Главная // Актуальные документы // ГОСТ Р (Государственный стандарт)СПРАВКА
Источник публикации
М.: Стандартинформ, 2019
Примечание к документу
Документ
введен в действие с 01.05.2020.
Название документа
"ГОСТ Р 58556-2019. Национальный стандарт Российской Федерации. Оценка качества воды водных объектов с экологических позиций"
(утв. и введен в действие Приказом Росстандарта от 27.09.2019 N 787-ст)
"ГОСТ Р 58556-2019. Национальный стандарт Российской Федерации. Оценка качества воды водных объектов с экологических позиций"
(утв. и введен в действие Приказом Росстандарта от 27.09.2019 N 787-ст)
Утвержден и введен в действие
агентства по техническому
регулированию и метрологии
от 27 сентября 2019 г. N 787-ст
НАЦИОНАЛЬНЫЙ СТАНДАРТ РОССИЙСКОЙ ФЕДЕРАЦИИ
ОЦЕНКА КАЧЕСТВА ВОДЫ ВОДНЫХ ОБЪЕКТОВ
С ЭКОЛОГИЧЕСКИХ ПОЗИЦИЙ
Assessment of water quality of water bodies
from ecological view points
ГОСТ Р 58556-2019
Дата введения
1 мая 2020 года
1 РАЗРАБОТАН Федеральным государственным бюджетным учреждением "Российский научно-исследовательский институт комплексного использования и охраны водных ресурсов" (ФГБУ РосНИИВХ) и Российской ассоциацией водоснабжения и водоотведения (РАВВ)
2 ВНЕСЕН Техническим комитетом по стандартизации ТК 343 "Качество воды"
3 УТВЕРЖДЕН И ВВЕДЕН В ДЕЙСТВИЕ
Приказом Федерального агентства по техническому регулированию и метрологии от 27 сентября 2019 г. N 787-ст
4 ВВЕДЕН ВПЕРВЫЕ
Правила применения настоящего стандарта установлены в статье 26 Федерального закона от 29 июня 2015 г. N 162-ФЗ "О стандартизации в Российской Федерации". Информация об изменениях к настоящему стандарту публикуется в ежегодном (по состоянию на 1 января текущего года) информационном указателе "Национальные стандарты", а официальный текст изменений и поправок -
в ежемесячном информационном указателе "Национальные стандарты". В случае пересмотра (замены) или отмены настоящего стандарта соответствующее уведомление будет опубликовано в ближайшем выпуске ежемесячного информационного указателя "Национальные стандарты". Соответствующая информация, уведомление и тексты размещаются также в информационной системе общего пользования -
на официальном сайте Федерального агентства по техническому регулированию и метрологии в сети Интернет (www.gost.ru)
Разработка настоящего национального стандарта обусловлена введением Федеральных законов
[1],
[2], распоряжений Правительства РФ
[3],
[4]. При этом совершенствование природоохранного законодательства не предполагает обеспечения баланса между промышленной и экологической политиками
[5].
Оценка качества вод водных объектов с экологических позиций - обязательный этап экспертных работ, связанных с использованием в хозяйственной деятельности ресурсов водотоков и водоемов при обосновании условий водопользования, необходимости реабилитационных работ, целесообразности водоохранных мероприятий и пр.
Целью настоящего стандарта является разработка с экологических позиций системы оценки качества (класса качества) поверхностных проточных вод и исследования динамики их состояния для водотоков и водоемов.
1.1 Настоящий стандарт распространяется на любые экспертные заключения, связанные с оценкой негативного воздействия на водный объект (факта причинения ему вреда/ущерба) в результате хозяйственной деятельности путем оценки качества вод поверхностных водных объектов с экологических позиций.
1.2 Настоящий стандарт устанавливает термины, базовые показатели, алгоритм определения класса качества, истощения вод, деградации экосистем водных объектов с экологических позиций.
1.3 Стандарт предназначен для:
- государственных органов исполнительной власти, органов местного самоуправления, в полномочия которых входят задачи мониторинга, контроля, экспертизы, защиты, сохранения, реабилитации водных объектов от негативного воздействия сбросов сточных, ливневых вод, загрязненных подземных вод;
- юридических лиц и индивидуальных предпринимателей, деятельность которых связана с образованием производственных сточных вод, подлежащих государственному учету и регулированию и отводимых (сбрасываемых) в водные объекты;
- научных, проектных и иных организаций, предоставляющих услуги в области сохранения и реабилитации поверхностных водных объектов.
1.4 Настоящий стандарт рекомендуется использовать экологическим службам хозяйствующих субъектов при подготовке всех видов документации, относящейся к сфере использования поверхностных водных объектов при оценке негативного воздействия при обосновании вреда, ущерба от сбросов сточных, ливневых вод, загрязненных подземных вод, образующихся в результате хозяйственной деятельности.
1.5 Представленные в стандарте термины, комплексные критерии качества воды водных объектов, алгоритмы выявления истощенных, деградировавших рек/участков рек в результате негативного воздействия хозяйственной деятельности на водные объекты используют в следующих процедурах:
а) обоснование условий водопользования при регулировании водопользования, в том числе и на основе наилучших доступных технологий (НДТ);
б) оценка и анализ уровня истощения, деградации качества воды водного объекта при обосновании:
1) вреда/ущерба, причиненного в результате хозяйственной деятельности водопользователей;
2) платы за негативное воздействие последствий водохозяйственной деятельности;
3) факта истощения, деградации водных объектов или их участков;
4) использования водных объектов или их участков с гидрохимическим и гидробиологическим статусом, соответствующим нормативным требованиям;
5) использования водных объектов или их участков, подлежащих экологической реабилитации, и др.;
в) научно-аналитическое сопровождение производственного и государственного контроля негативных воздействий хозяйственной деятельности.
В настоящем стандарте использованы нормативные ссылки на следующие стандарты:
ГОСТ 17.1.3.07 Охрана природы. Гидросфера. Правила контроля качества воды водоемов и водотоков
ГОСТ Р 57075 Методология и критерии идентификации наилучших доступных технологий водохозяйственной деятельности
ГОСТ Р 57007 Наилучшие доступные технологии. Биологическое разнообразие. Термины и определения
