Главная // Актуальные документы // ГОСТ Р (Государственный стандарт)СПРАВКА
Источник публикации
М.: ФГБУ "РСТ", 2021
Примечание к документу
Документ
введен в действие с 01.01.2022.
Название документа
"ГОСТ Р ИСО 17735-2021. Национальный стандарт Российской Федерации. Воздух рабочей зоны. Определение общих изоцианатных групп в воздухе с использованием 1-(9-антраценилметил)пиперазина (MAP) и жидкостной хроматографии"
(утв. и введен в действие Приказом Росстандарта от 03.09.2021 N 918-ст)
"ГОСТ Р ИСО 17735-2021. Национальный стандарт Российской Федерации. Воздух рабочей зоны. Определение общих изоцианатных групп в воздухе с использованием 1-(9-антраценилметил)пиперазина (MAP) и жидкостной хроматографии"
(утв. и введен в действие Приказом Росстандарта от 03.09.2021 N 918-ст)
Утвержден и введен в действие
по техническому регулированию
и метрологии
от 3 сентября 2021 г. N 918-ст
НАЦИОНАЛЬНЫЙ СТАНДАРТ РОССИЙСКОЙ ФЕДЕРАЦИИ
ВОЗДУХ РАБОЧЕЙ ЗОНЫ
ОПРЕДЕЛЕНИЕ ОБЩИХ ИЗОЦИАНАТНЫХ ГРУПП В ВОЗДУХЕ
С ИСПОЛЬЗОВАНИЕМ 1-(9-АНТРАЦЕНИЛМЕТИЛ)ПИПЕРАЗИНА
(MAP) И ЖИДКОСТНОЙ ХРОМАТОГРАФИИ
Workplace atmospheres. Determination of total isocyanate
groups in air by the method of liquid chromatography using
reagent 1-(9-anthracenylmethyl)piperazine (MAP) reagent
and liquid chromatography
(ISO 17735:2019, IDT)
ГОСТ Р ИСО 17735-2021
Дата введения
1 января 2022 года
1 ПОДГОТОВЛЕН Акционерным обществом "Научно-исследовательский институт охраны атмосферного воздуха" (АО "НИИ Атмосфера") на основе собственного перевода на русский язык англоязычной версии стандарта, указанного в
пункте 4
2 ВНЕСЕН Техническим комитетом по стандартизации ТК 457 "Качество воздуха"
3 УТВЕРЖДЕН И ВВЕДЕН В ДЕЙСТВИЕ
Приказом Федерального агентства по техническому регулированию и метрологии от 3 сентября 2021 г. N 918-ст
4 Настоящий стандарт идентичен международному стандарту ИСО 17735:2019 "Воздух рабочей зоны. Определение общих изоцианатных групп в воздухе с использованием 1-(9-антраценилметил)пиперазина (MAP) и жидкостной хроматографии" (ISO 17735:2019 "Workplace atmospheres - Determination of total isocyanate groups in air using 1-(9-anthracenylmethyl)piperazine (MAP) reagent and liquid chromatography", IDT).
При применении настоящего стандарта рекомендуется использовать вместо ссылочных европейских стандартов соответствующие им национальные стандарты, сведения о которых приведены в дополнительном
приложении ДА
Правила применения настоящего стандарта установлены в статье 26 Федерального закона от 29 июня 2015 г. N 162-ФЗ "О стандартизации в Российской Федерации". Информация об изменениях к настоящему стандарту публикуется в ежегодном (по состоянию на 1 января текущего года) информационном указателе "Национальные стандарты", а официальный текст изменений и поправок - в ежемесячном информационном указателе "Национальные стандарты". В случае пересмотра (замены) или отмены настоящего стандарта соответствующее уведомление будет опубликовано в ближайшем выпуске ежемесячного информационного указателя "Национальные стандарты". Соответствующая информация, уведомление и тексты размещаются также в информационной системе общего пользования - на официальном сайте Федерального агентства по техническому регулированию и метрологии в сети Интернет (www.gost.ru)
Настоящий стандарт устанавливает общие положения определения содержания мономерных и олигомерных изоцианатов в воздухе рабочей зоны с использованием 1-(9-антраценилметил)пиперазина (MAP). Применение MAP обеспечивает более достоверную идентификацию изоцианатов на хроматограммах проб и их более точное количественное определение по сравнению с другими соответствующими реагентами. Анализ методом высокоэффективной жидкостной хроматографии (ВЭЖХ) выполняют в условиях градиентного элюирования (градиент pH) для селективного ускорения элюирования MAP-производных олигомерных изоцианатов, которые не обнаруживаются при проведении анализа в изократических условиях. Проведены испытания
[8] по проверке эффективности MAP по сравнению с другими соответствующими реагентами при определении общего содержания изоцианатов в воздухе, в ходе которых выявлено, что MAP реагирует с фенилизоцианатом (применяемым в качестве модельного изоцианата) так же быстро или быстрее, чем другие реагенты, используемые при стандартном анализе проб на содержание изоцианатов. Выходной сигнал от MAP-производных в ультрафиолетовой области спектра сопоставим с сигналом от производных 9-(метиламинометил)антрацена (MAMA), и он значительно больше, чем у других наиболее часто задействованных дериватизирующих агентов [приблизительно в три раза больше, чем для производных 1-(2-метоксифенил)пиперазина (1-2MP) с ароматическими изоцианатами и в 14 раз больше, чем для 1-2MP-производных алифатических изоцианатов]. Изменение выходного сигнала УФ-детектора в пересчете на одну изоцианатную группу при переходе от соединения к соединению для MAP-производных меньше, чем для любых других наиболее часто используемых сочетаний реагент/детектор (коэффициент вариации составляет 3,5% для пяти модельных изоцианатов). Эти результаты получены при точном количественном анализе детектируемых образцов немономерных изоцианатов, основанном на градуировочной зависимости, полученной по результатам анализа стандартных образцов мономеров. Как правило, градуировку строят по образцам мономеров тех веществ, содержание которых собираются определять, но выяснилось, что для построения градуировки можно использовать другие соединения, т.к. при переходе от одного соединения к другому изменение сигнала их MAP-производных не существенно. Интенсивность сигнала флуоресцентного детектора MAP-производных сопоставима с интенсивностью MAMA-производных и значительно выше, чем у других соответствующих реагентов (например, приблизительно в 30 раз выше интенсивности флуоресцентного сигнала производных триптамина). Установлено, что при переходе от одного соединения к другому изменение флуоресцентного детектора будет меньше для MAMA-производных, но больше для производных триптамина (коэффициент вариации для MAMA-производных составляет 59%, для MAP-производных - 33% и для производных триптамина - 16% для пяти модельных изоцианатов). Изменение сигнала флуоресцентного детектора MAP-производных при переходе от одного вещества к другому считается слишком большим для точного количественного определения немономерных изоцианатов по градуировочной зависимости, полученной с применением стандартных растворов мономерных изоцианатов. Тем не менее чувствительность флуоресцентного детектора обеспечивает целесообразность его применения для количественного определения мономеров при низком уровне их содержания, а высокая селективность очень важна при отнесении неидентифицированного пика на хроматограмме ВЭЖХ к MAP-производному. Использование при хроматографическом анализе MAP-производных электрохимических детекторов целесообразно, т.к. они будут давать интенсивный выходной сигнал. Применение при анализе методом ВЭЖХ градиентного режима элюирования с изменением pH обеспечивает избирательное ускорение элюирования аминов (амины являются MAP-производными) и увеличение элюирующей силы (что ускоряет элюирование 4,4'-дифенилметандиизоцианата более чем в 100 раз). Исходные равновесные условия восстанавливаются практически сразу. При анализе с применением MAP продолжительностью 30 мин может быть количественно определено большое число олигомерных изоцианатов, которые могут быть и не обнаружены при более продолжительном анализе изократическим методом.
Метод анализа с применением MAP проверен при проведении нескольких параллельных исследований с другими методами. В
[9] показано, что при отборе проб воздуха в импинжеры с раствором MAP и в импинжеры NIOSH 5521 (сопоставимые с импинжерами MDHS 25) получены сопоставимые результаты при измерениях в атмосфере с распыленной краской. В методике
[9] в качестве реагента применялся MAP, но не использовалось элюирование с изменением pH. В
[10] приведено сравнение результатов измерений при отборе проб в импинжеры с MAP и в другие импинжеры (NIOSH 5521 и NIOSH 5522), а также при отборе проб с применением двух фильтров. При этом среднее содержание олигомера MAP было значительно выше, чем при применении импинжеров с растворами других реагентов, и немного выше, чем при применении двух фильтров. При определении MAP-производных изоцианатов по этим методикам применялся градиентный режим элюирования с изменением pH. В работе
[11] показано ожидаемое согласование результатов анализа с применением MAP при определении содержания изоцианатов с другими известными методами измерений на примере авторемонтной отрасли, а также их приемлемое согласование с результатами анализа методом титрования по образцам материала, предоставленного изготовителем. Метод с применением MAP в настоящее время утвержден и доступен в виде методики Национального института по безопасности и здоровью населения (США) - NIOSH Method 5525
[12]. Оценка метрологических характеристик метода выполнена в работе
[13].
Настоящий стандарт устанавливает общие положения по отбору и анализу проб на содержание изоцианатов органических соединений, присутствующих в виде взвешенных частиц в воздухе рабочей зоны.
Настоящий стандарт применяют для определения различных органических соединений, содержащих функциональные NCO-группы, в том числе монофункциональных изоцианатов (например, фенилизоцианата), мономерных диизоцианатов [например, 1,6-гексаметилендиизоцианата (HDI)], толуолдиизоцианатов (TDI), 4,4'-дифенилметандиизоцианата (MDI), и изофорондиизоцианатов (IPDI), форполимеров [например, биурет- и изоцианурата (HDI)], а также промежуточных продуктов, образующихся в процессе получения или термического разложения полиуретана.
В смешанных системах, содержащих HDI и IPDI, невозможно идентифицировать и количественно определить мономеры IPDI при низком уровне их содержания в соответствии с настоящим стандартом из-за совместного элюирования мономерного IPDI и HDI-уретидиндиона.
Установлено, что метод дает заниженную оценку содержания олигомера в продуктах на основе MDI. При сравнении с методом титрования дибуталамином общее содержание изоцианатной группы (NCO) в продуктах на основе MDI оказывается ниже примерно на 35%.
Метод результативно модифицирован для использования жидкостной хроматографии и тандемной масс-спектрометрии (ЖХ-МС/МС) для мономера TDI с использованием изократической подвижной фазы 70% ацетонитрила/30% 10 мм формиата аммония.
Диапазон измерений содержания NCO-групп в молях в расчете на каждое соединение в пробе данным методом составляет приблизительно от 1·10-10 до 2·10-7. Инструментальный предел обнаружения для мономеров при использовании как ультрафиолетового детектора (УФД), так и флуоресцентного детектора (ФЛД) составляет около 2 нг мономера на пробу, предел обнаружения для метода с использованием фильтров, пропитанных реагентом, - примерно от 10 до 20 нг мономера на пробу для УФД и ФЛД. Для образца объемом 15 дм3 это соответствует от 0,7 до 1,4 мкг/м3. Опыт показывает, что для проб импинжера, которые требуют твердофазной экстракции, предел обнаружения составляет примерно от 30 до 80 нг мономера на пробу.
В настоящем стандарте использована нормативная ссылка на следующий стандарт. Для датированных ссылок применяют только указанное издание ссылочного стандарта, для недатированных - последнее издание (включая все изменения):
EN 1232, Workplace atmospheres - Pumps for personal sampling of chemical agents - Requirements and test methods (Воздух рабочей зоны. Насосы для индивидуального отбора проб химических веществ. Требования и методы испытаний)
В настоящем стандарте применены следующие термины с соответствующими определениями.
ИСО и МЭК содержат терминологические базы данных для использования в стандартизации по следующим адресам:
- платформа онлайн-просмотра ИСО, которая доступна на https://www.iso.org/obp;
- электропедия МЭК, которая доступна на http://www.electropedia.org/.
Определенный объем воздуха пропускают либо через импинжер, содержащий раствор 1-9(антраценилметил)пиперазина (MAP), либо через фильтр, пропитанный MAP, либо через линию отбора проб, состоящую из импинжера, за которым расположен пропитанный MAP-реагентом фильтр. Выбор устройства отбора проб зависит от химических и физических свойств присутствующих в воздухе изоцианатов
[13]. При использовании импинжера раствор подвергают твердофазной экстракции (ТФЭ), а элюат концентрируют и анализируют методом высокоэффективной жидкостной хроматографии (ВЭЖХ) с регистрацией аналитического сигнала с помощью последовательно расположенных УФД и ФЛД.
Если для отбора проб используют пропитанный MAP-реагентом фильтр, то проводят экстракцию растворителем либо на месте отбора проб после его окончания, либо в лаборатории. Поскольку экстракцию пробы с фильтра производят в аналитической лаборатории, методика применима для анализа только тех изоцианатов, которые при отборе проб находились в парообразном состоянии. Полученный раствор фильтруют и анализируют методом ВЭЖХ/УФД/ФЛД, а пики изоцианатов идентифицируют по их положению в ультрафиолетовой и флуоресцентной области спектра, регистрируемой УФД и ФЛД, путем сравнения площади пика пробы с площадью пика соответствующего стандартного мономера при использовании УФД. Количественное определение соединений, для которых представлены образцы сравнения (обычно мономеры), выполняют сравнением высоты пика пробы с высотой пика соответствующих растворов стандартных образцов после применения ФЛД. Изоцианаты, для которых отсутствуют стандартные соединения, количественно определяют путем сравнения площади, полученной с помощью УФД для пробы, с площадью пика, полученной на УФД для соответствующего стандартного мономера (т.е. мономера, из которого получают изоцианат).
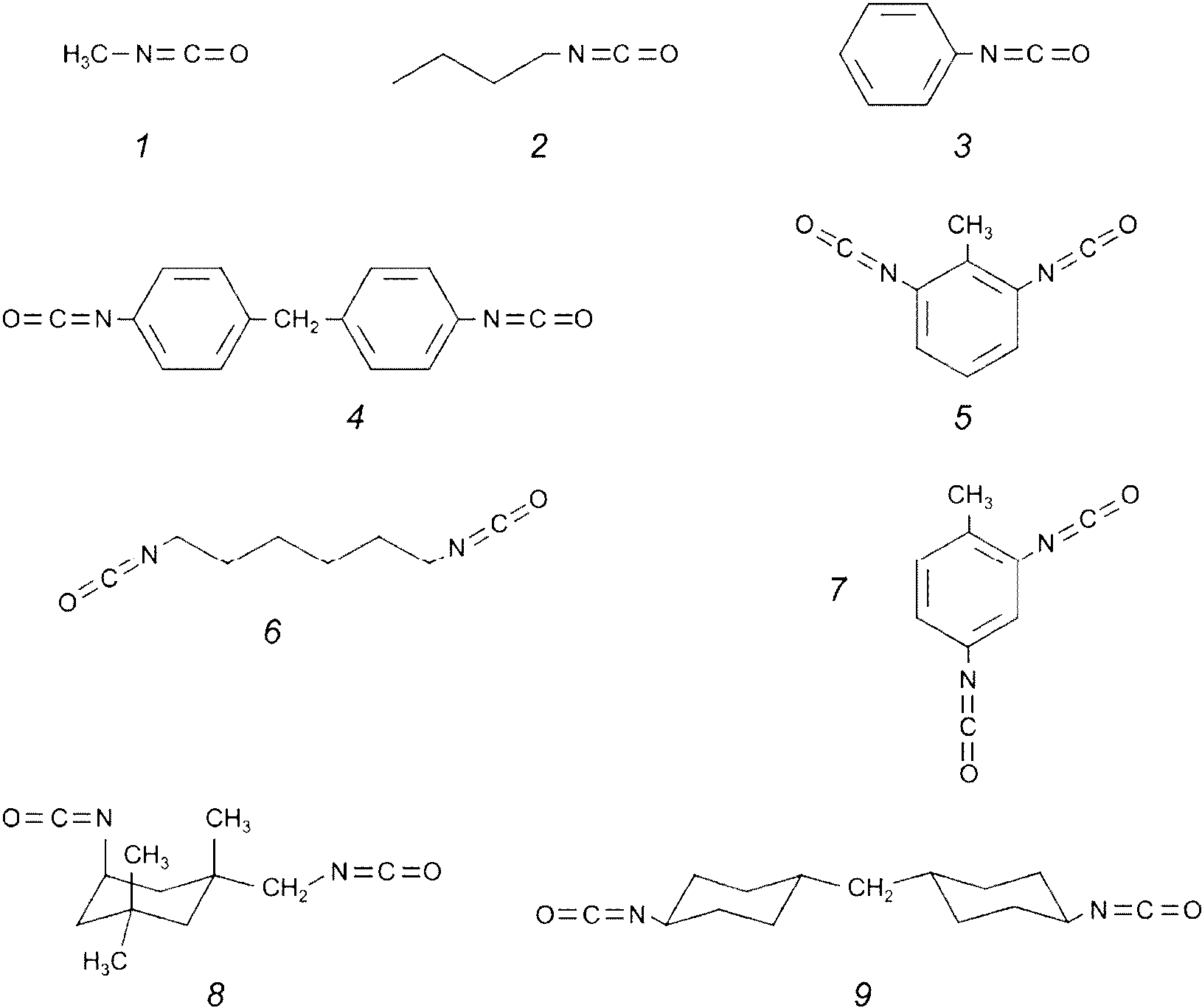
Структура наиболее распространенных мономерных диизоцианатов приведена на
рисунке 1.
1 - метилизоцианат; 2 - бутилизоцианат; 3 - фенилизоцианат;
4 - 4,4'-MDI; 5 - 2,6-TDI; 6 - HDI; 7 - 2,4-TDI; 8 - IPDI;
9 - гидрогенизированный MDI (HMDI)
Рисунок 1 - Структура некоторых наиболее распространенных
изоцианатов
ПРЕДУПРЕЖДЕНИЕ - При приготовлении реагентов соблюдают соответствующие требования безопасности. Работают с реагентами в вытяжном шкафу во избежание контакта с растворителями, изоцианатами или другими летучими реагентами. Все манипуляции с реагентами и растворителями осуществляют в защитных химических перчатках.
5.1 Общие положения
При проведении анализа, если не установлено иное, следует применять только хроматографически чистые реагенты и хроматографически чистую воду. Для приведенных ниже процедур используют следующие реактивы: 9-(хлорметил)антрацен, уксусный ангидрид, 1,6-гексаметилендиизоцианат, 4,4'-метиленбис(циклогексилизоцианат), гексан, 4,4'-метиленбис(фенилизоцианат), ацетонитрил, бутилбензоат, дихлорметан, диметилформамид, этилацетат, муравьиная кислота, соляная кислота, изофорондиизоцианат, метанол, азотная кислота, очищающий раствор на основе концентрированной серной кислоты без хрома, фосфорная кислота, пиперазин, предварительно очищенный сжатый азот, толуол, толилен-2,4-диизоцианат, толилен-2,6-диизоцианат и триэтиламин.
Для описанных ниже процедур используют следующие материалы: темные банки с крышками из политетрафторэтилена (ПТФЭ), воронку Бюхнера, упаковки для сохранения холода, холодильник, одноразовые стеклянные флаконы (вместимостью 7 и 20 см
3, крышки из ПТФЭ с прокладкой), капельную воронку, фильтродержатель (полистирольные кассеты 37 мм с открытой или закрытой поверхностью, полипропиленовые кассеты 13 мм), фильтровальную бумагу, стеклянную колонну для хроматографии (короткую), фильтр из стекловолокна (37 или 13 мм, без связующего вещества), магнитную мешалку, нейлоновый фильтр (0,45 мкм), круглодонные колбы (вместимостью 250 см
3 с двумя горловинами, 100 и 1000 см
3 каждая с одним горлышком), делительную воронку, силикагель (класс высокой чистоты,

