Главная // Актуальные документы // ГОСТ Р (Государственный стандарт)СПРАВКА
Источник публикации
М.: Стандартинформ, 2018
Примечание к документу
Документ
введен в действие с 1 ноября 2018 года.
Название документа
"ГОСТ Р 58112-2018. Национальный стандарт Российской Федерации. Нефтяная и газовая промышленность. Арктические операции. Управление ледовой обстановкой. Сбор гидрометеорологических данных"
(утв. и введен в действие Приказом Росстандарта от 24.04.2018 N 208-ст)
"ГОСТ Р 58112-2018. Национальный стандарт Российской Федерации. Нефтяная и газовая промышленность. Арктические операции. Управление ледовой обстановкой. Сбор гидрометеорологических данных"
(утв. и введен в действие Приказом Росстандарта от 24.04.2018 N 208-ст)
Утвержден и введен в действие
агентства по техническому
регулированию и метрологии
от 24 апреля 2018 г. N 208-ст
НАЦИОНАЛЬНЫЙ СТАНДАРТ РОССИЙСКОЙ ФЕДЕРАЦИИ
НЕФТЯНАЯ И ГАЗОВАЯ ПРОМЫШЛЕННОСТЬ
АРКТИЧЕСКИЕ ОПЕРАЦИИ
УПРАВЛЕНИЕ ЛЕДОВОЙ ОБСТАНОВКОЙ.
СБОР ГИДРОМЕТЕОРОЛОГИЧЕСКИХ ДАННЫХ
Petroleum and natural gas industries. Arctic operations.
Ice management. Physical environmental data collection
ГОСТ Р 58112-2018
Дата введения
1 ноября 2018 года
1 РАЗРАБОТАН Обществом с ограниченной ответственностью "Научно-исследовательский институт природных газов и газовых технологий - Газпром ВНИИГАЗ" (ООО "Газпром ВНИИГАЗ")
2 ВНЕСЕН Техническим комитетом по стандартизации ТК 23 "Нефтяная и газовая промышленность"
3 УТВЕРЖДЕН И ВВЕДЕН В ДЕЙСТВИЕ
Приказом Федерального агентства по техническому регулированию и метрологии от 24 апреля 2018 г. N 208-ст
4 ВВЕДЕН ВПЕРВЫЕ
Правила применения настоящего стандарта установлены в статье 26 Федерального закона от 29 июня 2015 г. N 162-ФЗ "О стандартизации в Российской Федерации". Информация об изменениях к настоящему стандарту публикуется в ежегодном (по состоянию на 1 января текущего года) информационном указателе "Национальные стандарты", а официальный текст изменений и поправок - в ежемесячном информационном указателе "Национальные стандарты". В случае пересмотра (замены) или отмены настоящего стандарта соответствующее уведомление будет опубликовано в ближайшем выпуске ежемесячного информационного указателя "Национальные стандарты". Соответствующая информация, уведомление и тексты размещаются также в информационной системе общего пользования - на официальном сайте Федерального агентства по техническому регулированию и метрологии в сети Интернет (www.gost.ru)
Управление ледовой обстановкой, осуществляемое в рамках реализации проектов освоения морских месторождений нефти и газа на этапе эксплуатации морского промысла, представляет собой совокупность мероприятий, целью которых является снижение интенсивности или полное исключение воздействия со стороны ледяных образований любого рода на защищаемые объекты морского обустройства. Примеры практической реализации систем управления ледовой обстановкой, хотя их число и ограничено, подтверждает, что использование системы управления ледовой обстановкой в рамках проектов обустройства морских месторождений, расположенных на шельфе арктических и других морей с холодным климатом, способствует существенному повышению экономической эффективности проектов в целом. В некоторых случаях применение системы управления ледовой обстановкой определяет возможность технической реализуемости конкретного проекта как такового.
В настоящее время вопросы проектирования систем управления ледовой обстановкой не отражены в должной степени в нормативных документах. Единственным документом такого рода является лишь международный стандарт
[1]. Для проектирования эффективной и надежной системы управления ледовой обстановкой необходимо подготовить соответствующие исходные данные. В настоящее время требования к составу, объему и качеству таких данных отсутствуют.
Настоящий стандарт разработан впервые и призван восполнить указанный пробел в нормативной базе Российской Федерации.
1.1 Настоящий стандарт распространяется на системы управления ледовой обстановкой, проектируемые для регионов Арктики, а также для замерзающих морей России.
1.2 Настоящий стандарт устанавливает требования к составу гидрометеорологических данных, включая данные о ледовом режиме и батиметрии, необходимых для целей проектирования систем управления ледовой обстановкой в рамках проектов обустройства морских месторождений углеводородов (далее - проектов обустройства), и порядку их сбора, а также методам определения климатических (режимных) характеристик.
1.3 Требования настоящего стандарта распространяются на системы управления ледовой обстановкой, предназначенные для использования на всех этапах жизненного цикла морских объектов обустройства.
1.4 Настоящий стандарт не распространяется на вопросы организации оперативного сбора данных и обеспечения прогностической гидрометеорологической информацией в период эксплуатации систем управления ледовой обстановкой. Однако указания по оценке климатических характеристик ледового и гидрометеорологического режимов на акватории развертывания системы управления ледовой обстановкой и рекомендации по их учету должны применяться и на стадии ее функционирования.
В настоящем стандарте использованы нормативные ссылки на следующие документы:
ГОСТ Р 50779.10 Статистические методы. Вероятность и основы статистики. Термины и определения
ГОСТ Р 54483 Нефтяная и газовая промышленность. Платформы морские для нефтегазодобычи. Общие требования
СП 11-114-2004 Инженерные изыскания на континентальном шельфе для строительства морских нефтегазопромысловых сооружений
Примечание - При пользовании настоящим стандартом целесообразно проверить действие ссылочных стандартов (сводов правил) в информационной системе общего пользования - на официальном сайте Федерального агентства по техническому регулированию и метрологии в сети Интернет или по ежегодному информационному указателю "Национальные стандарты", который опубликован по состоянию на 1 января текущего года, и по выпускам ежемесячного информационного указателя "Национальные стандарты" за текущий год. Если заменен ссылочный документ, на который дана недатированная ссылка, то рекомендуется использовать действующую версию этого документа с учетом всех внесенных в данную версию изменений. Если заменен ссылочный документ, на который дана датированная ссылка, то рекомендуется использовать версию этого документа с указанным выше годом утверждения (принятия). Если после утверждения настоящего стандарта в ссылочный документ, на который дана датированная ссылка, внесено изменение, затрагивающее положение, на которое дана ссылка, то это положение рекомендуется применять без учета данного изменения. Если ссылочный документ отменен без замены, то положение, в котором дана ссылка на него, рекомендуется принять в части, не затрагивающей эту ссылку.
В настоящем стандарте применены следующие термины с соответствующими определениями:
3.1 акватория развертывания системы управления ледовой обстановкой: Участок акватории вокруг защищаемого объекта, на котором функционирует хотя бы один из элементов системы управления ледовой обстановкой.
3.2 айсберг: Массивный отколовшийся от ледника кусок льда различной формы, выступающий над уровнем моря более чем на 5 м, который может быть на плаву или сидящим на мели.
Примечание - Айсберги по своему внешнему виду могут подразделяться на столообразные, куполообразные, наклонные, с остроконечными вершинами, окатанные или пирамидальные.
3.3 гидрометеорологическая информация: Сведения (данные), полученные в результате гидрометеорологических наблюдений.
3.4 гидрометеорологическая информационная продукция: Обобщенная информация, полученная в результате обработки данных гидрометеорологических наблюдений.
3.5 гидрометеорологические данные: Совокупность гидрометеорологической информации и гидрометеорологической информационной продукции.
3.6 гидрометеорологические наблюдения: Инструментальные измерения и визуальные оценки гидрометеорологических элементов и явлений, выполняемые на стационарных и подвижных пунктах наблюдений.
Примечание - Достоверность сведений, полученных по результатам гидрометеорологических наблюдений, обеспечивается единообразием средств измерений, соблюдением установленных методик выполнения наблюдений и обработки их результатов, эффективностью процедур контроля, используемых для выявления ошибок, возникших на разных стадиях получения, сбора и обобщения информации.
3.7 гидродинамическое мезомасштабное моделирование: Метод, позволяющий с помощью гидродинамической мезомасштабной численной модели выполнять расчеты характеристик моделируемого процесса в текущий и последующие моменты времени.
3.8 гидрометеорологический элемент: Общее название для ряда параметров и явлений окружающей среды, которые непосредственно наблюдаются на метеорологических станциях: атмосферное давление, температура и влажность воздуха, ветер (горизонтальное движение воздуха), облачность (по количеству и формам), количество и вид выпадающих осадков, видимость, туманы, метели, уровень моря, температура и соленость воды, толщина льда и пр.
3.9 глетчерный лед: Лед, находящийся в леднике, или ледникового происхождения, независимо от того, находится ли он на суше или плавает в море в виде айсбергов, обломков айсбергов или кусков айсбергов.
3.10 граница припая: Граница между припаем и дрейфующим льдом.
3.11 гряда торосов: Протяженное нагромождение битого льда, образующееся в результате сжатия ледяного покрова.
3.12 дата начала весеннего взлома припая: День, когда впервые сплоченность неподвижного льда на видимом пространстве становится меньше 10 баллов и ледяной покров приобретает четкие признаки слабого или умеренного весеннего разрушения (образование отдельных сквозных трещин, появление озерков и отдельных проталин, водяных заберегов и др.).
3.13 дата начала устойчивого ледообразования: День, когда впервые появился лед и больше не исчезал.
Примечание - Если впервые появившийся лед исчез, а затем появился вновь, устойчивому появлению льда отвечают условия, при которых промежуток времени со льдом был больше или равен промежутку времени безо льда.
3.14 дата начала устойчивого образования припая: День, после которого вплоть до начала весеннего разрушения ледяного покрова в пределах наблюдаемого пространства не происходит уменьшения площади неподвижного льда или эти изменения несущественны.
3.15 дата окончательного очищения акватории ото льдов: Первый день безо льда или день, когда на видимом пространстве моря наблюдаются отдельные льдины (менее одного балла).
Примечание - Наличие стамух и остатков льда на берегу и отмелях во внимание не принимается.
3.16 дата окончательного разрушения припая: День, когда на наблюдаемом участке моря неподвижный лед оказывается полностью взломанным и оторванным от берега.
Примечание - Случаи, когда на берегу и береговых отмелях осталась часть подошвы припая, во внимание не принимаются.
3.17 дата первого образования припая: День, когда впервые неподвижный лед (береговой припай) занял не менее половины наблюдаемого пространства.
3.18 дата первого появления льда на акватории: День, когда в осенне-зимний период (а на арктических морях после окончательного очищения) впервые на наблюдаемом пространстве появляется лед независимо от вида, количества и места образования (образовался ли он на месте или перенесен из других районов).
Примечание - Случаи обмерзания свай или камней во внимание не принимаются.
3.19 дрейфующий [паковый] лед: Любой вид морского льда, за исключением неподвижного, независимо от его формы и распределения.
Примечание - При высокой сплоченности (7/10 или более) термин "дрейфующий лед" может быть заменен термином "паковый лед". В прошлом термин "паковый лед" использовался для всех величин сплоченности, а также для многолетнего льда.
