Главная // Актуальные документы // ГОСТ Р (Государственный стандарт)СПРАВКА
Источник публикации
М.: ФГБУ "Институт стандартизации", 2022
Примечание к документу
Документ утратил силу в связи с изданием
Приказа Росстандарта от 20.12.2023 N 1601-ст.
Документ
введен в действие с 01.03.2024.
Название документа
"ГОСТ Р 70540-2022. Национальный стандарт Российской Федерации. Кокс пековый электродный. Технические условия"
(утв. и введен в действие Приказом Росстандарта от 14.12.2022 N 1486-ст)
"ГОСТ Р 70540-2022. Национальный стандарт Российской Федерации. Кокс пековый электродный. Технические условия"
(утв. и введен в действие Приказом Росстандарта от 14.12.2022 N 1486-ст)
Утвержден и введен в действие
по техническому регулированию
и метрологии
от 14 декабря 2022 г. N 1486-ст
НАЦИОНАЛЬНЫЙ СТАНДАРТ РОССИЙСКОЙ ФЕДЕРАЦИИ
КОКС ПЕКОВЫЙ ЭЛЕКТРОДНЫЙ
ТЕХНИЧЕСКИЕ УСЛОВИЯ
Electrode pitch coke. Specifications
ГОСТ Р 70540-2022
Дата введения
1 марта 2024 года
1 РАЗРАБОТАН Акционерным обществом "Восточный научно-исследовательский углехимический институт" (АО "ВУХИН")
2 ВНЕСЕН Техническим комитетом по стандартизации ТК 395 "Кокс и продукты коксохимии"
3 УТВЕРЖДЕН И ВВЕДЕН В ДЕЙСТВИЕ
Приказом Федерального агентства по техническому регулированию и метрологии от 14 декабря 2022 г. N 1486-ст
4 ВВЕДЕН ВПЕРВЫЕ
Правила применения настоящего стандарта установлены в статье 26 Федерального закона от 29 июня 2015 г. N 162-ФЗ "О стандартизации в Российской Федерации". Информация об изменениях к настоящему стандарту публикуется в ежегодном (по состоянию на 1 января текущего года) информационном указателе "Национальные стандарты", а официальный текст изменений и поправок - в ежемесячном информационном указателе "Национальные стандарты". В случае пересмотра (замены) или отмены настоящего стандарта соответствующее уведомление будет опубликовано в ближайшем выпуске ежемесячного информационного указателя "Национальные стандарты". Соответствующая информация, уведомление и тексты размещаются также в информационной системе общего пользования - на официальном сайте Федерального агентства по техническому регулированию и метрологии в сети Интернет (www.rst.gov.ru)
Настоящий стандарт распространяется на кокс пековый электродный с размером кусков 10 мм и более, получаемый из каменноугольного пека и смолодистиллятной смеси и применяемый для изготовления анодной массы, обожженных анодов и других целей.
В настоящем стандарте использованы нормативные ссылки на следующие стандарты:
ГОСТ 2059 (ИСО 351-96) Топливо твердое минеральное. Метод определения общей серы сжиганием при высокой температуре
ГОСТ 2669 Кокс каменноугольный, пековый и термоантрацит. Правила приемки
ГОСТ 4204 Реактивы. Кислота серная. Технические условия
ГОСТ 4233 Реактивы. Натрий хлористый. Технические условия
ГОСТ 4668 Материалы углеродные. Метод измерения удельного электрического сопротивления порошка
ГОСТ 5954.1 (ISO 728:1995) Кокс. Ситовый анализ класса крупности 20 мм и более
ГОСТ 5954.2 (ISO 2325:86) Кокс. Ситовый анализ класса крупности менее 20 мм
ГОСТ 8606 (ISO 334:2013) Топливо твердое. Методы определения серы
ГОСТ 9147 Посуда и оборудование лабораторные фарфоровые. Технические условия
ГОСТ 10484 Реактивы. Кислота фтористоводородная. Технические условия
ГОСТ 22235 Вагоны грузовые магистральных железных дорог колеи 1520 мм. Общие требования по обеспечению сохранности при производстве погрузочно-разгрузочных и маневровых работ
ГОСТ 23083 Кокс каменноугольный, пековый и термоантрацит. Методы отбора и подготовки проб для испытаний
ГОСТ 27588 (ISO 579:2013) Кокс каменноугольный. Метод определения общей влаги
ГОСТ 32465 (ISO 19579:2006) Топливо твердое минеральное. Определение серы с использованием ИК - спектрометрии
ГОСТ Р 53228 Весы неавтоматического действия. Часть 1. Метрологические и технические требования. Испытания
ГОСТ Р 55660 Топливо твердое минеральное. Определение выхода летучих веществ
ГОСТ Р 55661 (ИСО 1171:2010) Топливо твердое минеральное. Определение зольности