, 70 - 230 меш), пробирки ТФЭ (силикагель нормальной фазы, 6 см
3/500 мг), цилиндр шприца (пустой, полипропилен), шприцевой фильтр (0,45 мкм ПТФЭ), пластины ТСХ (зеленый флуоресцирующий F
254 или синий флуоресцирующий F
254s), трубки (фторэластомер и пластик, резину или другой соответствующий материал длиной 900 мм), мерную колбу (с одним делением вместимостью 10 см
3, ИСО 1042:2004, класс A), парафиновую ванну.
5.2 MAP-реагент
5.2.1 Приготовление MAP-реагента основано на реакции 9-(хлорметил)антрацена с пиперазином (см.
рисунок 2). Процедура приведена в
5.2.2 -
5.2.12.
1 - 9-(хлорметил)антрацен; 2 - пиперазин; 3 - MAP
Рисунок 2 - Схема получения MAP
5.2.2 Растворяют 10,8 ммоль (2,47 г) 9-(хлорметил)антрацена (с массовой долей основного вещества не менее 98%) в 25 см
3 дихлорметана. Переносят полученный раствор в делительную воронку.
5.2.3 Растворяют 54,4 ммоль (4,69 г) пиперазина (с массовой долей основного вещества 99%) и 21,8 ммоль (3,04 см3) триэтиламина (с массовой долей основного вещества 99,5%) в 37 см3 дихлорметана. Переносят полученный раствор в круглодонную двугорлую колбу вместимостью 250 см3 с магнитной мешалкой.
5.2.4 При перемешивании добавляют к этой смеси раствор 9-(хлорметил)антрацена по каплям в течение 30 мин. Промывают делительную воронку дихлорметаном объемом 10 см3. Оставляют реакционную смесь при постоянном перемешивании по крайней мере на 2 ч для протекания реакции.
5.2.5 Трижды промывают реакционную смесь в делительной воронке водой объемом 130 см3, энергично встряхивая ее в течение 1 мин. Отделяют эмульсию, образовавшуюся после первого промывания, содержащую в основном примеси, а не MAP. Удаляют промывные воды.
5.2.6 Переносят промытый раствор MAP в предварительно взвешенную круглодонную колбу вместимостью 100 см3. Дают дихлорметану испариться под действием непрерывного потока азота. Взвешивают колбу с остатком для приблизительного вычисления выхода продукта реакции. Полученный неочищенный MAP можно безопасно хранить в морозильной камере до проведения дальнейшей очистки.
5.2.7 MAP очищают с применением колоночной хроматографии и с последующей сублимацией. В стеклянную хроматографическую колонку внутренним диаметром приблизительно 50 мм переносят суспензию силикагеля (высокой чистоты,