3.20 заприпайная полынья: Полынья между дрейфующим и неподвижным льдом.
3.21 защищаемый объект: Объект обустройства, для безопасного функционирования которого на этапе эксплуатации проектом обустройства месторождения предусмотрено использование системы управления ледовой обстановкой.
3.22 киль тороса: Часть тороса, расположенная под водой.
Примечание - Киль обычно состоит из консолидированного и неконсолидированного слоев.
3.23 климатическая информация: Сведения о гидрометеорологических характеристиках, содержащие информацию об их значениях за периоды не менее 30 лет в осредненном виде, отражающем их годовую и внутригодовую изменчивость, или сведения об их отклонениях в заданных интервалах времени от климатических норм.
3.24 кромка льда: Граница в любой момент времени между свободной ото льда водой и морским льдом любого рода, будь он неподвижным или дрейфующим.
3.25 кромка припая: Граница между припаем и чистой водой.
3.26 кусок айсберга: Кусок льда меньшего размера, чем обломок айсберга или несяк, выступающий менее чем на 1 м над поверхностью моря и занимающий площадь приблизительно в 20 м2.
3.27 ледник: Масса снега и льда, находящаяся в непрерывном движении с более высоких мест к более низким или, если на плаву, то непрерывно сползающая в сторону моря.
3.28 ледовая угроза: Угроза, порождаемая отдельным ледяным образованием или ледовой обстановкой в целом и обычно требующая вмешательства в ход технологических процессов.
3.29 ледовая экзарация: Процесс образования углублений на морском дне в результате воздействия ледяных образований.
Примечание - Углубление может иметь площадную форму (типа впадины) или линейную (типа борозды). В инженерной практике используется также термин "ледовое выпахивание".
3.30 ледовый период: Период времени с даты первого появления льда на акватории по дату окончательного очищения акватории ото льдов.
3.31 ледяная стена: Обращенная к морю грань (сторона) ледника, который не находится на плаву.
Примечание - Ледяная стена скреплена с грунтом, причем скалистое основание либо на уровне моря, либо находится ниже его.
3.32 ледяное образование: Плавающее на поверхности морской акватории или сидящее на мели твердое тело, образованное из морского или пресноводного льда и обладающее целостностью.
3.33 ледяное поле: Относительно плоский кусок морского льда более 20 м в поперечнике.
Примечание - Ледяные поля подразделяются по их размерам в плане следующим образом: крупнобитый лед (от 20 до 100 м), обломки полей (от 100 до 500 м), большие поля (от 500 до 2 000 м), обширные поля (от 2 до 10 км) и гигантские поля (более 10 км).
3.34 ледяной барьер: Обращенная к морю сторона шельфового или другого находящегося на плаву ледника, возвышающегося на 2 - 50 и более метров выше уровня моря.
3.35 ледяной остров: Большой кусок плавучего льда, выступающий выше уровня моря на 5 и более метров, который отломился от арктического шельфового льда; имеет толщину от 30 до 50 м и площадь от нескольких тысяч квадратных метров до 500 км2 или более.
3.36 мезомасштабная модель атмосферы: Численная гидродинамическая модель атмосферы, предназначенная для моделирования погодообразующих мезомасштабных процессов (с горизонтальным размером не более 200 км), основанная на решении системы уравнений гидротермодинамики в негидростатическом приближении с использованием расчетных сеток высокого разрешения (не грубее 15 км).
3.37 метель: Интенсивный перенос снега ветром в приземном слое атмосферы, достаточно развитый по вертикали, так что невозможно определить состояние неба (количество и форму облаков) и невозможно установить, выпадает ли снег из облаков или переносится только снег, поднятый с поверхности снежного покрова.
Примечание - При метели горизонтальная видимость на уровне 2 м обычно составляет от километра до нескольких сотен и даже до нескольких десятков метров. Возникает обычно при сухом несмерзшемся снежном покрове и скорости ветра 10 м/с и более.
3.38 метеорологическая дальность видимости: В светлое время суток - наибольшее расстояние, с которого можно различить (обнаружить) на фоне неба вблизи горизонта (или на фоне воздушной дымки) черный объект достаточно больших угловых размеров (больше 15 угловых минут), а в ночное время - расстояние, на котором при существующей прозрачности воздуха такой объект можно было бы обнаружить, если бы вместо ночи был день.
3.39 морское (брызговое) обледенение: Образование льда вследствие забрызгивания и заливания наружной надводной поверхности сооружения или судна морской водой.
3.40 морской реанализ: Метод расчета набора трехмерных полей гидрологических элементов за достаточно продолжительный (порядка нескольких десятилетий) период времени, который основан на гидродинамическом моделировании динамики моря по срочным синоптическим данным (атмосферное давление, скорость ветра, температура).
3.41 наивысший теоретический уровень: Расчетный приливной уровень, наибольший из возможных по астрономическим условиям.
3.42 наинизший теоретический уровень: Расчетный приливной уровень, наименьший из возможных по астрономическим условиям.
3.43 несяк: Большой кусок морского льда, включающий торос или группу торосов, смерзшихся вместе, представляющих собой отдельную льдину.
Примечание - Несяк обычно выступает на высоту до 5 м над уровнем моря.
3.44 обломок айсберга: Большой кусок плавающего глетчерного льда, обычно выступающий менее чем на 5 м выше уровня моря, но более чем на 1 м и имеющий площадь около 100 - 300 м2.
3.45 объект обустройства: Сооружение или другой искусственный объект, возводимый или устанавливаемый для обеспечения добычи, переработки, хранения или транспортировки полезных ископаемых месторождения.
3.46 орографические условия: Совокупность характерных для данного района форм земной поверхности с точки зрения их внешних очертаний, размеров и распределения, вне зависимости от происхождения.
3.47 парус тороса: Часть тороса, расположенная над водой.
3.48 период повторяемости: Среднее значение промежутка времени между моментами наступления некоторого случайного события.
3.49 подвижная морская станция: Гидрометеорологическая станция на судах национальных метеослужб или на судах, выполняющих добровольные наблюдения, корабли погоды, экспедиционные суда, станции на дрейфующих льдинах выполняющие измерения полностью или частично в соответствии с требованиями Всемирной Метеорологической Организации.
3.50 подошва припая: Узкая кайма льда, скрепленная с берегом, неподвижная при приливах и остающаяся после того, как неподвижный лед оторвался.
3.51 полынья: Устойчивое пространство чистой воды среди или на границе неподвижных льдов, которое образуется в результате действия постоянных ветров, течений или подъема теплых вод.
3.52 прибрежная полынья: Полынья между дрейфующим льдом и берегом или между дрейфующим льдом и ледяным барьером.
3.53 припай: Морской лед, который образуется и остается неподвижным вдоль побережья, где он прикреплен к берегу, к ледяной стене, к ледяному барьеру, между отмелями или севшими на отмели айсбергами и стамухами.
3.54 радиолокационная наблюдаемость: Отношение фактической дальности действия радиолокационной станции в конкретных условиях к формулярной дальности (для нормальных условий).
3.55 разводье (разрыв): Любой разлом или разрыв очень сплоченного, сжатого льда, смерзшегося сплошного льда, припая или отдельной льдины в результате подвижек и процессов деформации.
Примечание - Разводья могут быть заполнены ледяной кашей, покрыты ниласом или молодым льдом. Протяженность их может колебаться от метров до нескольких километров.
3.56 реанализ: Метод расчета набора трехмерных полей метеорологических элементов за достаточно продолжительный (порядка нескольких десятилетий) отрезок времени, который основан на усвоении данных наблюдений различного рода - станционных, аэрологических, судовых, спутниковых и т.д., и результатах гидродинамического моделирования.
3.57 ровный лед: Морской лед, не подвергшийся деформации.
3.58 система управления ледовой обстановкой: Совокупность технических и организационных средств, а также специализированного персонала, предназначенных для управления ледовой обстановкой на основе ведения ледовой разведки и оценки ледовых угроз.
3.59 средний многолетний уровень моря: Величина, полученная в результате осреднения наблюденных значений уровня за многолетний интервал времени, или полученная путем осреднения данных гидродинамического моделирования колебаний суммарного уровня и течений для данной акватории, выполненного для достаточно продолжительного периода времени (не менее 10 лет).
3.60 сплоченность: Отношение, выраженное в десятых долях и описывающее общую площадь морской поверхности, покрытую льдом, как часть всей рассматриваемой площади.
Примечание - В отечественной практике принято оценивать сплоченность в баллах в диапазоне 0 - 10.
3.61 средняя дата установления положительной (отрицательной) температуры: Средняя дата начала сезона со среднесуточной температурой воздуха устойчиво выше (ниже) 0 °C.
3.62 срочные наблюдения: Наблюдения на гидрометеорологических станциях, производимые в установленные сроки наблюдений.
3.63 стамуха: Торосистое ледяное образование, севшее на мель.
3.64 суммарное течение: Течение, обусловленное совокупным влиянием всех действующих сил.
3.65 суммарный уровень моря: Уровень моря, обусловленный совокупным влиянием сезонных и годовых колебаний, ветрового нагона, приливов и отливов.
3.66 торос: Холмообразное нагромождение взломанного льда, образовавшееся в результате сжатия.
3.67 управление ледовой обстановкой: Совокупность мероприятий, направленных на изменение текущей ледовой обстановки с целью снижения частоты и степени опасности ледовых воздействий.
3.68 шельфовый лед: Ледяной покров значительной толщины, находящийся на плаву, возвышающийся на 2 - 50 м или более над уровнем моря, и скрепленный с берегом.
Примечание - Если шельфовый лед образуется в результате сползания ледника в море, то его называют шельфовым ледником.
3.69 экстремальная характеристика: Значение гидрометеорологического элемента, определенное на основе теоретической функции распределения экстремальных значений этого элемента для соответствующего периода повторяемости.
3.70 RGB-изображение: Цветное изображение, цветовоспроизведение которого использует аддитивную цветовую модель, основанную на смешении трех цветовых каналов - красного, зеленого и синего.
В настоящем стандарте применены следующие сокращения:
ВМО - Всемирная метеорологическая организация;
ВТУ - наивысший теоретический уровень;
ГМС - гидрометеорологическая станция;
ВЛТУ - временные локальные технические условия;
МДВ - метеорологическая дальность видимости;
МНК - метод наименьших квадратов;
НТУ - наинизший теоретический уровень;
РЛС - радиолокационная станция, радар;
УЛО - управление ледовой обстановкой;
RGB - аббревиатура английских слов Red, Green, Blue - красный, зеленый, синий.
5.1 Основными элементами структуры исходных данных, необходимых для проектирования системы УЛО, должны быть следующие информационные массивы:
- данные метеорологических наблюдений;
- данные гидрологических наблюдений;
- данные о ледовых условиях;
- батиметрические данные.
5.2 В состав требуемых исходных данных включают следующие основные сведения:
- характеристики температурного режима приземного слоя атмосферы;
- оперативные и экстремальные характеристики приземного ветра;
- совместные характеристики ветра и температуры воздуха;
- распределение повторяемости градаций метеорологической дальности видимости;
- характеристики режима осадков;
- данные о температуре и солености воды;
- характеристики колебаний уровня моря и течения, включая экстремальные;
- оперативные и экстремальные характеристики волнения;