Примечание - При пользовании настоящим стандартом целесообразно проверить действие ссылочных стандартов в информационной системе общего пользования - на официальном сайте Федерального агентства по техническому регулированию и метрологии в сети Интернет или по ежегодному информационному указателю "Национальные стандарты", который опубликован по состоянию на 1 января текущего года, и по выпускам ежемесячного информационного указателя "Национальные стандарты" за текущий год. Если заменен ссылочный стандарт, на который дана недатированная ссылка, то рекомендуется использовать действующую версию этого стандарта с учетом всех внесенных в данную версию изменений. Если заменен ссылочный стандарт, на который дана датированная ссылка, то рекомендуется использовать версию этого стандарта с указанным выше годом утверждения (принятия). Если после утверждения настоящего стандарта в ссылочный стандарт, на который дана датированная ссылка, внесено изменение, затрагивающее положение, на которое дана ссылка, то это положение рекомендуется применять без учета данного изменения. Если ссылочный стандарт отменен без замены, то положение, в котором дана ссылка на него, рекомендуется применять в части, не затрагивающей эту ссылку.
В настоящем стандарте применены следующие термины с соответствующими определениями:
3.1
аналит-маркер: Аналит, обеспечивающий характеристику определенного типа негативного воздействия на компоненты природной среды в виде результата количественного анализа. |
3.2 базовые (оценочные) показатели качества вод: Группа показателей (аналитов-маркеров), в совокупности обеспечивающих однозначные выводы о качестве/классе качества воды поверхностного водного объекта с экологических позиций.
3.3 базовый показатель антропогенной нагрузки; ПАНб: Комплексный удельный показатель, характеризующий суммарную кратность разбавлений загрязненных (сточных) вод, условно необходимую для снижения концентраций базовых аналитов-маркеров негативных воздействий до их безвредного содержания.
Примечание - Перечень базовых аналитов-маркеров включает: pH, сухой остаток, взвешенные вещества, азот аммония, азот нитритов, азот нитратов, фосфор общий или фосфор фосфатов, железо общее, марганец общий, химическое потребление кислорода (ХПК), биологическое потребление кислорода (БПК5). БПК5 не учитывается при расчете ПАНб, но учитывается при предварительной оперативной оценке расчетной токсичности (Тр) для вод III - V класса качества при ХПК > 30 мг O2/дм3 по формуле: Тр = ХПК/БПК5. При Тр > 6 в программу производственного контроля в оценочных створах включается токсичность вод.
3.4
вред окружающей среде: Негативное изменение окружающей среды в результате ее загрязнения, повлекшее за собой деградацию естественных экологических систем и истощение природных ресурсов. |
3.5 деградация водного объекта: Состояние водного объекта, сопровождаемое ухудшением качества воды, снижением самоочищающейся способности, снижением комплектности водной экосистемы, нарушением экологического благополучия.
3.6 детерминационный анализ воды: Диагностика качества вод (технологий по качеству сточных вод) на основе сокращенного перечня аналитов-маркеров, характеризующих определенные типы негативного воздействия и обоснованных статистическим анализом результатов расширенных испытаний состава вод (сточных вод), преобразованных в комплексные критерии путем максимального сжатия информации относительно шкалы "норма - патология", разработанной с экологических позиций.
3.7 импактный мониторинг качества воды: Мониторинг качества воды водных объектов (по базовому показателю антропогенной нагрузки) и, при необходимости, фаз состояния водных экосистем в смежных створах, зонах и на участках локальных антропогенных воздействий на основе детерминационного анализа, необходимого и достаточного для объективного экспертного заключения о качестве воды водного объекта и состоянии его экосистемы с экологических позиций.
3.8
истощение вод: Постоянное сокращение запасов и ухудшение качества поверхностных и подземных вод. |
3.9
качество воды: Характеристика состава и свойств воды, определяющая пригодность ее для конкретных видов водопользования. |
3.10
класс качества воды: Уровень качества воды, установленный в интервале числовых значений свойств и состава воды, характеризующих ее пригодность для конкретного вида водопользования. |
3.11 комбинированный подход: Практика государственного регулирования водопользования, обеспечивающая для всех категорий объектов негативного воздействия предупреждение/предотвращение процесса деградации водных экосистем путем сочетания гидрохимического и биотического регламентирования обязательных условий водопользования в совокупности с использованием НДТ и эффективного экономического механизма рентабельного водопользования на основе соблюдения баланса уровня затрат на внедрение водоохранных мероприятий и платежей за загрязнение.
3.12
критерий качества воды: Признак или комплекс признаков, по которым производится оценка качества воды. |
3.13
критерий качества воды: Признак, по которому производится оценка качества воды по видам водопользования. |
3.14
нормативы допустимой антропогенной нагрузки на окружающую среду: Нормативы, которые установлены в соответствии с величиной допустимого совокупного воздействия всех источников на окружающую среду и/или отдельные компоненты природной среды в пределах конкретных территорий и/или акваторий и при соблюдении которых обеспечивается устойчивое функционирование естественных экологических систем и сохраняется биологическое разнообразие. |
3.15
нормы качества воды: Установленные значения показателей качества воды по видам водопользования. |
3.16
самоочищение вод: Совокупность природных процессов, направленных на восстановление экологического благополучия водного объекта. |
3.17 сопряженный мониторинг качества вод: Мониторинг качества вод, выполняемый в исследуемых створах водного объекта одновременно по гидрохимическим и гидробиологическим показателям.
3.18
состояние водного объекта: Характеристика водного объекта по совокупности его количественных и качественных показателей применительно к видам водопользования. |
3.19 экологическая позиция: Методология государственной регулятивной функции, при которой выявление, оценка и анализ характеристик объекта окружающей среды (водного объекта), обеспечивает мониторинг динамики истощения его качества и экологическую безопасность существования.
