Главная // Актуальные документы // ГОСТ Р (Государственный стандарт)СПРАВКА
Источник публикации
М.: Стандартинформ, 2020
Примечание к документу
Документ
введен в действие с 01.08.2020.
Название документа
"ГОСТ Р 58814-2020. Национальный стандарт Российской Федерации. Музейное освещение. Термины и определения"
(утв. и введен в действие Приказом Росстандарта от 20.02.2020 N 72-ст)
"ГОСТ Р 58814-2020. Национальный стандарт Российской Федерации. Музейное освещение. Термины и определения"
(утв. и введен в действие Приказом Росстандарта от 20.02.2020 N 72-ст)
Утвержден и введен в действие
агентства по техническому
регулированию и метрологии
от 20 февраля 2020 г. N 72-ст
НАЦИОНАЛЬНЫЙ СТАНДАРТ РОССИЙСКОЙ ФЕДЕРАЦИИ
МУЗЕЙНОЕ ОСВЕЩЕНИЕ
ТЕРМИНЫ И ОПРЕДЕЛЕНИЯ
Museum lighting. Terms and definitions
ГОСТ Р 58814-2020
Дата введения
1 августа 2020 года
1 РАЗРАБОТАН Обществом с ограниченной ответственностью "Всесоюзный научно-исследовательский светотехнический институт им. С.И. Вавилова" (ООО "ВНИСИ")
2 ВНЕСЕН Техническим комитетом по стандартизации 332 "Светотехнические изделия, освещение искусственное"
3 УТВЕРЖДЕН И ВВЕДЕН В ДЕЙСТВИЕ
Приказом Федерального агентства по техническому регулированию и метрологии от 20 февраля 2020 г. N 72-ст
4 ВВЕДЕН ВПЕРВЫЕ
Правила применения настоящего стандарта установлены в статье 26 Федерального закона от 29 июня 2015 г. N 162-ФЗ "О стандартизации в Российской Федерации". Информация об изменениях к настоящему стандарту публикуется в ежегодном (по состоянию на 1 января текущего года) информационном указателе "Национальные стандарты", а официальный текст изменений и поправок - в ежемесячном информационном указателе "Национальные стандарты". В случае пересмотра (замены) или отмены настоящего стандарта соответствующее уведомление будет опубликовано в ближайшем выпуске ежемесячного информационного указателя "Национальные стандарты". Соответствующая информация, уведомление и тексты размещаются также в информационной системе общего пользования - на официальном сайте Федерального агентства по техническому регулированию и метрологии в сети Интернет (www.gost.ru)
Установленные в настоящем стандарте термины расположены в систематизированном порядке, отражающем систему понятий в области музейного освещения и охватывающем общие музейно-искусствоведческие термины, а также фотометрические, колориметрические, радиометрические и иные термины, связанные с освещением музейных предметов и помещений музеев.
Для каждого понятия установлен один стандартизованный термин. Для стандартизованных терминов
2.2.3,
2.2.5,
2.4.3 -
2.4.6,
2.5.10,
2.5.11,
2.5.27,
2.5.29,
2.7.5,
2.7.6,
2.7.8 -
2.7.11,
2.7.13,
2.7.48,
2.8.30 и
2.8.43 приведены в качестве справочных их краткие формы, которые разрешается применять в случаях, исключающих возможность их различного толкования.
Заключенная в круглые скобки часть термина может быть опущена при использовании термина в документах по стандартизации.
Наличие квадратных скобок в терминологической статье означает, что в нее включены два (три, четыре и т.п.) термина, имеющие общие терминоэлементы.
В алфавитном указателе термины приведены отдельно с указанием номера статьи.
Терминологические статьи, содержащие термины, установленные другими стандартами, заключены в рамки из тонких линий.
Приведенные определения можно, при необходимости, изменять, вводя в них производные признаки, раскрывая значения используемых в них терминов, указывая объекты, входящие в объем определенного понятия. Изменения не должны нарушать объем и содержание понятий, определенных в настоящем стандарте.
В стандарте приведен алфавитный
указатель терминов на русском языке.
Стандартизованные термины и единицы измерения набраны полужирным шрифтом, их краткие формы, в том числе представленные аббревиатурой, и/или общепринятые условные обозначения - светлым.
Настоящий стандарт устанавливает термины и определения в области музейного освещения.
Настоящий стандарт охватывает терминологию в указанной области в части общих музейно-искусствоведческих терминов, а также фотометрических, колориметрических, радиометрических и иных терминов, связанных с освещением музейных предметов и помещений музеев.
Настоящий стандарт не устанавливает специфическую терминологию в указанной области, характерную для узкопрофессионального применения.
Термины, установленные настоящим стандартом, применимы во всех видах документов (стандартах, технической и договорной документации, научно-технической, учебной, справочной литературе и т.п.) в сфере музейного освещения.
2.1 Общие музейно-искусствоведческие понятия
2.1.1
музей: Государственное, общественное, частное учреждение культуры, предназначенное для сбора, хранения, изучения и публичного представления (экспонирования, публикации) предметов - памятников естественной истории, материальной и духовной культуры и музейных коллекций, являющихся неотъемлемой частью национального культурного достояния, а также просветительской и популяризаторской деятельностью.
Примечание - В состав музейных помещений входят следующие группы, различающиеся по своему функциональному назначению и, соответственно, по требованиям к их освещению: вестибюль, экспозиционные залы, лекционные залы, административные, рабочие и подсобные помещения, лаборатории и мастерские, фондохранилища, технические помещения и др.
2.1.2
галерея: Художественные музеи, преимущественно с собранием картин.
2.1.3
дворец-музей: Музей, созданный на основе дворцового или дворцово-паркового ансамбля, обладающего высокой художественной и исторической ценностью.
2.1.4
выставка: Публичный (как правило, временный) показ музейных предметов, в том числе художественных произведений.
2.1.5
музейный предмет: Движимый объект культурного и/или природного наследия, имеющий научную, мемориальную, историческую и/или художественную ценность, выступающий как источник знания и эмоционального воздействия и подлежащий хранению и изучению в музейном учреждении.
Примечание - Для музеев исторического профиля музейный предмет - это памятник истории и культуры определенной эпохи, для музеев естественно-научного профиля - это объект природы, характеризующий природный процесс или явление и классифицирующийся по своей принадлежности к определенной профильной научной дисциплине: геологии, географии, зоологии, почвоведению и т.д.
2.1.6
экспонат (музейный): Музейный предмет, выставленный для обозрения.
Примечание - В качестве музейного экспоната могут быть как подлинные предметы, так и воспроизведенные (модели, макеты и т.д.) и научно-вспомогательные материалы (карты, схемы, графики, тексты).
2.1.7
подлинник: Истинный, оригинальный предмет, например: для памятников искусства подлинником считается оригинал, созданный самим мастером; для памятников истории - предмет, связанный с определенной эпохой, событием или лицом и т.д.
2.1.8
экспозиция (музейная): Публичная демонстрация музейных предметов.
2.1.9
хранение музейных фондов: Деятельность, направленная на обеспечение физической сохранности музейных предметов и их научное изучение.
Примечание - Максимальная сохранность музейных фондов, находящихся в фондохранилище и музейной экспозиции, обеспечивается системой безопасности, оптимально выбранным режимом (температурно-влажностный и световой режим, совокупность средств борьбы с загрязнением воздуха и т.д.) и системой хранения. Основные положения по организации хранения, зафиксированные в государственных нормативных документах, обязательны для всех музеев.
2.1.10
фондохранилище [депозитарий, запасник]: Помещение в музее или отдельное здание, специально оборудованное для хранения музейных предметов.
2.1.11
открытое хранение (музейных предметов): Форма хранения, экспонирования и актуализации фондов музея, позволяющая расширить доступ посетителей к музейным предметам.
2.1.12
реставрация: Комплекс научно-обоснованных минимальных вмешательств в музейный предмет, направленных на обеспечение его долговременной сохранности и, по возможности, на восстановление его экспозиционного вида при условии максимального сохранения подлинности.
2.1.13
реставрационная мастерская: Помещение для проведения реставрации музейных предметов (реставрационных работ).
2.1.14
консервация (музейных предметов): Обеспечение сохранности музейных предметов посредством их стабилизации, реставрации, режимов экспонирования и хранения.
2.1.15
витрина (экспозиционная): Застекленный объем для экспонирования музейных предметов.
2.1.16
стенд: Вертикальный щит для плоскостного экспонирования музейных предметов, а также вертикально расположенная витрина.
2.1.17
инсталляция: Пространственная композиция, созданная из различных элементов: бытовых предметов, промышленных изделий и материалов, природных объектов, текстов, визуальной информации.
2.1.18
классификация музейных предметов по цветовым характеристикам: Разделение музейных предметов на четыре группы в соответствии с их цветовыми характеристиками: ахроматические (серые), т.е. не имеющие выраженного цветового тона; монохроматические (одноцветные), т.е. имеющие единую цветовую тональность; полихроматические (многоцветные) тональные с доминирующей цветовой тональностью и многоцветные (пестрые), т.е. с равнозначными цветовыми тонами).
2.1.19
классификация музейных предметов по светостойкости: Разделение музейных предметов на группы в соответствии с их способностью сохранять свои исходные свойства под воздействием света.
Примечание - В международной практике различают четыре группы по светостойкости: I - нечувствительные к воздействию света; II - малочувствительные к воздействию света; III - среднечувствительные к воздействию света, и IV - высокочувствительные к воздействию света. В СССР, а затем в России музейные предметы подразделялись на три группы: малочувствительные (с высокой светостойкостью), среднечувствительные (со средней светостойкостью) и особочувствительные (с низкой светостойкостью). При этом к малочувствительным относятся, главным образом, музейные предметы, соответствующие группе I по международной классификации, к среднечувствительным - музейные предметы, соответствующие группе II по международной классификации, а особочувствительные музейные предметы объединяют в себе музейные предметы, которые по международной классификации относятся к группам III и IV.
2.1.20
шкала Blue Wool: Совокупность восьми синих шерстяных эталонов для измерения светостойкости, стандартизованная Международной организацией по стандартизации (ИСО).
2.1.21
краситель: Органическое вещество природного или искусственного происхождения, окрашивающее материал из раствора (чаще водного).
Примечание - Красители используют также для получения органических пигментов.
2.1.22
пигменты: Неорганические и органические окрашенные порошкообразные вещества природного и искусственного происхождения, не растворимые в средах, с которыми они смешиваются, применяющиеся для изготовления красок, а также для окрашивания материалов в массе и для придания им специальных свойств.