- параметры ледообразования;
- характеристики припая;
- параметры торосистых образований;
- характеристики дрейфа льда;
- оценку айсберговой угрозы на акватории;
- батиметрические данные на акватории.
Примечание - В случае расположения защищаемого объекта на мелководье, где могут возникать условия, ограничивающие использование судов поддержки УЛО, исходные данные дополняются сведениями о совместных характеристиках следующих гидрометеорологических элементов:
- ветра и колебаний уровня моря;
- волнения и колебаний уровня моря;
- колебаний уровня моря и сплоченности льда.
5.3 Исходные данные по гидрометеорологическим характеристикам, включая экстремальные характеристики, необходимые для проектирования системы УЛО, должны быть получены в ходе инженерно-гидрометеорологических изысканий в районе месторождения и могут быть представлены либо в составе отчетов по указанному виду изысканий, либо в составе ВЛТУ, разработанных в соответствии с требованиями
ГОСТ Р 54483.
5.4 Регламентируемый настоящим стандартом состав гидрометеорологических характеристик, учет которых необходим при проектировании систем УЛО, основан на положениях стандартов Международной организации по стандартизации
[1],
[2], а также содержит некоторые дополнительные требования, вытекающие из положений
СП 11-114, наставлений ВМО
[3] -
[6] и руководящих документов Росгидромета
[7] -
[10].
6 Требования к исходным данным для проектирования систем управления ледовой обстановкой
6.1 Общие требования к рядам наблюдений и методам их получения и обработки
6.1.1 В силу своего назначения мероприятия УЛО осуществляют на протяжении всего срока эксплуатации месторождения, в течение которого возможны изменения ледового режима, штормовых условий (в части повторяемости и интенсивности), циркуляции океанических вод, среднего уровня моря и др. Поэтому при проектировании системы УЛО в соответствии с рекомендациями ВМО
[11] и
[12] необходим учет специализированной климатической информации.
6.1.2 Метод получения специализированной климатической информации должен заключаться в построении многолетних рядов значений гидрометеорологических элементов на акватории предполагаемого развертывания системы УЛО и их статистической обработке.
6.1.3 Многолетние ряды значений гидрометеорологических элементов получают либо путем сбора архивных данных срочных наблюдений (оперативных данных) на ближайших ГМС, либо посредством использования данных реанализа или гидродинамического моделирования. Дополнительно могут использовать различные фондовые материалы и данные предшествующих инженерных изысканий.
6.1.4 Многолетние ряды значений гидрометеорологических элементов должны охватывать период не менее 10 последних лет или не менее 10 последовательных лет в течение последних 30 лет.
6.1.5 Статистическая обработка данных в соответствии с рекомендациями ВМО
[13] и
[14] включает в себя процедуры контроля качества данных наблюдений, процедуры осреднения за 10-летний период временных рядов данных для получения среднесуточных, среднемесячных и среднегодовых значений, а также, учитывая требования Международной организации по стандартизации
[2], процедуры определения экстремальных характеристик гидрометеорологических элементов.
6.1.6 Если на ГМС имеются данные наблюдений более чем за 10-летний период, то осреднение следует производить отдельно за каждые 10 лет.
6.1.7 При наличии достаточно продолжительных (более 15 лет) рядов наблюдений целесообразно выполнить исследование климатического режима региона предполагаемого расположения системы УЛО с учетом тенденций изменения климата, которое заключается в оценке климатических трендов различных характеристик (среднемесячных, среднегодовых, максимальных и минимальных значений) гидрометеорологических элементов.
Примечание - Необходимые данные систематических наблюдений на ГМС содержатся в архивах, хранящихся в учреждениях Росгидромета, которые осуществляют специализированное гидрометеорологическое обслуживание органов государственной власти и хозяйствующих субъектов.
6.1.8 Если метеорологические данные, полученные на ближайшей ГМС, не являются репрезентативными для района предполагаемого развертывания системы УЛО или отсутствуют, то для расчета требуемых характеристик гидрометеорологических элементов используют либо данные реанализа за последние 10 лет, либо результаты гидродинамического мезомасштабного моделирования, выполненного на такой же временной период.
6.1.9 При применении полей реанализа расчеты выполняют для пунктов, которые расположены не далее чем в 50 км от района предполагаемого функционирования системы УЛО и находятся в сходных орографических условиях.
6.1.10 Определенные с помощью полей реанализа максимальное и минимальное значения гидрометеорологического элемента в некотором пункте всегда будут по абсолютной величине не больше полученных в результате наблюдений. Особенно это проявляется в полях скорости ветра. Поэтому для уточнения экстремальных значений гидрометеорологических элементов производится сбор данных наблюдений, выполненных на подвижных морских станциях, дрейфующих или закрепленных буйковых станциях в исследуемом районе за весь период проведения гидрометеорологических измерений и, в частности, полученных в ходе проведения инженерно-гидрометеорологических изысканий, выполняемых в соответствии с требованиями
СП 11-114.
6.1.11 При использовании в расчетах результатов гидродинамического мезомасштабного моделирования, которое предполагает высокое пространственное разрешение расчетной сетки мезомасштабной модели (менее 15 км), требуемые характеристики гидрометеорологических элементов определяют во всех узлах расчетной сетки модели, которые располагаются в районе планируемого функционирования системы УЛО, а также выполняют оценку пространственной изменчивости полученных характеристик. При проектировании системы УЛО необходимо использовать значения требуемых характеристик, которые определяют гидрометеорологический режим района в целом, а также те, которые характерны для отдельных его частей.
6.1.12 Используемые для расчета результаты гидродинамического мезомасштабного моделирования уточняют с помощью данных, полученных в ходе проведения инженерно-гидрометеорологических изысканий, выполняемых в соответствии с требованиями
СП 11-114.
6.1.13 Учитывая, что наблюдения за льдом, проводимые на береговых ГМС, освещают сравнительно узкую зону моря, прилегающую к берегу, определение положения кромок льда, балла сплоченности и других характеристик ледового режима на акватории функционирования проектируемой системы УЛО выполняют на основе обработки серии спектрорадиометрических и радиолокационных спутниковых снимков высокого разрешения (не более 250 м/пиксель), полученных за последние 5 - 10 лет.
6.1.14 Используемые для этих целей спектрорадиометрические спутниковые снимки должны представлять собой композитные RGB-изображения, позволяющие надежно различать участки акватории, покрытые ледяным покровом, участки чистой воды и части акватории, закрытые облачностью.
6.1.15 При интерпретации результатов обработки спутниковых снимков необходимо учитывать специфические особенности гидрометеорологического и ледового режимов рассматриваемой акватории, в связи с чем интерпретация должна выполняться специалистами в области ледоисследовательских работ.
6.2 Необходимые данные метеорологических наблюдений
6.2.1 Температура воздуха
6.2.1.1 Для оценки сезонной изменчивости приземной (на высоте 2 м) температуры воздуха в районе предполагаемого функционирования проектируемой системы УЛО выполняют расчет среднемесячных и среднегодового значений температуры воздуха. Сбор исходных данных для расчета проводят в соответствии с требованиями, изложенными в
6.1.
6.2.1.2 На основании данных, использованных для расчета среднемесячных и среднегодовых значений температуры воздуха, определяют максимальное и минимальное значения температуры для каждого месяца за весь период наблюдений, а также абсолютный максимум и минимум температуры. Результаты расчета представляют в сводной таблице, пример которой приведен в
приложении А. В заголовке сводной таблицы должно присутствовать указание на то, какого рода исходные данные использовались для расчетов: наблюдения на ГМС, данные реанализа для некоторого географического пункта и т.д. Также в соответствующей графе таблицы указывается временной период, за который проводилось осреднение исходных данных.
6.2.1.3 Также рассчитывают значения среднесуточной температуры и определяют ее максимальное и минимальное значения.
Примечание - Для упрощения анализа внутригодовых тенденций среднесуточной температуры рассчитанные статистические характеристики целесообразно приводить в виде графиков.
6.2.1.4 Средние даты перехода температуры воздуха через 0 °C для района предполагаемого развертывания системы УЛО рассчитывают на основании статистического анализа данных, использованных для расчета среднемесячных и среднегодового значений температуры воздуха. Определяют следующие характеристики:
- среднюю дату установления положительной температуры воздуха (выше 0 °C);
- среднюю дату установления отрицательной температуры воздуха (ниже 0 °C);
- продолжительность периода со среднесуточной температурой (ниже 0 °C).
6.2.1.5 Расчет температуры воздуха наиболее холодной пятидневки с обеспеченностью 92% и 98% выполняют в соответствии с методикой, приведенной в
СП 131.13330.
6.2.1.6 На основании данных, использованных для расчета среднемесячных значений температуры воздуха, определяют среднюю, максимальную и минимальную величины суммы градусо-дней мороза для каждого месяца ледового периода.
6.2.2 Оперативные характеристики ветра
6.2.2.1 Расчет оперативных характеристик ветра на высоте 10 м с осреднением 10 мин выполняют по данным наблюдений на той же ГМС, данные которой использовались для расчета характеристик температуры воздуха (см.
6.2.1). Если для определения температуры воздуха использовались данные реанализа или результаты гидродинамического мезомасштабного моделирования для определенного пункта, то и расчет оперативных статистик ветра проводят с использованием такого же типа данных о скорости ветра для этого же пункта.
6.2.2.2 При расчете оперативных характеристик ветра период используемых срочных данных должен совпадать с периодом наблюдений, использованным для определения характеристик температуры (см.
6.2.1), и удовлетворять требованиям, изложенным в
6.1.
6.2.2.3 Оперативные характеристики ветра должны включать в себя следующие величины, рассчитанные как для каждого месяца, так и ледового периода в целом:
- повторяемость градаций скорости ветра по направлениям (не менее восьми румбов);
- повторяемость и обеспеченность модуля скорости;
- повторяемость направлений ветра;
- средняя скорость по направлениям (не менее восьми румбов).
Примечание - В соответствии со сложившейся практикой инженерных изысканий значения повторяемости и обеспеченности приводятся в процентах.
Рассчитанные оперативные характеристики ветра представляют в сводной таблице, пример которой приведен в
приложении А.
6.2.2.4 Среднее число дней со скоростями ветра менее 5, 10, 15, 20, 25 и 30 м/с следует определять по месяцам и за год. При расчетах среднего числа дней со скоростью ветра меньше заданной в соответствии со сложившейся практикой за целый день принимается день, в котором хотя бы в один из синоптических сроков скорость ветра была менее заданной величины.
6.2.2.5 Для каждого месяца рассчитывают длительность штормов и окон погоды для скоростей ветра 5, 10, 15 и 20 м/с. Под штормами и окнами погоды понимаются статистические характеристики синоптических ситуаций, при которых наблюдалась скорость ветра выше (шторм) или ниже (окно погоды) заданного значения.
Средняя продолжительность

