Главная // Актуальные документы // ГОСТ Р (Государственный стандарт)СПРАВКА
Источник публикации
М.: ИПК Издательство стандартов, 2002
Примечание к документу
С 01.07.2003 до вступления в силу технических регламентов акты федеральных органов исполнительной власти в сфере технического регулирования носят рекомендательный характер и подлежат обязательному исполнению только в части, соответствующей целям, указанным в
п. 1 ст. 46 Федерального закона от 27.12.2002 N 184-ФЗ.
Документ
введен в действие с 01.01.2003.
Название документа
"ГОСТ Р МЭК 60731-2001. Государственный стандарт Российской Федерации. Изделия медицинские электрические. Дозиметры с ионизационными камерами для лучевой терапии"
(принят и введен в действие Постановлением Госстандарта России от 01.11.2001 N 449-ст)
"ГОСТ Р МЭК 60731-2001. Государственный стандарт Российской Федерации. Изделия медицинские электрические. Дозиметры с ионизационными камерами для лучевой терапии"
(принят и введен в действие Постановлением Госстандарта России от 01.11.2001 N 449-ст)
Принят и введен в действие
от 1 ноября 2001 г. N 449-ст
ГОСУДАРСТВЕННЫЙ СТАНДАРТ РОССИЙСКОЙ ФЕДЕРАЦИИ
ИЗДЕЛИЯ МЕДИЦИНСКИЕ ЭЛЕКТРИЧЕСКИЕ
ДОЗИМЕТРЫ С ИОНИЗАЦИОННЫМИ КАМЕРАМИ ДЛЯ ЛУЧЕВОЙ ТЕРАПИИ
Medical electrical equipment. Dosimeters with ionization
chambers in radiotherapy
ГОСТ Р МЭК 60731-2001
Дата введения
1 января 2003 года
1 РАЗРАБОТАН Всероссийским научно-исследовательским и испытательным институтом медицинской техники (ВНИИИМТ)
ВНЕСЕН Техническим комитетом по стандартизации ТК 411 "Аппараты и оборудование для лучевой диагностики, терапии и дозиметрии"
2 ПРИНЯТ И ВВЕДЕН В ДЕЙСТВИЕ
Постановлением Госстандарта России от 1 ноября 2001 г. N 449-ст
3 Настоящий стандарт представляет собой аутентичный текст международного стандарта МЭК 60731-97 "Изделия медицинские электрические. Дозиметры с ионизационными камерами для лучевой терапии"
4 ВВЕДЕН ВПЕРВЫЕ
Настоящий стандарт является прямым применением международного стандарта МЭК 60731-97 "Изделия медицинские электрические. Дозиметры с ионизационными камерами для лучевой терапии", подготовленного Подкомитетом 62C "Аппараты для лучевой терапии, дозиметрии и ядерной медицины" Технического комитета МЭК 62 "Изделия медицинские электрические".
В тексте настоящего стандарта используемые термины выделены прописными буквами, а методы испытаний - курсивом.
1.1 Область распространения
1.1.1 Настоящий стандарт устанавливает требования к ДОЗИМЕТРАМ ДЛЯ ЛУЧЕВОЙ ТЕРАПИИ
(3.1), предназначенным для измерения ПОГЛОЩЕННОЙ ДОЗЫ В ВОДЕ или ВОЗДУШНОЙ КЕРМЫ (или соответственно МОЩНОСТЕЙ ДОЗ) в полях фотонного или электронного излучения, используемых в лучевой терапии.
Требования настоящего стандарта являются обязательными.
Примечание - В целом по стандарту:
- если не определен материал, термин "АБСОЛЮТНАЯ ДОЗА" или "ДОЗА" означает "ПОГЛОЩЕННАЯ ДОЗА В ВОДЕ", а термин "КЕРМА" означает "ВОЗДУШНАЯ КЕРМА";
- если значение ВОЗДУШНОЙ КЕРМЫ измеряют в греях, то значение ЭКСПОЗИЦИИ - в кулонах на килограмм.
1.1.2 Системы мониторинга дозы, используемые в аппаратах для лучевой терапии, не рассматриваются в настоящем стандарте, так же как и входные ионизационные камеры, используемые для калибровки источника в брахитерапии.
1.1.3 Настоящий стандарт распространяется на:
a) ДОЗИМЕТРЫ ПЕРВОГО КЛАССА, обычно используемые для измерения:
1) КЕРМЫ или ДОЗЫ в пучке излучения в воздухе или в фантоме,
2) ДОЗЫ на ПАЦИЕНТОВ in vivo на поверхности кожи или внутриполостные;
b) ДОЗИМЕТРЫ ЭТАЛОННЫЕ, обычно используемые для калибровки ДОЗИМЕТРОВ ПЕРВОГО КЛАССА.
Примечание - ЭТАЛОННЫЕ ДОЗИМЕТРЫ можно использовать как ДОЗИМЕТРЫ ПЕРВОГО КЛАССА.
1.2.1 Целью настоящего стандарта является:
a) формулирование требований для необходимого уровня исполнения ДОЗИМЕТРОВ ДЛЯ ЛУЧЕВОЙ ТЕРАПИИ;
b) стандартизация методов определения соответствия этому уровню исполнения.
1.2.2 Настоящий стандарт устанавливает два уровня исполнения ДОЗИМЕТРОВ:
- нижний уровень исполнения, применимый к ДОЗИМЕТРАМ ПЕРВОГО КЛАССА;
- более высокий уровень исполнения, применимый к ДОЗИМЕТРАМ ЭТАЛОННОГО КЛАССА.
В настоящем стандарте использованы ссылки на следующие стандарты:
ГОСТ 28312-89 (МЭК 417-73) Аппаратура радиоэлектронная профессиональная. Условные графические обозначения
ГОСТ 30324.0-95 (МЭК 601-1-88)/ГОСТ Р 50267.0-92 (МЭК 601-1-88) Изделия медицинские электрические. Часть 1. Общие требования безопасности
ГОСТ Р 50267.9-99 (МЭК 60601-2-9-87) Изделия медицинские электрические. Часть 2. Частные требования безопасности к дозиметрам для лучевой терапии, электрически соединенным с детекторами излучения, находящимися в контакте с пациентом.
ГОСТ Р 51317.4.3-99 (МЭК 61000-4-3-95) Совместимость технических средств электромагнитная. Устойчивость к радиочастотному электромагнитному полю. Требования и методы испытаний
ГОСТ Р 51317.4.5-99 (МЭК 61000-4-5-95) Совместимость технических средств электромагнитная. Устойчивость к микросекундным импульсным помехам большой энергии. Требования и методы испытаний
ГОСТ Р 51350-99 (МЭК 61010-1-90) Безопасность электрических контрольно-измерительных приборов и лабораторного оборудования. Часть 1. Общие требования
МЭК 60051
<1> (серия) Приборы аналоговые электроизмерительные показывающие постоянного тока и вспомогательные части к ним
МЭК 60788-84
<1> Медицинская радиационная техника. Термины и определения
МЭК 61000-4-1-92
<1> Электромагнитная совместимость (ЭМС). Часть 4. Методы испытаний и измерений. Раздел 1. Обзор методов испытаний на помехоустойчивость
МЭК 61000-4-2-95
<1> Электромагнитная совместимость (ЭМС). Часть 4. Методы испытаний и измерений. Раздел 2. Требования по электростатическим разрядам
МЭК 61000-4-4-95
<1> Электромагнитная совместимость (ЭМС). Часть 4. Методы испытаний и измерений. Раздел 4. Требования к кратковременным электрическим помехам
МЭК 61000-4-6-96
<1> Электромагнитная совместимость (ЭМС). Часть 4. Методы испытаний и измерений. Раздел 6. Кондуктивные помехи, наведенные радиочастотными полями в полосе свыше 9 кГц
МЭК 61000-4-11-94
<1> Электромагнитная совместимость (ЭМС). Часть 4. Методы испытаний и измерений. Раздел 11. Провалы, прерывания и изменения напряжения в питающей сети
МЭК 61187-93
<1> Электрические и электронные измерительные приборы. Документация
ИСО, 1993 Международный словарь основных и общих терминов в метрологии
<1>
ИСО 3534-1-93
<1> Статистика. Словарь и символы. Часть 1. Вероятность и общие статистические термины
--------------------------------
<1> Международные стандарты - во ВНИИКИ Госстандарта России.
В настоящем стандарте применяют следующие вспомогательные термины:
должен: Соответствие требованиям обязательно для соответствия настоящему стандарту.
рекомендуется: Соответствие требованиям рекомендовано, но необязательно для соответствия настоящему стандарту.
может: Используют для описания допустимых путей достижения соответствия настоящим требованиям.
Термины, установленные в
3.1 -
3.31 настоящего стандарта и напечатанные прописным шрифтом
(приложение C), применяют в соответствии с их определениями в
ГОСТ 30324.0/ГОСТ Р 50267.0, МЭК 60788 и в международном словаре основных и общих терминов в метрологии, кроме некоторых терминов, имеющих ограниченное применение. Эти специальные термины применяют только в настоящем стандарте. Термины, не определяемые в настоящем разделе, определяют в вышеупомянутых документах или они имеют широкое научное применение.
3.1
ДОЗИМЕТР ДЛЯ ЛУЧЕВОЙ ТЕРАПИИ (ДОЗИМЕТР): Прибор, использующий ИОНИЗАЦИОННЫЕ КАМЕРЫ для измерения ВОЗДУШНОЙ КЕРМЫ, ПОГЛОЩЕННОЙ ДОЗЫ или соответствующей мощности дозы в потоке фотонов и электронов, используемых в лучевой терапии.
ДОЗИМЕТР ДЛЯ ЛУЧЕВОЙ ТЕРАПИИ состоит из следующих компонентов:
- одного или более БЛОКОВ КАМЕР;
- ИЗМЕРИТЕЛЬНОГО КОМПЛЕКСА (включая отдельный дисплей);
- одного или более ПРИБОРОВ КОНТРОЛЯ СТАБИЛЬНОСТИ (по выбору);
- одного или более ФАНТОМОВ или колпачков "накопления" (по выбору).
3.1.1
БЛОК КАМЕРЫ: ИОНИЗАЦИОННАЯ КАМЕРА и все другие части, к которым КАМЕРА постоянно присоединена, кроме ИЗМЕРИТЕЛЬНОГО КОМПЛЕКСА. Он включает в себя электрическое соединение и любой постоянно присоединенный кабель.
3.1.1.1
ИОНИЗАЦИОННАЯ КАМЕРА (КАМЕРА): Детектор ИОНИЗАЦИОННОГО ИЗЛУЧЕНИЯ, состоящий из КАМЕРЫ, наполненной воздухом, в котором электрическое поле, недостаточное для возбуждения газового разряда, обеспечивает сбор на электродах зарядов, образуемых ионами и электронами, образованными в чувствительном объеме детектора ИОНИЗАЦИОННОГО ИЗЛУЧЕНИЯ.
Примечание - Для настоящего стандарта ИОНИЗАЦИОННАЯ КАМЕРА состоит из измерительного объема, собирающего электрода, охранного электрода (если необходимо), внешнего электрода (состоящего из стенки камеры и проводящего покрытия), частей изолятора, окружающих измерительный объем, колпачка "накопления".
Существует несколько типов ИОНИЗАЦИОННЫХ КАМЕР:
a)
КОРПУСНАЯ КАМЕРА: ИОНИЗАЦИОННАЯ КАМЕРА измерительным объемом от 0,1 до 1,0 см
3, окруженная жестким внешним электродом, установленным на опорном держателе. Измерительный объем обычно симметричен оси держателя и ось симметрии используемой камеры перпендикулярна к оси пучка излучения. Имеются два типа КОРПУСНЫХ КАМЕР:
1)
НАПЕРСТКОВАЯ КАМЕРА: КАМЕРА, в которой внешний электрод имеет форму жесткой цилиндрической стенки, закрытой на одном конце и установленной на другом конце на опорный держатель,
2)
СФЕРИЧЕСКАЯ КАМЕРА: КАМЕРА, в которой внешний электрод имеет форму жесткой цилиндрической стенки, установленной на опорный держатель;
b)
ПЛОСКОПАРАЛЛЕЛЬНАЯ КАМЕРА: ИОНИЗАЦИОННАЯ КАМЕРА измерительным объемом от 0,01 до 0,5 см
3, окруженная параллельными электродами. Камера предназначена для использования с электродами, перпендикулярными к оси пучка излучения;
c)
НЕГЕРМЕТИЧНАЯ КАМЕРА: ИОНИЗАЦИОННАЯ КАМЕРА, конструкция которой обеспечивает свободное сообщение воздуха внутри измерительного объема с атмосферным воздухом таким образом, чтобы можно было корректировать при необходимости ЧУВСТВИТЕЛЬНОСТЬ в зависимости от плотности воздуха;
d)
ГЕРМЕТИЧНАЯ КАМЕРА: ИОНИЗАЦИОННАЯ КАМЕРА, конструкция которой ограничивает расстояние между измерительным объемом и атмосферой до такой степени, чтобы гарантировать, что ЧУВСТВИТЕЛЬНОСТЬ КАМЕРЫ не зависит от изменений окружающих условий в течение времени, установленного ПРОИЗВОДИТЕЛЕМ;
e)
ИОНИЗАЦИОННАЯ КАМЕРА БЕЗ ОХРАННОГО ЭЛЕКТРОДА: ИОНИЗАЦИОННАЯ КАМЕРА, в которой охранный проводник, находящийся внутри кабеля, окружающего центральный (сигнальный) проводник, оканчивается в кабеле и не прикрепляется к держателю или корпусу комплекта;
f)
ИОНИЗАЦИОННАЯ КАМЕРА С ЧАСТИЧНО ОХРАННЫМ ЭЛЕКТРОДОМ: ИОНИЗАЦИОННАЯ КАМЕРА, в которой охранный проводник находится в кабеле, окружающем центральный (сигнальный) проводник, доходит до держателя или БЛОКА КАМЕРЫ, но не контактирует с воздухом КАМЕРЫ;
g)
ИОНИЗАЦИОННАЯ КАМЕРА С ОХРАННЫМ ЭЛЕКТРОДОМ: ИОНИЗАЦИОННАЯ КАМЕРА, в которой охранный проводник в держателе или корпусе БЛОКА КАМЕРЫ является продолжением охранного электрода, который контактирует с воздухом внутри КАМЕРЫ.
3.1.2
ИЗМЕРИТЕЛЬНЫЙ КОМПЛЕКС: Прибор для измерения заряда (или тока) от ИОНИЗАЦИОННОЙ КАМЕРЫ и преобразования его в форму, удобную для представления на дисплее значений ДОЗЫ или КЕРМЫ (или соответствующих им значений МОЩНОСТЕЙ ДОЗ или КЕРМЫ).
3.1.3
ПРИБОР КОНТРОЛЯ СТАБИЛЬНОСТИ: Прибор, для контроля стабильности ЧУВСТВИТЕЛЬНОСТИ ИЗМЕРИТЕЛЬНОГО КОМПЛЕКСА и/или БЛОКА КАМЕРЫ.
Примечание - ПРИБОР КОНТРОЛЯ СТАБИЛЬНОСТИ может быть чисто электрическим прибором или может иметь источник излучения.
3.2
ИНДИЦИРУЕМОЕ ЗНАЧЕНИЕ: Значение в количественном выражении, считываемое со шкалы прибора вместе с масштабным коэффициентом, индицируемым на контрольной панели прибора.
Примечание - ИНДИЦИРУЕМОЕ ЗНАЧЕНИЕ эквивалентно "некорректированным наблюдениям"
(рисунок 1).
3.3
ИСТИННОЕ ЗНАЧЕНИЕ: Значение физической величины, измеряемое прибором.
Примечание - ИСТИННОЕ ЗНАЧЕНИЕ эквивалентно "значениям измеряемых величин"
(рисунок 1).
3.4
УСЛОВНОЕ ИСТИННОЕ ЗНАЧЕНИЕ: Значение, используемое вместо ИСТИННОГО ЗНАЧЕНИЯ при калибровке или определении качества изготовления прибора, т.к. на практике ИСТИННОЕ ЗНАЧЕНИЕ неизвестно.
Примечания
1 За УСЛОВНОЕ ИСТИННОЕ ЗНАЧЕНИЕ принимают значение, определяемое с помощью РАБОЧЕГО ЭТАЛОНА, с которым при испытании сравнивают прибор.
2 Допустимые границы, в пределах которых должно находиться УСЛОВНОЕ ИСТИННОЕ ЗНАЧЕНИЕ, эквивалентны "значениям измеряемых величин из-за неполных определений"
(рисунок 1).
3.4.1
ЭТАЛОН: Измерительный прибор, предназначенный для определения, создания физического представления, сохранения или воспроизведения единицы измерения величины (или кратных значений этой величины) с целью передачи ее другим измерительным приборам для сравнения.
3.4.1.1
ГОСУДАРСТВЕННЫЙ ЭТАЛОН: ЭТАЛОН, принятый официальным государственным органом как базовое фиксированное значение в стране для всех других ЭТАЛОНОВ данной величины.
3.4.1.2
РАБОЧИЙ ЭТАЛОН: ЭТАЛОН, который сравнивают с ГОСУДАРСТВЕННЫМ ЭТАЛОНОМ.
3.5
ИЗМЕРЕННАЯ ВЕЛИЧИНА: Наилучшая оценка ИСТИННОГО ЗНАЧЕНИЯ величины, получаемого из ИНДИЦИРОВАННОГО ЗНАЧЕНИЯ прибора с применением всех соответствующих КОРРЕКТИРУЮЩИХ и КАЛИБРОВОЧНЫХ КОЭФФИЦИЕНТОВ.
Примечание - ИЗМЕРЕННАЯ ВЕЛИЧИНА - это "окончательный результат измерений"
(рисунок 1).
3.5.1
ПОГРЕШНОСТЬ ИЗМЕРЕНИЯ: Разница между ИЗМЕРЕННОЙ ВЕЛИЧИНОЙ и ее ИСТИННЫМ ЗНАЧЕНИЕМ.
3.5.2
ОБЩАЯ НЕОПРЕДЕЛЕННОСТЬ: Неопределенность, ассоциированная с ИЗМЕРЕННОЙ ВЕЛИЧИНОЙ, т.е. пределы ПОГРЕШНОСТИ ИЗМЕРЕНИЯ.
Примечание - Для настоящего стандарта ОБЩАЯ НЕОПРЕДЕЛЕННОСТЬ может рассматриваться как РАСШИРЕННАЯ НЕОПРЕДЕЛЕННОСТЬ, соответствующая доверительной вероятности 95%
(приложение A).
3.5.3
РАСШИРЕННАЯ НЕОПРЕДЕЛЕННОСТЬ: Определение - см.
A.2.1.
3.6
КОРРЕКТИРУЮЩИЙ КОЭФФИЦИЕНТ: Безразмерный коэффициент, который служит для преобразования показания прибора из функционального значения в частных условиях в функциональное значение в установленных ЭТАЛОННЫХ УСЛОВИЯХ.
3.7
ВЛИЯЮЩАЯ ВЕЛИЧИНА: Любая величина, обычно внешнего происхождения, которая может влиять на характеристику прибора (
таблица 3 - примеры ВЛИЯЮЩИХ ВЕЛИЧИН).
3.8
ПРИБОРНЫЙ ПАРАМЕТР: Любое внутреннее свойство прибора, которое может повлиять на его эксплуатационные характеристики (
таблица 3 - примеры ПРИБОРНЫХ ПАРАМЕТРОВ).
3.9
ЭТАЛОННОЕ ЗНАЧЕНИЕ: Частное значение ВЛИЯЮЩЕЙ ВЕЛИЧИНЫ (или ПРИБОРНОГО ПАРАМЕТРА), выбранное в целях контроля, то есть значение ВЛИЯЮЩЕЙ ВЕЛИЧИНЫ (или ПРИБОРНОГО ПАРАМЕТРА), при котором КОРРЕКТИРУЮЩИЙ КОЭФФИЦИЕНТ в зависимости от ВЛИЯЮЩЕЙ ВЕЛИЧИНЫ (или ПРИБОРНОГО ПАРАМЕТРА) равен единице.
3.9.1
ЭТАЛОННЫЕ УСЛОВИЯ: Условия, при которых все ВЛИЯЮЩИЕ ВЕЛИЧИНЫ и ПРИБОРНЫЕ ПАРАМЕТРЫ имеют ЭТАЛОННЫЕ ЗНАЧЕНИЯ.
3.10
СТАНДАРТНЫЕ ИСПЫТАТЕЛЬНЫЕ ЗНАЧЕНИЯ: Одно или несколько значений ВЛИЯЮЩЕЙ ВЕЛИЧИНЫ или ПРИБОРНОГО ПАРАМЕТРА, которые разрешены при выполнении калибровок или испытаний на воздействие других ВЛИЯЮЩИХ ВЕЛИЧИН или ПРИБОРНЫХ ПАРАМЕТРОВ.
3.10.1
СТАНДАРТНЫЕ УСЛОВИЯ ИСПЫТАНИЙ: Условия, при которых все ВЛИЯЮЩИЕ ВЕЛИЧИНЫ и ПРИБОРНЫЕ ПАРАМЕТРЫ имеют СТАНДАРТНЫЕ ИСПЫТАТЕЛЬНЫЕ ЗНАЧЕНИЯ.
3.11
СОБСТВЕННАЯ ПОГРЕШНОСТЬ: Разница между ИЗМЕРЕННЫМ ЗНАЧЕНИЕМ (ИНДИЦИРОВАННЫМ ЗНАЧЕНИЕМ, скорректированным на ЭТАЛОННЫЕ УСЛОВИЯ) и УСЛОВНЫМ ИСТИННЫМ ЗНАЧЕНИЕМ при СТАНДАРТНЫХ УСЛОВИЯХ ИСПЫТАНИЙ.
3.11.1
ОТНОСИТЕЛЬНАЯ СОБСТВЕННАЯ ПОГРЕШНОСТЬ: Отношение СОБСТВЕННОЙ ПОГРЕШНОСТИ к УСЛОВНОМУ ИСТИННОМУ ЗНАЧЕНИЮ.
3.12
ЭКСПЛУАТАЦИОННАЯ ХАРАКТЕРИСТИКА: Величина, используемая для определения характеристики прибора (например ЧУВСТВИТЕЛЬНОСТЬ, ТОК УТЕЧКИ).
3.12.1
ЧУВСТВИТЕЛЬНОСТЬ: Для БЛОКА КАМЕРЫ с присоединенным ИЗМЕРИТЕЛЬНЫМ КОМПЛЕКСОМ - это частное от деления ИНДИЦИРУЕМОГО ЗНАЧЕНИЯ на УСЛОВНОЕ ИСТИННОЕ ЗНАЧЕНИЕ в опорной точке ИОНИЗАЦИОННОЙ КАМЕРЫ. Для ИЗМЕРИТЕЛЬНОГО КОМПЛЕКСА - это частное от деления ИНДИЦИРУЕМОГО ЗНАЧЕНИЯ на входной ток или заряд. Для ИОНИЗАЦИОННОЙ КАМЕРЫ - это частное от деления входного заряда или тока на УСЛОВНОЕ ИСТИННОЕ ЗНАЧЕНИЕ.
3.12.1.1
УСТАНОВЛЕННАЯ ЭНЕРГЕТИЧЕСКАЯ ЧУВСТВИТЕЛЬНОСТЬ: ЧУВСТВИТЕЛЬНОСТЬ ИОНИЗАЦИОННОЙ КАМЕРЫ, рассчитанная или измеренная для всех типов ИОНИЗАЦИОННЫХ КАМЕР в зависимости от качества излучения.
3.12.2
РАЗРЕШЕНИЕ (дисплея): Наименьшее изменение показания шкалы, числовое значение которого может быть определено без последующей интерполяции:
- для аналогового дисплея РАЗРЕШЕНИЕ - это наименьшая часть деления шкалы, которая может быть обнаружена при определенных условиях;
- для цифрового дисплея РАЗРЕШЕНИЕ - это наименьшее значимое приращение показания.
3.12.3
ВРЕМЯ УСТАНОВЛЕНИЯ РАВНОВЕСИЯ: Время, необходимое для того, чтобы показание шкалы достигло конечного установившегося значения и осталось в пределах нормированного отклонения от своего установившегося значения после внезапного изменения ВЛИЯЮЩЕЙ ВЕЛИЧИНЫ, воздействующей на прибор.
3.12.4
ВРЕМЯ ЧУВСТВИТЕЛЬНОСТИ: Время, необходимое для того, чтобы показание шкалы достигло конечного установившегося значения и осталось в пределах нормированного отклонения после внезапного изменения ИЗМЕРЯЕМОЙ ВЕЛИЧИНЫ.
3.12.5
ВРЕМЯ СТАБИЛИЗАЦИИ: Время, необходимое для достижения установленной ЭКСПЛУАТАЦИОННОЙ ХАРАКТЕРИСТИКИ своего конечного установившегося значения и сохранения ее в пределах нормированного отклонения, после того как прибор включен (или после приложения напряжения поляризации к ИОНИЗАЦИОННОЙ КАМЕРЕ).
3.12.6
ТОК УТЕЧКИ (БЛОКА КАМЕРЫ): Любой ток, возникающий в БЛОКЕ КАМЕРЫ, который не генерируется ионизацией в чувствительном объеме.
Примечание - Следует отличать его от ДРЕЙФА НУЛЯ или СМЕЩЕНИЯ НУЛЯ, возникающих в ИЗМЕРИТЕЛЬНОМ КОМПЛЕКСЕ.
3.12.7
ДРЕЙФ НУЛЯ (ИЗМЕРИТЕЛЬНОГО КОМПЛЕКСА): Постоянное изменение показания шкалы ИЗМЕРИТЕЛЬНОГО КОМПЛЕКСА вблизи нуля при отсутствии сигнала.
3.12.8
СМЕЩЕНИЕ НУЛЯ (ИЗМЕРИТЕЛЬНОГО КОМПЛЕКСА): Внезапное изменение в показании шкалы ИЗМЕРИТЕЛЬНОГО КОМПЛЕКСА, когда установленное положение изменяется из состояния "нуль" в состояние "измерение" при отсутствии сигнала.
3.12.9
НЕЛИНЕЙНОСТЬ: Отклонение от линейности, рассчитываемое следующим образом: на каждом диапазоне на половине полной шкалы берут значение
M как справочное; измеряют входной сигнал
Q, вызывающий это показание. Для любой другой шкалы считываемое значение -
m, создаваемое входным сигналом
q. Отклонение от линейности, %, определяют по формуле
100[(mQ/Mq) - 1].
Примечания
1 Для ИЗМЕРИТЕЛЬНОГО КОМПЛЕКСА, установленного в положение "ДОЗА", входной сигнал является электрическим зарядом.
2 Для ИЗМЕРИТЕЛЬНОГО КОМПЛЕКСА, установленного в положение "МОЩНОСТЬ ДОЗЫ", входной сигнал является электрическим током.
3.13
ИЗМЕНЕНИЯ: Относительная разность

между значениями ЭКСПЛУАТАЦИОННОЙ ХАРАКТЕРИСТИКИ, когда одна ВЛИЯЮЩАЯ ВЕЛИЧИНА (или ПРИБОРНЫЙ ПАРАМЕТР) принимает последовательно два определенных значения, другие ВЛИЯЮЩИЕ ВЕЛИЧИНЫ (и ПРИБОРНЫЕ ПАРАМЕТРЫ) остаются постоянными при СТАНДАРТНЫХ УСЛОВИЯХ ИСПЫТАНИЙ (если другие значения не указаны).
3.14
ПРЕДЕЛЫ ИЗМЕНЕНИЙ: Максимальное ИЗМЕНЕНИЕ ЭКСПЛУАТАЦИОННОЙ ХАРАКТЕРИСТИКИ, допускаемое настоящим стандартом. Если ПРЕДЕЛЫ ИЗМЕНЕНИЙ установлены как +/-
L%, изменение

, выражаемое в процентах, останется в диапазоне от минус
L% до плюс
L%.
3.15
ЭФФЕКТИВНЫЙ ДИАПАЗОН (ИНДИЦИРУЕМЫХ ЗНАЧЕНИЙ): Диапазон ИНДИЦИРУЕМЫХ ЗНАЧЕНИЙ, для которых прибор соответствует установленным характеристикам; максимум (минимум) ЭФФЕКТИВНОГО ИНДИЦИРУЕМОГО ЗНАЧЕНИЯ является наибольшим (наименьшим) в этом диапазоне.
Понятие ЭФФЕКТИВНЫЙ ДИАПАЗОН можно, например, также применять к параметрам, считываемым со шкалы прибора, и к параметрам, определяемым косвенно прибором, например входной ток.
3.16
НОМИНАЛЬНЫЙ (ЭКСПЛУАТАЦИОННЫЙ) ДИАПАЗОН: Диапазон значений ВЛИЯЮЩЕЙ ВЕЛИЧИНЫ или ПРИБОРНОГО ПАРАМЕТРА, в пределах которого прибор работает в ПРЕДЕЛАХ ИЗМЕНЕНИЙ.
Эти пределы представляют собой максимальные и минимальные НОМИНАЛЬНЫЕ значения.
3.16.1
МИНИМАЛЬНЫЙ НОМИНАЛЬНЫЙ ДИАПАЗОН: Это наименьший диапазон ВЛИЯЮЩЕЙ ВЕЛИЧИНЫ или ПРИБОРНОГО ПАРАМЕТРА, при котором прибор работает в определенных ПРЕДЕЛАХ ИЗМЕНЕНИЙ в соответствии с настоящим стандартом.
3.17
ОПОРНАЯ ТОЧКА КАМЕРЫ: Точка ИОНИЗАЦИОННОЙ КАМЕРЫ, которую во время калибровки КАМЕРЫ приводят в соответствие с точкой, в которой определяют УСЛОВНОЕ ИСТИННОЕ ЗНАЧЕНИЕ.
3.18
ИЗДЕЛИЕ МЕДИЦИНСКОЕ ЭЛЕКТРИЧЕСКОЕ: Медицинское электрическое изделие, обеспечивающее не более чем одно соединение с электрической сетью питания и предназначенное для диагностики, лечения или наблюдения за ПАЦИЕНТОМ при медицинских процедурах, имеющее физический или электрический контакт с ПАЦИЕНТОМ и/или передающее энергию к ПАЦИЕНТУ или от него, и/или обнаруживающее передачу энергии к ПАЦИЕНТУ или от него (
2.2.15 ГОСТ 30324.0/ГОСТ Р 50267.0).
3.18.1
ПИТАЮЩАЯ СЕТЬ: Постоянно установленный источник энергии, который может быть также использован для питания электрических изделий, на которые не распространяется настоящий стандарт (
2.12.10 ГОСТ 30324.0/ГОСТ Р 50267.0).
3.18.2
ПАЦИЕНТ: Человек (ИЛИ ЖИВОТНОЕ), подвергаемый медицинскому обследованию или лечению (
2.12.4 ГОСТ 30324.0/ГОСТ Р 50267.0).
3.18.3
ДОСТУПНАЯ МЕТАЛЛИЧЕСКАЯ ЧАСТЬ: Металлическая часть МЕДИЦИНСКОГО ЭЛЕКТРИЧЕСКОГО ИЗДЕЛИЯ, которой можно коснуться без применения ИНСТРУМЕНТА (
2.1.2. ГОСТ 30324.0/ГОСТ Р 50267.0).
3.18.4
ИНСТРУМЕНТ: Предмет, который может быть использован для закрепления или ослабления крепящих устройств или для регулирования (
2.12.12 ГОСТ 30324.0/ГОСТ Р 50267.0).
3.19
КАЛИБРОВОЧНЫЙ КОЭФФИЦИЕНТ: Для БЛОКА КАМЕРЫ, соединенного с ИЗМЕРИТЕЛЬНЫМ КОМПЛЕКСОМ, это коэффициент, преобразующий показание прибора, скорректированное на установленные ЭТАЛОННЫЕ УСЛОВИЯ, в УСЛОВНОЕ ИСТИННОЕ ЗНАЧЕНИЕ в ОПОРНОЙ ТОЧКЕ ИОНИЗАЦИОННОЙ КАМЕРЫ.
Для ИОНИЗАЦИОННОЙ КАМЕРЫ, калиброванной индивидуально без установленного ИЗМЕРИТЕЛЬНОГО КОМПЛЕКСА, КАЛИБРОВОЧНЫЙ КОЭФФИЦИЕНТ преобразует ионизационный заряд или ток, скорректированный на ЭТАЛОННЫЕ УСЛОВИЯ, в УСЛОВНОЕ ИСТИННОЕ ЗНАЧЕНИЕ в ОПОРНОЙ ТОЧКЕ КАМЕРЫ (это - величина, обратная ЧУВСТВИТЕЛЬНОСТИ в ЭТАЛОННЫХ УСЛОВИЯХ).
3.20
ЭТАЛОННОЕ ИНДИЦИРОВАННОЕ ЗНАЧЕНИЕ: ИНДИЦИРОВАННОЕ ЗНАЧЕНИЕ, при котором определяют КАЛИБРОВОЧНЫЙ КОЭФФИЦИЕНТ.
3.21
ЭТАЛОННОЕ ПОКАЗАНИЕ ШКАЛЫ: Показание прибора, соответствующее ЭТАЛОННОМУ ИНДИЦИРОВАННОМУ ЗНАЧЕНИЮ.
3.22
ДОЗИМЕТР ПЕРВОГО КЛАССА: ДОЗИМЕТР, исполнение которого и стабильность удовлетворяют условиям, предъявляемым к проведению обычных рутинных измерений.
3.23
ДОЗИМЕТР ЭТАЛОННОГО КЛАССА: ДОЗИМЕТР, исполнение которого и стабильность достаточны для проведения калибровки других ДОЗИМЕТРОВ.
3.24
ТИПОВОЕ ИСПЫТАНИЕ: Испытание, выполняемое на одном образце каждой конструкции.
Примечание - Цель ТИПОВЫХ ИСПЫТАНИЙ - удостовериться в том, что конструкция прибора удовлетворяет требованиям спецификации.
3.25
РУТИННЫЕ ИСПЫТАНИЯ: Испытания, проводимые на всех приборах промышленного производства.
3.26
ПОГЛОЩЕННАЯ ДОЗА В ВОДЕ D: В соответствии с определением в [
1, С. 4] ПОГЛОЩЕННУЮ ДОЗУ В ВОДЕ обозначают