2.1.23
выцветание (обесцвечивание): Уменьшение первоначальной насыщенности цвета музейного предмета под воздействием света, других агрессивных факторов окружающей среды, а также в процессе естественного старения.
излучение (электромагнитное): Испускание или перенос энергии в форме электромагнитных волн и связанных с ними фотонов. |
оптическое излучение: Электромагнитное излучение с длиной волны от 100 нм до 1 мм. Примечание - В зависимости от длины волны оптическое излучение подразделяют на ультрафиолетовое (УФ), видимое и инфракрасное (ИК) излучение. |
2.2.3
ультрафиолетовое излучение; УФ-излучение: Оптическое излучение, длины волн монохроматических составляющих которого меньше длин волн видимого излучения.
Примечания
1 Применительно к музейному освещению - это оптическое излучение, у которого длины волн короче, чем 400 нм.
2 В светотехнической промышленности верхнюю границу УФ-излучения часто считают соответствующей длине волны 380 нм.
2.2.4
видимое излучение: Оптическое излучение, которое может непосредственно вызывать зрительное ощущение.
Примечания
1 Применительно к музейному освещению - это оптическое излучение, у которого длины волн лежат в диапазоне от 400 до 780 нм.
2 В светотехнической промышленности нижнюю границу видимого излучения часто считают соответствующей длине волны 380 нм.
2.2.5
инфракрасное излучение; ИК-излучение: Оптическое излучение, у которого длины волн монохроматических составляющих больше длин волн видимого излучения и лежат в диапазоне от 780 нм до 1 мм.
2.2.6
свет: Видимое излучение, которое рассматривается с точки зрения возбуждающего воздействия на зрительную систему.
2.2.7
естественный [дневной] свет: Часть полного солнечного излучения, способная вызывать зрительные ощущения.
2.2.8
тепло-белый свет: Свет с коррелированной цветовой температурой в диапазоне от 2700 до 3500 К.
2.2.9
нейтрально-белый свет: Свет с коррелированной цветовой температурой в диапазоне от 3500 до 5000 К.
2.2.10
холодно-белый свет: Свет с коррелированной цветовой температурой в диапазоне от 5000 до 8300 К.
2.2.11
длина волны, нм: Расстояние в направлении распространения периодической волны между двумя последовательными точками с одной и той же фазой колебания.
2.2.12
спектральная плотность (энергетической, световой или актиничной величины): Отношение энергетической, световой или актиничной величины в элементарном интервале длин волн, содержащем данную длину волны, к этому интервалу.
2.2.13
спектральное распределение (энергетической, фотометрической или актиничной величины): Зависимость спектральной плотности энергетической, фотометрической или актиничной величины от длины волны.
2.2.14
относительное спектральное распределение (энергетической, фотометрической или актиничной величины): Отношение спектрального распределения энергетической, фотометрической или актиничной величины к ее опорному значению, которое может быть средним, максимальным или произвольно выбранным значением данного спектрального распределения.
отражение: Возвращение излучения определенной поверхностью или средой без изменения частот его монохроматических составляющих. |
2.2.16
диффузное отражение: Рассеяние излучения в результате отражения, при котором на макроскопическом уровне отсутствует зеркальное отражение.
изотропное диффузное отражение: Диффузное отражение, при котором пространственное распределение отраженного излучения таково, что его энергетическая яркость или яркость одинаковы во всех направлениях в пределах полусферы, в которую отражается это излучение. |
зеркальное отражение: Отражение без рассеяния в соответствие с законами геометрической оптики. |
смешанное отражение: Частично зеркальное, частично диффузное отражение. |
рассеяние: Изменение пространственного распределения пучка лучей, отклоняемых во множестве направлений поверхностью или средой без изменения частот их монохроматических составляющих. Примечание - В зависимости от того, изменяются характеристики рассеяния с длиной волны падающего излучения или нет, различают соответственно "селективное рассеяние" и "неселективное рассеяние". |
пропускание: Прохождение излучения сквозь среду без изменения частот его монохроматических составляющих. |
диффузное пропускание: Обусловленное пропусканием рассеяние излучения, при котором на макроскопическом уровне отсутствует направленное пропускание. |
изотропное диффузное пропускание: Диффузное пропускание, при котором пространственное распределение прошедшего излучения таково, что его энергетическая яркость или яркость одинаковы во всех направлениях в пределах полусферы, в которую проходит это излучение. |
направленное пропускание: Пропускание без рассеяния в соответствии с законами геометрической оптики. |
смешанное пропускание: Частично направленное, частично диффузное пропускание. |
поглощение: Превращение энергии излучения в другую форму энергии в результате взаимодействия с веществом. |
преломление: Изменение направления распространения излучения вследствие изменения скорости его распространения в оптически неоднородной среде или при переходе границы, разделяющей разные среды. |
коэффициент отражения (для падающего излучения с заданными спектральным составом, поляризацией и пространственным распределением)  : Отношение отраженного потока излучения или светового потока к падающему потоку при заданных условиях. Примечание - Коэффициент отражения  представляет собой сумму коэффициента зеркального отражения  и коэффициента диффузного отражения  :  . |
коэффициент зеркального отражения  : Отношение зеркально отраженной части (полного) отраженного потока к падающему потоку. |
коэффициент пропускания (для падающего излучения с заданными спектральным составом, поляризацией и пространственным распределением)  : Отношение прошедшего потока излучения или светового потока к падающему при заданных условиях. Примечание - Коэффициент пропускания  представляет собой сумму коэффициента направленного пропускания  и коэффициента диффузного пропускания  :  . |
коэффициент диффузного пропускания td: Отношение диффузно пропущенной части (полного) пропущенного потока к падающему потоку. |
коэффициент диффузного отражения rd: Отношение диффузно отраженной части (полного) отраженного потока к падающему потоку. |
коэффициент направленного пропускания  : Отношение направленно пропущенной части (полного) пропущенного потока к падающему потоку. |
коэффициент поглощения  : Отношение поглощенного потока излучения или светового потока к падающему потоку (при определенных условиях). |
2.3.1
зрение: Распознавание различий во внешнем мире посредством ощущений, создаваемых светом, попадающим в глаз.
2.3.2
дневное зрение: Зрение нормального глаза, при котором основными активными фоторецепторами являются колбочки.
Примечания
1 Дневное зрение, как правило, реализуется при адаптации глаза к уровням яркости не менее чем 5 кд/м2.
2 Для дневного зрения типично восприятие цвета.
2.3.3
поле зрения: Выраженная в угловой мере часть пространства, в пределах которой находящийся в заданном положении глаз наблюдателя видит объекты.
Примечания
1 В горизонтальной плоскости поле зрения охватывает почти 190°. При бинокулярном зрении область охвата равна примерно 120°, а поле зрения одного глаза охватывает примерно 154°.
2 Поле зрения с возрастом уменьшается.
2.3.4
адаптация: Процесс изменения состояния зрительной системы, вызванный изменениями условий освещения или наблюдения, таких как яркость, спектральный состав излучения и/или угловые размеры световых стимулов.
Примечание - Считается, что данное определение включает в себя адаптацию к определенным пространственным частотам, размерам объектов, их ориентации и т.д.
2.3.5
аккомодация: Изменение оптической силы хрусталика глаза, позволяющее четко фокусировать изображение объекта на сетчатке.
2.3.6
зрительный комфорт: Субъективное ощущение удобства при зрительном восприятии окружающей среды.
2.3.7
светлота: Свойство зрительного восприятия, в соответствии с которым объект воспринимается как излучающий или отражающий больше или меньше света.
Примечание - Светлота является атрибутом только неизолированных цветов.
2.3.8
светлота неизолированного цвета: Светлота объекта, которая оценивается по сравнению со светлотой таким же образом освещенного объекта, который кажется белым или хорошо пропускающим свет.
2.3.9
яркий: Прилагательное, используемое для описания высоких уровней светлоты.
2.3.10
тусклый: Прилагательное, используемое для описания низких уровней светлоты.
2.3.11
светлый: Прилагательное, которое используется для описания высоких уровней светлоты неизолированного цвета.
2.3.12
темный: Прилагательное, которое используется для описания низких уровней светлоты неизолированного цвета.
2.3.13
контраст: Субъективное восприятие качественного или количественного различия двух частей поля зрения, видимых одновременно или последовательно (различают яркостный контраст, цветовой контраст, контраст при одновременной демонстрации стимулов, контраст при последовательной демонстрации стимулов и т.д.).
Примечание - В физическом смысле величина, соответствующая воспринимаемому контрасту светлоты, которую, как правило, вычисляют по одной из формул, включающих в себя значения яркостей рассматриваемых стимулов, например выражаемая через пороговый контраст (вблизи порога яркости) или - при значительно больших яркостях - через отношение яркостей.
светлотный контраст: Субъективная оценка различия светлот двух или нескольких поверхностей, наблюдаемых одновременно или последовательно. |
яркостный контраст: Фотометрическая величина, которая соответствует светлотному контрасту. Примечание - Яркостный контраст может быть выражен через отношение яркостей C1 = L2/L1 - для наблюдаемых последовательно стимулов, или C2 = (L2 - L1)/L1 - для наблюдаемых одновременно поверхностей. Если зоны, имеющие различные яркости, сравнимы по размерам, и желательно получить усредненное значение яркостного контраста, то можно воспользоваться формулой C3 = (L2 - L1)/[0,5·(L2 + ... + L1)], где L1 - яркость фона или наибольшей части поля зрения; L2 - яркость объекта. |
цветовой контраст: Субъективная оценка различия цветов двух или нескольких поверхностей, наблюдаемых одновременно или последовательно. |
контраст объекта различения с фоном K: Яркостный контраст, определяемый отношением разности между яркостью объекта и фона к яркости фона. Примечание - Контраст объекта различения с фоном считают большим при |K| > 0,5 (объект и фон резко отличаются по яркости), средним при 0,2 <= |K| <= 0,5 (объект и фон заметно отличаются по яркости) и малым при |K| < 0,2 (объект и фон мало отличаются по яркости). |
2.3.18
пороговая разность яркостей: Наименьшая воспринимаемая разность яркостей двух смежных полей.
пороговый контраст: Наименьший воспринимаемый контраст объекта различения с фоном. |
2.3.20
контрастная чувствительность: Величина, обратная пороговому контрасту, как правило, представляемая в виде