штормов (окон погоды) в рассматриваемом месяце и ее среднеквадратическое отклонение

рассчитывают непосредственно по исходному ряду наблюдений, использованному для определения оперативных характеристик ветра.
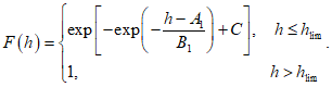
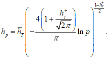
Если максимальная продолжительность шторма (окна погоды) в месяце, определенная непосредственно по исходному ряду наблюдений, меньше числа дней в месяце, то в качестве ее оценки принимается 5% квантиль распределения Вейбулла длительности штормов (окон погоды), определяемая в соответствии с
ГОСТ Р 50779.10. В том случае, если полученная оценка больше числа дней в месяце, то максимальная продолжительность принимается равной числу дней в этом месяце.
6.2.2.6 Результаты расчетов представляют в сводной таблице, пример которой приведен в
приложении А. Рекомендации по методам расчета требуемых характеристик штормов и окон погоды приведены в
приложении Б.
6.2.3 Экстремальные характеристики ветра
6.2.3.1 Для каждого месяца, а также для ледового периода в целом, по данным реанализа или результатам гидродинамического мезомасштабного моделирования не менее чем за 30-летний период для пункта, характеризующего район развертывания проектируемой системы УЛО, рассчитывают наибольшие скорости ветра на высоте 10 м, возможные один раз в год, 5, 10, 25, 50 и 100 лет. Расчеты выполняют для выделенных направлений (не менее восьми румбов) при различных интервалах осреднения. Соотношения между скоростями ветра с осреднением 1 ч, 10 мин и в порывах, с осреднением 5 с, могут приниматься по
приложению В.
6.2.3.2 Режимное распределение модуля скорости ветра по справочным данным Регистра СССР
[15] обычно относится к типу экспоненциальных распределений, в этом случае для определения экстремальных характеристик в соответствии с рекомендациями ВМО
[16] используют распределение Гумбеля. Рекомендации по определению экстремальных характеристик приведены в
приложении Г.
6.2.3.3 Если в силу специфических орографических условий в районе акватории развертывания системы УЛО режимное распределение модуля скорости ветра не относится к типу экспоненциальных распределений, то требуется специальное обоснование использования того или иного вида функции распределения экстремальных значений скорости ветра для расчета экстремальных характеристик.
6.2.3.4 Результаты расчетов представляют в сводной таблице, пример которой приведен в
приложении А.
6.2.4 Морское брызговое обледенение
6.2.4.1 На основании данных, которые были использованы для получения характеристик гидрометеорологического режима рассматриваемой акватории, приведенных в
6.2.1 и
6.2.2, для каждого месяца рассчитывают статистические характеристики следующих синоптических ситуаций:
- синоптическая ситуация I, при которой наблюдаются отрицательные значения приземной температуры воздуха не ниже минус 3 °C при любой скорости ветра в отсутствие штиля;
- синоптическая ситуация II, при которой наблюдаются значения приземной температуры воздуха ниже минус 3 °C при скорости ветра не более 10 м/с в отсутствие штиля;
- синоптическая ситуация III, при которой наблюдаются значения приземной температуры воздуха в диапазоне от минус 3 °C до минус 8 °C при скорости ветра выше 10 м/с до 15 м/с;
- синоптическая ситуация IV, при которой наблюдаются отрицательные значения приземной температуры воздуха ниже минус 8 °C при скорости ветра выше 10 м/с до 15 м/с включительно;
- синоптическая ситуация V, при которой наблюдаются отрицательные значения приземной температуры воздуха ниже минус 3 °C при скорости ветра более 15 м/с включительно.
Примечание - На основании практики Росгидромета в области обеспечения мореходства в арктических морях, принято считать, что при гидрометеорологических условиях, характерных для синоптических ситуаций I и II, происходит медленное морское обледенение морских объектов. При синоптической ситуации III происходит быстрое морское обледенение, а возникновение синоптических ситуаций IV и V приводит к очень быстрому морскому обледенению. В соответствии с руководящим документом Росгидромета
[17] различают следующие три степени интенсивности морского обледенения: медленное обледенение, при котором скорость отложения льда на надводных конструкциях менее 0,7 см/ч; быстрое обледенение, при котором скорость обледенения составляет от 0,7 до 1,3 см/ч; очень быстрое обледенение, при котором скорость обледенения достигает 1,4 см/ч и более.
6.2.4.2 Статистические характеристики включают в себя следующие параметры:
- среднюю длительность синоптической ситуации;
- максимальную длительность синоптической ситуации;
- среднее суммарное количество часов за месяц, в течение которых наблюдалась синоптическая ситуация;
- максимальное суммарное количество часов за месяц, в течение которых наблюдалась синоптическая ситуация;
- повторяемость синоптической ситуации.
6.2.5 Метеорологическая дальность видимости
6.2.5.1 По данным срочных измерений на ближайшей к району предполагаемого развертывания системы УЛО гидрометеорологической станции, на которой имеются данные наблюдений за период, составляющий не менее 10 последних лет или не менее 10 последовательных лет в течение последних 30 лет, для каждого месяца определяют:
а) повторяемость следующих градаций МДВ:
1) менее 500 м;
2) 500 <= МДВ < 1000 м;
3) 1000 <= МДВ < 2000 м;
4) 2000 <= МДВ < 4000 м;
5) 4000 <= МДВ < 10000 м;
6) 10000 <= МДВ < 20000 м;
б) среднюю и максимальную продолжительность ситуации (в часах), при которой МДВ соответствовала одной из вышеперечисленных градаций;
в) среднее значение дефицита точки росы (разницы между температурой воздуха и температурой точки росы на уровне 2 м от поверхности) при ситуациях, когда МДВ соответствовала одной из вышеперечисленных градаций;
г) среднее значение разницы между температурой поверхности воды и температурой воздуха на уровне 2 м при ситуациях, когда МДВ соответствовала одной из вышеперечисленных градаций.
6.2.5.2 Поскольку в арктических условиях МДВ зависит не только от наличия осадков, тумана и мглы, но и от особенностей ледяного покрова, то значения МДВ, измеренные на береговой ГМС, могут отличаться, от значений, характерных для мористой части акватории. Поэтому целесообразно произвести сбор данных наблюдений, выполненных на подвижных морских станциях в исследуемом районе за весь период проведения гидрометеорологических измерений, и на их основании рассчитать повторяемость вышеописанных градаций МДВ.
Примечание - В соответствии со сложившейся практикой инженерных изысканий значения повторяемости приводятся в процентах.
6.2.6 Туман
Одним из самых опасных явлений погоды, приводящих к значительному ухудшению видимости - от километра до нескольких метров, является туман.
По данным ГМС, измерения на которой были использованы для определения характеристик МДВ (см.
6.2.5), для каждого месяца определяют:
- среднее и максимальное число дней с туманом;
- среднюю и максимальную продолжительность (в часах) туманов.
6.2.7 Осадки
Как и туманы, осадки вызывают существенное уменьшение МДВ, иногда до нескольких метров. Кроме того, атмосферные осадки значительно влияют на дальность радиолокационного обнаружения. За счет поглощения осадками (дождем, снегом, градом) энергии электромагнитных волн происходит ослабление сигналов РЛС. Уменьшение дальности радиолокационного обнаружения при осадках больше, чем при тумане. Степень ослабления радиолокационной наблюдаемости зависит от интенсивности выпадающих осадков. Радиолокационная наблюдаемость уменьшается тем больше, чем больше интенсивность атмосферных осадков.
Поскольку РЛС является существенным компонентом системы УЛО, то по данным ГМС, измерения на которой были использованы для определения характеристик МДВ (см.
6.2.5), следует определить также:
- распределение осадков (мм) по месяцам;
- повторяемость интенсивных осадков (более 10 мм в сутки) по месяцам;
- среднюю и максимальную продолжительность интенсивных осадков (более 10 мм в сутки) для каждого месяца;
- среднее и максимальное число дней с метелью для каждого месяца;
- среднюю и максимальную продолжительность (в часах) метелей для каждого месяца.
Примечание - В соответствии со сложившейся практикой инженерных изысканий значения повторяемости приводятся в процентах.
6.3 Необходимые данные гидрологических наблюдений
6.3.1 Температура и соленость воды
6.3.1.1 По данным ближайшей ГМС, на которой имеются данные наблюдений за последние 10 лет, определяют для каждого месяца ледового периода среднее значение температуры и солености поверхностного слоя воды (стандартная глубина измерения - 30 см).
6.3.1.2 Для получения вертикальных профилей температуры и солености воды и их статистических характеристик (среднемесячное значение на поверхностном, среднем и придонном горизонте, минимальные и максимальные значения) используют архивные данные судовых и подледных наблюдений, а также данные, представленные в лоции для рассматриваемого района. В случае отсутствия вышеописанных архивных данных или их недостаточности требуемые характеристики температуры и солености воды определяют с помощью обработки результатов наблюдений, выполненных в ходе проведения комплексных полевых исследований в районе предполагаемого развертывания системы УЛО.
6.3.2 Батиметрия
6.3.2.1 Сбор детальных данных о глубинах моря выполняется на всей акватории функционирования проектируемой системы УЛО. В качестве источника информации используют навигационные карты масштаба не менее 1:25000 с нанесенными на них промерами глубин.
6.3.2.2 В случае отсутствия навигационных карт в соответствии с требованиями, содержащимися в
СП 11-114, проводят батиметрическую съемку рассматриваемой акватории, обеспечивающую детальность информации о рельефе дна и распределении глубин не хуже, чем навигационная карта масштаба 1:25000.
6.3.3 Приливные колебания уровня моря
6.3.3.1 В пунктах, характеризующих акваторию развертывания системы УЛО, определяют теоретические наивысший и наинизший уровни (ВТУ и НТУ, соответственно) на основе предвычисления приливного уровня на 19-летний период с использованием информации о гармонических постоянных приливных волн.
6.3.3.2 Основой для расчета гармонических постоянных приливных волн в пунктах, расположенных рядом с берегом, могут служить серии ежечасных наблюдений за уровнем моря, выполненные на близлежащих береговых ГМС в течение по крайней мере одного года.
6.3.3.3 Для пунктов, расположенных в мористой части рассматриваемой акватории или удаленных от береговых ГМС, гармонические постоянные приливных волн рассчитывают двумя способами:
1) с помощью трехмерной бароклинной модели динамики моря со свободной поверхностью, основанной на численном решении полной системы нелинейных гидродинамических уравнений и имеющей пространственное разрешение расчетной сетки не более 5556 м (3 морские мили);
2) в результате применения специальных методов обработки не менее чем годовой серии ежечасных натурных измерений уровня моря, которые должны быть выполнены в рассматриваемом пункте акватории в ходе экспедиционных исследований.
6.3.3.4 Выполняют верификацию используемой модели динамики моря по данным полученных натурных измерений (см.
6.3.3.3).
6.3.4 Суммарный уровень моря
6.3.4.1 В пунктах, характеризующих акваторию развертывания системы УЛО, определяют минимальный и максимальный суммарные уровни моря относительно среднего уровня моря, возможные один раз в год, 5, 10, 25, 50 и 100 лет.
6.3.4.2 Вышеуказанные экстремальные характеристики определяют методом вероятностного моделирования с использованием серии ежечасных значений уровня моря в рассматриваемом пункте акватории. Серия ежечасных значений уровня должна иметь продолжительность не менее 30 лет. При отсутствии репрезентативных данных наблюдений за такой период ее построение выполняют посредством моделирования, например, с помощью морского реанализа.
