Главная // Актуальные документы // ГОСТ Р (Государственный стандарт)СПРАВКА
Источник публикации
М.: Стандартинформ, 2019
Примечание к документу
Документ
введен в действие с 01.05.2020.
Название документа
"ГОСТ Р 58525-2019. Национальный стандарт Российской Федерации. Охрана природы. Гидросфера. Качество воды. Правила установления периодичности контроля"
(утв. и введен в действие Приказом Росстандарта от 03.10.2019 N 867-ст)
"ГОСТ Р 58525-2019. Национальный стандарт Российской Федерации. Охрана природы. Гидросфера. Качество воды. Правила установления периодичности контроля"
(утв. и введен в действие Приказом Росстандарта от 03.10.2019 N 867-ст)
Утвержден и введен в действие
агентства по техническому
регулированию и метрологии
от 3 октября 2019 г. N 867-ст
НАЦИОНАЛЬНЫЙ СТАНДАРТ РОССИЙСКОЙ ФЕДЕРАЦИИ
ОХРАНА ПРИРОДЫ
ГИДРОСФЕРА. КАЧЕСТВО ВОДЫ
ПРАВИЛА УСТАНОВЛЕНИЯ ПЕРИОДИЧНОСТИ КОНТРОЛЯ
The nature conservancy. Hydrosphere. Water quality.
Rules for setting the frequency of control
ГОСТ Р 58525-2019
Дата введения
1 мая 2020 года
1 РАЗРАБОТАН Федеральным государственным учреждением науки "Институт водных проблем" Российской академии наук (ИВП РАН)
2 ВНЕСЕН Техническим комитетом по стандартизации ТК 343 "Качество воды"
3 УТВЕРЖДЕН И ВВЕДЕН В ДЕЙСТВИЕ
Приказом Федерального агентства по техническому регулированию и метрологии от 3 октября 2019 г. N 867-ст
4 ВВЕДЕН ВПЕРВЫЕ
Правила применения настоящего стандарта установлены в статье 26 Федерального закона от 29 июня 2015 г. N 162-ФЗ "О стандартизации в Российской Федерации". Информация об изменениях к настоящему стандарту публикуется в ежегодном (по состоянию на 1 января текущего года) информационном указателе "Национальные стандарты", а официальный текст изменений и поправок -
в ежемесячном информационном указателе "Национальные стандарты". В случае пересмотра (замены) или отмены настоящего стандарта соответствующее уведомление будет опубликовано в ближайшем выпуске ежемесячного информационного указателя "Национальные стандарты". Соответствующая информация, уведомление и тексты размещаются также в информационной системе общего пользования -
на официальном сайте Федерального агентства по техническому регулированию и метрологии в сети Интернет (www.gost.ru)
Настоящий стандарт устанавливает общие положения по регулированию периодичности контроля качества вод с учетом изменчивости показателей качества вод и погрешности измерений в целях:
- определения фоновой концентрации загрязняющих веществ;
- выяснения соответствия качества воды установленным требованиям;
- согласования результатов государственного и производственного водного контроля;
- установления лимитов (нормативов) допустимого водоотведения;
- оценки объемов сброса загрязняющих веществ в водные объекты.
В настоящем стандарте использованы нормативные ссылки на следующие стандарты:
ГОСТ 27384 Вода. Нормы погрешности измерений показателей состава и свойств
ГОСТ Р 8.563 Государственная система обеспечения единства измерений. Методики (методы) измерений
Примечание - При пользовании настоящим стандартом целесообразно проверить действие ссылочных стандартов в информационной системе общего пользования - на официальном сайте Федерального агентства по техническому регулированию и метрологии в сети Интернет или по ежегодному информационному указателю "Национальные стандарты", который опубликован по состоянию на 1 января текущего года, и по выпускам ежемесячного информационного указателя "Национальные стандарты" за текущий год. Если заменен ссылочный стандарт, на который дана недатированная ссылка, то рекомендуется использовать действующую версию этого стандарта с учетом всех внесенных в данную версию изменений. Если заменен ссылочный стандарт, на который дана датированная ссылка, то рекомендуется использовать версию этого стандарта с указанным выше годом утверждения (принятия). Если после утверждения настоящего стандарта в ссылочный стандарт, на который дана датированная ссылка, внесено изменение, затрагивающее положение, на которое дана ссылка, то это положение рекомендуется применять без учета данного изменения. Если ссылочный стандарт отменен без замены, то положение, в котором дана ссылка на него, рекомендуется применять в части, не затрагивающей эту ссылку.
В настоящем стандарте применены термины в соответствии
[1], а также следующие термины с соответствующими определениями:
3.1
загрязняющие вещества: Вещества, которые при определенной концентрации в результате поступления в окружающую среду и при контакте с организмом человека вызывают любое нежелательное изменение. |
3.2
качество воды: Характеристика состава и свойств воды, определяющая пригодность ее для конкретных видов водопользования. |
3.3
контроль качества воды: Проверка соответствия показателей качества воды установленным нормам и требованиям. |
3.4
нормы качества воды: Установленные значения показателей качества воды для конкретных видов водопользования. |
3.5
нормы характеристик погрешности измерений; нормы погрешности измерений: Характеристики погрешности измерений, задаваемые в качестве требуемых или допускаемых. В качестве норм погрешности измерений приняты границы допускаемого интервала (нижняя и верхняя), в которых погрешность измерений находится с вероятностью P = 0,95. |
3.6
погрешность (результата измерения): Разность между измеренным значением величины и опорным значением величины. |
3.7
предельно допустимая концентрация веществ в воде; ПДК: Концентрация веществ в воде, выше которой вода непригодна для одного или нескольких видов водопользования. |
3.8
приписанная характеристика погрешности измерений: Характеристика погрешности измерений, приписываемая любому результату совокупности измерений, полученному при соблюдении требований стандартизованной или аттестованной методики. В качестве приписанной характеристики погрешности измерений приняты границы интервала (нижняя и верхняя), в которых погрешность измерений находится с вероятностью P= 0,95. |
4.1 Достоверность информации о составе и свойствах вод, полученной при анализе периодически отбираемых проб, снижается вследствие погрешности измерений по
ГОСТ 27384 и рассеивания значений контролируемых показателей относительно математического ожидания. В настоящем стандарте учтены не только изменения качества воды по
ГОСТ 31861, но и погрешность измерения, которая часто бывает лимитирующей характеристикой обеспечения уровня достаточной надежности выводов о качестве воды и о ее соответствии или несоответствии установленным требованиям.
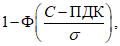
4.2 Надежность заключения о соответствии/несоответствии качества воды установленным требованиям тем ниже, чем ближе среднеарифметическое значение концентрации

контролируемого показателя к установленному нормативу, например предельно допустимой концентрации (ПДК). Это следует из того, что вероятность ложного заключения о соответствии есть:

(1)
где Ф - интегральная функция плотности предполагаемого нормального распределения;

- среднеквадратическое отклонение.
При этом вероятность ложного заключения о несоответствии есть:

(2)
4.3 Суммарную относительную погрешность оценки качества воды

вычисляют по формуле

(3)
где

- отклонение значения контролируемого показателя относительно математического ожидания;

- приписанная характеристика относительной погрешности измерений.
Отклонение значения контролируемого показателя относительно математического ожидания

вычисляют по формуле

(4)
где

- допустимая статистическая погрешность ошибки выборочного контроля, вычисляемая по формуле
где
up = 1,96 - квантиль принятой функции нормального распределения при доверительной вероятности
P = 0,95 по
ГОСТ Р 8.563;
n - число контрольных проб;

- среднеарифметическое значение концентрации контролируемого показателя, вычисляемое по формуле
где Ci - концентрация контролируемого показателя в отдельной контрольной пробе;
n - число контрольных проб.
4.4 Для целей практического анализа достоверности результатов оценки качества воды представлены рисунки 1 и
2, на которых приведены вероятности ложных заключений о соответствии (область слева от максимальной вероятности, равной 50%) и о несоответствии (справа от максимума) качества воды установленным требованиям. Согласно изображениям на рисунках 1 и
2, чем меньше абсолютное значение разности

, тем выше вероятность ложных заключений о качестве воды, т.е. риск ошибки органа водного контроля.
Рисунок 1 - Вероятность ложных заключений о качестве воды
(ось ординат) при

. Сплошная линия соответствует

, штриховая -

,
пунктирная -

Рисунок 2 - Вероятность ложных заключений о качестве воды
(ось ординат) при

4.5 При сравнении изображений, приведенных на
рисунках 1 и
2, становится очевидным, что крылья кривых снижаются в обе стороны от ПДК тем медленнее, чем более

, и тем быстрее, чем менее отношение

.
4.6 Для норм относительной погрешности измерений приоритетных загрязняющих веществ в питьевой воде

выполняется следующее эмпирическое соотношение:

(5)
полученное путем экстраполяции стандартных данных о функции

(ПДК), где численные значения ПДК, мг/дм
3, соответствуют
[3] -
[5].
4.7 Минимальное число измерений
nмин, которые необходимо провести для того, чтобы измеренное значение

отличалось от фактической среднеарифметической концентрации контролируемого показателя не более, чем на величину

, вычисляют по формуле

(6)
где
Sотн - оценка относительного среднеквадратического отклонения, характеризующая изменчивость контролируемого показателя, вычисляемая по формуле

.
Примечание - Расчет периодичности контроля качества воды осуществляют за период, в течение которого Sотн остается постоянным.
4.8 Пример практической оценки периодичности измерений представлен в
приложении А.
(справочное)
ПРИМЕР ПРАКТИЧЕСКОЙ ОЦЕНКИ ПЕРИОДИЧНОСТИ
КОНТРОЛЯ КАЧЕСТВА ВОДЫ
Таблица А.1
Минимальное число nмин измерений загрязняющего вещества
в зависимости от характеристики погрешности измерений

и относительного выборочного среднеквадратического
отклонения Sотн
Sотн | Наименование загрязняющего воду вещества |
Кобальт | Хром (Cr3+) | Бензол | Тетрахлорметан | Бифенилы |
ПДК, мг/дм3 |
0,1 | 0,05 | 0,01 | 0,006 | 0,001 |
 , % |
25 | 27 | 31 | 33 | 41 |
nмин |
0,1 | 1 | 1 | 1 | 1 | 1 |
0,5 | 16 | 14 | 10 | 9 | 6 |
1,0 | 62 | 53 | 40 | 36 | 23 |
1,5 | 139 | 119 | 90 | 80 | 52 |
2,0 | 246 | 211 | 160 | 142 | 92 |
4,0 | 984 | 844 | 640 | 565 | 366 |
| Водный кодекс Российской Федерации от 3 июня 2006 г. N 74-ФЗ. Принят Государственной Думой 12 апреля 2006 г. |
| | Государственная система обеспечения единства измерений. Метрология. Основные термины и определения |
| | Питьевая вода. Гигиенические требования к качеству воды централизованных систем питьевого водоснабжения. Контроль качества. Гигиенические требования к обеспечению безопасности систем горячего водоснабжения |
[4] | | Предельно допустимые концентрации (ПДК) химических веществ в воде водных объектов хозяйственно-питьевого и культурно-бытового водопользования |
| | Ориентировочные допустимые уровни (ОДУ) химических веществ в воде водных объектов хозяйственно-питьевого и культурно-бытового водопользования |