, где

- это значение энергии, переданное ИОНИЗИРУЮЩИМ ИЗЛУЧЕНИЕМ элементарному объему воды массой
dm. Единицей измерения ПОГЛОЩЕННОЙ ДОЗЫ В ВОДЕ является грей (1 Гр = 1 Дж/кг).
3.26.1
МОЩНОСТЬ ПОГЛОЩЕННОЙ ДОЗЫ В ВОДЕ D: В соответствии с определением в [
1, С. 5] МОЩНОСТЬ ПОГЛОЩЕННОЙ ДОЗЫ В ВОДЕ обозначают как
dD/
dt, где
dD - приращение ПОГЛОЩЕННОЙ ДОЗЫ В ВОДЕ за интервал времени
dt. Единицей измерения МОЩНОСТИ ПОГЛОЩЕННОЙ ДОЗЫ В ВОДЕ является грей в секунду (Гр/мин; Гр/ч).
3.27
ВОЗДУШНАЯ КЕРМА K: В соответствии с определением в [
1, С. 6] ВОЗДУШНУЮ КЕРМУ обозначают
dEtr/
dm, где
dEtr - сумма кинетических энергий всех заряженных ионизирующих частиц, образовавшихся под действием косвенно ионизирующего излучения в элементарном объеме воздуха массой
dm. Единицей измерения ВОЗДУШНОЙ КЕРМЫ является грей (1 Гр = 1 Дж/кг).
3.27.1
МОЩНОСТЬ КЕРМЫ K: В соответствии с определением в [
1, С. 7] МОЩНОСТЬ КЕРМЫ обозначают
dK/
dt, где
dK - приращение ВОЗДУШНОЙ КЕРМЫ за интервал времени
dt. Единицей измерения МОЩНОСТИ КЕРМЫ является грей в секунду (Гр/мин; Гр/ч).
3.28
ЭКСПОЗИЦИЯ X: В соответствии с определением в [
1, С. 8] ЭКСПОЗИЦИЮ обозначают
dQ/
dm, где
dQ - абсолютное значение общего заряда ионов одного знака, создаваемого в воздухе, когда все электроны (отрицательные и позитроны), создаваемые в элементарном объеме воздуха массой
dm фотонами, полностью тормозятся. Единицей измерения ЭКСПОЗИЦИИ является кулон на килограмм.
3.28.1
МОЩНОСТЬ ЭКСПОЗИЦИИ X: В соответствии с определением в [
1, С. 9] МОЩНОСТЬ ЭКСПОЗИЦИИ обозначают
dX/
dt, где
dX - приращение ЭКСПОЗИЦИИ за интервал времени
dt. Единицей измерения МОЩНОСТИ ЭКСПОЗИЦИИ является кулон на килограмм в секунду (Кл/кг·мин; Кл/кг·ч).
3.29
СОПРОВОДИТЕЛЬНЫЕ (ЭКСПЛУАТАЦИОННЫЕ) ДОКУМЕНТЫ: Документы, необходимые при установке, монтаже, сборке оборудования и содержащие важную информацию для монтажника, сборщика и ПОЛЬЗОВАТЕЛЯ, а также некоторые сведения о безопасности (МЭК 60788, МР-82-01).
3.29.1
ИНСТРУКЦИИ ПО ЭКСПЛУАТАЦИИ: ЧАСТЬ СОПРОВОДИТЕЛЬНЫХ (далее - ЭКСПЛУАТАЦИОННЫХ) ДОКУМЕНТОВ, дающая необходимую информацию для безопасного и правильного использования и работы оборудования (МЭК 60788, МР-82-02)
3.29.2
ПОЛЬЗОВАТЕЛЬ: Организация или самостоятельное лицо, ответственное за использование и техническое обслуживание оборудования (МЭК 60788, МР-85-01).
3.30
ОПЕРАТОР: Человек, работающий с оборудованием самостоятельно или с помощником, который в его присутствии управляет некоторыми или всеми функциями оборудования (МЭК 60788, МР-85-02).
3.31
ИЗГОТОВИТЕЛЬ: По МЭК 60788, МР-85-03.
4.1 Требования к исполнению
ДОЗИМЕТР полностью соответствует настоящему стандарту в том случае, если каждый из его компонентов соответствует отдельным требованиям соответствующего раздела или пункта в дополнение к общим требованиям. ИЗГОТОВИТЕЛЬ имеет право решать, какие испытания - ТИПОВЫЕ или РУТИННЫЕ ИСПЫТАНИЯ - должны быть проведены для контроля отдельных параметров.
Если прибор не соответствует всем требованиям настоящего стандарта, необходимо конкретно указать, по каким пунктам имеется несоответствие.
Требования к исполнению определены:
- для ПРИБОРА КОНТРОЛЯ СТАБИЛЬНОСТИ в
разделе 7.
4.2 ЭТАЛОННЫЕ ЗНАЧЕНИЯ и СТАНДАРТНЫЕ ИСПЫТАТЕЛЬНЫЕ ЗНАЧЕНИЯ
ИЗГОТОВИТЕЛЬ должен указать либо в ИНСТРУКЦИИ ПО ЭКСПЛУАТАЦИИ, либо в перечне испытаний ЭТАЛОННЫЕ ЗНАЧЕНИЯ всех ВЛИЯЮЩИХ ВЕЛИЧИН и ПРИБОРНЫХ ПАРАМЕТРОВ, перечисленных в
таблице 1.
Для этих ВЛИЯЮЩИХ ВЕЛИЧИН могут быть проконтролированы:
a) ЭТАЛОННОЕ ЗНАЧЕНИЕ (должно быть значением, используемым обычно в процессе радиационной калибровки прибора);
b) СТАНДАРТНОЕ ИСПЫТАТЕЛЬНОЕ ЗНАЧЕНИЕ (должно быть ЭТАЛОННЫМ ЗНАЧЕНИЕМ).
4.3 Общие условия и методы испытаний
4.3.1 СТАНДАРТНЫЕ УСЛОВИЯ ИСПЫТАНИЙ
СТАНДАРТНЫЕ УСЛОВИЯ ИСПЫТАНИЙ, как установлено СТАНДАРТНЫМИ ИСПЫТАТЕЛЬНЫМИ ЗНАЧЕНИЯМИ в
таблице 1, следует использовать во время испытаний, кроме следующих случаев:
a) для ВЛИЯЮЩЕЙ ВЕЛИЧИНЫ при исследовании;
b) в случаях, если местные условия - температура и относительная влажность - выходят за пределы СТАНДАРТНЫХ УСЛОВИЙ ИСПЫТАНИЙ. В этом случае испытатель должен обосновать результаты испытаний.
4.3.2 Испытания компонентов
4.3.2.1 При испытании прибора для подтверждения соответствия требований, предъявляемых к эксплуатационным характеристикам, настоящему стандарту следует проверять отдельно его компоненты. В этом случае:
- испытания ИОНИЗАЦИОННОЙ КАМЕРЫ следует проводить с использованием высокоточного ИЗМЕРИТЕЛЬНОГО КОМПЛЕКСА;
- испытания ИЗМЕРИТЕЛЬНОГО КОМПЛЕКСА следует проводить с использованием необходимого высокоточного источника тока или источника заряда, присоединенного к входу.
В настоящем случае "высокоточный" означает, что ЭКСПЛУАТАЦИОННЫЕ ХАРАКТЕРИСТИКИ тестового оборудования должны вызывать изменение измеряемой характеристики менее чем на одну четверть ПРЕДЕЛОВ ИЗМЕНЕНИЙ.
4.3.2.2 Любые испытания можно проводить с использованием ДОЗИМЕТРА, в частности, при исследовании влияния радиочастотных электромагнитных полей и электростатических разрядов на систему, состоящую из ИОНИЗАЦИОННОЙ КАМЕРЫ, соединенной кабелем с ИЗМЕРИТЕЛЬНЫМ КОМПЛЕКСОМ. Некоторые испытания всей системы не могут установить, что является причиной ИЗМЕНЕНИЙ - БЛОК КАМЕРЫ или ИЗМЕРИТЕЛЬНЫЙ КОМПЛЕКС (например ТОК УТЕЧКИ, ДРЕЙФ НУЛЯ). При испытании всей системы, когда ВЛИЯЮЩАЯ ВЕЛИЧИНА действует на обе части ДОЗИМЕТРА, квадратичную сумму отдельных ПРЕДЕЛОВ ИЗМЕНЕНИЙ можно рассматривать как общий ПРЕДЕЛ ИЗМЕНЕНИЯ.
4.3.2.3 Если БЛОК КАМЕРЫ и ИЗМЕРИТЕЛЬНЫЙ КОМПЛЕКС испытываются отдельно, но объединены в систему, то обе части следует рассматривать совместно и измеренная общая ЧУВСТВИТЕЛЬНОСТЬ должна быть в пределах 0,5% общей ЧУВСТВИТЕЛЬНОСТИ, рассчитанной с учетом ЧУВСТВИТЕЛЬНОСТИ отдельных частей.
4.3.3 НОМИНАЛЬНЫЙ или ЭФФЕКТИВНЫЙ ДИАПАЗОН МОЩНОСТИ ДОЗЫ (или КЕРМЫ)
Примечание - При измерениях ДОЗЫ (или КЕРМЫ) МОЩНОСТЬ ДОЗЫ (или МОЩНОСТЬ КЕРМЫ) можно рассматривать как ВЛИЯЮЩУЮ ВЕЛИЧИНУ. В этом случае применяют термин НОМИНАЛЬНЫЙ ДИАПАЗОН МОЩНОСТИ ДОЗЫ (или МОЩНОСТИ КЕРМЫ).
При измерениях МОЩНОСТИ ДОЗЫ (или МОЩНОСТИ КЕРМЫ) эта величина является ИНДИЦИРУЕМЫМ ЗНАЧЕНИЕМ. В этом случае используют термин ЭФФЕКТИВНЫЙ ДИАПАЗОН МОЩНОСТИ ДОЗЫ (или МОЩНОСТИ КЕРМЫ).
4.3.3.1 Если БЛОК КАМЕРЫ испытывают отдельно, НОМИНАЛЬНЫЙ или ЭФФЕКТИВНЫЙ ДИАПАЗОН МОЩНОСТИ ДОЗЫ (или КЕРМЫ) следует измерять в соответствии с требованиями
раздела 5.
4.3.3.2 Если испытывают отдельно ИЗМЕРИТЕЛЬНЫЙ КОМПЛЕКС, эквивалентный параметр определяют как НОМИНАЛЬНЫЙ или ЭФФЕКТИВНЫЙ ДИАПАЗОН входных токов, при этом следует выполнять требования
раздела 6.
4.3.3.3 Если БЛОК КАМЕРЫ и ИЗМЕРИТЕЛЬНЫЙ КОМПЛЕКС испытывают вместе, НОМИНАЛЬНЫЙ или ЭФФЕКТИВНЫЙ ДИАПАЗОН МОЩНОСТИ ДОЗЫ (или КЕРМЫ) следует определять с учетом требований
разделов 5 и
6.
4.3.4 Неопределенность измерения
Когда проводят измерения ИЗМЕНЕНИЙ для проверки соответствия прибора установленным ПРЕДЕЛАМ ИЗМЕНЕНИЙ, ОБЩАЯ НЕОПРЕДЕЛЕННОСТЬ этих измерений ИЗМЕНЕНИЙ должна быть пренебрежимо мала по сравнению с установленными ПРЕДЕЛАМИ ИЗМЕНЕНИЙ.
Если это невозможно, то ОБЩАЯ НЕОПРЕДЕЛЕННОСТЬ измерения ИЗМЕНЕНИЙ должна учитывать оценку прибора при испытаниях с добавлением ОБЩЕЙ НЕОПРЕДЕЛЕННОСТИ к установленным ПРЕДЕЛАМ ИЗМЕНЕНИЙ.
Если ОБЩАЯ НЕОПРЕДЕЛЕННОСТЬ превышает одну пятую ПРЕДЕЛОВ ИЗМЕНЕНИЙ для любой ЭКСПЛУАТАЦИОННОЙ ХАРАКТЕРИСТИКИ, то это значение фиксируют.
Примечание - Для настоящего стандарта ОБЩУЮ НЕОПРЕДЕЛЕННОСТЬ можно рассматривать как РАСШИРЕННУЮ НЕОПРЕДЕЛЕННОСТЬ с доверительной вероятностью 95%
(приложение A).
4.3.5 Регулировка в процессе испытаний
Испытания на соответствие следует проводить на приборе, готовом к эксплуатации (включая вспомогательные устройства, при их наличии) после истечения ВРЕМЕНИ СТАБИЛИЗАЦИИ и после того, как проведена предварительная регулировка, при необходимости. Во время испытаний регулировки можно проводить, когда они не влияют на результат измерения. Например установка нуля может проводиться в любое время, кроме момента проведения испытаний по измерению ДРЕЙФА НУЛЯ и СМЕЩЕНИЯ НУЛЯ.
4.3.6 Условия испытаний БЛОКА КАМЕРЫ
При испытании на соответствие требованиям
раздела 5 (кроме
5.1.1,
5.1.3 и
5.1.9) поляризованное напряжение может быть приложено к ИОНИЗАЦИОННОЙ КАМЕРЕ в течение 1 ч перед проведением измерений.
4.3.7 Условия испытаний ИЗМЕРИТЕЛЬНОГО КОМПЛЕКСА
4.3.7.1 Испытания на влияние электромагнитных полей и электростатических разрядов следует проводить с БЛОКОМ КАМЕРЫ, подключенным к входу ИЗМЕРИТЕЛЬНОГО КОМПЛЕКСА.
4.3.7.2 Испытания на ДРЕЙФ НУЛЯ и СМЕЩЕНИЕ НУЛЯ следует проводить с отсоединенным входом ИЗМЕРИТЕЛЬНОГО КОМПЛЕКСА и защищенным проводящим заземленным экраном, например в виде колпачка с металлическим напылением.
4.3.7.3 При отсутствии подробных инструкций по испытаниям все остальные испытания должны быть проведены с источником либо электрического заряда, либо тока, подсоединенного к входу ИЗМЕРИТЕЛЬНОГО КОМПЛЕКСА, как например:
a) измерения на ДОЗИМЕТРАХ ДЛЯ ЛУЧЕВОЙ ТЕРАПИИ должны быть проведены с источником заряда, подсоединенным к входу. Эта схема дает возможность поступления различных точно известных дискретных количеств заряда на вход:
1) путем зарядки или разрядки конденсатора через сопротивление (чтобы ограничить максимальное значение тока до значения, меньшего чем максимальный НОМИНАЛЬНЫЙ входной ток) или
2) приложением постоянного тока за определенное время (когда этот постоянный ток меньше, чем максимальный НОМИНАЛЬНЫЙ входной ток).
Выход этого источника заряда должен быть откалиброван перед использованием и соответствовать ГОСУДАРСТВЕННОМУ ЭТАЛОНУ (либо непосредственно ЭТАЛОНУ заряда или косвенно ЭТАЛОНАМ напряжения и емкости, или ЭТАЛОНАМ напряжения, сопротивления и времени);
b) измерения на измерителях мощности дозы должны проводиться с источником тока, подсоединенным к входу. Эта схема должна обеспечивать поступление различных точно известных постоянных токов на вход.
Выход этого источника тока должен быть откалиброван перед использованием и соответствовать ГОСУДАРСТВЕННОМУ ЭТАЛОНУ (непосредственно ЭТАЛОНУ тока или косвенно ЭТАЛОНАМ напряжения и сопротивления).
Примечания
1 Если испытания проводят на ДОЗИМЕТРАХ/измерителях мощности дозы с входными зажимами "сигнал/охранный электрод", находящимися под поляризованным напряжением по отношению к земле, то выходная цепь источника тока или заряда должна быть "плавающей".
2 Выходная цепь источника заряда должна иметь достаточно высокое выходное сопротивление, чтобы не вызвать усиление ДРЕЙФА НУЛЯ или утечки заряда;
3 Выходная цепь источника тока не должна влиять на измеряемый ток. Некоторые электрометры имеют защищающие входные сопротивления, которые могут влиять на ток от других источников тока, не от ИОНИЗАЦИОННОЙ КАМЕРЫ.
4.3.8 Частные условия испытаний для ПРИБОРА КОНТРОЛЯ СТАБИЛЬНОСТИ
При испытании на соответствие требованиям к исполнению в соответствии с
разделом 7 используемый ИЗМЕРИТЕЛЬНЫЙ КОМПЛЕКС следует контролировать либо УСТРОЙСТВОМ КОНТРОЛЯ СТАБИЛЬНОСТИ, либо другим прибором аналогичного или более высокого класса.
При применении ПРИБОРА КОНТРОЛЯ СТАБИЛЬНОСТИ общего типа используемый БЛОК КАМЕРЫ должен быть того же типа, что и предназначенный для проверки ПРИБОР КОНТРОЛЯ СТАБИЛЬНОСТИ.
4.3.9 Применение ПРИБОРА КОНТРОЛЯ СТАБИЛЬНОСТИ
Если метод испытания предлагает применение ПРИБОРА КОНТРОЛЯ СТАБИЛЬНОСТИ, но на практике это невозможно, то допускают использование внешних источников гамма-излучения цезий-137 или кобальт-60 (Co-60) при надежном методе позиционирования ИОНИЗАЦИОННОЙ КАМЕРЫ в воспроизводимом поле излучения.
В
таблице 1 приводятся ЭТАЛОННЫЕ и СТАНДАРТНЫЕ ИСПЫТАТЕЛЬНЫЕ ЗНАЧЕНИЯ.
Таблица 1
ЭТАЛОННЫЕ УСЛОВИЯ и СТАНДАРТНЫЕ УСЛОВИЯ ИСПЫТАНИЙ
Таблица 1a
БЛОК КАМЕРЫ
ВЛИЯЮЩАЯ ВЕЛИЧИНА или ПРИБОРНЫЙ ПАРАМЕТР | ЭТАЛОННОЕ ЗНАЧЕНИЕ | СТАНДАРТНОЕ ИСПЫТАТЕЛЬНОЕ ЗНАЧЕНИЕ |
ИОНИЗАЦИОННЫЕ КАМЕРЫ |
Размер поля | Как при калибровке | ЭТАЛОННОЕ ЗНАЧЕНИЕ |
Ориентация КАМЕРЫ | То же | То же |
Расстояние источник - КАМЕРА | " | " |
Глубина КАМЕРЫ в фантоме, г/см2 | " | " |
Расстояние источник - фантом | " | " |
Материал фантома | " | Эталонный материал |
Температура, °C | +20 | От +15 до +25 |
Относительная влажность, % | 50 | От 30 до 75 |
Давление окружающей среды, кПа | 101,3 | Атмосферное давление |
Внешние поля | 0 | Так малы, что не влияют на показание |
Рассеянное излучение в рентгеновской процедурной | 0 | Минимально возможное |
МОЩНОСТЬ ДОЗЫ | Как при калибровке | ЭФФЕКТИВНЫЙ ДИАПАЗОН |
Поляризованное напряжение | Устанавливается ИЗГОТОВИТЕЛЕМ | ЭТАЛОННОЕ ЗНАЧЕНИЕ +/- 10% |
ВРЕМЯ СТАБИЛИЗАЦИИ | 1 ч после включения | 15 мин после включения |
КОРПУСНЫЕ КАМЕРЫ |
Качество излучения: | | |
тормозное излучение в открытом воздухе | 1,8 мм Cu HVL | ЭТАЛОННОЕ ЗНАЧЕНИЕ |
тормозное и гамма-излучение в открытом воздухе | Кобальт-60 | То же |
тормозное и гамма-излучение в фантоме | Кобальт-60 | " |
высокоэнергетическое тормозное и гамма-излучение | Кобальт-60 | " |
электроны | Кобальт-60 или электроны как при калибровке | " |
ПЛОСКОПАРАЛЛЕЛЬНЫЕ КАМЕРЫ |
Качество излучения: | | |
тормозное излучение | 0,36 мм Al HVL, вольфрамовый анод | ЭТАЛОННОЕ ЗНАЧЕНИЕ |
электроны | Кобальт-60 или электроны как при калибровке | То же |
Таблица 1b
ИЗМЕРИТЕЛЬНЫЙ КОМПЛЕКС
ВЛИЯЮЩАЯ ВЕЛИЧИНА или ПРИБОРНЫЙ ПАРАМЕТР | ЭТАЛОННОЕ ЗНАЧЕНИЕ | СТАНДАРТНОЕ ИСПЫТАТЕЛЬНОЕ ЗНАЧЕНИЕ |
Температура, °C | +20 | От +15 до +25 |
Относительная влажность, % | 50 | От 30 до 75 |
Рассеянное излучение в ИЗМЕРИТЕЛЬНОМ КОМПЛЕКСЕ, мкЗв/ч | 0 | Менее 7,5 |
Состояние батареи | Новая батарея | В пределах срока действия |
Напряжение сети | Номинальное | Номинальное +/- 1% |
Частота сети | Номинальная | Номинальная +/- 1 Гц |
Показание шкалы | Как при калибровке | ЭТАЛОННОЕ ПОКАЗАНИЕ ШКАЛЫ |
Диапазон | Как при калибровке | Эталонный диапазон |
Входной ток | Устанавливается ИЗГОТОВИТЕЛЕМ | ЭТАЛОННОЕ ЗНАЧЕНИЕ |
Рабочее положение | Устанавливается ИЗГОТОВИТЕЛЕМ | Эталонное положение |
ВРЕМЯ СТАБИЛИЗАЦИИ | 1 ч после включения | Более 15 мин после включения |
В
таблице 2 приводятся пределы ЭКСПЛУАТАЦИОННЫХ ХАРАКТЕРИСТИК (для ДОЗИМЕТРОВ ПЕРВОГО КЛАССА) при СТАНДАРТНЫХ УСЛОВИЯХ ИСПЫТАНИЙ.
Таблица 2
Пределы ЭКСПЛУАТАЦИОННЫХ ХАРАКТЕРИСТИК
при СТАНДАРТНЫХ УСЛОВИЯХ ИСПЫТАНИЙ
Таблица 2a
В процентах
ЭКСПЛУАТАЦИОННАЯ ХАРАКТЕРИСТИКА | Предел | Пункт настоящего стандарта |
Ток утечки | | |
Долговременная стабильность | | |
Стабильность накопленной дозы | | |
<1> ПРЕДЕЛЫ ИЗМЕНЕНИЯ ионизационного тока, создаваемого минимальной НОМИНАЛЬНОЙ или ЭФФЕКТИВНОЙ МОЩНОСТЬЮ ДОЗЫ. <2> ПРЕДЕЛЫ ИЗМЕНЕНИЯ ЧУВСТВИТЕЛЬНОСТИ за год при воздействии гамма-излучения кобальта-60 или цезия-137. <3> ПРЕДЕЛЫ ИЗМЕНЕНИЯ ЧУВСТВИТЕЛЬНОСТИ при воздействии 10 4 Гр для любого качества излучения в НОМИНАЛЬНОМ ДИАПАЗОНЕ. |
Таблица 2b
ЭКСПЛУАТАЦИОННАЯ ХАРАКТЕРИСТИКА | Предел | Пункт настоящего стандарта |
РАЗРЕШЕНИЕ, % | | |
Повторяемость, % | | |
Долговременная стабильность, % | | |
ДРЕЙФ НУЛЯ - ДОЗИМЕТР, % | | |
ДРЕЙФ НУЛЯ - измеритель МОЩНОСТИ ДОЗЫ, % | | |
СМЕЩЕНИЕ НУЛЯ - ДОЗИМЕТР, % | | |
СМЕЩЕНИЕ НУЛЯ - измеритель МОЩНОСТИ ДОЗЫ, % | | |
НЕЛИНЕЙНОСТЬ - ДОЗИМЕТР, % | | |
НЕЛИНЕЙНОСТЬ - измеритель МОЩНОСТИ ДОЗЫ, % | | |
ВРЕМЯ ЧУВСТВИТЕЛЬНОСТИ, с | Менее 3 | |
<1> Минимального эффективного показания шкалы. <2> Относительное стандартное отклонение минимального ЭФФЕКТИВНОГО ИНДИЦИРУЕМОГО ЗНАЧЕНИЯ. <3> ПРЕДЕЛЫ ИЗМЕНЕНИЯ ЧУВСТВИТЕЛЬНОСТИ за год при изменении входного заряда или тока в НОМИНАЛЬНОМ или ЭФФЕКТИВНОМ ДИАПАЗОНЕ. <4> Скорости изменения ИНДИЦИРУЕМОГО ЗНАЧЕНИЯ, создаваемого минимальным номинальным или эффективным входным током. <5> ИНДИЦИРУЕМОГО ЗНАЧЕНИЯ, создаваемого минимальным номинальным или эффективным входным током. <6> Минимального ЭФФЕКТИВНОГО ИНДИЦИРУЕМОГО ЗНАЧЕНИЯ. <7> ПРЕДЕЛЫ ИЗМЕНЕНИЯ ЧУВСТВИТЕЛЬНОСТИ на 0,5 полной шкалы считывания на каждом диапазоне. |
В
таблице 3 приводятся НОМИНАЛЬНЫЕ ДИАПАЗОНЫ ВЛИЯЮЩИХ ВЕЛИЧИН, ПРИБОРНЫЕ ПАРАМЕТРЫ и нормируемые ПРЕДЕЛЫ ИЗМЕНЕНИЙ ЭКСПЛУАТАЦИОННЫХ ХАРАКТЕРИСТИК для ДОЗИМЕТРОВ ПЕРВОГО КЛАССА.
Таблица 3
ПРЕДЕЛЫ ИЗМЕНЕНИЯ ЭКСПЛУАТАЦИОННЫХ ХАРАКТЕРИСТИК
из-за ВЛИЯЮЩИХ ВЕЛИЧИН и ПРИБОРНЫХ ПАРАМЕТРОВ
Таблица 3a
ВЛИЯЮЩАЯ ВЕЛИЧИНА или ПРИБОРНЫЙ ПАРАМЕТР | МИНИМАЛЬНЫЙ НОМИНАЛЬНЫЙ ДИАПАЗОН | ПРЕДЕЛЫ ИЗМЕНЕНИЯ | Номер сноски | Пункт настоящего стандарта |
ИОНИЗАЦИОННЫЕ КАМЕРЫ |
ВРЕМЯ СТАБИЛИЗАЦИИ | 15 мин, до 2 ч | +/- 0,5% | | |
Утечка после облучения | | +/- 1,0% | | |
Минимальная МОЩНОСТЬ ДОЗЫ, % | Как указано ИЗГОТОВИТЕЛЕМ | +/- 0,5 | | |
Максимальная МОЩНОСТЬ ДОЗЫ, % | Как указано ИЗГОТОВИТЕЛЕМ | -1,0 | | |
Максимальная ПОГЛОЩЕННАЯ ДОЗА на импульс, % | Как указано ИЗГОТОВИТЕЛЕМ | -1,0 | | |
Влияние рассеянного излучения, % | Нормируемые условия | +/- 1,0 | | |
Изоляция охранный электрод/собирающий электрод | | >= 1·1011 Ом | - | |
Микрофонный эффект в кабеле, пА | Нормируемые условия | +/- 0,1 | - | |
Полярность поляризованного напряжения, % | Максимальные допускаемые положительные и отрицательные значения | 1,0 | | |
КОРПУСНЫЕ КАМЕРЫ |
Качество излучения: | | | | |
тормозное излучение в открытом воздухе | От 2 мм Al до 3 мм Cu слоя половинного ослабления (от 70 до 250 кВ или от 30 до 140 кэВ) | +/- 2,0% | | |
тормозное и гамма-излучение в открытом воздухе | От 1,8 мм Cu слоя половинного ослабления до кобальта-60 (от 200 кВ или 100 кэВ до 1,33 МэВ) | +/- 4,0% | | |
тормозное и гамма-излучение в фантоме | 0,42 мм Cu слоя половинного ослабления до кобальта-60 (от 140 кВ или 60 кэВ до 1,33 МэВ) | +/- 4,0% или | | |
+/- 2,0% | |
высокоэнергетическое тормозное и гамма-излучение в фантоме | Кобальт-60 до 25 МВ | +/- 2,0% | | |
электроны в фантоме | От 9 до 25 МэВ | +/- 2,0% | | |
Размер поля - рассеивание на держателе | Как указано ИЗГОТОВИТЕЛЕМ | +/- 1,0% | | |
Размер поля - утечка на держателе | Как указано ИЗГОТОВИТЕЛЕМ | +/- 0,5% | | |
Ориентация - вращение | От 0° до 360° | +/- 0,5% | | |
Ориентация - наклон | +/- 5° | +/- 1,0% | | |
ПЛОСКОПАРАЛЛЕЛЬНЫЕ КАМЕРЫ |
Качество излучения: | | | | |
тормозное излучение | От 0,05 до 2 мм Al слоя половинного ослабления (от 12 до 70 кВ или от 8 до 30 кэВ) | +/- 2,0% | | |
электроны | От 5 до 25 МэВ | +/- 1,0% | | |
Размер поля | Как указано ИЗГОТОВИТЕЛЕМ | +/- 2,0% | | |
Ориентация - наклон | +/- 5° | +/- 1,0% | | |
НЕГЕРМЕТИЧНЫЕ КАМЕРЫ |
Изменение атмосферного давления | От +/- 5% до +/- 10% <11> | < 10 с | | |
Температура | От +15 до +35 °C | +/- 1,0% | | |
Влажность: | | | | |
ТОК УТЕЧКИ | От 20% до 80% RH (< 20 г·м-3) | +/- 1,0% | | |
ЧУВСТВИТЕЛЬНОСТЬ | От 20% до 80% RH (< 20 г·м-3) | +/- 0,5% | | |
ГЕРМЕТИЧНЫЕ КАМЕРЫ |
Изменение атмосферного давления | | +/- 1,0% | | |
Температура | От +10 до +40 °C | +/- 1,0% | | |
<1> Процентное изменение ЧУВСТВИТЕЛЬНОСТИ в пределах НОМИНАЛЬНОГО ДИАПАЗОНА соответствующей величины. <2> ТОК УТЕЧКИ в процентах от ионизационного тока, создаваемого во время предшествующего облучения в течение 10 мин. <3> ТОК УТЕЧКИ в процентах от ионизационного тока, создаваемого минимальной НОМИНАЛЬНОЙ или ЭФФЕКТИВНОЙ МОЩНОСТЬЮ ДОЗЫ. <4> Процентное изменение ЧУВСТВИТЕЛЬНОСТИ, вызываемое переменой полярности при определенных условиях облучения, измеряемое после стабилизации ЧУВСТВИТЕЛЬНОСТИ на каждой полярности. <5> Процентное изменение ЧУВСТВИТЕЛЬНОСТИ для ВОЗДУШНОЙ КЕРМЫ по всему НОМИНАЛЬНОМУ ДИАПАЗОНУ качества излучения. <6> МИНИМАЛЬНЫЙ НОМИНАЛЬНЫЙ ДИАПАЗОН напряжения на трубке (кВ). МИНИМАЛЬНЫЙ НОМИНАЛЬНЫЙ ДИАПАЗОН средней энергии (кэВ или МэВ). В каждом случае приводимое значение средней энергии является энергией моноэнергетического фотонного излучения с одним и тем же слоем половинного ослабления. <7> Разница в процентах между ЧУВСТВИТЕЛЬНОСТЬЮ ВОЗДУШНОЙ КЕРМЫ при ЭТАЛОННОМ ЗНАЧЕНИИ качества излучения и ЧУВСТВИТЕЛЬНОСТЬЮ ВОЗДУШНОЙ КЕРМЫ при другом нормируемом значении качества излучения в пределах НОМИНАЛЬНОГО ДИАПАЗОНА. <8> Процентное изменение ЧУВСТВИТЕЛЬНОСТИ от УСТАНОВЛЕННОЙ ЭНЕРГЕТИЧЕСКОЙ ЧУВСТВИТЕЛЬНОСТИ для ПОГЛОЩЕННОЙ ДОЗЫ В ВОДЕ по всему НОМИНАЛЬНОМУ ДИАПАЗОНУ качества излучения. <9> Процентное изменение коэффициента возмущения от единицы. <10> Время, требуемое для изменения ионизационного тока на 90% своего окончательного значения. <11> Это является испытательным параметром, а не истинным НОМИНАЛЬНЫМ ДИАПАЗОНОМ. |
Таблица 3b
ВЛИЯЮЩАЯ ВЕЛИЧИНА или ПРИБОРНЫЙ ПАРАМЕТР | МИНИМАЛЬНЫЙ НОМИНАЛЬНЫЙ ДИАПАЗОН | ПРЕДЕЛЫ ИЗМЕНЕНИЯ | Номер сноски | Пункт настоящего стандарта |
ИЗМЕРИТЕЛЬНЫЕ КОМПЛЕКСЫ |
Время стабилизации | От 15 мин до 6 ч | +/- 0,5% | | |
ДОЗИМЕТРЫ |
Изменяющийся диапазон, % | Все диапазоны | +/- 0,5 | | |
Мертвое время, % | Как определено ИЗГОТОВИТЕЛЕМ | +/- 0,5 | | |
Температура: | | | | |
ЧУВСТВИТЕЛЬНОСТЬ | От +15 до +35 °C | +/- 1,0% | | |
ДРЕЙФ НУЛЯ | От +15 до +35 °C | +/- 1,0% | | |
Влажность: утечка заряда | От 20% до 80% RH (< 20 г·м-3) | +/- 1,0% | | |
Влияние рассеянного излучения | От 0 до 0,2 мЗв/ч | +/- 1,0% | | |
Утечка заряда, % | Все диапазоны на 90% полной шкалы | +/- 0,5 | | |
Зависимость МОЩНОСТИ ДОЗЫ, % | Как определено изготовителем | +/- 0,5 | | |
Измерители МОЩНОСТИ ДОЗЫ |
Изменяющийся диапазон | Все диапазоны | +/- 1,0% | | |
Температура: | | | | |
ЧУВСТВИТЕЛЬНОСТЬ | От +15 до +35 °C | +/- 1,0% | | |
ДРЕЙФ НУЛЯ | От +15 до +35 °C | +/- 1,0% | | |
СМЕЩЕНИЕ НУЛЯ | От +15 до +35 °C | +/- 1,0% | | |
Влажность: | | | | |
ЧУВСТВИТЕЛЬНОСТЬ | От 20% до 80% RH (< 20 г·м-3) | +/- 1,0% | | |
ДРЕЙФ НУЛЯ | От 20% до 80% RH (< 20 г·м-3) | +/- 1,0% | | |
СМЕЩЕНИЕ НУЛЯ | От 20% до 80% RH (< 20 г·м-3) | +/- 1,0% | | |
Влияние рассеянного излучения | От 0 до 0,2 мЗв/ч | +/- 1,0% | | |
ИЗМЕРИТЕЛЬНЫЕ КОМПЛЕКСЫ с питанием от батареи |
Состояние батареи | Срок службы | +/- 0,5% | | |
ИЗМЕРИТЕЛЬНЫЕ КОМПЛЕКСЫ с питанием от сети |
Напряжение сети (неизменное), % | От -12% до +10% номинального значения | +/- 0,5 | | |
Напряжение сети (ИЗМЕНЕНИЕ), % | От -12% до +10% номинального значения за 10 с или менее | +/- 0,5 | | |
<1> Процентное изменение ЧУВСТВИТЕЛЬНОСТИ в пределах ЭФФЕКТИВНОГО ДИАПАЗОНА измеряемой величины. <2> Процент величины изменения ИНДУЦИРУЕМОГО ЗНАЧЕНИЯ, создаваемого минимальным эффективным входным током или МОЩНОСТЬЮ ДОЗЫ. <3> Процент изменения ИНДИЦИРУЕМОГО ЗНАЧЕНИЯ, создаваемого минимальным эффективным входным током или МОЩНОСТЬЮ ДОЗЫ. <4> Процент минимального ЭФФЕКТИВНОГО ИНДИЦИРУЕМОГО ЗНАЧЕНИЯ. |
Таблица 3c
КАМЕРА, соединенная с ИЗМЕРИТЕЛЬНЫМ КОМПЛЕКСОМ
ВЛИЯЮЩАЯ ВЕЛИЧИНА или ПРИБОРНЫЙ ПАРАМЕТР | МИНИМАЛЬНЫЙ НОМИНАЛЬНЫЙ ДИАПАЗОН | ПРЕДЕЛЫ ИЗМЕНЕНИЯ | Номер сноски | Пункт настоящего стандарта |
КАМЕРЫ и ИЗМЕРИТЕЛЬНЫЕ КОМПЛЕКСЫ |
Электростатический разряд, % | По МЭК 61000-4-2 | +/- 1,0 | | |
Излучающие электромагнитные поля, % | | +/- 1,0 | | |
Помехи, вызываемые быстрыми всплесками/взрывами, % | По МЭК 61000-4-4 | +/- 1,0 | | |
Помехи, вызываемые волнами, % | | +/- 1,0 | | |
Помехи, вызываемые радиочастотами, % | По МЭК 61000-4-6 | +/- 1,0 | | |
Кратковременное прерывание напряжения, % | По МЭК 61000-4-11 | +/- 1,0 | | |
<1> Процент минимального эффективного показания шкалы. |
4.5 Классификация приборов в соответствии с ПРЕДЕЛАМИ ИЗМЕНЕНИЙ
4.5.1 ДОЗИМЕТР ПЕРВОГО КЛАССА
ДОЗИМЕТР ДЛЯ ЛУЧЕВОЙ ТЕРАПИИ классифицируется как ДОЗИМЕТР ПЕРВОГО КЛАССА, если исполнение его соответствует требованиям, перечисленным в
таблицах 1 -
3.
4.5.2 ДОЗИМЕТР ЭТАЛОННОГО КЛАССА
ДОЗИМЕТР ДЛЯ ЛУЧЕВОЙ ТЕРАПИИ может быть классифицирован как ДОЗИМЕТР ЭТАЛОННОГО КЛАССА, если дополнительно к требованиям, перечисленным в
таблицах 1 -
3, к нему предъявляют более строгие требования, а именно, что ПРЕДЕЛЫ ИЗМЕНЕНИЙ должны составлять не более половины указанных значений по следующим ЭКСПЛУАТАЦИОННЫМ ХАРАКТЕРИСТИКАМ:
для БЛОКА КАМЕРЫ:
для ИЗМЕРИТЕЛЬНОГО КОМПЛЕКСА:
| | ИС МЕГАНОРМ: примечание. В официальном тексте документа, видимо, допущена опечатка: имеется в виду п. 6.1.4, а не 1.4. | |
- долговременная стабильность
(1.4),
Примечание - Если определены два уровня исполнения в зависимости от ВЛИЯЮЩИХ ВЕЛИЧИН (или ИНСТРУМЕНТАЛЬНЫХ ПАРАМЕТРОВ), в выражении "ПРЕДЕЛЫ ИЗМЕНЕНИЙ должны быть +/- x% (+/- y%)", первое значение +/- x% относится к ДОЗИМЕТРАМ ПЕРВОГО КЛАССА, а второе в скобках +/- y% - к ЭТАЛОННЫМ ДОЗИМЕТРАМ.
ДОЗИМЕТРЫ ЭТАЛОННОГО КЛАССА не должны иметь ГЕРМЕТИЧНУЮ КАМЕРУ.
5 Требования к исполнению БЛОКА КАМЕРЫ
Общие требования к исполнению для наполненных воздухом ИОНИЗАЦИОННЫХ КАМЕР, которые обычно используют для лучевой терапии, изложены в
5.1.
Требования к исполнению указаны:
- для НАПЕРСТКОВЫХ или СФЕРИЧЕСКИХ КАМЕР в
5.2;
- для ПЛОСКОПАРАЛЛЕЛЬНЫХ КАМЕР в
5.3;
- для НЕГЕРМЕТИЧНЫХ КАМЕР в
5.4;
- для ГЕРМЕТИЧНЫХ КАМЕР в
5.5.
Примечание - Настоящий стандарт не распространяется на типы КАМЕР, которые редко используются в лучевой терапии (например экстраполяционная, со свободным воздухом, конденсаторная). Для этих типов КАМЕР рекомендуется, чтобы ИЗГОТОВИТЕЛЬ сам устанавливал НОМИНАЛЬНЫЙ ДИАПАЗОН качества излучения и МОЩНОСТЬ ДОЗЫ, НОМИНАЛЬНЫЕ ДИАПАЗОНЫ ВЛИЯЮЩИХ ВЕЛИЧИН, ПРЕДЕЛЫ ИЗМЕНЕНИЯ ЧУВСТВИТЕЛЬНОСТИ, ТОК УТЕЧКИ или индуцированный ток в пределах этих диапазонов.
5.1 Общие требования к исполнению ИОНИЗАЦИОННЫХ КАМЕР для лучевой терапии
5.1.1 ТОК УТЕЧКИ БЛОКА КАМЕРЫ в отсутствие облучения
ТОК УТЕЧКИ БЛОКА КАМЕРЫ в отсутствие облучения, но при максимальном номинальном поляризационном напряжении, приложенном к БЛОКУ КАМЕРЫ, не должен превышать +/- 0,5% ионизационного тока, создаваемого минимальной ЭФФЕКТИВНОЙ МОЩНОСТЬЮ ДОЗЫ.
Примечание - Если диапазон поляризационного напряжения подходит для использования с КАМЕРОЙ, ТОК УТЕЧКИ БЛОКА КАМЕРЫ может быть указан для различных более низких значений поляризационного напряжения.
Соответствие этому требованию проверяют следующим испытанием:
a) прикладывают максимальное поляризационное напряжение к БЛОКУ КАМЕРЫ и измеряют ТОК УТЕЧКИ БЛОКА КАМЕРЫ (в отсутствие облучения) через 15 мин (или менее), 1 ч и 6 ч;
b) облучают ИОНИЗАЦИОННУЮ КАМЕРУ при ЭТАЛОННЫХ УСЛОВИЯХ и выявляют линейную зависимость между ионизационным током и МОЩНОСТЬЮ ДОЗЫ;
c) используют эту зависимость для выражения ТОКА УТЕЧКИ БЛОКА КАМЕРЫ в процентах ионизационного тока, создаваемого минимальной ЭФФЕКТИВНОЙ МОЩНОСТЬЮ ДОЗЫ.
5.1.2 Стабильность
5.1.2.1 Долговременная стабильность
ПРЕДЕЛЫ ИЗМЕНЕНИЯ ЧУВСТВИТЕЛЬНОСТИ ИОНИЗАЦИОННОЙ КАМЕРЫ, которую облучают в воспроизводимом поле гамма-излучения кобальта-60 или цезия-137, не должны быть больше чем:
+/- 1,0% за один год для БЛОКА КАМЕРЫ ПЕРВОГО КЛАССА;
+/- 0,5% за один год для БЛОКА КАМЕРЫ ЭТАЛОННОГО КЛАССА.
Примечание - С течением времени ЧУВСТВИТЕЛЬНОСТЬ КАМЕРЫ может измениться из-за изменений размеров и структуры поверхности, окружающей измерительный объем; последнее изменение может привести со временем к изменению энергетической зависимости ИОНИЗАЦИОННОЙ КАМЕРЫ.
Соответствие этому требованию проверяют на КАМЕРЕ, находящейся в СТАНДАРТНЫХ УСЛОВИЯХ ИСПЫТАНИЙ, исследованием ее долговременной стабильности путем проведения измерений с интервалами не более одного месяца при ЭТАЛОННЫХ УСЛОВИЯХ за период не менее чем:
- 6 мес в случае ДОЗИМЕТРА ПЕРВОГО КЛАССА;
- 1 год в случае КАМЕРЫ ЭТАЛОННОГО КЛАССА.
Примечание - Если за этот период при любом качестве излучения индицируемая ЧУВСТВИТЕЛЬНОСТЬ изменяется более чем на +/- 1,0% за год, ИЗГОТОВИТЕЛЬ должен информировать потребителя о желательности повторной калибровки. ИЗГОТОВИТЕЛЬ должен также предпринимать усилия для усовершенствования КАМЕРЫ для получения требуемой долговременной стабильности.
5.1.2.2 Стабильность накопленной дозы
После равномерного облучения БЛОК КАМЕРЫ дозой 104 Гр при МОЩНОСТИ ДОЗЫ не более чем 0,1 Гр/с, при максимальном размере поля, при любом качестве излучения в пределах НОМИНАЛЬНОГО ДИАПАЗОНА:
- ПРЕДЕЛЫ ИЗМЕНЕНИЯ ЧУВСТВИТЕЛЬНОСТИ ИОНИЗАЦИОННОЙ КАМЕРЫ из-за влияния этой накопленной дозы не должны быть более чем +/- 1,0%;
- БЛОК КАМЕРЫ должен отвечать эксплуатационным требованиям по утечке после облучения
(5.1.4), по ТОКУ УТЕЧКИ без облучения
(5.1.1) и по влиянию излучения
(5.1.7).
Соответствие этому требованию исполнения проверяют:
- измерением ХАРАКТЕРИСТИКИ ИОНИЗАЦИОННОЙ КАМЕРЫ в воспроизводимом радиационном поле при минимальной и максимальной величинах качества излучения, до и после приложения нормируемой накопленной дозы к БЛОКУ КАМЕРЫ;
- повторением испытаний утечки после излучения, ТОКА УТЕЧКИ без облучения и влияния рассеянного излучения после приложения нормируемой накопленной дозы к БЛОКУ КАМЕРЫ.
За период времени между 15 мин и 2 ч после приложения поляризованного напряжения ПРЕДЕЛЫ ИЗМЕНЕНИЙ ЧУВСТВИТЕЛЬНОСТИ не должны быть более чем +/- 0,5% значения ЧУВСТВИТЕЛЬНОСТИ, измеренного через 1 ч после приложения поляризованного напряжения для случая, когда ИОНИЗАЦИОННАЯ КАМЕРА постоянно облучается от момента приложения поляризованного напряжения.