6.3.4.3 Вид функции распределения локальных экстремумов серии ежечасных значений уровня, используемый при вероятностном моделировании, определяется типом функции распределения, построенной для всей используемой серии значений, т.е. типом режимного распределения уровня моря в рассматриваемых пунктах акватории. Если режимное распределение уровня моря относится к типу экспоненциальных распределений, то для определения экстремальных характеристик используют распределение Гумбеля. В противном случае требуется специальное обоснование использования того или иного типа предельной функции распределения для расчета экстремальных характеристик уровня моря.
Рекомендации по определению экстремальных характеристик приведены в
приложении Г.
6.3.5 Приливные течения
6.3.5.1 В пунктах, характеризующих акваторию развертывания системы УЛО, определяют максимально возможную по астрономическим причинам скорость приливного течения (модуль скорости и направление течения) на трех горизонтах - поверхностном, среднем и придонном. Максимально возможную скорость рассчитывают с помощью предвычисления приливного течения на 19-летний период с использованием информации о гармонических постоянных прилива.
6.3.5.2 Гармонические постоянные приливного течения рассчитывают двумя способами:
1) с помощью трехмерной бароклинной модели динамики моря со свободной поверхностью, основанной на численном решении полной системы нелинейных гидродинамических уравнений и имеющей пространственное разрешение расчетной сетки не грубее 5,5 км (3 морские мили);
2) в результате применения специальных методов обработки не менее чем годовой серии ежечасных натурных измерений скорости течения, которые должны быть выполнены в рассматриваемом пункте акватории в ходе экспедиционных исследований.
6.3.5.3 По данным полученных натурных измерений (см.
6.3.5.2) выполняют верификацию используемой модели динамики моря.
6.3.6 Суммарные течения
6.3.6.1 По данным морского реанализа за последние 10 лет для пунктов, характеризующих акваторию развертывания системы УЛО, определяют следующие статистические характеристики течения, рассчитанные как для каждого месяца, так и ледового периода в целом:
- повторяемость градаций скорости течения по направлениям (24 румба);
- повторяемость и обеспеченность модуля скорости;
- повторяемость направлений течения;
- средняя скорость течения по направлениям (24 румба).
Примечание - В соответствии со сложившейся практикой инженерных изысканий значения повторяемости и обеспеченности приводятся в процентах.
Вышеперечисленные статистические характеристики рассчитывают на трех горизонтах - поверхностном, среднем и придонном.
6.3.6.2 Для характеристики общей циркуляции вод на рассматриваемой акватории производится построение карты квазипостоянной циркуляции на трех вышеперечисленных горизонтах для каждого месяца. В случае наличия приливных колебаний карты квазипостоянной циркуляции должны быть построены как для фазы прилива, так и фазы отлива.
6.3.6.3 В пунктах, характеризующих акваторию развертывания системы УЛО, для каждого месяца рассчитывают максимальные скорости суммарных течений с учетом направлений (24 румба), возможные один раз в год, 5, 10, 25, 50 и 100 лет на трех горизонтах - поверхностном, среднем и придонном.
6.3.6.4 Эти экстремальные характеристики определяют методом вероятностного моделирования по серии ежечасных значений скорости течения, полученной с помощью морского реанализа, выполненного на период не менее 30 лет.
6.3.6.5 Вид функции распределения локальных экстремумов серии ежечасных значений скорости течения, используемый при вероятностном моделировании, определяется типом функции распределения, построенной для всей используемой серии значений, т.е. типом режимного распределения скорости в рассматриваемых пунктах акватории. Если это режимное распределение относится к типу экспоненциальных распределений, то для определения экстремальных характеристик используют распределение Гумбеля. В противном случае выполняют специальное обоснование использования того или иного вида функции распределения локальных экстремумов скорости течения для расчета требуемых экстремальных характеристик.
Рекомендации по определению экстремальных характеристик приведены в
приложении Г.
6.3.7 Оперативные характеристики волнения
6.3.7.1 Для определения оперативных характеристик волнения используют временные ряды высот волн 3% обеспеченности, средних периодов и направлений волн, рассчитанные с помощью гидродинамической спектральной дискретной модели волнения, верифицированной по данным, полученным в ходе проведения инженерно-гидрометеорологических изысканий, выполняемых в соответствии с требованиями
СП 11-114. Длина временных рядов должна составлять не менее десяти лет, а дискретность - не менее трех часов.
6.3.7.2 Для пунктов, характеризующих акваторию развертывания системы УЛО, определяют следующие оперативные характеристики волнения, рассчитанные как для каждого месяца, так и ледового периода в целом:
- повторяемость градаций высот волн 3% обеспеченности по направлениям (не менее восьми румбов);
- повторяемость и обеспеченность градаций высот волн 3% обеспеченности;
- повторяемость направлений волнения;
- средняя высота волн по направлениям (не менее восьми румбов).
Примечание - В соответствии со сложившейся практикой инженерных изысканий значения повторяемости и обеспеченности приводятся в процентах.
Рассчитанные оперативные характеристики волнения представляют в сводной таблице, образец которой приведен в
приложении А.
6.3.7.3 Также для вышеуказанных пунктов приводят совместные распределения характерных высот (средних, значительных, 3%, 1% и 0,1% обеспеченности) и соответствующих (ассоциированных) им средних периодов для каждого месяца, а также для ледового периода в целом. Для этого рассчитывают:
- совместную повторяемость высот волн требуемой обеспеченности и ассоциированных им средних периодов волн;
- повторяемость и обеспеченность высот и периодов волн;
- условные средние периодов и высот волн.
Примечание - Условные средние определяются с помощью регрессионного анализа.
Рассчитанные оперативные характеристики волнения представляют в сводной таблице, пример которой приведен в
приложении А.
6.3.7.4 Для каждого месяца рассчитывают длительность штормов и окон погоды для градаций высот волн 3% обеспеченности. Под штормами и окнами погоды понимают статистические характеристики синоптических ситуаций, при которых наблюдалась высота волн выше (шторм) или ниже (окно погоды) заданного значения.
Средняя продолжительность штормов (окон погоды) в рассматриваемом месяце и ее среднеквадратическое отклонение рассчитывают непосредственно по исходному ряду, использованному для определения оперативных характеристик волнения.
Если максимальная продолжительность шторма (окна погоды) в месяце, определенная непосредственно по исходному ряду, меньше числа дней в месяце, то в качестве ее оценки принимают 5% квантиль распределения Вейбулла длительности штормов (окон погоды). Если полученная оценка больше числа дней в месяце, то максимальная продолжительность принимается равной числу дней в этом месяце.
Результаты расчетов представляют в сводной таблице, пример которой (применительно к ветру) приведен в
приложении А.
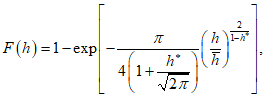
6.3.8 Экстремальные характеристики волнения
6.3.8.1 Для определения экстремальных характеристик волнения используют временные ряды высот волн, периодов и направлений волнения, рассчитанные с помощью гидродинамической спектральной дискретной модели волнения. Длина временных рядов должна составлять не менее 30 лет, а дискретность - не менее трех часов.
6.3.8.2 В пунктах, характеризующих акваторию развертывания системы УЛО, для каждого месяца рассчитывают высоты волн: средние, 13%, 3%, 1% и 0,1% обеспеченности, возможные один раз в год, 5, 10, 25, 50 и 100 лет, и соответствующие им средние периоды и длины волн с учетом направлений (не менее восьми румбов).
6.3.8.3 При выполнении расчета экстремальных характеристик волнения в соответствии с рекомендациями ВМО
[16] и
[18] следует учитывать, что высоты волн фиксированной обеспеченности асимптотически распределены по закону Гумбеля. Рекомендации по определению экстремальных характеристик приведены в
приложении Д.
6.4 Необходимые данные о ледовых условиях
6.4.1 Ледообразование и нарастание толщины льда
6.4.1.1 Используя архивные данные судовых ГМС (судовые наблюдения) и, в случае наличия, данные измерений, выполненных с помощью информационно-измерительных комплексов, установленных на уже эксплуатируемых на рассматриваемом участке акватории морских нефтегазодобывающих сооружениях, а также данные ближайших к району предполагаемого развертывания системы УЛО береговых ГМС, на которых имеются данные наблюдений не менее чем за 10-летний период, для акватории, охватывающей район предполагаемого строительства, определяют следующие характеристики ледового режима:
- среднюю дату первого появления льда на акватории;
- раннюю дату первого появления льда на акватории;
- позднюю дату первого появления льда на акватории;
- среднюю дату начала устойчивого ледообразования;
- раннюю дату начала устойчивого ледообразования;
- позднюю дату начала устойчивого ледообразования;
- среднюю дату первого образования припая;
- раннюю дату первого образования припая;
- позднюю дату первого образования припая;
- среднюю дату начала устойчивого образования припая;
- раннюю дату начала устойчивого образования припая;
- позднюю дату начала устойчивого образования припая.
6.4.1.2 Вышеперечисленные характеристики ледового режима также определяют непосредственно для рассматриваемой акватории на основе обработки спектрорадиометрических и радиолокационных спутниковых снимков высокого разрешения (не грубее 250 м), отражающих развитие ледовой обстановки в течение последних пяти лет.
6.4.1.3 На основании данных о толщине льда, полученных на ближайшей береговой ГМС в течение последних 10 лет, рассчитывают среднюю скорость естественного нарастания толщины льда за каждую декаду ледового периода.
6.4.1.4 В случае отсутствия данных наблюдений за толщиной льда оценки среднедекадных значений скорости естественного нарастания льда и толщины ровного льда получают путем статистической обработки результатов термодинамического моделирования процессов ледообразования в районе предполагаемого развертывания системы УЛО с использованием данных реанализа за период не менее 10 лет.
6.4.1.5 Также необходимо провести, как минимум в течение двух зимних сезонов, экспедиционные исследования с целью натурного определения морфометрических и физико-механических свойств ледяного покрова непосредственно в районе предполагаемого развертывания системы УЛО.
6.4.1.6 Данные, полученные в ходе этих экспедиционных работ, используют для верификации применяемой термодинамической модели процессов ледообразования и ее возможной адаптации к природным условиям рассматриваемой акватории.
6.4.2 Характеристики припая
6.4.2.1 По данным измерений толщины припайного льда, выполняемых на береговых ГМС, данные которых являются репрезентативными для района предполагаемого развертывания системы УЛО и на которых имеются не менее чем 10-летние ряды наблюдений за толщиной льда, рассчитывают среднедекадные и определяют максимальные для каждой декады ледового периода значения толщины припая.
6.4.2.2 В случае отсутствия данных наблюдений или их нерепрезентативности на имеющихся береговых ГМС оценки среднедекадной толщины припайного льда должны быть получены с помощью термической численной модели изменения толщины льда, использующей данные реанализа за период не менее десяти лет.
6.4.2.3 Используя данные спектрорадиометрических и радиолокационных спутниковых снимков высокого разрешения (не более 250 м/пиксель), отражающих развитие ледовой обстановки на рассматриваемой акватории в течение последних 5 - 10 лет, определяют среднее положение мористой кромки (границы) припая для каждой декады ледового периода, а также ее положение при максимальном развитии припая.