3.20
экологическая система (экосистема): Объективно существующая часть природной среды, которая имеет пространственно-территориальные границы и в которой живые (растения, животные и другие организмы) и неживые ее компоненты взаимодействуют как единое функциональное целое и связаны между собой обменом веществ, информацией и энергией. |
3.21
экологический норматив: Критерий качества состояния элементов защищенности окружающей среды [воздуха, воды (в том числе и донных отложений), почвы, недр], позволяющий в виде показателя свести комплексную экологическую ситуацию к нескольким числовым значениям. Примечания 1 При выполнении требований природоохранного права в экологической политике экологическим нормативам в стратегии сохранения и защиты окружающей среды принадлежит ключевая роль. 2 Как правило, роль показателей выполняют нормативные значения предельно допустимых выбросов, сбросов и концентраций. |
3.22
экологическое благополучие водного объекта: Нормальное воспроизведение основных звеньев экологической системы водного объекта. Примечание - К основным звеньям относятся пелагические и придонные ракообразные и рыбы. |
3.23 экспертно-комбинированный метод: Система нормативно-методических документов, обеспечивающая экспертам получение объективных заключений о качестве и динамике изменения качества вод на основе данных импактного мониторинга и научно-разработанных методик (инструментария) унифицированной оценки эффективности водоохранной деятельности хозяйствующих субъектов.
4 Обозначения и сокращения
В настоящем стандарте применены следующие сокращения:
БПК5 - биологическое потребление кислорода за пять дней;
НДТ - наилучшая доступная технология;
ОНВ - объект негативного воздействия на водный объект;
ПАНб - базовый показатель антропогенной нагрузки;
КХА - количественный химический анализ;
ХПК - химическое потребление кислорода (бихроматное).
5 Оценка качества природных поверхностных проточных вод с экологических позиций
5.1 Оценка качества природных поверхностных проточных вод с экологических позиций в контролируемых створах включает оценку класса качества вод, анализ динамики их истощения и деградации водных экосистем, а также решение других водно-экологических задач.
5.2 Для оценки качества природных вод с экологических позиций используют комплексный ПАНб, рассчитываемый по базовым аналитам-маркерам, характеризующим типичные негативные воздействия (pH, сухой остаток, взвешенные вещества, ХПК, БПК5, азот аммония, азот нитритов, азот нитратов, фосфор фосфатов, железо общее, марганец общий).
Базовые аналиты-маркеры в совокупности характеризуют отклики основных типов негативных воздействий на водные объекты и при расчете по ним ПАН
б в соответствии с
ГОСТ Р 57075 обеспечивают однозначные выводы о фундаментальном качестве (классе качества) воды исследуемого поверхностного водного объекта и благополучии водной экосистемы.
Шкала ПАН
б по классам качества природных вод приведена в
приложении А.
5.3 При формировании шкалы ПАН
б используют классификацию качества поверхностных проточных вод по общим показателям с экологических позиций, которые приведены в
приложении Б и выполнены на основе выборочных гидрохимических данных, сопряженных с данными гидробиологического мониторинга
[8], которые в настоящее время используют в современном природоохранном законодательстве России в соответствии с
ГОСТ 17.1.3.07.
5.4 Классификацию качества поверхностных вод (см.
приложение Б) используют на федеральном или региональном уровнях для принятия/установления с экологических позиций базовых целевых показателей качества охраняемых/используемых вод на уровне определенного класса качества.
5.5 Оценка класса качества вод водных объектов с экологических позиций включает процедуры, указанные в
приложении В:
а) обоснование оценочных створов в соответствии с рекомендациями
[9];
б) сбор архивных данных мониторинга вод или (при необходимости) мониторинг их качества по базовым аналитам-маркерам. Контролирующие органы и заинтересованные лица выполняют отбор проб без предварительного предупреждения хозяйствующих субъектов;
в) расчет ПАН
б в соответствии с
ГОСТ Р 57075 по данным мониторинга или испытаний проб воды. Расчет ПАН
б выполняется в Excell или с помощью другого программного обеспечения с аналогичными функциями в соответствии с формой
таблицы В.2 (приложение В);
г) определение в соответствии с
приложением А по ПАН
б класса качества воды:
- I класс качества при ПАНб <= 4,2 усл. м3/м3;
- II класс качества при 4,2 < ПАНб <= 10,8 усл. м3/м3;
- III класс качества при 10,8 < ПАНб <= 24,0 усл. м3/м3;
- IV класс качества при 24,0 < ПАНб <= 70 усл. м3/м3;
- V класс качества при 70 < ПАНб <= 135 усл. м3/м3;
д) графическое картирование полученных данных, исследование линейных трендов ПАНб, их динамик и хронографов, использование различных методов математической обработки полученных данных;
е) формирование выводов.
5.6 Графическое картирование предполагает логический анализ полученных результатов (сезонных, среднегодовых) с архивными бассейновыми данными и выявление причин отклонений/скачков динамики ПАНб от типичного характера.
5.7 Степень нарушения качества и изменения состояния водных экосистем при антропогенной нагрузке, способствующей истощению вод и изменениям в водных экосистемах, характеризуют как:
- низкая - речная экосистема находится в хорошем естественном состоянии, не испытывающем, или слабо испытывающем антропогенное воздействие от загрязнения воды: ПАНб <= 10,8, что соответствует I - II классу качества вод с экологических позиций;
- средняя - речная экосистема испытывает умеренную антропогенную нагрузку из-за постоянного превышения антропогенной нагрузки над самоочищением: 10,8 < ПАНб <= 24,0, что соответствует III классу качества вод с экологических позиций;
- высокая - речная экосистема подвержена сильной деградации из-за высоких концентраций загрязняющих веществ в водах: ПАНб > 24, что соответствует IV - V классу качества вод с экологических позиций.
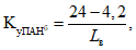
5.8 Рассчитывают удельный показатель истощения качества вод на оценочном участке водотока [