, 70 - 230 меш) в толуоле таким образом, чтобы толщина слоя силикагеля в колонке составила приблизительно 80 мм. Промывают стенки колонки толуолом и проливают его через колонку, пока толуол не выровняется с поверхностью силикагеля.
5.2.8 Растворяют неочищенный MAP в 80 см3 толуола. Обрабатывают полученную смесь ультразвуком в течение 5 мин и фильтруют через фильтровальную бумагу. Сохраняют фильтрат. Растворяют осадок на фильтре в 20 см3 толуола, обрабатывают в течение 5 мин ультразвуком и повторно фильтруют через фильтровальную бумагу. Утилизируют фильтр с осадком. Объединяют фильтраты и осторожно переносят их в хроматографическую колонку поверх слоя силикагеля. Пропускают через колонку дополнительный объем толуола. Удаляют толуоловый элюат.
5.2.9 Начинают элюирование этилацетатом. Собирают порции элюата объемом 20 см3 в одноразовые виалы с крышками, покрытыми ПТФЭ. Контролируют порции элюата путем нанесения пробы каждой из них объемом 1 мм3 на пластину (см. ниже) тонкослойной хроматографии (ТСХ) и наблюдают за интенсивностью пятна в ультрафиолетовом свете после испарения растворителя. Данная процедура обеспечивает обнаружение в элюенте MAP или других соединений. Проводят элюирование этилацетатом до исчезновения желтой окраски, для чего необходимо около 200 см3 этилацетата. На этой стадии весь MAP должен остаться в колонке. После исчезновения желтой окраски начинают элюирование метанолом, которого в таком случае требуется от 1,0 до 1,5 дм3.
5.2.10 Элюирование MAP может быть осуществлено непосредственно после ТСХ. Ту порцию фракции, для которой получено значимое пятно на пластинке для ТСХ, анализируют методом ТСХ (зеленый флуоресцирующий F254 или синий флуоресцирующий F254s, метанол) для определения фракций, содержащих MAP. Выделяют зону MAP путем сравнения коэффициента замедления Rf пятен аликвоты с Rf стандартного образца MAP.
5.2.11 По результатам анализа методом ТСХ объединяют порции, содержащие чистый MAP. Взвешивают круглодонную колбу, используемую в роторном испарителе. Переносят объединенные фракции в колбу, но таким образом, чтобы их объем не превышал половины объема колбы в заданный момент времени. Нагревают баню испарителя до температуры от 35 °C до 40 °C. После испарения и удаления следов растворителя из всех объединенных фракций MAP под глубоким вакуумом взвешивают колбу со всем ее содержимым для вычисления выхода.
5.2.12 Затем очищают порошок MAP путем его сублимации. Растворяют MAP в небольшом объеме дихлорметана (менее 20 см
3) и переносят раствор в сублиматор. Дают дихлорметану испариться под слабым потоком азота, следя за тем, чтобы уровень раствора в колбе был ниже дна пальчикового холодильника. После того как дихлорметан испарится, герметично закупоривают колбу и понижают давление с помощью вакуумного насоса до 6,67 Па или ниже.
Примечание - 1 Па = 0,0075 торр.
Пускают слабый поток холодной воды через пальчиковый холодильник, а колбу с сублимируемым веществом помещают в парафиновую ванну с температурой, поддерживаемой в интервале от 125 °C до 130 °C. Сублимация занимает несколько часов, и ее продолжение может потребоваться в течение ночи. Сублимацию можно считать завершенной в том случае, если не происходит дальнейшего роста кристаллов MAP на пальчиковом холодильнике и небольшое количество вещества на дне сублиматора остается постоянным. По окончании сублимации счищают кристаллы с пальчикового холодильника с помощью шпателя. Как правило, выход составляет 2,2 г (74% теоретического); температура плавления MAP - от 146 °C до 147 °C; массовая доля основного вещества в MAP, определяемая методом ВЭЖХ, - 99%.
5.3 Растворы реагентов
5.3.1 Раствор для импинжера
В качестве растворителя для импинжера используют бутилбензоат с массовой долей основного вещества не менее 99%. Для более глубокой очистки бутилбензоата его пропускают через слой силикагеля высокой степени чистоты. Растворяют MAP в бутилбензоате для получения раствора с концентрацией 1·10-4 моль/дм3 (массовая концентрация 27,6 мг/дм3). Хранят раствор в морозильной камере до использования. Более высокие концентрации MAP в бутилбензоате (2 - 8·10-4 моль/дм3) могут быть использованы в тех средах, в которых ожидается высокая концентрация в воздухе, например: в покрасочных камерах и при проведении других операций с распылением.
5.3.2 Раствор для пропитки фильтра
Растворяют MAP в ацетонитриле для получения раствора с массовой концентрацией 2 мг/см3. Хранят раствор до использования в морозильной камере.
5.3.3 Раствор для пропитки фильтра
Растворяют MAP в ацетонитриле для получения раствора концентрацией 1·10-4 моль/дм3 (27,6 мг/дм3). Хранят до использования в морозильной камере.
5.3.4 Стабильность растворов реагентов
Предпочтительно подготовить раствор для нанесения на фильтр непосредственно перед его использованием, хотя этот раствор можно хранить в морозильной камере в течение 2 нед. Растворы для импинжера и экстракции фильтров сохраняют стабильность по крайней мере в течение месяца при хранении в холодильнике.
5.4 Стандартные градуировочные растворы
5.4.1 Общие положения
Выходной сигнал УФД имеет практически одинаковый вид для всех MAP-производных изоцианатов. Это позволяет использовать MAP-производный мономер изоцианата, представляющего интерес, в качестве стандартного образца для количественного определения MAP-производных неизвестных олигомерных изоцианатов по пикам на хроматограмме. Градуировочный график, как зависимость выходного сигнала УФД от числа или содержания изоцианатных групп, затем может быть применен для количественного определения олигомерных изоцианатов, для которых отсутствуют стандартные образцы. По этой причине проще использовать стандартные градуировочные растворы, которые количественно оценены по содержанию NCO-групп, а не через массовую концентрацию изоцианатного соединения.
Эквивалентом является количество вещества изоцианатного соединения, содержащего один моль изоцианатной группы, или количество вещества MAP-производного изоцианатного соединения, содержащего один моль групп, связанных MAP. Эквивалентная масса изоцианатного соединения - это относительная молекулярная масса, деленная на количество изоцианатных групп в одной молекуле
n. Эквивалентная масса MAP-производного изоцианата - это его относительная молекулярная масса, деленная на количество MAP-групп в молекуле. Количество изоцианатных групп, независимо от места их присоединения, может быть определено в молях на литр. В
таблице 1 приведены значения относительной молекулярной массы и эквивалентной массы для наиболее распространенных изоцианатов и их MAP-производных.
Таблица 1
Относительные молекулярные массы и эквивалентные массы
некоторых наиболее распространенных изоцианатов и их
MAP-производных
Наименование соединения | Краткое обозначение | Относительная молекулярная масса | Эквивалентная масса | Относительная масса MAP-производного | Эквивалентная масса MAP-производного |
1-(9-антраценилметил)пиперазин | MAP | 276,38 | 276,38 | - | - |
Метилизоцианат | - | 57,05 | 57,05 | 333,43 | 333,43 |
Бутилизоцианат | - | 99,13 | 99,13 | 375,51 | 375,51 |
Фенилизоцианат | - | 119,12 | 119,12 | 395,50 | 395,50 |
1,6-гексаметилен-диизоцианат 1,6-диизоцианатогексан | HDI | 168,20 | 84,10 | 720,96 | 360,48 |
Толуолдиизоцианат (как 2,4-, так и 2,6-диизоцианатотолуол) | TDI | 174,16 | 87,08 | 726,92 | 363,46 |
Изофорондиизоцианат 1-изоцианато-3-изоцианатометил-3,5,5-триметилциклогексан | IPDI | 222,29 | 111,14 | 775,05 | 387,52 |
4,4'-дифенилметандиизоцианат ди-(4-изоцианатофенил)метан | 4,4'-MDI | 250,26 | 125,13 | 803,02 | 401,51 |
Гидрированный (гидрогенизированный) MDI метиленбис(циклогексил-4-изоцианат) 4,4'-дициклогексилметандиизоцианат | HMDI | 262,35 | 131,18 | 815,11 | 407,56 |
Изоцианатная группа | NCO | 42 | 42 | - | - |
5.4.2 Приготовление производных мономеров
Взвешивают приблизительно 0,5 ммоль (1 миллиэквивалент) диизоцианата или 1 ммоль (1 миллиэквивалент) моноизоцианата и записывают полученное значение с точностью до четвертой значащей цифры. Навеску растворяют в 10 см3 толуола. Взвешивают приблизительно 1,2 ммоль MAP (чтобы получить его избыток по массовой доле в растворе 20%) и записывают полученное значение с точностью до четвертой значащей цифры. Навеску растворяют в 20 см3 толуола. При перемешивании раствора MAP добавляют раствор изоцианата по каплям в течение 10 - 15 мин. Продолжают перемешивание на протяжении по крайней мере 1 ч. Плотно закрывают колбу с раствором и оставляют на ночь в морозильной камере для максимального выпадения осадка искомого продукта. Собирают выделившуюся фазу с использованием воронки Бюхнера. Промывают эту фазу несколько раз охлажденным толуолом для удаления остатков MAP, затем смесь промывают несколько раз охлажденным гексаном для вытеснения толуола. Переносят твердый продукт в предварительно взвешенную одноразовую виалу вместимостью 20 дм3. Создают в виале глубокий вакуум и поддерживают его до получения постоянной массы виалы, а затем герметично закрывают крышкой, покрытой ПТФЭ. Выход (по массе) обычно составляет более 95%, а содержания основного вещества достаточно для приготовления стандартных градуировочных растворов. Опыт показывает, что при хранении этих производных в морозильной камере в темном месте они сохраняют стабильность в течение нескольких лет.
5.4.3 Приготовление стандартных растворов мономерных производных для ВЭЖХ анализа
Взвешивают приблизительно 5,0·10-5 моль производного MAP (для моноизоцианата) или 2,5·10-5 моль (для диизоцианата) и переносят в маркированную мерную колбу класса A вместимостью 10 см3. Навеску MAP-производного растворяют в нескольких миллилитрах диметилформамида (ДМФА) и доводят им раствор до метки. При возможности вместо ДМФА можно использовать дихлорметан для растворения MAP-производных, имеющих высокую растворимость в дихлорметане (алифатических диизоцианатов и 2,4-TDI). Исходные стандартные и разбавленные растворы имеют концентрацию приблизительно 5,0·10-3 моль/дм3 (для моноизоцианата) или 2,5·10-3 моль/дм3 (для диизоцианата) соответственно. Хранят исходные стандартные растворы в морозильной камере. Рабочие стандартные растворы приготовляют путем растворения MAP-производных в ацетонитриле для получения максимальной концентрации стандарта приблизительно 2,0·10-4 моль/дм3 (для моноизоцианата) или 1,0·10-4 моль/дм3 (для диизоцианата) соответственно. Для получения растворов другой концентрации исходные растворы могут быть последовательно разбавлены, как правило, до наименьшей концентрации, которая составляет приблизительно 1·10-7 моль/дм3 (для моноизоцианата) или 0,5·10-7 моль/дм3 (для диизоцианата) соответственно. Эти стандартные и разбавленные растворы сохраняют стабильность в течение 3 мес при хранении в холодильнике.
5.4.4 Приготовление стандартных растворов мономерных производных для твердофазной экстракции
Периодически оценивают степень извлечения MAP-производных мономеров из картриджей для твердофазной экстракции (ТФЭ).
Исходные стандартные растворы в ДМФА не допускается использовать для приготовления стандартов для ТФЭ, так как присутствие ДМФА даже при низком его содержании может привести к преждевременному элюированию MAP-производных. Стандартные образцы для прохождения через картридж твердофазной экстракции должны быть получены из исходных растворов в дихлорметане. MAP-производные алифатических диизоцианатов и 2,4-TDI в достаточной степени растворимы в дихлорметане. MAP-производные 2,6-TDI и MDI обладают меньшей растворимостью. Все MAP-производные, кроме MDI, растворимы в дихлорметане, чтобы приготовить исходные растворы с концентрацией 1·10-3 моль/дм3 (для моноизоцианата) или 0,5·10-3 моль/дм3 (для диизоцианата) соответственно. Для MDI может быть приготовлен исходный стандартный раствор с концентрацией 2·10-4 моль/дм3. Эти исходные стандартные растворы могут быть в дальнейшем разбавлены бутилбензоатом с целью получения растворов для импинжера.
5.4.5 Приготовление растворов промышленных изоцианатов
При взаимодействии основной массы с MAP необходимо иметь его избыток, чтобы обеспечить полную реакцию всех свободных изоцианатных групп. Для получения избытка MAP в конечном объеме реакции следует регулировать по мере необходимости концентрацию MAP и схему разбавления. Для оценки наличия избыточного MAP могут быть использованы данные хроматограммы. Если в реакционном сосуде присутствовало достаточное количество MAP, пик ацетилированного MAP должен выходить за пределы хроматограммы. Если процент NCO в продукте известен, можно рассчитать приблизительное разведение, необходимое для того, чтобы пики на хроматограмме находились в определенной области шкалы. Допускается использование двойного избытка MAP.
Показано, что данная методика подходит для продуктов на основе HDI и IPDI и может быть применена для других продуктов.
Взвешивают приблизительно 0,5 г сыпучего изоцианатного продукта и переносят его в виалу вместимостью 7 см3. Затем добавляют 4,5 г (3,4 см3) дихлорметана и перемешивают раствор до тех пор, пока он не станет однородным. Определяют плотность этого исходного раствора, если последующие анализы носят качественный характер. Разбавляют исходный раствор дихлорметаном в 100 раз (10 мм3 в 1 см3). Перемешивают его до получения однородного раствора, затем незамедлительно добавляют 25 мм3 этого раствора к 975 мм3 раствора MAP в ацетонитриле с концентрацией 5·10-4 моль/дм3. Необходимо провести второе разбавление MAP-производного раствором настолько быстро, насколько возможно, поскольку разбавленные растворы изоцианатов не стабильны. Оставляют полученный раствор на ночь в темном месте для протекания реакции. На следующий день приливают к раствору 5 мм3 уксусного ангидрида и оставляют его для протекания реакции по крайней мере на 2 ч при комнатной температуре или на ночь в холодильнике перед анализом методом ВЭЖХ.
5.5 Подвижная фаза в высокоэффективной жидкостной хроматографии
5.5.1 Общие положения
При анализе методом ВЭЖХ применяют градиентный режим элюирования с изменением pH. Слабые и сильные подвижные фазы имеют одинаковый водно-органический состав. Они отличаются только значением pH водной фазы. Интенсивность флуоресценции MAP-производных в значительной степени зависит от pH подвижной фазы. Поэтому в подвижную фазу после выхода ее из аналитической колонки и перед попаданием в блок детекторов добавляют раствор кислот для обеспечения независимости флуоресцентного сигнала от pH подвижной фазы.
5.5.2 Буферные растворы для подвижной фазы
К 3840 см3 воды добавляют 46,1 г фосфорной кислоты с массовой долей основного вещества 85% (приблизительно 27 см3, 0,4 моль) и 15,1 см3 муравьиной кислоты с массовой долей основного вещества 96% (0,4 моль). Начальное значение pH должно быть приблизительно равно 1,6. Добавляют к этому раствору триэтиламин (с массовой долей основного вещества 99,5%) по 10 см3, перемешивая после добавления каждой порции до тех пор, пока не будет добавлен весь объем 117 см3 триэтиламина. Значение pH раствора должно быть равно 6,0. При необходимости доводят pH раствора до 6,0, добавляя дополнительное количество триэтиламина. Делят этот раствор на две порции, объемом по 2 дм3. К одной из полученных порций раствора добавляют 33,5 см3 концентрированной соляной кислоты. Тщательно перемешивают. Конечное значение pH раствора должно составлять 1,6. Ко второй части раствора добавляют 33,5 см3 воды. По этой методике получают буферные растворы концентрацией фосфорной и муравьиной кислот 0,1 моль/дм3, со значениями pH, приблизительно равными 1,6 и 6,0, соответственно. Опыт показывает, что буферные растворы стабильны в течение 6 мес при их хранении в холодильнике.
5.5.3 Первичные подвижные фазы
Слабую подвижную фазу (A) получают смешиванием 65% ацетонитрила с 35% буферного раствора с pH 6,0. Сильную подвижную фазу (B) получают смешиванием 65% ацетонитрила с 35% буферного раствора с pH 1,6. Подвижные фазы фильтруют через нейлоновые фильтры с номинальной тонкостью фильтрации 0,45 мкм. Перед использованием подвижную фазу дегазируют с помощью либо вакуумного дегазирования, либо барботирования гелием. Как показывает опыт, основная первичная подвижная фаза стабильна в течение 6 мес при обеспечении предотвращения испарения.
5.5.4 Послеколоночная кислотная подвижная фаза
Разбавляют водой 35 см3 раствора фосфорной кислоты с массовой долей основного вещества 85% для получения конечного раствора объемом 350 см3. Смешивают этот раствор с 650 см3 ацетонитрила. Фильтруют этот раствор через нейлоновый фильтр с номинальной тонкостью фильтрации 0,45 мкм. Дегазируют подвижную фазу перед использованием с помощью либо вакуумирования (вакуумного дегазирования), либо барботирования гелием. Опыт показывает, что кислая подвижная фаза сохраняет стабильность в течение 6 мес, если не будет происходить испарения.
6 Используемое оборудование
6.1 Общие положения
Для проведения процедур используют нижеприведенные устройства: хроматографическую колонку (размером 150 x 2,0 мм, 5 мкм C8, высокочистый диоксид кремния), защитную колонку (размером 4 x 2,0 мм, C8 Octyl, MOS), пробоотборник IOM (нержавеющая сталь), жидкостную хроматографическую систему (автоматический дозатор, колоночную печь, флуоресцентный детектор, постколонный насос, насосную систему, способную к градиентному элюированию, вакуумный дегазатор и переменный УФ/видимый детектор оптической плотности), микрошприц, миниатюрный импинжер (градуированный приемник и коническую трубку), портативный расходомер, роторный испаритель, насос для отбора проб, вакуумный коллектор SPE, ультразвуковой аппарат, устройство вакуумной фильтрации.
6.2 Устройство отбора проб
6.2.1 Общие положения
Выбор устройства отбора проб зависит от химических и физических свойств изоцианата, содержащегося в воздухе
[14]. Если о физической и химической природе изоцианатов, находящихся в воздухе, известно мало, то в этом случае устройство отбора проб должно состоять из миниатюрного импинжера, за которым следует фильтр, пропитанный MAP (см. ISO/TR 17737). Если в воздухе присутствуют изоцианаты только в виде паров, то может быть применен фильтр, пропитанный MAP или миниатюрный импинжер. Если в воздухе присутствуют изоцианаты в виде твердых частиц диаметром менее 2 мкм (конденсационный аэрозоль или аэрозоль, являющийся побочным продуктом процесса горения), то следует использовать фильтры. Если в воздухе присутствуют изоцианаты в виде частиц диаметром более 2 мкм (например, при распылении красочных покрытий), то рекомендация по выбору импинжера или фильтра будет зависеть от реакционной способности аэрозоля. Реакции с участием аэрозолей, содержащих алифатические изоцианаты, обычно протекают достаточно медленно, поэтому они могут быть уловлены с помощью фильтра, пропитанного MAP, как описано в
[15]. Часто реакции с участием частиц аэрозолей диаметром более 2 мкм, содержащих ароматические изоцианаты, например образующихся в процессах распыления красочных покрытий, содержащих выделяемые MDI
[16], протекают быстро, и их следует улавливать с помощью импинжера. При наличии частиц диаметром менее 2 мкм и реакционноспособных частиц диаметром более 2 мкм рекомендуется применять устройство отбора проб, состоящее из импинжера, после которого расположен фильтр, пропитанный MAP.
6.2.2 Фильтры