Соответствие этому требованию проверяют следующим испытанием:
a) прикладывают поляризованное напряжение и облучают ИОНИЗАЦИОННУЮ КАМЕРУ, помещая ее в пучок гамма-излучения кобальта-60 или цезия-130, при эталонном размере поля и эталонной МОЩНОСТИ ДОЗЫ;
b) при постоянном облучении ИОНИЗАЦИОННОЙ КАМЕРЫ измеряют ЧУВСТВИТЕЛЬНОСТЬ приблизительно через 15 мин, 1 ч и 2 ч.
5.1.4 Утечка после облучения
Через 5 с после 10-минутного облучения мгновенный ТОК УТЕЧКИ должен уменьшаться до +/- 1,0% (+/- 0,5%) ионизационного тока, создаваемого в измерительном объеме во время облучения.
Примечание - Этот эффект усиливается в части основания изолятора или кабеля, облучаемого в пучке излучения, и является током, который возникает при облучении, продолжается после прерывания облучения и экспоненциально уменьшается со временем.
Соответствие этому требованию проверяют следующим испытанием:
a) берут ИЗМЕРИТЕЛЬНЫЙ КОМПЛЕКС с выходным сигналом, пропорциональным измеренному току. Соединяют его выход с соответствующим записывающим прибором (например самописцем). Эта система должна быть способна измерить и записать ток от КАМЕРЫ с постоянным значением времени 0,5 с или менее;
b) располагают ИОНИЗАЦИОННУЮ КАМЕРУ в пучке гамма-излучения кобальта-60 при максимальном размере поля.
ОПОРНАЯ ТОЧКА КАМЕРЫ должна быть в центре поля и на расстоянии от источника, при котором МОЩНОСТЬ ДОЗЫ определяют как ЭТАЛОННОЕ ЗНАЧЕНИЕ;
c) облучают ИОНИЗАЦИОННУЮ КАМЕРУ и записывают значение создаваемого ионизационного тока;
d) через 10 мин останавливают облучение и записывают ТОК УТЕЧКИ за 10 с;
e) записывают значение мгновенного ТОКА УТЕЧКИ через 5 с после прекращения облучения и рассчитывают его значение в процентах от значения тока во время облучения;
f) повторяют испытания по перечислениям b) - e), но для МОЩНОСТИ ДОЗЫ около минимального значения НОМИНАЛЬНОГО ДИАПАЗОНА.
5.1.5 НОМИНАЛЬНЫЙ или ЭФФЕКТИВНЫЙ ДИАПАЗОН МОЩНОСТИ ДОЗЫ (непрерывное излучение)
5.1.5.1 Минимальная НОМИНАЛЬНАЯ или ЭФФЕКТИВНАЯ МОЩНОСТЬ ДОЗЫ
Минимальная НОМИНАЛЬНАЯ или ЭФФЕКТИВНАЯ МОЩНОСТЬ ДОЗЫ - это наименьшая МОЩНОСТЬ ДОЗЫ, при которой устанавливаются требования по ТОКУ УТЕЧКИ БЛОКА КАМЕРЫ
(5.1.1).
5.1.5.2 Максимальная НОМИНАЛЬНАЯ или ЭФФЕКТИВНАЯ МОЩНОСТЬ ДОЗЫ
Максимальная НОМИНАЛЬНАЯ или ЭФФЕКТИВНАЯ МОЩНОСТЬ ДОЗЫ - это наибольшая МОЩНОСТЬ ДОЗЫ, при которой устанавливают требования к эффективности сбора ионов в КАМЕРЕ.
Примечание - При высоких МОЩНОСТЯХ ДОЗЫ ЧУВСТВИТЕЛЬНОСТЬ может изменяться в зависимости от следующих факторов:
a) рекомбинация ионов в пределах измерительного объема, которая приводит к эффективности сбора ионов менее 100%;
b) ТОК УТЕЧКИ через часть изолятора, которая облучается в пучке излучения.
Если БЛОК КАМЕРЫ удовлетворяет требованиям по утечке на держателе
(5.2.2.2) и по утечке после облучения
(5.1.4), то можно утверждать, что влияние тока утечки через изолятор на МОЩНОСТЬ ДОЗЫ незначительное.
Эффективность сбора ионов должна быть не менее 99% когда ИОНИЗАЦИОННУЮ КАМЕРУ облучают при максимальной НОМИНАЛЬНОЙ или ЭФФЕКТИВНОЙ непрерывной МОЩНОСТИ ДОЗЫ с определенным поляризованным напряжением, приложенным к БЛОКУ КАМЕРЫ. Это требование справедливо для обоих полярностей поляризованного напряжения.
Если диапазон поляризованных напряжений устанавливают для КАМЕРЫ, эффективность сбора ионов при максимальной НОМИНАЛЬНОЙ или ЭФФЕКТИВНОЙ МОЩНОСТИ ДОЗЫ должна быть установлена для различных поляризованных напряжений.
Соответствие этому требованию проверяют отдельно для каждой полярности поляризованного напряжения с помощью следующего испытания:
a) уточняют, что БЛОК КАМЕРЫ проверен на утечку на держателе (5.2.2.2) и утечку после облучения (5.1.4), и используют результаты этих испытаний, при необходимости, для выделения значения эффективности сбора ионов;
b) поддерживая постоянное достаточно высокое значение непрерывной МОЩНОСТИ ДОЗЫ Dc, измеряют ионизационный ток при пяти или более различных значениях поляризованного напряжения между 20% и 100% рекомендованного поляризованного напряжения;
c) изображают графически или рассчитывают с помощью регрессионного анализа 1/IV,c от 1/V2, где IV,c - ионизационный ток при поляризованном напряжении V, когда КАМЕРА облучается при непрерывной МОЩНОСТИ ДОЗЫ Dc;
e) записывают значение ионизационного тока насыщения IO,c в амперах из графика или из расчетов при регрессионном анализе как значение на оси "1/IV,c", когда линия экстраполирована до 1/V2 = 0;
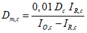
f) для рекомендованного поляризованного напряжения VR рассчитать максимальную НОМИНАЛЬНУЮ или ЭФФЕКТИВНУЮ МОЩНОСТЬ ДОЗЫ Dm,c, Гр/мин, (при непрерывном облучении), для которой эффективность сбора ионов составляет 99%, по формуле
,
где IR,c - ионизационный ток при рекомендованном поляризованном напряжении VR, когда КАМЕРА облучается при непрерывной МОЩНОСТИ ДОЗЫ Dc;
g) если результат получается не в виде прямой линии, рассчитывают Dm,c, Гр/мин, по формуле
,
где VR - рекомендованное поляризованное напряжение, В;
d - расстояние между электродами ПЛОСКОПАРАЛЛЕЛЬНОЙ КАМЕРЫ, мм.
Для цилиндрических КАМЕР d вычисляют по формуле
.
Для СФЕРИЧЕСКИХ КАМЕР d вычисляют по формуле
,
где a - радиус внешнего электрода, мм;
b - радиус внутреннего электрода, мм
5.1.6 Максимальная номинальная доза на импульс (импульсное излучение)
Максимальная номинальная доза на импульс - это наибольшая доза на импульс, для которой установлены требования по эффективности сбора ионов в КАМЕРЕ.
Эффективность сбора ионов должна быть не менее 99,0%, когда ИОНИЗАЦИОННАЯ КАМЕРА облучается при максимальной номинальной дозе на импульс (включая стреловидный, скошенный пучок) с рекомендованным поляризованным напряжением, приложенным к БЛОКУ КАМЕРЫ. Это требование должно быть установлено для обеих полярностей поляризованного напряжения.
Если диапазон поляризованного напряжения устанавливают соответствующим для использования с КАМЕРОЙ, эффективность сбора ионов при максимальной номинальной дозе на импульс должна быть установлена для различных поляризованных напряжений.
Соответствие этому требованию проверяют отдельно для каждой полярности поляризованного напряжения с помощью следующего испытания:
a) убеждаются, что БЛОК КАМЕРЫ удовлетворяет требованиям по утечке на держатель (5.2.2.2) и для утечки после облучения (5.1.4);
b) поддерживая высокое значение средней дозы на импульс Dp, измеряют значение тока ионизации при пяти или более различных значениях поляризованного напряжения, используемых в 5.1.5.2, перечисление b);
c) изображают графически или рассчитывают методом регрессионного анализа 1/IV,p в зависимости от 1/V, где 1/IV,p - значение ионизационного тока при поляризованном напряжении V, когда КАМЕРА облучается при средней дозе на импульс Dp;
e) записывают значение ионизационного тока насыщения IO,p в амперах из графика или из расчетов при регрессионном анализе как значение на оси "1/IV,p", когда линия экстраполирована до 1/V = 0;
f) для рекомендованного поляризованного напряжения VR рассчитывают максимальную НОМИНАЛЬНУЮ или ЭФФЕКТИВНУЮ ДОЗУ на импульс Dm,p, Гр, (при импульсном излучении), для которой эффективность ионизационного сбора равна 99%, по формуле
,
где IR,p - значение ионизационного тока при рекомендованном поляризованном напряжении VR, когда КАМЕРА облучается при средней ДОЗЕ на импульс Dp;
g) если результат получается не в виде прямой линии, рассчитывают, Dm,p, Гр, по формуле
,
где VR - рекомендованное поляризованное напряжение, В;
d - расстояние между электродами ПЛОСКОПАРАЛЛЕЛЬНОЙ КАМЕРЫ, мм.
Расстояние d для цилиндрических КАМЕР dцил или СФЕРИЧЕСКИХ КАМЕР dсфер рассчитывают по формулам, приведенным в 5.1.5.2, перечисление g).
Примечание - Этот метод испытания применяют, когда время сбора ионов в КАМЕРЕ является коротким по сравнению со временем между импульсами и продолжительным по сравнению с длительностью импульса.
5.1.7 Рассеянное излучение
Когда те части БЛОКА КАМЕРЫ и предусилитель, которые находятся обычно вне пучка излучения (но в пределах процедурной), располагаются в пучке излучения, ток, получаемый при этом, не должен превышать 5% для частей, находящихся в пределах 50 см от ОПОРНОЙ ТОЧКИ КАМЕРЫ, и 25% для частей, находящихся на больших расстояниях, тока ИОНИЗАЦИОННОЙ КАМЕРЫ, если она располагается в пучке излучения в том же месте.
Примечание - Эти ограничения для требований основаны на предположении, что МОЩНОСТЬ ДОЗЫ рассеянного излучения не должна превышать 10% для частей, находящихся в пределах 50 см от ОПОРНОЙ ТОЧКИ КАМЕРЫ, или 2% для частей, находящихся на больших расстояниях, МОЩНОСТИ ДОЗЫ в пучке излучения, и на влиянии рассеянного излучения до +/- 1,0% МОЩНОСТИ ДОЗЫ в пучке излучения.
Соответствие этому требованию проверяют проведением следующего испытания:
a) помещают ИОНИЗАЦИОННУЮ КАМЕРУ в свободном воздухе с встроенным колпачком в пучок гамма-излучения кобальта-60 размером поля не менее 20·20 см так, что ОПОРНАЯ ТОЧКА должна находиться в пучке излучения и длина облучаемого держателя должна соответствовать приблизительно той длине, которая облучается при максимальном номинальном размере поля. Облучают КАМЕРУ и измеряют ионизационный ток;
b) поддерживая ОПОРНУЮ ТОЧКУ в той же точке поля, передвигают БЛОК КАМЕРЫ так, чтобы части КАМЕРЫ, находящиеся в пределах 50 см от ОПОРНОЙ ТОЧКИ КАМЕРЫ, были также внутри пучка. Облучают камеру и измеряют ионизационный ток, записывают изменение измеренного тока в процентах от тока ИОНИЗАЦИОННОЙ КАМЕРЫ. Это изменение измеряемого тока должно быть выражено суммой:
- тока, индуцированного при облучении частей КАМЕРЫ, находящихся в пределах 50 см от ОПОРНОЙ ТОЧКИ КАМЕРЫ, т.е. тока, вызванного условиями измерения, и
- дополнительного тока, создаваемого в измерительном объеме КАМЕРЫ благодаря излучению, рассеиваемому от частей КАМЕРЫ, находящихся в пределах 50 см от ОПОРНОЙ ТОЧКИ КАМЕРЫ, т.е. нежелательного тока, который необходимо скорректировать;
c) чтобы скорректировать этот нежелательный ток, измеряют его, повторив испытания по перечислению b). Вместо частей КАМЕРЫ, находящихся в пределах 50 см от ОПОРНОЙ ТОЧКИ КАМЕРЫ, при испытании используют те же части от подходящей идентичной КАМЕРЫ (которые не соединены с измерительным оборудованием);
d) поддерживая ОПОРНУЮ ТОЧКУ в той же точке поля, передвигают БЛОК КАМЕРЫ так, чтобы все части, находящиеся на больших расстояниях, также были внутри пучка. Облучают КАМЕРУ и измеряют ионизационный ток в четвертый раз. Записывают это второе изменение измеряемого тока в процентах от тока ИОНИЗАЦИОННОЙ КАМЕРЫ. Снова проводят измерения и корректируют нежелательные компоненты тока из-за рассеянного излучения, используя методику, приведенную в перечислении c).
5.1.8 Изоляция охранный электрод/собирающий электрод
Сопротивление изоляции между охранным и собирающим электродами должно быть не менее 1·1011 Ом.
Соответствие этому требованию проверяют измерением сопротивления между проводниками охранного и собирающего электродов БЛОКА КАМЕРЫ при напряжении +/- 1 В.
5.1.9 Микрофонный эффект в кабеле
Для образца кабеля той же марки и типа, как в БЛОКЕ КАМЕРЫ, максимальный пиковый ток, индуцированный между проводниками собирающего и охранного электродов, когда кабель подвергают периодическому сгибанию, должен быть менее +/- 0,1 пА.
Примечания
1 Это требование гарантирует, что суммарный заряд, индуцируемый при движении или сгибании соединяющего кабеля БЛОКА КАМЕРЫ, не увеличивает значительно неопределенность измерения.
2 Не существует необходимости в повторении испытания на других типах БЛОКОВ КАМЕР с той же маркой и типом кабеля.
Соответствие этому требованию проверяют с помощью следующего испытания:
a) часть соединительного кабеля длиной от 50 до 60 см в испытательном оборудовании, приведенном на рисунке 2, подвергают циклическому боковому изгибу частотой 1 Гц со смещением пиков нагрузки до 4 см при растяжении с помощью груза 2 кг;
b) измеряют пиковый ток, индуцированный между проводниками охранного и собирающего электродов, при ЭТАЛОННОМ ЗНАЧЕНИИ поляризованного напряжения, приложенного к БЛОКУ КАМЕРЫ.
5.1.10 Полярность от влияния поляризованного напряжения
Разница между ИНДИЦИРУЕМЫМИ ЗНАЧЕНИЯМИ, получаемыми в НОМИНАЛЬНОМ ДИАПАЗОНЕ качеств излучения с максимальными допускаемыми положительными и отрицательными значениями поляризованного напряжения, должна быть менее 1% или КОРРЕКТИРУЮЩИЕ КОЭФФИЦИЕНТЫ, ассоциированные с ОБЩЕЙ НЕОПРЕДЕЛЕННОСТЬЮ, должны быть менее +/- 1%.
Соответствие этому требованию проверяют с помощью следующего испытания:
a) облучают КАМЕРУ в ФАНТОМЕ при следующих условиях:
1) размер поля должен быть эталонным,
2) ОПОРНАЯ ТОЧКА КАМЕРЫ должна быть в центре поля,
3) глубина ОПОРНОЙ ТОЧКИ КАМЕРЫ в фантоме должна быть следующей:
- для БЛОКА КАМЕРЫ, предназначенного для использования в пучке электронов: 0,1·Rp; 0,3·Rp; 0,5·Rp и 0,7·Rp, где Rp - практический диапазон пучка электронов;
- для других БЛОКОВ КАМЕР: глубина максимума МОЩНОСТИ ДОЗЫ 5, 10 и 20 Г/см2,
4) качество излучения должно быть следующим:
- для БЛОКА КАМЕРЫ, предназначенного для использования в пучке электронов, следует использовать минимальную номинальную энергию;
- для других БЛОКОВ КАМЕР должны быть использованы гамма-излучение кобальта-60 и максимальная номинальная энергия;
b) проводят ряд измерений ионизационного тока с положительным поляризованным напряжением, приложенным к КАМЕРЕ. Затем повторяют измерение с отрицательным поляризованным напряжением, приложенным к ИОНИЗАЦИОННОЙ КАМЕРЕ. Затем снова повторяют измерение с положительным поляризованным напряжением, чтобы учесть возможные смещения источника излучения и/или измерительной системы.
Примечания
1 Время должно быть достаточным для стабилизации ЧУВСТВИТЕЛЬНОСТИ после обратной поляризации (5.1.3).
2 Влияние изменения МОЩНОСТИ ДОЗЫ во время измерения может быть уменьшено путем использования:
- передающего монитора или
- второй ИОНИЗАЦИОННОЙ КАМЕРЫ, желательно того же типа, что и первая, расположенной при испытании рядом с первой на той же глубине в фантоме. Полярность поляризованного напряжения, приложенного ко второй КАМЕРЕ, должна поддерживаться постоянной во время всех измерений.
5.1.11 Электромагнитная совместимость
(6.1.6)
5.2 Требование к исполнению КОРПУСНОЙ КАМЕРЫ
Примечания
1) БЛОКИ КАМЕР, рассматриваемые в настоящем разделе, характеризуются следующими конструктивными особенностями:
- измерительный объем ограничен;
- в НАПЕРСТКОВОЙ КАМЕРЕ цилиндрический электрод расположен на внешней стороне, а второй цилиндрический электрод; коаксиальный с первым, - внутри. Один конец внешнего электрода закрыт, он может быть плоским, коническим или полукруглым, в то время как другой конец - открыт, что обеспечивает возможность входа внутреннего электрода в измерительный объем. Граница измерительного объема на этом открытом конце определяется поверхностью цилиндрического держателя изолятора, который отделяет внутренний и внешний электроды;
- в СФЕРИЧЕСКОЙ КАМЕРЕ сферический электрод расположен на внешней стороне, а второй сферический электрод, соответствующий первому, - внутри. Во внешнем электроде имеется небольшое отверстие, что обеспечивает вход внутреннего электрода в измерительный объем. Граница измерительного объема в этом отверстии определяется концом цилиндрического держателя изолятора, который отделяет внутренний и внешний электроды;
- внутренний и внешний электроды установлены на поддерживающем держателе, к которому подсоединен кабель. Оси измерительного объема и держателя обычно совпадают;
- измерительный объем обычно составляет от 0,1 до 1,0 см3;
- поляризованный потенциал прикладывается между внешним и внутренним охранным электродами, а заряд сигнала собирается на внутреннем электроде.
2) НАПЕРСТКОВЫЕ КАМЕРЫ имеют ось измерительного объема, перпендикулярную к оси пучка излучения.
5.2.1 Зависимость от качества излучения
ЭТАЛОННОЕ ЗНАЧЕНИЕ и МИНИМАЛЬНЫЙ НОМИНАЛЬНЫЙ ДИАПАЗОН качества излучения, применимый для НАПЕРСТКОВОЙ КАМЕРЫ, и точные ПРЕДЕЛЫ ИЗМЕНЕНИЯ ЧУВСТВИТЕЛЬНОСТИ, вызванные изменением качества излучения от ЭТАЛОННОГО ЗНАЧЕНИЯ до других значений в пределах МИНИМАЛЬНОГО НОМИНАЛЬНОГО ДИАПАЗОНА, зависят от условий использования камеры, в частности от:
- того, предназначена ли КАМЕРА для использования в открытом воздухе или в фантоме;
- типа и качества излучения, в котором может быть использована КАМЕРА.
Соответствие требованию зависимости ЧУВСТВИТЕЛЬНОСТИ от качества излучения проверяют измерением ЧУВСТВИТЕЛЬНОСТИ КАМЕРЫ при эталонном качестве излучения и при каждом из других значений качества излучения НОМИНАЛЬНОГО ДИАПАЗОНА и сравнением:
a) с системой, которой свойственна энергетическая независимость после действия физических факторов, например водяным калориметром или дозиметром Фриске, или
b) с ДОЗИМЕТРОМ, который относится к ГОСУДАРСТВЕННОМУ ЭТАЛОНУ и используется в международных, государственных или региональных дозиметрических протоколах.
Когда проводят испытание для определения изменения ЧУВСТВИТЕЛЬНОСТИ КАМЕРЫ при изменении качества излучения, все другие ВЛИЯЮЩИЕ ВЕЛИЧИНЫ должны иметь свои ЭТАЛОННЫЕ ЗНАЧЕНИЯ или должна быть проведена коррекция при любом отклонении от этих ЭТАЛОННЫХ ЗНАЧЕНИЙ.
5.2.1.1 КОРПУСНЫЕ КАМЕРЫ, используемые в открытом воздухе для измерения ВОЗДУШНОЙ КЕРМЫ от среднеэнергетического тормозного излучения
ЭТАЛОННОЕ ЗНАЧЕНИЕ качества излучения должно быть при слое половинного ослабления 1,8 мм Cu (т.е. при напряжении около 200 кВ на рентгеновской трубке).
МИНИМАЛЬНЫЙ НОМИНАЛЬНЫЙ ДИАПАЗОН качеств излучения должен быть диапазоном половинных слоев ослабления от 0,06 (2 мм Al) до 3 мм Cu (т.е. напряжение рентгеновской трубки приблизительно от 70 до 250 кВ или значение энергии от 30 до 140 кэВ).
В пределах НОМИНАЛЬНОГО ДИАПАЗОНА ПРЕДЕЛ ИЗМЕНЕНИЙ ЧУВСТВИТЕЛЬНОСТИ при изменении качества излучения должен быть +/- 2,0%.
Соответствие этому требованию проверяют испытанием, приведенным в 5.2.1, в тех же условиях облучения, которые использовались для калибровки КАМЕРЫ. Испытание может быть частью или дополнением к процессу калибровки. При испытании должны быть использованы, по крайней мере, пять значений качества излучения при слое половинного ослабления 0,06; 0,16; 0,42; 1,8 и 3 мм Cu.
5.2.1.2 КОРПУСНЫЕ КАМЕРЫ, используемые в свободном воздухе для измерения ВОЗДУШНОЙ КЕРМЫ от среднеэнергетического тормозного излучения и гамма-излучения
За ЭТАЛОННОЕ ЗНАЧЕНИЕ качества излучения следует принимать гамма-излучение Co-60.
МИНИМАЛЬНЫМ НОМИНАЛЬНЫМ ДИАПАЗОНОМ качеств излучения должен быть диапазон от тормозного излучения со слоем половинного ослабления от 1,8 мм Cu (т.е. напряжение на рентгеновской трубке около 200 кВ) до гамма-излучения Co-60 (т.е. значение энергии приблизительно от 100 кэВ до 1,33 МэВ).
ЧУВСТВИТЕЛЬНОСТЬ для тормозного излучения при слое половинного ослабления от 1,8 мм Cu не должна изменяться более чем на +/- 4% по сравнению с ЧУВСТВИТЕЛЬНОСТЬЮ для гамма-излучения Co-60 с использованием соответствующего встроенного колпачка.
Соответствие этому требованию проверяют проведением испытания, приведенного в 5.2.1, с использованием гамма-излучения Co-60 (или тормозного излучения при напряжении на рентгеновской трубке от 1 до 3 МВ) и тормозного излучения со слоем половинного ослабления 1,8 мм Cu. Встроенный колпачок следует использовать в испытании ИЗМЕНЕНИЯ ЧУВСТВИТЕЛЬНОСТИ КАМЕРЫ в зависимости от значений качества излучения, для которых в ЭКСПЛУАТАЦИОННЫХ ДОКУМЕНТАХ указан встроенный колпачок.
5.2.1.3 КОРПУСНЫЕ КАМЕРЫ, используемые в фантоме для измерения ПОГЛОЩЕННОЙ ДОЗЫ В ВОДЕ от фотонного излучения со средними энергиями и энергиями, равными или менее, чем энергия от Co-60
За ЭТАЛОННОЕ ЗНАЧЕНИЕ качества излучения следует принимать гамма-излучение Co-60.
МИНИМАЛЬНЫМ НОМИНАЛЬНЫМ ДИАПАЗОНОМ качеств излучения должен быть диапазон от тормозного излучения со слоем половинного ослабления 0,42 мм Cu (т.е. напряжение на рентгеновской трубке примерно 140 кВ) до гамма-излучения Co-60 (т.е. средняя энергия примерно от 60 до 1,33 МэВ).
В пределах НОМИНАЛЬНОГО ДИАПАЗОНА качеств излучения:
- ЧУВСТВИТЕЛЬНОСТЬ КАМЕРЫ не должна отклоняться от ЧУВСТВИТЕЛЬНОСТИ для гамма-излучения Co-60 более чем на +/- 4,0% или
- ЧУВСТВИТЕЛЬНОСТЬ КАМЕРЫ с изменяющимся качеством излучения не должна изменяться более чем на +/- 2,0% УСТАНОВЛЕННОЙ ЭНЕРГЕТИЧЕСКОЙ ЧУВСТВИТЕЛЬНОСТИ (нормализованной для Co-60), установленной ИЗГОТОВИТЕЛЕМ. При расчете УСТАНОВЛЕННОЙ ЭНЕРГЕТИЧЕСКОЙ ЧУВСТВИТЕЛЬНОСТИ должна быть указана ссылка на нормативный документ, в котором приведена методика расчета.
Соответствие этому требованию проверяют проведением испытания, описанного в 5.2.1, помещая КАМЕРУ в фантом с использованием гамма-излучения Co-60 точечного источника, и, по крайней мере, при трех значениях качества излучения на средней энергии тормозного излучения при слое половинного ослабления примерно 0,42; 0,8 и 3 мм Cu.
5.2.1.4 КОРПУСНЫЕ КАМЕРЫ, используемые в фантоме для измерения ПОГЛОЩЕННОЙ ДОЗЫ В ВОДЕ от высокоэнергетического фотонного излучения
За ЭТАЛОННОЕ ЗНАЧЕНИЕ качества излучения принимают гамма-излучение Co-60.
МИНИМАЛЬНЫМ НОМИНАЛЬНЫМ ДИАПАЗОНОМ должен быть диапазон от гамма-излучения Co-60 до тормозного излучения 25 МВ.
В пределах НОМИНАЛЬНОГО ДИАПАЗОНА качеств излучения ПРЕДЕЛЫ ИЗМЕНЕНИЯ ЧУВСТВИТЕЛЬНОСТИ ИОНИЗАЦИОННОЙ КАМЕРЫ с изменяющимся качеством излучения не должны изменяться более чем на +/- 2,0% УСТАНОВЛЕННОЙ ЭНЕРГЕТИЧЕСКОЙ ЧУВСТВИТЕЛЬНОСТИ (нормализованной для Co-60), установленной ИЗГОТОВИТЕЛЕМ. При расчете УСТАНОВЛЕННОЙ ЭНЕРГЕТИЧЕСКОЙ ЧУВСТВИТЕЛЬНОСТИ должна быть указана ссылка на нормативный документ, в котором приведена методика расчета.
Соответствие этому требованию проверяют испытанием, описанным в 5.2.1, с использованием гамма-излучения от единичного источника Co-60 и, по крайней мере, при трех значениях качества тормозного излучения в диапазоне от 5 до 25 МВ.
5.2.1.5 КОРПУСНЫЕ КАМЕРЫ, используемые в фантоме для измерения ПОГЛОЩЕННОЙ ДОЗЫ В ВОДЕ от высокоэнергетического электронного излучения
За ЭТАЛОННОЕ ЗНАЧЕНИЕ качества излучения должно быть принято гамма-излучение от Co-60 или качество электронного излучения в пределах НОМИНАЛЬНОГО ДИАПАЗОНА, используемое при калибровке.
Минимальным НОМИНАЛЬНЫМ ДИАПАЗОНОМ качеств излучения должен быть диапазон от 9 до 25 МэВ энергии электронов.
В пределах НОМИНАЛЬНОГО ДИАПАЗОНА качеств излучения ПРЕДЕЛЫ ИЗМЕНЕНИЙ ЧУВСТВИТЕЛЬНОСТИ ИОНИЗАЦИОННОЙ КАМЕРЫ с изменяющейся энергией излучения должны быть +/- 2,0% УСТАНОВЛЕННОЙ ЭНЕРГЕТИЧЕСКОЙ ЧУВСТВИТЕЛЬНОСТИ, рассчитанной или измеренной для этого типа камеры как функция от качества излучения. При расчете ЧУВСТВИТЕЛЬНОСТИ должна быть приведена ссылка на нормативный документ, где приводится эта методика расчета.
Примечание - Отклонение действительной энергетической ЧУВСТВИТЕЛЬНОСТИ от УСТАНОВЛЕННОЙ ЭНЕРГЕТИЧЕСКОЙ ЧУВСТВИТЕЛЬНОСТИ происходит из-за изменений качества излучения.
Соответствие этому требованию проверяют проведением испытания, описанного в 5.2.1, при использовании гамма-излучения от Co-60 и, по крайней мере, трех значений качества точечного источника излучения электронов в диапазоне от 9 до 25 МэВ.
5.2.2 НОМИНАЛЬНЫЙ ДИАПАЗОН размеров поля
НОМИНАЛЬНЫЙ ДИАПАЗОН размеров поля не должен быть больше, чем диапазон размеров поля, требуемый при определении ПРЕДЕЛОВ ИЗМЕНЕНИЯ ЧУВСТВИТЕЛЬНОСТИ из-за рассеяния на держателе
(.5.2.2.1), утечки на держателе
(5.2.2.2) и утечки после облучения
(5.1.4). НОМИНАЛЬНЫЕ размеры поля должны быть выражены в единицах для круглого или квадратного поля с ОПОРНОЙ ТОЧКОЙ КАМЕРЫ в центре.
Примечание - Физические факторы, влияющие на зависимость ЧУВСТВИТЕЛЬНОСТИ НАПЕРСТКОВОЙ КАМЕРЫ от размера поля:
a) радиационное рассеяние на держателе;
b) ионизационный ток, идущий из полостей вокруг соединения с собирающим электроном;
c) индуцированный ток утечки вокруг той части изолятора держателя или кабеля, которая облучается, появляющийся только во время облучения и относящийся к мгновенной МОЩНОСТИ ДОЗЫ;
d) ток утечки после облучения через ту часть изолятора держателя или кабеля, которая облучается, продолжающийся после того, как облучение закончится, и связанный с предшествующим облучением изолятора держателя или кабеля.
5.2.2.1 Рассеяние на держателе
Сверх НОМИНАЛЬНОГО ДИАПАЗОНА размеров полей ПРЕДЕЛ ИЗМЕНЕНИЯ ЧУВСТВИТЕЛЬНОСТИ из-за рассеяния на основании для облучения в воздухе должен быть +/- 1%.
Для каждого условия испытания, при котором абсолютное значение ИЗМЕНЕНИЯ больше 0,5%, но не более 1%, ЭКСПЛУАТАЦИОННЫЕ ДОКУМЕНТЫ должны содержать необходимый КОРРЕКТИРУЮЩИЙ КОЭФФИЦИЕНТ с ОБЩЕЙ НЕОПРЕДЕЛЕННОСТЬЮ менее 0,5%.
Соответствие этому требованию проверяют с помощью следующего испытания:
a) убеждаются, что БЛОК КАМЕРЫ был испытан на ТОК УТЕЧКИ (5.1.1), ВРЕМЯ СТАБИЛИЗАЦИИ (5.1.3) и утечку после облучения (5.1.4) и используют результаты этих испытаний, исключив влияние рассеяния на держателе при проведении испытаний по перечислениям от b) до j);
b) располагают БЛОК КАМЕРЫ с ОПОРНОЙ ТОЧКОЙ в центре поля в свободном воздухе с одетым колпачком накопления в пучке ЭТАЛОННОГО качества излучения и минимальным НОМИНАЛЬНЫМ размером поля;
c) измеряют ЧУВСТВИТЕЛЬНОСТЬ КАМЕРЫ;
d) создают макет держателя, идентичный реальному держателю, затем размещают этот макет держателя в пучке так, чтобы он касался ИОНИЗАЦИОННОЙ КАМЕРЫ с противоположной стороны по отношению к реальному основанию;
e) при том же положении макета держателя измеряют ЧУВСТВИТЕЛЬНОСТЬ камеры при тех же условиях, что и в перечислении c);
f) устанавливают влияние рассеивания на держателе на установленный размер поля сравнением ЧУВСТВИТЕЛЬНОСТИ камеры, измеренной с макетом держателя и без него;
g) увеличивают размер поля на 1 см по каждому краю и повторяют этапы по перечислениям от c) до f) включительно;
h) повторяют этап g) до тех пор, пока влияние держателя не будет больше зависеть от размера поля или не будет достигнут максимальный НОМИНАЛЬНЫЙ размер поля (в зависимости от того, что скорее);
i) если для рассматриваемого качества излучения влияние рассеяния держателя таково, что необходимо установить КОРРЕКТИРУЮЩИЕ КОЭФФИЦИЕНТЫ, то эти КОРРЕКТИРУЮЩИЕ КОЭФФИЦИЕНТЫ должны быть нормализованы по отношению к ЧУВСТВИТЕЛЬНОСТИ КАМЕРЫ для ЭТАЛОННОГО размера поля;
j) повторяют этапы по перечислениям от b) до j) с достаточным числом качеств излучения, что позволяет сделать соответствующую интерполяцию изменений рассеяния держателя в зависимости от качества излучения.
5.2.2.2 Утечка на держателе
Сверх НОМИНАЛЬНОГО ДИАПАЗОНА размеров полей ПРЕДЕЛ ИЗМЕНЕНИЯ ЧУВСТВИТЕЛЬНОСТИ из-за утечки на держателе для облучения в воздухе должен быть +/- 0,5%.
Соответствие этому требованию проверяют с помощью следующего испытания с использованием гамма-излучения Co-60 или максимального значения НОМИНАЛЬНОГО качества излучения:
a) убеждаются, что БЛОК КАМЕРЫ был испытан на рассеяние от держателя (5.2.2.1) и используют результаты этого испытания, исключив влияние утечки на держателе при проведении испытаний по перечислениям от b) до f);
b) прикладывают максимальное НОМИНАЛЬНОЕ поляризационное напряжение к БЛОКУ КАМЕРЫ;
c) располагают ОПОРНУЮ ТОЧКУ КАМЕРЫ в свободном воздухе в центре прямоугольного поля, ширина которого равна минимальному НОМИНАЛЬНОМУ размеру поля, а длина равна ЭТАЛОННОМУ размеру поля, при этом ось ЭТАЛОННОГО поля совпадает с осью держателя КАМЕРЫ. Надевают колпачок накопления, при необходимости, при используемом в этом испытании качестве излучения;
d) измеряют ЧУВСТВИТЕЛЬНОСТЬ КАМЕРЫ;
e) поворачивают БЛОК КАМЕРЫ на 90° вокруг своей ОПОРНОЙ ТОЧКИ так, чтобы ось минимального НОМИНАЛЬНОГО размера поля совпала с осью держателя КАМЕРЫ;
f) рассчитывают отношение ЧУВСТВИТЕЛЬНОСТИ КАМЕРЫ в двух положениях и корректируют это отношение на эффект рассеяния на держателе, чтобы определить влияние утечки на держателе для минимального НОМИНАЛЬНОГО размера поля;
g) затем располагают ОПОРНУЮ ТОЧКУ КАМЕРЫ в центре второго прямоугольного поля, ширина которого равна максимальному НОМИНАЛЬНОМУ размеру поля, а длина равна размеру ЭТАЛОННОГО поля, так, что ось ЭТАЛОННОГО размера поля совпадает с осью держателя КАМЕРЫ;
h) измеряют ЧУВСТВИТЕЛЬНОСТЬ КАМЕРЫ;
i) поворачивают БЛОК КАМЕРЫ на 90° вокруг ОПОРНОЙ ТОЧКИ так, чтобы ось максимального НОМИНАЛЬНОГО размера поля совпала с осью держателя КАМЕРЫ;
j) рассчитывают отношение ЧУВСТВИТЕЛЬНОСТИ КАМЕРЫ в двух положениях и корректируют это отношение на эффект рассеяния на держателе, чтобы определить влияние утечки на держателе для максимального НОМИНАЛЬНОГО размера поля.
