный вклад в неопределенность, по формуле

, (20)
где uil - межлабораторный вклад в неопределенность.
12.2.7 Расширенная неопределенность
Расширенную неопределенность измерений концентрации изоцианата Cm при уровне доверительной вероятности 95% получают умножением uc(Cm) на коэффициент охвата 2.
12.2.8 Неопределенность, исходя из значений критериев
При суммировании стандартных неопределенностей, связанных с характеристиками эффективности (см.
12.2), рассматривают наихудший случай. Полученная суммарная относительная неопределенность, вычисленная по
12.2.6, будет составлять +/- 10%. Расширенная неопределенность составит +/- 20%.
(справочное)
ХАРАКТЕРИСТИКИ ЭФФЕКТИВНОСТИ
A.1 Оценки неопределенности
Данные по вкладам в неопределенность, приведенные в
таблице A.1, взяты из литературных источников и получены при валидации метода, установленного настоящим стандартом.
Таблица A.1
Вклады в неопределенность
Вклад в неопределенность | Неопределенность, % | Комментарии |
Объем пробы | 4 | Для пробы воздуха, отобранной в течение 15 мин при расходе 1 л/мин |
Расход при отборе проб - калибровка | 2 | Свидетельство о калибровке прибора |
Разброс расхода при отборе пробы | 3 | Оценка |
Продолжительность отбора проб | 0,2 | - |
Температура во время отбора проб | 1 | Оценка |
Давление во время отбора проб | 1 | Оценка |
Масса аналита | | |
Стабильность аналита при хранении | Пренебрежимо мала | |
Эффективность реакции/экстракции | 4 | Вычислена на основе результатов титрования, полученных при межлабораторном исследовании на стадии разработки настоящего стандарта и справочной информации [12]) |
Коэффициент преобразования | 3 | Изменчивость выходного сигнала УФД на длине волны 254 нм для пяти изоцианатов (см. [12]) |
Масса изоцианата в стандартных градуировочных растворах (определенная взвешиванием + разбавлением) | 1 | Оценка |
Несоответствие градуировочной характеристики | 4 | Среднее несоответствие для 28 точек, лежащих вблизи предельно допустимого значения концентрации на градуировочных графиках, полученное усреднением за несколько лет |
Дрейф выходного сигнала в промежутках между градуировками | Пренебрежимо мала | Дрейф выходного сигнала прибора обычно небольшой и корректируется при чередовании проб и стандартных образцов |
Аналитическая прецизионность | 4 | |
Селективность | 3 | Оценка; градиент pH ВЭЖХ обеспечивает хорошее разрешение, а отношение выходных сигналов УФД/ФЛД обеспечивает обнаружение мешающих соединений, элюируемых вместе с определяемыми веществами |
Уровень холостых показаний | 5 | Оценка; низкий уровень содержания мешающих соединений, являющихся производными реагента для всей хроматограммы (см. [12]) |
Межлабораторный разброс значений | 15 | Оценка; данные отсутствуют. Оценка основана на межлабораторной изменчивости, экспериментально полученной для других международных стандартов по анализу изоцианатов |
A.2 Суммарная неопределенность
Настоящий стандарт применяют при количественном определении как мономерных изоцианатов (для которых имеются чистые оцененные аналитические стандартные образцы), так и полиизоцианатов (для которых отсутствуют чистые оцененные аналитические стандартные образцы). Большинство значений, приведенных в
таблице A.1, получено на основе измерений с мономерными диизоцианатами в качестве стандартных образцов. Тем не менее в некоторых случаях, когда они применялись, данные по полиизоцианатам также вносили вклад в вычисленные или оцененные неопределенности (эффективность реакции/экстракции, коэффициент преобразования, прецизионность аналитической процедуры и уровень холостых показаний). Суммарная неопределенность, оцененная по
формуле (20) на основе значений, приведенных в
таблице A.1, составит 18%.
A.3 Расширенная неопределенность
При коэффициенте охвата 2 расширенная неопределенность составляет 36%. Существует дополнительный вклад в неопределенность до сих пор не учтенный, связанный с эффективностью улавливания, если улавливание производят в соответствии с методикой.