Применяют фильтры из стекловолокна (без связующих агентов), обеспечивающие проскок отбираемого аэрозоля не более 5% массы пробы. Выбор диаметра фильтра и фильтродержателя, в основном, зависит от физического состояния изоцианата. Пар и аэрозоль с частицами относительно небольшого размера могут быть эффективно уловлены с помощью обычного устройства отбора проб с фильтром (например, в полистирольном картридже для фильтров открытого или закрытого типа с диаметром 37 мм или полипропиленовом фильтродержателе с диаметром 13 мм). Для улавливания аэрозолей с частицами относительно большого диаметра (более 20 мкм) рекомендуется использовать пробоотборник для отбора проб в зоне дыхания [например, разработанный в Институте гигиены труда (IOM), Великобритания]. Так как изоцианаты обладают значительным сенсибилизирующим действием, целесообразно определять изоцианаты в составе тех частиц, которые будут осаждаться в какой-либо области дыхательных путей, т.е. во вдыхаемой фракции
[16].
6.2.3 Миниатюрные импинжеры
Миниатюрный импинжер состоит из градуированного приемника и входной трубки с коническим концом. Соединяют эти две части таким образом, чтобы расстояние между входным отверстием и дном приемника составляло от 1 до 2 мм. Серийно выпускают импинжеры с встроенной входной трубкой.
6.3 Насос для отбора проб
Насос для отбора проб должен обеспечивать объемную скорость потока 2 дм3/мин и соответствовать требованиям ЕН 1232 или соответствующего стандарта.
6.4 Трубки
Используют пластиковые, резиновые или другие соединительные трубки длиной приблизительно 900 мм и определенного диаметра для обеспечения герметичного подсоединения к насосу для отбора проб и к выходному отверстию устройства отбора проб. Надежное крепление пробоотборника и соединительных трубок с одеждой должны обеспечивать клипсы. Замечено, что растворители из импинжеров (в частности, толуол) могут вымывать некоторые вещества из трубок, что в итоге влияет на результат анализа пробы. Неизвестно, вымывает ли бутилбензоат из материала трубок влияющие на анализ соединения при обычных условиях отбора проб, но установлено, что проблемы, возникающие при применении толуола в импинжерах, можно в значительной степени уменьшить, используя трубки из фторэластомера <1>. Для этого достаточно вставить перед используемой пластиковой, резиновой или другой трубкой <2> короткую трубку из фтороэластомера.
--------------------------------
<1> Fluran является примером серийно выпускаемой продукции, имеющейся в продаже. Эта информация предоставлена для удобства пользователей настоящего стандарта и не является рекламой ИСО этого продукта.
<2> Tygon R-3603 является примером серийно выпускаемой продукции, имеющейся в продаже. Эта информация предоставлена для удобства пользователей настоящего стандарта и не является рекламой ИСО этого продукта.
6.5 Расходомер
Для измерения объемного расхода используют портативный расходомер, обеспечивающий измерение расхода в требуемом диапазоне с погрешностью в пределах +/- 5% в условиях применения. Расходомер должен быть откалиброван по первичному эталону перед его транспортированием к месту применения.
6.6 Фильтрование и установка для проведения твердофазной экстракции
Перед использованием растворитель для анализа методом ВЭЖХ фильтруют в устойчивой к действию растворителей установке для фильтрования под вакуумом с использованием нейлоновых фильтров с номинальной тонкостью фильтрации 0,45 мкм. Перед анализом пробы, отобранные на фильтры, пропускают через фильтрующие насадки шприцев из ПТФЭ для фильтров с номинальной тонкостью фильтрации 0,45 мкм. Пробы, отобранные с помощью импинжера, подвергают твердофазной экстракции (ТФЭ) с использованием вакуумного коллектора. Одноразовые вкладыши из ПТФЭ вставляют в отверстие вакуумного коллектора для предотвращения загрязнения проб. Трубки для ТФЭ (силикагель для нормальной фазы, 6 мм3/500 мг) подсоединяют к входам одноразовых вкладышей из ПТФЭ.
6.7 Система жидкостного хроматографа
6.7.1 Автоматический дозатор
Применяют любые автоматические серийно выпускаемые дозаторы, обеспечивающие подачу проб с приемлемой погрешностью и прецизионностью.
6.7.2 Насос для отбора проб
Применяют насос, предназначенный для анализа методом ВЭЖХ с градиентным элюированием. Предпочтительно, чтобы вся система ВЭЖХ была выполнена из инертных материалов, а трубки для жидкости, находящиеся после системы ввода проб, были изготовлены из высокоинертного материала полиэфирэфиркетона (ПЭЭК) или титана. Если трубки для жидкости системы ВЭЖХ, находящиеся после системы ввода проб, изготовлены из нержавеющей стали, при возможности, необходимо заменить их трубками из ПЭЭК.
6.7.3 Аналитическая колонка
Используют аналитическую колонку длиной 150 мм, диаметром 2 мм, с неподвижной фазой C8 на диоксиде кремния высокой чистоты с частицами диаметром 5 мкм. Рекомендуется перед аналитической колонкой <3> устанавливать короткую заменяемую защитную колонку с аналогичной неподвижной фазой.
--------------------------------
<3> Prodigy 5 мкм C8 является примером серийно выпускаемой продукции, имеющейся в продаже. Эта информация предоставлена для удобства пользователей настоящего стандарта и не является одобрением ИСО этого продукта.
6.7.4 Термостат колонки
Аналитическую колонку помещают в колоночный термостат, в котором поддерживают температуру 30 °C или по крайней мере на 5 °C выше окружающей температуры.
6.7.5 Послеколоночный насос подачи подвижной фазы
Насос, используемый в системе ВЭЖХ, должен обеспечивать подачу одной подвижной фазы с объемной скоростью 0,7 см3/мин в смесительный тройник, подсоединенный непосредственно к аналитической колонке. Так как противодавление ниже по потоку от аналитической колонки низкое, то между этим насосом и смесительным тройником может потребоваться установка глушения импульсов для обеспечения подачи подвижной фазы без пульсаций потока.
6.7.6 Детекторы
Для идентификации и количественного определения соединений методом ВЭЖХ применяют два детектора, соединенных последовательно: оптический детектор, работающий на переменной длине волны в УФ-области (УФД), ФЛД. Предпочтительно использовать ФЛД с ксеноновым источником излучения, поскольку в этом случае будет доступна более широкая область длин волн возбуждения. Допускается использовать ФЛД с дейтериевым источником излучения.
7.1 Подготовка к отбору проб в условиях лаборатории
7.1.1 Очистка оборудования для отбора проб
Оборудование для отбора проб многократного применения следует тщательно очищать перед использованием. Импинжеры, содержащие остатки бутилбензоата следует промыть ацетоном, дать им высохнуть и, если это необходимо, замочить в моющем растворе на основе концентрированной серной кислоты, не содержащем хромовокислых солей. Через 30 мин их вынимают, тщательно промывают водой и сушат в сушильном шкафу. Кассеты, одобренные IOM, из нержавеющей стали (но не весь корпус пробоотборника) помещают в небольшой лабораторный стакан с дихлорметаном, обрабатывают ультразвуком в течение 15 мин, вынимают и дают высохнуть. Затем промывают их водой и помещают в раствор азотной кислоты концентрацией 6 моль/дм3 на 30 мин (10 мин из которых проводят обработку ультразвуком), промывают водой и сушат в сушильном шкафу.
7.1.2 Приготовление фильтров, покрытых реагентом MAP
С помощью микрошприца в помещении, свободном от изоцианатов, наносят раствор MAP массовой концентрацией 2 мг/см
3 на фильтр из стекловолокна или кварцевого волокна таким образом, чтобы плотность покрытия реагентом составляла 1,0 мкг/мм
2 (например, наносят 250 мм
3 раствора на фильтр диаметром 25 мм). После испарения растворителя помещают фильтры в холодильник и хранят до использования. Готовые к применению фильтры вставляют в соответствующие фильтродержатели. Методика добавления в фильтр реагента приведена в
[18].
7.1.3 Приготовление растворов для экстракции
Переносят необходимое количество раствора MAP для экстракции фильтров (раствор MAP в ацетонитриле концентрацией 1·10-4 моль/дм3) в широкогорлый сосуд с крышкой, покрытой ПТФЭ. Размер сосуда и количество раствора зависят от диаметра используемых фильтра и типа пробоотборника. В случае пробоотборников, утвержденных IOM, кассеты из нержавеющей стали полностью погружают в раствор для экстракции объемом 10 см3. Для экстракции только одного фильтра требуется раствор значительно меньшего объема (например, 5,0 см3 для фильтров диаметром 37 мм).
7.2 Подготовка к отбору проб в условиях применения
7.2.1 Градуировка насоса для отбора проб
Насос для отбора проб градуируют при подключенной представительной линии отбора проб с использованием портативного расходомера. Если для отбора проб используют импинжер, то во время градуировки он должен быть заполнен соответствующим раствором.
7.2.2 Подготовка устройств отбора проб
Пробоотборники подготавливают к отбору проб в помещении, свободном от изоцианатов. Если для отбора проб используют импинжеры, то в каждый из них переносят по 15 см3 раствора MAP в бутилбензоате концентрацией 1·10-4 моль/дм3. Подсоединяют выходное отверстие каждого загруженного устройства отбора проб к насосу с использованием соответствующей трубки, обеспечивают герметичное соединение без утечек. Включают насос для отбора проб, подсоединяют откалиброванный расходомер к входному отверстию устройства отбора проб и устанавливают соответствующую объемную скорость расхода. Выключают насос и закрывают устройство отбора проб на время его транспортирования к месту отбора проб.
7.3 Отбор проб воздуха
7.3.1 Отбор проб с использованием фильтра
В помещении, свободном от изоцианатов, закрепляют устройство отбора проб на одежде работника, по возможности как можно ближе к зоне дыхания. Закрепляют насос для отбора проб на его ремне или на другом надежном месте. По мере готовности к отбору проб включают насос. Регистрируют время начала отбора проб. Отбирают требуемый объем воздуха при объемной скорости потока от 1 до 2 дм3/мин (1 дм3/мин - для кассетных фильтров диаметром 37 мм, 2 дм3/мин - для пробоотборников IOM). Минимальный объем пробы воздуха составляет 1 дм3. Максимальный объем пробы воздуха зависит от возможности продолжения работы насоса без существенного падения объемной скорости потока, но применяемый насос должен обеспечивать возможность отбора пробы объемом не менее 960 дм3 (отбор в течение всей 8-часовой рабочей смены при объемной скорости потока 2 дм3/мин). При большой загрузке фильтр может засориться, что приведет к снижению объемной скорости потока. При наличии подозрения, что это произошло, проверяют объемную скорость потока воздуха в устройстве отбора проб. Останавливают отбор проб и считают пробу недействительной в том случае, если в течение отбора проб объемная скорость потока воздуха отклоняется более чем на +/- 5% номинального значения. В конце отбора проб измеряют объемную скорость потока воздуха, выключают насос и регистрируют время окончания отбора проб. При наличии вероятности того, что при отборе проб уловлены некоторые изоцианаты в виде твердых частиц, помещают фильтр немедленно в сосуд с раствором для экстракции. Есть основания полагать, что при отборе проб уловлены изоцианаты только в виде паров достаточные, то не нужно проводить экстракцию фильтра перед его транспортированием в лабораторию. Вычисляют среднюю объемную скорость потока воздуха путем усреднения результатов ее измерения в течение всего отбора проб и объем отобранного воздуха умножением объемной скорости потока воздуха, дм3/мин, на продолжительность отбора проб, мин.
7.3.2 Отбор проб с использованием импинжера
При отборе проб с использованием импинжера следуют указаниям (см.
7.3.1) относительно крепления устройства отбора проб к одежде работника для контроля за объемной скоростью потока воздуха и вычисления отобранного объема воздуха. Отбор проб проводят при объемной скорости потока воздуха 1 дм
3/мин. Следят за тем, чтобы во время отбора проб импинжер находился практически в вертикальном положении. Поскольку в растворе для импинжера применяется нелетучий растворитель (бутилбензоат), необходимость повторно заполнять импинжер во время отбора проб отсутствует. По окончании отбора проб переносят раствор из импинжера в виалу или сосуд с крышкой, покрытой ПТФЭ.
7.3.3 Отбор проб с использованием комбинации импинжера и фильтра
Если предполагается, что в исследуемом воздухе присутствуют как частицы диаметром менее 2 мкм (которые не следует отбирать с помощью импинжеров), так и относительно быстро отверждающиеся частицы диаметром более 2 мкм (которые, как полагают, неэффективно образуют производные на пропитанном фильтре), то в этом случае следует использовать линию отбора проб, состоящую из импинжера, следом за которым расположен фильтр, пропитанный реагентом. После отбора проб можно поместить фильтр либо в раствор из импинжера, либо в отдельный сосуд для экстракции фильтра с крышкой, покрытой ПТФЭ.
7.4 Холостые пробы и пробы (для) отрицательного контроля
При крайне низком содержании изоцианатов на результат хроматографического анализа могут оказывать существенное влияние побочные соединения, присутствующие в MAP-реагенте. Холостые пробы и отрицательный контроль используют для идентификации на хроматограмме пиков побочных соединений, содержащихся в реагентах. Холостые пробы чистых реактивов для условий применения - это пробы, с которыми обращаются так же, как с обычными пробами, но воздух не пропускают. На каждые десять обычных проб должны приходиться одна холостая проба для условий применения и минимум три холостые пробы - на серию. С пробами для отрицательного контроля обращаются так же, как с обычными пробами, отбор проб воздуха в данном случае проводят близко от основного места отбора проб, в воздухе, в котором не ожидается присутствие аналита. Для идентификации на хроматограмме пиков мешающих веществ, которые могут быть внесены при отборе проб, рекомендуется отбирать по три такие пробы на серию обычных проб.
7.5 Промышленные продукты
Предпочтительно отобрать по крайней мере 3 см3 каждой промышленной смеси изоцианатов, если их применяют в рабочей зоне. Продукция, содержащая изоцианаты, наиболее подходит для качественного определения изоцианатов в пробе. Продукты, не содержащие изоцианаты, могут включать соединения, взаимодействующие с дериватизирующими реагентами с образованием мешающих соединений на хроматограмме пробы, которые могут дать побочные пики. По этой причине получение производных и их анализ для промышленных смесей, не содержащих изоцианаты, могут быть полезны при идентификации неизвестных пиков на хроматограмме пробы, которые в противном случае могут быть ошибочно приписаны изоцианатам.
7.6 Транспортирование проб
Помещают виалы с растворами из импинжеров, сосуды с растворами для экстракции фильтров или не подвергнутые экстракции фильтры в кулер. Целесообразно применять кулер, снабженный приспособлением, обеспечивающим удержание проб во время их транспортирования, например кюветой из пенополистирола с отверстиями, подходящими для надежной установки виал или сосудов с пробами. В любом случае стеклянные сосуды следует поддерживать в вертикальном положении во время транспортирования и предотвращать их соприкосновение друг с другом. Для сохранения проб в охлажденном состоянии (примерно при температуре от 2 °C до 8 °C) во время их транспортирования применяют многослойную упаковку. Для исключения любой возможности загрязнения проб не рекомендуется транспортировать пробы технических смесей в таком же контейнере, как и пробы воздуха. Если пробы промышленных смесей перевозят вместе с пробами воздуха, то они должны быть упакованы таким образом, чтобы загрязнение проб было исключено. Помещают кулер в прочный ящик, соответствующий требованиям транспортирования опасных веществ. Пробы следует транспортировать в соответствии с правилами перевозки опасных грузов
[19]. В соответствии с этими правилами пробы, отобранные в импинжеры с бутилбензоатом, необязательно перевозить в качестве опасных веществ. Пробы, отобранные на фильтр и экстрагированные ацетонитрилом в условиях применения, следует транспортировать в соответствии с правилами перевозки ацетонитрила.
7.7 Пробы, отобранные на фильтр
Если пробы, отобранные на фильтре, не извлечены в условиях применения, помещают каждый фильтр в темную емкость, содержащую раствор для экстракции фильтра. При получении проб, отобранных в условиях применения, добавляют по 5 мм3 уксусного ангидрида в каждую из них. Это обеспечивает перевод избытка MAP-реагента в производное ацетамида. Эту процедуру проводят в связи с тем, что ацетилированный MAP в последующем ВЭЖХ-анализе дает значительно меньшее размытие, чем свободный MAP, а также потому, что введение большого количества избытка реагента по опубликованным данным приводит к порче аналитической колонки. Оставляют пробы для протекания реакции по крайней мере на 2 ч при комнатной температуре или на ночь в холодильнике перед анализом. Присоединяют выход шприца с фильтрующей насадкой из ПТФЭ к устройству фильтрации с номинальной тонкостью 0,45 мкм, через одноразовый вкладыш из ПТФЭ к одному из портов вакуумного коллектора для ТФЭ. Подсоединяют пустой цилиндр шприца из полипропилена на входе фильтрующей насадки. Вводят раствор для экстракции в шприц. Пропускают пробу через фильтрующую насадку из ПТФЭ под действием положительного или отрицательного давления и собирают в виалу вместимостью 20 см3. Записывают конечный объем контрольной пробы как Vf, и это - объем раствора, предназначенного для экстракции фильтра. До анализа пробы хранят в морозильной камере холодильника. Рекомендуется провести анализ проб в течение месяца для сведения к минимуму проблем с идентификацией хроматографических пиков, связанных с MAP-производными побочных веществ, которые могут появиться в пробе со временем.
7.8 Пробы, отобранные в импинжеры
Общий объем раствора пробы в импинжере составляет 15,0 см3, и его обозначают как Vt. Анализируют порцию раствора пробы из импинжера объемом 5,0 см3, и его обозначают как Vtp. Подсоединяют картридж для ТФЭ вместимостью 6 см3, содержащий 500 мг силикагеля, к фильтрующей насадке шприца. Кондиционируют картридж для ТФЭ с помощью бутилбензоата объемом 2 см3 таким образом, чтобы уровень жидкости опустился до верхнего края слоя сорбента. Добавляют порцию контрольной пробы объемом 5,0 см3 в картридж из ТФЭ, настраивая вакуумный насос коллектора для получения объемной скорости потока от 1 до 2 см3/мин, и выключают его, когда уровень жидкости достигнет верхнего края сорбента. Добавляют 3 см3 дихлорметана непосредственно в картридж из ТФЭ и проводят элюирование до тех пор, пока уровень жидкости не достигнет верхнего края сорбента. Удаляют весь собранный элюат.
Добавляют 3 см3 смеси ацетонитрила и метанола с объемным отношением девять к одному в картридж. Проводят элюирование при объемной скорости потока от 1 до 2 см3/мин до тех пор, пока уровень жидкости не достигнет верхней части сорбента. Собирают элюат в предварительно взвешенную виалу вместимостью 7 см3. Добавляют 3 см3 метанола в картридж для ТФЭ. Проводят элюирование и собирают элюат в эту же виалу. Уменьшают объем элюата приблизительно до 1 см3 путем испарения растворителя под слабым потоком азота. Вычисляют объем пробы на основе ее массы и плотности ацетонитрила (0,786 г/см3). Записывают конечный объем пробы как Vf. Хранят пробы в морозильной камере холодильника до анализа.
8 Анализ методом высокоэффективной жидкостной хроматографии
8.1 Настройка приборов
Устанавливают объемную скорость потока жидкости 0,280 см
3/мин для колонок размером 15 x 2,0 мм. Устанавливают объемную скорость подачи подвижной фазы 0,132 см
3/мин с помощью насоса, расположенного после хроматографической колонки. Поддерживают температуру аналитической колонки на уровне 30 °C или по крайней мере на 5 °C выше окружающей среды. Перед началом анализа последовательности проб выдерживают колонку в течение 40 мин, используя мобильную фазу B (см.