6.4.2.4 На основании анализа вышеописанных данных дистанционного зондирования подлежат идентификации случаи образования разводий в припае и подвижек припайного льда в исследуемом районе. При детектировании на спутниковом снимке разводий в ледяном покрове определяют их ширину, гидрометеорологические условия, сопутствующие их появлению, и по последующим снимкам определяют длительность их существования и дальнейшую эволюцию.
По результатам детектирования разводий в ледяном покрове составляется сводная карта района предполагаемого развертывания системы УЛО, на которую в виде линейных объектов наносят все идентифицированные разводья.
6.4.2.5 Если район функционирования проектируемой системы УЛО включает в себя прибрежные зоны, то изучают возможность образования прибрежной полыньи. В связи с этим необходимо проанализировать данные дистанционного зондирования с целью определения количества случаев образования вышеописанной полыньи, дат их наступления и наблюдавшуюся максимальную и среднюю ширину полыньи.
По результатам выполненного анализа составляют сводную карту, на которую в виде полигональных объектов наносятся все идентифицированные прибрежные полыньи с указанием дат их возникновения.
6.4.3 Торосистые образования
6.4.3.1 На основании анализа серий спектрорадиометрических и радиолокационных спутниковых снимков высокого разрешения (не более 250 м/пиксель), отражающих развитие ледовой обстановки на рассматриваемой акватории в течение последних 5 - 10 лет, определяют, наблюдались ли за этот период в районе предполагаемого развертывания системы УЛО гряды торосов и (или) области беспорядочной торосистости.
6.4.3.2 При обнаружении гряды торосов при выполнении дешифрирования спутниковых снимков определяют ее среднюю ширину и протяженность, а также устанавливают дату (с точностью до декады) ее возникновения. Средняя высота гряды торосов и максимальная высота отдельных крупных торосов подлежит определению методом интерферометрической обработки радиолокационных спутниковых снимков.
6.4.3.3 Если интерферометрическая обработка архивных радиолокационных спутниковых снимков не представляется возможной, то определение морфометрических характеристик торосистых образований выполняют путем натурных измерений, получаемых в ходе экспедиционных исследований.
6.4.3.4 Экспедиционные исследования проводятся, как минимум, в течение двух зимних сезонов. В их состав должно входить определение с помощью прямых измерений следующих параметров:
- форма поперечного сечения киля тороса;
- осадка и ширина киля тороса;
- крупномасштабная пористость киля тороса;
- эффективное (удельное) сцепление обломков льда, формирующих киль;
- угол внутреннего трения обломков льда, формирующих киль;
- толщина консолидированного слоя;
- размеры консолидированного слоя в плане;
- форма поперечного сечения паруса тороса;
- высота и ширина паруса тороса;
- крупномасштабная пористость паруса тороса;
- размеры обломков, формирующих парус тороса;
- эффективное (удельное) сцепление обломков, формирующих парус тороса;
- угол внутреннего трения обломков, формирующих парус тороса.
При обнаружении областей беспорядочной торосистости определяют их площадь и среднюю высоту торосов, локализованных в них.
6.4.3.5 По результатам детектирования торосов составляют сводную карту, на которую в виде линейных объектов наносят все идентифицированные гряды торосов, а в виде полигональных объектов - все идентифицированные области беспорядочной торосистости. В виде точечных объектов наносят наиболее крупные идентифицированные торосы и стамухи. У всех нанесенных объектов указывают средние и максимальные высоты торосистых образований.
6.4.4 Дрейфующие льды
6.4.4.1 Используя данные спектрорадиометрических и радиолокационных спутниковых снимков высокого разрешения (не грубее 250 м/пиксель), отражающие развитие ледовой обстановки на рассматриваемой акватории в течение последних 5 - 10 лет, определяют среднюю, минимальную и максимальную сплоченность дрейфующего льда на рассматриваемой акватории для каждой декады ледового периода.
6.4.4.2 На основании анализа вышеописанных данных дистанционного зондирования следует определить:
- средние и максимальные размеры ледяных полей, дрейфовавших на рассматриваемой акватории;
- среднюю и максимальную среднесуточную скорость дрейфа для всех наблюдавшихся градаций ледяных полей по размерам;
- максимальную скорость дрейфа больших, обширных и гигантских ледяных полей;
- генеральное направление дрейфа ледяных полей;
- наличие торосов и (или) гряд торосов на дрейфующих ледяных полях.
При обнаружении торосов и (или) гряд торосов на дрейфующих ледяных полях выполняется оценка средней высоты паруса тороса.
6.4.4.3 С помощью статистической обработки данных непрерывных измерений профилометром-гидролокатором, которые должны проводить на исследуемой акватории в течение не менее чем двух лет, для каждого месяца ледового периода определяют:
- среднюю и максимальную толщину ровного льда дрейфующих ледяных полей;
- среднюю и максимальную осадку киля торосов;
- повторяемость градаций осадки килей торосов;
- среднее число зафиксированных килей торосов в пункте наблюдения.
Совместно с выполнением измерений профилометром-гидролокатором в этом же пункте акватории проводят непрерывное измерение скорости дрейфа льда с использованием акустических доплеровских сонаров. Для каждого месяца ледового периода определяют:
- максимальную скорость и направление дрейфа льда;
- среднюю скорость и направление дрейфа льда с осреднением 1 ч и менее;
- повторяемость градаций скорости дрейфа льда по направлениям (не менее восьми румбов).
Примечание - В соответствии со сложившейся практикой инженерных изысканий значения повторяемости приводятся в процентах.
6.4.5 Айсберги
6.4.5.1 Используя архивные данные судовых ГМС (судовые наблюдения), ледовых авиаразведок и спутникового дистанционного зондирования, а также данные ближайших к району предполагаемого развертывания системы УЛО береговых ГМС за все время проведения наблюдений, оценивают частоту появления айсбергов и ледяных дрейфующих островов на рассматриваемой акватории по сезонам, определяют скорость и траектории их дрейфа, а также район образования.
6.4.5.2 В случае наличия архивной информации о дрейфе айсбергов в районе предполагаемого развертывания системы УЛО целесообразно определить:
- частоту (по сезонам) появления айсберга той или иной формы: столообразный, куполообразный, пирамидальный или разрушающийся;
- средний и максимальный объем надводной части;
- геометрические размеры подводной части;
- среднюю и максимальную массу;
- синоптические и гидрологические условия, наблюдавшиеся при дрейфе айсбергов на исследуемой акватории;
- наличие ровного дрейфующего льда, обрамляющего дрейфующий айсберг или имеющего вмороженные обломки и (или) куски айсберга.
6.4.5.3 В течение, как минимум, двух лет, проводят мониторинг ледовой обстановки в районе исследуемой акватории, и в случае обнаружения дрейфующих айсбергов выполняют их натурные обследования с целью определения скорости их дрейфа, а также морфометрических и физико-механических свойств.
6.4.5.4 На основе анализа всей собранной информации оценивают вероятность столкновения айсбергов с защищаемыми объектами.
6.4.6 Ледовая экзарация
6.4.6.1 Собирают архивные данные, относящиеся к инженерным изысканиям рельефа дна рассматриваемой акватории и охватывающие период не менее 2 (для малоизученных акваторий - 5) непрерывных лет.
6.4.6.2 В соответствии с требованиями
СП 11-114 исследования рельефа выполняют инструментальными методами с помощью гидролокационной и детальной батиметрической съемки в целях определения:
- среднего количества (плотности) экзарационных борозд на 1 км2;
- параметров распределения глубины, ширины и длины борозд.
6.4.6.3 Расчетное значение ледовой экзарации определяют при помощи имитационно-статистического моделирования процесса экзарации, учитывающего:
- ветровой режим;
- режим течений в ледовый период;
- приливные колебания уровня воды;
- профили глубин;
- свойства донных грунтов;
- морфометрические параметры ледяных образований.
6.4.7 Тепловое разрушение ледяного покрова
6.4.7.1 Используя архивные данные судовых ГМС (судовых наблюдений), а также данные ближайших к району предполагаемого развертывания системы УЛО береговых ГМС, на которых имеются данные наблюдений не менее чем за 10-летний период, определяют следующие характеристики ледового режима:
- среднюю, раннюю и позднюю дату начала весеннего взлома или первой весенней подвижки припая (первый взлом припая);
- среднюю, раннюю и позднюю дату окончательного разрушения припая (исчезновения припая);
- среднюю, раннюю и позднюю дату окончательного очищения акватории ото льдов (окончательное очищение).
| | ИС МЕГАНОРМ: примечание. Текст дан в соответствии с официальным текстом документа. | |
6.4.7.2 Вышеперечисленные характеристики ледового режима также определяют непосредственно для рассматриваемой акватории на основе обработки спектрорадиометрических и радиолокационных спутниковых снимков высокого разрешения (не более 250 м), отражающих развитие ледовой обстановки в течение последних пяти лет.
6.4.8 Физико-механические свойства природного льда
6.4.8.1 Физико-механические свойства природного льда определяют в результате обработки данных натурных измерений, выполненных непосредственно в районе предполагаемого развертывания системы УЛО.
6.4.8.2 Определению подлежат следующие физико-механические характеристики:
- температура, соленость и плотность льда;
- прочность льда при одноосном сжатии;
- модуль упругости льда при одноосном сжатии;
- прочность льда при изгибе.
Перечисленные характеристики должны определять как на участках ровного, так и торосистого льда, в соответствии с методикой, приведенной в
СП 11-114.
7 Характеристики детальности и точности собираемых данных
7.1 Требуемые характеристики метеорологических измерений
Указания и рекомендации по детальности и точности характеристик метеорологических измерений на береговых ГМС, которые в соответствии с требованиями, изложенными в
разделе 6, необходимы для получения исходных данных для проектирования систем УЛО, содержатся в наставлениях ВМО
[5] и
[19].
7.2 Требуемые характеристики гидрологических измерений
Указания и рекомендации по детальности и точности характеристик гидрологических измерений на судовых и береговых ГМС, которые в соответствии с требованиями, изложенными в
разделе 6, необходимы для получения исходных данных для проектирования систем УЛО, содержатся в наставлениях ВМО
[3],
[11],
[12] и
[19], а также в наставлении Росгидромета
[10].
(рекомендуемое)
ПРИМЕРЫ ПРЕДСТАВЛЕНИЯ ГИДРОМЕТЕОРОЛОГИЧЕСКИХ
ДАННЫХ В ТАБЛИЦАХ
Пример представления среднемесячных, среднегодовых и экстремальных величин температуры воздуха приведен в таблице А.1.
Таблица А.1
Среднемесячные, среднегодовые и экстремальные величины
температуры (°C) воздуха по данным ГМС
Параметр | МЕСЯЦЫ | Год |
I | II | III | IV | V | VI | VII | VIII | IX | X | XI | XII |
ГМС "..." (период наблюдений 2003 - 2013) |
Средняя | -21,4 | -20,3 | -13,0 | -5,5 | 1,2 | 6,6 | 6,7 | 3,2 | -4,0 | -13,1 | -18,4 | -8,3 | -8,3 |
Минимум | -52 | -48 | -36 | -29 | -15 | -5 | -4 | -18 | -30 | -39 | -49 | -52 | -52 |
Максимум | 0 | 2 | 5 | 13 | 24 | 28 | 26 | 19 | 11 | 3 | 1 | 28 | 28 |
ГМС "..." (период наблюдений 1970 - 1980) |
Средняя | -21,5 | -23,9 | -23,4 | -15,5 | -7,3 | 0,7 | 5,5 | 5,7 | 2,3 | -5,4 | -14,7 | -19,7 | -9,8 |
Минимум | -51 | -54 | -52 | -36 | -33 | -15 | -6 | -5 | -21 | -30 | -39 | -52 | -54 |
Максимум | 0 | 2 | 2 | 4 | 10 | 25 | 28 | 26 | 18 | 10 | 3 | 1 | 28 |
Пример представления оперативных характеристик ветра для конкретного месяца ледового периода приведен в таблице А.2.
Таблица А.2
Повторяемость (%) скоростей ветра (V, м/с) по направлениям