При анализе изоцианатов, таких как фторполимерные изоцианаты, олигомерные MDI и технические смеси изоцианатов, для которых отсутствуют стандартные образцы определенной чистоты, могут быть оттитрованы пробы технических изоцианатных продуктов. Таким образом, может быть вычислено общее содержание NCO-групп. Для оценки содержания изоцианатов в пробах воздуха один или несколько пиков на хроматограммах могут быть использованы в качестве "индикаторов" содержания изоцианата в пробе, если хроматограмма проб воздуха отражает состав проб технических изоцианатных продуктов. Межлабораторные сличения (ИСО/ТК 146/ПК 2/РГ 4) показали, что смесь TDI (2,4-TDI с массовой долей 80% и 2,6-TDI с массовой долей 20%) и смесь с HDI дали результаты титрования, которые были практически такими же, как полученные по нескольким проверяемым хроматографическим методам. Однако для олигомерных MDI смещение составляет до -35%. В
[12] было получено большое (-25%) смещение по одному из пяти испытываемых алифатических полиизоцианатных продуктов. В настоящее время причина этого смещения для полиизоцианатных продуктов неизвестна. В случае значительного смещения результатов титрования по отношению к результатам соответствующего анализа, исходные результаты анализа могут быть скорректированы делением на (1 +
B), где
B - смещение. В этом случае будет дополнительный вклад в суммарную неопределенность, составляющий 5%.
(справочное)
СВЕДЕНИЯ О СООТВЕТСТВИИ ССЫЛОЧНЫХ МЕЖДУНАРОДНЫХ СТАНДАРТОВ
ССЫЛОЧНЫМ НАЦИОНАЛЬНЫМ СТАНДАРТАМ РОССИЙСКОЙ ФЕДЕРАЦИИ
Таблица ДА.1
Обозначение ссылочного международного стандарта | Степень соответствия | Обозначение и наименование соответствующего национального стандарта |
ИСО 5725-2 | IDT | ГОСТ Р ИСО 5725-2-2002 "Точность (правильность и прецизионность) методов и результатов измерений. Часть 2. Основной метод определения повторяемости и воспроизводимости стандартного метода измерений" |
ИСО 16200-1 | IDT | ГОСТ Р ИСО 16200-1-2007 "Качество воздуха рабочей зоны. Отбор проб летучих органических соединений с последующей десорбцией растворителем и газохроматографическим анализом. Часть 1. Отбор проб методом прокачки" |
Примечание - В настоящей таблице использовано следующее условное обозначение степени соответствия стандартов: - IDT - идентичные стандарты. |
| ISO 1042 | Laboratory glassware - One-mark volumetric flasks (ИСО 1042 Стеклянная лабораторная посуда. Мерная колба с одной меткой) |
| ISO 17734-1 | Determination of organonitrogen compounds in air using liquid chromatography and mass spectrometry - Part 1: Isocyanates using dibutylamine derivatives (ИСО 17734-1 Анализ азоторганических соединений в воздухе жидкостной хромато-масс-спектрометрией. Часть 1. Определение изоцианатов по их дибутиламиновым производным) |
| ISO/TR 17737 | Workplace air - Guidelines for selecting analytical methods for sampling and analysing isocyanates in air (ИСО 17737 Воздух рабочей зоны. Общие требования для селективных аналитических методов отбора и анализа изоцианатов в воздухе) |
| ISO/IEC Guide 98-3:2008 | Uncertainty of measurement - Part 3: Guide to the expression of uncertainty in measurement (GUM:1995) (ИСО/МЭК 98-3:2008, Неопределенность измерений. Часть 3. Руководство по выражению неопределенности измерений) |
| EN 482 | Workplace atmospheres - General requirements for the performance of procedures for the measurement of chemical agents (ЕН 482 Воздух рабочей зоны. Общие требования к характеристикам методик измерений содержания химических веществ) |
| EN 1232 | Workplace atmospheres - Pumps for personal sampling of chemical agents - Requirements and test methods [Equivalent to ISO/NP 13137] (ЕН 1232 Воздух рабочей зоны. Насосы для индивидуального отбора проб химических веществ. Требования и методы испытаний) |
| | Streicher, R.P., Arnold, J.E., Ernst, M.K., Cooper, C.V. Development of a novel derivatization reagent for the sampling and analysis of total isocyanate group in air and comparison of its performance with that of several established reagents. Am. Ind. Hyg. Assoc. J. 1996, 57, pp. 905 - 913 |
| | Rudzinski, W.E., Norman, S., Dahlquist, B., Greebon, K.W., Richardson, A., Locke, K., Thomas, T. Evaluation of 1-(9-anthra-cenylmethyl)piperazine for the analysis of isocyanates in spray-painting operations. Am. Ind. Hyg. Assoc. J. 1996, 56, pp. 914 - 917 |
| | England, E., Key-Schwartz, R., Lesage, J., Carlton, G., Streicher, R., Song, R. Comparison of sampling methods for monomer and polyisocyanates of 1,6-hexamethylene diisocyanate during spray finishing operations. Appl. Occup. Environ. Hyg. 2000, 15, pp. 472 - 478 |
[10] | | Liu, Y., Sparer, J., Cullen, M.R., Woskie, S.R., Streicher, R.P., Ernst, M.K., Williamson, G.Y. Field evaluation of two isocyanate sampling methods. Poster presentation at: American Industrial Hygiene Conference and Exposition, Toronto, ON, 1999-06-05/11 |
| | National Institute for occupational safety and health. Isocyanates, Total (MAP) [Method 5525]. In: Schlecht, P.C, O'Connor, P.F. NIOSH manual of analytical methods (NMAM), 4th edition, 3rd supplement. Centers for Disease Control and Prevention, Cincinnati, OH. [DHHS (NIOSH) Publication No. 2003-154.] Available (2008-11-25) at: http://www.cdc.gov/niosh/nmam/pdfs/5525.pdf |
| | Bello, D., Streicher, R.P., Woskie, S.R. Evaluation of the NIOSH draft method 5525 for determination of the total reactive isocyanate group (TRIG) for aliphatic isocyanates in autobody repair shops. J. Environ. Monit. 2002, 4, pp. 351 - 360 |
| | Streicher, R.P., Reh, C.M., Key-Schwartz, R., Schlecht, P.C., Cassinelli, M.E., O'Connor, P.F. Determination of airborne isocyanate exposure: Considerations in method selection. Am. Ind. Hyg. Assoc. J. 2000, 61, pp. 544 - 556 |
| | Bello, D., Streicher, R.P., Liu, Y.-C., Sparer, J., Youngs, F., Woskie, S.R. Field comparison of impingers and treated filters for sampling of total aliphatic isocyanates with the MAP reagent. Am. Ind. Hyg. Assoc. J. 2002, 63, pp. 790 - 796 |
| | Lesage, J., Stanley, J., Karoly, W.J., Lichtenberg, F.W. Airborne methylene diphenyl diisocyanate (MDI) concentrations associated with the application of polyurethane spray foam in residential construction. J. Occup. Environ. Hyg. 2007, 4, pp. 145 - 155 |
| | Woskie, S.R., Sparer, J., Gore, R.J., Stowe, M., Bello, D., Liu, Y., Youngs, F., Redlich, C., Eisen, E., Cullen, M. Determinants of isocyanate exposures in auto body repair and refinishing shops.m Ann. Occup. Hyg. 2004, 48, pp. 393 - 403 |
| | International air transport association. Dangerous goods regulations. IATA,  , QC, updated annually |
| | Calvert, J.G. For the IUPAC applied chemistry division. Glossary of atmospheric chemistry terms. Pure Appl. Chem. 1990, 62, pp. 2167 - 2219. Available (2008-11-28) at: http://www.iupac.org/publications/pac/1990/pdf/6211x2167.pdf |
УДК 504.3:006.354 | | Т58 |
Ключевые слова: воздух, рабочая зона, взвешенные частицы, органические изоцианаты, изоцианатные группы, отбор проб, анализ, хроматография жидкостная |