5.4.3).
Приведенные ниже длины волн оптимальны для прибора, который применялся при разработке метода, приведенного в настоящем стандарте. Установка оптимальных длин волн для других приборов может несколько отличаться. Настраивают УФД на длину волны 253 нм. При использовании ФЛД с ксеноновым источником устанавливают длину волны возбуждения 368 нм. На этой длине волны ФЛД обеспечивается наиболее качественная селективность, и следовательно, получают достаточное доказательство того, что пик соответствует MAP-производному. Если требуется максимальная чувствительность, то устанавливают длину волны возбуждения 250 нм. При использовании ФЛД с дейтериевым источником длина волны возбуждения - 250 нм. Если конструкцией ФЛД предусмотрена возможность выбора длины волны источника излучения, то длина волны соответствует 409 нм. Настраивают автоматический дозатор ВЭЖХ на подачу пробы объемом 5 мм3 для промывки иглы между вводом проб.
8.2 Программа для высокоэффективной жидкостной хроматографии
Программа для ВЭЖХ может быть настроена таким образом, чтобы было получено наиболее эффективное сочетание разрешения пиков и продолжительности анализа для отдельного изоцианата. Ввод пробы должен быть осуществлен при элюировании 100%-ной подвижной фазой A, но время удерживания при этом и скорость нарастания начального градиента зависят от природы выходящих ранее изоцианатов. Программа для ВЭЖХ, приведенная в
таблице 2, является достаточно исчерпывающей и предназначена для того, чтобы гарантировать элюирование наибольшего числа изоцианатов из возможных. Рекомендуется в начале определять изоцианаты, элюируемые самыми последними. Как правило, для повышения четкости разрешения пиков время удерживания 13 мин при элюировании 100%-ной подвижной фазой B может быть сокращено, а градиент подобран более пологим.
Таблица 2
Время, мин | Конечная точка этапа |
От 0 до 4 включ. | Элюирование 100%-ной подвижной фазой A <a> |
Св. 4 " 17 " | Линейный градиент от 100%-ной подвижной фазы A <a> к 100%-ной подвижной фазе B <b> |
" 17 " 30 " | Поддержание 100%-ной подвижной фазы B <b> |
" 30 " 36 " | Возврат к подвижной фазе A <a> с массовой долей 100% |
<a> Смесь ацетонитрил/буферный раствор с pH 6,0 (с отношением по объему 65/35). <b> Смесь ацетонитрил/буферный раствор с pH 1,6 (с отношением по объему 65/35). |
Примеры хроматограмм MAP-производных изоцианатов приведены на
рисунке 3.
a) Хроматограмма, полученная с помощью ФЛД для HDI-MAP (9,22 мин) концентрацией 2,5·10-7 моль/дм3 и IPDI-MAP концентрацией 2,5·10-7 моль/дм3 (два изомера общей концентрацией 2,5·10-7 моль/дм3)
b) Хроматограмма, полученная с помощью УФД, для технической смеси изоцианатов, содержащей олигомеры на основе HDI и IPDI
c) Хроматограмма, полученная с помощью ФЛ детектора, для технической смеси изоцианатов, содержащей олигомеры на основе HDI и IPDI
t - время; V - разность потенциалов
Рисунок 3 - Примеры хроматограмм MAP-производных изоцианатов
9 Обработка результатов измерений
9.1 Количественное определение мономеров
Содержание тех изоцианатов, для которых имеются чистые стандартные образцы, например мономерные диизоцианаты, может быть определено либо по отношению к интенсивности пика, либо его площади для заданного соединения, при точном времени удерживания с градуировочным графиком, полученным на основе стандартных растворов анализируемых веществ. Хотя количественно мономеры можно определить по хроматограммам, полученным с помощью УФД или ФЛД по высоте или площади пика, для количественного определения рекомендуется использовать высоту пика на хроматограмме, полученной с помощью ФЛД. Он является более чувствительным и более селективным по сравнению с УФД. Предпочтительно использовать высоту пика, а не его площадь, особенно если на хроматограмме наблюдаются близко расположенные перекрывающиеся пики. Подтверждают идентичность мономера на хроматограмме пробы, сравнивая отношения сигналов ФЛД/УФД для пиков пробы на хроматограмме, полученной с помощью ФЛД или УФД, со стандартным раствором, дающим аналогичный сигнал.
Примечание - Отношение выходных сигналов ФЛД/УФД будет несколько отличаться при низком уровне содержания изоцианатов из-за нелинейности градуировочного графика для ФЛД. Обычно для пика пробы на хроматограмме отношение сигналов ФЛД/УФД составляет не более 25% для стандартного пика соизмеримого размера.
9.2 Количественное определение олигомеров (суммарного содержания обнаруженных изоцианатов)
Содержание тех изоцианатов, для которых отсутствуют стандартные образцы, таких как олигомерные изоцианаты, определяют исходя из площади пиков на хроматограмме пробы, полученной с помощью УФД, и наклона градуировочного графика, построенного с использованием стандартных растворов анализируемых соединений. Часто несколько пиков изоцианатов выходят на хроматограмме вместе в виде кривой, огибающей несколько пиков, некачественного разрешения. В этом случае следует определить интеграл под всей огибающей кривой на хроматограмме в заданном диапазоне, чем интегрировать пики по отдельности. Хроматограмму, полученную с помощью ФЛД, применяют для качественного подтверждения присутствия MAP-производных изоцианатов среди элюируемых соединений. При отсутствии MAP-производных каких-либо соединений, базовая линия хроматограммы, полученной с помощью ФЛД, будет горизонтальной. Поэтому данную хроматограмму можно использовать для определения начала и конца интегрирования на хроматограмме, полученной посредством УФД. Выходной сигнал ФЛД сильно меняется от одного соединения к другому, чтобы использовать этот детектор для количественного определения изоцианатов, для которых отсутствуют стандартные образцы. Однако выбранные длины волн возбуждения и испускания обеспечивают обнаружение MAP-производных с достаточной селективностью. Опыт показывает, что для MAP-производных изоцианатов отношение выходных сигналов ФЛД/УФД составляет приблизительно от 0,33 до 2 отношения для MAP-производных мономерных диизоцианатов. Хроматограммы проб следует сравнить с хроматограммами холостых проб и результатами отрицательного контроля для того, чтобы отличить пики по производным изоцианатов от пиков по производным побочных соединений, содержащихся в реагентах, и пиков по другим соединениям.
10 Калибровка и контроль качества
10.1 Стандартные градуировочные растворы
Калибровку проводят ежедневно с использованием шести стандартных градуировочных растворов в соответствующем диапазоне измерений. Анализируют эти растворы среди проб. Рабочий диапазон УФД, выраженный в молях изоцианатных групп на литр, составляет приблизительно от 1·10-7 до 2·10-4. Рабочий диапазон некоторых ФЛД может быть изменен посредством настройки чувствительности детектора. Как правило, рекомендуется настраивать чувствительность ФЛД таким образом, чтобы его рабочий диапазон соответствовал более низким значениям концентрации по сравнению с УФД. Это позволит количественно определить мономер при крайне низком уровне его содержания. Однако в таких условиях MAP-производные при их высоком содержании могут выдавать флуоресцентный сигнал вне пределов диапазона измерений ФЛД. Стандартные градуировочные растворы должны содержать MAP-производное(ые) соответствующего(щих) мономерного(ных) диизоцианата(ов).
Хотя это не предусмотрено данным методом измерений, его характеристики, возможно, могут быть усовершенствованы за счет применения внутреннего стандарта. Применение внутреннего стандарта обеспечивает выявление и/или корректировку, например, изменчивости объема вводимой пробы и дрейфа времени удерживания. Очевидно, что внутренние стандарты не должны присутствовать в пробе и должны давать хроматографические пики в тех областях хроматограммы, в которых не наблюдаются пики аналитов. Для анализа проб, содержащих ди- и полиизоцианаты, в качестве внутренних стандартов используют MAP-производные моноизоцианатов, таких как фенилизоцианат или бутилизоцианат, так как они будут давать пики на хроматограмме между пиками реагента и диизоцианатов.
10.2 Градуировочные графики
Строят градуировочные графики (зависимость выходного сигнала cNCO, моль/дм3, от концентрации NCO-групп в стандартном градуировочном растворе) для количественного определения мономера и олигомера. Олигомер количественно определяют по линейному градуировочному графику на основе площадей пиков для мономерного MAP-производного на хроматограмме, полученной с помощью УФД. Мономер количественно определяют с применением любого из двух детекторов, регистрирующих высоту или площадь пика, однако для пика флуоресцентного сигнала рекомендуется регистрировать высоту хроматографического пика. Может потребоваться квадратичная аппроксимация градуировочного графика, полученного с помощью ФЛД, так как в области низкого содержания аналита на графике может появиться изгиб.
10.3 Холостые пробы реактивов
Анализируют две холостые пробы растворителя (ацетонитрила) в начале каждой серии проб. Хроматограмму второй холостой пробы используют для настройки автоматического вычитания хроматограммы растворителя из хроматограмм проб. Анализируют одну дополнительную холостую пробу растворителя на каждую серию пробы. Анализируют одну холостую пробу, содержащую MAP-реагент на каждые десять проб, при этом не менее трех на каждую серию проб. Используют контрольные пробы для условий применения и холостые пробы для отрицательного контроля для идентификации пиков, не относящихся к изоцианатам (обычно пиков побочных соединений, содержащихся в реагентах), которые, вероятнее всего, могут появиться на хроматограммах проб.
10.4 Промышленный продукт
Анализируют промышленную продукцию, применяемую в рабочей зоне, представительную для соединений, содержащихся в пробе воздуха. По возможности всегда анализируют промышленные продукты. Также рекомендуется анализировать продукцию, не содержащую изоцианаты (например, фракцию высокомолекулярного спирта двухфазной спрей-системы, содержащей высокомолекулярный спирт), чтобы убедиться в том, что они не содержат мешающих соединений, которые могут быть ошибочно приняты за изоцианаты. Промышленную продукцию следует перед анализом дериватизировать с помощью MAP (см.
5.3.4). Для подтверждения отнесения пиков на хроматограммах проб к изоцианатам рекомендуется применять хроматограммы технических изоцианатов, особенно при низком уровне содержания.
10.5 Введение аналита для контроля качества
В каждой серии проб вводят аналит в один неиспользованный пробоотборник на каждые десять проб и минимум один раз на серию проб. Выбор количества аналита в пробе рекомендуется проводить таким образом, чтобы оно соответствовало его количеству в реальной серии проб или исходя из требований к точности проводимого анализа. С этой точки зрения предпочтительно, чтобы вводимое в пробоотборник количество аналита было приблизительно равно тому, что будет отобрано из воздуха при содержании в нем аналита на уровне предельно допустимой концентрации за период времени, представительный для реальных условий пробоотбора. Если предполагается проведение реальных измерений в условиях более низкого содержания, то количество вводимого аналита может быть соответствующим образом сокращено.
11.1 Мономер
Строят градуировочный график зависимости высоты или площади пика (предпочтительно высоты пика), полученного с помощью ФЛД от концентрации NCO-групп cNCO, моль/дм3, в стандартных градуировочных растворах мономера. Определяют cNCO в анализируемой пробе по градуировочному графику.
11.1.1 Для проб, отобранных на фильтр, массу изоцианата m, мкг, вычисляют по формуле
m =
cNCO·
meq·
Vf·1000, (1)
где cNCO - концентрация NCO-групп в анализируемой пробе, определенная по градуировочному графику, моль/дм3;
meq - масса мономерного изоцианта, выраженная в грамм-эквивалентах изоцианата <1> (см.
таблицу 1), или масса NCO-групп, выраженная в грамм-эквивалентах изоцианата, т.е. 42;
--------------------------------
<1> В системе СИ единицей meq вместо единицы измерения "грамм-эквивалентов" соответствует "г/моль".
Vf - конечный объем анализируемой пробы (см.
7.7), см
3.
Примечание - Единица, в которой будет выражено окончательное значение
m, будет зависеть от того, в какой единице выражена
meq, подставляемая в
формулу. Окончательное значение может быть выражено в микрограммах мономера или микрограммах NCO-групп (для олигомера в микрограммах NCO-групп или микрограммах других изоцианат-содержащих соединений, если эквивалентные массы этих соединений известны).
11.1.2 Для проб, отобранных с помощью импинжера, массу изоцианата m, мкг, вычисляют по формуле
m =
cNCO·
meq·
Vf·(
Vt/
Vtp)·1000, (2)
где cNCO - концентрация NCO-групп в анализируемой пробе, определенная по градуировочному графику, моль/дм3;
meq - масса мономерного изоцианата, выраженная в грамм-эквивалентах изоцианата (см.
таблицу 1), или масса NCO-групп, выраженная в грамм-эквивалентах изоцианата, т.е. 42;
Vf - конечный объем анализируемого раствора пробы после ТФЭ (см.
7.8), см
3;
Vt - общий объем бутилбензоатного анализируемого раствора пробы в импинжере (см.
7.8), см
3;
Vtp - объем анализируемого раствора бутилбензоата (см.
7.8), дм
3.
Примечание - Единица, в которой будет выражено окончательное значение
m, будет зависеть от того, в какой единице выражена
meq, подставляемая в
формулу. Окончательное значение может быть выражено в микрограммах мономера или микрограммах NCO-групп (для олигомера в микрограммах NCO-групп или микрограммах других изоцианатсодержащих соединений, если эквивалентные массы этих соединений известны).
11.2 Олигомеры (общее содержание обнаруженных изоцианатов)
Так как все MAP-производные изоцианатов при их регистрации с помощью УФД имеют близкие факторы отклика, олигомеры могут быть количественно определены по градуировочному графику, построенному на основе результатов анализа стандартных градуировочных растворов мономера, предпочтительно того мономера, из которого получен олигомер. Строят градуировочный график зависимости площади пика, полученного с помощью УФД, от концентрации NCO-групп, моль/дм3, в стандартных градуировочных растворах мономера. По угловому коэффициенту градуировочного графика вычисляют концентрацию NCO-групп отдельного изоцианата, группы изоцианатов или всех изоцианатов cNCO,tp, моль/дм3, в контрольной пробе по формуле
cNCO,tp = Atp/bcal, (3)
где Atp - площадь пика на хроматограмме, полученной с помощью УФД, для изоцианата(ов) в контрольной пробе;
bcal - угловой коэффициент, выраженный в единицах площади пика на концентрацию, градуировочного графика, полученного с помощью УФД.
По данной методике можно определить содержание в молях изоцианатной группы олигомеров в объеме пробы. Определение содержания в микрограммах изоцианатов на пробу невозможно, если неизвестна его эквивалентная масса. В действительности имеют дело со смесью соединений с различными и неизвестными эквивалентными массами. Для пересчета концентрации NCO-групп, моль/дм
3, в микрограммы изоцианатной группы на пробу используют
формулы (1) и
(2) и эквивалентную массу NCO-группы: 42 грамма на эквивалент. В некоторых странах, включая Австралию, Финляндию, Ирландию, Швецию и Соединенное Королевство, приняты единицы поглощенной дозы: микрограммы NCO-групп в единице объема воздуха.
Любое неизоцианатное соединение, которое образует производный продукт с MAP, является потенциальным мешающим веществом. Соединение, которое элюирует во время или после времени удерживания мономера и поглощает на длине волны 253 нм, потенциально может мешать количественному определению изоцианатов. Мешающие вещества, для которых не наблюдается значимой флуоресценции на заданной длине волны возбуждения и испускания, с высокой долей вероятности не содержат MAP. Если это не амины, то их можно с легкостью отделить от MAP-производного за счет изменения градиента pH. Пики MAP-производных побочных соединений наблюдаются на хроматограмме и могут оказывать мешающее влияние при низком уровне содержания изоцианатов. Влияние мешающих соединений сводят к минимуму, проводя анализ проб в течение 30 дней после их отбора и используя холостые пробы и пробы отрицательного контроля для идентификации пиков мешающих веществ.
13 Определение характеристик эффективности
13.1 Введение
Измерение концентрации изоцианатов в воздухе рабочей зоны имеет неопределенность, которая может быть выражена как расширенная неопределенность (Руководство ИСО/МЭК 98-3). Оценка неопределенности включает в себя определение составляющих неопределенности, выполненное при лабораторных испытаниях или испытаниях, воспроизводящих условия применения, или на основе имеющейся информации. Полученные значения неопределенности измерения затем можно сравнить с заданными критериями, например предусмотренными национальным и международными законодательными актами.
Настоящий раздел по определению метрологических характеристик заимствован из ИСО 17734-1 с внесением небольшого числа изменений. Хотя большинство факторов, являющихся источником неопределенности в методах, описанных в ИСО 17734-1 и в настоящем стандарте, одинаковые, различия этих методов обуславливают некоторые изменения в отношении составляющих, вносящих вклад в неопределенность. Очевидно, что оцененные или вычисленные значения составляющих в неопределенность часто будут различными.
Вклады в неопределенность и критерии приведены в
таблице 3.
Таблица 3
Вклады в неопределенность и критерии
Вклад в неопределенность | Обозначение или сокращение | Пункт | Критерий (предельно допускаемое значение) |
Объем анализируемой пробы | Vsam | | |
Расход при отборе проб - калибровка расходомера | qcal | | Относительная стандартная неопределенность < 2% |
Расход при отборе проб - непостоянство расхода | | | < 5% |
Продолжительность отбора проб | t | | Относительная стандартная неопределенность < 0,1% |
Температура во время отбора проб | T | | Относительная стандартная неопределенность < 4% |
Давление во время отбора проб | p | | Относительная стандартная неопределенность < 2% |
Масса аналита | msam | | |
Стабильность аналита во время хранения | wNCO,s | | Не наблюдается существенной разницы между результатами измерений для проб, полученными до и после хранения |
Эффективность реакции/экстракции | | | Более 90% на уровне предела количественного определения относительная стандартная неопределенность < 3% |
Масса изоцианата в стандартных градуировочных растворах | mCS | | Относительная стандартная неопределенность < 2% |
Несоответствие градуировочного графика | LOF | | Относительные отклонения в пределах диапазона градуировки < 3%; при предельном значении < 2% |
Дрейф выходного сигнала в промежутках между градуировками | RD | | < 3% |
Прецизионность анализа | r | | < 1% |
Селективность | s | | Разрешение > 1 |
Уровень холостых показаний | mb | | < 50 нг при относительной стандартной неопределенности < 5% |
Межлабораторные вариации | | | Относительная стандартная неопределенность < 7,5% |
Примечание - Дополнительная информация о рабочих характеристиках приведена в
приложении A.
13.2 Оценка характеристик метода
13.2.1 Эффективность улавливания в зависимости от распределения частиц по размеру
Способы описания данной характеристики и ее определения приведены в соответствии с Руководством ИСО/МЭК 98-3.
13.2.2 Отбор проб воздуха
13.2.2.1 Объем отобранного воздуха
Отобранный объем воздуха Vsam, обычно выраженный в миллилитрах, вычисляют на основе расхода воздуха, измеренного до и после отбора проб, как установлено в ИСО 16200-1, по формуле