, где
L - среднее значение яркости, а

- пороговая разность яркостей.
Примечание - Контрастная чувствительность зависит от ряда факторов, включая яркость, условия наблюдения и уровень адаптации.
2.3.21
блескость: Явление, при котором появляется дискомфорт или ухудшается способность видеть детали или объекты вследствие неблагоприятного распределения или уровня яркости или экстремальных контрастов.
2.3.22
прямая блескость: Блескость, которая появляется из-за наличия самосветящихся объектов, расположенных в поле зрения, особенно в направлениях, близких к линии зрения.
отраженная блескость: Характеристика отражения светового потока от рабочей поверхности в направлении глаза работающего, определяющая снижение видимости вследствие чрезмерного увеличения яркости рабочей поверхности и вуалирующего действия, снижающего контраст между объектом и фоном. |
2.3.24
дискомфортная блескость: Блескость, вызывающая неприятные ощущения (дискомфорт), но не обязательно ухудшающая при этом видимость объектов.
слепящая блескость: Блескость, ухудшающая видимость объектов, но не обязательно вызывающая дискомфорт. |
2.3.26
блик: Яркий отблеск света или световое пятно.
2.3.27
цвет (воспринимаемый): Характеристика зрительного восприятия, которая может быть описана при помощи таких понятий, как цветовой тон, светлота и полнота цвета (насыщенность или воспринимаемая чистота цвета).
Примечания
1 Воспринимаемый цвет зависит от спектрального состава цветового стимула, от его размера, формы и структуры, а также от окружающего стимул фона, уровня адаптации зрительной системы наблюдателя и квалификации и опыта наблюдателя при работе в аналогичных условиях.
2 Воспринимаемый цвет может выглядеть по-разному. Различные обозначения восприятия цвета предназначены для того, чтобы обеспечить возможность различения качественных и геометрических характеристик восприятия цвета. Некоторые из наиболее важных обозначений восприятия цвета включают в себя цвет объекта, цвет поверхности и цвет апертуры. В число других обозначений входят цвет пленки, цвет объема, цвет излучения (иллюминанта), цвет объекта, цвет всего поля. Каждая из этих разновидностей восприятия цвета может быть описана соответствующими прилагательными, позволяющими охарактеризовать различные комбинации цветов, а также их временные и пространственные характеристики. Примеры других терминов, описывающих качественные отличия между воспринимаемыми цветами, приведены в
2.3.28 "цвет самосветящегося объекта",
2.3.29 "цвет несамосветящегося объекта",
2.3.30 "неизолированный цвет" и
2.3.31 "изолированный цвет".
3 Когда значение термина "цвет" понятно из контекста, он может применяться отдельно, без определяющих слов.
2.3.28
цвет самосветящегося объекта: Цвет объекта, который выглядит как первичный источник света или как зеркально отражающий свет такого источника.
Примечание - Наблюдаемые в естественных условиях первичные источники света воспринимаются именно как цветные самосветящиеся объекты.
2.3.29
цвет несамосветящегося объекта: Цвет объекта, который выглядит как вторичный источник света, пропускающий или диффузно отражающий свет.
Примечание - Наблюдаемые в естественных условиях вторичные источники света обычно воспринимаются именно как цветные несамосветящиеся объекты.
2.3.30
неизолированный цвет: Цвет, воспринимаемый как принадлежащий объекту, видимому на фоне других цветов.
2.3.31
изолированный цвет: Цвет, воспринимаемый как принадлежащий объекту, видимому изолированно от других цветов.
2.3.32
цветовой стимул: Видимое излучение, попадающее в глаз и вызывающее ощущение хроматического или ахроматического цвета.
2.3.33
хроматический цвет: Цвет, имеющий цветовой тон.
Примечание - В повседневной жизни слово "цвет" часто используется именно в этом смысле, как противоположность словам: "белый", "серый" и "черный". Прилагательное "цветной" обычно относится к хроматическому цвету.
2.3.34
ахроматический цвет: Воспринимаемый цвет, не имеющий цветового тона.
Примечание - Как правило, для определения ахроматического цвета используют такие названия цветов, как "белый", "серый" или "черный", или в случае объектов, пропускающих свет, - "бесцветный" и "нейтральный".
2.3.35
цветовой тон: Характеристика цвета (воспринимаемого), описываемая словами: "синий", "зеленый", "желтый", "красный", "пурпурный" и т.д.
2.3.36
ощущение полноты цвета: Свойство зрительного восприятия, в соответствии с которым воспринимаемый цвет объекта представляется хроматическим.
2.3.37
воспринимаемая чистота цвета: Ощущение полноты цвета объекта, оцененное в долях светлоты аналогичным образом освещенного объекта, который воспринимается белым или легко пропускающим свет.
2.3.38
насыщенность (цвета): Полнота цвета объекта, оцениваемая пропорционально его светлоте.
Примечание - При заданных условиях наблюдения и соответствующих дневному зрению уровнях яркости имеющий заданную цветность цветовой стимул характеризуется примерно одной и той же насыщенностью цвета при всех значениях яркости, за исключением случаев очень высокой светлоты.
2.3.39
цветовое видение облика объекта: Свойство зрительного восприятия, которое позволяет распознать объект по его цвету.
2.3.40
эффект Ханта: Возрастание ощущения полноты цвета хроматического стимула по мере роста его фотометрической яркости (даже если его цветность остается неизменной).
2.3.41
эффект Стивенса: Эффект Стивенса выражается в том, что по мере роста фотометрической яркости темные цвета воспринимаются еще более темными, а светлые - еще более светлыми.
2.3.42
эффект Гельмгольца-Кольрауша: Изменение светлоты воспринимаемого цвета вследствие увеличения чистоты цветового стимула при поддержании постоянства его яркости.
Примечание - В случае неизолированных цветов изменение светлоты объекта может иметь место также и при увеличении чистоты цветового стимула, яркость которого поддерживается постоянной.
2.3.43
эффект Бецольда-Брюкке: Изменение воспринимаемого цветового тона при изменении яркости цветового стимула, в то время как его цветность остается неизменной.
Примечания
1 У определенных монохроматических стимулов цветовой тон остается неизменным в широком диапазоне уровней яркости (при заданных условиях адаптации). Длины волн этих цветовых стимулов в некоторых случаях называют инвариантными длинами волн.
2 При увеличении яркости цветовые тона смещаются в сторону синего цвета для длин волн менее 500 нм и в сторону желтого цвета для длин волн более 500 нм (при увеличении светлоты красные тона приобретают желтый оттенок).
2.4.1
фотометрия: Измерение величин, характеризующих излучение в соответствии с принятой функцией относительной спектральной световой эффективности.
2.4.2
система фотометрических (световых) величин: Совокупность величин, образованных из энергетических величин при помощи относительной спектральной световой эффективности монохроматического излучения для дневного зрения

.
Примечания
1 От радиометрических фотометрические величины отличаются тем, что характеризуют свет с учетом его способности вызывать у человека зрительные ощущения.
2 В качестве единиц измерения фотометрических величин используют особые фотометрические единицы, базирующиеся на единице силы света, называемой "кандела", которая является одной из семи основных единиц Международной системы единиц (СИ).
кандела; кд = лм·ср-1: Сила света в заданном направлении источника монохроматического излучения с частотой 540·1012 Гц, сила излучения которого в этом направлении составляет 1/683 Вт·ср-1, - основная единица измерения в международной системе единиц (СИ) для фотометрии. |
люмен, лм: Световой поток, излучаемый в единичном телесном угле (стерадиан) равномерным точечным источником с силой света 1 кандела - единица измерения светового потока в международной системе единиц (СИ). |
люкс, лк = лм·м-2: Освещенность, создаваемая световым потоком в 1 лм, равномерно распределенным по поверхности, площадь которой равна 1 м2 - единица измерения освещенности в международной системе единиц (СИ). |
2.4.6
стерадиан, ср: Единица телесного угла в системе СИ: телесный угол с вершиной в центре сферы, вырезающий на поверхности сферы площадь, равную площади квадрата со стороной, равной радиусу сферы.
2.4.7
относительная спектральная световая эффективность (оптического излучения для дневного зрения)

: Отношение двух потоков излучения с длинами волн

и

, вызывающих в точно определенных фотометрических условиях зрительные ощущения одинаковой силы; длина волны

выбирается так, чтобы максимальное значение этого отношения равнялось единице.
Примечание - Фотометрические величины рассчитываются интегрированием произведения радиометрической величины на функцию относительной спектральной световой эффективности с последующим умножением на максимальное значение функции спектральной световой эффективности, при этом интегрирование выполняется по всей спектральной области оптического диапазона длин волн. Например, для стандартного наблюдателя МКО
<1> в условиях дневного зрения световой поток источника света

со спектральной плотностью потока излучения

определяется следующим выражением:

,
где Km = 683,002 лм/Вт ~= 683 лм/Вт.
--------------------------------
<1> Международная комиссия по освещению; МКО: Техническая, научная и культурная некоммерческая организация, целями которой являются:
- обсуждение на международном уровне всех вопросов, касающихся науки, техники и искусства в области света и освещения, а также обеспечение возможности обмена информацией в этих областях между странами;
- разработка базовых стандартов и методик измерений в области света и освещения;
- разработка руководств по разработке международных и национальных стандартов в области света и освещения;
- подготовка и публикация стандартов, отчетов и других материалов по всем вопросам, касающимся науки, техники и искусства в области света и освещения;
- поддержание связи и техническое взаимодействие с другими международными организациями, занимающимися вопросами науки, техники, стандартизации и искусства в области света и освещения.
2.4.8
угол падения (света), град: Угол между падающим на поверхность лучом света и нормалью к этой поверхности.
2.4.9
угол наблюдения, град: Угол между направлением наблюдения и нормалью к наблюдаемой поверхности.
2.4.10
телесный угол, ср: Часть пространства, ограниченная некоторой конической поверхностью.
Примечания
1 Коническая поверхность - это множество прямых (образующих) в пространстве, соединяющих все точки некоторой замкнутой линии (направляющей) с рассматриваемой точкой пространства (вершиной телесного угла).
2 Величина телесного угла равна площади части поверхности единичной сферы с центром в рассматриваемой точке, вырезаемая формируемым его образующими конусом с основанием, совпадающим с этой частью поверхности.
2.4.11
плоскость измерения: Плоскость, на которой проводят измерения освещенности, яркости и т.д.
2.4.12
рабочая поверхность: Расчетная поверхность, определяемая как плоскость, на которой, как правило, производится работа и нормируется и измеряется освещенность.
Примечание - В технике внутреннего освещения, если иное не оговорено, за рабочую плоскость принимается горизонтальная плоскость на высоте 0,8 м над полом, ограниченная стенами помещения.
2.4.13
световой поток, лм: Величина, образуемая от потока излучения Ф
е при оценке излучения по его действию на селективный приемник, спектральная чувствительность которого определяется относительной спектральной световой эффективностью оптического излучения.
Примечание - См.
примечание к термину "относительная спектральная световая эффективность".
2.4.14
прямой световой поток, лм: Световой поток, поступающий на поверхность непосредственно от светильника.
2.4.15
отраженный световой поток, лм: Световой поток, поступающий на поверхность от светильника после отражения от других поверхностей осветительной установки.
2.4.16
сила света (источника в данном направлении), кд: Отношение светового потока, исходящего от источника и распространяющегося внутри элементарного телесного угла, содержащего данное направление, к этому телесному углу.
Примечание - Строго говоря, это определение справедливо только для точечного источника света.
2.4.17
яркость (в заданном направлении, в заданной точке реальной или воображаемой поверхности), кд·м
-2: Физическая величина, определяемая отношением светового потока, распространяющегося в содержащем заданное направление единичном телесном угле с площадки единичной площади, нормально расположенной к заданному направлению.
максимальная яркость Lмакс, кд·м-2: Наибольшее значение яркости, определенное в точках заданной поверхности. Примечание - Точки, в которых определяют яркость, устанавливают в соответствующих стандартах. |
минимальная яркость Lмин, кд·м-2: Наименьшее значение яркости, определенное в точках заданной поверхности. Примечание - Точки, в которых определяют яркость, устанавливают в соответствующих стандартах. |
2.4.20
средняя яркость, кд·м
-2: Яркость, усредненная по заданной поверхности или заданному телесному углу.
Примечание - На практике она может быть аппроксимирована средним значением яркостей регламентированного количества точек на поверхности или в пределах телесного угла. Количество и положение этих точек устанавливают в соответствующих стандартах.
2.4.21
равномерность яркости (поверхности): Отношение минимальной яркости заданной поверхности к средней яркости этой поверхности.
2.4.22
неравномерность яркости (поверхности): Отношение максимальной заданной поверхности к средней яркости этой поверхности.
2.4.23
габаритная яркость, кд·м
-2: Средняя яркость светящей поверхности светильника, видимой в данном направлении.
Примечание - Определяется отношением силы света светильника в данном направлении к площади проекции его светящей поверхности на плоскость, перпендикулярную к этому направлению.
2.4.24
показатель яркости (элемента поверхности среды в заданном направлении при определенных условиях освещения), ср
-1: Частное отделения яркости элемента поверхности в заданном направлении на освещенность этого элемента.
2.4.25
отношение яркостей (сцены или изображения): Отношение максимальной и минимальной яркостей, которые присутствуют в конкретной сцене, иллюстрации, фотографии, фотомеханической или другой репродукции.
2.4.26
светимость (в точке поверхности), лм·м
-2: Отношение светового потока, исходящего от элемента поверхности, который содержит данную точку, к площади этого элемента.
освещенность Ev, E, лк: Физическая величина, определяемая отношением светового потока, падающего на малый участок поверхности, содержащий рассматриваемую точку, к площади этого участка,  . |
вертикальная освещенность Eв, лк: Освещенность на вертикальной плоскости. |
горизонтальная освещенность Eг, лк: Освещенность на горизонтальной плоскости. |
цилиндрическая освещенность, Eц, лк: Отношение светового потока, падающего на внешнюю поверхность бесконечно малого цилиндра с центром в заданной точке, к площади боковой поверхности этого цилиндра. Примечания 1 Если не оговорено иное, то ось цилиндра должна быть расположена вертикально. 2 Применительно к внутреннему освещению цилиндрическую освещенность используют в качестве критерия оценки насыщенности помещения светом. |
2.4.31
полуцилиндрическая освещенность (в точке), лк: Отношение светового потока, падающего на внешнюю поверхность бесконечно малого полуцилиндра с центром в заданной точке, к площади цилиндрической поверхности этого полуцилиндра.
Примечание - Если не оговорено иное, то ось полуцилиндра должна быть расположена вертикально.
максимальная освещенность Eмакс, лк: Наибольшее значение освещенности, определенное в точках заданной поверхности. Примечание - Точки, в которых определяют освещенность, устанавливают в соответствующих стандартах. |
минимальная освещенность Eмин, лк: Наименьшее значение освещенности, определенное в точках заданной поверхности. Примечание - Точки, в которых определяют освещенность, устанавливают в соответствующих стандартах. |
2.4.34
средняя освещенность (по поверхности), лк: Освещенность, усредненная по заданной поверхности.
Примечание - На практике эту величину вычисляют делением значения измеренного светового потока, падающего на рассматриваемую поверхность, на площадь этой поверхности или, как альтернативный вариант, усреднением значений освещенности в определенных точках этой поверхности. Количество и положение этих точек устанавливают в соответствующих стандартах.
2.4.35
равномерность освещенности: Отношение минимальной освещенности на заданной поверхности к средней освещенности на этой поверхности.
2.4.36
неравномерность освещенности: Отношение максимальной освещенности на заданной поверхности к средней освещенности на этой поверхности.
2.4.37
освещенность эксплуатационная (на поверхности), лк: Минимально допустимое значение средней освещенности на заданной поверхности, которая должна быть обеспечена в любой момент времени эксплуатации осветительной установки.
2.4.38
световая экспозиция (в точке поверхности, для заданного периода времени), лк·ч: Отношение световой энергии, падающей на элемент поверхности, содержащей данную точку, в течение заданного периода времени, к площади этого элемента.
Примечание - Световую экспозицию можно определить как интеграл по времени от освещенности в данной точке за данный период времени.
2.4.39
демонстрационная годовая световая экспозиция (музейного предмета), лк·ч·год
-1: Интеграл по времени от средней освещенности, создаваемой на музейном предмете экспозиционным освещением, за годовую продолжительность экспонирования этого музейного предмета.
Примечание - Применительно к нормированию музейного освещения при определении годовой световой экспозиции учитывают только те промежутки времени, на протяжении которых музей/выставка открыт для посетителей.
2.4.40
фотометр: Прибор для измерения фотометрических величин.
люксметр: Прибор для измерения освещенности. |
яркомер: Прибор для измерения яркости. |
2.4.43
фотояркомер: Измерительный оптико-электронный прибор со светочувствительной матрицей, например с ПЗС-матрицей или с КМОП-матрицей, для получения распределения яркости на изображении измеряемого поля.
2.5.1
колориметрия: Измерение цвета, выполняемое в соответствии с принятой системой международных соглашений.
2.5.2
иллюминант: Излучение с определенным относительным спектральным распределением энергии в области спектра, влияющей на зрительное восприятие цвета объекта.
2.5.3
стандартные иллюминаты (излучения) МКО: Иллюминаты (излучения) A и D
65, относительные спектральные распределения потоков излучения которых стандартизовано МКО.
Примечания
1 Данные иллюминанты (излучения) представляют собой:
- A - излучение черного тела при температуре, примерно равной 2856 К;
- D65 - относительное спектральное распределение потока излучения, соответствующее естественному свету с коррелированной цветовой температурой, приблизительно равной 6500 К.
2 Иллюминанты (излучения) B, C и другие D-иллюминанты, называемые ранее "стандартные иллюминанты", переопределены как иллюминанты МКО. Данные иллюминанты (излучения) представляют собой:
- B - относительное спектральное распределение потока излучения, соответствующее прямому солнечному свету с коррелированной цветовой температурой, приблизительно равной 4874 К;
- C - относительное спектральное распределение потока излучения, соответствующее естественному свету с коррелированной цветовой температурой, приблизительно равной 6504 К;
- DN - относительное спектральное распределение потока излучения, соответствующее естественному свету с коррелированной цветовой температурой, приблизительно равной N К.
2.5.4
стандартные источники света МКО: Определенные МКО искусственные источники света, излучения которых приблизительно воспроизводят стандартные иллюминанты (излучения) МКО.
2.5.5
образцовый иллюминант: Иллюминант, с которым сравнивают другие иллюминанты.
2.5.6
стандартная колориметрическая система МКО 1931 г. [X], [Y], [Z]: Система определения координат цвета излучения, имеющего некоторое спектральное распределение энергии, посредством применения набора эталонных цветовых стимулов [
X], [
Y], [
Z] и трех функций сложения МКО

,

,

, которые приняты МКО в 1931 г.
2.5.7
цветовое пространство: Обычное трехмерное пространство для геометрического изображения цвета.
2.5.8
равноконтрастное цветовое пространство: Цветовое пространство, в котором равным расстояниям соответствуют равные пороговые или сверхпороговые размеры воспринимаемого цветового различия.
2.5.9
равноконтрастное цветовое пространство МКО 1964 г. U*, V*, W*: Трехмерное приблизительно равноконтрастное цветовое пространство, сформированное посредством изображения в прямоугольной системе координат
U*,
V*,
W* величин, определяемых выражениями:
W* = 25Y1/3 - 17;
U* = 13W*(u - un);
V* = 13W*(v - vn),
где Y, u, v - рассматриваемые цветовые стимулы;
un, vn - регламентированные белые ахроматические стимулы;
u =
u',

,
un =
un',

.
Примечания
1 Определения координат цветности
u' и
v' приведены в
2.5.16.
2 Это цветовое пространство вышло из употребления и все еще допускается к использованию только при расчетах индекса цветопередачи. В настоящее время рекомендуются цветовые пространства CIELAB и CIELUV.
2.5.10
цветовое пространство МКО 1976 г. L*a*b*; CIELAB: Трехмерное приблизительно равноконтрастное цветовое пространство, сформированное посредством изображения в прямоугольной системе координат
L*
a*
b* величин, определяемых выражениями:
L* = 116f(Y/Yn) - 16;
a* = 500[f(X/Xn) - f(Y/Yn)];
b* = 200[f(Y/Yn) - f(Z/Zn)],
где
f(X/Xn) = (X/Xn)1/3 при (X/Xn) > (6/29)3 или
f(X/Xn) = (841/108)(X/Xn) + 4/29 при (X/Xn) <= (6/29)3,
f(Y/Yn) = (Y/Yn)1/3 при (Y/Yn) > (6/29)3 или
f(Y/Yn) = (841/108)(Y/Yn) + 4/29 при (Y/Yn) <= (6/29)3,
f(Z/Zn) = (Z/Zn)1/3 при (Z/Zn) > (6/29)3 или
f(Z/Zn) = (841/108)(Z/Zn) + 4/29 при (Z/Zn) <= (6/29)3;
X, Y, Z обозначают рассматриваемый цветовой стимул;
Xn, Yn, Zn - определенный белый ахроматический стимул.
2.5.11
цветовое пространство МКО 1976 г. L*u*v*; CIELUV: Трехмерное приблизительно равноконтрастное цветовое пространство, сформированное посредством изображения в прямоугольной системе координат
L*,
u*,
v* величин, определяемых выражениями:
L* = 116f(Y/Yn) - 16;
u* = 13L*(u' - un');
v* = 13L*(v' - vn'),
где
f(Y/Yn) = (Y/Yn)1/3 при (Y/Yn) > (6/29)3 или
f(Y/Yn) = (841/108)(Y/Yn) + 4/29 при (Y/Yn) <= (6/29)3;
Y, un', vn' обозначают рассматриваемый цветовой стимул;
Yn, un', vn' - определенный белый ахроматический стимул.
2.5.12
координаты цвета: Три цветовых стимула основных цветов трехцветной колориметрической системы, необходимые для уравнивания по цвету измеряемого цвета.
2.5.13
цветность: Характеристика цветового стимула, определяемая его координатами цветности или совокупностью его доминирующей или дополнительной длины волны и чистоты цвета.
2.5.14
координаты цветности: Отношение каждой из трех координат цвета к их сумме.
Примечание - Если сумма данных трех координат цветности равна единице, то для определения цветности достаточно двух координат цветности.
2.5.15
график цветностей: Плоский график, у которого точки, задаваемые координатами цветности, соответствуют цветностям цветовых стимулов.
Примечание - В стандартной колориметрической системе МКО для получения графика цветностей x-y, как правило, y - ось ординат, x - ось абсцисс.
2.5.16
равноконтрастный цветовой график МКО 1976 г.: Равноконтрастный цветовой график, сформированный в прямоугольной системе координат
v',
u', которые вычисляют по следующим формулам:
u' = 4X/(X + 15Y + 3Z) = 4x/(-2x + 12y + 3);
v' = 9Y/(X + 15Y + 3Z) = 9y/(-2x + 12y + 3),
где X, Y, Z - координаты цвета рассматриваемого цветового стимула в стандартных колориметрических системах МКО 1931 г. или 1964 г.;
x, y - соответствующие координаты цветности.
2.5.17
цветовое различие: Это различие между двумя цветовыми стимулами, которое определяют как евклидово расстояние между соответствующими им точками в цветовом пространстве
L*
a*
b*, вычисляемое по формуле

,
или расстояние между соответствующими им точками в цветовом пространстве L*u*v*, вычисляемое по формуле

.
2.5.18
разность цветностей в цветовом пространстве u',
v' МКО 1976 г.: Различие между двумя цветовыми стимулами, определяемое как евклидово расстояние между точками на диаграмме цветности
u',
v' и вычисляемое по формуле

.
2.5.19
линия черного тела: Линия на графике цветности, соответствующая цветностям излучения черного тела при различных значениях температуре.
2.5.20
доминирующая длина волны (цветового стимула), нм: Длина волны монохроматического стимула, который при аддитивном смешивании в определенных пропорциях эталонным ахроматическим стимулом
X,
Y или
Z стандартной колориметрической системы МКО 1931 г. обеспечивает цветовое равенство с рассматриваемым цветовым стимулом.
Примечание - В случае пурпурных цветовых стимулов доминирующая длина волны заменяется на дополнительную длину волны.
2.5.21
дополнительная длина волны (цветового стимула), нм: Длина волны монохроматического стимула, который при аддитивном смешивании в определенных пропорциях с рассматриваемым цветовым стимулом обеспечивает цветовое равенство с заданным эталонным ахроматическим стимулом.
2.5.22
чистота цвета (цветового стимула): Величина, определяемая пропорциями монохроматического стимула и заданного эталонного ахроматического стимула, которые, будучи аддитивно смешаны, обеспечивают цветовое равенство с рассматриваемым цветовым стимулом.
Примечание - Для пурпурных цветов монохроматический стимул заменяется на стимул с цветностью, соответствующей точке на линии пурпурных цветностей.
2.5.23
пурпурный стимул: Стимул, отображаемый на графике цветностей точкой, лежащей в пределах треугольника с вершинами в точке, соответствующей заданному эталонному ахроматическому стимулу, и в двух крайних точках линии спектральных цветностей, которые приблизительно соответствуют длинам волн 380 и 780 нм.
2.5.24
линия (поверхность) пурпурных цветностей: Линия на графике цветностей или плоская поверхность в трехмерном цветовом пространстве, которые отражают результат аддитивного смешения монохроматических стимулов с длинами волн, приблизительно равными 380 и 780 нм.
2.5.25
атлас цветов: Набор цветных образцов, систематизированных и классифицированных в соответствии с определенными правилами.
2.5.26
цветовая температура, К: Температура черного тела, при которой его излучение имеет ту же цветность, что и излучение рассматриваемого объекта.
2.5.27
коррелированная цветовая температура; КЦТ, К: Температура черного тела, имеющего координаты цветности, наиболее близкие к координатам цветности, соответствующим спектральному распределению рассматриваемого объекта.
Примечание - Понятие коррелированной цветовой температуры не применяется, если координаты цветности рассматриваемого излучения отличаются от координат цветности черного тела более чем на

, где

,

относятся к рассматриваемому излучению, а

,

- к черному телу.
2.5.28
цветопередача: Общее понятие, характеризующее влияние спектрального состава источника света на зрительное восприятие цветов объектов, сознательно или бессознательно сравниваемое с восприятием тех же объектов, освещенных образцовым иллюминантом.
индекс цветопередачи R; ИЦ: Мера соответствия зрительных восприятий цветного объекта, освещенного исследуемым и стандартным источниками света при определенных условиях наблюдения (с учетом хроматической адаптации наблюдателя). |
2.5.30
общий индекс цветопередачи МКО 1974 г.: Среднее значение частных индексов цветопередачи МКО 1974 г. для определенного набора из восьми контрольных цветных образцов.
2.5.31
частный индекс цветопередачи МКО 1974 г.: Мера соответствия зрительного восприятия контрольного цветного образца МКО, освещенного исследуемым и образцовым иллюминантами (с учетом хроматической адаптации наблюдателя).
Примечания
1 Основные частные индексы цветопередачи, которые учитывают при определении общего индекса цветопередачи МКО: R1, который соответствует цвету "увядшая роза"; R2 - горчичному цвету; R3 - салатовому цвету; R4 - светло-зеленому цвету; R5 - бирюзовому цвету; R6 - небесно-голубому цвету; R7 - цвету "фиолетовая астра"; R8 - сиреневому цвету.
2 Применительно к освещению светодиодами помимо перечисленных восьми частных индексов цветопередачи часто рассматривают индекс R9, который соответствует красному цвету.
3 Прочие частные индексы цветопередачи МКО (R10 - R15) соответствуют желтому (R10), зеленому (R11), синему (R12), желтовато-розовому (цвет кожи европейца - R13), оливковому (R14) цветам, а также цвету кожи азиатов (R15).
2.5.32
цветовой охват (цветовая гамма): Объем, область или тело в цветовом пространстве, состоящие из всех тех цветов, которые могут:
а) присутствовать в конкретных сценах, произведениях искусства, фотографиях и др.;
б) быть созданы при помощи особых устройств и/или средств вывода информации.
2.5.33
колориметр: Прибор для измерения колориметрических величин, таких как координаты цвета цветовых стимулов.
2.5.34
спектроколориметр: Прибор для измерения относительного спектрального распределения излучения источников света и нахождения колориметрических характеристик этого излучения (например, координат цветности, координат цвета, коррелированная цветовая температура, индекс цветопередачи).
радиометрия: Измерение величин, связанных с энергией излучения. |
2.6.2
система радиометрических (энергетических) величин: Совокупность величин, количественно выражаемых в единицах энергии или мощности и производных от них.
Примечание - Энергетические величины характеризуют свет безотносительно к свойствам человеческого зрения.
2.6.3
фотохимическое действие (излучения): Процесс химического изменения молекул, обусловленного поглощением излучения.
Примечание - Фотохимическое действие излучения приводит к повреждению музейных предметов, например к выцветанию красок.
2.6.4
лучистый нагрев: Увеличение температуры поверхности по сравнению с температурой окружающей среды, обусловленное поглощением излучения.
Примечание - Лучистый нагрев приводит к повреждению музейных предметов, например: усиливая фотохимическое действие света, приводя к дегидратации, растрескиванию поверхности и т.д.
поток излучения, Вт: Мощность, излучаемая, передаваемая или принимаемая в виде излучения. |
2.6.6
облученность (энергетическая освещенность) (в точке поверхности), Вт·м
-2: Отношение потока излучения, падающего на элемент поверхности, содержащий рассматриваемую точку, к площади этого элемента.
2.6.7
приведенная УФ-облученность (в точке поверхности), Вт·м
-2 лк
-1: Отношение УФ-облученности, создаваемой осветительной установкой в данной точке, к освещенности в этой точке.
2.6.8
приведенная ИК-облученность (в точке поверхности), Вт·м
-2 лк
-1: Отношение ИК-облученности, создаваемой осветительной установкой в данной точке, к освещенности в этой точке.
2.6.9
энергетическая экспозиция (в точке поверхности, для заданного периода времени), Дж·м
-2: Отношение энергии излучения, падающей на элемент поверхности, содержащей данную точку, в течение заданного периода времени, к площади этого элемента.
Примечание - Энергетическая экспозиция может быть рассчитана как интеграл по времени от облученности в данной точке за данный период времени.
2.6.10
доза (оптического излучения с определенным спектральным распределением), Дж·м
-2: Термин, используемый в фотохимии, фотобиологии и в фототерапии для количественного представления энергетической экспозиции.
2.6.11
мощность дозы, Вт·м
-2: Термин, используемый в фотохимии, фототерапии и фотобиологии для количественной оценки облученности.
Примечания
1 Относительное спектральное распределение излучения должно быть конкретизировано.
2 Понятие "мощность" употребляется также с терминами "актиничная доза" и "эффективная доза".
2.6.12
продолжительность экспонирования, ч: Разница во времени между окончанием и началом облучения.
2.6.13
актиничность: Свойство оптического излучения, позволяющее ему вызывать химические изменения в различных материалах.
Примечание - Химическое изменение, обусловленное воздействием оптического излучения, называют актиничным эффектом.
2.6.14
актиничный: Излучение, способное вызывать фотохимический эффект, демонстрирующий актиничность.
2.6.15
спектр действия: Относительная спектральная эффективность оптического излучения, вызывающего определенный актиничный эффект.
Примечания
1 Спектр действия - это зависящая от длины волны функция, обратная количеству монохроматического излучения, требующемуся для вырабатывания определенного актиничного эффекта.
2 Спектр действия обычно приводится к единице на длине волны максимального воздействия оптического излучения.
2.6.16
актиничная (эффективная) доза, Дж·м
-2: Величина, получаемая при спектральной оценке экспозиции (дозы) излучения в соответствии со спектром действия.
Примечание - Это определение подразумевает, что спектр действия соответствует рассматриваемому актиничному эффекту. Если приводится количественная характеристика, то необходимо указать, какому спектру действия соответствует эта доза, так как единица измерения остается неизменной в любом случае.
2.6.17
спектр повреждающего фотохимического действия (для материалов музейных предметов): Спектр действия для повреждения, например обесцвечивания, материалов музейных предметов.
Примечание - Спектр повреждающего фотохимического действия

нормализуется применительно к длине волны

, т.е.
s(300 нм) = 1.
2.6.18
эффективная повреждающая облученность (для фотохимического повреждения материалов музейных предметов), Вт·м
-2: Облученность в точке поверхности, взвешенная применительно к спектру повреждающего действия для материала музейного предмета:

,
где
Eэф и

- эффективная повреждающая облученность и спектральное распределение облученности в рассматриваемой точке поверхности соответственно;

- спектр повреждающего фотохимического действия для материала музейного предмета.
2.6.19
эффективная повреждающая экспозиция (для фотохимического повреждения материалов музейных предметов), Дж·м
-2: Интеграл по времени от эффективной повреждающей облученности в данной точке за данный период времени.
2.6.20
пороговая эффективная повреждающая экспозиция (для фотохимического повреждения материалов музейных предметов), Дж·м
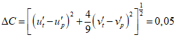
-2: Эффективная энергетическая экспозиция, вызывающая едва заметное изменение цвета материала музейного предмета, т.е. равное единице цветовое различие в цветовом пространстве CIELAB МКО.
2.6.21
приведенная фотохимическая опасность повреждения (материала музейного предмета излучением источника света), Вт·лм
-1: Частное отделения эффективной повреждающей облученности в точке поверхности музейного предмета на освещенность в этой точке.
Примечание - Приведенная фотохимическая опасность повреждения материала музейного предмета Kса может быть вычислена как частное отделения актиничного потока излучения для фотохимического повреждения музейных предметов на соответствующий световой поток источника света по формуле

,
где Km - множитель, для дневного зрения, равный 683 Вт/лм;

- относительное спектральное распределение энергии излучения рассматриваемого источника света;

- относительное спектральное распределение энергии излучения рассматриваемого источника света.
Применительно к музейным предметам можно считать

, где
b = 0,0115 нм
-1.
2.6.22
относительная фотохимическая опасность повреждения (материала музейного предмета): Отношение приведенной фотохимической опасности повреждения материала музейного предмета излучением рассматриваемого источника света к приведенной фотохимической опасности повреждения этого материала музейного предмета стандартным иллюминантом А МКО (2855,6 К).
радиометр: Прибор, предназначенный для измерения радиометрических величин. |
спектрорадиометр: Прибор для измерения радиометрических величин в узких интервалах длин волн данного спектрального диапазона. |
2.6.25
УФ-радиометр: Прибор для измерения облученности в УФ-области спектра.
2.6.26
энергетический экспозиметр: Прибор для измерения энергетической экспозиции.
2.6.27
тепловизор: Прибор для регистрации распределения температуры исследуемой поверхности, отображающегося на дисплее тепловизора в виде цветной картинки, на которой разным температурам соответствуют разные цвета.
2.7 Источники света и осветительные приборы
2.7.1
источник света: Устройство, излучающее свет.
Примечание - Различают первичные источники света, представляющие собой поверхность или объект, излучающие свет в результате преобразования энергии, например электрической (электрический источник света), и вторичные, представляющие собой поверхность или объект, излучающие свет не сами по себе, а в результате частичного отражения или пропускания попадающего на них света.
2.7.2
точечный источник света: Источник света, размерами которого можно пренебречь по сравнению с расстоянием до освещаемой поверхности.
черное тело (излучатель Планка): Идеальный тепловой излучатель, который полностью поглощает все попадающее на него излучение независимо от длины волны, направления падения и состояния поляризации этого излучения и имеет при заданной температуре для всех длин волн максимальную спектральную плотность энергетической яркости. |
2.7.4
лампа (электрическая): Электрический источник света, предназначенный для получения оптического излучения, как правило, видимого.
Примечание - Например, в случае светодиодных ламп дополнительной отличительной особенностью лампы является наличие цоколя.
2.7.5
лампа накаливания; ЛН: Лампа, в которой свет излучает тело, раскаленное протекающим через него электрическим током.
2.7.6
галогенная лампа накаливания; ГЛН: Лампа накаливания, тело накала которой находится в колбе, наполненной смесью инертных газов, галогенов и их соединений.
2.7.7
разрядная лампа: Лампа, в которой оптическое излучение возникает в результате электрического разряда в газе, парах металлов, галогенидов и их смеси.
2.7.8
люминесцентная лампа; ЛЛ: Ртутная лампа низкого давления, в которой свет излучает один или несколько слоев люминофора, возбуждаемых ультрафиолетовым излучением разряда.
2.7.9
металлогалогенная лампа; МГЛ: Разрядная лампа высокого давления, в которой основная часть света обусловлена излучением смеси паров металла и продуктов разложения галоидных соединений.
2.7.10
светодиод; СД: Полупроводниковый прибор с
p-n-переходом, который при возбуждении электрическим током генерирует некогерентное оптическое излучение.
Примечания
1 Аббревиатуру "СД" используют вместо прилагательного "светодиодный".
2 Термин "светодиодный" применяют к источнику света, кристаллу, модулю или лампе, а также в качестве обобщенного названия соответствующей техники.
3 Термин "светодиодный" не следует использовать при описании эксплуатационных характеристик изделий (световой поток, цветопередача, срок службы и др.), правильным будет, например, применение термина "световой поток СД лампы".
2.7.11
органический светодиод; ОСД: Светодиод, состоящий из многослойной тонкопленочной электролюминесцентной структуры, изготовленной из органических соединений и расположенной между двумя электродами.
2.7.12
светодиодная лампа: Светодиодный источник света, снабженный цоколем(ями) и включающий в себя один или несколько светодиодов и один или несколько следующих элементов: электрические, оптические, механические и термические компоненты, интерфейсы и устройство управления.
Примечания
1 Светодиодные лампы могут быть со встроенным, частично встроенным и с внешним устройством управления, а также с одним и двумя цоколями.
2 Конструкция светодиодных ламп обеспечивает их замену неквалифицированным персоналом.
2.7.13
осветительный прибор [светильник]; ОП: Устройство, предназначенное для освещения и содержащее один или несколько электрических источников света и осветительную арматуру.
Примечания
1 В рассматриваемой области (музейное освещение) осветительные приборы, как правило, называют светильниками.
2 Компоненты осветительного прибора (светильника) могут находиться в едином корпусе или быть размещены на (в) конструкциях помещения или витрины.
2.7.14
светильник со светодиодами: Светильник, предназначенный для работы с одним или несколькими светодиодными источниками света.
Примечание - Допустимо использование термина "светодиодный светильник".
2.7.15
регулируемый светильник: Светильник, имеющий регулируемые в установленных пределах светотехнические характеристики.
светильник прямого света: Светильник, направляющий в нижнюю полусферу пространства более 80% светового потока. |
светильник преимущественно прямого света: Светильник, направляющий в нижнюю полусферу пространства более 60%, но не более 80% светового потока. |
светильник рассеянного света: Светильник, направляющий в нижнюю полусферу пространства более 40%, но не более 60% светового потока. |
светильник преимущественно отраженного света: Светильник, направляющий в нижнюю полусферу пространства более 20%, но не более 40% светового потока. |
светильник отраженного света: Светильник, направляющий в нижнюю полусферу пространства не более 20% светового потока. |
светильник общего освещения: Светильник, предназначенный для общего освещения помещений и открытых пространств. |
светильник местного освещения: Светильник, обеспечивающий освещение на локальном участке рабочей поверхности. |
светильник комбинированного освещения: Светильник, выполняющий функции светильника как общего, так и местного освещения. |
2.7.24
экспозиционный светильник (для музейного освещения): Специальный светильник, предназначенный для освещения отдельных объектов на выставках, в музеях и витринах.
люстра: Подвесной декоративный светильник для жилых и общественных помещений, имеющий объемную структуру и состоящий, как правило, из большого количества ИС и светопреломляющих и светоотражающих элементов. |
2.7.26
светильник типа "даунлайт": Концентрирующий свет небольшой светильник, как правило, встраиваемый в потолок.
2.7.27
трековый светильник: Светильник, устанавливаемый на шинопровод, вдоль которого он может передвигаться.
2.7.28
троффер: Удлиненный встроенный светильник, световое отверстие которого, как правило, устанавливается заподлицо с потолком.
2.7.29
встраиваемый светильник: Светильник, который встраивают в нишу или проем опорной поверхности (потолка, стены, пола, грунта, дорожного покрытия) или в оборудование, например в витрины для подсветки размещенных в них экспонатов.
2.7.30
световод: Закрытое устройство для направленной передачи (канализации) света, позволяющее передавать световую энергию на большие расстояния, в том числе, по криволинейным траекториям.
2.7.31
волоконный световод: Световод, изготовленный в виде тонкой стеклянной нити, середина которой имеет показатель преломления больший, чем оболочка.
Примечание - В волоконном световоде свет распространяется в результате полного внутреннего отражения от границы раздела сердцевины и оболочки.
2.7.32
полый световод: Световод, изготовленный в виде протяженного цилиндрического или иной формы полого канала с оболочкой, имеющей светоотражающую и светопропускающую части, и предназначенный для транспортирования введенного в канал света путем многократных отражений от внутренней поверхности светоотражающей части оболочки и его вывода наружу через пропускающую свет часть оболочки.
щелевой световод: Полый световод, светопропускающая часть оболочки которого выполнена в виде протяженной полосы на боковой поверхности, называемой оптической щелью. |
2.7.34
световая отдача (источника света, светильника), лм·Вт
-1: Отношение излучаемого источником света или светильником светового потока к потребляемой им активной мощности.
2.7.35
приведенная мощность УФ-излучения (источника света, светильника), Вт·лм
-1: Отношение мощности УФ-излучения, генерируемого источником света или светильником, к световому потоку этого источника света или светильника.
Примечание - Приведенную мощность УФ-излучения можно определить и как отношение УФ-облученности, создаваемой источником света или светильником в данной точке, к освещенности в этой точке.
2.7.36
приведенная мощность ИК-излучения (источника света, светильника), Вт·лм
-1: Отношение мощности ИК-излучения, генерируемого источником света или светильником, к световому потоку этого источника света или светильника.
Примечание - Приведенную мощность ИК-излучения можно определить и как отношение ИК-облученности, создаваемой источником света или светильником в данной точке, к освещенности в этой точке.
2.7.37
приведенная фотохимическая опасность источника света, Вт·лм
-1: Частное от деления актиничного потока излучения источника света, повреждающего материалы музейных предметов, на световой поток этого источника света.
2.7.38
коэффициент сохранения светового потока (источника света, светильника): Отношение светового потока, излучаемого источником света или светильником в данный момент его срока службы, к его начальному значению при работе источника света или светильника в заданных условиях.
2.7.39
ресурс (источника света/светильника со светодиодами), ч: Суммарная наработка источника света или светильника со светодиодом от начала его эксплуатации или ее возобновления после ремонта до момента достижения предельного состояния.
Примечания
1 Предельным считается состояние источника света или светильника со светодиодом, при котором коэффициент сохранения его светового потока уменьшается до значения, заявленного производителем или ответственным поставщиком.
2 На практике ресурс часто ошибочно называют сроком службы.
2.7.40
срок службы (светильника), г.: Календарная продолжительность эксплуатации светильника от ее начала или возобновления после капитального ремонта до момента достижения предельного состояния.
Примечания
1 Предельным считается состояние светильника, при котором коэффициент сохранения его светового потока уменьшается до значения, заявленного производителем или ответственным поставщиком.
| | ИС МЕГАНОРМ: примечание. В официальном тексте документа, видимо, допущена опечатка: имеется в виду термин 2.7.39, а не термин 2.7.40. | |
2 На практике сроком службы часто ошибочно называют ресурс (см. термин
2.7.40).
2.7.41
отказ: Потеря возможности выполнения устройством требуемой функции.
2.7.42
угол излучения, ср: Телесный угол, в пределах которого заключен световой поток светильника.
2.7.43
угол рассеяния, град: Плоский угол, определяющий границы угла излучения в характерной плоскости, в пределах которого значение отношения силы света светильника к максимальной силе света не менее установленного значения.
Примечания
1 Значение угла рассеяния следует приводить с указанием критерия, которому оно соответствует, например: угол рассеяния на уровне 0,1 или угол рассеяния на уровне 0,5 соответствует углу, в пределах которого сила света не менее, чем соответственно 10 или 50% от максимальной силы света.
2 В международной практике под углом рассеяния (beam angle) по умолчанию понимают угол рассеяния на уровне 0,5.
3 Если пространственное распределение силы света светильника не обладает осевой симметрией, то угол рассеяния приводится для двух перпендикулярных друг другу плоскостей, как правило, соответствующих максимальному и минимальному углам рассеяния.
4 Это полный угол, а не половина.
2.7.44
защитный угол, град: Угол, в пределах которого глаз наблюдателя защищен от прямого излучения источника света, установленного в светильнике.
2.7.45
условный защитный угол, град: Угол, в пределах которого яркость светящей поверхности светильника снижена до уровня, при котором светильник не оказывает слепящего действия.
2.7.46
зона ограничения яркости, ср.: Часть угла излучения, в пределах которой значения габаритной и/или максимальной яркости светильника не должны превышать нормируемых значений.
2.7.47
пространственное распределение силы света: Представление с помощью кривых или таблиц зависимости силы света источника света или светильника от направления в пространстве.
Примечание - Как правило, пространственное распределение силы света указывают для значений силы света, приведенных к суммарному световому потоку источников света, равному 1000 лм, а для неразборных светильников со светодиодами - к световому потоку светильника, равному 1000 лм.
2.7.48
кривая силы света (светильника); КСС: Распределение силы света, получаемое сечением пространственного распределения силы света светильника характерной плоскостью или поверхностью и представляемое в форме графика.
2.7.49
файл фотометрических данных (светильника): Файл, используемый в компьютерных программах и содержащий данные о распределении силы света и других характеристиках светильника, записанные по определенным правилам (формату).
Примечание - В международной практике наиболее распространены форматы файлов фотометрических данных - форматы IESNAC расширением .ies по
ГОСТ Р 55840 и ELUMDATE с расширением .ldt.
2.7.50
код IP: Система кодификации, применяемая для обозначения степеней защиты электрооборудования, в том числе светильников, обеспечиваемых оболочкой, от доступа к опасным частям, попадания внешних твердых предметов, воды, а также для предоставления дополнительной информации, связанной с такой защитой.
Примечания
1 Код IP состоит из двух букв (IP) и двух цифр, первая из которых обозначает степень защиты от попадания твердых предметов, а вторая - степень защиты от попадания воды, например: IP65, где 6 - пыленепроницаемый; 5 - защищенный от водяных струй.
2.7.51
светорегулятор: Электрическое устройство, позволяющее изменять световой поток источников света в светильнике.
2.7.52
светофильтр: Направленно пропускающее излучение устройство, служащее для изменения светового потока и/или относительного спектрального распределения проходящего через это устройство света.
Примечание - В зависимости от того, изменяет светофильтр относительное спектральное распределение проходящего через него излучения или не изменяет, различают селективные и неселективные (или нейтральные) светофильтры. Селективный светофильтр, который существенно изменяет спектральный состав излучения, называют цветным светофильтром; если светофильтр изменяет спектральное распределение излучения, но цветность прошедшего сквозь светофильтр излучения близка к цветности падающего излучения, то такой светофильтр можно называть серым светофильтром.
2.8 Освещение и осветительные установки
освещение: Использование света для того, чтобы сделать видимыми, объекты и/или их окружение. |
световая среда: Полная совокупность внешних световых факторов, способных повлиять на зрительное восприятие человеком окружающей обстановки. |
2.8.3
естественное (дневное) освещение: Освещение, при котором источником света является естественный свет.
искусственное (электрическое) освещение: Освещение электрическими источниками света. |
совмещенное освещение: Действующие совместно естественное и искусственное освещение. |
внутреннее освещение: Освещение объектов, находящихся внутри помещений, и/или их окружения. |
2.8.7
наружное освещение: Освещение объектов, находящихся вне зданий, и/или их окружения.
2.8.8
музейное освещение: Освещение музейных предметов, выставочных помещений и вспомогательных помещений музеев, реставрационных мастерских и фондохранилищ.
2.8.9
архитектурное освещение: Искусственное освещение имеющих важное градостроительное, композиционное или визуально-ориентирующее значение фасадов зданий, сооружений, произведений монументального искусства, элементов городского ландшафта, отвечающее эстетическим требованиям зрительного восприятия.
2.8.10
экспозиционное освещение: Освещение музейных экспонатов.
рабочее освещение: Освещение, обеспечивающее нормируемые светотехнические параметры (освещенность, качество освещения и др.) в помещениях и в местах производства работ вне зданий. |
дежурное освещение: Освещение в нерабочее время. |
аварийное освещение: Освещение, предназначенное для использования при нарушении питания рабочего освещения. |
эвакуационное освещение: Вид аварийного освещения для эвакуации людей или завершения потенциально опасного процесса |
антипаническое освещение: Вид эвакуационного освещения для предотвращения паники и безопасного подхода к путям эвакуации. |
освещение путей эвакуации: Вид эвакуационного освещения для надежной идентификации и безопасного использования путей эвакуации. |
общее освещение: Освещение открытых пространств или помещений (общее равномерное освещение) или отдельных их зон (общее локализованное освещение) без учета специальных локальных требований. |
местное освещение: Освещение рабочего места, являющееся дополнительным к общему освещению и имеющее независимое от него управление. |
комбинированное освещение: Сочетание общего и местного освещения. |
локализованное освещение: Освещение зон с повышенными требованиями к уровню освещенности. |
акцентирующее освещение: Освещение, предназначенное для существенного увеличения освещенности на ограниченном участке или объекте по сравнению с окружающим пространством при минимуме рассеянного освещения. |
направленное освещение: Освещение, при котором свет падает на рабочую плоскость или объект преимущественно с какого-то одного направления. |
2.8.23
прямое освещение: Освещение, осуществляемое светильниками, имеющими такое распределение силы света, при котором доля излучаемого ими светового потока, непосредственно падающая на рабочую плоскость, предполагаемую безграничной, составляет от 90% до 100%.
2.8.24
преимущественно прямое освещение: Освещение, осуществляемое светильниками, имеющими такое распределение силы света, при котором доля излучаемого ими светового потока, непосредственно падающая на рабочую плоскость, предполагаемую безграничной, составляет от 60% до 90%.
2.8.25
общее рассеянное освещение: Освещение, осуществляемое светильниками, имеющими такое распределение силы света, при котором доля излучаемого ими светового потока, непосредственно падающая на рабочую плоскость, предполагаемую безграничной, составляет от 40% до 60%.
2.8.26
преимущественно отраженное освещение: Освещение, осуществляемое светильниками, имеющими такое распределение силы света, при котором доля излучаемого ими светового потока, непосредственно падающая на рабочую плоскость, предполагаемую безграничной, составляет от 10% до 40%.
2.8.27
рассеянное освещение: Освещение, при котором свет, падающий на рабочую плоскость или объект, не имеет преимущественного направления.
2.8.28
трековое освещение: Освещение, осуществляемое трековыми светильниками.
2.8.29
карнизное освещение: Освещение, осуществляемое источниками света или светильниками, экранированными прикрепленной к потолку и идущей параллельно стене панелью, и распределяющее свет по стене.
2.8.30
осветительная установка; ОУ: Совокупность светильников, поддерживающих конструкций, средств питания и управления освещением, а также элементов освещаемого пространства, участвующих в перераспределении света (поверхности помещения) или являющихся объектом освещения, функционально связанных для обеспечения необходимых условий видимости и комфортности освещаемого объекта или пространства.
2.8.31
стационарная осветительная установка: Осветительная установка с неизменными во времени местоположением, конфигурацией и распределением освещенности.
2.8.32
светящий потолок: Система освещения, содержащая источники света, расположенные выше перекрывающего потолок рассеивателя, изготовленного из прозрачных призматических или диффузно пропускающих материалов.
2.8.33
световой проем (верхний, боковой): Отверстие в наружной оболочке здания, предназначенное для естественного освещения помещений (окно, фонарь).
2.8.34
шинопровод: Жесткий токопровод напряжением не выше 1 кВ, предназначенный для передачи и распределения электроэнергии, состоящий из неизолированных или изолированных проводников (шин) и относящихся к ним изоляторов, защитных оболочек, ответвительных устройств, поддерживающих и опорных конструкций.
2.8.35
экранирующее устройство: Устройство для устранения, ослабления или рассеяния солнечного излучения.
2.8.36
тень: Пространственное оптическое явление, которое выражается зрительно уловимым силуэтом, возникающим на произвольной поверхности благодаря присутствию объекта между ней и источником света.
2.8.37
цвет освещения: Цвет, воспринимаемый как присущий падающему на объекты свету.
2.8.38
фон: Поверхность, прилегающая непосредственно к объекту различения (музейному предмету), на которой он рассматривается.
2.8.39
цвет фона: Цвет, воспринимаемый как не принадлежащий ни одному из объектов.
пульсация: Периодические колебания фотометрической величины (светового потока, освещенности и др.) при питании ИС переменным током. |
2.8.41
коэффициент пульсации (светового потока, освещенности), %: Критерий оценки относительной глубины колебаний светового потока или освещенности в результате их изменения во времени при питании источников света переменным током.
Примечания
1 Коэффициент пульсации освещенности (светового потока) Кп вычисляют по формуле
Кп = 100·(Eмакс - Eмин)/(2·Eср),
где Eмакс и Eмин - соответственно максимальное и минимальное значения освещенности (светового потока) за период ее колебания;
Eср - среднее значение освещенности (светового потока) за этот же период.
2 Пульсация учитывает изменение соответствующего параметра с частотой не более 300 Гц. Пульсация свыше 300 Гц не оказывает влияния на общую и зрительную работоспособность человека, и при определении коэффициента пульсации ее не учитывают.
2.8.42
контраст освещенности: Отношение освещенностей рассматриваемых объектов, в частности экспоната и фона.
объединенный показатель дискомфорта; UGR: Характеристика дискомфортной блескости. |
2.8.44
датчик присутствия: Устройство, включающее/выключающее освещение при наличии/отсутствии людей в его поле зрения.
2.8.45
коэффициент эксплуатации (осветительной установки): Отношение освещенности, создаваемой осветительной установкой через определенное время ее эксплуатации, к освещенности, создаваемой этой осветительной установкой в начале ее эксплуатации.
сетка для измерений и расчетов: Упорядоченная совокупность точек расчетной поверхности, в которых рассчитывают или измеряют заданные световые величины (освещенность, яркость). |
Алфавитный указатель терминов на русском языке
адаптация | |
аккомодация | |
актиничность | |
актиничный | |
атлас цветов | |
блескость | |
блескость дискомфортная | |
блескость отраженная | |
блескость прямая | |
блескость слепящая | |
блик | |
видение облика объекта цветовое | |
витрина | |
выставка | |
выцветание | |
галерея | |
гамма цветовая | |
ГЛН | |
график цветностей | |
график МКО 1976 г. цветовой равноконтрастный | |
датчик присутствия | |
дворец-музей | |
действие фотохимическое | |
депозитарий | |
длина волны | |
длина волны доминирующая | |
длина волны дополнительная | |
доза | |
доза актиничная | |
доза эффективная | |
доза эффективная актиничная | |
запасник | |
зона ограничения яркости | |
зрение | |
зрение дневное | |
излучение | |
излучение видимое | |
излучение инфракрасное | |
излучение оптическое | |
излучение ультрафиолетовое | |
излучение электромагнитное | |
ИК-излучение | |
ИК-облученность приведенная | |
иллюминант | |
иллюминант образцовый | |
иллюминанты излучения МКО | |
иллюминанты излучения МКО стандартные | |
иллюминанты МКО стандартные | |
индекс цветопередачи | |
индекс цветопередачи МКО 1974 г. общий | |
индекс цветопередачи МКО 1974 г. частный | |
инсталляция | |
источник света | |
источник света точечный | |
источники света МКО стандартные | |
ИЦ | |
кандела | |
классификация музейных предметов по светостойкости | |
классификация музейных предметов по цветовым характеристикам | |
код IP | |
колориметр | |
колориметрия | |
комфорт зрительный | |
консервация | |
контраст | |
контраст объекта различения с фоном | |
контраст освещенности | |
контраст пороговый | |
контраст светлотный | |
контраст цветовой | |
контраст яркостный | |
координаты цвета | |
координаты цветности | |
коэффициент диффузного отражения | |
коэффициент диффузного пропускания | |
коэффициент зеркального отражения | |
коэффициент направленного пропускания | |
коэффициент отражения | |
коэффициент поглощения | |
коэффициент пропускания | |
коэффициент пульсации | |
коэффициент сохранения светового потока | |
коэффициент эксплуатации | |
краситель | |
кривая силы света | |
КСС | |
КЦТ | |
лампа | |
лампа люминесцентная | |
лампа металлогалогенная | |
лампа накаливания | |
лампа накаливания галогенная | |
лампа разрядная | |
лампа светодиодная | |
линия пурпурных цветностей | |
линия черного тела | |
ЛЛ | |
ЛН | |
люкс | |
люксметр | |
люмен | |
люстра | |
МГЛ | |
мастерская реставрационная | |
мощность дозы | |
мощность ИК-излучения приведенная | |
мощность УФ-излучения приведенная | |
музей | |
нагрев лучистый | |
насыщенность | |
неравномерность освещенности | |
неравномерность яркости | |
обесцвечивание | |
облученность | |
облученность повреждающая эффективная | |
ОП | |
опасность источника света фотохимическая приведенная | |
опасность повреждения фотохимическая относительная | |
опасность повреждения фотохимическая приведенная | |
освещение | |
освещение аварийное | |
освещение акцентирующее | |
освещение антипаническое | |
освещение архитектурное | |
освещение внутреннее | |
освещение дежурное | |
освещение дневное | |
освещение дневное естественное | |
освещение естественное | |
освещение искусственное | |
освещение карнизное | |
освещение комбинированное | |
освещение локализованное | |
освещение местное | |
освещение музейное | |
освещение направленное | |
освещение наружное | |
освещение общее | |
освещение преимущественно отраженное | |
освещение преимущественно прямое | |
освещение прямое | |
освещение путей эвакуации | |
освещение рабочее | |
освещение рассеянное | |
освещение рассеянное общее | |
освещение совмещенное | |
освещение трековое | |
освещение эвакуационное | |
освещение экспозиционное | |
освещение электрическое | |
освещение электрическое искусственное | |
освещенность | |
освещенность вертикальная | |
освещенность горизонтальная | |
освещенность максимальная | |
освещенность минимальная | |
освещенность полуцилиндрическая | |
освещенность средняя | |
освещенность цилиндрическая | |
освещенность эксплуатационная | |
освещенность энергетическая | |
ОСД | |
отдача световая | |
отказ | |
отношение яркостей | |
отражение | |
отражение диффузное | |
отражение диффузное изотропное | |
отражение зеркальное | |
отражение смешанное | |
ОУ | |
охват цветовой | |
ощущение полноты цвета | |
пигменты | |
плоскость измерения | |
плотность спектральная | |
поверхность рабочая | |
поверхность пурпурных цветностей | |
поглощение | |
подлинник | |
показатель дискомфорта объединенный | |
показатель яркости | |
поле зрения | |
поток излучения | |
поток световой отраженный | |
поток световой прямой | |
поток световой | |
потолок светящий | |
предмет музейный | |
преломление | |
прибор осветительный | |
продолжительность экспонирования | |
проем световой | |
пропускание | |
пропускание диффузное | |
пропускание диффузное изотропное | |
пропускание направленное | |
пропускание смешанное | |
пространство МКО 1976 г. L*a*b* цветовое | |
пространство МКО 1976 г. L*u*v* цветовое | |
пространство МКО 1964 г. U*, V*, W* цветовое равноконтрастное | |
пространство цветовое равноконтрастное | |
пространство цветовое | |
пульсация | |
равномерность освещенности | |
равномерность яркости | |
радиометр | |
радиометрия | |
различие цветовое | |
разность цветностей в цветовом пространстве u', v' МКО 1976 г. | |
разность яркостей пороговая | |
распределение силы света пространственное | |
распределение спектральное | |
распределение спектральное относительное | |
рассеяние | |
реставрация | |
ресурс | |
свет | |
свет дневной | |
свет дневной естественный | |
свет естественный | |
свет нейтрально-белый | |
свет тепло-белый | |
свет холодно-белый | |
| | ИС МЕГАНОРМ: примечание. В официальном тексте документа, видимо, допущена опечатка: имеется в виду 2.7.13, а не 2.7.14. | |
|
светильник | |
светильник встраиваемый | |
светильник комбинированного освещения | |
светильник местного освещения | |
светильник общего освещения | |
светильник отраженного света | |
светильник преимущественно отраженного света | |
светильник преимущественно прямого света | |
светильник прямого света | |
светильник рассеянного света | |
светильник регулируемый | |
светильник со светодиодами | |
светильник типа "даунлайт" | |
светильник трековый | |
светильник экспозиционный | |
светимость | |
светлота | |
светлота неизолированного цвета | |
светлый | |
световод | |
световод волоконный | |
световод полый | |
световод щелевой | |
светодиод | |
светодиод органический | |
светорегулятор | |
светофильтр | |
СД | |
сетка для измерений и расчетов | |
сила света | |
система МКО 1931 г. [X] [Y] [Z] колориметрическая стандартная | |
система радиометрических величин | |
система радиометрических энергетических величин | |
система световых величин | |
система фотометрических величин | |
система фотометрических световых величин | |
система энергетических величин | |
спектр действия | |
спектр повреждающего фотохимического действия | |
спектроколориметр | |
спектрорадиометр | |
среда световая | |
срок службы | |
стенд | |
стерадиан | |
стимул пурпурный | |
стимул цветовой | |
тело черное | |
темный | |
температура цветовая | |
температура цветовая коррелированная | |
тень | |
тепловизор | |
тон цветовой | |
троффер | |
тусклый | |
угол защитный | |
угол защитный условный | |
угол излучения | |
угол наблюдения | |
угол падения | |
угол рассеяния | |
угол телесный | |
установка осветительная | |
установка осветительная стационарная | |
устройство экранирующее | |
УФ-излучение | |
УФ-облученность приведенная | |
УФ-радиометр | |
файл фотометрических данных | |
фон | |
фондохранилище | |
фотометр | |
фотометрия | |
фотояркомер | |
хранение музейных фондов | |
хранение открытое | |
цвет | |
цвет ахроматический | |
цвет изолированный | |
цвет неизолированный | |
цвет несамосветящегося объекта | |
цвет освещения | |
цвет самосветящегося объекта | |
цвет фона | |
цвет хроматический | |
цветность | |
цветопередача | |
чистота цвета | |
чистота цвета воспринимаемая | |
чувствительность контрастная | |
шинопровод | |
шкала Blue Wool | |
экспозиметр энергетический | |
экспозиция | |
экспозиция световая годовая демонстрационная | |
экспозиция энергетическая | |
экспозиция повреждающая эффективная | |
экспозиция повреждающая эффективная пороговая | |
экспозиция световая | |
экспонат | |
эффект Бецольда-Брюкке | |
эффект Гельмгольца-Кольрауша | |
эффект Стивенса | |
эффект Ханта | |
эффективность световая спектральная относительная | |
яркий | |
яркомер | |
яркость | |
яркость габаритная | |
яркость максимальная | |
яркость минимальная | |
яркость средняя | |
CIELAB | |
CIELUV | |
UGR | |
УДК 621.316:006.354 | |
Ключевые слова: искусственное освещение музеев, музейно-искусствоведческие термины, излучение, зрение, фотометрия, колориметрия, радиометрия, источники света, осветительные приборы, светильники, освещение, осветительные установки, термины, определения |