Примечания
1 Это испытание не следует проводить при изменении только размера поля, т.к. из-за рассеянного излучения изменяется МОЩНОСТЬ ДОЗЫ.
2 Во время измерений радиационное поле вне измерительного объема камеры должно оставаться неизменным.
3 Измеренный эффект составляет незначительную часть ЧУВСТВИТЕЛЬНОСТИ КАМЕРЫ.
5.2.3 Ориентация КАМЕРЫ
Примечание - Это требование касается точности центровки, необходимой при расположении БЛОКА КАМЕРЫ в пучке.
МИНИМАЛЬНЫЙ НОМИНАЛЬНЫЙ ДИАПАЗОН должен включать полное вращение КАМЕРЫ вокруг своей оси, которая располагается перпендикулярно к оси пучка излучения. В этом НОМИНАЛЬНОМ ДИАПАЗОНЕ ПРЕДЕЛЫ ИЗМЕНЕНИЙ ЧУВСТВИТЕЛЬНОСТИ в воздухе, когда ОПОРНАЯ ТОЧКА КАМЕРЫ находится на расстоянии 1 м от пучка излучения, должны быть +/- 0,5%.
Соответствие этому требованию проверяют измерением ЧУВСТВИТЕЛЬНОСТИ КАМЕРЫ в воздухе при четырех углах вращения, равных 90°, используя минимальное НОМИНАЛЬНОЕ значение качества фотонного излучения и минимальный НОМИНАЛЬНЫЙ размер поля.
МИНИМАЛЬНЫЙ НОМИНАЛЬНЫЙ ДИАПАЗОН наклона оси КАМЕРЫ относительно положения КАМЕРЫ в ОПОРНОЙ ТОЧКЕ с осью, перпендикулярной к оси пучка излучения, должен быть +/- 5°. В ПРЕДЕЛАХ НОМИНАЛЬНОГО ДИАПАЗОНА ПРЕДЕЛЫ ИЗМЕНЕНИЙ ЧУВСТВИТЕЛЬНОСТИ в воздухе, когда ОПОРНАЯ ТОЧКА КАМЕРЫ находится на расстоянии 1 м от источника излучения, должны быть +/- 1,0%.
Соответствие этому требованию проверяют измерением ХАРАКТЕРИСТИКИ КАМЕРЫ в воздухе с углами наклона 1° отдельно для:
- минимального значения НОМИНАЛЬНОГО качества излучения;
- наименьшего размера поля, которое равномерно облучает КАМЕРУ при всех углах наклона.
Примечание - Необходимо позаботиться о наклоне КАМЕРЫ относительно ее ОПОРНОЙ ТОЧКИ.
5.3 Требования к исполнению ПЛОСКОПАРАЛЛЕЛЬНЫХ КАМЕР
Примечания
1 БЛОКИ КАМЕР, рассматриваемые в этом разделе, характеризуются следующими конструктивными особенностями:
- воздушный объем заключен в дискообразном круглом цилиндре, одна плоская поверхность которого содержит входное окно. Внутренняя поверхность входного окна (иногда, но не всегда, боковые стенки цилиндра) является электрически проводящей и образует внешний электрод. Внутренний электрод представляет собой проводящий круглый диск в теле изолятора, который образует внешнюю плоскую поверхность цилиндра, противоположную входному окну. Измерительный объем является частью общего воздушного объема, через который проходят линии электростатического поля между внутренним и внешним электродами;
- внутренний и внешний электроды устанавливают в блоке из материала (корпус камеры), к которому может быть присоединен кабель. Кабель обычно выходит из камеры в направлении, перпендикулярном к входному окну;
- измерительный объем обычно равен от 0,01 и до 0,5 см3;
- поляризованный потенциал приложен между внешним электродом и внутренними/охранными электродами, в то время как сигнальный заряд собирается от внутреннего электрода;
- существует обычно третий электрод между двумя другими электродами, причем этот третий электрод электрически не соединяется ни с одним из двух других, но потенциал его такой же, как и внутреннего электрода. Если БЛОК КАМЕРЫ является охраняемым, то этот третий электрод в воздушном объеме представляет собой кольцо вокруг внутреннего электрода; если БЛОК КАМЕРЫ является частично охраняемым, то третий электрод заканчивается внутри изолятора вне воздушного объема.
2 ПЛОСКОПАРАЛЛЕЛЬНЫЕ КАМЕРЫ имеют плоскость входного окна, перпендикулярную к оси пучка излучения.
3 Различают два типа ПЛОСКОПАРАЛЛЕЛЬНЫХ КАМЕР:
a) ПЛОСКОПАРАЛЛЕЛЬНЫЕ КАМЕРЫ для мягкого рентгеновского излучения. Они имеют входное окно в виде тонкой мембраны, чтобы низкоэнергетическое фотонное излучение могло входить в измерительный объем без значительного ослабления. Стабильность размеров измерительного объема зависит в значительной степени от жесткости этого входного окна;
b) ПЛОСКОПАРАЛЛЕЛЬНЫЕ КАМЕРЫ для электронного излучения. Они имеют следующие типовые размеры:
- толщина входного окна - до 1 мм;
- расстояние между внутренним и внешним электродами - до 2 мм;
- диаметр внутреннего (собирающего) электрода до - 20 мм.
5.3.1 Зависимость от качества излучения
5.3.1.1 ПЛОСКОПАРАЛЛЕЛЬНЫЕ КАМЕРЫ, используемые в свободном воздухе для измерения ВОЗДУШНОЙ КЕРМЫ от мягкого (равного или менее чем 100 кВ напряжения на рентгеновской трубке) тормозного излучения.
ЭТАЛОННОЕ ЗНАЧЕНИЕ качества излучения должно быть при половинном слое 0,36 мм Al (или при напряжении около 30 кВ на рентгеновской трубке).
Минимальным НОМИНАЛЬНЫМ ДИАПАЗОНОМ качеств излучения должен быть диапазон слоев половинного ослабления от 0,05 до 2,0 мм Al (то есть приблизительно от 12 до 70 кВ напряжения на рентгеновской трубке или от 8 до 30 кэВ значений энергий).
Внутри НОМИНАЛЬНОГО ДИАПАЗОНА ПРЕДЕЛ ИЗМЕНЕНИЯ ЧУВСТВИТЕЛЬНОСТИ в зависимости от качества излучения должен быть +/- 2,0%.
Соответствие этому требованию проверяют калибровкой КАМЕРЫ с помощью ДОЗИМЕТРА, соответствующего ГОСУДАРСТВЕННОМУ ЭТАЛОНУ и используемого при составлении международных, национальных или региональных дозиметрических протоколов.
Испытание должно проводиться при ЭТАЛОННОМ качестве излучения и, как минимум, трех значениях качества излучения в НОМИНАЛЬНОМ ДИАПАЗОНЕ:
- первое значение, соответствующее слою половинного ослабления от 0,02 до 0,05 мм Al;
- второе - от 0,2 до 0,5 мм Al;
- третье - от 1,5 до 2,0 мм Al.
5.3.1.2 ПЛОСКОПАРАЛЛЕЛЬНЫЕ КАМЕРЫ, используемые в фантоме для измерения ПОГЛОЩЕННОЙ ДОЗЫ В ВОДЕ от высокоэнергетического электронного излучения
ЭТАЛОННОЕ ЗНАЧЕНИЕ качества излучения должно быть гамма-излучением от Co-60 или электронным излучением в пределах НОМИНАЛЬНОГО ДИАПАЗОНА, используемого для калибровки.
Минимальным НОМИНАЛЬНЫМ ДИАПАЗОНОМ качеств излучения должен быть диапазон 5 и 25 МэВ энергий электронов.
В пределах НОМИНАЛЬНОГО ДИАПАЗОНА качеств излучений ПРЕДЕЛЫ ИЗМЕНЕНИЯ возмущающего фактора КАМЕРЫ в зависимости от изменения энергии излучения должны быть +/- 1,0% от единицы, причем возмущающий фактор рассчитан или измерен для этого типа КАМЕРЫ как функция от качества излучения. При расчете возмущающего фактора должна быть приведена ссылка на нормативный документ, в котором приводится метод расчета.
Примечание - Энергетическая зависимость идеальной ПЛОСКОПАРАЛЛЕЛЬНОЙ КАМЕРЫ с единичным возмущающим фактором должна существовать при изменении значения отношения тормозящей мощности (вода/воздух) в зависимости от качества излучения.
Соответствие этому требованию проверяют сравнением ЧУВСТВИТЕЛЬНОСТИ КАМЕРЫ с ЧУВСТВИТЕЛЬНОСТЬЮ ИОНИЗАЦИОННОЙ КАМЕРЫ с известным единичным возмущающим фактором, т.е. ПЛОСКОПАРАЛЛЕЛЬНОЙ КАМЕРОЙ, в которой отношение ширины охранного кольца к воздушной глубине не менее 2:1 и отношение диаметра к глубине воздушного объема не менее 8:1. Обе КАМЕРЫ должны облучаться в фантоме на глубине максимальной ДОЗЫ для рассматриваемого качества излучения.
Испытание должно быть проведено при ЭТАЛОННОМ качестве излучения (гамма-излучении и от единичного источника Co-60) и максимальном и минимальном НОМИНАЛЬНЫХ значениях, и одном из других значений качества электронного излучения из НОМИНАЛЬНОГО ДИАПАЗОНА.
5.3.2 НОМИНАЛЬНЫЙ ДИАПАЗОН размеров полей
НОМИНАЛЬНЫЙ ДИАПАЗОН размеров полей не должен быть шире, чем диапазон размеров полей, сверх которого установлены требования к ПРЕДЕЛАМ ИЗМЕНЕНИЯ ЧУВСТВИТЕЛЬНОСТИ. НОМИНАЛЬНЫЕ размеры полей должны быть определены в единицах круглого или квадратного поля, центрированного в ОПОРНОЙ ТОЧКЕ КАМЕРЫ.
В пределах НОМИНАЛЬНОГО ДИАПАЗОНА ПРЕДЕЛ ИЗМЕНЕНИЯ ЧУВСТВИТЕЛЬНОСТИ при изменении размеров поля должен быть +/- 2,0%.
Для электронных КАМЕР ИЗГОТОВИТЕЛЬ должен указать материал фантома, используемого для измерения зависимости от размера поля.
Соответствие этому требованию проверяют сравнением ЧУВСТВИТЕЛЬНОСТИ КАМЕРЫ с той из КАМЕР, ЧУВСТВИТЕЛЬНОСТЬ которой не зависит от размера поля, или у которой ИЗМЕНЕНИЯ ЧУВСТВИТЕЛЬНОСТИ точно известны при ЭТАЛОННОМ размере поля и максимальном и минимальном НОМИНАЛЬНЫХ размерах поля.
Измерение зависимости от размеров поля должно проводиться на достаточном числе значений качеств излучения так, чтобы адекватная интерполяция могла быть сделана для ИЗМЕНЕНИЯ этого параметра в зависимости от качества излучения.
Измерения зависимости от размера поля должны быть проведены:
- в воздухе для КАМЕР мягкого рентгеновского излучения;
- в водно-эквивалентном фантоме для электронных КАМЕР.
Примечание - Эти требования относятся к необходимости точного расположения при позиционировании БЛОКА КАМЕРЫ в пучке.
Минимальный НОМИНАЛЬНЫЙ ДИАПАЗОН должен быть для наклона плоскости входного окна в пределах +/- 5° в любом направлении от своего первоначального положения, перпендикулярного к оси пучка излучения.
В пределах этого НОМИНАЛЬНОГО ДИАПАЗОНА ПРЕДЕЛЫ ИЗМЕНЕНИЯ ЧУВСТВИТЕЛЬНОСТИ должны быть +/- 1,0%, когда ОПОРНАЯ ТОЧКА КАМЕРЫ находится на расстоянии 1 м от источника излучения.
Соответствие этому требованию проверяют измерением характеристики КАМЕРЫ при углах наклона 1°, используя:
- минимальное и максимальное НОМИНАЛЬНЫЕ значения качества излучения;
- наименьший размер поля, которое создает однородное облучение КАМЕРЫ при всех углах наклона.
Измерение зависимости от углов наклона должно быть проведено:
- в воздухе в КАМЕРЕ мягкого рентгеновского излучения;
- в водно-эквивалентном фантоме (на установленной глубине) в электронных КАМЕРАХ.
Примечания
1 Должен быть обеспечен наклон камеры вокруг ОПОРНОЙ ТОЧКИ.
2 Если используют твердый водно-эквивалентный фантом, то весь фантом можно наклонить, если нельзя наклонить КАМЕРУ.
5.4 Требования к исполнению НЕГЕРМЕТИЧНЫХ КАМЕР
Примечание - Измерительный объем в НЕГЕРМЕТИЧНЫХ КАМЕРАХ открыт по отношению к окружающей атмосфере для того, чтобы быстро было установлено равновесие с внешними окружающими условиями.
5.4.1 Изменение атмосферного давления
90% ВРЕМЕНИ УСТАНОВЛЕНИЯ РАВНОВЕСИЯ для разницы давлений вне и внутри ИОНИЗАЦИОННОЙ КАМЕРЫ не должно превышать 10 с.
Соответствие этому требованию проверяют с помощью следующего испытания:
a) помещают ИОНИЗАЦИОННУЮ КАМЕРУ в поле с постоянной МОЩНОСТЬЮ ДОЗЫ. Например это может быть сделано введением ИОНИЗАЦИОННОЙ КАМЕРЫ в соответствующий радиоактивный ПРИБОР КОНТРОЛЯ СТАБИЛЬНОСТИ;
b) подвергают ИОНИЗАЦИОННУЮ КАМЕРУ быстрому изменению давления от 5% до 10% от окружающего давления и измеряют изменения мгновенного ионизационного тока от КАМЕРЫ после этого изменения;
c) записывают время, в течение которого мгновенный ионизационный ток достигает 90% конечного значения ионизационного тока как 90% ВРЕМЕНИ УСТАНОВЛЕНИЯ РАВНОВЕСИЯ.
МИНИМАЛЬНЫЙ НОМИНАЛЬНЫЙ ДИАПАЗОН окружающей температуры должен быть от +15 до +35 °C.
В пределах НОМИНАЛЬНОГО ДИАПАЗОНА ПРЕДЕЛЫ ИЗМЕНЕНИЯ ЧУВСТВИТЕЛЬНОСТИ при изменениях окружающей температуры (после корректирования изменения плотности воздуха по закону газа) должны быть +/- 1%.
Соответствие этому требованию проверяют с помощью следующего испытания:
a) помещают ИОНИЗАЦИОННУЮ КАМЕРУ в поле постоянной МОЩНОСТИ ДОЗЫ. Например это может быть сделано введением ИОНИЗАЦИОННОЙ КАМЕРЫ в соответствующий радиоактивный ПРИБОР КОНТРОЛЯ СТАБИЛЬНОСТИ;
b) во время облучения ИОНИЗАЦИОННОЙ КАМЕРЫ при постоянной МОЩНОСТИ ДОЗЫ измеряют ЧУВСТВИТЕЛЬНОСТЬ при минимальном и максимальном значениях температуры в НОМИНАЛЬНОМ ДИАПАЗОНЕ для ИОНИЗАЦИОННОЙ КАМЕРЫ и на одном из других значений температуры, близких ЭТАЛОННОЙ температуре.
Для достижения температурного равновесия должно пройти достаточно много времени между измерениями при различных температурах для ИОНИЗАЦИОННОЙ КАМЕРЫ. При использовании ПРИБОРА КОНТРОЛЯ СТАБИЛЬНОСТИ с радиоактивным источником, помещенным в защитный контейнер для обеспечения постоянной МОЩНОСТИ ДОЗЫ, необходимо, чтобы между испытаниями при различных температурах в контейнере источника прошло достаточно много времени для достижения температурного равновесия.
МИНИМАЛЬНЫЙ НОМИНАЛЬНЫЙ ДИАПАЗОН относительной влажности воздуха должен быть от 20% до 80% относительной влажности, но только для условий, в которых абсолютная влажность меньше 20 г·м-3.
5.4.3.1 Влияние ТОКА УТЕЧКИ
В пределах НОМИНАЛЬНОГО ДИАПАЗОНА влажности ТОК УТЕЧКИ должен быть менее чем +/- 1% ионизационного тока, создаваемого минимальной НОМИНАЛЬНОЙ или ЭФФЕКТИВНОЙ МОЩНОСТЬЮ ДОЗЫ.
Соответствие этому требованию проверяют с помощью следующего испытания:
a) прикладывают максимальное НОМИНАЛЬНОЕ поляризующее напряжение к БЛОКУ КАМЕРЫ;
b) облучают ИОНИЗАЦИОННУЮ КАМЕРУ при влажности около 20 г·м-3 в течение не менее 12 ч, затем измеряют ТОК УТЕЧКИ БЛОКА КАМЕРЫ (без облучения).
c) облучают ИОНИЗАЦИОННУЮ КАМЕРУ при ЭТАЛОННЫХ УСЛОВИЯХ и выявляют линейную зависимость между ионизационным током и МОЩНОСТЬЮ ДОЗЫ.
Примечание - Если эта часть испытания уже была проведена раньше при испытании по
5.1.1, перечисление b), то ее не надо повторять;
d) используют эту зависимость, чтобы выразить процент ТОКА УТЕЧКИ БЛОКА КАМЕРЫ при максимальной НОМИНАЛЬНОЙ влажности от минимальной ЭФФЕКТИВНОЙ МОЩНОСТИ ДОЗЫ.
5.4.3.2 Влияние на ЧУВСТВИТЕЛЬНОСТЬ
В пределах НОМИНАЛЬНОГО ДИАПАЗОНА ПРЕДЕЛ ОТКЛОНЕНИЯ ЧУВСТВИТЕЛЬНОСТИ должен быть +/- 0,5%.
Соответствие этому требованию проверяют с помощью следующего испытания:
a) хранят КАМЕРУ при условиях 20% RH или менее в течение одного месяца;
b) убирают КАМЕРУ из места хранения и измеряют ее ЧУВСТВИТЕЛЬНОСТЬ при ЭТАЛОННЫХ УСЛОВИЯХ;
c) хранят КАМЕРУ при условиях 80% RH или более в течение одного месяца;
d) убирают КАМЕРУ из места хранения и повторно измеряют ее ЧУВСТВИТЕЛЬНОСТЬ при ЭТАЛОННЫХ УСЛОВИЯХ;
e) подсчитывают изменения в процентах для двух измеренных значений ЧУВСТВИТЕЛЬНОСТИ.
5.5 Требования к исполнению ГЕРМЕТИЧНЫХ КАМЕР
5.5.1 Изменение атмосферного давления
Для КАМЕР, называемых ГЕРМЕТИЧНЫМИ, ПРЕДЕЛ ИЗМЕНЕНИЯ ЧУВСТВИТЕЛЬНОСТИ в течение 1 ч после +/- 10% изменения давления окружающего воздуха должен быть +/- 1,0%.
Соответствие этому требованию проверяют с помощью следующего испытания:
a) перед проведением испытания необходимо установить, что КАМЕРА была проверена на влияние утечки после облучения (5.1.4), и при необходимости провести коррекцию. Также, если необходимо, проводят коррекцию на изменение окружающей температуры (5.5.2);
b) помещают ИОНИЗАЦИОННУЮ КАМЕРУ в поле постоянной МОЩНОСТИ ДОЗЫ. Это осуществляют введением ИОНИЗАЦИОННОЙ КАМЕРЫ в соответствующий радиоактивный ПРИБОР КОНТРОЛЯ СТАБИЛЬНОСТИ;
c) прекращают облучение (по возможности) и уменьшают на 10% давление окружающего КАМЕРУ воздуха. Сохраняют это новое давление на все время испытания;
d) через 1 ч облучают ИОНИЗАЦИОННУЮ КАМЕРУ при той же постоянной МОЩНОСТИ ДОЗЫ и снова измеряют ионизационный ток;
e) рассчитывают изменение ионизационного тока от КАМЕРЫ за 1 ч и выражают его в процентах первоначального тока;
Примечание - Экспериментальные данные показывают, что ГЕРМЕТИЧНЫЕ КАМЕРЫ могут иметь температурную зависимость.
МИНИМАЛЬНЫЙ НОМИНАЛЬНЫЙ ДИАПАЗОН должен быть от +10 до +40 °C.
В пределах НОМИНАЛЬНОГО ДИАПАЗОНА:
- ПРЕДЕЛ ИЗМЕНЕНИЯ ЧУВСТВИТЕЛЬНОСТИ из-за изменений окружающей температуры должен быть +/- 1,0% или
- если это ИЗМЕНЕНИЕ больше чем 1,0%, ЧУВСТВИТЕЛЬНОСТЬ должна быть определена в ЭКСПЛУАТАЦИОННЫХ ДОКУМЕНТАХ как ряд КОРРЕКТИРУЮЩИХ КОЭФФИЦИЕНТОВ (один для каждой испытываемой температуры) к каждому типу ИОНИЗАЦИОННОЙ КАМЕРЫ. ОБЩАЯ НЕОПРЕДЕЛЕННОСТЬ с учетом этих КОРРЕКТИРУЮЩИХ КОЭФФИЦИЕНТОВ должна быть не более 1,0%.
Соответствие этому требованию проверяют с помощью следующего испытания:
a) помещают ИОНИЗАЦИОННУЮ КАМЕРУ в поле постоянной МОЩНОСТИ ДОЗЫ. Например это можно сделать, введя ИОНИЗАЦИОННУЮ КАМЕРУ в соответствующий радиоактивный ПРИБОР КОНТРОЛЯ СТАБИЛЬНОСТИ;
b) во время облучения ИОНИЗАЦИОННОЙ КАМЕРЫ при постоянной МОЩНОСТИ ДОЗЫ измеряют ЧУВСТВИТЕЛЬНОСТЬ при наименьшем и наибольшем значениях температуры в НОМИНАЛЬНОМ ДИАПАЗОНЕ для ИОНИЗАЦИОННОЙ КАМЕРЫ и при одном из других значений температуры, равном или близком ЭТАЛОННОЙ температуре.
Должно пройти достаточно много времени между измерениями при различных температурах для ИОНИЗАЦИОННОЙ КАМЕРЫ для достижения температурного равновесия. При использовании ПРИБОРА КОНТРОЛЯ СТАБИЛЬНОСТИ с радиоактивным источником в защитном контейнере для обеспечения постоянной МОЩНОСТИ ДОЗЫ должно пройти достаточно много времени между испытаниями при различных температурах для контейнера источника для достижения температурного равновесия.
6 Требования к исполнению ИЗМЕРИТЕЛЬНОГО КОМПЛЕКСА
Общие требования к исполнению ИЗМЕРИТЕЛЬНЫХ КОМПЛЕКСОВ, обычно используемых в дозиметрии при лучевой терапии, приведены в
6.1.
Частные требования для:
- ИЗМЕРИТЕЛЬНЫХ КОМПЛЕКСОВ, которые могут работать как ДОЗИМЕТРЫ, приведены в
6.2;
- ИЗМЕРИТЕЛЬНЫХ КОМПЛЕКСОВ, которые работают как ИЗМЕРИТЕЛИ МОЩНОСТИ ДОЗЫ, - в
6.3;
- батарей, питающих ИЗМЕРИТЕЛЬНЫЕ КОМПЛЕКСЫ, - в
6.4;
- питающих сетей для ИЗМЕРИТЕЛЬНЫХ КОМПЛЕКСОВ, - в
6.5.
Примечания
1 ДОЗИМЕТРЫ - это приборы, с помощью которых измеряют интегральный заряд, их показания выражают в кулонах, греях или кулонах на килограмм.
2 Измерители МОЩНОСТИ ДОЗЫ - это приборы, с помощью которых измеряют мгновенный ток, их показания выражают в амперах, греях в секунду, греях в минуту, греях в час, кулонах на килограмм в секунду, кулонах на килограмм в минуту или кулонах на килограмм в час.
6.1 Общие требования к исполнению ДОЗИМЕТРОВ ДЛЯ ЛУЧЕВОЙ ТЕРАПИИ
6.1.1 ЭФФЕКТИВНЫЕ ДИАПАЗОНЫ
6.1.1.1 ЭФФЕКТИВНЫЙ ДИАПАЗОН шкалы показаний
Минимальная эффективная шкала показаний на каждом измерительном диапазоне должна быть наименьшей шкалой показаний, для которой выполняются установленные требования по РАЗРЕШЕНИЮ
(6.1.2) и по НЕЛИНЕЙНОСТИ (
6.2.3 или
6.3.3).
Максимальной эффективной шкалой показаний на каждом измерительном диапазоне должна быть наибольшая шкала показаний, для которой выполняются установленные требования по НЕЛИНЕЙНОСТИ (
6.2.3 или
6.3.3).
6.1.1.2 ЭФФЕКТИВНЫЙ ДИАПАЗОН ИНДИЦИРУЕМЫХ ЗНАЧЕНИЙ
Минимальным эффективным ИНДИЦИРУЕМЫМ ЗНАЧЕНИЕМ должно быть наименьшее ИНДИЦИРУЕМОЕ ЗНАЧЕНИЕ, для которого выполняются установленные параметры входного тока
(6.1.1.3), РАЗРЕШЕНИЯ
(6.1.2), повторяемости
(6.1.3), НЕЛИНЕЙНОСТИ (
6.2.3 или
6.3.3) и изменений напряжения сети питания
(6.5).
Максимальным эффективным ИНДИЦИРУЕМЫМ ЗНАЧЕНИЕМ должно быть максимальное показание эффективной шкалы показаний на наименее чувствительном измерительном диапазоне, если не установлено другое значение в ЭКСПЛУАТАЦИОННЫХ ДОКУМЕНТАХ.
В добавление:
- отношение максимального эффективного ИНДИЦИРУЕМОГО ЗНАЧЕНИЯ к минимальному эффективному ИНДИЦИРУЕМОМУ ЗНАЧЕНИЮ должно быть не менее чем 10:1;
- для многодиапазонных приборов ЭФФЕКТИВНЫЙ ДИАПАЗОН ИНДИЦИРУЕМЫХ ЗНАЧЕНИЙ должен дополняться без промежутков.
Примечание - Если испытания проводят на укомплектованном ДОЗИМЕТРЕ, ЭФФЕКТИВНЫЙ ДИАПАЗОН ИНДИЦИРУЕМЫХ ЗНАЧЕНИЙ не может быть больше, чем НОМИНАЛЬНЫЙ ДИАПАЗОН МОЩНОСТИ ДОЗЫ для БЛОКА КАМЕРЫ.
6.1.1.3 НОМИНАЛЬНЫЙ или ЭФФЕКТИВНЫЙ ДИАПАЗОН входных токов
Минимальный НОМИНАЛЬНЫЙ или эффективный входной ток должен быть наименьшим входным током, для которого должны быть выполнены установленные требования по параметрам: ДРЕЙФ НУЛЯ (
6.2.1 или
6.3.1), СМЕЩЕНИЕ НУЛЯ (
6.2.2 или
6.3.2), утечка заряда
(6.2.9), НЕЛИНЕЙНОСТЬ (
6.2.3 или
6.3.3), температура (
6.2.6 или
6.3.6), влажность (
6.2.7 или
6.3.7) и рассеянное излучение.
Максимальный НОМИНАЛЬНЫЙ или эффективный входной ток должен быть наибольшим входным током, для которого должны быть удовлетворены установленные требования по параметрам: НЕЛИНЕЙНОСТЬ (
6.2.3 или
6.3.3), зависимость МОЩНОСТИ ДОЗЫ
(6.2.10) и мертвое время
(6.2.5).
РАЗРЕШЕНИЕ дисплея должно быть равно или выше чем 0,5% (0,25%) минимальной эффективной шкалы показаний для любого диапазона.
Соответствие этому требованию проверяют визуально.
Примечание - Неопределенность считывания дисплея в большинстве случаев равна РАЗРЕШЕНИЮ. Если предположить для аналогового панельного измерителя, что его визуальная способность различать показания равна 0,2 мм и что минимальная эффективная шкала показаний равна половине шкалы, то полная длина шкалы аналогового панельного измерителя
(8.2.2.2) должна быть 8 см. Для цифрового дисплея соответствие достигается, когда минимальная эффективная шкала показаний равна 199. Для декадного разделения требуется, чтобы полная шкала дисплея вмещала не менее 1999.
На минимальном эффективном ИНДИЦИРУЕМОМ ЗНАЧЕНИИ повторяемость должна быть такой, чтобы относительное стандартное отклонение, получаемое при достаточно большом числе измерений, не превышало +/- 0,5% (0,23%) этого ИНДИЦИРУЕМОГО ЗНАЧЕНИЯ.
Соответствие этому требованию проверяют с помощью следующего испытания:
a) устанавливают ИЗМЕРИТЕЛЬНЫЙ КОМПЛЕКС на наиболее чувствительный диапазон ДОЗЫ (МОЩНОСТИ ДОЗЫ). Перед тем, как перейти к следующему этапу испытания, перечисление b), проверяют, что ИЗМЕРИТЕЛЬНЫЙ КОМПЛЕКС был переключен на наименьшее ВРЕМЯ СТАБИЛИЗАЦИИ (6.1.5);
b) подают заряд, достаточный, чтобы получить показание, равное или близкое минимальному эффективному ИНДИЦИРУЕМОМУ ЗНАЧЕНИЮ. Фиксируют это показание;
c) повторяют операцию b) девять раз, каждый раз подавая один и тот же заряд (ток);
d) рассчитывают относительное стандартное отклонение от десяти последовательных измерений, выраженное в процентах от среднего ИНДИЦИРОВАННОГО ЗНАЧЕНИЯ.
Примечание - Разница между ИНДИЦИРОВАННЫМИ ЗНАЧЕНИЯМИ в последовательных измерениях при постоянных условиях может возникнуть от коротких или длительных по времени флюктуаций или явления дрейфа. Для установленных требований принимают во внимание только кратковременные флюктуации и дрейф.
6.1.4 Долговременная стабильность
ПРЕДЕЛЫ ИЗМЕНЕНИЯ ЧУВСТВИТЕЛЬНОСТИ ИЗМЕРИТЕЛЬНОГО КОМПЛЕКСА не должны быть более чем:
- +/- 1,0% за 1 год для ИЗМЕРИТЕЛЬНОГО КОМПЛЕКСА ПЕРВОГО КЛАССА;
- +/- 0,5% за 1 год для ИЗМЕРИТЕЛЬНОГО КОМПЛЕКСА ЭТАЛОННОГО КЛАССА.
Соответствие этому требованию проверяют с помощью следующего испытания:
a) устанавливают представленный ИЗМЕРИТЕЛЬНЫЙ КОМПЛЕКС;
b) измеряют его ЧУВСТВИТЕЛЬНОСТЬ по отношению к известному постоянному заряду (току) в НОМИНАЛЬНОМ ДИАПАЗОНЕ, повторяющемуся с интервалами не более 1 мес за период времени не менее чем 6 мес;
c) строят график зависимости ЧУВСТВИТЕЛЬНОСТИ от времени в месяцах. Из этого графика при необходимости с помощью интерполяции получают значение изменения ЧУВСТВИТЕЛЬНОСТИ за 1 год.
Примечания
1 С течением времени ЧУВСТВИТЕЛЬНОСТЬ ИЗМЕРИТЕЛЬНОГО КОМПЛЕКСА для данного входного заряда или тока может изменяться. Метод конструирования и выбора компонентов должен быть таким, чтобы изменения ЧУВСТВИТЕЛЬНОСТИ не привели к увеличению требуемого предела. Если для достижения определенного качества исполнения используются компоненты, о которых известно, что они имеют плохую стабильность, должен быть введен один или более ПРИБОР КОНТРОЛЯ СТАБИЛЬНОСТИ или ПРИБОР КОНТРОЛЯ СТАБИЛЬНОСТИ следует использовать вместе с ИЗМЕРИТЕЛЬНЫМ КОМПЛЕКСОМ, чтобы проверить и откорректировать ЧУВСТВИТЕЛЬНОСТЬ.
2 Если за время испытаний отклонение ЧУВСТВИТЕЛЬНОСТИ будет более +/- 1,0% за год, ИЗГОТОВИТЕЛЬ должен информировать ПОЛЬЗОВАТЕЛЕЙ о необходимости повторной калибровки. ИЗГОТОВИТЕЛЬ должен также пытаться модернизировать ИЗМЕРИТЕЛЬНЫЙ КОМПЛЕКС для получения требуемой долговременной стабильности.
За период времени между 15 мин и 6 ч после включения ПРЕДЕЛЫ ИЗМЕНЕНИЯ ЧУВСТВИТЕЛЬНОСТИ должны быть +/- 0,5% значений ЧУВСТВИТЕЛЬНОСТИ через 1 ч после включения.
Соответствие этому требованию проверяют с помощью следующего испытания:
a) проверяют, что ИЗМЕРИТЕЛЬНЫЙ КОМПЛЕКС был отключен, по крайней мере, 2 ч перед началом испытания;
b) включают ИЗМЕРИТЕЛЬНЫЙ КОМПЛЕКС и измеряют его ЧУВСТВИТЕЛЬНОСТЬ по ДОЗЕ (МОЩНОСТИ ДОЗЫ) за 15 мин, 1 ч и 6 ч путем подачи постоянного известного заряда (тока), приблизительно равного заряду, обычно подаваемому во время калибровки ИЗМЕРИТЕЛЬНОГО КОМПЛЕКСА.
6.1.6 Электромагнитная совместимость
Примечания
1 "Комплект оборудования" означает, что ИЗМЕРИТЕЛЬНЫЙ КОМПЛЕКС соединяется с БЛОКОМ КАМЕРЫ того типа, который обычно используют с ИЗМЕРИТЕЛЬНЫМ КОМПЛЕКСОМ.
2 Соответствующий ПРИБОР КОНТРОЛЯ СТАБИЛЬНОСТИ может подключаться к КОМПЛЕКТУ КАМЕРЫ для создания сигнального тока во время этих измерений.
6.1.6.1 Электростатический разряд
Максимальные показания на дисплее (как мгновенные, так и постоянные) или выходная информация из-за электростатического разряда должны быть менее, чем пределы, указанные в
таблице 3c.
Соответствие этому требованию проверяют наблюдением и записью на дисплее показаний и любой информации на выходных зажимах при разряде соответствующего испытательного генератора, описанного в МЭК 61000-4-2, по крайней мере, пять раз, на те различные внешние части комплекта оборудования, которые могут касаться оператора во время обычных измерений (то есть на те части КАМЕРЫ и ИЗМЕРИТЕЛЬНОГО КОМПЛЕКСА, которые обычно подвергают воздействию пучка излучения), когда прибор устанавливают в условия "измерения", причем, если диапазон выбирают, то берут наиболее чувствительный диапазон. Электростатический разряд должен быть эквивалентен разряду от емкости 150 пФ, заряженной до напряжения 6 кВ и разряжающейся через сопротивление 330 Ом (строго уровень равен 3 для контактного разряда, как описано в МЭК 61000-4-2). Если испытывают приборы с изолированными поверхностями, следует использовать метод воздушного разряда с напряжением 8 кВ (строго уровень 3).
Примечание - Допускается перемещение ИЗМЕРИТЕЛЬНОГО КОМПЛЕКСА, которое не приведет к неправильным показаниям ДОЗЫ/МОЩНОСТИ ДОЗЫ.
6.1.6.2 Излучаемые электромагнитные поля
Максимальные индицируемые показания (как мгновенные, так и постоянные) дисплея или выходной информации при воздействии электромагнитных полей должны быть меньше пределов, данных в
таблице 3c (как для измерителей ДОЗЫ, так и измерителей МОЩНОСТИ ДОЗЫ).
Соответствие этому требованию проверяют наблюдением и регистрацией показаний дисплея и любой информации на выходных зажимах для ДОЗИМЕТРА, установленного на самый чувствительный диапазон (если диапазон выбирают) при проведении испытаний как с радиочастотным полем вокруг комплекта оборудования, так и без него.
Сила электромагнитного поля должна быть 3 В/м в частотном диапазоне от 80 МГц до 1 ГГц с шагом 1% (строго уровень 2, как описано в ГОСТ Р 51317.4.3). Для приборов с питанием от батарей, для которых не применимы требования 6.1.6.3, также должны проводиться испытания на 27 МГц. Для уменьшения количества измерений, необходимых для подтверждения соответствия этому требованию, испытания на частотах (27), 80, 90, 100, 110, 120, 130, 140, 150, 160, 180, 200, 220, 240, 260, 290, 320, 350, 380, 420, 460, 510, 560, 620, 680, 750, 820, 900 и 1000 МГц с силой поля 10 В/м можно проводить только в одной ориентации. Если любое изменение ЧУВСТВИТЕЛЬНОСТИ будет больше, чем одна третья часть пределов, приведенных в таблице 3c на одной из перечисленных частот, должны быть проведены дополнительные испытания с ДОЗИМЕТРОМ во всех трех ориентациях, описанных в ГОСТ Р 51317.4.3, в пределах +/- 5% этой частоты с шагом около 1% и с силой поля 3 В/м.
6.1.6.3 Сопровождающие нарушения, вызываемые всплесками и радиочастотами
Максимальные значения индицируемых показаний (как мгновенные, так и постоянные) дисплея или выходной информации из-за нарушений, вызванных всплесками и радиочастотами, должны быть меньше, чем пределы, приведенные в
таблице 3c.
Для приборов, питаемых от сети, соответствие проверяют наблюдением и регистрацией показаний дисплея и любой информации на выходных зажимах при проведении измерений на самом чувствительном диапазоне (если диапазон выбирают) с сопровождающими нарушениями, вызванными всплесками (МЭК 61000-4-4), или без них и сопровождающими нарушениями, вызванными радиочастотными полями (МЭК 61000-4-6). В обоих случаях это должен быть строго уровень 3, как описано в указанных стандартах. Для этих измерений можно использовать радиоактивный контрольный прибор.
Максимальные показания (как мгновенные, так и постоянные) дисплея или выходной информации при воздействии волн должны быть менее пределов данных, в
таблице 3c.
Для приборов, питаемых от сети, соответствие проверяют наблюдением и регистрацией показаний дисплея и любой другой информации на выходных зажимах, когда измерения проводят на самом чувствительном диапазоне (если диапазон выбирают) как с нарушениями, вызванными волнами (ГОСТ Р 51317.4.5), так и без них. Это должен быть строго уровень 3 по ГОСТ Р 51317.4.5.
6.1.6.5 Скачки напряжения и короткие всплески