Примечание - При пользовании настоящим стандартом целесообразно проверить действие ссылочных стандартов в информационной системе общего пользования - на официальном сайте Федерального агентства по техническому регулированию и метрологии в сети Интернет или по ежегодному информационному указателю "Национальные стандарты", который опубликован по состоянию на 1 января текущего года, и по выпускам ежемесячного информационного указателя "Национальные стандарты" за текущий год. Если заменен ссылочный стандарт, на который дана недатированная ссылка, то рекомендуется использовать действующую версию этого стандарта с учетом всех внесенных в данную версию изменений. Если заменен ссылочный стандарт, на который дана датированная ссылка, то рекомендуется использовать версию этого стандарта с указанным выше годом утверждения (принятия). Если после утверждения настоящего стандарта в ссылочный стандарт, на который дана датированная ссылка, внесено изменение, затрагивающее положение, на которое дана ссылка, то это положение рекомендуется применять без учета данного изменения. Если ссылочный стандарт отменен без замены, то положение, в котором дана ссылка на него, рекомендуется применять в части, не затрагивающей эту ссылку.
3.1 Основные параметры и размеры
В зависимости от зольности и массовой доли общей серы кокс делят на марки: КПЭ-1; КПЭ-2 и КПЭ-3.
3.2 Характеристики
3.2.1 По физико-химическим показателям кокс пековый электродный должен соответствовать нормам, указанным в
таблице 1.
Таблица 1
Физико-химические показатели
Наименование показателя | Норма для марки | Метод испытаний |
КПЭ-1 | КПЭ-2 | КПЭ-3 |
Высший сорт | Первый сорт |
| | | |
Зольность, %, не более | 0,25 | 0,30 | 0,30 | 0,50 | |
Массовая доля общей серы, %, не более | 0,25 | 0,30 | 0,70 | 0,70 | |
Массовая доля общей влаги, %, не более | 3,0 | 3,0 | 3,0 | 3,0 | |
Выход летучих веществ, %, не более | 0,8 | 0,8 | 0,8 | 0,8 | |
Массовая доля кусков размером не менее 25 мм, %, не более | 9,0 | 10,0 | 10,0 | 10,0 | |
Удельное электрическое сопротивление, Ом/мм, не более | 550·10-6 | 600·10-6 | 600·10-6 | 600·10-6 | |
Массовая доля оксида натрия, %, не более | 0,06 | 0,06 | 0,06 | 0,06 | |
Примечание - По согласованию с потребителем допускается нерассортированный кокс.
3.2.2 Показатель массовой доли общей влаги не является браковочным и служит для расчета с потребителем.
3.2.3 Требования настоящего стандарта являются обязательными.
Удельное электрическое сопротивление пекового кокса и массовую долю оксида натрия определяют не реже одного раза в месяц. Результаты анализов записывают в документе о качестве на протяжении последующего месяца.
5.1 Отбор проб кокса и подготовка их для лабораторных испытаний - по ГОСТ 23083.
5.2 Показатели зольности кокса определяют по
ГОСТ Р 55661 со следующим дополнением: в фарфоровую лодочку ЛЗ по
ГОСТ 9147 или кварцевую берут навеску массой 1 г. Озоление проводят в течение 1,5 - 2 ч, окончание озоления устанавливают по исчезновению светящихся точек в зольном остатке.
Подсчет результатов анализа и пересчет на сухую массу производят с точностью до третьего десятичного знака. За результат анализа принимают среднее арифметическое результатов двух параллельных определений, округленное до 0,01%.
Расхождение между результатами двух параллельных определений в одной лаборатории не должно превышать 0,03%, а в разных лабораториях по одной и той же аналитической пробе - 0,05%.
5.3 Удельное электрическое сопротивление пекового кокса определяют по
ГОСТ 4668 со следующим дополнением: подготовленную пробу пекового кокса предварительно прокаливают в криптоловой печи при температуре 1300 °C в течение 5 ч. Допускается прокаливать в любой электропечи, обеспечивающей температуру нагрева 1300 °C.
5.4 Определение массовой доли оксида натрия
5.4.1 Сущность метода
Метод основан на зависимости концентрации определяемого элемента в растворе от интенсивности его излучения, измеряемой на пламенном фотометре.
5.4.2 Аппаратура, реактивы и растворы
5.4.2.1 Фотометр пламенный с принадлежностями.
5.4.2.5 Кислота фтористоводородная по
ГОСТ 10484, плотностью 1,13 г/см
3.
5.4.2.6 Кислота серная по
ГОСТ 4204, плотностью 1,84 г/см
3, раствор 1:1.
Стандартный раствор хлорида натрия: 0,1886 г хлорида натрия, высушенного при 110 °C до постоянной массы, растворяют в растворе серной кислоты в стакане небольшой вместимости.
Раствор переносят в мерную колбу вместимостью 1000 см3, обмывают стакан над колбой и доводят до метки раствором серной кислоты.
1 см3 раствора соответствует 0,1 мг оксида натрия.
5.4.3 Подготовка к испытанию
5.4.3.1 Приготовление раствора A
Зольный остаток пекового кокса после определения зольности собирают в течение месяца. Из среднемесячной пробы золы, составленной из всех отправок кокса и предварительно измельченной в агатовой или яшмовой ступке до крупности не более 0,063 мм, берут навеску массой 0,1 г и помещают в платиновую чашку или тигель. Навеску увлажняют несколькими каплями воды, добавляют 5 см3 раствора серной кислоты и 10 - 12 см3 фтористоводородной кислоты. Содержимое тигля осторожно выпаривают досуха. Обработку навески кислотами и выпаривание повторяют.
К сухому остатку приливают 5 см3 раствора серной кислоты, 10 см3 воды и слегка нагревают до полного растворения осадка.
Раствор фильтруют через неплотный фильтр в мерную колбу вместимостью 100 см3, тигель и фильтр промывают горячей водой, охлаждают, доливают воду до метки и перемешивают содержимое. Фильтр выбрасывают. Полученный раствор используют для определения массовой доли оксида натрия.
Взвешивание производят на аналитических весах с погрешностью не более 0,0005 г.
5.4.3.2 Приготовление раствора A1
Контрольный раствор
A1 готовят по
5.4.3.1 без использования навески золы пекового кокса.
Примечание - Допускается готовить растворы A, A1 и стандартный раствор хлорида натрия с использованием раствора соляной кислоты 1:1.
5.4.3.3 Построение градуировочного графика
В мерные колбы вместимостью 100 см3 каждая наливают 0, 1, 2, 4, 6, 8 и 10 см3 стандартного раствора хлорида натрия. Колбы доливают раствором серной кислоты до метки и перемешивают.
100 см3 приготовленных растворов соответствуют 0; 0,1; 0,2; 0,4; 0,6; 0,8 и 1,0 мг оксида натрия.
Измеряют интенсивность излучения натрия в каждом растворе при длине волны 589 нм и регистрируют значение показаний прибора.
Градуировочный график строят по показаниям прибора и количеству оксида натрия в миллиграммах в соответствующих растворах.
Если показание прибора при измерении интенсивности излучения раствора, содержащего только раствор серной кислоты, дает отклонение, указывающее на наличие оксида натрия, это значение учитывают при измерении интенсивности излучения остальных растворов, используя при построении градуировочного графика разность полученных значений.
5.4.4 Проведение испытания
В две мерные колбы вместимостью 100 см3 каждая отмеряют: в одну 5 см3 раствора A, в другую 5 см3 контрольного раствора A1. Колбы доливают раствором серной кислоты до метки и перемешивают.
На пламенном фотометре измеряют интенсивность излучения указанных растворов при длине волны 589 нм.
По разности полученных значений при измерении интенсивности излучения исследуемого и контрольного растворов по градуировочному графику определяют количество оксида натрия в исследуемом растворе пробы.
5.4.5 Обработка результатов
5.4.5.1 Массовую долю оксида натрия в пековом коксе в процентах вычисляют по формуле

, (1)
где Ad - зольность пекового кокса, %;
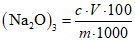
(Na2O)3 - массовая доля оксида натрия в золе пекового кокса, %, вычисленная по формуле

, (2)
где c - массовая доля оксида натрия, определенная по градуировочному графику, мг;
V - объем раствора используемой пробы для анализа, см3;
m - масса навески золы, г.
5.4.5.2 Расхождения между результатами двух определений не должны превышать: для проведенных в одной лаборатории по одной аналитической пробе - 0,005% (абс); для проведенных в разных лабораториях по одной аналитической пробе - 0,01% (абс).
УДК 662.749.2:006.354 | |
Ключевые слова: кокс пековый электродный, технические условия |