, (4)
где q0 - расход в начале отбора пробы, см3/мин;
qf - расход в конце отбора пробы, см3/мин;
t - продолжительность отбора проб, мин.
Неопределенность результатов измерения объема отобранного воздуха складывается из неопределенностей, связанных:
a) с измерениями расхода до и после отбора проб;
b) с определением продолжительности отбора проб;
c) с изменениями расхода во время отбора проб, и может быть вычислена по формуле

(5)
в которой последний член представляет собой вклад в неопределенность, связанный с изменениями расхода.
13.2.2.2 Продолжительность отбора проб
Продолжительность отбора проб t может быть определена с погрешностью в пределах +/- 0,5 мин. При продолжительности отбора проб 8 ч относительной неопределенностью измерений t пренебрегают из-за ее небольшого значения.
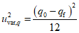
13.2.2.3 Изменения расхода во время отбора проб
Мгновенное значение расхода во время отбора проб неизвестно. Неопределенность, обусловленная изменениями расхода во время отбора проб, uvar,q может быть вычислена на основе предположения о равномерном распределении по формуле

. (6)
13.2.2.4 Приведение значений объема пробы к заданным условиям температуры и давления
Для приведения значений объема пробы к заданным температуре и давлению
[20] необходимо знать их действительные средние значения во время отбора проб. Неопределенности значений температуры
T и давления
p используемых для приведения к заданным условиям, могут быть получены на основе:
a) результатов реальных измерений с учетом неопределенности, обусловленной градуировкой датчиков температуры и давления, по формуле

, (7)
где ucal - неопределенность, обусловленная градуировкой датчиков;
smeas - стандартное отклонение результатов измерений температуры/давления;
n - число результатов измерений температуры/давления;
b) информации о предельных значениях температуры и давления во время отбора проб в предположении их равномерного распределения.
Например, если предельные значения температуры Tmin и Tmax известны, то неопределенность, обусловленную изменением температуры T, вычисляют по формуле

. (8)
Как правило, первый член в
формуле незначителен по сравнению со вторым.
13.2.2.5 Суммарная неопределенность объема пробы
Вклады в неопределенность, полученные по
13.2.2.4, суммируют и неопределенность объема пробы, приведенного к стандартным условиям, вычисляют по формуле

. (9)
13.2.3.1 Масса аналита в пробе
Массу изоцианата в пробе воздуха msam вычисляют по формуле

, (10)
где

- эффективность улавливания;

- эффективность реакции/экстракции;
fr - фактор отклика;
manal - масса изоцианата в пробе без учета поправки;
Sa - стабильность аналита в пробе;
vS - нестабильность устройства отбора проб.
13.2.3.2 Стабильность аналита
Стабильность аналита должна быть установлена экспериментально для условий хранения (время, температура и другие окружающие условия), типичных для конкретной лаборатории. Испытания следует проводить при уровне содержания изоцианата, соответствующем концентрации, эквивалентной предельно допустимому значению.
При времени t = 0 и t = t должен быть проанализирован ряд проб (n >= 6) в условиях повторяемости. Для обоих значений времени пробы следует выбирать случайным образом из партии репрезентативных проб, чтобы свести к минимуму возможные систематические изменения содержания. Для проверки стабильности используют t-критерий Стьюдента (двусторонний критерий при вероятности охвата 95%). Неопределенность определения стабильности состоит из вкладов, обусловленных:
a) десорбцией (случайная составляющая эффективности десорбции);
b) градуировкой (случайная составляющая градуировки);
c) прецизионностью анализа;
d) неоднородностью партии проб.
Неопределенность в определении нестабильности аналита не следует учитывать в общей неопределенности метода, поскольку она уже учтена во вкладах других источников.
13.2.3.3 Эффективность реакции/экстракции
Эффективность реакции/экстракции изоцианата и ее неопределенность, как правило, получают на основе повторных измерений концентрации аттестованных стандартных образцов (АСО) изоцианата или продукта(ов) его реакции. Неопределенность, обусловленную неполнотой реакции/экстракции, для уровня содержания изоцианата, соответствующего предельно допустимому значению, вычисляют на основе вкладов:
a) неопределенности значения концентрации стандартного раствора;
b) стандартного отклонения средней степени извлечения;
c) отклонения средней массы изоцианата в пробе по отношению к массе изоцианата в АСО.
Неопределенность, обусловленную неполнотой реакции/экстракции, вычисляют по формуле

, (11)
где mCRM - аттестованная масса изоцианата в АСО;
uCRM - неопределенность аттестованной массы изоцианата в АСО;
mdet - средняя масса изоцианата, определенная при анализе;
s(mdet) - стандартное отклонение среднего значения массы, полученной на основе результатов повторных измерений.
Последним членом в
формуле (11), представляющим собой неопределенность, обусловленную значимым систематическим смещением значения измеренной массы от аттестованного значения, можно пренебречь, если:
a) смещение статистически незначимо при вероятности охвата 95%;
b) введена поправка на смещение.
Если АСО отсутствует, то следует использовать материал наивысшего метрологического качества.
13.2.3.4 Фактор отклика
В соответствии с настоящим стандартом количественно определить изоцианаты, для которых не имеется аналитических стандартов, можно на основе фактора отклика УФД для MAP-производного наиболее подходящего мономерного диизоцианата. Другими словами, метод обеспечивает количественное определение изоцианатов в том случае, если для них получен такой же фактор отклика УФД, как и для мономера. В действительности фактор отклика УФД в зависимости от соединения будет незначительно отличаться. Неопределенность фактора отклика может быть оценена по изменчивости фактора отклика для нескольких различных изоцианатов.
13.2.3.5 Нескорректированная масса аналита
Неопределенность некорректируемой массы соединения обусловлена:
a) неопределенностью значений концентрации соединения в используемых стандартных градуировочных растворах;
b) несоответствием градуировочной функции;
c) дрейфом выходного сигнала детектора между градуировками;
d) прецизионностью анализа;
e) селективностью хроматографической системы.
13.2.3.6 Стандартные градуировочные растворы
Неопределенность значений концентрации изоцианата в используемых стандартных градуировочных растворах зависит от типа стандартного раствора.
Для стандартных градуировочных растворов в толуоле или ацетонитриле неопределенность состоит из следующих вкладов:
a) неопределенность значений чистоты изоцианата, известной из сопроводительной документации изготовителя, как правило, представляемой как минимальный уровень чистоты wNCO,p, например массовая доля wNCO,p = 99% или массовая доля wNCO,p >= 99%; в 1-м случае относительная неопределенность, обусловленная наличием примесей, задается как (100 - wNCO,p)%; во 2-м случае - это относительная неопределенность, оцениваемая в предположении равномерного распределения по формуле

; (12)
b) неопределенности взвешивания веществ и растворов по методу разности масс, т.е. в этом случае неопределенность взвешивания обычно uweigh вычисляют по формуле

, (13)
где ubal - погрешность используемых весов.
13.2.3.7 Несоответствие градуировочной функции
Неопределенность, обусловленную несоответствием градуировочной функции, можно вычислить для концентрации изоцианата (соответствующей массе изоцианата, отобранного при предельном значении) по отклонениям от градуировочной функции, полученной взвешенным методом наименьших квадратов для линейной регрессии, деленным на концентрацию изоцианата в стандартном градуировочном растворе, по формуле

, (14)
где mregr - масса изоцианата, вычисленная по уравнению регрессии, при уровне концентрации стандартного градуировочного раствора, соответствующем уровню, ближайшему к массе изоцианата, представляющего пробу при предельном значении;
msms - масса изоцианата, содержащегося в соответствующем стандартном градуировочном растворе;

- относительный остаток для заданного уровня концентрации.
Примечание - Несоответствие градуировочной функции вносит вклад в неопределенность, обусловленную неполнотой экстракции или реакции, если их эффективность значительно отличается от 1. В этом случае независимо от того, была ли введена поправка на неполноту реакции/экстракции, неопределенность, обусловленную несоответствием градуировочной функции, можно не учитывать при оценке неопределенности.
13.2.3.8 Дрейф выходного сигнала детектора
Неопределенность, обусловленную дрейфом выходного сигнала детектора PR, можно вычислить на основе относительных разностей выходных сигналов между последовательными градуировками по формуле

, (15)
где rn - выходной сигнал детектора для стандартного градуировочного раствора, наиболее точно соответствующий массе изоцианата при его предельном содержании в пробе;
n - число повторных анализов.
13.2.3.9 Прецизионность анализа
Неопределенность, обусловленную (недостаточной) прецизионностью анализа, ur оценивают в условиях повторяемости, анализируя стандартные градуировочные растворы одного и того же состава; проводят не менее шести повторных анализов. Затем неопределенность вычисляют по формуле

, (16)
где sanal - стандартное отклонение выходных сигналов при повторных анализах;
n - число повторных анализов;

- среднее значение выходного сигнала.
При оценке неопределенности этот вклад уже включен во вклад от определения эффективности реакции/экстракции и может быть проигнорирован.
13.2.3.10 Селективность анализа
Используемая система разделения (колонка для ВЭЖХ, градиентная программа) должна быть оптимизирована для сведения к минимуму неопределенности, обусловленной (незамеченным) совместным элюированием потенциальных мешающих соединений.
Разрешение используемой ВЭЖХ-системы
R, вычисляемое по
формуле (17), должно быть более 1. В этом случае максимальная неопределенность, обусловленная совместным элюированием, составляет 2,5%. Типичный вклад в неопределенность составит +/- 0,7%.
Разрешение используемой ВЭЖХ-системы R вычисляют по формуле

, (17)
где

- разность времени удерживания изоцианата и мешающего соединения, с;
bNCO - ширина пика изоцианата на полувысоте, с;
bl - ширина пика мешающего соединения на полувысоте, с.
13.2.3.11 Суммарная неопределенность анализируемой массы изоцианата
Приведенные в
13.2.3.6 -
13.2.3.8 и
13.2.3.10 вклады в неопределенность объединяют и неопределенность измерения массы соединения
u (
manal), исключая неопределенность, обусловленную недостаточной прецизионностью, вычисляют по формуле

. (18)
13.2.3.12 Суммарная неопределенность массы отобранных изоцианатов
Вклады в неопределенность, приведенные в
13.2.3.3 -
13.2.3.8,
13.2.3.10 и в
13.2.3.11, объединяют, и неопределенность массы отобранных изоцианатов в пробе воздуха
u(
msam) вычисляют по формуле

. (19)
13.2.4 Масса соединения в холостой пробе
Массу изоцианата в холостой пробе mb определяют проведением анализа ряда холостых проб в условиях повторяемости; проводят не менее шести повторных анализов. Неопределенность вычисляют с использованием углового коэффициента градуировочной функции, экстраполированной к точке, соответствующей уровню сигнала холостой пробы, по формуле

, (20)
где sb - стандартное отклонение результатов повторных анализов;
n - число повторных анализов;
bb - угловой коэффициент градуировочного графика, экстраполированного к уровню холостых показаний.
Если сигнал холостого опыта в три раза меньше уровня шумов детектора при времени удерживания изоцианата, то уровень сигнала холостого опыта
mb и его неопределенность
u(
mb) следует вычислять на основе уровня шумов детектора с использованием коэффициента градуировочной функции, экстраполированной к нулевому уровню выходного сигнала, в предположении о его равномерном распределении по
формулам (21) и
(22):

; (21)

, (22)
где r0 - уровень шумов;
b0 - угловой коэффициент градуировочной функции при нулевом уровне выходного сигнала.
13.2.5 Межлабораторные вклады в неопределенность
Процедура, описанная в
13.2.1 -
13.2.4, допускает свободу в ее интерпретации разными испытательными лабораториями. Это обусловливает дополнительный вклад в неопределенность измерения, который может быть оценен по результатам межлабораторных сравнительных испытаний, включающих:
a) всю процедуру измерений, включая отбор проб;
b) аналитическую часть процедуры измерений.
Межлабораторные сличения организуют в соответствии с ИСО 5725-2 с использованием образцов достаточной гомогенности для обеспечения того, чтобы вклад в межлабораторную неопределенность, обусловленный негомогенностью, был незначительным. На практике, как правило, достаточно, чтобы неопределенность из-за негомогенности была < 2%.
13.2.6 Суммарная неопределенность
Суммарную неопределенность концентрации изоцианата в пробе воздуха
uc(
Cm) получают объединением вкладов в неопределенность, вычисленных по
формулам (9),
(19) и
(22), прибавляя (при необходимости) межлабораторный вклад в неопределенность по формуле

, (23)
где uil - межлабораторный вклад в неопределенность.
13.2.7 Расширенная неопределенность
Расширенную неопределенность измерений концентрации изоцианата Cm при вероятности охвата 95% получают умножением uc(Cm) на коэффициент охвата 2.
13.2.8 Неопределенность, рассчитанная по предельным значениям характеристик метода
При суммировании стандартных неопределенностей, связанных с характеристиками эффективности (см.
13.2), рассматривают наихудший случай. Полученная суммарная относительная неопределенность, вычисленная по
13.2.6, составит +/- 10%; расширенная неопределенность - +/- 20%.
(справочное)
ХАРАКТЕРИСТИКИ ЭФФЕКТИВНОСТИ
A.1 Оценки неопределенности
Информация по вкладам в неопределенность, приведенная в
таблице A.1, соответствует данным литературных источников и получена при валидации метода, установленного настоящим стандартом.
Таблица A.1
Вклады в неопределенность
Вклад в неопределенность | Стандартная неопределенность, % | Комментарии |
Объем пробы | 4 | Для пробы воздуха, отобранной в течение 15 мин при расходе 1 дм3/мин |
Расход при отборе проб - калибровка расходомера | 2 | Свидетельство о калибровке прибора |
Разброс расхода при отборе пробы | 3 | Оценка |
Продолжительность отбора проб | 0,2 | - |
Температура во время отбора проб | 1 | Оценка |
Давление во время отбора проб | 1 | Оценка |
Масса аналита | | |
Стабильность аналита при хранении | Пренебрежимо мала | |
Эффективность реакции/экстракции | 4 | Вычислена на основе результатов титрования, полученных при межлабораторном исследовании на стадии разработки настоящего стандарта и справочной информации [13] |
Фактор отклика | 3 | Изменчивость выходного сигнала УФД на длине волны 254 нм для пяти изоцианатов (см. [1]) |
Масса изоцианата в стандартных градуировочных растворах (определенная взвешиванием + разбавлением) | 1 | Оценка |
Несоответствие градуировочной характеристики | 4 | Среднее несоответствие для 28 точек, лежащих вблизи предельно допустимого значения концентрации на градуировочных графиках, полученное усреднением за несколько лет |
Дрейф выходного сигнала в промежутках между градуировками | Пренебрежимо мала | Дрейф выходного сигнала прибора, как правило, небольшой и корректируется при чередовании проб и стандартных образцов |
Аналитическая прецизионность | 4 | |
Селективность | 3 | Оценка; градиентный режим с изменением pH при ВЭЖХ обеспечивает четкое разрешение, а отношение выходных сигналов УФД/ФЛД - обнаружение мешающих веществ, элюируемых вместе с определяемыми веществами |
Уровень холостых показаний | 5 | Оценка; низкий уровень содержания мешающих веществ, являющихся производными реагента для всей хроматограммы [13] |
Межлабораторный разброс значений | 15 | Оценка; данные отсутствуют. Оценка основана на межлабораторной изменчивости, экспериментально полученной для других международных стандартов по анализу изоцианатов |
A.2 Суммарная неопределенность
Настоящий стандарт применяют при количественном определении как мономерных изоцианатов (для которых используют чистые оцененные аналитические стандартные образцы), так и полиизоцианатов (для которых отсутствуют чистые оцененные аналитические стандартные образцы). Большинство значений, приведенных в
таблице A.1, получено на основе измерений с мономерными диизоцианатами в качестве стандартных образцов. Тем не менее в некоторых случаях, когда они применялись, данные по полиизоцианатам также вносили вклад в вычисленные или оцененные неопределенности (эффективность реакции/экстракции, фактор отклика, прецизионность аналитической процедуры и уровень холостых показаний). Суммарная неопределенность, оцененная по
формуле (20) на основе значений, приведенных в
таблице A.1, составит 18%.
A.3 Расширенная неопределенность
При коэффициенте охвата 2 расширенная неопределенность составляет 36%. Существует дополнительный вклад в неопределенность, до сих пор не учтенный, связанный с эффективностью улавливания, если улавливание проводят в соответствии с нормативом по отбору проб.
При анализе изоцианатов, таких как форполимерные изоцианаты, олигомерные MDI и технические смеси изоцианатов, для которых отсутствуют стандартные образцы определенной чистоты, могут быть оттитрованы пробы технических изоцианатных продуктов. Таким образом, может быть вычислено общее содержание NCO-групп. Для оценки содержания изоцианатов в пробах воздуха один или несколько пиков на хроматограммах могут быть использованы в качестве "индикаторов" содержания изоцианата в пробе, если хроматограмма проб воздуха отражает состав проб технических изоцианатных продуктов. Межлабораторные сравнительные испытания, организованные в рамках ISO/TC 146/SC 2/WG 4, показали, что смесь TDI (2,4-TDI с массовой долей 80% и 2,6-TDI с массовой долей 20%) и смесь с HDI дали результаты титрования, которые были практически такими же, как и полученные по нескольким проверяемым хроматографическим методам. Однако для олигомерных MDI смещение составляет до -35%. В
[13] было получено большое (-25%) смещение по одному из пяти испытуемых алифатических полиизоцианатных продуктов. В настоящее время причина этого смещения для полиизоцианатных продуктов неизвестна. В случае значительного смещения результатов титрования по отношению к результатам соответствующего анализа исходные результаты анализа могут быть скорректированы делением на 1 +
B, где
B - смещение. В этом случае будет дополнительный вклад в суммарную неопределенность, составляющий 5%.
(справочное)
СВЕДЕНИЯ О СООТВЕТСТВИИ ССЫЛОЧНЫХ ЕВРОПЕЙСКИХ СТАНДАРТОВ
НАЦИОНАЛЬНЫМ СТАНДАРТАМ
Таблица ДА.1
Обозначение ссылочного европейского стандарта | Степень соответствия | Обозначение и наименование соответствующего национального стандарта |
EN 1232 | - | <*> |
<*> Соответствующий национальный стандарт отсутствует. До его принятия рекомендуется использовать перевод на русский язык данного международного стандарта. |
| ISO 1042, | Laboratory glassware. One-mark volumetric flasks |
[2] | ISO 5725-2, | Accuracy (trueness and precision) of measurement methods and results. Part 2. Basic method for the determination of repeatability and reproducibility of a standard measurement method |
[3] | ISO 16200-1, | Workplace air quality. Sampling and analysis of volatile organic compounds by solvent desorption/gas chromatography. Part 1. Pumped sampling method |
[4] | ISO 17734-1, | Determination of organonitrogen compounds in air using liquid chromatography and mass spectrometry. Part 1. Isocyanates using dibutylamine derivatives |
[5] | ISO/TR 17737, | Workplace atmospheres. Guidelines for selecting analytical methods for sampling and analysing isocyanates in air |
[6] | ISO/IEC Guide 98-3, | Uncertainty of measurement. Part 3. Guide to the expression of uncertainty in measurement (GUM: 1995) |
[7] | EN 482, | Workplace atmospheres. General requirements for the performance of procedures for the measurement of chemical agents |
| Streicher R.P., Arnold J.E., Ernst M.K., Cooper C.V. Development of a novel derivatization reagent for the sampling and analysis of total isocyanate group in air and comparison of its performance with that of several established reagents. Am. Ind. Hyg. Assoc. J. 1996, 57, pp. 905 - 913 |
| Rudzinski W.E., Norman S., Dahlquist B., Greebon K.W., Richardson A., Locke K., Thomas T. Evaluation of 1-(9-anthracenylmethyl)piperazine for the analysis of isocyanates in spraypainting operations. Am. Ind. Hyg. Assoc. J. 1996, 56, pp. 914 - 917 |
| England E., Key-Schwartz R., Lesage J., Carlton G., Streicher R., Song R. Comparison of sampling methods for monomer and polyisocyanates of 1,6-hexamethylene diisocyanate during spray finishing operations. Appl. Occup. Environ. Hyg. 2000, 15, pp. 472 - 478 |
| Ceballos D.M., Whittaker S.G., Yost M.G., Dillis R.L., Bello D., Thomasen J.M., Nylander-French L.A., Reeb-Whitaker C.K., Peters P.M., Weiland E.C., Suydam W.W. A laboratory comparison of analytical methods used for isocyanates. Analytical Methods. 2011, 3, pp. 2478 - 2487 |
| National Institute for Occupational Safety and Health. Isocyanates, Total MAP Method 5525. In: Schlecht P.C., O'Connor P.F. NIOSH manual of analytical methods (NMAM). 4th edition, 3rd supplement. Centers for Disease Control and Prevention, Cincinnati, OH. [DHHS (NIOSH) Publication No. 2003-154.] |
| Bello D., Streicher R.P., Woskie S.R. Evaluation of the NIOSH draft method 5525 for determination of the total reactive isocyanate group (TRIG) for aliphatic isocyanates in autobody repair shops. J. Environ. Monit. 2002, 4, pp. 351 - 360 |
| Streicher R.P., Reh C.M., Key-Schwartz R., Schlecht P.C., Cassinelli M.E., O'Connor P.F. Determination of airborne isocyanate exposure: Considerations in method selection. Am. Ind. Hyg. Assoc. J. 2000, 61, pp. 544 - 556 |
| Bello D., Streicher R.P., Liu Y.-C., Sparer J., Youngs F., Woskie S.R. Field comparison of impingers and treated filters for sampling of total aliphatic isocyanates with the MAP reagent. Am. Ind. Hyg. Assoc. J. 2002, 63, pp. 790 - 796 |
| Lesage J., Stanley J., Karoly W.J., Lichtenberg F.W. Airborne methylene diphenyl diisocyanate (MDI) concentrations associated with the application of polyurethane spray foam in residential construction. J. Occup. Environ. Hyg. 2007, 4, pp. 145 - 155 |
[17] | Woskie S.R., Sparer J., Gore R.J., Stowe M., Bello D., Liu Y., Youngs F., Redlich C., Eisen E., Cullen M. Determinants of isocyanate exposures in auto body repair and refinishing shops. Ann. Occup. Hyg. 2004, 48, pp. 393 - 403 |
| Tucker S. Investigation of reagent distributions on glass fiber membrane filters used in air sampling. J. Env. Mon. 9, pp. 1122 - 1130 |
| International Air Transport Association. Dangerous goods regulations. IATA,  , QC, updated annually |
| Calvert J.G. For the IUPAC Applied Chemistry Division. Glossary of atmospheric chemistry terms. Pure Appl. Chem. 1990, 62, pp. 2167 - 2219. Available (2018-04-13) at: https://www.iupac.org/publications/pac/1990/pdf/6211x2167.pdf |
УДК 504.3:006.354 | |
Ключевые слова: воздух, рабочая зона, взвешенные частицы, органические изоцианаты, изоцианатные группы, отбор проб, анализ, жидкостная хроматография |