, повторяемость (
f(
V), %) и обеспеченность (
F(
V), %) модуля
скорости, повторяемость направлений ветра (

, %) и средняя
скорость по направлениям

, м/с. ЯНВАРЬ
V, м/с | С | СВ | В | ЮВ | Ю | ЮЗ | З | СЗ | f(V) | F(V) |
0 - 4 | 2,1 | 1,8 | 2,0 | 2,8 | 4,0 | 4,0 | 3,6 | 2,8 | 23,1 | 100,0 |
4 - 8 | 2,4 | 2,0 | 2,6 | 3,9 | 5,7 | 5,9 | 4,5 | 3,6 | 30,5 | 76,9 |
8 - 12 | 1,4 | 1,2 | 1,7 | 3,2 | 4,9 | 5,5 | 3,2 | 2,5 | 23,8 | 46,4 |
12 - 16 | 0,5 | 0,6 | 0,7 | 1,8 | 3,1 | 3,8 | 1,9 | 1,2 | 13,5 | 22,7 |
16 - 20 | 0,14 | 0,2 | 0,2 | 0,7 | 1,3 | 2,0 | 1,1 | 0,5 | 6,1 | 9,1 |
20 - 24 | 0,03 | 0,05 | 0,04 | 0,2 | 0,4 | 0,8 | 0,5 | 0,2 | 2,3 | 3,0 |
24 - 28 | + | 0,02 | + | 0,03 | 0,08 | 0,2 | 0,2 | 0,09 | 0,7 | 0,7 |
>= 28 | - | - | - | - | - | - | 0,03 | + | 0,04 | 0,04 |
| 6,6 | 5,9 | 7,2 | 12,7 | 19,5 | 22,2 | 15,0 | 10,9 | 100,0 |
| 6,5 | 7,1 | 7,0 | 8,2 | 8,7 | 9,5 | 8,7 | 7,8 |
Примечание - В таблице левая градация величины включается в интервал, а правая - исключается (например, 0 - 4 означает >= 0, но < 4). Символ "+" соответствует повторяемости менее 0,01%. |
Пример представления длительности штормов и окон погоды приведен в таблице А.3.
Таблица А.3
Длительность (сутки) штормов и окон погоды для скоростей
ветра (
V) по градациям (средние значения

,
среднеквадратические

и максимальные max(
S) значения)
V (м/с) | Длительность штормов | Длительность окон погоды |
| | max(S) | | | max(S) |
ЯНВАРЬ |
5,0 | 2,8 | 1,7 | 8,5 | 0,6 | 0,8 | 1,7 |
10,0 | 1,2 | 1,1 | 3,5 | 1,8 | 1,3 | 5,4 |
15,0 | 0,6 | 0,8 | 1,8 | 6,4 | 2,5 | 19,3 |
20,0 | 0,4 | 0,6 | 1,2 | 31,0 | - | 31,0 |
ФЕВРАЛЬ |
5,0 | 2,3 | 1,5 | 7,0 | 0,6 | 0,8 | 1,8 |
10,0 | 1,0 | 1,0 | 3,0 | 1,8 | 1,3 | 5,4 |
15,0 | 0,6 | 0,8 | 1,7 | 8,1 | 2,8 | 24,3 |
20,0 | 0,3 | 0,6 | 1,0 | 28,0 | - | 28,0 |
Пример представления наибольших скоростей ветра, возможных за определенный период, приведен в таблице А.4.
Таблица А.4
Наибольшие скорости (м/с) ветра, возможные один раз в Т лет,
без учета направлений, по восьми румбам, с интервалами
осреднения 1 ч, 10 мин и 5 с. ЯНВАРЬ
Т, годы | С | СВ | В | ЮВ | Ю | ЮЗ | З | СЗ | Общее |
Интервал осреднения - 1 ч |
1 | 18,0 | 20,1 | 18,1 | 15,0 | 16,7 | 20,4 | 19,9 | 17,1 | 20,4 |
5 | 19,9 | 22,8 | 21,1 | 17,4 | 18,5 | 22,2 | 21,7 | 18,8 | 22,8 |
10 | 20,7 | 23,8 | 22,3 | 18,3 | 19,1 | 22,8 | 22,4 | 19,5 | 23,8 |
25 | 21,7 | 25,2 | 23,8 | 19,5 | 20,0 | 23,7 | 23,2 | 20,3 | 25,2 |
50 | 22,4 | 26,2 | 24,9 | 20,5 | 20,7 | 24,3 | 23,9 | 20,9 | 26,2 |
100 | 23,1 | 27,3 | 26,1 | 21,4 | 21,4 | 25,0 | 24,6 | 21,6 | 27,3 |
Интервал осреднения - 10 мин |
1 | 19,4 | 21,8 | 19,6 | 16,1 | 17,9 | 22,1 | 21,5 | 18,4 | 22,1 |
5 | 21,6 | 24,8 | 22,9 | 18,7 | 19,9 | 24,1 | 23,5 | 20,3 | 24,8 |
10 | 22,4 | 26,0 | 24,2 | 19,8 | 20,7 | 24,8 | 24,3 | 21,0 | 26,0 |
25 | 23,5 | 27,5 | 25,9 | 21,1 | 21,7 | 25,8 | 25,3 | 22,0 | 27,5 |
50 | 24,3 | 28,7 | 27,2 | 22,2 | 22,4 | 26,5 | 26,1 | 22,7 | 28,7 |
100 | 25,2 | 29,9 | 28,5 | 23,2 | 23,2 | 27,3 | 26,9 | 23,4 | 29,9 |
Интервал осреднения - 5 с (порывы) |
1 | 23,1 | 26,2 | 23,4 | 19,0 | 21,3 | 26,7 | 25,8 | 21,9 | 26,7 |
5 | 25,9 | 30,1 | 27,6 | 22,3 | 23,8 | 29,2 | 28,5 | 24,3 | 30,1 |
10 | 27,0 | 31,7 | 29,3 | 23,6 | 24,8 | 30,1 | 29,4 | 25,2 | 31,7 |
25 | 28,4 | 33,7 | 31,6 | 25,4 | 26,1 | 31,4 | 30,8 | 26,5 | 33,7 |
50 | 29,5 | 35,3 | 33,3 | 26,7 | 27,1 | 32,4 | 31,8 | 27,4 | 35,3 |
100 | 30,6 | 36,8 | 35,0 | 28,0 | 28,1 | 33,4 | 32,8 | 28,3 | 36,8 |
Пример представления рассчитанных оперативных характеристик волнения приведен в таблице А.5.
Таблица А.5
Повторяемость (%) высот волн 3% обеспеченности (h, м)
по направлениям, повторяемость (f(h), %) и обеспеченность
(F(h), %) высот волн 3% обеспеченности, повторяемость
направлений волнения (

, %) и средняя высота волн (м)
по направлениям

. ИЮЛЬ
h, м | С | СВ | В | ЮВ | Ю | ЮЗ | З | СЗ | f(h) | F(h) |
0,0 - 0,5 | 12,5 | 4,0 | 7,7 | 4,4 | 0,7 | 0,2 | 0,6 | 9,3 | 39,5 | 100,0 |
0,5 - 1,0 | 10,8 | 5,0 | 5,6 | 2,9 | 0,4 | 0,2 | 0,8 | 6,9 | 32,7 | 60,5 |
1,0 - 1,5 | 6,3 | 3,3 | 2,3 | 0,8 | 0,07 | 0,04 | 0,5 | 2,9 | 16,2 | 27,9 |
1,5 - 2,0 | 3,3 | 1,5 | 0,6 | 0,2 | + | + | 0,2 | 1,2 | 7,0 | 11,6 |
2,0 - 2,5 | 1,5 | 0,4 | 0,06 | 0,04 | - | - | 0,05 | 0,7 | 2,7 | 4,7 |
2,5 - 3,0 | 0,9 | 0,03 | + | + | - | - | + | 0,3 | 1,2 | 1,9 |
3,0 - 3,5 | 0,4 | - | - | - | - | - | - | 0,04 | 0,5 | 0,7 |
3,5 - 4,0 | 0,2 | - | - | - | - | - | - | + | 0,2 | 0,2 |
>= 4,0 | 0,05 | - | - | - | - | - | - | - | 0,05 | 0,05 |
| 8,9 | 6,5 | 6,1 | 7,2 | 7,7 | 8,7 | 28,1 | 26,9 | 100,0 |
| 1,1 | 1,1 | 1,1 | 1,1 | 1,0 | 1,1 | 1,3 | 1,2 |
Примечание - В таблице левая градация величины включается в интервал, а правая - исключается (например, 0,0 - 0,5 означает >= 0, но < 0,5). Символ "+" соответствует повторяемости менее 0,01%. |
Пример представления совместных распределений характерных высот волн и соответствующих (ассоциированных) им средних периодов приведен в таблице А.6.
Таблица А.6
Совместная повторяемость (%) средних высот и ассоциированных
им средних периодов волн, повторяемость (f(h), f(Т), %)
и обеспеченность (F(h), F(Т), %) высот и периодов волн,
условные средние (mh(Т), м; mT(h), с) периодов
и высот волн. АПРЕЛЬ
h, м | Средний ассоциированный период (с) | f(h) | F(h) | mТ(h) |
< 2 | 2 - 3 | 3 - 4 | 4 - 5 | 5 - 6 | 6 - 7 | >= 7 |
0,0 - 0,5 | 6,8 | 21,0 | 16,2 | 3,0 | 0,11 | - | - | 47,1 | 100,0 | 2,8 |
0,5 - 1,0 | 3,1 | 9,6 | 14,0 | 7,2 | 0,8 | + | - | 34,8 | 52,9 | 3,3 |
1,0 - 1,5 | 0,3 | 0,9 | 4,4 | 5,3 | 2,2 | 0,07 | - | 13,1 | 18,0 | 4,1 |
1,5 - 2,0 | + | 0,02 | 0,4 | 1,4 | 1,8 | 0,2 | + | 3,8 | 4,9 | 5,0 |
2,0 - 2,5 | - | - | + | 0,12 | 0,5 | 0,2 | 0,02 | 0,9 | 1,1 | 5,6 |
2,5 - 3,0 | - | - | - | + | 0,05 | 0,08 | 0,02 | 0,2 | 0,2 | 6,3 |
3,0 - 3,5 | - | - | - | - | + | + | + | 0,02 | 0,02 | 6,9 |
>= 3,5 | - | - | - | - | - | - | - | + | + | 7,2 |
f(Т) | 10,2 | 31,5 | 35,0 | 17,1 | 5,5 | 0,6 | 0,1 | 100,0 |
F(Т) | 100,0 | 89,8 | 58,2 | 23,2 | 6,2 | 0,7 | 0,1 |
mh(Т) | 0,4 | 0,4 | 0,6 | 0,9 | 1,4 | 2,0 | 2,6 |
(рекомендуемое)
ВЕРОЯТНОСТНЫЕ ХАРАКТЕРИСТИКИ ШТОРМОВ И ОКОН ПОГОДЫ
Эволюция барических образований (циклонов и антициклонов) в атмосфере может рассматриваться как основная причина перемежаемости штормов и окон погоды, ветра и ветрового волнения. Под "штормом" длительностью
S и интенсивностью

обычно понимают превышение случайным процессом

заданного уровня
z, а под "окном погоды" длительностью

и интенсивностью

- нахождение процесса ниже уровня
z. Фактически шторма и окна для волнения, которое представляет собой случайный гидродинамический процесс, являются выбросами выше или ниже некоторого заданного уровня. Необходимо отметить, что указанное определение "шторма" не совпадает с аналогичным понятием, принятым в морской практике и закрепленным в наставлениях Росгидромета: "шторм - это событие, при котором ветер превышает 16 м/с, а волнение пять баллов". На
рисунке Б.1 показан пример реализации модуля скорости ветра, на котором отмечены длительности штормов и окон относительно двух уровней
z1,
z2.
1 - шторма (выбросы выше уровня); 2 - окна погоды (выбросы
ниже уровня); 3 - ситуации в интервале
Рисунок Б.1 - Определение длительностей штормов (
S), окон
погоды (

) и продолжительностей ситуаций в интервале (
D)
Анализ графика, приведенного на
рисунке Б.1, позволяет отметить одну важную особенность, которая может возникнуть при выделении штормов. Из рисунка видно, что при уровне
z2 вместо одного шторма
S1, отвечающего уровню
z1, выделяются три шторма. Следовательно, при повышении заданного уровня количество выделяемых штормов не обязательно уменьшается. Аналогичные рассуждения могут быть проведены и для окон погоды.
Другой важной характеристикой изменчивости процесса является непрерывная продолжительность
D ситуации, в течение которой значение процесса

находится в заданном интервале (
z1,
z2). Значения
S,

и
D должны рассматриваться как случайные величины; их вероятностные характеристики существенно зависят от уровня
z.
Если известна обеспеченность процесса

(скорости ветра или высот волн), то средняя длительность

шторма выше уровня
z связана с их числом

за промежуток времени
T соотношением

(Б.1)
Соотношение (Б.1) может быть параметризировано с целью расчета характеристик длительностей штормов только через режимные распределения. Однако в настоящее время данные реанализа и результаты гидродинамического моделирования позволяют получать информацию о длительностях штормов и окон погоды для любого района Мирового океана непосредственно по реализациям процесса.
Так, в ряде работ предлагаются регрессионные выражения для достаточно широкого круга климатических условий (Северное море, Ботнический залив и др.), пригодные для описания как штормов ветра, так и штормов морского волнения:

и

. (Б.2)
Параметры
As,
Bs и

,

оцениваются непосредственно по выборочным данным посредством взвешенного метода наименьших квадратов, МНК, с весовыми коэффициентами, пропорционально зависящими от среднего количества штормов в рассматриваемый период. Иными словами, чем меньше штормов (или окон погоды) для данного уровня
z (т.е. чем ниже достоверность оценки средней длительности шторма), тем меньше вклад этого значения в параметры регрессионной модели, определяемой
формулами (Б.2).
Учитывая аналитические приближения вероятностных характеристик штормов и окон погоды, выполненные в рамках теории выбросов случайных процессов, а также обширную практику обработки данных наблюдений, можно полагать, что для произвольного уровня z длительность как штормов, так и окон погоды может быть описана распределением Вейбулла с функцией распределения вида

(Б.3)
где k = k(z) - параметр формы функции распределения.
Тогда для каждого произвольного уровня
z, используя данные реанализа или результаты гидродинамического моделирования и рассчитанное значение

, методом квантилей определяют значение параметра формы.
По параметрам распределений, определяемых
формулой (Б.3), несложно рассчитать основные вероятностные характеристики штормов и окон погоды, представляющие интерес для проектирования. Например, среднее значение длительностей штормов и окон погоды является ведущей расчетной характеристикой. Соответствующее ей среднеквадратическое отклонение

вычисляют по формуле

(Б.4)
а квантиль (xp) обеспеченности p, %, - по формуле

(Б.5)
В качестве числовой характеристики максимальной длительности шторма (окна погоды) max[x] принимается квантиль 5% обеспеченности. Если max[x] превышает количество дней в этом месяце (сезоне), то значение max[x] принимают равным количеству дней в месяце (сезоне).
(рекомендуемое)
ОПРЕДЕЛЕНИЕ СКОРОСТИ ВЕТРА С РАЗЛИЧНЫМ ПЕРИОДОМ ОСРЕДНЕНИЯ
Для соотношений между скоростями ветра с осреднением 1 ч, 10 мин и в порывах с осреднением 5 с следует использовать следующий подход, основанный на методике, приведенной в стандарте Международной организации по стандартизации
[2].
Для сильных ветров (при почти нейтральной стратификации) скорость ветра u(z,t), м/с, на высоте z, м, над уровнем моря, соответствующую периоду осреднения t, с, за 1 ч и менее (t <= t0 = 3600 с), рассчитывают по формуле
u(z,t) = U(z)[1 - 0,41Iu(z)ln(t/t0)], (В.1)
где U(z) - средняя скорость ветра за 1 ч, м/с.
Значения U(z) на высоте z определяют по формуле

(В.2)
где

,
U0 - скорость ветра на высоте 10 м с осреднением 1 ч, м/с.
Параметр турбулентности Iu(z) на высоте z рассчитывают по формуле

(В.3)
(рекомендуемое)
РАСЧЕТ ЭКСТРЕМАЛЬНЫХ ХАРАКТЕРИСТИК ВЕТРА,
ТЕЧЕНИЯ И УРОВНЯ МОРЯ
Статистический анализ скорости ветра и течения основан на использовании модели случайных геометрических векторов, что позволяет в полной мере выявить не только экстремальные по силе скорости ветра, но и соответствующие им наиболее опасные направления. Однако для практических приложений может рассматриваться только абсолютная величина (модуль) скорости ветра или течения в каждом из восьми или 24 секторов картушки компаса.
Следует заметить, что данный подход также позволяет снизить размерность задачи оценивания экстремумов и использовать для вычисления модуля скорости ветра или течения, возможного один раз в Т лет, методику для скалярных случайных величин.
Следуя рекомендациям, изложенным в технических отчетах ВМО
[16] и
[18], можно полагать, что режимные распределения таких гидрометеорологических величин (
V), как модуль скорости ветра и течения, а также значений высот суммарного уровня моря относятся к типу экспоненциальных распределений, и, следовательно, распределение крайних членов Т-летних выборок асимптотически сходится к распределению Гумбеля

(Г.1)
параметры A, B которого могут определяться по ранжированной выборке из N годовых максимумов модуля скорости ветра {Vi} с помощью МНК:

(Г.2)

(Г.3)

(Г.4)
Тогда значение характеристики
VТ, возможное один раз в Т лет, может определяться как квантиль (1 - 1/Т)·100% обеспеченности распределения, определяемого
формулой (Г.1):

(Г.5)
При исследовании экстремальных значений применяются два способа составления выборок. Первый способ состоит в том, что эмпирические функции распределения строят по ряду годовых экстремумов (метод экстремальных штормов). При втором способе выборки составляют по данным, которые выходят за пределы некоторого произвольно выбранного базисного уровня, что с теоретической точки зрения является более предпочтительным, поскольку повышает достоверность оценки параметров исходного распределения за счет увеличения объемов однородных выборок.
Применение этого способа составления выборки стало возможным благодаря тому, что В. