Главная // Актуальные документы // ГОСТ Р (Государственный стандарт)СПРАВКА
Источник публикации
М.: Стандартинформ, 2019
Примечание к документу
Документ
введен в действие с 1 мая 2019 года.
Название документа
"ГОСТ Р 58399-2019. Национальный стандарт Российской Федерации. Контроль неразрушающий. Методы оптические. Общие требования"
(утв. и введен в действие Приказом Росстандарта от 17.04.2019 N 161-ст)
"ГОСТ Р 58399-2019. Национальный стандарт Российской Федерации. Контроль неразрушающий. Методы оптические. Общие требования"
(утв. и введен в действие Приказом Росстандарта от 17.04.2019 N 161-ст)
Утвержден и введен в действие
агентства по техническому
регулированию и метрологии
от 17 апреля 2019 г. N 161-ст
НАЦИОНАЛЬНЫЙ СТАНДАРТ РОССИЙСКОЙ ФЕДЕРАЦИИ
КОНТРОЛЬ НЕРАЗРУШАЮЩИЙ
МЕТОДЫ ОПТИЧЕСКИЕ. ОБЩИЕ ТРЕБОВАНИЯ
Non-destructive testing. Optical methods.
General requirements
ГОСТ Р 58399-2019
Дата введения
1 мая 2019 года
1 РАЗРАБОТАН подкомитетом "Оптический и визуально-измерительный контроль" Технического комитета по стандартизации ТК 371 "Неразрушающий контроль" при участии АО "НПО Энергомаш им. академика В.П. Глушко", ФГБУН "Научно-технологический центр уникального приборостроения РАН", ЗАО "НПП специальной и медицинской техники", ФГУП "ВНИИОФИ", ФГУП "Центральный аэрогидродинамический институт им. проф. Н.Е. Жуковского", Научно-учебного центра "Контроль и диагностика", АО "ВНИИАЭС", ЗАО "ОМТЕХ", ООО "Индумос", ООО "ОЛИМПАС МОСКВА", ООО "Арсенал НК", Промышленной ассоциации "МЕГА" в области технической диагностики, ООО "Джии Рус"
2 ВНЕСЕН Техническим комитетом по стандартизации ТК 371 "Неразрушающий контроль"
3 УТВЕРЖДЕН И ВВЕДЕН В ДЕЙСТВИЕ
Приказом Федерального агентства по техническому регулированию и метрологии от 17 апреля 2019 г. N 161-ст
4 ВВЕДЕН ВПЕРВЫЕ
Правила применения настоящего стандарта установлены в статье 26 Федерального закона от 29 июня 2015 г. N 162-ФЗ "О стандартизации в Российской Федерации". Информация об изменениях к настоящему стандарту публикуется в ежегодном (по состоянию на 1 января текущего года) информационном указателе "Национальные стандарты", а официальный текст изменений и поправок - в
ежемесячном информационном указателе "Национальные стандарты". В случае пересмотра (замены) или отмены настоящего стандарта соответствующее уведомление будет опубликовано в ближайшем выпуске ежемесячного информационного указателя "Национальные стандарты". Соответствующая информация, уведомление и тексты размещаются также в информационной системе общего пользования -
на официальном сайте Федерального агентства по техническому регулированию и метрологии в сети Интернет (www.gost.ru)
Настоящий стандарт распространяется на оптические методы неразрушающего контроля и устанавливает область применения, общие требования к средствам контроля, порядку подготовки и проведению контроля, оформлению результатов и требования безопасности.
В настоящем стандарте использованы нормативные ссылки на следующие стандарты:
ГОСТ 28369 Контроль неразрушающий. Облучатели ультрафиолетовые. Общие технические требования и методы испытаний.
ГОСТ 31581 Лазерная безопасность. Общие требования безопасности при разработке и эксплуатации лазерных изделий.
ГОСТ Р 52931 Приборы контроля и регулирования технологических процессов. Общие технические условия.
ГОСТ Р 53696 Контроль неразрушающий. Методы оптические. Термины и определения.
Примечание - При пользовании настоящим стандартом целесообразно проверить действие ссылочных стандартов в информационной системе общего пользования - на официальном сайте Федерального агентства по техническому регулированию и метрологии в сети Интернет или по ежегодному информационному указателю "Национальные стандарты", который опубликован по состоянию на 1 января текущего года, и по выпускам ежемесячного информационного указателя "Национальные стандарты" за текущий год. Если заменен ссылочный стандарт, на который дана недатированная ссылка, то рекомендуется использовать действующую версию этого стандарта с учетом всех внесенных в данную версию изменений. Если заменен ссылочный стандарт, на который дана датированная ссылка, то рекомендуется использовать версию этого стандарта с указанным выше годом утверждения (принятия). Если после утверждения настоящего стандарта в ссылочный стандарт, на который дана датированная ссылка, внесено изменение, затрагивающее положение, на которое дана ссылка, то это положение рекомендуется применять без учета данного изменения. Если ссылочный стандарт отменен без замены, то положение, в котором дана ссылка на него, рекомендуется применять в части, не затрагивающей эту ссылку.
В настоящем стандарте применены термины по
ГОСТ Р 53696, а также следующие термины с соответствующими определениями:
Характер взаимодействия оптического излучения с контролируемым объектом
3.1 метод собственного оптического излучения; метод собственной эмиссии: Метод оптического неразрушающего контроля, основанный на регистрации параметров собственного излучения (эмиссии) объекта контроля.
3.2 метод индуцированного оптического излучения; метод индуцированной оптической эмиссии: Метод оптического неразрушающего контроля, основанный на регистрации параметров оптического излучения (эмиссии), генерируемого объектом контроля при постороннем воздействии возбуждения.
Примечание - Полное название метода может включать термин, описывающий способ возбуждения, например искровой. Методы собственного и индуцированного оптического излучения носят общее название - оптические эмиссионные методы.
3.3 метод прошедшего оптического излучения; трансмиссионный метод: Метод оптического неразрушающего контроля, основанный на регистрации параметров оптического излучения, прошедшего сквозь объект контроля.
3.4 метод поглощенного оптического излучения; абсорбционный метод: Метод оптического неразрушающего контроля, основанный на анализе параметров поглощения оптического излучения объектом контроля. В тех случаях, когда величина поглощения определяется по величине интенсивности прошедшего оптического излучения, термины "абсорбционный" и "трансмиссионный" методы эквивалентны.
3.5 метод отраженного оптического излучения; рефлектометрический метод: Метод оптического неразрушающего контроля, основанный на регистрации параметров оптического излучения, отраженного от объекта контроля.
3.6 метод рассеянного оптического излучения: Метод оптического неразрушающего контроля, основанный на регистрации параметров оптического излучения, рассеянного от объекта контроля.
Примечание - Полное название метода может включать термин, описывающий механизм рассеяния, например метод упругого, неупругого, рэлеевского, комбинационного (рамановского), стоксова, антистоксова рассеяния света. Частным случаем является нефелометрический метод.
3.7 метод люминесцентного оптического излучения; люминесцентный метод: Метод оптического неразрушающего контроля, основанный на регистрации люминесцентного излучения объекта контроля и на анализе параметров люминесценции.
Примечание - Полное название метода может включать термин, описывающий механизм люминесценции: фотолюминесцентный, флуоресцентный, фосфоресцентный, электролюминесцентный метод. Люминесцентный метод является частным случаем метода рассеянного оптического излучения.
Первичный информативный физический параметр
3.8 амплитудный метод оптического излучения; энергетический метод: Метод оптического неразрушающего контроля, основанный на регистрации мощности или интенсивности оптического излучения после его взаимодействия с объектом контроля или иных энергетических характеристик: мощности потока, энергии световых импульсов, освещенности поверхности объекта, яркости объекта.
Примечание - Полное название метода может включать термин, конкретизирующий регистрируемую характеристику: яркостный, мощностный.
3.9 фазовый метод оптического излучения; фазовый оптически метод: Метод оптического неразрушающего контроля, основанный на регистрации фазовых параметров оптического излучения после его взаимодействия с объектом контроля: разности фаз световых волн, набега фазы или вариации фазы по пространству.
3.10 поляризационный метод оптического излучения; поляризационный метод: Метод оптического неразрушающего контроля, основанный на регистрации поляризационных характеристик оптического излучения после его взаимодействия с объектом контроля: ориентации линейной поляризации, направления вращения циркулярной поляризации, коэффициента эллиптичности и ориентации осей эллиптически поляризованной волны, параметров Стокса.
Примечание - Частным случаем является эллипсометрический метод.
3.11 геометрический метод оптического излучения; угловой метод: Метод оптического неразрушающего контроля, основанный на регистрации направления распространения оптического излучения после его взаимодействия с объектом контроля: разности углов распространения световых волн или угла отклонения световой волны.
3.12 спектральный метод оптического излучения; спектральный метод: Метод оптического неразрушающего контроля, основанный на регистрации и анализе спектральных характеристик оптического излучения после его взаимодействия с объектом контроля: спектров (сплошных, фрагментированных, дискретных), спектральных величин, характеризующих разные шкалы (длины волны, оптической частоты, энергии световых квантов, разности частот и энергий).
Примечание - Термин "спектральный" может входить в названия других методов неразрушающего контроля, показывая, что соответствующие физические величины относятся к определенным точкам или областям спектра, например спектральный энергетический (спектрофотометрический), спектрополяризационный и т.п. В зависимости от количества длин волн (спектральных полос) название метода может включать указание на это количество: двухволновый, многоволновый, мультиспектральный, гиперспектральный.
3.13
временной метод оптического излучения; метод с
разрешением: Метод оптического неразрушающего контроля, основанный на регистрации

характеристик оптического излучения после его взаимодействия с объектом контроля: времени прохождения оптического излучения через объект контроля, времени задержки, времени нарастания или спада.
Примечание - Термин "с

разрешением" может входить в названия других методов неразрушающего контроля, показывая, что соответствующие физические величины регистрируются и анализируются как функции времени, например люминесцентный с

разрешением.
3.14 пространственный метод оптического излучения; метод с пространственным разрешением: Метод оптического неразрушающего контроля, основанный на регистрации пространственных характеристик оптического излучения после его взаимодействия с объектом контроля, а также физических характеристик оптического излучения как функции одной двух или трех координат - соответственно методы с одномерным (1D), двумерным (2D), трехмерным (3D) разрешением. Термин "с пространственным разрешением" может входить в названия других методов неразрушающего контроля, показывая, что соответствующие физические величины регистрируются и анализируются как пространственные распределения, например фазовый с пространственным разрешением, абсорбционный с пространственным разрешением.
Способ получения первичной информации
а) Способ визуального наблюдения объекта контроля
3.15 визуальный метод: Метод оптического неразрушающего контроля, основанный на наблюдении и анализе объекта контроля непосредственно глазами оператора без использования оптических устройств и приборов.
3.16 визуально-оптический метод; прямой визуально-оптический метод: Метод оптического неразрушающего контроля, основанный на наблюдении и анализе объекта контроля с помощью оптических устройств и приборов, в котором имеет место непрерывный ход лучей между глазами оператора и объектом контроля.
Примечание - Визуальный и визуально-оптический методы объединяют общим названием "прямой визуальный контроль".
3.17 телевизионный метод; непрямой визуально-оптический метод; непрямой визуальный контроль: Метод оптического неразрушающего контроля, основанный на визуальном анализе изображения контролируемого объекта, регистрируемого оптико-электронными устройствами, средствами фото- и видеотехники.
б) Основное оптическое явление (эффект), сопровождающее взаимодействие оптического излучения с объектом контроля
3.18 дифракционный метод оптического излучения; дифракционный метод: Метод оптического неразрушающего контроля, основанный на анализе дифракционной картины, получаемой при взаимодействии когерентного оптического излучения с объектом контроля.
3.19 интерференционный метод оптического излучения; интерференционный (интерферометрический) метод: Метод оптического неразрушающего контроля, основанный на анализе интерференционной картины, получаемой при взаимодействии когерентных волн, опорной и модулированной объектом контроля.
Примечание - Частные случаи: голографический метод, методы оптической когерентной томографии.
3.20 рефракционный (рефрактометрический) метод оптического излучения; рефракционный (рефрактометрический) метод: Метод оптического неразрушающего контроля, основанный на анализе параметров оптического излучения после его преломления объектом контроля.
3.21 фазово-контрастный метод оптического излучения; фазово-контрастный метод: Метод неразрушающего контроля, основанный на трансформации разности фаз оптического излучения в различие интенсивности и визуализацию или фоторегистрацию этого контраста.
в) Вид зондирующего оптического излучения
3.22 когерентный метод оптического излучения; когерентный метод: Метод оптического неразрушающего контроля, основанный на измерении параметров когерентного оптического излучения после его взаимодействия с объектом контроля.
Примечание - Частные случаи: метод спекл-интерферометрии, шерография, метод спекл-структур, лазерные методы.
3.23 монохроматический метод оптического излучения; оптический метод монохроматического излучения: Метод оптического неразрушающего контроля, основанный на измерении параметров монохроматического оптического излучения после его взаимодействия с объектом контроля.
3.24 импульсный (импульсно-периодический) метод оптического излучения; импульсный (импульсно-периодический) метод: Метод оптического неразрушающего контроля, основанный на измерении параметров оптического излучения после воздействия на объект контроля импульсного (импульсно-периодического) оптического излучения.
3.25 модуляционный метод оптического излучения; модуляционный метод: Метод оптического неразрушающего контроля, основанный на анализе вариации параметров модулированного оптического излучения после его взаимодействия с объектом контроля.
г) Способ обработки (преобразования) оптического излучения после его взаимодействия с объектом контроля
3.26 метод фильтрации оптического излучения; метод оптической фильтрации; фильтрационный метод: Метод оптического неразрушающего контроля, основанный на анализе изображения объекта контроля с помощью оптического фильтра.
Примечание - В зависимости от типа фильтра может осуществлять функцию либо спектральной фильтрации объекта контроля, либо пространственной (угловой) фильтрации изображения объекта - метод согласованной пространственной фильтрации.
3.27 стробоскопический метод оптического излучения; стробоскопический метод: Метод оптического неразрушающего контроля, основанный на регистрации параметров оптического излучения в определенные отдельные интервалы времени после его взаимодействия с объектом контроля.
3.28 многоканальный метод оптического излучения; многоканальный метод: Метод оптического неразрушающего контроля, основанный на регистрации и сравнении физических характеристик оптического излучения в разных каналах, различающихся своими параметрами, после его взаимодействия с объектом контроля.
3.29 дифференциальный метод оптического излучения; дифференциальный метод: Метод оптического неразрушающего контроля, основанный на регистрации различий физических характеристик оптического излучения после его взаимодействия с объектом контроля в разных точках пространства, в разные моменты времени, на разных длинах волн и т.п., либо различий физических характеристик оптического излучения после его взаимодействия с объектом контроля и с контрольным (реперным) образцом - метод разностного оптического изображения.
3.30 корреляционный метод оптического излучения; корреляционный метод: Метод оптического неразрушающего контроля, основанный на корреляционном анализе параметров оптического излучения после его взаимодействия с объектом контроля.
д) Способ воздействия на объект контроля
3.31 фотохимический метод оптического излучения; фотохимический метод: Метод оптического неразрушающего контроля, основанный на анализе параметров фотохимических процессов, возникающих при взаимодействии оптического излучения с объектом контроля.
3.32 оптико-акустический (оптоакустический) метод оптического излучения; оптико-акустический (оптоакустический) метод: Метод оптического неразрушающего контроля, основанный на анализе параметров оптико-акустического (оптоакустического) эффекта, возникающего при взаимодействии оптического излучения с объектом контроля.
3.33 электрооптический метод оптического излучения; электрооптический метод: Поляризационный метод оптического неразрушающего контроля, основанный на дополнительном воздействии на объект контроля внешнего электрического поля.
3.34 магнитооптический метод оптического излучения; магнитооптический метод: Поляризационный метод оптического неразрушающего контроля, основанный на дополнительном воздействии на объект контроля магнитного поля.
3.35 фотоэлектрический метод оптического излучения; фотоэлектрический метод: Метод оптического неразрушающего контроля, основанный на анализе параметров фотоэлектрических эффектов, возникающих при облучении объекта контроля оптическим излучением.
4.1 Оптические методы неразрушающего контроля классифицируются по следующим признакам:
а) характеру взаимодействия оптического излучения с контролируемым объектом;
б) первичному информативному параметру;
в) способу получения первичной информации.
В названии метода должны присутствовать классификационные признаки, изложенные выше, характеризующие данный оптический метод контроля.
Допускается применение комбинированных оптических методов контроля, классифицируемых по различным признакам.
Общая классификация оптических методов контроля приведена в таблице 1.
Таблица 1
По характеру взаимодействия оптического излучения с контролируемым объектом | По первичному информативному параметру | По способу получения первичной информации |
Эмиссионный (Собственного излучения или Индуцированного излучения) Трансмиссионный (Прошедшего излучения) Абсорбционный (Поглощенного излучения) Отраженного излучения Рассеянного излучения | Амплитудный (Энергетический) Фазовый Поляризационный Спектральный Геометрический Временной (с  разрешением) Пространственный (с пространственным разрешением) | Визуальный Визуально-оптический Телевизионный |
Дифракционный Интерференционный Рефракционный Фазово-контрастный |
Когерентный Монохроматический Импульсный Модуляционный |
Фильтрационный Стробоскопический Многоканальный Дифференциальный Корреляционный |
Фотохимический Оптоакустический Электрооптический Магнитооптический Фотоэлектрический |
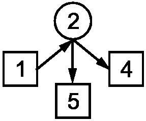
4.2 Схемы испытаний, используемые в разных оптических методах контроля, определяются видом регистрируемого излучения и приведены в таблице 2. Возможно применение комбинированных схем испытаний.
Таблица 2
| Регистрируемые характеристики | Схема контроля |
| Излученный световой поток Поток излучения | |
| Прошедшее, поглощенное излучение | |
| Отраженное излучение | |
| Рассеянное излучение | |
| Оптические характеристики объекта (поляризационные) | |
| Физические характеристики объекта (акустические, электрические) | |
Обозначения: 1 - источник излучения; 2 - объект контроля; 3 - приемное устройство, 4 - устройство приема зеркальной составляющей отраженного потока; 5 - устройство приема рассеянной составляющей отраженного потока; 6 - устройство физического воздействия на объект; 7 - измеритель физических характеристик объекта.
При схеме испытаний с регистрацией прошедшего излучения допускается контроль интегральных потерь излучения и контроль поглощенной и рассеянной составляющих потерь раздельно. При схеме испытаний с регистрацией отраженного света допускается контроль всего отраженного излучения и раздельный контроль зеркальной и рассеянной составляющих отраженного излучения.
5.1 Средства контроля оптическими методами должны разрабатываться и производиться в соответствии с
ГОСТ Р 52931. В технических заданиях на разработку и (или) технических условиях (стандартах) на аппаратуру оптического контроля конкретных видов (методов) могут быть установлены дополнительные или отличные от приведенных в
ГОСТ Р 52931 требования.
5.2 Рекомендуемые характеристики аппаратуры для оптического контроля должны быть приведены в эксплуатационной документации и включать в себя следующие параметры:
- список контролируемых параметров (виды выявляемых дефектов) и диапазон их значений или их порог;
- основная и дополнительная погрешности (для средства измерения).
5.3 Аппаратура для оптического контроля должна обеспечивать качество изображения, необходимое для обеспечения оптимальных условий выявления заданных дефектов (яркость, цвет, контраст, размер, время анализа).
5.4 Для настройки и периодической проверки работоспособности и расшифровки показаний аппаратуры могут использоваться контрольные образцы, разрабатываемые и изготавливаемые по технической документации разработчика или по отраслевым техническим документам.
5.5 При приемо-сдаточных, периодических и типовых испытаниях аппаратуры при отсутствии стандартизованных эталонов, контрольных образцов и тест-объектов должны использоваться контрольные образцы, разработанные предприятием - разработчиком аппаратуры и изготовленные предприятием - изготовителем аппаратуры.
5.6 Для проверки аппаратуры непосредственно перед проведением контроля объектов, а также для контроля методом сравнения с объектом рекомендуется использовать вспомогательные тестовые образцы, специально изготовленные потребителем аппаратуры, содержащие определенный вид дефектов.
5.7 Контрольные образцы должны быть аттестованы соответствующими метрологическими службами.
5.8 Аппаратура, содержащая лазерные изделия, должна соответствовать
ГОСТ 31581.
5.9 Эксплуатационная документация на средства контроля должна содержать последовательность (методику) проведения измерения контролируемых данным средством параметров или ссылку на ГОСТ (ОСТ).
5.10 В эксплуатационной документации (паспорте) должна быть ссылка на документ, по которому РосТест проводит поверку данного средства измерения. Перечень поверяемых параметров (характеристик) должен соответствовать перечню, заявленному Производителем средства измерения.
6 Подготовка и проведение контроля
6.1 Подготовка аппаратуры и объекта контроля должна производиться в соответствии с технической документацией на контроль и включать:
- подготовку объекта контроля к операциям контроля;
- проверку работоспособности аппаратуры;
- выбор условий контроля.
6.2 Подготовка контролируемого объекта к операциям контроля должна производиться в следующей последовательности:
- до начала проведения контроля с поверхности объекта контроля удаляют частицы или загрязнения, мешающие проведению контроля;
- определяют границы контролируемого участка и характер возможных дефектов.
6.3 Проверка работоспособности аппаратуры должна производиться в соответствии с эксплуатационной документацией.
6.4 Выбор условий контроля должен сводиться к обеспечению нормальных условий освещенности контролируемого объекта, установлению требуемого режима работы и взаимного расположения объекта контроля и аппаратуры.
6.5 Операции контроля должны производиться с учетом климатических характеристик и требований размещения аппаратуры, изложенных в эксплуатационной документации.
6.6 Контроль объектов должен осуществляться в соответствии с методикой контроля на конкретные типы аппаратуры и объекта и включать в себя следующие операции:
- установку объекта контроля и аппаратуры в требуемое положение;
- введение объекта в режим контроля (освещение, требуемое расстояние до объекта, устранение вибрации и т.п.);
- наблюдение и (или) измерение контролируемого параметра;
- контроль качества объекта посредством сравнения его с контрольным образцом;
- обработку и оформление результатов.
6.7 Методика (порядок, процедура) контроля должна разрабатываться предприятием - изготовителем объектов контроля и утверждаться в установленном порядке.
6.8
Нормы освещенности поверхности объекта при визуальном контроле (невооруженным глазом) в зависимости от контраста дефекта с фоном и его размера, а также чувствительности аппаратуры приведены в приложении Б. Параметры источника излучения (интенсивность, спектр, поляризация,

распределение интенсивности, степень когерентности) следует выбирать так, чтобы обеспечить максимальное отношение сигнал/шум сигнала (или изображения).
6.9 Схема контроля зависит от размера и формы объекта и выбирается с учетом оптимальных условий выявляемости конкретного типа дефектов.
6.10 Дополнительно к требованиям, установленным в общей части настоящего стандарта, в методике контроля должна содержаться следующая информация:
- описание контролируемых изделий;
- нормативная и техническая документация;
- квалификация и сертификация персонала, проводящего контроль;
- состояние объекта контроля;
- область контроля;
- подготовка объекта контроля;
- описание используемого оборудования;
- окружающие условия;
- параметры настройки и проверки;
- описание и порядок операций контроля;
- характеристики дефектов;
- критерии приемки;
- содержание протокола контроля.
В качестве процедуры контроля может выступать стандарт на продукцию или стандарт, описывающий специфические методы контроля, если он является достаточным для проведения контроля.
7.1 Результаты контроля объектов должны оформляться протоколом (заключением) или заноситься в регистрационный журнал, в котором указывают:
- дату и время контроля;
- наименование и тип контролируемого объекта, его номер или шифр;
- объем контроля;
- размеры и расположение контролируемых участков на объекте контроля;
- условия проведения контроля;
- методику оптического контроля объекта;
- основные характеристики выявленных дефектов (форму, размер, глубину залегания, расположение или ориентацию относительно базовых осей или поверхностей контроля и др.);
- наименования, типы и серийные номера используемых средств контроля;
- техническую документацию на контроль;
- ГОСТ, ОСТ, РД, по которому проводился контроль и оценка дефектов;
- должность, квалификацию, фамилию, имя, отчество и подпись лица, проводившего контроль.
7.2 При оформлении результатов контроля допускается указывать дополнительные сведения, определяемые спецификой контроля.
8 Требования безопасности
8.1 При работе с электроаппаратурой должны соблюдаться "
Правила технической эксплуатации электроустановок потребителей" и "
Правила техники безопасности при эксплуатации электроустановок потребителей", утвержденные Госэнергонадзором.
8.2 Работа с аппаратурой должна производиться в соответствии с требованиями безопасности, изложенными в эксплуатационной документации на аппаратуру конкретных типов.
8.3 Эксплуатационная документация должна включать в себя сведения о степени опасности применяемого в аппаратуре излучения.
8.4 При работе с аппаратурой, в состав которой входят лазеры, необходимо соблюдать
ГОСТ 31581.
8.5 При работе с источниками УФ-излучения должны выполняться требования охраны труда по ГОСТ 28369.
(справочное)
ОСНОВНЫЕ ОПТИЧЕСКИЕ МЕТОДЫ КОНТРОЛЯ,
КОНТРОЛИРУЕМЫЕ ПАРАМЕТРЫ И СХЕМЫ ИСПЫТАНИЙ
Таблица А.1
Контролируемые параметры
Контролируемые параметры | Название метода |
Размеры | Пространственный Интерференционный Когерентный |
Неоднородность, дефекты, структура | Визуальный Визуально-оптический Телевизионный Дифракционный Интерференционный Фазовый, Фазово-контрастный Дифференциальный |
Отклонение формы | Интерференционный Многоканальный Дифференциальный Корреляционный |
Показатель преломления, оптическая плотность, градиент показателя преломления | Поляризационный Дифференциальный |
Поляризационные свойства | Поляризационный Многоканальный |
Спектральные свойства, цветовые характеристики | Спектральный Монохроматический Фильтрационный Многоканальный |
Пространственное распределение | Пространственный Фильтрационный |
Состав | Фотохимический Оптоакустический |
Таблица А.2
Методы контроля
Название метода | Схемы испытаний |
Эмиссионный | |
Трансмиссионный | |
Абсорбционный | |
Отраженного излучения | |
Рассеянного излучения | |
Амплитудный (Энергетический) | |
Фазовый | |
Поляризационный | |
Спектральный | |
Геометрический | |
Временной (с временным разрешением) | |
Пространственный (с пространственным разрешением) | |
Визуальный | |
Визуально-оптический | |
Телевизионный | |
Дифракционный | |
Интерференционный | |
Рефракционный | |
Фазово-контрастный | |
Когерентный | |
Монохроматический | |
Импульсный | |
Модуляционный | |
Фильтрационный | |
Стробоскопический | |
Многоканальный | |
Дифференциальный | |
Корреляционный | |
Фотохимический | |
Оптоакустический | |
Электрооптический | |
Магнитооптический | |
Фотоэлектрический | |
(справочное)
ОСВЕЩЕННОСТИ ПОВЕРХНОСТИ ОБЪЕКТА ПРИ ВИЗУАЛЬНОМ
КОНТРОЛЕ (НЕВООРУЖЕННЫМ ГЛАЗОМ)
Таблица Б.1
Наименьший размер дефекта, мм | Контраст дефекта с фоном | | Освещенность, лк, при системе |
комбинированного освещения <1> | |
разрядными лампами | лампами накаливания | разрядными лампами | лампами накаливания |
До 0,15 | Малый | Темный | 5000 | 4000 | 1500 | 300 |
Светлый | 4000 | 3000 | 1250 | 300 |
Средний | Темный | 3000 | 3000 | 1000 | 300 |
Светлый | 3000 | 2000 | 1050 | 300 |
Большой | Темный | 1500 | 1250 | 400 | 300 |
Светлый | 1500 | 1250 | 400 | 300 |
От 0,15 до 0,30 | Малый | Темный | 4000 | 3000 | 1250 | 300 |
Светлый | 3000 | 2500 | 750 | 300 |
Средний | Темный | 3000 | 2500 | 750 | 300 |
Светлый | 2000 | 1500 | 500 | 300 |
Большой | Темный | 2000 | 1500 | 500 | 300 |
Светлый | 1000 | 750 | 300 | 250 |
От 0,30 до 0,50 | Малый | Темный | 2000 | 1500 | 500 | 300 |
Светлый | 1000 | 750 | 300 | 200 |
Средний | Темный | 1000 | 750 | 500 | 300 |
Светлый | 750 | 600 | 300 | 200 |
Большой | Темный | 750 | 600 | 300 | 200 |
Светлый | 400 | 400 | 200 | 150 |
От 0,50 до 1,00 | Малый | Темный | 750 | 600 | 300 | 200 |
Светлый | 500 | 600 | 200 | 150 |
Средний | Темный | 500 | 500 | 200 | 150 |
Светлый | 500 | 400 | 150 | 100 |
Большой | Темный | 400 | 400 | 150 | 100 |
Светлый | 300 | 300 | 150 | 100 |
<1> Под системой общего освещения следует понимать такое расположение осветителей, при котором они создают равномерную освещенность во всех точках производственного помещения. <2> Под системой комбинированного освещения следует понимать такое расположение осветителей, при котором на рабочих местах есть местное освещение, а по всей площади помещения - общее, создающее освещенность не менее 10% от значений, приведенных в таблице. <3> Контраст изображения определяют по формуле K = |B Ф - B Д|/B Ф, где B Д - яркость изображения дефекта, кд/м 2; B Ф - яркость изображения фона, кд/м 2. При K > 0,5 контраст считают большим, при 0,2 < K < 0,5 - средним, при K < 0,2 - малым. |