, (усл. м
3/м
3)/км] по формуле

(1)
где

,

- значения базового показателя антропогенной нагрузки соответственно в контрольном и фоновом створах, усл. м
3/м
3;
Lу - длина участка водотока между фоновым и контрольным створами, км.
K
уПАНб - сравнивают с условно-нормативным удельным показателем истощения качества вод исследуемого водотока

, (усл. м
3/м
3)/км, который рассчитывают по формуле

(2)
где 24 и 4,2 - верхние пограничные значения ПАНб, соответствующие III и I классу качества вод;
Lв - длина водотока, км.

зависит от длины водотока.
При длине водотока 1000 км

, при длине водотока 100 км

.
5.9 Динамику изъятия антропогенной нагрузки на исследуемом участке реки и оценку степени истощения качества вод характеризуют в результате следующих процедур:
- исследование трендов внутригодовой и межгодовой изменчивости качества вод в исследуемых створах;
- анализ динамики качества участков водотоков по ПАН
б (превышение интенсивности процессов самоочищения над истощением или преобладание интенсивности процессов истощения и деградации (обратимой или необратимой) над самоочищением) путем исследования тренда

по течению реки. Для водоемов исследуется преимущественно тренд

(т.е. во времени для каждого створа) и др.;
- сравнение фактически установленного тренда процесса истощения качества воды на исследуемом участке реки с условно-нормативным или целевым трендом и др.;
- выводы.
5.10 Выводы содержат следующие заключения:
- наблюдается превышение процессов самоочищения водного объекта над истощением качества вод в результате хозяйственной деятельности, если значение показателя антропогенной нагрузки в контрольном створе

меньше значения показателя антропогенной нагрузки в фоновом створе

. Хозяйственная деятельность объекта негативного воздействия (ОНВ) не оказывает вреда на водный объект;
- наблюдается превышение процессов истощения качества воды водного объекта над самоочищением в результате хозяйственной деятельности ОНВ, если значение показателя антропогенной нагрузки в контрольном створе

превышает значение показателя антропогенной нагрузки в фоновом створе

. Хозяйственная деятельность ОНВ оказывает вред на водный объект;
- установлено состояние деградации экосистемы водного объекта на исследуемом участке реки, если фактический

на участке реки превышает условно-нормативный

более чем в три раза. Хозяйственная деятельность ОНВ оказывает ущерб водному объекту;
- фактические технологические показатели хозяйствующего субъекта не соответствуют качеству НДТ, если в контрольном створе водопользования установлена деградация водной экосистемы по ПАНб, не отмечаемая в фоновом створе. ОНВ не соответствует качеству НДТ по водному фактору;
- фактические технологические показатели хозяйствующего субъекта соответствуют качеству НДТ и нормативам допустимого воздействия по водному фактору, если в контрольном створе водопользования установлен I, II класс качества воды с экологических позиций или наблюдается устойчивый тренд процессов самоочищения. ОНВ соответствует качеству НДТ по водному фактору.
5.11 При периодической неоднозначности, отличии (более чем на класс качества или на 10 усл. м
3/м
3) сезонных результатов оценки состояния водного объекта в контрольном створе под воздействием антропогенной нагрузки по ПАН
б и при стабильности и однозначности соответствующих значений в фоновом створе окончательный вывод об экологическом состоянии участка водного объекта производят по биотическим показателям в соответствии с
ГОСТ Р 57007.
(обязательное)
ОЦЕНКА КЛАССОВ КАЧЕСТВА ПОВЕРХНОСТНЫХ ВОДНЫХ ОБЪЕКТОВ
С ЭКОЛОГИЧЕСКИХ ПОЗИЦИЙ
Таблица А.1
Шкала значений для базового показателя антропогенной
нагрузки природных вод по классам качества
Оценочный показатель | Класс качества воды водных объектов с экологических позиций |
I | II | III | IV | V |
Очень чистая | Чистая | Умеренно загрязненная | Загрязненная | Грязная |
Состояние кризисности экосистемы | Состояние обратимых изменений | Пороговое уязвимое состояние | Состояние обратимых и необратимых изменений |
Показатель антропогенной нагрузки по базовым показателям (ПАНб), усл. м3/м3 | < 4,2 | 4,2 - 10,8 | 10,9 - 24 | 24,1 - 70 | 70,1 - 135 |
Снижение интенсивности биохимической трансформации [8] | 0 | 0 | < 10% | < 30% | > 70% |
Примечание - В процессе рассмотрения стандарта возможно дополнение его другими оценочными показателями, например показателем антропогенной нагрузки по токсичности (ПАНт), показателем антропогенной нагрузки с учетом теплового воздействия (ПАНтепл), общим показателем антропогенной нагрузки с учетом экотоксичности (ПАНо), индексом Балушкиной, индексом трофической комплектности (ИТК). |
(рекомендуемое)
ОЦЕНОЧНЫЕ ПОКАЗАТЕЛИ КАЧЕСТВА ПОВЕРХНОСТНЫХ ВОД
С ЭКОЛОГИЧЕСКИХ ПОЗИЦИЙ
Таблица Б.1
Нормативы качества поверхностных проточных вод
с экологических позиций
[8]
Показатели | |
I | II | III | IV | V |
Значение pH, ед. pH | 6,5 - 8,0 | 6,5 - 8,5 | 6,5 - 8,5 | 6,0 - 8,5 | 6,0 - 9,0 |
Минерализация (сухой остаток), мг/дм3 | < 300 | 500 | 800 | 1000 | 1200 |
Взвешенные вещества природного происхождения, мг/дм3 | < 20 | 20 - 30 | 31 - 50 | 51 - 100 | 101 - 200 |
Железо общее, мг/дм3 | < 0,5 | 0,5 - 1 | 0,5 - 1 | 0,5 - 5 | 5,1 - 10 |
Марганец общий, мг/дм3 | < 0,05 | 0,05 - 0,1 | 0,2 - 0,3 | 0,4 - 0,8 | 0,9 - 1,5 |
| < 0,1 | 0,1 - 0,2 | 0,3 - 0,5 | 0,6 - 2,0 | 3,0 - 5,0 |
| < 0,002 | 0,002 - 0,005 | 0,006 - 0,02 | 0,03 - 0,05 | 0,05 - 0,1 |
| < 1 | 1 - 3 | 4 - 5 | 6 - 10 | 11 - 20 |
Фосфаты (PO 4), мг/дм 3 <2> | < 0,025 | 0,025 - 0,2 | 0,3 - 0,5 | 0,6 - 1,0 | 1,1 - 2,0 |
Общий фосфор (PO 4), мг/дм 3 <2> | < 0,05 | 0,05 - 0,4 | 0,5 - 1,0 | 1,1 - 2,0 | 2,1 - 3,0 |
Химическое потребление кислорода (ХПК), мг O2/дм3 | < 15 | 15 - 25 | 26 - 50 | 51 - 70 | 71 - 100 |
Биохимическое потребление кислорода (БПК5), мг O2/дм3 | < 2 | 2 - 4 | 5 - 8 | 9 - 15 | 16 - 25 |
Органический углерод, мг/дм 3 <2> | < 3 | 3 - 5 | 6 - 8 | 9 - 12 | 13 - 20 |
| < 1,5 | 1,5 - 4,0 | 4,1 - 7,5 | 7,6 - 17 | 17,1 - 35 |
Примечания 1 При значении параметра выше значения, указанного для V класса качества, качество воды характеризуется как "хуже V класса качества". 2 В хорошо оснащенных испытательных лабораториях мониторинг качества вод водных объектов рекомендуется дополнительно осуществлять по азоту общему наряду с группой показателей: аммоний (N), нитриты (N), нитраты (N), органический азот; по фосфору общему, по общему и органическому углероду. |
(обязательное)
МЕТОД ОЦЕНКИ КАЧЕСТВА ВОДЫ/НЕГАТИВНОГО ВОЗДЕЙСТВИЯ
НА КАЧЕСТВО ВОДЫ ПО БАЗОВОМУ ПОКАЗАТЕЛЮ
АНТРОПОГЕННОЙ НАГРУЗКИ
Таблица В.1
Расчет ПАН
i по основным типам воздействий
Тип воздействия | Показатель (аналит-маркер), характеризующий тип воздействия | Расчетная формула для ПАНi, усл. м3/м3 | Целевой показатель (ЦПiЭ-НДТ) |
Увеличение общей минерализации | Сухой остаток (общая минерализация), мг/дм3 | | (100 - 300) мг/усл. дм3 |
Закисление или защелачивание | pH, ед. pH | (6,5 - pH i)/0,1 при pH i < 6,5 <3>; (pH i - 8,5)/0,1 при pH i > 8,5 <3> | (6,5 - 8,5) ед. pH |
Снижение прозрачности | Инертные взвешенные вещества <4>, мг/дм 3 | (0,04Ci - 1) - для водных объектов, в которых обитают карповые рыбы | 25 мг/усл. дм3 |
(0,1Ci - 1) - для форелевых/лососевых водных объектов | 10 мг/усл. дм3 |
Взвешенные вещества антропогенного происхождения <5>, мг/дм 3 | (0,2Ci - 1) | 5 мг/усл. дм3 |
Снижение содержания растворенного кислорода | ХПК, мг O2/дм3 | (0,1Ci - 1) | 10 мг O2/усл. дм3 |
| - | - |
Эвтрофирование | Фосфор общий, мг/дм 3 или на 1 этапе <7> | (5Ci - 1) | 0,2 мг/усл. дм3 |
в т.ч. фосфор фосфатов, мг/дм3 | (10Ci - 1) | 0,1 мг/усл. дм3 |
Азот общий, мг/дм 3 или на 1 этапе <7> в том числе суммарно: | (0,2Ci - 1) | 5 мг/усл. дм3 |
азот аммония, мг/дм3 | (2,5Ci - 1) | 0,4 мг/усл. дм3 |
азот нитратов, мг/дм3 | (0,33Ci - 1) | 3,0 мг/усл. дм3 |
азот нитритов, мг/дм3 | (50Ci - 1) | 0,02 мг/усл. дм3 |
Биогенная подпитка внутриводоемных процессов | Железо общее, мг/дм3 | (3,3Ci - 1) | 0,3 мг/усл. дм3 |
Вторичное загрязнение от донных отложений | Марганец общий, мг/дм3 | (10Ci - 1) | 0,1 мг/усл. дм3 |
Увеличение токсичности <7> | Острая токсичность, ед. кратности <8> | Кратность разбавления до исчезновения токсичности, IТ | Без разбавления |
При отсутствии показателя токсичности и при ХПК > 50 мг O 2/дм 3 (по ГОСТ 17.1.1.01-77) | ХПК/БПК5 | - |
<1> Фактическая концентрация сухого остатка в пробе воды. <2> Концентрация сухого остатка в фоновом створе. <3> Используется эмпирическая формула. <4> Взвешенные вещества минерального происхождения, практически не содержащие взвесей антропогенного происхождения. <5> Взвешенные вещества, трансформируемые в водной среде или аккумулируемые гидробионтами. <6> БПК 5 при расчете ПАН б не используется, но используется для укрупненной оценки токсичности вод при ХПК > 50 мг O 2/дм 3 по формуле: (ХПК/БПК 5). <7> Первым этапом предусматривается период до момента массового освоения гидрохимическими экологическими лабораториями количественного химического анализа в пробах вод азота и фосфора органического и общего. <8> При экспресс-обследовании участка водного объекта острая токсичность определяется расчетным путем из соотношения ХПК/БПК 5. <9> Тип воздействия на первом этапе не учитывается при оценке ПАН б, но информация накапливается. |
Общий порядок оценки фактического качества вод по ПАНб включает следующие основные процедуры:
- обоснование оценочных створов отбора проб воды;
- сбор архивной информации по мониторингу качества вод в оценочных створах;
- при необходимости, выполнение количественного химического анализа отобранных проб по перечню обязательных базовых аналитов-маркеров (pH, сухой остаток, взвешенные вещества, ХПК, БПК5, азот аммония, азот нитритов, азот нитратов, фосфор фосфатов, железо общее, марганец общий);
- проведение расчета ПАН
б вод по
формулам (В.1) и
(В.2). В Excell (или в программном обеспечении с подобными функциями) создают таблицы, аналогичные
таблице В.2;
- оценка класса качества воды контролируемого створа и состояние кризисности водной экосистемы в нем по рассчитанным значениям ПАН
б в соответствии с данными
таблицы А.1 (приложение А), а также графическое картирование классов качества вод в створах исследованного водотока;
- построение условно-нормативного тренда динамики ПАНб для водотока;
- анализ динамики ПАН
б в створах водотоков, исследованных по их течению. Для рек следует определять тренд динамики

(т.е. в пространстве по течению реки). Также необходимо установить соответствие фактических значений трендов динамики ПАН
б значениям условно-нормативным [превышение (истощение качества)/непревышение].
Для водоемов следует анализировать преимущественно тренд динамики ПАНб/(дни, годы) (т.е. во времени для каждого створа) и др.
В соответствии с
ГОСТ Р 57075 при оценке ПАН
б учитывают значения сопряженно исследованных основных фундаментальных типов негативного воздействия, по которым выполнена базовая классификация качества вод.
Базовый показатель антропогенной нагрузки ПАНб определяют суммированием ПАНi - в соответствии с расчетом ПАНб для конкретной пробы, представленным в таблице В.2.
Таблица В.2
Расчет базового показателя антропогенной нагрузки
качества воды для конкретной пробы воды
Базовый показатель (аналит-маркер) Ci | Фактическое значение Ci в пробе воды | Расчетная формула для ПАНi | Целевой показатель ЦПiЭ-НДТ | ПАНi, усл. м3/м3 |
Сухой остаток (общая минерализация), мг/дм3 | 455 | | 100 мг/усл. дм3 | 3,55 |
pH, ед. pH | 7,26 | (6,5 - pHi)/0,1 при pHi < 6,5; (pHi - 8,5)/0,1 при pHi > 8,5 | (6,5 - 8,5) ед. pH | 0 |
Взвеш. вещества, мг/дм3 | 8,0 | (0,2Ci - 1) | 5 мг/усл. дм3 | 0,6 |
ХПК, мг O2/дм3 | 42 | (0,1Ci - 1) | 10 мг O2/усл. дм3 | 3,2 |
| 4,7 | - | - | - |
Фосфор фосфатов, мг/дм3 | | (10Ci - 1) | 0,1 мг/усл. дм3 | 20,52 |
Азот аммония, мг/дм3 | | (2,5Ci - 1) | 0,4 мг/усл. дм3 | 13,18 |
Азот нитратов, мг/дм3 | | (0,33Ci - 1) | 3,0 мг/усл. дм3 | 0 |
Азот нитритов, мг/дм3 | | (50Ci - 1) | 0,02 мг/усл. дм3 | 14,2 |
Железо общее, мг/дм3 | 0,21 | (3,3Ci - 1) | 0,3 мг/усл. дм3 | 0 |
Марганец общий, мг/дм3 | 0,29 | (10Ci - 1) | 0,1 мг/усл. дм3 | 1,9 |
ПАНб | 57,15 |
<1> Фактическая концентрация сухого остатка в пробе воды. <2> Концентрация сухого остатка в фоновом створе, либо целевой показатель. <3> Используется эмпирическая формула. <4> Соответственно, выполняется перерасчет КХА иона аммония на азот аммония (K = 0,777), КХА нитратов на азот нитратов (K = 0,226), КХА нитритов на азот нитритов (K = 0,304). <5> Обычно результат КХА по содержанию фосфора в пробе предоставляется в виде фосфатов, азота в виде иона аммония, нитратов, нитритов. В столбце 2 таблицы В.2 необходимо результат КХА в виде фосфатов пересчитать на фосфор фосфатов, умножив результат КХА в виде фосфатов на K = 0,326. |
Общий показатель антропогенной нагрузки ПАНб вод по установленным базовым типам воздействий определяют суммированием ПАНi

(В.1)
где ПАНi - ПАН i-го типа воздействия;
n - количество учитываемых типов воздействия.
Интегральный показатель антропогенной нагрузки (ПАН
i, усл. м
3/м
3) в соответствии с
ГОСТ Р 57075 рассчитывают по формуле

(В.2)
где ЦП
iЭ-НДТ - виртуальное целевое значение концентрации показателя (аналита-маркера) по
i-му типу воздействия, мг/усл. дм
3, достижимое при использовании НДТ и удовлетворяющее условиям предотвращения деградации качества воды поверхностного водного объекта в соответствии с
таблицей В.1;
Ci - концентрация аналита-маркера в сточных или загрязненных природных водах, отражающего определенный тип негативного воздействия, мг/дм3.
| Федеральный закон от 21 июля 2014 г. N 219-ФЗ "О внесении изменений в Федеральный закон "Об охране окружающей среды" и отдельные законодательные акты Российской Федерации" |
| Федеральный Закон от 29 июня 2015 г. N 162-ФЗ (ред. от 3 июля 2016 г.) "О стандартизации в Российской Федерации" |
| Распоряжение Правительства РФ от 19 марта 2014 г. N 398-р "Об утверждении комплекса мер, направленных на отказ от использования устаревших и неэффективных технологий" |
| Распоряжение Правительства РФ от 8 июля 2015 г. N 1316-р "Об утверждении перечня загрязняющих веществ, в отношении которых применяются меры государственного регулирования в области охраны окружающей среды" |
| Экологическая промышленная политика Российской Федерации (проект)/Комитет РСПП по экологии и природопользованию. Москва. 2013 |
| Федеральный закон от 10 января 2002 г. N 7-ФЗ "Об охране окружающей среды" |
| Водный кодекс Российской Федерации от 3 июня 2006 г. N 74-ФЗ |
| Единые критерии качества вод. СЭВ. Совещание руководителей водохозяйственных органов стран - членов СЭВ. 1982 г. |
| | Организация и проведение режимных наблюдений за состоянием и загрязнением поверхностных вод суши |