Максимальные показания (как мгновенные, так и постоянные) дисплея или выходная информация при воздействии скачков напряжения и коротких всплесков должны быть менее, чем пределы, указанные в
таблице 3c.
Для приборов, питаемых от сети, соответствие проверяют наблюдением и регистрацией показаний дисплея и любой другой информации на выходных зажимах при измерениях на самом чувствительном диапазоне (если диапазон выбирают) с возмущениями, вызванными скачками напряжения и короткими всплесками и без них, как описано в МЭК 61000-4-11, кроме тех испытаний, которые описаны в 6.5.2 (изменения напряжения).
6.2 Частные требования к исполнению ДОЗИМЕТРОВ
ДРЕЙФ НУЛЯ ИЗМЕРИТЕЛЬНОГО КОМПЛЕКСА не должен превышать +/- 1,0% (+/- 0,5%) скорости изменения ИНДИЦИРУЕМОГО ЗНАЧЕНИЯ, вызываемого минимальным эффективным входным током или МОЩНОСТЬЮ ДОЗЫ.
Соответствие этому требованию проверяют с помощью следующего испытания:
a) если существует порог входного тока, ниже которого ИЗМЕРИТЕЛЬНЫЙ КОМПЛЕКС не может работать, устанавливают этот порог на нуль (8.2.4);
b) отсоединяют ИОНИЗАЦИОННУЮ КАМЕРУ от входного разъема и защищают этот разъем проводящим заземленным экраном. При подсоединении к входному разъему колпачок с металлическим напылением образует защиту;
c) проверяют, что уровень рассеянного излучения на ИЗМЕРИТЕЛЬНОМ КОМПЛЕКСЕ меньше 7,5 мкЗв/ч и что ИЗМЕРИТЕЛЬНЫЙ КОМПЛЕКС был выключен, по крайней мере, 1 ч перед началом испытания;
d) включают ИЗМЕРИТЕЛЬНЫЙ КОМПЛЕКС, если диапазоны определены, выбирают наиболее чувствительный диапазон измерения ДОЗЫ и продолжают испытание в течение 15 мин;
e) следуют инструкциям ИЗГОТОВИТЕЛЯ при проведении измерений таким, как регулировка нуля и т.д. Ставят ИЗМЕРИТЕЛЬНЫЙ КОМПЛЕКС в режим "измерение" и отмечают показание ДОЗЫ на дисплее в этом положении. Записывают значение заряда, соответствующее этому показанию как Q1 (Кл) (если шкала дисплея проградуирована в единицах ДОЗЫ (Гр), значение эквивалентного заряда может быть получено делением показания дисплея на значение ЧУВСТВИТЕЛЬНОСТИ, измеренное в 6.1.5);
f) поддерживают ИЗМЕРИТЕЛЬНЫЙ КОМПЛЕКС в положении "измерение", ждут в течение времени измерения T (с), затем снова записывают заряд, эквивалентный показанию дисплея. Записывают это значение как Q2 (Кл). Время T (с) не должно быть меньше, чем время, затраченное для минимального эффективного входного тока, чтобы получить минимальное эффективное ИНДИЦИРУЕМОЕ ЗНАЧЕНИЕ:
g) вычисляют ДРЕЙФ НУЛЯ в положении "измерение" Dm, А, используя равенство
Dm = (Q2 - Q1)/T;
h) выражают этот ДРЕЙФ НУЛЯ как процент от минимального эффективного входного тока на выбранном диапазоне;
i) повторяют испытания по перечислениям e) - h) в течение 1 ч и 6 ч после включения ИЗМЕРИТЕЛЬНОГО БЛОКА таким образом получают два значения для ДРЕЙФА НУЛЯ. Значение ДРЕЙФА НУЛЯ, приводимое в ЭКСПЛУАТАЦИОННЫХ ДОКУМЕНТАХ, должно быть максимальным из трех полученных значений.
СМЕЩЕНИЕ НУЛЯ ИЗМЕРИТЕЛЬНОГО КОМПЛЕКСА не должно превышать +/- 1,0% (+/- 0,5%) минимального эффективного ИНДИЦИРУЕМОГО ЗНАЧЕНИЯ для любого диапазона при переключении:
- от положения "нуль" или "установка на нуль" до положения "измерение" (применительно ко всем ДОЗИМЕТРАМ);
- от положения "измерение" до положения "считывание" (применительно к ДОЗИМЕТРАМ с положением "считывание").
Соответствие этому требованию проверяют с помощью следующего испытания:
a) если существует порог входного тока, ниже которого нельзя проводить измерения с помощью ИЗМЕРИТЕЛЬНОГО КОМПЛЕКСА, устанавливают этот порог на нуль (8.2.4);
b) отсоединяют ИОНИЗАЦИОННУЮ КАМЕРУ от входного разъема и защищают этот разъем проводящим заземленным экраном. Колпачок с металлическим напылением, присоединенный к входному разъему, образует защиту;
c) выключают ИЗМЕРИТЕЛЬНЫЙ КОМПЛЕКС, по крайней мере, на 1 ч перед началом испытаний;
d) включают ИЗМЕРИТЕЛЬНЫЙ КОМПЛЕКС и, если выбраны диапазоны, используют наиболее чувствительный диапазон измерения ДОЗЫ и продолжают испытание по перечислению e) в течение 15 мин;
e) следуют инструкциям ИЗГОТОВИТЕЛЯ таким, как регулировка нуля и т.д. Отмечают показание ДОЗЫ на дисплее в положении "нуль" (или "установка на нуль"). Записывают значение заряда, эквивалентного этому показанию как Q1 (Кл). Если положение "нуль" или "установка на нуль" являются мгновенными значениями, считают Q1 (Кл) нулем (если дисплей градуирован в единицах ДОЗЫ (Гр), значение эквивалентного заряда может быть получено делением показания дисплея на значение ЧУВСТВИТЕЛЬНОСТИ, измеренной в 6.1.5);
f) устанавливают ИЗМЕРИТЕЛЬНЫЙ КОМПЛЕКС в положение "измерение", затем снова отмечают заряд, эквивалентный показанию дисплея. Записывают это значение как Q2 (Кл);
g) если ИЗМЕРИТЕЛЬНЫЙ КОМПЛЕКС имеет положение "считывание", переключают его в это положение, затем снова записывают заряд, эквивалентный показанию, считанному с дисплея. Записывают это показание как Q3 (Кл);
h) рассчитывают СМЕЩЕНИЕ НУЛЯ Ssz,m, Кл, вызванное переключением от "нуля" до положения "измерение", используя равенство
Ssz,m = Q2 - Q1;
i) если ИЗМЕРИТЕЛЬНЫЙ КОМПЛЕКС имеет положение "считывание", рассчитывают СМЕЩЕНИЕ НУЛЯ Sm,r, Кл, вызываемое переключением из положения "измерение" в положение "считывание", используя следующее равенство
Sm,r = Q3 - Q2;
j) выражают СМЕЩЕНИЕ НУЛЯ в процентах от минимального эффективного ИНДИЦИРУЕМОГО ЗНАЧЕНИЯ, выраженного в кулонах, на выбранном диапазоне;
k) повторяют испытания по перечислениям e) - j) через 1 ч и 6 ч после включения ИЗМЕРИТЕЛЬНОГО КОМПЛЕКСА, получив таким образом два значения для СМЕЩЕНИЯ НУЛЯ. Значение каждого типа СМЕЩЕНИЯ НУЛЯ, указанное в ЭКСПЛУАТАЦИОННОЙ ДОКУМЕНТАЦИИ, должно быть максимальным из трех полученных значений.
В пределах эффективного диапазона шкалы показаний на каждом диапазоне ДОЗЫ ПРЕДЕЛЫ ИЗМЕНЕНИЯ ЧУВСТВИТЕЛЬНОСТИ из-за НЕЛИНЕЙНОСТИ ИЗМЕРИТЕЛЬНОГО КОМПЛЕКСА должны быть +/- 0,5%.
Примечание - НЕЛИНЕЙНОСТЬ ИЗМЕРИТЕЛЬНОГО КОМПЛЕКСА должна отличаться от НЕЛИНЕЙНОСТИ, вызываемой ИОНИЗАЦИОННОЙ КАМЕРОЙ.
Метод проверки соответствия этому требованию исполнения зависит от того, как работает ИЗМЕРИТЕЛЬНЫЙ КОМПЛЕКС:
1) если диапазоны выбраны, НЕЛИНЕЙНОСТЬ должна быть измерена:
- в пяти равномерно расположенных точках каждого диапазона ДОЗЫ;
- на наиболее чувствительном диапазоне ДОЗЫ в положении минимума эффективной шкалы показаний;
- на наименее чувствительном диапазоне ДОЗЫ в положении максимума эффективной шкалы показаний;
2) при автоматическом выборе диапазона или при единственном диапазоне НЕЛИНЕЙНОСТЬ должна быть измерена на:
- пяти равномерно расположенных точках на декаде;
- в положении минимума и максимума эффективной шкалы показаний.
Значения НЕЛИНЕЙНОСТИ должны быть измерены проведением следующего испытания:
a) переключают поляризованное напряжение на нуль и подсоединяют калиброванный источник заряда, измеряющегося линейно, к входному разъему. При выборе диапазона выбирают наиболее чувствительный диапазон ДОЗЫ;
b) включают ИЗМЕРИТЕЛЬНЫЙ КОМПЛЕКС и ждут не менее ВРЕМЕНИ СТАБИЛИЗАЦИИ перед проведением испытания по перечислению c);
c) следуют инструкциям ИЗГОТОВИТЕЛЯ для проведения измерений таких, как регулировка нуля и т.д.;
d) включают ИЗМЕРИТЕЛЬНЫЙ КОМПЛЕКС в положение "измерение", затем вводят точно известный заряд q0,5 (Кл), достаточный, чтобы дать показание около 0,5 полной шкалы считывания установленного диапазона. Отмечают это показание как m0,5 (единиц ДОЗЫ). Повторно устанавливают ИЗМЕРИТЕЛЬНЫЙ КОМПЛЕКС в положение "нуль".
Примечание - (q0,5/m0,5) - калибровочный коэффициент для этого диапазона;
e) устанавливают ИЗМЕРИТЕЛЬНЫЙ КОМПЛЕКС в положение "измерение", затем подают точно известный заряд q1 (Кл), достаточный, чтобы получить показание на первой точке шкалы или около нее. Отмечают это показание как m1 (единиц ДОЗЫ). Повторно устанавливают ИЗМЕРИТЕЛЬНЫЙ КОМПЛЕКС в положение "нуль";
f) рассчитывают и записывают d1 - процентное отклонение от линейности на первой точке шкалы, используя равенство
d1 = 100{(m1·q0,5)/(m0,5·q1) - 1};
g) повторяют действия по перечислениям e) и f) для показаний на других точках шкалы для получения значений для d2, d3 и т.д;
h) для приборов с выбираемыми диапазонами ДОЗ повторяют испытания по перечислениям c) - g) для каждого диапазона ДОЗЫ, имеющегося в ИЗМЕРИТЕЛЬНОМ КОМПЛЕКСЕ;
i) значение НЕЛИНЕЙНОСТИ для ИЗМЕРИТЕЛЬНОГО КОМПЛЕКСА должно быть максимальным из значений d1, d2, d3 и т.д.
6.2.4 Изменяющийся диапазон
Примечание - Это требование относится к ИЗМЕРИТЕЛЬНОМУ КОМПЛЕКСУ, включающему переключатель диапазона, который изменяет масштабный коэффициент прибора путем установки отношений и/или переключений между диапазонами ДОЗЫ и МОЩНОСТИ ДОЗЫ. Если ИЗМЕРИТЕЛЬНЫЙ КОМПЛЕКС подключен к более чем одной ИОНИЗАЦИОННОЙ КАМЕРЕ и имеет переключатель диапазона для того, чтобы выбрать масштабный коэффициент прибора в соответствии с используемой КАМЕРОЙ, требования к изменению диапазона не применимы к выбору КАМЕРЫ, если прибор имеет калибровку с использованием каждой КАМЕРЫ с переключателем диапазона в положении, соответствующем этой КАМЕРЕ.
ПРЕДЕЛЫ ИЗМЕНЕНИЯ ЧУВСТВИТЕЛЬНОСТИ из-за изменений от показания, равного 0,5 полной шкалы диапазона ДОЗЫ, на котором калибруется ДОЗИМЕТР, до показания шкалы 0,5 полной шкалы каждого из других диапазонов ДОЗЫ, имеющихся в ИЗМЕРИТЕЛЬНОМ КОМПЛЕКСЕ, должны быть +/- 0,5% или, если ИЗМЕНЕНИЕ ЧУВСТВИТЕЛЬНОСТИ из-за изменения диапазона превышают 0,5% для каждого диапазона ДОЗЫ, ЭКСПЛУАТАЦИОННЫЕ ДОКУМЕНТЫ должны содержать КОРРЕКТИРУЮЩИЙ КОЭФФИЦИЕНТ для корректировки ЧУВСТВИТЕЛЬНОСТИ ДОЗИМЕТРА на 0,5 полной шкалы на этом диапазоне. ОБЩАЯ НЕОПРЕДЕЛЕННОСТЬ в значении этого КОРРЕКТИРУЮЩЕГО КОЭФФИЦИЕНТА не должна превышать 0,5%.
Соответствие этому требованию в отношении изменения диапазона ДОЗ проверяют проведением следующих расчетов, используя результат испытаний НЕЛИНЕЙНОСТИ (6.2.3):
a) КОРРЕКТИРУЮЩИЙ КОЭФФИЦИЕНТ для диапазона ДОЗЫ, на котором откалиброван ИЗМЕРИТЕЛЬНЫЙ КОМПЛЕКС, должен быть равен 1;
b) подсчитывают КОРРЕКТИРУЮЩИЕ КОЭФФИЦИЕНТЫ для других диапазонов ДОЗЫ, используя отношение
RA = (q0,5A·m0,5B)/(q0,5B·m0,5A),
где RA - корректирующий коэффициент для ДОЗЫ диапазона A.
Корректирующий коэффициент для ДОЗЫ диапазона B равен 1,000, т.е. диапазон B - это диапазон ДОЗЫ, на котором калибруют ИЗМЕРИТЕЛЬНЫЙ КОМПЛЕКС;
q0,5A - значение q0,5 для диапазона A, полученное в 6.2.3;
q0,5B - значение q0,5 для диапазона B, полученное в 6.2.3;
m0,5A - значение m0,5 для диапазона A, полученное в 6.2.3;
m0,5B - значение m0,5 для диапазона B, полученное в 6.2.3.
Примечание - Т.к. типичный ДОЗИМЕТР может иметь четыре диапазона, каждый с коэффициентом 10, используемый источник заряда должен быть линейным за пределами динамического диапазона 1000, если требуемая погрешность корректирующих коэффициентов для диапазона установлена;
c) для каждого диапазона ДОЗЫ рассчитывают ИЗМЕНЕНИЕ ЧУВСТВИТЕЛЬНОСТИ, %, используя отношение
VA = 100 (1 - RA),
где VA - изменение чувствительности из-за изменения шкалы показания на 0,5 полной шкалы на калиброванном диапазоне ДОЗЫ по отношению к показанию на 0,5 полной шкалы на диапазоне ДОЗЫ A.
Примечание - Это требование применимо к ИЗМЕРИТЕЛЬНОМУ КОМПЛЕКСУ, который измеряет заряд путем применения триггерной схемы для заряда и разряда через емкость. "Мертвое время" - это интервал в конце каждого цикла, во время которого эта интегрирующая емкость разряжается. Если один (или более) полный цикл (циклы) вводятся в измерение, мертвое время будет влиять на ЧУВСТВИТЕЛЬНОСТЬ прибора.
В пределах НОМИНАЛЬНОГО ДИАПАЗОНА входных токов или МОЩНОСТЕЙ ДОЗ:
- ПРЕДЕЛЫ ИЗМЕНЕНИЯ ЧУВСТВИТЕЛЬНОСТИ из-за влияния мертвого времени должны быть +/- 0,5% или,
- если ИЗМЕНЕНИЕ ЧУВСТВИТЕЛЬНОСТИ превышает 0,5%, в ЭКСПЛУАТАЦИОННЫХ ДОКУМЕНТАХ должны приводиться КОРРЕКТИРУЮЩИЕ КОЭФФИЦИЕНТЫ, чтобы скорректировать ЧУВСТВИТЕЛЬНОСТЬ на влияние мертвого времени. ОБЩАЯ НЕОПРЕДЕЛЕННОСТЬ КОРРЕКТИРУЮЩИХ КОЭФФИЦИЕНТОВ не должна превышать 0,5%.
Соответствие этому требованию проверяют измерением средней ЧУВСТВИТЕЛЬНОСТИ, по крайней мере, за пять циклов и не менее чем при пяти значениях входных токов, равномерно расположенных на НОМИНАЛЬНОМ ДИАПАЗОНЕ входных токов. Для того, чтобы ограничить влияние НЕЛИНЕЙНОСТИ ЧУВСТВИТЕЛЬНОСТИ КАМЕРЫ, входной ток должен обеспечиваться от источника переменного тока с известной точностью.
Минимальный НОМИНАЛЬНЫЙ ДИАПАЗОН должен быть от +15 до +35 °C.
В пределах НОМИНАЛЬНОГО ДИАПАЗОНА:
- ПРЕДЕЛЫ ИЗМЕРЕНИЯ ЧУВСТВИТЕЛЬНОСТИ должны быть +/- 1,0%;
- ДРЕЙФ НУЛЯ не должен изменяться от значения при эталонной температуре +20 °C более чем на +/- 1,0% скорости изменения ИНДИЦИРУЕМОГО ЗНАЧЕНИЯ, создаваемого минимальным эффективным входным током или МОЩНОСТЬЮ ДОЗЫ.
Соответствие этому требованию проверяют измерением следующих ЭКСПЛУАТАЦИОННЫХ ХАРАКТЕРИСТИК на наименьшем и наибольшем значениях температуры на НОМИНАЛЬНОМ ДИАПАЗОНЕ и, по крайней мере, на одной из других температур, равной или близкой эталонной температуре:
a) ЧУВСТВИТЕЛЬНОСТЬ при воздействии постоянного входного заряда, при котором получают приблизительное ЭТАЛОННОЕ ИНДИЦИРОВАННОЕ ЗНАЧЕНИЕ на каждом диапазоне ДОЗЫ;
b) ДРЕЙФ НУЛЯ.
Во время температурных испытаний влажность должна поддерживаться в пределах диапазона СТАНДАРТНЫХ ИСПЫТАТЕЛЬНЫХ ЗНАЧЕНИЙ.
Минимальный НОМИНАЛЬНЫЙ ДИАПАЗОН влажности воздуха должен быть от 20% до 80% относительной влажности, но только для условий, при которых абсолютная влажность менее 20 г·м-3.
В пределах НОМИНАЛЬНОГО ДИАПАЗОНА утечка заряда должна быть менее +/- 1% минимального эффективного входного тока.
Соответствие этому требованию проверяют с помощью следующего испытания:
a) выдерживают ИЗМЕРИТЕЛЬНЫЙ КОМПЛЕКС при условиях, близких 20 г/м-3, по крайней мере, 12 ч перед проведением испытания.
Примечание - Значение абсолютной влажности, близкое 20 г/м
-3, может быть получено при любых из следующих условий:
Относительная влажность, % | Температура воздуха, °C |
80 | +25,6 |
75 | +25 |
60 | +30 |
50 | +35 |
b) подключают ИЗМЕРИТЕЛЬНЫЙ КОМПЛЕКС к входу самого высокого поляризованного напряжения и выбирают самый низкий (наиболее чувствительный) диапазон разряда;
6.2.8 Влияние рассеянного излучения
Примечание - Это требование относится к тем частям ИЗМЕРИТЕЛЬНОГО КОМПЛЕКСА, которые обычно находятся вне процедурной комнаты, т.е. находятся при достаточно низком уровне воздействия излучения на персонал во время испытаний.
Минимальный НОМИНАЛЬНЫЙ ДИАПАЗОН эквивалентной мощности дозы рассеянного излучения - от 0 до 0,2 мЗв/ч.
В пределах НОМИНАЛЬНОГО ДИАПАЗОНА значение ДРЕЙФА НУЛЯ ДОЗИМЕТРА не должно изменяться от значения, измеренного при рассеянном излучении менее 7,5 мкЗв/ч, более чем +/- 1,0% скорости изменения ИНДИЦИРУЕМОГО ЗНАЧЕНИЯ, создаваемого минимальным НОМИНАЛЬНЫМ входным током или МОЩНОСТЬЮ ДОЗЫ.
Соответствие этому требованию проверяют с помощью следующего испытания:
a) помещают ИЗМЕРИТЕЛЬНЫЙ КОМПЛЕКС в однородное поле фотонного излучения известной эквивалентной МОЩНОСТИ ДОЗЫ (мкЗв/ч), равной или большей, чем максимальная номинальная эквивалентная мощность дозы рассеянного излучения. Для ИЗМЕРИТЕЛЬНОГО КОМПЛЕКСА, работающего с неизвестными ИОНИЗАЦИОННЫМИ КАМЕРАМИ, энергия рассеянного излучения должна быть такой же, как и у гамма-излучения Co-60, в противном случае она должна быть наибольшей номинальной ЭНЕРГИЕЙ излучения.
Примечание - Это испытание проводят на больших эквивалентных мощностях доз от 1 до 10 мЗв/ч и результаты могут быть линейно экстраполированы, при необходимости, до максимальной нормированной эквивалентной мощности дозы;
c) вычитают значение ДРЕЙФА НУЛЯ, измеренное в 6.2.1 (проводимое при СТАНДАРТНЫХ УСЛОВИЯХ ИСПЫТАНИЙ с нулевым рассеянным излучением) из значения, измеренного в перечислениях a) и b), приводимых выше, чтобы получить ИЗМЕНЕНИЕ ДРЕЙФА НУЛЯ, вызываемое увеличением эквивалентной мощности дозы рассеянного излучения от его ЭТАЛОННОГО ЗНАЧЕНИЯ до максимального НОМИНАЛЬНОГО ЗНАЧЕНИЯ.
Примечание - Это требование применимо только к ДОЗИМЕТРАМ, сохраняющим заряд на конденсаторе и свободным от влияния саморазряда конденсатора.
Скорость разряда не должна превышать +/- 0,5% минимального эффективного входного тока.
Соответствие этому требованию проверяют с помощью следующего испытания:
a) если имеется порог входного тока, ниже которого нельзя проводить измерения, используя ИЗМЕРИТЕЛЬНЫЙ КОМПЛЕКС, устанавливают этот порог на нуль (8.2.4). Кроме того, если измерения автоматически заканчивают на ИЗМЕРИТЕЛЬНОМ КОМПЛЕКСЕ, он должен быть установлен в положение "измерение" (8.2.5);
b) определяют, что ИЗМЕРИТЕЛЬНЫЙ КОМПЛЕКС был включен, по крайней мере, в течение ВРЕМЕНИ СТАБИЛИЗАЦИИ (6.1.5) перед началом испытания по перечислению d);
c) при выборе диапазонов устанавливают ИЗМЕРИТЕЛЬНЫЙ КОМПЛЕКС на наиболее чувствительный диапазон измерения ДОЗЫ;
d) при выборе диапазонов подают заряд, достаточный, чтобы получить показание не менее 90% полной шкалы показаний на установленном диапазоне ДОЗЫ. Если диапазоны не выбирают, подают заряд, достаточный, чтобы получить 90% максимального напряжения, которое может быть на конденсаторе первоначально для получения показания на полной шкале или при повторной установке конденсатора;
e) поддерживают ИЗМЕРИТЕЛЬНЫЙ КОМПЛЕКС в состоянии измерения, отсоединив от входного разъема сигнал и другие внешние пути утечки. Экранируют этот разъем проводящим заземленным экраном;
f) ждут 5 мин, затем наблюдают на дисплее измерение показания ДОЗЫ за период времени не менее 5 мин;
g) рассчитывают скорость разряда в амперах, затем выражают ее в процентах минимального номинального входного тока;
6.2.10 Зависимость МОЩНОСТИ ДОЗЫ от ДОЗИМЕТРОВ
ПРЕДЕЛ ИЗМЕРЕНИЯ ЧУВСТВИТЕЛЬНОСТИ ИЗМЕРИТЕЛЬНОГО КОМПЛЕКСА из-за измерений МОЩНОСТИ ДОЗЫ не должен превышать +/- 0,5% в пределах НОМИНАЛЬНОГО ДИАПАЗОНА входных токов или МОЩНОСТЕЙ ДОЗЫ.
Соответствие этому требованию проверяют с помощью источника заряда, подсоединенного к входу. Эта схема должна быть типа, описанного в 4.3.7.3, перечисление a) 1) или 4.3.7.3, перечисление a) 2), кроме того, необходимо, чтобы можно было изменить значение входного тока следующим образом:
- если используют схему емкостного разряда, должны быть два различных значения ограничивающего сопротивления:
1) одно сопротивление, чтобы получить максимальный ток, равный или незначительно больший чем 1,5 максимального номинального или эффективного входного тока,
2) другое сопротивление, чтобы получить максимальный ток, равный или незначительно меньший чем 0,15 максимального номинального или эффективного входного тока;
- если используют схему постоянного тока, то должны генерироваться два различных тока:
1) постоянный ток, равный или незначительно больший, чем максимальный номинальный или эффективный входной ток,
2) постоянный ток, равный или незначительно меньший чем 0,1 максимального номинального или эффективного входного тока.
Примечание - При описании настоящего испытания слова "незначительно меньший" и "незначительно больший" применяют, чтобы допустить возможность изменения компонентов источника заряда, но в пределах 10%.
Используя этот источник заряда, проводят следующие испытания:
a) переключают поляризованное напряжение на нуль, соединяют калиброванный источник заряда с входным разъемом. При выборе диапазона выбирают наиболее чувствительный диапазон ДОЗЫ;
b) включают ИЗМЕРИТЕЛЬНЫЙ КОМПЛЕКС и ждут, по крайней мере, в течение ВРЕМЕНИ СТАБИЛИЗАЦИИ перед продолжением испытаний по перечислению c);
c) следуют инструкциям ИЗГОТОВИТЕЛЯ для проведения измерений таких, как установка нуля;
d) в зависимости от того, является ли источник заряда прибором постоянного тока или прибором с разрядом емкости, устанавливают:
- постоянный ток, равный или незначительно больший, чем максимальный номинальный или эффективный входной ток, или
- максимальный ток, равный или незначительно больший чем 1,5 максимального номинального или эффективного входного тока.
Подают точно известный заряд q1 (Кл), достаточный, чтобы получить показание, равное или близкое 0,5 полной шкалы показаний. Записывают это показание как m1 (единиц ДОЗЫ);
e) в зависимости от того, является ли источник заряда прибором постоянного тока или прибором с разрядом емкости, устанавливают:
- постоянный ток, равный или незначительно меньший чем 0,1 максимального номинального или эффективного входного тока, или
- максимальный ток, равный или незначительно меньший чем 0,15 максимального номинального или эффективного входного тока.
Подают точно известный заряд q2 (Кл), достаточный, чтобы получить показание, равное или близкое 0,5 полной шкалы показаний. Записывают это значение как m2 (единиц ДОЗЫ);
f) рассчитывают и записывают d1,2, отклонение в процентах из-за МОЩНОСТИ ДОЗЫ, используя равенство
d1,2 = 100{[(m1·q2)/(m2·q1)] - 1};
g) если диапазоны выбирают, повторяют испытания по перечислениям c) - f) для каждого из других диапазонов ДОЗЫ ИЗМЕРИТЕЛЬНОГО КОМПЛЕКСА.
6.3 Частные требования к исполнению измерителя МОЩНОСТИ ДОЗЫ
ДРЕЙФ НУЛЯ ИЗМЕРИТЕЛЬНОГО КОМПЛЕКСА за 10 мин не должен превышать +/- 1,0% (+/- 0,5%) ИНДИЦИРУЕМОГО ЗНАЧЕНИЯ, создаваемого минимальным эффективным входным током или МОЩНОСТЬЮ ДОЗЫ.
Соответствие этому требованию проверяют с помощью следующего испытания:
a) если существует порог входного тока, ниже которого нельзя проводить испытания, используя ИЗМЕРИТЕЛЬНЫЙ КОМПЛЕКС, устанавливают этот порог на нуль (8.2.4);
b) отсоединяют ИОНИЗАЦИОННУЮ КАМЕРУ от входного разъема и защищают этот разъем проводящим заземленным экраном. Подсоединенный к входному разъему колпачок с металлическим напылением становится надежной защитой;
c) отключают ИЗМЕРИТЕЛЬНЫЙ КОМПЛЕКС, по крайней мере, за 1 ч до начала испытания;
d) включают ИЗМЕРИТЕЛЬНЫЙ КОМПЛЕКС. При выборе диапазонов выбирают наименьший диапазон МОЩНОСТИ ДОЗЫ и продолжают испытания по перечислению e) в течение 15 мин;
e) следуют инструкциям ИЗГОТОВИТЕЛЯ при проведении измерений таким, как установка на нуль. Записывают показание МОЩНОСТИ ДОЗЫ на дисплее в режиме "измерение";
f) при нахождении ИЗМЕРИТЕЛЬНОГО КОМПЛЕКСА в режиме "измерение" ждут 10 мин, затем снова записывают показание МОЩНОСТИ ДОЗЫ на дисплее;
g) рассчитывают ДРЕЙФ НУЛЯ вычитанием ИНДИЦИРУЕМОГО ЗНАЧЕНИЯ МОЩНОСТИ ДОЗЫ, записанного в перечислении e), из значения, записанного в перечислении f);
h) используют для расчета (выбранного диапазона МОЩНОСТИ ДОЗЫ) индицированного значения, создаваемого минимальным номинальным входным током, точное отношение, определенное в 6.1.5, между значением тока, подаваемого на вход, и значением МОЩНОСТИ ДОЗЫ на дисплее;
i) используя значения, рассчитанные в перечислениях g) и h), выражают ДРЕЙФ НУЛЯ как процент от ИНДИЦИРУЕМОГО ЗНАЧЕНИЯ, создаваемого минимальным эффективным входным током, или МОЩНОСТИ ДОЗЫ на выбранном диапазоне;
j) повторяют испытания по перечислениям e) - i) после того, как ИЗМЕРИТЕЛЬНЫЙ КОМПЛЕКС был включен, через 1 ч и 6 ч, получив еще два значения для ДРЕЙФА НУЛЯ. Значение ДРЕЙФА НУЛЯ, установленное в ЭКСПЛУАТАЦИОННЫХ ДОКУМЕНТАХ, должно быть максимальным из трех полученных значений.
СМЕЩЕНИЕ НУЛЯ ИЗМЕРИТЕЛЬНОГО КОМПЛЕКСА не должно превышать +/- 1,0% (+/- 0,5%) ИНДИЦИРУЕМОГО ЗНАЧЕНИЯ, создаваемого минимальным эффективным входным током или МОЩНОСТЬЮ ДОЗЫ, при переключении из положения "установка на нуль" или "нуль" в положение "измерение" с отсоединенным от ИОНИЗАЦИОННОЙ КАМЕРЫ и экранированным входом.
Соответствие этому требованию проверяют с помощью следующего испытания:
a) если существует порог входного тока, ниже которого нельзя проводить измерения, используя ИЗМЕРИТЕЛЬНЫЙ КОМПЛЕКС, устанавливают этот порог на нуль (8.2.4);
b) отсоединяют ИОНИЗАЦИОННУЮ КАМЕРУ от входного разъема и защищают этот разъем проводящим заземленным экраном. Присоединенный к входному разъему колпачок с металлическим напылением становится надежной защитой;
c) отключают ИЗМЕРИТЕЛЬНЫЙ КОМПЛЕКС, по крайней мере, на 1 ч перед началом испытания;
d) включают ИЗМЕРИТЕЛЬНЫЙ КОМПЛЕКС. При выборе диапазонов выбирают наиболее чувствительный диапазон МОЩНОСТИ ДОЗЫ и проводят испытание по перечислению e) в течение 15 мин;
e) следуют инструкциям ИЗГОТОВИТЕЛЯ при проведении измерения такого, как установка нуля. Записывают показание МОЩНОСТИ ДОЗЫ на дисплее в положении "нуль" (или "установка на нуль"). Записывают значение тока, соответствующего этому показанию, как I1 (А). Если положения "нуль" и "установка на нуль" являются мгновенными состояниями, принимают I1 (А) равным нулю (если дисплей имеет шкалу в единицах МОЩНОСТИ ДОЗЫ, например в греях в минуту, значение эквивалентного тока может быть получено, во-первых, преобразованием показания на дисплее в единицы измерения доза в секунду, затем делением этого показания на ЧУВСТВИТЕЛЬНОСТЬ, измеренную в 6.1.5);
f) переключают ИЗМЕРИТЕЛЬНЫЙ КОМПЛЕКС в положение "измерение", ждут в течение времени, в 5 раз превышающего ВРЕМЯ ЧУВСТВИТЕЛЬНОСТИ, затем снова записывают ток, эквивалентный считываемому показанию на дисплее. Следует записать это значение как I2 (А);
g) рассчитывают СМЕЩЕНИЕ НУЛЯ, вызываемое переключением из положения "нуль" в положение "измерение", Ssz,m (А), используя равенство
Ssz,m = I2 - I1;
h) выражают СМЕЩЕНИЕ НУЛЯ в процентах от минимального ЭФФЕКТИВНОГО ИНДИЦИРУЕМОГО ЗНАЧЕНИЯ, выраженного в амперах, на выбранном диапазоне;
i) повторяют испытание по перечислениям e) - h) через 1 ч и 6 ч после включения ИЗМЕРИТЕЛЬНОГО КОМПЛЕКСА, получив более двух значений для СМЕЩЕНИЯ НУЛЯ. Значение СМЕЩЕНИЯ НУЛЯ, указанное в ЭКСПЛУАТАЦИОННЫХ ДОКУМЕНТАХ, должно быть максимальным из трех полученных значений.
В пределах ЭФФЕКТИВНОГО ДИАПАЗОНА шкалы показаний в каждом диапазоне МОЩНОСТИ ДОЗЫ ПРЕДЕЛ ИЗМЕНЕНИЯ ЧУВСТВИТЕЛЬНОСТИ из-за НЕЛИНЕЙНОСТИ ИЗМЕРИТЕЛЬНОГО КОМПЛЕКСА должен быть +/- 1%.
Примечание - НЕЛИНЕЙНОСТЬ ИЗМЕРИТЕЛЬНОГО КОМПЛЕКСА должна отличаться от НЕЛИНЕЙНОСТИ, вызываемой ИОНИЗАЦИОННОЙ КАМЕРОЙ.
Метод проверки соответствия этому требованию исполнения зависит от того, как работает ИЗМЕРИТЕЛЬНЫЙ КОМПЛЕКС:
1) при выборе диапазона НЕЛИНЕЙНОСТЬ должна быть измерена:
- в пяти равноудаленных точках на каждом диапазоне МОЩНОСТИ ДОЗЫ,
- на минимальном эффективном показании шкалы на наиболее чувствительном диапазоне МОЩНОСТИ ДОЗЫ,
- на максимальном эффективном показании шкалы на наименее чувствительном диапазоне МОЩНОСТИ ДОЗЫ;
2) при автоматическом выборе диапазона или при одном диапазоне НЕЛИНЕЙНОСТЬ должна измеряться:
- в пяти равномерно расположенных точках на декаду,
- на минимальном и максимальном эффективном значении шкалы.
Значения нелинейности должны быть измерены при проведении испытания, описанного в перечислениях a) - i):
a) переключают поляризованное напряжение на нуль, соединяют калиброванный источник тока с входным разъемом, при этом выбирают наиболее чувствительный диапазон МОЩНОСТИ ДОЗЫ;
b) включают ИЗМЕРИТЕЛЬНЫЙ КОМПЛЕКС и ждут, по крайней мере, в течение ВРЕМЕНИ СТАБИЛИЗАЦИИ перед тем, как проводить испытание по перечислению c);
c) следуют рекомендациям ИЗГОТОВИТЕЛЯ при проведении измерений таких, как регулировка нуля;
d) устанавливают ИЗМЕРИТЕЛЬНЫЙ КОМПЛЕКС в положение "измерение", затем вводят точно известный ток i0,5 (А), достаточный, чтобы получить показание, равное или близкое 0,5 полной шкалы. Записывают это значение как m0,5 (единицы МОЩНОСТИ ДОЗЫ);
e) вводят точно известный ток i1 (А), достаточный, чтобы получить показание, равное или близкое первой точке, которая должна быть проверена. Записывают это показание как m1 (единицы МОЩНОСТИ ДОЗЫ). Возвращают ИЗМЕРИТЕЛЬНЫЙ КОМПЛЕКС в положение "нуль";
f) рассчитывают и записывают процентное отклонение от линейности в первой точке шкалы d1, используя равенство
d1 = 100{(m1·i0,5)/(m0,5·i1) - 1};
g) повторяют испытания по перечислениям e) и f) для каждой проверяемой точки шкалы, чтобы получить значения для d2, d3 и т.д.;
h) для приборов с выбираемыми диапазонами МОЩНОСТИ ДОЗЫ повторяют испытания по перечислениям c) - g) для каждого диапазона МОЩНОСТИ ДОЗЫ, имеющегося в ИЗМЕРИТЕЛЬНОМ КОМПЛЕКСЕ;
i) значение НЕЛИНЕЙНОСТИ для ИЗМЕРИТЕЛЬНОГО КОМПЛЕКСА должно быть максимальным из значений d1, d2, d3 и т.д.
6.3.4 ИЗМЕНЯЮЩИЙСЯ ДИАПАЗОН
Примечание - Это требование относится к ИЗМЕРИТЕЛЬНОМУ КОМПЛЕКСУ с переключением диапазона для выбора масштабного коэффициента прибора установкой отношений и/или переключений между ДИАПАЗОНАМИ ДОЗЫ и МОЩНОСТИ ДОЗЫ. При присоединении к ИЗМЕРИТЕЛЬНОМУ КОМПЛЕКСУ более одной ИОНИЗАЦИОННОЙ КАМЕРЫ и при наличии переключателя диапазонов для выбора масштабного коэффициента прибора в соответствии с используемой камерой требование к изменению диапазона не должно применяться при выборе КАМЕРЫ, если прибор откалиброван с использованием каждой КАМЕРЫ с переключением диапазона в положение, соответствующее этой КАМЕРЕ.
ПРЕДЕЛЫ ИЗМЕНЕНИЯ ЧУВСТВИТЕЛЬНОСТИ благодаря изменению шкалы показаний на 0,5 полной шкалы диапазона МОЩНОСТИ ДОЗЫ, на котором ИЗМЕРИТЕЛЬНЫЙ КОМПЛЕКС откалиброван по отношению к показанию 0,5 полной шкалы на каждом из других диапазонов МОЩНОСТИ ДОЗЫ ИЗМЕРИТЕЛЬНОГО КОМПЛЕКСА, должны быть +/- 1,0%.
Если ИЗМЕНЕНИЯ ЧУВСТВИТЕЛЬНОСТИ из-за изменения диапазона превышают 1% для любого диапазона МОЩНОСТИ ДОЗЫ, ЭКСПЛУАТАЦИОННЫЕ ДОКУМЕНТЫ должны содержать КОРРЕКТИРУЮЩИЕ КОЭФФИЦИЕНТЫ для корректировки ЧУВСТВИТЕЛЬНОСТИ измерителя МОЩНОСТИ ДОЗЫ на 0,5 полной шкалы на этом диапазоне. ОБЩАЯ НЕОПРЕДЕЛЕННОСТЬ в значении этого КОРРЕКТИРУЮЩЕГО КОЭФФИЦИЕНТА не должна превышать 1%.
Кроме того, ПРЕДЕЛЫ ИЗМЕНЕНИЯ ЧУВСТВИТЕЛЬНОСТИ из-за изменения показания на 0,5 полной шкалы на откалиброванном диапазоне МОЩНОСТИ ДОЗЫ ИЗМЕРИТЕЛЬНОГО КОМПЛЕКСА по отношению к показанию на 0,5 полной шкалы на откалиброванном диапазоне дозы ИЗМЕРИТЕЛЬНОГО КОМПЛЕКСА должны быть +/- 1%.
Соответствие этому требованию в ЭКСПЛУАТАЦИОННЫХ ДОКУМЕНТАХ относительно изменения диапазона между откалиброванным ДИАПАЗОНОМ ДОЗЫ и откалиброванным диапазоном МОЩНОСТИ ДОЗЫ проверяют проведением испытания, описанного в перечислениях a) - f).
Соответствие требованию, касающемуся изменения диапазона МОЩНОСТИ ДОЗЫ, в ЭКСПЛУАТАЦИОННЫХ ДОКУМЕНТАХ проверяют проведением расчетов, описанных в перечислениях g) - i), после результатов испытания НЕЛИНЕЙНОСТИ (6.3.3):
a) проверяют, что ИЗМЕРИТЕЛЬНЫЙ КОМПЛЕКС включен, по крайней мере, в течение ВРЕМЕНИ СТАБИЛИЗАЦИИ перед проведением испытания по перечислению b);
b) подают на вход ИЗМЕРИТЕЛЬНОГО КОМПЛЕКСА постоянный ток достаточной величины, чтобы получить показание на 0,5 полной шкалы на калиброванном диапазоне МОЩНОСТИ ДОЗЫ. Проводят измерение и записывают значение мгновенной МОЩНОСТИ ДОЗЫ после прохождения пяти экспоненциальных временных констант;
c) поддерживая подаваемую постоянную составляющую тока на одном и том же значении, что и в перечислении b), переключают ИЗМЕРИТЕЛЬНЫЙ КОМПЛЕКС на калиброванный ДИАПАЗОН ДОЗЫ. Проводят измерение в течение времени, достаточного для получения показания на 0,5 полной шкалы. Записывают как ИНДИЦИРУЕМОЕ ЗНАЧЕНИЕ дозы, так и время, в течение которого это измерение было проведено. Из этих двух значений рассчитывают среднюю МОЩНОСТЬ ДОЗЫ;
d) преобразуют значение средней МОЩНОСТИ ДОЗЫ, измеренной в перечислении c), в те же единицы, что и мгновенная МОЩНОСТЬ ДОЗЫ, измеренная в перечислении b);
e) рассчитывают КОРРЕКТИРУЮЩИЙ КОЭФФИЦИЕНТ диапазона RC для откалиброванного диапазона МОЩНОСТИ ДОЗЫ, используя отношение
RC = Dm/Di,
где Dm - среднее значение МОЩНОСТИ ДОЗЫ, измеренной на калибровочном диапазоне дозы;
Di - мгновенная МОЩНОСТЬ ДОЗЫ, измеренная на диапазоне C МОЩНОСТИ ДОЗЫ;
f) для откалиброванного диапазона МОЩНОСТИ ДОЗЫ рассчитывают ИЗМЕНЕНИЕ ЧУВСТВИТЕЛЬНОСТИ VC, %, используя отношение
VC = 100 (1 - RC),
где VC - ИЗМЕНЕНИЕ ЧУВСТВИТЕЛЬНОСТИ из-за изменения показания на 0,5 полной шкалы на откалиброванном диапазоне дозы по отношению к показанию на 0,5 полной шкалы на диапазоне C МОЩНОСТИ ДОЗЫ;
g) в расчетах, приведенных в перечислениях h) и i), используют значение RC. КОРРЕКТИРУЮЩИЙ КОЭФФИЦИЕНТ диапазона для откалиброванного диапазона МОЩНОСТИ ДОЗЫ должен быть:
- 1000, если ИЗМЕРИТЕЛЬНЫЙ КОМПЛЕКС не имеет откалиброванного диапазона дозы, или
- равен значению, рассчитанному в 6.3.4, перечисление e), если ИЗМЕРИТЕЛЬНЫЙ КОМПЛЕКС имеет откалиброванный диапазон дозы;
h) рассчитывают диапазон КОРРЕКТИРУЮЩИХ КОЭФФИЦИЕНТОВ для других диапазонов МОЩНОСТИ ДОЗЫ, используя отношение
RA/RC = (i0.5,A·m0.5,C)/(i0.5C·m0.5,A),
где RA - диапазон КОРРЕКТИРУЮЩЕГО КОЭФФИЦИЕНТА для МОЩНОСТИ ДОЗЫ диапазона A;
i0,5,A - значение i0,5 для диапазона A, полученное в 6.3.3;
i0,5,C - значение i0,5 для диапазона C, полученное в 6.3.3;
m0,5,A - значение m0,5 для диапазона A, полученное в 6.3.3;
m0,5,C - значение m0,5 для диапазона C, полученное в 6.3.3;
Примечание - Т.к. типичный измеритель МОЩНОСТИ ДОЗЫ может иметь четыре диапазона, каждый с коэффициентом коррекции 10, то используемый источник тока должен обладать высокой линейностью в динамическом диапазоне 10000, если требуемая ОБЩАЯ НЕОПРЕДЕЛЕННОСТЬ в значениях диапазона КОРРЕКТИРУЮЩИХ КОЭФФИЦИЕНТОВ диапазона достигнута;
i) для каждого диапазона МОЩНОСТИ ДОЗЫ рассчитывают ИЗМЕНЕНИЕ ЧУВСТВИТЕЛЬНОСТИ VA, %, используя равенство
VA = 100 (1 - RA),
где VA - ИЗМЕНЕНИЯ ЧУВСТВИТЕЛЬНОСТИ из-за изменения шкалы показаний на 0,5 полной шкалы на откалиброванном диапазоне МОЩНОСТИ ДОЗЫ по отношению к показанию на 0,5 полной шкалы на диапазоне A МОЩНОСТИ ДОЗЫ.
6.3.5 ВРЕМЯ ЧУВСТВИТЕЛЬНОСТИ
90% ВРЕМЕНИ ЧУВСТВИТЕЛЬНОСТИ не должно превышать 3 с для любого диапазона при использовании любого подсоединенного БЛОКА КАМЕРЫ. Если постоянная времени регулируется, это требование следует применять к самой короткой имеющейся постоянной времени.
Примечание - ИЗМЕРИТЕЛЬНЫЙ КОМПЛЕКС с входной цепью, имеющий большое сопротивление для измерения тока, может иметь значительное ВРЕМЯ ЧУВСТВИТЕЛЬНОСТИ на наиболее чувствительных диапазонах МОЩНОСТИ ДОЗЫ.
Соответствие требованию проверяют с помощью следующего испытания:
a) переключают поляризованное напряжение на нуль, соединяют источник тока с входным разъемом. Этот источник тока должен иметь переключатель, который может сразу изолировать генерируемый ток от входа ИЗМЕРИТЕЛЬНОГО КОМПЛЕКСА;
b) включают ИЗМЕРИТЕЛЬНЫЙ КОМПЛЕКС и ждут, по крайней мере, в течение ВРЕМЕНИ СТАБИЛИЗАЦИИ перед проведением испытания по перечислению c);
c) при выборе диапазонов выбирают наиболее чувствительный диапазон МОЩНОСТИ ДОЗЫ;
d) следуют инструкциям ИЗГОТОВИТЕЛЯ при проведении измерений таких, как регулировка нуля. Устанавливают на выходе источника тока ток, эквивалентный ~= 0,5 полной шкалы, на установленном диапазоне МОЩНОСТИ ДОЗЫ;
e) устанавливают ИЗМЕРИТЕЛЬНЫЙ КОМПЛЕКС в положение "измерение" и ждут, пока не стабилизируется показание на дисплее. Записывают показание, окончательное устойчивое значение на дисплее, как m100% (единиц МОЩНОСТИ ДОЗЫ). Рассчитывают значения m10% и m90%, соответствующие 10% и 90% этого установившегося значения;
f) изолируют вход источника тока и в тот же момент запускают таймер. Наблюдают за дисплеем и в тот момент, когда показание уменьшается до m10%, останавливают таймер. Записывают прошедшее время как t100,10 (с);
g) ждут, пока показание на дисплее не стабилизируется (около нуля), затем подключают выход источника тока и в тот же момент запускают таймер. Наблюдают за показанием дисплея, останавливают таймер в тот момент, когда показание уменьшается до m90%. Записывают прошедшее время, как t0,90 (с);
h) значение 90% ВРЕМЕНИ ЧУВСТВИТЕЛЬНОСТИ, имеющееся в сопроводительных документах, должно быть средним из значений, полученных для t100,10 и t0,90.
Минимальный НОМИНАЛЬНЫЙ ДИАПАЗОН должен быть от +15 до +35 °C.
В пределах НОМИНАЛЬНОГО ДИАПАЗОНА:
- ПРЕДЕЛЫ ИЗМЕНЕНИЯ чувствительности должны быть +/- 1%;
- ДРЕЙФ НУЛЯ за 10 мин и СМЕЩЕНИЕ НУЛЯ не должны изменяться при эталонной температуре +20 °C более чем на +/- 1% ИНДИЦИРУЕМОГО ЗНАЧЕНИЯ, создаваемого минимальным эффективным входным током или МОЩНОСТЬЮ ДОЗЫ.
Соответствие требованию проверяют измерением следующих ЭКСПЛУАТАЦИОННЫХ ХАРАКТЕРИСТИК при наименьшем и наибольшем значениях температуры в нормируемом диапазоне, по крайней мере, при одном из других значений температуры, равном эталонному значению температуры, или близком ему значении:
a) ЧУВСТВИТЕЛЬНОСТИ по отношению к постоянному входному току, который дает приблизительно эталонное ИНДИЦИРУЕМОЕ ЗНАЧЕНИЕ на каждом диапазоне дозы;
b) ДРЕЙФА НУЛЯ и СМЕЩЕНИЯ НУЛЯ.
Во время испытания влажность должна устанавливаться в пределах диапазона СТАНДАРТНЫХ ИСПЫТАТЕЛЬНЫХ ЗНАЧЕНИЙ.
Минимальный НОМИНАЛЬНЫЙ ДИАПАЗОН влажности воздуха должен быть от 20% до 80% относительной влажности, но только для условий, в которых абсолютная влажность меньше чем 20 г·м-3.
В пределах НОМИНАЛЬНОГО ДИАПАЗОНА:
- ПРЕДЕЛЫ ИЗМЕНЕНИЙ ЧУВСТВИТЕЛЬНОСТИ должны быть +/- 1%;
- ДРЕЙФ НУЛЯ за 10 мин и СМЕЩЕНИЕ НУЛЯ не должны изменяться по сравнению с их значениями при эталонной влажности 50% RH более чем на +/- 1% ИНДИЦИРУЕМОГО ЗНАЧЕНИЯ, создаваемого минимальным эффективным входным током или МОЩНОСТЬЮ ДОЗЫ.
Соответствие требованию проверяют измерением следующих ЭКСПЛУАТАЦИОННЫХ ХАРАКТЕРИСТИК при наименьшем и наибольшем значениях относительной влажности НОМИНАЛЬНОГО ДИАПАЗОНА и, по крайней мере, при одном из других относительных значений влажности, равном эталонному значению влажности или близком ему значении:
a) ЧУВСТВИТЕЛЬНОСТИ к постоянному входному току, которая имеет приблизительно ЭТАЛОННОЕ ИНДИЦИРУЕМОЕ ЗНАЧЕНИЕ, при каждом имеющемся диапазоне дозы;
b) ДРЕЙФА НУЛЯ или СМЕЩЕНИЯ НУЛЯ при наиболее чувствительном диапазоне МОЩНОСТИ ДОЗЫ (6.3.1 и 6.3.2).
Перед проведением любых измерений при каждом из значений относительной влажности ИЗМЕРИТЕЛЬНЫЙ КОМПЛЕКС должен находиться при этой относительной влажности, по крайней мере, 12 ч.
Примечание - Абсолютная влажность около 20 г·м-3 может быть получена при одном из следующих условий:
Относительная влажность, % | Температура воздуха, °C |
80 | +26.5 |
75 | +25 |
60 | +30 |
50 | +35 |
6.3.8 Влияние рассеянного излучения
Примечание - Это требование относится к тем частям ИЗМЕРИТЕЛЬНОГО КОМПЛЕКСА, которые в нормальном состоянии находятся за пределами процедурной комнаты, т.е. находятся в условиях достаточно низкого уровня облучения персонала во время измерений.
Минимальный НОМИНАЛЬНЫЙ ДИАПАЗОН эквивалентной МОЩНОСТИ ДОЗЫ рассеянного излучения должен быть от 0 до 0,2 мЗв/ч.
В пределах НОМИНАЛЬНОГО ДИАПАЗОНА ДРЕЙФ НУЛЯ и СМЕЩЕНИЕ НУЛЯ измерителя МОЩНОСТИ ДОЗЫ не должны изменяться по сравнению со значением, измеренным при рассеянном излучении менее 7,5 мкЗв/ч, более чем на +/- 1,0% от ИНДИЦИРУЕМОГО ЗНАЧЕНИЯ, создаваемого минимальным эффективным входным током или МОЩНОСТЬЮ ДОЗЫ.
Соответствие требованию проверяют с помощью следующего испытания:
a) помещают ИЗМЕРИТЕЛЬНЫЙ КОМПЛЕКС в однородное поле фотонного излучения известной эквивалентной МОЩНОСТИ ДОЗЫ (мкЗв/ч), равной или большей, чем максимальная номинальная эквивалентная МОЩНОСТЬ ДОЗЫ рассеянного излучения. Для ИЗМЕРИТЕЛЬНОГО КОМПЛЕКСА, предназначенного для использования с любыми ИОНИЗАЦИОННЫМИ КАМЕРАМИ, энергия рассеянного излучения должна быть такой же, как и у гамма-излучения кобальта-60;
Примечание - Это испытание может проводиться при большей эквивалентной МОЩНОСТИ ДОЗЫ, например от 1 до 10 мЗв/ч, и результаты могут быть линейно экстраполированы, при необходимости, вниз до максимальной эквивалентной номинальной МОЩНОСТИ ДОЗЫ;
c) вычитают значение ДРЕЙФА НУЛЯ, измеренное при испытании по 6.3.1, (проводимом при СТАНДАРТНЫХ УСЛОВИЯХ ИСПЫТАНИЙ с нулевым рассеянным излучением) из значения, измеренного в перечислениях a) и b), чтобы получить значение, характеризующее изменение ДРЕЙФА НУЛЯ, вызываемое увеличением эквивалентной МОЩНОСТИ ДОЗЫ рассеянного излучения по сравнению с его ЭТАЛОННЫМ ЗНАЧЕНИЕМ, по отношению к его максимальному номинальному значению;
e) вычитают значение СМЕЩЕНИЯ НУЛЯ, измеренное при испытании по 6.3.2 (проводимом при СТАНДАРТНЫХ УСЛОВИЯХ ИСПЫТАНИЙ с нулевым рассеянным излучением), из значения, измеренного в перечислениях a) и b), чтобы получить значение, характеризующее изменение в СМЕЩЕНИИ НУЛЯ, вызываемое увеличением эквивалентной МОЩНОСТИ ДОЗЫ рассеянного излучения по сравнению с его ЭТАЛОННЫМ ЗНАЧЕНИЕМ, по отношению к его максимальному номинальному значению.
6.4 Частные требования к исполнению ИЗМЕРИТЕЛЬНЫХ КОМПЛЕКСОВ, работающих от батареи
6.4.1 Срок службы батареи
Во время срока службы батарей питания ПРЕДЕЛЫ ИЗМЕНЕНИЯ ЧУВСТВИТЕЛЬНОСТИ должны быть +/- 0,5%.
Соответствие требованию проверяют измерением (на каждом имеющемся диапазоне дозы) ЧУВСТВИТЕЛЬНОСТИ ИЗМЕРИТЕЛЬНОГО КОМПЛЕКСА (при постоянном входном заряде, который дает приблизительно ЭТАЛОННОЕ ИНДИЦИРУЕМОЕ ЗНАЧЕНИЕ) при двух различных условиях:
a) при установке свежих батарей;
b) при установке использованных батарей, которые имеют низкое напряжение такое, чтобы параметры батареи высвечивались на дисплее.
6.5 Частные требования к исполнению ИЗМЕРИТЕЛЬНЫХ КОМПЛЕКСОВ с питанием от напряжения сети
6.5.1 Неизменное напряжение сети
Минимальный НОМИНАЛЬНЫЙ ДИАПАЗОН должен быть от минус 12% до плюс 10% установленного номинального значения.
В пределах НОМИНАЛЬНОГО ДИАПАЗОНА ПРЕДЕЛЫ ИЗМЕНЕНИЯ ЧУВСТВИТЕЛЬНОСТИ должны быть +/- 0,5%.
Соответствие требованию проверяют измерением на каждом имеющемся диапазоне дозы при минимальном и максимальном номинальном напряжениях сети, ИЗМЕНЕНИЯ ЧУВСТВИТЕЛЬНОСТИ по отношению к такому постоянному входному заряду, который дает приблизительно ЭТАЛОННОЕ ИНДИЦИРУЕМОЕ ЗНАЧЕНИЕ.
6.5.2 Напряжение сети, изменяемое во время измерения
ПРЕДЕЛЫ ИЗМЕНЕНИЯ ИНДИЦИРУЕМОГО ЗНАЧЕНИЯ, вызываемые изменением напряжения питания, сверх нормируемого диапазона за 10 с или менее, когда ИЗМЕРИТЕЛЬНЫЙ КОМПЛЕКС находится в положении "измерение", должны быть +/- 5% минимального эффективного ИНДИЦИРУЕМОГО ЗНАЧЕНИЯ.
Соответствие требованию проверяют с помощью следующего испытания:
a) соединяют БЛОК КАМЕРЫ, имеющий самую высокую емкость между коллектором и поляризованным электродом и обычно предназначенный для использования с ИЗМЕРИТЕЛЬНЫМ КОМПЛЕКСОМ, с входом ИЗМЕРИТЕЛЬНОГО КОМПЛЕКСА. Выбирают наиболее чувствительный диапазон дозы;
b) используя обычный источник излучения, например радиоактивный ПРИБОР КОНТРОЛЯ СТАБИЛЬНОСТИ, облучают ИОНИЗАЦИОННУЮ КАМЕРУ постоянной МОЩНОСТЬЮ ДОЗЫ;
c) при ЭТАЛОННОМ ЗНАЧЕНИИ напряжения питания сети проводят три повторных измерения дозы, используя время интегрирования 10 с, и записывают среднее ИНДИЦИРУЕМОЕ ЗНАЧЕНИЕ как M0;
d) проводят более трех повторных измерений дозы, интегрированной за 10 с, но в настоящее время в течение каждых 10 с, когда ДОЗИМЕТР находится в положении "измерение" и переменное напряжение питания ИЗМЕРИТЕЛЬНОГО КОМПЛЕКСА падает от максимального до минимального номинального значения. Записывают среднее ИНДИЦИРУЕМОЕ ЗНАЧЕНИЕ как M1. Рассчитывают ИЗМЕНЕНИЕ ИНДИЦИРОВАННОГО ЗНАЧЕНИЯ из-за уменьшения напряжения питания в течение измерения V1, используя следующее равенство
V1 = 100 (M1 - M0)/M0;
e) проводят более трех повторных измерений дозы, интегрированной за 10 с, но в настоящее время в течение каждых 10 с, когда ДОЗИМЕТР находится в положении "измерение" и переменное напряжение питания ИЗМЕРИТЕЛЬНОГО КОМПЛЕКСА изменяется от минимального до максимального номинального значения. Записывают среднее ИНДИЦИРУЕМОЕ ЗНАЧЕНИЕ как M2. Рассчитывают изменение ИНДИЦИРУЕМОГО ЗНАЧЕНИЯ из-за увеличения напряжения питания во время измерения V2, используя равенство
V2 = 100 (M2 - M0)/M0;
f) значение ПРЕДЕЛА ИЗМЕНЕНИЯ ИНДИЦИРУЕМОГО ЗНАЧЕНИЯ, установленное в ЭКСПЛУАТАЦИОННЫХ ДОКУМЕНТАХ, должно быть максимальным из полученных значений V1 и V2.
7 Требования к исполнению ПРИБОРА КОНТРОЛЯ СТАБИЛЬНОСТИ
Примечание - Существует два типа ПРИБОРОВ КОНТРОЛЯ СТАБИЛЬНОСТИ, обычно используемых в радиотерапевтической дозиметрии:
a) ПРИБОР КОНТРОЛЯ СТАБИЛЬНОСТИ, предназначенный для контроля стабильности ЧУВСТВИТЕЛЬНОСТИ только ИЗМЕРИТЕЛЬНОГО КОМПЛЕКСА. В нем используют:
1) электрическую цепь для генерирования постоянного тока, заряда или разности потенциалов, которые могут подаваться на вход ИЗМЕРИТЕЛЬНОГО КОМПЛЕКСА, или
2) радиоактивный источник с ИОНИЗАЦИОННОЙ КАМЕРОЙ. Такое устройство должно обеспечивать на входе ИЗМЕРИТЕЛЬНОГО КОМПЛЕКСА либо воспроизводимый ток, создаваемый радиоактивным источником в герметичном ионизационном объеме, либо ток, пропорциональный плотности воздуха, создаваемой радиоактивным источником в негерметичном ионизационном объеме;
b) общий ПРИБОР КОНТРОЛЯ СТАБИЛЬНОСТИ для контроля стабильности обобщенной ЧУВСТВИТЕЛЬНОСТИ ИОНИЗАЦИОННОЙ КАМЕРЫ и ИЗМЕРИТЕЛЬНОГО КОМПЛЕКСА. Для облучения ИОНИЗАЦИОННОЙ КАМЕРЫ в воспроизводимом постоянном поле излучения используют радиоактивный источник.
7.1 Общие требования к ПРИБОРАМ КОНТРОЛЯ СТАБИЛЬНОСТИ
7.1.1 Долговременная стабильность
ПРЕДЕЛ ИЗМЕНЕНИЯ тока, заряда или разности потенциалов на выходе, вызываемый ПРИБОРОМ КОНТРОЛЯ СТАБИЛЬНОСТИ, не должен быть более +/- 0,5% за один год (после коррекции на распад источника в случае радиоактивного ПРИБОРА КОНТРОЛЯ СТАБИЛЬНОСТИ).
Соответствие этому требованию проверяют с помощью следующего испытания:
a) устанавливают ПРИБОР КОНТРОЛЯ СТАБИЛЬНОСТИ;
b) используя один и тот же эталонный ИЗМЕРИТЕЛЬНЫЙ КОМПЛЕКС (дисплей которого был установлен на считывание показаний в режиме "контроль" или "измерение") и, при необходимости, один и тот же эталонный БЛОК КАМЕРЫ, измеряют их выходные характеристики за период времени не более 1 мес, за общий период не менее 6 мес. В каждом случае эталонный ИЗМЕРИТЕЛЬНЫЙ КОМПЛЕКС должен сначала быть откалиброван введением заряда, значение которого соответствует ГОСУДАРСТВЕННОМУ ЭТАЛОНУ по величине заряда для коррекции ИЗМЕНЕНИЙ ЧУВСТВИТЕЛЬНОСТИ эталонного ИЗМЕРИТЕЛЬНОГО КОМПЛЕКСА;
c) чертят график изменения ЧУВСТВИТЕЛЬНОСТИ по месяцам. Из этого графика получают путем экстраполяции, при необходимости, значение изменения выходной характеристики за 1 год.
7.1.2 Повторяемость
Стандартное отклонение одного измерения с использованием ПРИБОРА КОНТРОЛЯ СТАБИЛЬНОСТИ, как определено из повторных измерений, не должно превышать 0,3% среднего значения.
Соответствие этому требованию проверяют проведением 10 измерений таким образом, как описано в ИНСТРУКЦИИ ПО ЭКСПЛУАТАЦИИ, и определением стандартного отклонения.
При испытаниях повторяемости общего ПРИБОРА КОНТРОЛЯ СТАБИЛЬНОСТИ эталонный БЛОК КАМЕРЫ должен быть полностью удален из ПРИБОРА КОНТРОЛЯ СТАБИЛЬНОСТИ и вновь помещен туда между последовательными измерениями.
Во время испытания общего ПРИБОРА КОНТРОЛЯ СТАБИЛЬНОСТИ и соответствующей ИОНИЗАЦИОННОЙ КАМЕРЫ должны быть максимально соблюдены условия температурного равновесия, при этом следует, при необходимости, ввести поправку на изменение плотности воздуха.
8 Требования к конструкции по отношению к ЭКСПЛУАТАЦИОННЫМ ХАРАКТЕРИСТИКАМ
8.1 Требования к конструкции БЛОКА КАМЕРЫ
Для ГЕРМЕТИЧНОЙ КАМЕРЫ ИЗГОТОВИТЕЛЬ должен обеспечить общий ПРИБОР КОНТРОЛЯ СТАБИЛЬНОСТИ.
8.2 Требования к конструкции ИЗМЕРИТЕЛЬНОГО КОМПЛЕКСА
8.2.1 Регулировка ЧУВСТВИТЕЛЬНОСТИ
Если ЧУВСТВИТЕЛЬНОСТЬ ИЗМЕРИТЕЛЬНОГО КОМПЛЕКСА может регулироваться или позволяет:
a) корректировать:
- долговременные изменения ЧУВСТВИТЕЛЬНОСТИ ДОЗИМЕТРА;
- воздействие температуры и давления на ЧУВСТВИТЕЛЬНОСТЬ ИОНИЗАЦИОННОЙ КАМЕРЫ или
b) использовать КАЛИБРОВОЧНЫЙ КОЭФФИЦИЕНТ, то ИЗМЕРИТЕЛЬНЫЙ КОМПЛЕКС должен быть сконструирован так, чтобы ОПЕРАТОР не мог сам самопроизвольно изменять какие-либо установочные параметры.
Конструкция должна обеспечивать, чтобы:
- регулировочные переключатели и потенциометры размещались внутри ИЗМЕРИТЕЛЬНОГО КОМПЛЕКСА и были недоступны снаружи без помощи специального ИНСТРУМЕНТА либо были отчетливо маркированы и снабжены шкалами для обеспечения возможности их точной установки в зависимости от параметров прибора, а затем блокировки во избежание случайного изменения установочных параметров;
- было невозможно изменить калибровочные или КОРРЕКТИРУЮЩИЕ КОЭФФИЦИЕНТЫ, сохраненные в цифровой форме, без введения ОПЕРАТОРОМ кода безопасности или отключения блокировки позиции соответствующего переключателя.
Проверку соблюдения требований к конструкции осуществляют с помощью инспекционного контроля.
8.2.2 Дисплей
Дисплей должен визуально представлять данные, из которых можно получить значение дозы или МОЩНОСТИ ДОЗЫ.
8.2.2.1 Маркировка шкал
Для ИЗМЕРИТЕЛЬНОГО КОМПЛЕКСА с отсоединенными БЛОКАМИ КАМЕР должны быть предусмотрены соответствующие средства, обеспечивающие простую возможность ОПЕРАТОРУ устанавливать для каждого БЛОКА КАМЕРЫ правильные соотношения между показаниями шкалы и ИНДИЦИРУЕМЫМИ ЗНАЧЕНИЯМИ.
8.2.2.2 Дисплей аналогового панельного измерителя
Точность измерителя должна быть не ниже класса 0,5 в соответствии с 4.1 МЭК 60051.
Максимальное отклонение стрелки должно быть, по крайней мере, на 3% больше, чем максимальное значение шкалы, при этом измеритель не должен повреждаться, если выходной сигнал ИЗМЕРИТЕЛЬНОГО КОМПЛЕКСА, соответствующий всей шкале на максимальном диапазоне чувствительности, приложен к прибору, включенному на самый чувствительный уровень.
Стрелка должна оставаться на уровне максимума шкалы до тех пор, пока приложен этот входной сигнал.
8.2.2.3 Дисплей цифрового панельного измерителя
Должна быть предусмотрена предупредительная индикация, если входной сигнал превышает максимальное считываемое значение на дисплее.
Должно быть предусмотрено устройство для проверки правильности функционирования электронного дисплея, если в нем цифры образуются из сегментов.
Механические регистраторы должны правильно реагировать на входные токи или уровни пульсаций, которые, по крайней мере, на 10% превышают максимальный номинальный входной ток или уровень пульсаций.
8.2.2.4 Дисплей комбинированного аналого-цифрового панельного измерителя
Если последнее цифровое значение указывается аналоговым измерителем, требования
8.2.2.3 должны выполняться.
8.2.2.5 Другие методы индикации
Могут быть использованы другие методы индикации, кроме перечисленных в
8.2.2.2 -
8.2.2.4, использование которых не должно способствовать предъявлению особых требований к воспроизводимости, линейности и разрешению.
Проверку требований 8.2.2 проводят с помощью инспекционного контроля.
8.2.3 Определение состояния батарей питания и компенсация
Внешнее свидетельство состояния источников питания обеспечивают индикацией напряжений батарей под нагрузкой или другим указанием при окончании срока годности батареи. Если есть необходимость в инструментах для выполнения требований
6.4.1, должна быть обеспечена любая возможность компенсации изменения батареи питания.
Проверку требований проводят с помощью инспекционного контроля.
8.2.4 Порог входного тока
Если порог входного тока ниже того, который может быть измерен ИЗМЕРИТЕЛЬНЫМ КОМПЛЕКСОМ, ИЗГОТОВИТЕЛЬ должен обеспечить средства для ПОЛЬЗОВАТЕЛЯ для изменения этого порога в случае необходимости.
Проверку требования осуществляют с помощью инспекционного контроля.
8.2.5 Автоматическое окончание измерений в режиме дозы
Если ИЗМЕРИТЕЛЬНЫЙ КОМПЛЕКС автоматически оканчивает измерение дозы, ИЗГОТОВИТЕЛЬ должен обеспечить средства для ПОЛЬЗОВАТЕЛЯ, чтобы при необходимости отключить эту функцию.
Проверку требования осуществляют с помощью инспекционного контроля.
8.3 Требования к конструкции ПРИБОРОВ КОНТРОЛЯ СТАБИЛЬНОСТИ
8.3.1 Общие требования к конструкции ПРИБОРОВ КОНТРОЛЯ СТАБИЛЬНОСТИ
8.3.1.1 Выход
Выход ПРИБОРА КОНТРОЛЯ СТАБИЛЬНОСТИ должен быть таким, чтобы:
- для ДОЗИМЕТРОВ время, затрачиваемое на достижение индикации, было незначительно большим, чем время, затрачиваемое на достижение этой индикации при минимальной МОЩНОСТИ ДОЗЫ;
- для измерителей МОЩНОСТИ ДОЗЫ контрольная индикация была больше, чем минимальное эффективное ИНДИЦИРУЕМОЕ ЗНАЧЕНИЕ.
8.3.2 Требования к конструкции ПРИБОРОВ КОНТРОЛЯ СТАБИЛЬНОСТИ радиоактивного типа
8.3.2.1 Период полураспада радионуклида должен быть максимально длительным и не менее чем пять лет.
8.3.2.2 Радиоактивный материал должен быть достаточно чистым для гарантии того, чтобы реальная активность после трехлетнего периода использования не отличалась больше чем на +/- 1,5% от ожидаемого значения по данным радиоактивного распада, указанного ПРОИЗВОДИТЕЛЕМ для данного радиоактивного ПРИБОРА КОНТРОЛЯ СТАБИЛЬНОСТИ.
8.3.3 Частные требования к конструкции общих ПРИБОРОВ КОНТРОЛЯ СТАБИЛЬНОСТИ
8.3.3.1 Это устройство должно обеспечивать постоянство радиационного поля (после коррекции на радиоактивный распад) для ИОНИЗАЦИОННОЙ КАМЕРЫ.
8.3.3.2 Геометрическое положение радиоактивного источника по отношению к ИОНИЗАЦИОННОЙ КАМЕРЕ следует точно воспроизводить и выбирать так, чтобы свести к минимуму влияние незначительных изменений в положении камеры.
8.3.3.3 Конструкция должна обеспечивать измерение температуры в области ИОНИЗАЦИОННОЙ КАМЕРЫ.
8.3.3.4 Устройство должно обеспечивать возможность блокировки апертуры при удалении ИОНИЗАЦИОННОЙ КАМЕРЫ, чтобы предотвратить случайное проникновение малых объектов, способных повредить ИОНИЗАЦИОННУЮ КАМЕРУ, когда она вновь будет установлена.
Проверку требований к конструкции ПРИБОРОВ КОНТРОЛЯ СТАБИЛЬНОСТИ следует осуществлять с помощью инспекционного контроля.
8.4 Требования к конструкции фантомов и встроенных колпачков
8.4.1 Фантомы
Если твердый или заполненный жидкостью фантом предназначен для размещения в измерительном объеме ИОНИЗАЦИОННОЙ КАМЕРЫ на заданной глубине (или глубинах) в среде и в определенном положении относительно оси пучка излучения, должны быть обеспечены следующие требования:
- допуск глубины ОПОРНОЙ ТОЧКИ ИОНИЗАЦИОННОЙ КАМЕРЫ (измеренной вдоль оси пучка излучения от поверхности фантома максимально близко к источнику излучения) относительно каждого соответствующего номинального значения для фантома должен быть +/- 0,5 мм или 1,0% наибольшего номинального значения
(рисунок 3);
- допуск при боковом положении ОПОРНОЙ ТОЧКИ ИОНИЗАЦИОННОЙ КАМЕРЫ относительно предполагаемого положения оси пучка излучения (которое отмечено на фантоме -
раздел 10) должен быть +/- 1,0 мм
(рисунок 4).
Если фантом предназначен для использования в двух или более ИОНИЗАЦИОННЫХ КАМЕРАХ одновременно, вышеперечисленные требования должны в равной мере распространяться на положение каждой КАМЕРЫ. Требования также применимы при использовании сменных адаптеров, используемых для различных типов ИОНИЗАЦИОННЫХ КАМЕР в фантоме.
9.1 Маркировка БЛОКА КАМЕРЫ
9.1.1 Следующая информация должна быть четко указана ПРОИЗВОДИТЕЛЕМ на БЛОКЕ КАМЕРЫ в виде шильдика (лейбла):
a) информация в соответствии с
6.1 ГОСТ 30324.0/ГОСТ Р 50267.0;
b) информация в соответствии с
6.1 ГОСТ 30324.9/ГОСТ Р 50267.9;
c) для БЛОКА КАМЕРЫ, который не удовлетворяет требованиям к изделию типа B, BF или CF, в соответствии с определением
ГОСТ 30324.0/ГОСТ Р 50267.0 должно быть сделано предупреждение о том, что камера не используется в контакте с ПАЦИЕНТОМ.
Примечание - Предупредительный знак (
N 14 по ГОСТ Р 51350) может быть использован для указания несоответствия оборудованию типов B, BF, CF.
9.1.2 Следующая информация должна быть четко указана ПРОИЗВОДИТЕЛЕМ на фирменной этикетке, прикрепленной к БЛОКУ КАМЕРЫ, или на информационном листе, вложенном в упаковку БЛОКА КАМЕРЫ:
- положение ОПОРНОЙ ТОЧКИ ИОНИЗАЦИОННОЙ КАМЕРЫ.
Примечание - Это дает возможность точного размещения ИОНИЗАЦИОННОЙ КАМЕРЫ в процессе калибровки;
- номинальное значение полной шкалы показаний, если КАМЕРУ поставляют специально для использования с одним ИЗМЕРИТЕЛЬНЫМ КОМПЛЕКСОМ;
- НОМИНАЛЬНЫЙ ДИАПАЗОН качеств излучения.
Проверку требований 9.1 осуществляют с помощью инспекционного контроля БЛОКА КАМЕРЫ и упаковки.
9.2 Маркировка ИЗМЕРИТЕЛЬНОГО КОМПЛЕКСА
| | ИС МЕГАНОРМ: примечание. В официальном тексте документа, видимо, допущена опечатка: стандарт имеет номер ГОСТ 30324.0/ГОСТ Р 50267.0, а не ГОСТ 3032.0/ГОСТ Р 50267.0. | |
9.2.1 Следующая информация должна быть четко указана ПРОИЗВОДИТЕЛЕМ на тех ИЗМЕРИТЕЛЬНЫХ КОМПЛЕКСАХ, которые предназначены для использования с БЛОКОМ КАМЕРЫ, находящимся в контакте с ПАЦИЕНТОМ, т.е. на ИЗМЕРИТЕЛЬНОМ КОМПЛЕКСЕ, который удовлетворяет требованиям, предъявляемым к рабочей части изделий типов B, BF или CF в соответствии с
ГОСТ 3032.0/ГОСТ Р 50267.0:
a) информация в соответствии с
6.1 ГОСТ 30324.0/ГОСТ Р 50267.0;
b) информация в соответствии с
6.1 ГОСТ 30324.9/ГОСТ Р 50267.9.
9.2.2 Следующую информацию ПРОИЗВОДИТЕЛЬ должен четко указывать на тех ИЗМЕРИТЕЛЬНЫХ КОМПЛЕКСАХ, которые не предназначены для использования с БЛОКОМ КАМЕРЫ, находящимся в контакте с ПАЦИЕНТОМ, то есть на ИЗМЕРИТЕЛЬНОМ КОМПЛЕКСЕ, который не соответствует требованиям, предъявляемым к рабочей части изделий типов B, BF или CF в соответствии с
ГОСТ 30324.0/ГОСТ Р 50267.0:
b) предупреждение о том, что ИЗМЕРИТЕЛЬНЫЙ КОМПЛЕКС не предназначен для соединения с КАМЕРАМИ, находящимися в контакте с ПАЦИЕНТОМ.
Примечание - Предупредительный знак (
N 14 по ГОСТ Р 51350) может быть использован для указания несоответствия требованиям к оборудованию типов B, BF и CF.
9.2.3 На каждом измерительном комплексе ИЗГОТОВИТЕЛЬ должен:
a) четко указывать назначение всех электрических соединений, оперативные регулировки и дисплеи;
b) обеспечивать с помощью средств маркировки либо удобных для использования инструкций на дисплее необходимую информацию, позволяющую квалифицированному ОПЕРАТОРУ использовать ИЗМЕРИТЕЛЬНЫЙ КОМПЛЕКС без применения ИНСТРУКЦИИ ПО ЭКСПЛУАТАЦИИ.
9.2.4 На ИЗМЕРИТЕЛЬНОМ КОМПЛЕКСЕ с дисплеем, показывающим значение дозы (или МОЩНОСТИ ДОЗЫ), ИЗГОТОВИТЕЛЬ должен предоставить:
a) четкую надпись на дисплее или около дисплея для индикации, являются ли показания "корректируемыми" или "некорректируемыми";
b) в случаях, когда показание "корректируемое", простые средства для ОПЕРАТОРА, необходимые для выведения на дисплей значения каждого КОРРЕКТИРУЮЩЕГО КОЭФФИЦИЕНТА, который может быть применен для данного показания.
9.2.5 В многодиапазонных ИЗМЕРИТЕЛЬНЫХ КОМПЛЕКСАХ с аналоговыми дисплеями ИЗГОТОВИТЕЛЬ должен обозначить переключатели изменения диапазона с ИНДИЦИРУЕМЫМ ЗНАЧЕНИЕМ на полной шкале для каждой позиции. Переключатели изменения диапазона не маркируют.
9.2.6 Если ИЗМЕРИТЕЛЬНЫЙ КОМПЛЕКС предназначен для работы с несколькими ИОНИЗАЦИОННЫМИ КАМЕРАМИ, каждая должна быть маркирована на ИЗМЕРИТЕЛЬНОМ КОМПЛЕКСЕ.
9.2.7 Все графические символы должны соответствовать
ГОСТ 28312.
Проверку требований 9.2 следует проводить с помощью инспекционного контроля ИЗМЕРИТЕЛЬНОГО КОМПЛЕКСА.
9.3 Маркировка ПРИБОРА КОНТРОЛЯ СТАБИЛЬНОСТИ
9.3.1 Маркировка ПРИБОРА КОНТРОЛЯ СТАБИЛЬНОСТИ должна соответствовать классу 5
ГОСТ Р 51350 и дополнительно содержать серийный номер устройства.
9.3.2 Для ПРИБОРА КОНТРОЛЯ СТАБИЛЬНОСТИ, содержащего радиоактивный источник, постоянный шильдик должен быть укреплен на поверхности защитного контейнера и, если устройство конструктивно составляет часть ИЗМЕРИТЕЛЬНОГО КОМПЛЕКСА, на поверхности регулировочной панели пульта и на поверхности транспортного футляра, при наличии. Этот шильдик должен включать международный "трилистник" - символ радиоактивности и наименование радионуклида, его активность и дату, до которой указанная активность действительна.
9.3.3 Если какая-либо часть устройства, которую используют для защиты от ионизирующего излучения, должна быть удалена, чтобы ввести КАМЕРУ, должно быть предупреждение об отсутствии защиты и о необходимости вернуть КАМЕРУ на место после измерения.
Проверку требований 9.3 следует проводить с помощью инспекционного контроля ПРИБОРА КОНТРОЛЯ СТАБИЛЬНОСТИ.
9.4 Маркировка фантома или встроенного колпачка
Фантом должен содержать маркировку с обозначением:
a) поверхности, которая должна быть наиболее близко расположена к источнику излучения;
b) предполагаемого положения оси пучка излучения на входной и выходной поверхностях фантома;
c) предполагаемого положения ОПОРНОЙ ТОЧКИ ИОНИЗАЦИОННОЙ КАМЕРЫ (или КАМЕР), если оно отличается от
перечисления b), на входной и выходной поверхностях фантома.
Фантом и каждый дополнительный элемент к нему в виде экранов, колпачков или блоков должны быть маркированы таким образом, чтобы была ясна особенность их использования в комплекте.
Проверку требований 9.4 проводят с помощью инспекционного контроля.
10 ЭКСПЛУАТАЦИОННЫЕ ДОКУМЕНТЫ
10.1 ЭКСПЛУАТАЦИОННЫЕ ДОКУМЕНТЫ БЛОКА КАМЕРЫ
10.1.1 ИНСТРУКЦИЯ ПО ЭКСПЛУАТАЦИИ БЛОКА КАМЕРЫ
10.1.1.1 ЭКСПЛУАТАЦИОННЫЕ ДОКУМЕНТЫ, поставляемые ИЗГОТОВИТЕЛЕМ, должны включать руководство, содержащее ИНСТРУКЦИЮ ПО ЭКСПЛУАТАЦИИ БЛОКА КАМЕРЫ.
10.1.1.2 Инструкция должна в общем виде соответствовать требованиям, изложенным в
ГОСТ 28312.
10.1.1.3 ИНСТРУКЦИЯ ПО ЭКСПЛУАТАЦИИ должна содержать достаточную информацию, чтобы обеспечить однозначную идентификацию устройства, для которой она предназначена.
10.1.1.4 Для оборудования, не соответствующего требованиям, предъявляемым к рабочей части типа B, BF или CF, как определено в
ГОСТ 30324.0/ГОСТ Р 50267.0, соответствующее предупреждение должно быть сделано в ИНСТРУКЦИИ ПО ЭКСПЛУАТАЦИИ о том, что устройство не предназначено для контакта с ПАЦИЕНТОМ.
10.1.1.5 Для оборудования, которое не соответствует требованиям
раздела 5 настоящего стандарта, должна содержаться информация о тех пунктах, которым это оборудование не соответствует.
10.1.1.6 Должна содержаться следующая информация о методиках использования БЛОКА КАМЕРЫ:
a) для БЛОКА КАМЕРЫ, предназначенного для работы независимо от ИЗМЕРИТЕЛЬНОГО КОМПЛЕКСА, указание о типе ИЗМЕРИТЕЛЬНОГО КОМПЛЕКСА, с которым возможно его использование, и предупреждение, если необходим ограничивающий ток резистор;
b) рекомендуемые методы крепления БЛОКА КАМЕРЫ и предупреждение о нерекомендуемых методах;
c) указание, пригодна ли камера для использования в фантоме;
d) рекомендуемая ориентация пучка излучения и информация о зависимости ЧУВСТВИТЕЛЬНОСТИ от ориентации пучка излучения;
e) номинальный диапазон поляризованных напряжений;
f) максимальное значение поляризованного напряжения, которое может быть приложено без повреждения и без умножения заряда;
g) указание об интервале времени, необходимом перед измерением, после того, как КАМЕРА была подвергнута:
- включению поляризованного напряжения,
- присоединению электрической арматуры,
- перемещению кабеля,
- неожиданным изменениям давления или температуры,
- воздействию при транспортировании;
h) рекомендуемые методы измерения сигнала от ИОНИЗАЦИОННОЙ КАМЕРЫ без рассеянного излучения или внешних полей;
i) указания о периодичности использования ПРИБОРА КОНТРОЛЯ СТАБИЛЬНОСТИ, в особенности для ГЕРМЕТИЧНОЙ ИОНИЗАЦИОННОЙ КАМЕРЫ;
j) указание, при необходимости, о длительности ЭКСПОЗИЦИИ при высокой влажности, которая может привести к неблагоприятному эффекту, и рекомендуемые методы обращения с КАМЕРОЙ после такой ЭКСПОЗИЦИИ;
k) рекомендуемые методы коррекции ИНДИЦИРУЕМЫХ ЗНАЧЕНИЙ НЕГЕРМЕТИЧНЫХ КАМЕР при изменении атмосферного давления;
l) допустимые методы очистки БЛОКА КАМЕРЫ;
m) предупреждение о возможности повреждения хрупких деталей, например камер с тонкостенным окном;
n) тип радиоактивного ПРИБОРА КОНТРОЛЯ СТАБИЛЬНОСТИ (если имеется), который следует использовать с ДОЗИМЕТРОМ;
o) предупреждение о необходимости контроля тока утечки;
p) время собирания положительных и отрицательных ионов и электронов при рекомендуемом поляризованном напряжении.
10.1.1.7 ИНСТРУКЦИИ ПО ЭКСПЛУАТАЦИИ должны включать значения, полученные при ТИПОВЫХ ИСПЫТАНИЯХ:
a) пределы СТАНДАРТНЫХ УСЛОВИЙ ИСПЫТАНИЙ ЭКСПЛУАТАЦИОННЫХ ХАРАКТЕРИСТИК, перечисленных в
таблице 2a;
b) НОМИНАЛЬНЫЕ ДИАПАЗОНЫ ВЛИЯЮЩИХ ВЕЛИЧИН и вызванные ими ИЗМЕНЕНИЯ ЭКСПЛУАТАЦИОННЫХ ХАРАКТЕРИСТИК, перечисленные в
таблице 3a;
c) эффективные диапазоны дозы и мощности дозы, в диапазоне которых устанавливают рабочие характеристики.
10.1.1.8 ИНСТРУКЦИИ ПО ЭКСПЛУАТАЦИИ должны содержать следующую информацию о конструкции КАМЕРЫ:
a) размеры как наружные, так и внутренние и форму ИОНИЗАЦИОННОЙ КАМЕРЫ;
b) элементный состав по массе, размерам и плотности стенок ИОНИЗАЦИОННОЙ КАМЕРЫ, собирающих электродов и изоляторов, а также элементный состав по массе и толщине всех проводящих покрытий;
c) электрические соединения между терминалами кабельного соединения и:
- каждой внешней проводящей частью БЛОКА КАМЕРЫ,
- каждым электродом внутри ИОНИЗАЦИОННОЙ КАМЕРЫ;
d) элементный состав по массе и размерам колпачков, при наличии;
e) положение ОПОРНОЙ ТОЧКИ ИОНИЗАЦИОННОЙ КАМЕРЫ по отношению к указанной точке (например кончику НАПЕРСТКОВОЙ КАМЕРЫ) или метке;
f) является ли ИОНИЗАЦИОННАЯ КАМЕРА камерой без охранного электрода, с охранным электродом или с частично охранным электродом;
g) является ли ИОНИЗАЦИОННАЯ КАМЕРА НЕГЕРМЕТИЧНОЙ КАМЕРОЙ.
Примечание - Это существенная информация, поскольку ОПЕРАТОР должен корректировать ЧУВСТВИТЕЛЬНОСТЬ НЕГЕРМЕТИЧНОЙ КАМЕРЫ в соответствии с изменением атмосферного давления и температуры в пределах измерительного объема;
h) является ли ИОНИЗАЦИОННАЯ КАМЕРА ГЕРМЕТИЧНОЙ КАМЕРОЙ.
Примечание - Это существенная информация, поскольку ОПЕРАТОР должен контролировать ЧУВСТВИТЕЛЬНОСТЬ ГЕРМЕТИЧНОЙ КАМЕРЫ с радиоактивным ПРИБОРОМ КОНТРОЛЯ СТАБИЛЬНОСТИ незамедлительно перед и после использования.
Проверку требований 10.1.1 проводят с помощью инспекционного контроля соответствующих разделов ЭКСПЛУАТАЦИОННЫХ ДОКУМЕНТОВ.
10.1.2 Проверочный лист БЛОКА КАМЕРЫ
ЭКСПЛУАТАЦИОННЫЕ ДОКУМЕНТЫ, поставляемые ИЗГОТОВИТЕЛЕМ, должны включать проверочный лист, содержащий результаты РУТИННЫХ ИСПЫТАНИЙ, проведенных на индивидуальном БЛОКЕ КАМЕРЫ, как часть программы контроля качества, обеспечиваемого ИЗГОТОВИТЕЛЕМ.
Проверочный лист содержит, как минимум:
a) типовой номер и серийный номер БЛОКА КАМЕРЫ;
b) значение измеренного ТОКА УТЕЧКИ БЛОКА КАМЕРЫ без облучения;
c) КОРРЕКТИРУЮЩИЕ КОЭФФИЦИЕНТЫ от значений следующих ВЛИЯЮЩИХ ВЕЛИЧИН, если рабочие характеристики ИОНИЗАЦИОННОЙ КАМЕРЫ не удовлетворяют требованиям соответствующего пункта без таких КОРРЕКТИРУЮЩИХ КОЭФФИЦИЕНТОВ:
1) полярность поляризованного напряжения
(5.1.10),
d) КОРРЕКТИРУЮЩИЕ КОЭФФИЦИЕНТЫ при воздействующих ВЛИЯЮЩИХ ВЕЛИЧИНАХ, изменяющих ЧУВСТВИТЕЛЬНОСТЬ ИОНИЗАЦИОННОЙ КАМЕРЫ больше чем на +/- 1,0%;
e) ЭТАЛОННЫЕ ЗНАЧЕНИЯ ВЛИЯЮЩИХ ВЕЛИЧИН, при которых КОРРЕКТИРУЮЩИЕ КОЭФФИЦИЕНТЫ корректируют ЧУВСТВИТЕЛЬНОСТЬ ИОНИЗАЦИОННОЙ КАМЕРЫ. Обычно это должны быть те ЭТАЛОННЫЕ ЗНАЧЕНИЯ, при которых проводят радиационную калибровку.
Соответствие требованиям 10.1.2 проверяют с помощью инспекционного контроля соответствующего раздела ЭКСПЛУАТАЦИОННЫХ ДОКУМЕНТОВ.
10.1.3 Свидетельство о поверке БЛОКА КАМЕРЫ
Если БЛОК КАМЕРЫ откалиброван, ИЗГОТОВИТЕЛЬ должен представить сертификат (свидетельство) о поверке, в котором приводят калибровочные и КОРРЕКТИРУЮЩИЕ КОЭФФИЦИЕНТЫ, с помощью которых корректируют ЧУВСТВИТЕЛЬНОСТЬ ИОНИЗАЦИОННОЙ КАМЕРЫ таким образом, чтобы получить значение дозы или МОЩНОСТИ ДОЗЫ в ОПОРНОЙ ТОЧКЕ КАМЕРЫ (
5.2.1 и
5.3.1).
Свидетельство (сертификат) о поверке должно содержать:
a) типовой и серийный номера БЛОКА КАМЕРЫ;
b) условия калибровки, в частности:
1) эталонное качество излучения и ЭТАЛОННОЕ ИНДИЦИРУЕМОЕ ЗНАЧЕНИЕ при заданном КАЛИБРОВОЧНОМ КОЭФФИЦИЕНТЕ,
2) индивидуальное качество излучения в пределах НОМИНАЛЬНОГО ДИАПАЗОНА, при котором применяют каждый КОРРЕКТИРУЮЩИЙ КОЭФФИЦИЕНТ,
3) инструментальные установки и рабочие условия, при которых проводилась калибровка,
4) для каждой ВЛИЯЮЩЕЙ ВЕЛИЧИНЫ ЭТАЛОННОЕ ЗНАЧЕНИЕ, к которому приводят ИНДИЦИРУЕМОЕ ЗНАЧЕНИЕ, например: "откорректировано при атмосферном давлении 101,3 кПа";
c) наименование и адрес поверочной лаборатории, подпись лица, проводившего поверку, и соответствие ГОСУДАРСТВЕННОМУ ЭТАЛОНУ.
Если поверка проведена лабораторией, которая не аккредитована национальным или международным аккредитирующим органом, свидетельство о поверке должно содержать следующую информацию: "Настоящая поверка содержит данные об изменении чувствительности камеры при соответствующем качестве излучения. Она не может обеспечить прямой или косвенной калибровки дозы на пациента".
Соответствие требованиям 10.1.3 проверяют с помощью инспекционного контроля соответствующих разделов ЭКСПЛУАТАЦИОННЫХ ДОКУМЕНТОВ.
10.2 ЭКСПЛУАТАЦИОННЫЕ ДОКУМЕНТЫ ИЗМЕРИТЕЛЬНОГО КОМПЛЕКСА
10.2.1 ИНСТРУКЦИЯ ПО ЭКСПЛУАТАЦИИ ИЗМЕРИТЕЛЬНОГО КОМПЛЕКСА
10.2.1.1 ЭКСПЛУАТАЦИОННЫЕ ДОКУМЕНТЫ ИЗГОТОВИТЕЛЯ должны включать руководство, содержащее ИНСТРУКЦИЮ ПО ЭКСПЛУАТАЦИИ ИЗМЕРИТЕЛЬНОГО КОМПЛЕКСА.
10.2.1.2 В целом руководство должно соответствовать требованиям
ГОСТ 28312.
10.2.1.3 ИНСТРУКЦИИ ПО ЭКСПЛУАТАЦИИ должны содержать информацию, достаточную для однозначного определения области применения ИЗМЕРИТЕЛЬНОГО КОМПЛЕКСА.
10.2.1.4 Для оборудования, не соответствующего типам B, BF, CF в соответствии с
ГОСТ 30324.0/ГОСТ Р 50267.0, в ИНСТРУКЦИИ ПО ЭКСПЛУАТАЦИИ должно быть предупреждение, что ИЗМЕРИТЕЛЬНЫЙ КОМПЛЕКС не предназначен для соединения с БЛОКОМ КАМЕРЫ, имеющей контакт с ПАЦИЕНТОМ.
10.2.1.5 Для оборудования, не соответствующего требованиям
раздела 6 настоящего стандарта, должно быть указано, каким пунктам этого раздела оно не соответствует.
10.2.1.6 Следующий минимум информации об особенностях работы ИЗМЕРИТЕЛЬНОГО КОМПЛЕКСА должен быть обеспечен:
a) для приборов с питанием от сети:
1) НОМИНАЛЬНЫЙ ДИАПАЗОН напряжений и частот питающей сети,
2) регулирующие устройства (если необходимо) для коррекции сетевого напряжения;
b) для приборов с питанием от батарей:
1) "время жизни" батареи,
2) метод определения момента смены батареи,
3) способ замены;
c) функции и метод применения каждой регулировки, назначение каждого разъема и его индикация;
d) правильное рабочее положение ИЗМЕРИТЕЛЬНОГО КОМПЛЕКСА и, если необходимо, метод установки уровня;
e) указание времени, необходимого перед проведением измерения после следующих операций с ИЗМЕРИТЕЛЬНЫМ КОМПЛЕКСОМ:
- включения (ВРЕМЯ СТАБИЛИЗАЦИИ),
- подключения электрической арматуры,
- неожиданных изменений температуры или влажности,
- влияние транспортирования;
f) рекомендуемые методы контроля того, что ЧУВСТВИТЕЛЬНОСТЬ не подвержена изменениям из-за высокой влажности, рассеянного излучения или влияния внешних полей;
g) указания о подходящих типах ИОНИЗАЦИОННЫХ КАМЕР и типах требуемых разъемов;
h) максимальное значение тока, потребляемого от источника поляризованного напряжения;
i) конкретные указания по использованию КАЛИБРОВОЧНОГО КОЭФФИЦИЕНТА и КОРРЕКТИРУЮЩИХ КОЭФФИЦИЕНТОВ для того, чтобы ИНДИЦИРУЕМОЕ ЗНАЧЕНИЕ равнялось ИСТИННОМУ ЗНАЧЕНИЮ ПОГЛОЩЕННОЙ ДОЗЫ (МОЩНОСТИ ДОЗЫ) или КЕРМЫ (МОЩНОСТИ КЕРМЫ) в ОПОРНОЙ ТОЧКЕ ИОНИЗАЦИОННОЙ КАМЕРЫ при ЭТАЛОННЫХ УСЛОВИЯХ;
j) для ИЗМЕРИТЕЛЬНОГО КОМПЛЕКСА со встроенными системами корректировки индикации ИОНИЗАЦИОННОЙ КАМЕРЫ используемый алгоритм корректировки;
k) для ИЗМЕРИТЕЛЬНОГО КОМПЛЕКСА со встроенным системами для анализа ИНДИЦИРУЕМЫХ ЗНАЧЕНИЙ, например расчета значения стандартного отклонения ряда повторяющихся значений, используемый для этого алгоритм.
10.2.1.7 ИНСТРУКЦИЯ ПО ЭКСПЛУАТАЦИИ должна включать следующие данные, полученные при ТИПОВЫХ ИСПЫТАНИЯХ:
a) пределы СТАНДАРТНЫХ УСЛОВИЙ ИСПЫТАНИЙ ЭКСПЛУАТАЦИОННЫХ ХАРАКТЕРИСТИК, приведенных в
таблице 2b;
b) НОМИНАЛЬНЫЕ ДИАПАЗОНЫ ВЛИЯЮЩИХ ВЕЛИЧИН и соответствующее изменение ЭКСПЛУАТАЦИОННЫХ ХАРАКТЕРИСТИК, перечисленных в
таблицах 3b и
3c;
c) ЭФФЕКТИВНЫЕ ДИАПАЗОНЫ следующих перечисленных ниже параметров, для которых предоставляемые характеристики действительны:
- показания шкалы,
- ИНДИЦИРУЕМЫЕ ЗНАЧЕНИЯ,
- входные токи.
10.2.1.8 ИНСТРУКЦИИ ПО ЭКСПЛУАТАЦИИ должны включать следующую информацию по конструкции ИЗМЕРИТЕЛЬНОГО КОМПЛЕКСА:
a) номер и тип требуемой батареи;
b) тип и максимальный ток плавких предохранителей;
c) разность потенциалов между земляным зажимом источника поляризованного напряжения и охранным электродом;
d) если доступ внутрь разрешен, электрическую схему с расположением или подробную блок-схему и порядок доступа;
e) если доступ внутрь не разрешен, предупреждение об этом;
f) указание о герметичности ИЗМЕРИТЕЛЬНОГО КОМПЛЕКСА для защиты от повышенной влажности;
g) метод использования осушителя, если таковой требуется.
Соответствие требованиям 10.2.1 проверяют с помощью инспекционного контроля соответствующего раздела ЭКСПЛУАТАЦИОННЫХ ДОКУМЕНТОВ.
10.2.2 Проверочный лист для ИЗМЕРИТЕЛЬНОГО КОМПЛЕКСА
ЭКСПЛУАТАЦИОННЫЕ ДОКУМЕНТЫ, поставляемые ИЗГОТОВИТЕЛЕМ, должны включать проверочный лист, содержащий результаты РУТИННЫХ ИСПЫТАНИЙ, проводимых ИЗГОТОВИТЕЛЕМ на каждом ИЗМЕРИТЕЛЬНОМ КОМПЛЕКСЕ, в рамках реализации программы контроля качества.
Проверочный лист должен содержать, как минимум:
a) типовой и серийный номера ИЗМЕРИТЕЛЬНОГО КОМПЛЕКСА;
b) измеренные значения ДРЕЙФА НУЛЯ ИЗМЕРИТЕЛЬНОГО КОМПЛЕКСА при заданных условиях измерения (
6.2.1 и/или
6.3.1);
c) КОРРЕКТИРУЮЩИЕ КОЭФФИЦИЕНТЫ при воздействии следующих ВЛИЯЮЩИХ ВЕЛИЧИН, если прибор не удовлетворяет требованиям соответствующего пункта без таких КОРРЕКТИРУЮЩИХ КОЭФФИЦИЕНТОВ:
| | ИС МЕГАНОРМ: примечание. В официальном тексте документа, видимо, допущена опечатка: имеется в виду п. 6.2.3, а не 6.2.4. | |
1) НЕЛИНЕЙНОСТЬ ИЗМЕРИТЕЛЬНОГО КОМПЛЕКСА (
6.2.4 и/или
6.3.3),
d) КОРРЕКТИРУЮЩИЕ КОЭФФИЦИЕНТЫ для других ВЛИЯЮЩИХ ВЕЛИЧИН, способных влиять на ЧУВСТВИТЕЛЬНОСТЬ ИЗМЕРИТЕЛЬНОГО КОМПЛЕКСА более чем на +/- 1,0%;
e) ЭТАЛОННЫЕ ЗНАЧЕНИЯ ВЛИЯЮЩИХ ВЕЛИЧИН, при которых КОРРЕКТИРУЮЩИЕ КОЭФФИЦИЕНТЫ могут скорректировать ЧУВСТВИТЕЛЬНОСТЬ ИЗМЕРИТЕЛЬНОГО КОМПЛЕКСА.
Соответствие требованиям 10.2.2 проверяют с помощью инспекционного контроля соответствующего раздела ЭКСПЛУАТАЦИОННЫХ ДОКУМЕНТОВ.
10.2.3 Свидетельство о калибровке ИЗМЕРИТЕЛЬНОГО КОМПЛЕКСА
Если ИЗМЕРИТЕЛЬНЫЙ КОМПЛЕКС работает с ИОНИЗАЦИОННОЙ КАМЕРОЙ после калибровки, ИЗГОТОВИТЕЛЬ обязан обеспечить свидетельство о калибровке, содержащее КАЛИБРОВОЧНЫЕ и КОРРЕКТИРУЮЩИЕ КОЭФФИЦИЕНТЫ, при которых ИНДИЦИРУЕМЫЕ ЗНАЧЕНИЯ ИЗМЕРИТЕЛЬНОГО КОМПЛЕКСА могут быть откорректированы, чтобы получить значения дозы или МОЩНОСТИ ДОЗЫ в ОПОРНОЙ ТОЧКЕ ИОНИЗАЦИОННОЙ КАМЕРЫ (
5.2.1 и
5.3.1).
Свидетельство о калибровке должно содержать:
a) типовой и серийный номера ИЗМЕРИТЕЛЬНОГО КОМПЛЕКСА;
b) типовой и серийный номера БЛОКА КАМЕРЫ;
c) условия калибровки, в частности:
1) эталонное качество излучения и ЭТАЛОННОЕ ИНДИЦИРУЕМОЕ ЗНАЧЕНИЕ указываемой величины, при которой используют КАЛИБРОВОЧНЫЙ КОЭФФИЦИЕНТ;
2) НОМИНАЛЬНЫЙ ДИАПАЗОН конкретного качества излучения, при котором применяют каждый КОРРЕКТИРУЮЩИЙ КОЭФФИЦИЕНТ;
3) инструментальные установки и рабочие условия, при которых проводилась калибровка;
4) для каждого значения ВЛИЯЮЩЕЙ ВЕЛИЧИНЫ ЭТАЛОННОЕ ЗНАЧЕНИЕ, при котором были откорректированы ИНДИЦИРУЕМЫЕ ЗНАЧЕНИЯ, например "откорректированы при атмосферном давлении 101,3 кПа";
d) наименование и адрес поверочной лаборатории, подпись и фамилию лица, проводившего калибровку, и соответствие ГОСУДАРСТВЕННОМУ ЭТАЛОНУ.
Если калибровка проведена лабораторией, не аккредитованной в соответствии с международными или национальными правилами, калибровочное свидетельство должно включать следующее: "Настоящая калибровка обеспечивает указание отклонений чувствительности камеры при заданном качестве излучения. Она не должна использоваться прямо или косвенно для калибровки дозы на пациента".
Соответствие требованиям 10.2.3 проверяют с помощью инспекционного контроля свидетельства о калибровке в ЭКСПЛУАТАЦИОННЫХ ДОКУМЕНТАХ.
10.3 ЭКСПЛУАТАЦИОННЫЕ ДОКУМЕНТЫ ПРИБОРА КОНТРОЛЯ СТАБИЛЬНОСТИ
10.3.1 ИНСТРУКЦИЯ ПО ЭКСПЛУАТАЦИИ ПРИБОРА КОНТРОЛЯ СТАБИЛЬНОСТИ
10.3.1.1 ЭКСПЛУАТАЦИОННЫЕ ДОКУМЕНТЫ, предоставляемые ИЗГОТОВИТЕЛЕМ, должны включать ИНСТРУКЦИЮ ПО ЭКСПЛУАТАЦИИ ПРИБОРА КОНТРОЛЯ СТАБИЛЬНОСТИ.
10.3.1.2 Для ПРИБОРА КОНТРОЛЯ СТАБИЛЬНОСТИ должно быть предусмотрено указание, как часто и каким образом следует контролировать ИЗМЕРИТЕЛЬНЫЙ КОМПЛЕКС и какие меры должны быть приняты для обеспечения соответствующей повторяемости.
10.3.1.3 Для ПРИБОРА КОНТРОЛЯ СТАБИЛЬНОСТИ в целом должно быть предусмотрено указание, как часто и каким образом следует контролировать КАМЕРУ с ИЗМЕРИТЕЛЬНЫМ КОМПЛЕКСОМ, и какие меры должны быть приняты для обеспечения соответствующей повторяемости.
10.3.1.4 Для радиоактивного ПРИБОРА КОНТРОЛЯ СТАБИЛЬНОСТИ руководство должно включать указание о правильном размещении ИОНИЗАЦИОННОЙ КАМЕРЫ и метод учета температуры в рабочем положении ИОНИЗАЦИОННОЙ КАМЕРЫ. Руководство должно включать предупреждение о том, что не следует без необходимости оставлять на долгий период БЛОК КАМЕРЫ в радиоактивном ПРИБОРЕ КОНТРОЛЯ СТАБИЛЬНОСТИ, если только это не связано с соответствующей проверкой характеристик БЛОКА КАМЕРЫ.
10.3.1.5 ИНСТРУКЦИИ ПО ЭКСПЛУАТАЦИИ должны включать значение повторяемости, полученное при ТИПОВЫХ ИСПЫТАНИЯХ.
10.3.1.6 ИНСТРУКЦИИ ПО ЭКСПЛУАТАЦИИ должны включать информацию о конструкции устройства и при использовании радиоактивного источника наименование и активность радионуклида, а также МОЩНОСТЬ ДОЗЫ на расстоянии 2 или 10 см от поверхности корпуса источника для того, чтобы были приняты соответствующие меры предосторожности при хранении в случае механического повреждения, воздействия пламени.
Соответствие требованиям 10.3.1 проверяют с помощью инспекционного контроля соответствующих разделов ЭКСПЛУАТАЦИОННЫХ ДОКУМЕНТОВ.
10.3.2 Проверочный лист ПРИБОРА КОНТРОЛЯ СТАБИЛЬНОСТИ
ЭКСПЛУАТАЦИОННЫЕ ДОКУМЕНТЫ, предоставляемые ИЗГОТОВИТЕЛЕМ, должны включать проверочный лист результатов РУТИННЫХ ИСПЫТАНИЙ, проводимых с конкретным ПРИБОРОМ КОНТРОЛЯ СТАБИЛЬНОСТИ (с указанием типа и серийного номера), как часть программы обеспечения контроля качества ИЗГОТОВИТЕЛЯ.
Для радиоактивного ПРИБОРА КОНТРОЛЯ СТАБИЛЬНОСТИ проверочный лист помимо типа и серийного номера устройства должен содержать следующие данные:
a) наименование, период полураспада и активность радионуклида с датой, до которой установленную активность применяют;
b) используемый метод и результаты испытаний по проверке радиоактивной загрязненности;
c) результаты измерений по определению утечки радиоактивности через корпус источника.
Соответствие требованиям проверяют с помощью инспекционного контроля соответствующих разделов ЭКСПЛУАТАЦИОННЫХ ДОКУМЕНТОВ.
10.3.3 Измерительный сертификат ПРИБОРА КОНТРОЛЯ СТАБИЛЬНОСТИ
10.3.3.1 При необходимости (
10.3.3.2,
10.3.3.3) измерительный сертификат должен содержать:
a) типовой и серийный номер ПРИБОРА КОНТРОЛЯ СТАБИЛЬНОСТИ;
b) типовой и серийный номер (номера) БЛОКА КАМЕРЫ и (или) ИЗМЕРИТЕЛЬНОГО КОМПЛЕКСА, предназначенных для работы с соответствующим ПРИБОРОМ КОНТРОЛЯ СТАБИЛЬНОСТИ;
c) условия измерения, в частности:
1) инструментальные установки и рабочие условия, при которых проводилась калибровка,
2) для каждой ВЛИЯЮЩЕЙ ВЕЛИЧИНЫ ЭТАЛОННОЕ ЗНАЧЕНИЕ, при котором условия контроля подверглись коррекции, например для радиоактивного ПРИБОРА КОНТРОЛЯ СТАБИЛЬНОСТИ и НЕГЕРМЕТИЧНОЙ ИОНИЗАЦИОННОЙ КАМЕРЫ должно быть указано: "коррекция проведена на атмосферное давление 101,3 кПа".
10.3.3.2 ПРИБОР КОНТРОЛЯ СТАБИЛЬНОСТИ
Если ПРИБОР КОНТРОЛЯ СТАБИЛЬНОСТИ используют с ИЗМЕРИТЕЛЬНЫМ КОМПЛЕКСОМ, ИЗГОТОВИТЕЛЬ должен представить измерительный сертификат со шкалой токов, полученных при использовании ИЗМЕРИТЕЛЬНОГО КОМПЛЕКСА с ПРИБОРОМ КОНТРОЛЯ СТАБИЛЬНОСТИ, перед отправкой прибора.
Если в ПРИБОРЕ КОНТРОЛЯ СТАБИЛЬНОСТИ используют радиоактивный источник, измерительный сертификат должен включать дату проведения измерений и информацию о том, как корректировать индикацию в зависимости от радиоактивного распада.
10.3.3.3 Общий ПРИБОР КОНТРОЛЯ СТАБИЛЬНОСТИ
Возможны два случая:
a) если общий радиоактивный ПРИБОР КОНТРОЛЯ СТАБИЛЬНОСТИ используют с ИОНИЗАЦИОННОЙ КАМЕРОЙ и ИЗМЕРИТЕЛЬНЫМ КОМПЛЕКСОМ, ИЗГОТОВИТЕЛЬ должен представить измерительный сертификат, содержащий значения шкалы показаний при использовании ПРИБОРА КОНТРОЛЯ СТАБИЛЬНОСТИ, ИОНИЗАЦИОННОЙ КАМЕРЫ и ИЗМЕРИТЕЛЬНОГО КОМПЛЕКСА, перед отправкой прибора;
b) если общий радиоактивный ПРИБОР КОНТРОЛЯ СТАБИЛЬНОСТИ используют только с ИОНИЗАЦИОННОЙ КАМЕРОЙ, ИЗГОТОВИТЕЛЬ должен представить измерительный сертификат, содержащий значение выходного тока ИОНИЗАЦИОННОЙ КАМЕРЫ, при использовании ПРИБОРА КОНТРОЛЯ СТАБИЛЬНОСТИ.
В обоих случаях измерительный сертификат должен включать дату проведения измерения и информацию о коррекции индикации из-за снижения радиоактивности.
Соответствие требованиям проверяют с помощью инспекционного контроля соответствующих разделов ЭКСПЛУАТАЦИОННЫХ ДОКУМЕНТОВ.
10.4 ЭКСПЛУАТАЦИОННЫЕ ДОКУМЕНТЫ на фантом и встроенные колпачки
10.4.1 ИНСТРУКЦИЯ ПО ЭКСПЛУАТАЦИИ для фантома и встроенных колпачков.
10.4.1.1 ЭКСПЛУАТАЦИОННЫЕ ДОКУМЕНТЫ, предоставляемые ИЗГОТОВИТЕЛЕМ, должны включать руководство об использовании фантома или колпачков и дополнительные необходимые указания, например о том, как избежать эффекта накопления заряда во время электронных дозиметрических измерений. Руководство может быть включено в документы для ИОНИЗАЦИОННОЙ КАМЕРЫ, с которой используют фантом и колпачки, либо представлять собой отдельный документ.
10.4.1.2 Если фантом или колпачок применяют для калибровки или при рутинном использовании с ИОНИЗАЦИОННОЙ КАМЕРОЙ, ИНСТРУКЦИЯ ПО ЭКСПЛУАТАЦИИ должна включать информацию о размерах, химическом составе, плотности и производителе материалов, из которых они изготовлены. Эту информацию следует также приводить для любого дополнительно используемого экрана, колпачка или блока.
10.4.1.3 Для твердого или наполняемого жидкостью фантома, который предназначен для размещения чувствительности объема ИОНИЗАЦИОННОЙ КАМЕРЫ на определенной глубине (или глубинах) в среде и в определенной позиции относительно оси пучка излучения, в ЭКСПЛУАТАЦИОННЫХ ДОКУМЕНТАХ следует указывать:
a) номинальную глубину ОПОРНОЙ ТОЧКИ ИОНИЗАЦИОННОЙ КАМЕРЫ (измеренной вдоль оси пучка излучения от поверхности фантома в максимальной близости от источника излучения) вместе с допуском на глубину, выраженным либо в миллиметрах, либо в процентах номинального значения;
b) допуск, выраженный в миллиметрах, на отклонение бокового положения ОПОРНОЙ ТОЧКИ ИОНИЗАЦИОННОЙ КАМЕРЫ относительно положения оси пучка излучения, как указано на входе и выходе фантома.
Соответствия требованиям 10.4.1 проверяют с помощью инспекционного контроля соответствующих разделов ЭКСПЛУАТАЦИОННЫХ ДОКУМЕНТОВ.
Рисунок 1 - Графическая иллюстрация значений, ошибки
и неопределенности
Кабель фиксируется в точках A и B. Через направляющую он идет в точку C. Расстояние между B и C равно 55 см. В точке D кабель пропущен через колесо. Все устройство на столе и в точке E весом около 2 кг закрепляется на кабеле.
Концом F кабель соединен с электрометром, а на другом конце G - с ИОНИЗАЦИОННОЙ КАМЕРОЙ, которая частично помещена в радиоактивный ПРИБОР КОНТРОЛЯ СТАБИЛЬНОСТИ так, чтобы обеспечивался ток, соответствующий нижнему уровню НОМИНАЛЬНОГО ДИАПАЗОНА МОЩНОСТИ ДОЗЫ для данной ИОНИЗАЦИОННОЙ КАМЕРЫ.
В точке H кабель пропущен через два направляющих колеса диаметром 8 см. Пара колес укреплена на эксцентриковом механизме, который движется вверх и вниз. Колебание в вертикальной плоскости - с амплитудой 4 см и частотой 1 Гц.
Примечания
1 Источник не требуется, если электрометр биполярен.
2 Электрометр должен быть быстродействующим
Рисунок 2 - Испытательное оборудование для измерения
микрофонного эффекта кабеля
(5.1.9)
Вид под углом 90° к оси пучка излучения
1 - ось пучка излучения; 2 - поверхность фантома;
3 - номинальная глубина (d +/- 0,5) мм (или +/- 0,01d);
4 - ИОНИЗАЦИОННАЯ КАМЕРА; 5 - ОПОРНАЯ ТОЧКА
Рисунок 3 - Допуск на глубину в фантоме
Вид вдоль оси пучка излучения
1 - типичная точка, обозначающая ось пучка излучения
и указываемая на фантоме; 2 - ИОНИЗАЦИОННАЯ КАМЕРА;
3 - ОПОРНАЯ ТОЧКА
Рисунок 4 - Допуск на поперечное положение в фантоме
(обязательное)
НЕОПРЕДЕЛЕННОСТЬ ИЗМЕРЕНИЙ
A.1 Введение
Для радиотерапевтических ДОЗИМЕТРОВ, разработанных в соответствии с настоящим стандартом, становится существенным вопрос: какова комбинированная стандартная неопределенность измерений, создаваемая ДОЗИМЕТРОМ.
В 1992 г. международная организация по стандартизации (ИСО) выпустила руководство для определения неопределенности в измерениях
[2], в котором рекомендованы процедуры для расчета комбинированной стандартной неопределенности по неопределенностям различных компонентов.
A.1.1 Категории неопределенностей для ДОЗИМЕТРОВ
Неопределенности, имеющие место в дозиметрии, можно сгруппировать по трем категориям:
a) калибровка.
В радиотерапии, как правило, для ДОЗИМЕТРОВ ПЕРВОГО КЛАССА предусмотрена калибровка по вторичным эталонным ДОЗИМЕТРАМ, которые в свою очередь калибруются непосредственно по ГОСУДАРСТВЕННОМУ ЭТАЛОНУ. На каждой стадии калибровки неопределенность возрастает, а зависимость значения неопределенности от коэффициентов калибровки указывается в свидетельстве о поверке;
b) характеристики ДОЗИМЕТРА.
Независимо от того, насколько хорошо откалиброван ДОЗИМЕТР, его КАЛИБРОВОЧНЫЕ КОЭФФИЦИЕНТЫ будут точными только в момент и при условиях калибровки. Так, например, для МОЩНОСТИ ДОЗЫ результаты будут содержать ошибку, зависящую от того, насколько измеряемая МОЩНОСТЬ ДОЗЫ отличается от той, при которой проводилась калибровка. Чем лучше ЭКСПЛУАТАЦИОННЫЕ ХАРАКТЕРИСТИКИ ДОЗИМЕТРА, тем меньше будет неопределенность;
c) процедура измерения.
Неопределенности могут возрастать при измерении дозы, если они не зависят от самого ДОЗИМЕТРА. Одним из примеров этого являются временные неопределенности в механизме затвора пучка, неточность установки расстояния, рассеянное излучение от поддерживающих камеру устройств и т.п. ДОЗИМЕТР измеряет правильно дозу в реальном положении ИОНИЗАЦИОННОЙ КАМЕРЫ, но эта доза не скорректирована на время, место и другие условия облучения пациента.
A.2 Руководство ИСО для определения неопределенности в измерениях
Приведенные ниже определения взяты из
[2].
Ковариантность
Измерение зависит от двух случайных переменных. Ковариантность случайных переменных y и z определяют по формуле
cov(y, z) = cov(z, y) = E{[y - E(y)][z - E(z)]},
что приводит к

,
где p(y, z) - возможная плотность функции двух переменных y и z.
Ковариантность cov(y, z) оценивают с помощью s(yizi), полученной из n повторных наблюдений yi и zi переменных y и z из формулы

,
где

,

.
Примечание - Ковариантность двух величин

и

соответствует

.
Комбинированная стандартная неопределенность
Стандартная неопределенность результата измерения, если этот результат получен из значений ряда других составляющих как равный положительному квадратному корню из суммы составляющих, при этом дисперсии или ковариантность этих взвешенных величин соответствуют тому, насколько изменяются результаты измерений в зависимости от изменения этих составляющих

.
Коэффициент охвата
Численный коэффициент, используемый как множитель для комбинированной стандартной неопределенности, для получения расширенной неопределенности.
Степень свободы (ИСО 3534-1, 2.85)
Число составляющих в сумме есть число связей составляющих суммы.
Функция распределения (ИСО 3534-1, 1.4)
Представленная функция для каждого значения x характеризует вероятность того, что случайная переменная X меньше или равна x
F(x) = Pr(X <= x).
РАСШИРЕННАЯ НЕОПРЕДЕЛЕННОСТЬ
Количество, определяющее интервал, внутри которого результаты измерений будут соответствовать измеренным величинам с высокой степенью совпадения.
Вероятность распределения (для случайной переменной) (ИСО 3534-1, 1.3)
Функция характеризует вероятность того, что случайная переменная соответствует данной величине либо принадлежит к данному набору значений.
Примечание - Вероятность всего набора значений случайной переменной равна единице.
Вероятность функции плотности (для продолжительных случайных переменных) (ИСО 3534-1, 1.5)
Производная (если она существует) функции распределения
f(x) = dF(x)/dx.
Примечание - f(x)dx - есть элемент вероятности
f(x)dx = Pr(x < X < x dx).
Случайная переменная (ИСО 3534-1, 1.2)
Переменная, которая может принимать любое из значений определенного ряда, с которым сверена вероятность распределения.
Примечания
1 Случайная переменная, которая может принимать только определенные значения, называется "дискретной". Случайная переменная, которая может принимать значения внутри определенного или неопределенного интервала, называется "продленной".
2 Вероятность события A обозначается Pr(A) или P(A).
Стандартное отклонение
Стандартное отклонение есть квадратный корень от дисперсии. Если стандартная неопределенность получена из квадратного корня статистически определенной дисперсии, часто оказывается более удобным вначале рассчитывать нестатистическое эквивалентное стандартное отклонение, а затем получать эквивалентное отклонение возведением в квадрат стандартного отклонения.
Стандартная неопределенность
Неопределенность результата измерения, выраженная стандартным отклонением.
Стандартная неопределенность типа A
Стандартная неопределенность, определенная методом статистического анализа серий наблюдений. Для удобства ее называют иногда стандартной неопределенностью типа A.
Стандартная неопределенность типа B
Стандартная неопределенность, определенная посредством других методов, отличных от статистического анализа серий наблюдений. Для удобства ее называют иногда стандартной неопределенностью типа B.
Неопределенность
Параметр, связанный с результатом измерений, характеризующий дисперсию величины, которая может быть обоснованно измерена.
Дисперсия
Ожидание квадратичного отклонения относительно ожидания случайной переменной.
Дисперсия переменной z с вероятностью плотности функции p(z) определяют по формуле

,
где

- ожидание
z.
Дисперсия

может быть приравнена к
s2(
zi), полученной из
n наблюдений, по формуле

,
где

вычисляют по формуле

.
Примечания
1 Коэффициент
n - 1 в выражении для
s2(
zi) определяют из корреляции между
zi и
z и отражает тот факт, что существует только
n - 1 независимых составляющих

для

.
2 Если выражение

от
z известно, дисперсия может быть выражена как

.
Дисперсия среднеарифметического означает среднее из наблюдений, в то время как дисперсия отдельных наблюдений есть собственно измерение неопределенности результата измерений. Дисперсия переменной
z должна быть отделена от дисперсии среднего значения

. Дисперсию среднего значения из серии
n независимых наблюдений определяют по формуле
и приближенно определяют по формуле

.
A.2.2 Выводы
Руководство ИСО для определения неопределенности в измерениях дает общие правила для оценки неопределенности и способствует более углубленным обсуждениям этого вопроса. Объективная цель настоящего приложения - показать пользователю, как эта процедура может быть использована для оценки общей неопределенности в значении дозы, измеренной с помощью ДОЗИМЕТРА, соответствующего требованиям настоящего стандарта.
В руководстве ИСО приближенное значение дисперсии u2, характеризующее каждую составляющую неопределенности, вызываемой измерениями, определяют с помощью одного из двух методов. Оба метода основаны на вероятности распределения и неопределенности компонентов, получаемых как результат от каждого типа количественного значения стандартного отклонения или дисперсии.
Стандартную неопределенность типа A рассчитывают по серии повторяющихся наблюдений, она является известной дисперсией, определяемой с помощью статистической процедуры. Для неопределенности компонентов, полученной из стандартной неопределенности типа B, приблизительную дисперсию получают с использованием других методик.
Руководство ИСО рекомендует следующую последовательность действий:
1) определяют математическим путем выражение для отношения, связывающего измеряемую величину Y и входные количественные величины Xi, составляющее модель процесса измерения
Y = f(xi).
Входные количественные величины могут включать переменные величины или неопределенности компонентов, которые в явном виде не входят в математическое выражение, используемое для определения измеряемого значения y
y = f(xi),
т.е. модель включает входные значения xi в виде фиксированных значений (часто единица), но имеющих неопределенности, влияющие на величину комбинированной стандартной неопределенности;
2) определяют входные количественные значения xj и стандартные неопределенности u(xi), где последние выражены в значениях экспериментальных стандартных отклонений (или стандартных отклонений от среднего значения) или количественной неопределенности, соответствующей стандартным отклонениям безотносительно к методу, используемому для определения их величины. Часто более удобно использовать относительную стандартную неопределенность u(y)/(y);
3) оценивают ковариантности u(xi, xj) (или корреляционных коэффициентов) для оценки входных оценочных количеств xi и xj соответствующими методами (на практике этот этап часто опускают, однако он может иметь существенное влияние на оценку общей стандартной неопределенности);
4) рассчитывают значение y и общую стандартную неопределенность uc(y), где uc(y) равно положительному квадратному корню общей дисперсии, полученной суммированием всех дисперсий и ковариантностей компонентов, используя закон распределения неопределенности, в виде математической функции, соответствующей модели измерения. Часто более удобным оказывается использовать относительную комбинированную стандартную неопределенность Uc(y)/(y);
5) если требуется определить РАСШИРЕННУЮ НЕОПРЕДЕЛЕННОСТЬ, чтобы обеспечить более высокий уровень точности, умножают общую стандартную неопределенность на коэффициент охвата k, обычно равный 2 или 3;
6) записывают результаты измерения y с их общей стандартной неопределенностью uc(y) или расширенной неопределенностью k uc(y) с указанием использованного значения коэффициента охвата k. Для результатов важное значение имеет указание неопределенностей всех компонентов u(xi) и u(xi, xj) с соответствующими степенями свободы.
A.3 Рекомендуемый коэффициент охвата для ДОЗИМЕТРОВ
Если есть необходимость получить РАСШИРЕННУЮ НЕОПРЕДЕЛЕННОСТЬ для более достоверного интервала, чем тот, который использовался для определения комбинированной стандартной неопределенности, используют коэффициент охвата k как множитель для общей стандартной неопределенности. Т.к. существует неопределенность в назначении неопределенности при использовании k, равного 2 или 3, обеспечивается интервал неопределенности с более высоким уровнем достоверности порядка 95% - 99%.
Для ДОЗИМЕТРОВ рекомендуется коэффициент охвата, равный 2. Это соответствует уровню достоверности 95%, если все ВЛИЯЮЩИЕ ВЕЛИЧИНЫ соответствуют нормальному распределению.
A.4 Формальности
Желательно оценить комбинированную стандартную неопределенность измерений на ДОЗИМЕТРАХ с ЭКСПЛУАТАЦИОННЫМИ ХАРАКТЕРИСТИКАМИ, соответствующими или превышающими требования настоящего стандарта. ЭКСПЛУАТАЦИОННЫЕ ХАРАКТЕРИСТИКИ записывают в значениях допускаемых пределов либо с симметричными пределами отклонения, например +/- L или L- = - L и L+ = + L, либо с асимметричными пределами, например от 0 до L или L- = 0 и L+ = + L.
Если пользователь не обеспечен дополнительной информацией, должны быть сделаны некоторые допущения о вероятности распределения ЭКСПЛУАТАЦИОННЫХ ХАРАКТЕРИСТИК в заданных пределах.
На
рисунке A.1 показаны различные вероятности распределения в симметричных пределах +/-
L. Дисперсия для окончательной вероятности распределения может быть выражена в значениях пределов
L (рисунок A.1). Если ЭКСПЛУАТАЦИОННАЯ ХАРАКТЕРИСТИКА имеет нормальную вероятность распределения в ПРЕДЕЛАХ ИЗМЕНЕНИЙ, должна быть предусмотрена процедура, подтверждающая наличие возможности определения конечной вероятности измеренной ЭКСПЛУАТАЦИОННОЙ ХАРАКТЕРИСТИКИ за ПРЕДЕЛАМИ ИЗМЕНЕНИЙ.
Рисунок A.1 - Вероятность распределения для ЭКСПЛУАТАЦИОННЫХ
ХАРАКТЕРИСТИК, лежащих в ПРЕДЕЛАХ ИЗМЕНЕНИЙ +/- L,
и выражение дисперсии в значениях L
Метод, приведенный на
рисунке A.1, был выбран исходя из предположения, что дисперсия нормальной вероятности распределения такова, что

или

имеет место в пределах
L. Эти два случая относятся к TN95 и TN99
(рисунок A.1). Для асимметричного случая с пределами от 0 до
L дисперсия будет составлять одну четверть от приведенной на
рисунке A.1.
Как показано в руководстве ИСО
[2], на практике не имеет значения, какой вид распределения принимается. Следующий пример предполагает равномерную вероятность распределения для каждой ЭКСПЛУАТАЦИОННОЙ ХАРАКТЕРИСТИКИ в допускаемых пределах. Если ЭКСПЛУАТАЦИОННАЯ ХАРАКТЕРИСТИКА имеет другую вероятность распределения, то умножают указанное значение стандартного отклонения для равномерной вероятности распределения на стандартное отклонение имеющегося распределения, разделенное на число 0,577.
Измерительная модель для оценки неопределенности ЭКСПЛУАТАЦИОННЫХ ХАРАКТЕРИСТИК следующая:

,
где K - МОЩНОСТЬ ДОЗЫ;
C - КАЛИБРОВОЧНЫЙ КОЭФФИЦИЕНТ для перевода тока ИОНИЗАЦИОННОЙ КАМЕРЫ в значение дозы;
I - измеренный ионизационный ток;
R - требуемая ЭКСПЛУАТАЦИОННАЯ ХАРАКТЕРИСТИКА.
Уравнение содержит произведение ЭКСПЛУАТАЦИОННЫХ ХАРАКТЕРИСТИК ИОНИЗАЦИОННОЙ КАМЕРЫ (обозначенных знаком
i, принимающим значения от 3 до 21) ИЗМЕРИТЕЛЬНОГО КОМПЛЕКСА (обозначенных знаком
j, принимающим значения от 22 до 43). ЭКСПЛУАТАЦИОННЫЕ ХАРАКТЕРИСТИКИ КАМЕРЫ
R1 и
R2 (оценка утечки) являются дополнительными ко всем прочим множителям.
R1 и
R2 - достаточно малые величины, поэтому множитель, приведенный в скобках, близок к единице. В зависимости от типа ДОЗИМЕТРА и измеряемого уровня МОЩНОСТИ ДОЗЫ
i и
j могут содержать только определенные комбинации значений в соответствии с тем фактом, что возможно множество пар комбинаций, например доза/МОЩНОСТЬ ДОЗЫ, НАПЕРСТКОВАЯ/ПЛОСКОПАРАЛЛЕЛЬНАЯ КАМЕРЫ, ГЕРМЕТИЧНАЯ/НЕГЕРМЕТИЧНАЯ КАМЕРЫ, низкий/высокий уровень измеряемой МОЩНОСТИ ДОЗЫ, автономный/сетевой источник питания ИЗМЕРИТЕЛЬНОГО КОМПЛЕКСА и т.п.
В
таблице A.1 суммируются пределы ЭКСПЛУАТАЦИОННЫХ ХАРАКТЕРИСТИК, при которых ИОНИЗАЦИОННЫЕ КАМЕРЫ и ИЗМЕРИТЕЛЬНЫЕ КОМПЛЕКСЫ должны удовлетворять требованиям настоящего стандарта. В зависимости от типа откалиброванного ДОЗИМЕТРА относительная комбинированная стандартная неопределенность может быть оценена: путем предположения или измерения вероятности распределения для каждого параметра ЭКСПЛУАТАЦИОННОЙ ХАРАКТЕРИСТИКИ, расчета соответствующей относительной стандартной неопределенности и дисперсии для каждого параметра, определения любых ковариантностей, определения всех весовых коэффициентов (т.е. частной производной в выражении для комбинированной стандартной неопределенности) для используемой измерительной модели, суммирования соответствующих весовых дисперсий и ковариантностей и извлечения положительного квадратного корня из полученной суммы.
В качестве примера рассматривается ДОЗИМЕТР ПЕРВОГО КЛАССА, соединенный кабелем с батареей и использующий НАПЕРСТКОВУЮ ИОНИЗАЦИОННУЮ КАМЕРУ для измерения МОЩНОСТИ ДОЗЫ при качестве излучения, определяемом слоем половинного ослабления 8 мм Al. Затем присваивают индексы i = 1, 2, 3, 5, 8, 9, 10, 11, 12, 14, 18, 19 и j = 23, 24, 26, 28, 30, 31, 32, 33, 38, 39, 40, 41. Для членов указанного выше уравнения, подставляемых в произведение, получаем, что частная производная в выражении комбинированной стандартной неопределенности равна 1. Для утечки это выражение следующее:

,
т.е. значение предела характеристики. Пусть неопределенность при измерении утечки равна 50% и имеет равномерное распределение. Пренебрегая ковариантностью, комбинированная неопределенность для ДОЗИМЕТРА, работающего в максимальных пределах всех допускаемых диапазонов ЭКСПЛУАТАЦИОННЫХ ХАРАКТЕРИСТИК, составляет 2,7%.
Если пользователь уделяет особое внимание регулировке ДОЗИМЕТРА, должны быть проведены дополнительные измерения для определения диапазона изменения ЭКСПЛУАТАЦИОННОЙ ХАРАКТЕРИСТИКИ для специального ДОЗИМЕТРА, имеющегося в распоряжении пользователя, или путем внедрения программы контроля качества для установленных ЭКСПЛУАТАЦИОННЫХ ХАРАКТЕРИСТИК необходимо убедиться в том, что для действительных условий использования ДОЗИМЕТРА отклонения меньше, чем допускаемые ПРЕДЕЛЫ ИЗМЕНЕНИЙ, приведенные в настоящем стандарте. В этом случае предполагаемый диапазон ЭКСПЛУАТАЦИОННЫХ ХАРАКТЕРИСТИК должен быть изменен.
В
таблице A.1 показано, как оценка комбинированной неопределенности может быть уменьшена до 0,9% при выполнении действий, указанных в графе "Примечание", если допустить, что все параметры ЭКСПЛУАТАЦИОННЫХ ХАРАКТЕРИСТИК имеют равномерную вероятность распределения.
В
таблице A.1 приведена оценка комбинированного стандартного отклонения для исполнения гипотетического ДОЗИМЕТРА, работающего либо при максимальных ПРЕДЕЛАХ ИЗМЕНЕНИЙ, допускаемых настоящим стандартом, либо при одном из отклонений, определенных дополнительными измерениями пользователя, или при использовании ДОЗИМЕТРА за пределами диапазона. В обоих случаях предполагается, что ЭКСПЛУАТАЦИОННАЯ ХАРАКТЕРИСТИКА имеет равномерную вероятность распределения в пределах допускаемого интервала.
Таблица A.1
Оценка комбинированного стандартного отклонения
ЭКСПЛУАТАЦИОННАЯ ХАРАКТЕРИСТИКА | Номер пункта | Относительная неопределенность <1>, % | Примечание | Относительная неопределенность <2>, % |
БЛОК КАМЕРЫ |
ТОК УТЕЧКИ БЛОКА КАМЕРЫ <3>, <4> | | | Пользователь проводит измерения МОЩНОСТЕЙ ДОЗЫ при утечке от 0,1% до 0,2% | +/- 0,06 |
Утечка после облучения <3>, <4> | | | Коэффициент изменения при девяти измерениях после облучения составляет +/- 0,4 | 0,13 |
Долговременная стабильность <3> | | | Использование регулировочных таблиц показывает, что предел для 99% составляет +/- 0,6% | +/- 0,2 |
Стабильность накопленной дозы | | +/- 0,58 | - | - |
ВРЕМЯ СТАБИЛИЗАЦИИ | | | Оставляют ДОЗИМЕТР на ночь перед измерениями | +/- 0,1 |
| | +/- 0,58 | - | - |
Поглощенная доза на импульс <6> | | +/- 0,58 | - | - |
Влияние рассеянного излучения <7> | | | Без изменений | +/- 0,29 |
Полярность поляризованного напряжения | | | Измеряют влияние полярности для МОЩНОСТИ ДОЗЫ, изменяющейся на 0,2% | +/- 0,06 |
КОРПУСНЫЕ КАМЕРЫ |
| | | НАПЕРСТКОВАЯ КАМЕРА используется только в пучках, в которых она была откалибрована. На основании заявленной энергетической ЧУВСТВИТЕЛЬНОСТИ КАМЕРЫ и оценки разницы в качестве излучения между калибровкой и использованием стандартное отклонение устанавливается 0,04% <8> | +/- 0,04 |
Размер поля - рассеяние на держателе | | | Стандартное отклонение при девяти повторяющихся измерениях рассеивания на держателе в макете ИОНИЗАЦИОННОЙ КАМЕРЫ при наиболее часто используемом размере поля на установке составляет +/- 0,45% | +/- 0,15 |
Размер поля - утечка | | | Диапазон измеренной утечки на держатель при различных размерах поля составляет +/- 0,5% | +/- 0,29 |
Вращение | | | ИЗГОТОВИТЕЛЬ ИОНИЗАЦИОННОЙ КАМЕРЫ устанавливает, что неопределенность из-за вращения составляет +/- 0,2% | +/- 0,2 |
Наклон | | | Пользователь должен быть аккуратен при установке ИОНИЗАЦИОННОЙ КАМЕРЫ. Устанавливается неопределенность из-за установки +/- 0,1% | +/- 0,1 |
ПЛОСКОПАРАЛЛЕЛЬНЫЕ КАМЕРЫ |
Качество излучения | | +/- 1,15 | - | - |
Размер поля | | +/- 1,15 | - | - |
Наклон | | +/- 0,58 | - | - |
НЕГЕРМЕТИЧНЫЕ КАМЕРЫ |
Температура | | | ИОНИЗАЦИОННАЯ КАМЕРА должна находиться в хорошо контролируемой окружающей среде (+/- 2 °C). Предполагается, что предел изменяется линейно в диапазоне +/- 0,4% | +/- 0,23 |
Влажность | | | ИОНИЗАЦИОННАЯ КАМЕРА должна находиться в хорошо контролируемой окружающей среде (+/- 15% RH). Предполагается, что предел изменяется линейно в диапазоне +/- 0,66% | +/- 0,38 |
ГЕРМЕТИЧНЫЕ КАМЕРЫ |
Изменение давления | | +/- 0,58 | - | - |
Температура | | +/- 0,58 | - | - |
Комбинированная стандартная неопределенность для БЛОКА КАМЕРЫ | - | +/- 1,96 | - | +/- 0,72 |
ИЗМЕРИТЕЛЬНЫЙ КОМПЛЕКС |
Электромагнитные поля | - | - | - | - |
| | | Измерение должно проводиться при МОЩНОСТИ ДОЗЫ с неопределенностью, вызванной РАЗРЕШЕНИЕМ, в пределах +/- 0,2% | +/- 0,11 |
Повторяемость | | | Как указано ИЗГОТОВИТЕЛЕМ | +/- 0,06 |
ДРЕЙФ НУЛЯ <3> - ДОЗИМЕТР | | +/- 0,58 | - | - |
ДРЕЙФ НУЛЯ <3> - измеритель МОЩНОСТИ ДОЗЫ | | | ИЗГОТОВИТЕЛЬ устанавливает, что пределы из-за ДРЕЙФА НУЛЯ составляют +/- 0,2% | +/- 0,11 |
СМЕЩЕНИЕ НУЛЯ - ДОЗИМЕТР | | +/- 0,58 | - | - |
СМЕЩЕНИЕ НУЛЯ - измеритель МОЩНОСТИ ДОЗЫ | | | Изготовитель устанавливает, что пределы из-за СМЕЩЕНИЯ НУЛЯ составляют +/- 0,4% | +/- 0,23 |
НЕЛИНЕЙНОСТЬ - ДОЗИМЕТР | | +/- 0,29 | - | - |
НЕЛИНЕЙНОСТЬ - измеритель МОЩНОСТИ ДОЗЫ | | | ИЗМЕРИТЕЛЬНЫЙ КОМПЛЕКС и КАМЕРА откалиброваны как единое устройство. Если измеренная МОЩНОСТЬ ДОЗЫ находится вблизи откалиброванной МОЩНОСТИ ДОЗЫ, неопределенность измерения должна быть +/- 0,1 | +/- 0,1 |
Долговременная стабильность <3> | | | Использование регулировочных таблиц показывает, что предел для 99% составляет +/- 0,6% | +/- 0,1 |
ВРЕМЯ СТАБИЛИЗАЦИИ | | | Пользователь оставляет устройство работающим на ночь | +/- 0,1 |
Влияние рассеянного излучения | | | На основании измерений в процедурной диапазон из-за влияния рассеянного излучения устанавливают +/- 0,2 | +/- 0,1 |
ДОЗИМЕТРЫ |
Изменяющийся диапазон | | +/- 0,29 | - | - |
Мертвое время | | +/- 0,29 | - | - |
Температура: | | | | |
ЧУВСТВИТЕЛЬНОСТЬ | | +/- 0,58 | - | - |
ДРЕЙФ НУЛЯ | | +/- 0,58 | - | - |
Влажность: | | | | |
ЧУВСТВИТЕЛЬНОСТЬ | | +/- 0,58 | - | - |
ДРЕЙФ НУЛЯ | | +/- 0,58 | - | - |
Измерители МОЩНОСТИ ДОЗЫ |
Изменяющийся диапазон | | | Пользователь планирует использовать только один диапазон | +/- 0,0 |
Температура: | | | ИЗМЕРИТЕЛЬНЫЙ КОМПЛЕКС должен находиться в хорошо контролируемой окружающей среде (+/- 2 °C). Предполагается, что предел изменяется линейно в диапазоне +/- 0,4% | +/- 0,23 |
ЧУВСТВИТЕЛЬНОСТЬ | | |
ДРЕЙФ НУЛЯ | | |
Влажность: | | | ИЗМЕРИТЕЛЬНЫЙ КОМПЛЕКС должен находиться в хорошо контролируемой окружающей среде (+/- 15% RH). Предполагается, что предел изменяется линейно в диапазоне +/- 0,66% | +/- 0,38 |
ЧУВСТВИТЕЛЬНОСТЬ | | |
ДРЕЙФ НУЛЯ | | |
Питание от батареи |
Состояние батареи | | | Перед измерениями устанавливают новые батареи | +/- 0,1 |
Питание от сети |
Напряжение сети (неизменное) | | +/- 0,29 | - | - |
Напряжение сети (изменяемое) | | +/- 0,29 | - | - |
Комбинированная стандартная неопределенность для ИЗМЕРИТЕЛЬНОГО КОМПЛЕКСА | - | +/- 1,84 | - | +/- 0,57 |
Комбинированная стандартная неопределенность | - | +/- 2,7 | - | +/- 0,9 |
<1> Относительная стандартная неопределенность, предполагающая, что отсутствует дополнительная информация о вероятности распределения ЭКСПЛУАТАЦИОННЫХ ХАРАКТЕРИСТИК в пределах допускаемого интервала, отличающегося от интервала при равномерном распределении, т.е. для симметричных пределов он равен 0,577 L, для пределов, изменяющихся от 0 до L, - 0,288 L. <2> Относительная стандартная неопределенность, предполагающая, что пользователь имеет дополнительную информацию о том, каковы пределы допускаемого интервала, но предполагается, что вероятность распределения ЭКСПЛУАТАЦИОННОЙ ХАРАКТЕРИСТИКИ в пределах уменьшенного интервала все еще имеет равномерное распределение, т.е. для симметричных пределов он равен 0,577 L, для пределов, изменяющихся от 0 до L, - 0,288 L. <3> Для ИОНИЗАЦИОННЫХ КАМЕРЫ первого класса. Для ИОНИЗАЦИОННОЙ КАМЕРЫ эталонного класса предел составляет половину этого значения. <4> Важно при низких МОЩНОСТЯХ ДОЗЫ. <5> Включенная в общую комбинированную неопределенность. <6> Рекомбинация ионов при высоких МОЩНОСТЯХ ДОЗЫ. <7> Если было измерено влияние рассеянного излучения, то должна быть произведена точная коррекция. В этом случае следует оценить неопределенность от корректировки. <8> См. текст настоящего приложения. |
Если качество пучка излучения неодинаковое при использовании и калибровке ИОНИЗАЦИОННОЙ КАМЕРЫ, необходимо подсчитать дополнительную НЕОПРЕДЕЛЕННОСТЬ в КАЛИБРОВОЧНОМ КОЭФФИЦИЕНТЕ C для функциональной зависимости от качества излучения f(BQ). Настоящий стандарт устанавливает пределы отклонения f(BQ), не C. Существуют два способа оценки влияния качества излучения на КАЛИБРОВОЧНЫЙ КОЭФФИЦИЕНТ. Первый способ (самый простой) - предполагают, что НЕОПРЕДЕЛЕННОСТЬ соответствует максимальному и минимальному отклонениям ЧУВСТВИТЕЛЬНОСТИ ИОНИЗАЦИОННОЙ КАМЕРЫ с качеством излучения, как заявлено ИЗГОТОВИТЕЛЕМ. Второй способ - калибруют в калибровочной лаборатории ИОНИЗАЦИОННУЮ КАМЕРУ при выбранных качествах излучения и чертят некоторую сглаженную кривую между измеренными значениями. Если кривая проходит через множество калибровочных точек, НЕОПРЕДЕЛЕННОСТЬ измерений на установке пользователя будет равна

,
где первое слагаемое определяет НЕОПРЕДЕЛЕННОСТЬ в измерении качества излучения между установкой пользователя и калибровочной установкой, а второе слагаемое является НЕОПРЕДЕЛЕННОСТЬЮ функциональной зависимости. Если КАМЕРА прокалибрована только на единичное качество излучения
BQ0, то НЕОПРЕДЕЛЕННОСТЬ измерения будет
f(
BQ)/
f(
BQ) - 1. Например рассматривают ДОЗИМЕТР, чувствительность которого изменяется линейно в зависимости от качества излучения от 1,02 при
BQ до 0,98 при 11
BQ. Тогда

. Если относительная НЕОПРЕДЕЛЕННОСТЬ в качестве излучения равна +/- 10% и допуск +/- 0,5%, тогда
u2 = (0,004)2·(0,1)2 + (0,005)2, или u ~= +/- 0,5.
Затем рассчитывают КОВАРИАНТНОСТЬ. В приведенных примерах имеется несколько значений КОВАРИАНТНОСТИ, которые были проигнорированы. Во-первых, плотность воздуха в НЕГЕРМЕТИЧНЫХ ИОНИЗАЦИОННЫХ КАМЕРАХ была откорректирована на эталонные условия. Допустимый диапазон температурного влияния на ИОНИЗАЦИОННУЮ КАМЕРУ и ИЗМЕРИТЕЛЬНЫЙ КОМПЛЕКС отличается от диапазона состояния газа. Однако при неправильном измерении температуры произойдут изменения в коррекции плотности воздуха, а также коррекции других температурных влияний, т.е. результаты коррелируются. Наиболее незначительное влияние температуры - это влияние изменения плотности воздуха между рентгеновской трубкой и ИОНИЗАЦИОННОЙ КАМЕРОЙ в зависимости от условий окружающей среды. Это может влиять на спектр, который в свою очередь влияет на качество излучения, которое в свою очередь влияет на КАЛИБРОВОЧНЫЙ КОЭФФИЦИЕНТ.
Существуют некоторые другие составляющие НЕОПРЕДЕЛЕННОСТИ использования ДОЗИМЕТРА, которые не указаны в настоящем стандарте. Примеры неограниченных (случай 1) и ограниченных (случай 2) ЭКСПЛУАТАЦИОННЫХ ХАРАКТЕРИСТИК приведены в
таблице A.2. В
таблице указана КОМБИНИРОВАННАЯ СТАНДАРТНАЯ НЕОПРЕДЕЛЕННОСТЬ для БЛОКА КАМЕРЫ, ИЗМЕРИТЕЛЬНОГО КОМПЛЕКСА и для БЛОКА КАМЕРЫ, соединенного с ИЗМЕРИТЕЛЬНЫМ КОМПЛЕКСОМ.
Таблица A.2
Гипотетический пример оценки НЕОПРЕДЕЛЕННОСТЕЙ в измерении
выходного сигнала рентгеновской установки с использованием
ДОЗИМЕТРА ПЕРВОГО КЛАССА
Первоначальная неопределенность | u, % | Примечание |
Первичный ЭТАЛОН |
Сравнение первичного ЭТАЛОНА со вторичным ЭТАЛОНОМ | +/- 1,0 | Калибровочный сертификат от первичной стандартизованной лаборатории устанавливает, что РАСШИРЕННАЯ НЕОПРЕДЕЛЕННОСТЬ с КОРРЕКТИРУЮЩИМ КОЭФФИЦИЕНТОМ, равным 2, составляет +/- 2% |
Сравнение ДОЗИМЕТРА ПЕРВОГО КЛАССА с вторичным ЭТАЛОНОМ | +/- 1,0 | На основании оценки вторичной стандартизованной лаборатории калибровочных НЕОПРЕДЕЛЕННОСТЕЙ |
Характеристики ДОЗИМЕТРА ПЕРВОГО КЛАССА |
| +/- 2,7 | Из таблицы A.1 для ДОЗИМЕТРА, удовлетворяющего требованиям настоящего стандарта по своим эксплуатационным характеристикам |
| +/- 0,9 | Из таблицы A.1, где пользователь проводит дополнительные измерения |
Процесс измерения |
НЕОПРЕДЕЛЕННОСТЬ, возникающая из-за заглушки | +/- 0,3 | Стандартное отклонение при измерениях НЕОПРЕДЕЛЕННОСТИ, возникающей из-за заглушки |
Установка расстояния | +/- 0,2 | Основано на анализе пользователем возможности расположения ДОЗИМЕТРА ПЕРВОГО КЛАССА в необходимой для измерений точке |
Однородность пучка | +/- 0,2 | Основано на предварительном измерении плотности почернения фотопленки в рентгеновском пучке |
Стабильность ДОЗИМЕТРА ПЕРВОГО КЛАССА | +/- 0,8 | Основано на процедуре контроля качества вторичной стандартизованной лаборатории |
КОМБИНИРОВАННАЯ СТАНДАРТНАЯ НЕОПРЕДЕЛЕННОСТЬ |
| +/- 3,2 | - |
| +/- 1,9 | - |
|
(справочное)
БИБЛИОГРАФИЯ
[1] ICRU (Международная комиссия мер и единиц в рентгенологии). Публикация 33-80. Величины и единицы в рентгенологии
[2] Руководство для определения неопределенностей в измерениях. Информационная публикация ИСО, 1993
[3] ICRU (Международная комиссия мер и единиц в рентгенологии). Публикация 34-82. Импульсное излучение в дозиметрии
[4] МАГАТЭ (Международное агентство по атомной энергии). Технический отчет N 277. Определение поглощенной дозы фотонного и электронного излучения: международный код
(справочное)
АЛФАВИТНЫЙ УКАЗАТЕЛЬ ТЕРМИНОВ
БЛОК КАМЕРЫ | |
ВЛИЯЮЩАЯ ВЕЛИЧИНА | |
ВОЗДУШНАЯ КЕРМА | |
ВРЕМЯ СТАБИЛИЗАЦИИ | |
ВРЕМЯ УСТАНОВЛЕНИЯ РАВНОВЕСИЯ | |
ВРЕМЯ ЧУВСТВИТЕЛЬНОСТИ | |
ГЕРМЕТИЧНАЯ КАМЕРА | |
ГОСУДАРСТВЕННЫЙ ЭТАЛОН | |
ДОЗИМЕТР ДЛЯ ЛУЧЕВОЙ ТЕРАПИИ (ДОЗИМЕТР) | |
ДОЗИМЕТР ПЕРВОГО КЛАССА | |
ДОЗИМЕТР ЭТАЛОННОГО КЛАССА | |
ДОСТУПНАЯ МЕТАЛЛИЧЕСКАЯ ЧАСТЬ | |
ДРЕЙФ НУЛЯ (ИЗМЕРИТЕЛЬНОГО КОМПЛЕКСА) | |
ИЗГОТОВИТЕЛЬ | |
ИЗДЕЛИЕ МЕДИЦИНСКОЕ ЭЛЕКТРИЧЕСКОЕ | |
ИЗМЕНЕНИЯ | |
ИЗМЕРЕННАЯ ВЕЛИЧИНА | |
ИЗМЕРИТЕЛЬНЫЙ КОМПЛЕКС | |
ИНДИЦИРУЕМОЕ ЗНАЧЕНИЕ | |
ИНСТРУКЦИИ ПО ЭКСПЛУАТАЦИИ | |
ИНСТРУМЕНТ | |
ИОНИЗАЦИОННАЯ КАМЕРА (КАМЕРА) | |
ИОНИЗАЦИОННАЯ КАМЕРА БЕЗ ОХРАННОГО ЭЛЕКТРОДА | |
ИОНИЗАЦИОННАЯ КАМЕРА С ОХРАННЫМ ЭЛЕКТРОДОМ | |
ИОНИЗАЦИОННАЯ КАМЕРА С ЧАСТИЧНО ОХРАННЫМ ЭЛЕКТРОДОМ | |
ИСТИННОЕ ЗНАЧЕНИЕ | |
КАЛИБРОВОЧНЫЙ КОЭФФИЦИЕНТ | |
КОРПУСНАЯ КАМЕРА | |
КОРРЕКТИРУЮЩИЙ КОЭФФИЦИЕНТ | |
МИНИМАЛЬНЫЙ НОМИНАЛЬНЫЙ ДИАПАЗОН | |
МОЩНОСТЬ КЕРМЫ | |
МОЩНОСТЬ ПОГЛОЩЕННОЙ ДОЗЫ В ВОДЕ | |
МОЩНОСТЬ ЭКСПОЗИЦИИ | |
НАПЕРСТКОВАЯ КАМЕРА | |
НЕГЕРМЕТИЧНАЯ КАМЕРА | |
НЕЛИНЕЙНОСТЬ | |
НОМИНАЛЬНЫЙ (ЭКСПЛУАТАЦИОННЫЙ) ДИАПАЗОН | |
ОБЩАЯ НЕОПРЕДЕЛЕННОСТЬ | |
ОПЕРАТОР | |
ОПОРНАЯ ТОЧКА КАМЕРЫ | |
ОТНОСИТЕЛЬНАЯ СОБСТВЕННАЯ ПОГРЕШНОСТЬ | |
ПАЦИЕНТ | |
ПИТАЮЩАЯ СЕТЬ | |
ПЛОСКОПАРАЛЛЕЛЬНАЯ КАМЕРА | |
ПОГЛОЩЕННАЯ ДОЗА В ВОДЕ | |
ПОГРЕШНОСТЬ ИЗМЕРЕНИЯ | |
ПОЛЬЗОВАТЕЛЬ | |
ПРЕДЕЛЫ ИЗМЕНЕНИЙ | |
ПРИБОР КОНТРОЛЯ СТАБИЛЬНОСТИ | |
ПРИБОРНЫЙ ПАРАМЕТР | |
РАБОЧИЙ ЭТАЛОН | |
РАЗРЕШЕНИЕ (дисплея) | |
РАСШИРЕННАЯ НЕОПРЕДЕЛЕННОСТЬ | |
РУТИННЫЕ ИСПЫТАНИЯ | |
СМЕЩЕНИЕ НУЛЯ (ИЗМЕРИТЕЛЬНОГО КОМПЛЕКСА) | |
СОБСТВЕННАЯ ПОГРЕШНОСТЬ | |
СОПРОВОДИТЕЛЬНЫЕ (ЭКСПЛУАТАЦИОННЫЕ ДОКУМЕНТЫ) | |
СТАНДАРТНЫЕ ИСПЫТАТЕЛЬНЫЕ ЗНАЧЕНИЯ | |
СТАНДАРТНЫЕ УСЛОВИЯ ИСПЫТАНИЙ | |
СФЕРИЧЕСКАЯ КАМЕРА | |
ТИПОВОЕ ИСПЫТАНИЕ | |
ТОК УТЕЧКИ (БЛОКА КАМЕРЫ) | |
УСЛОВНОЕ ИСТИННОЕ ЗНАЧЕНИЕ | |
УСТАНОВЛЕННАЯ ЭНЕРГЕТИЧЕСКАЯ ЧУВСТВИТЕЛЬНОСТЬ | |
ЧУВСТВИТЕЛЬНОСТЬ | |
ЭКСПЛУАТАЦИОННЫЕ ХАРАКТЕРИСТИКИ | |
ЭКСПОЗИЦИЯ | |
ЭТАЛОН | |
ЭТАЛОННОЕ ЗНАЧЕНИЕ | |
ЭТАЛОННОЕ ИНДИЦИРОВАННОЕ ЗНАЧЕНИЕ | |
ЭТАЛОННОЕ ПОКАЗАНИЕ ШКАЛЫ | |
ЭТАЛОННЫЕ УСЛОВИЯ | |
ЭФФЕКТИВНЫЙ ДИАПАЗОН (ИНДИЦИРУЕМЫХ ЗНАЧЕНИЙ) | |
УДК 621.386.82:006.354 | | | |
Ключевые слова: дозиметр, ионизационная камера, лучевая терапия, мощность дозы, погрешность измерения |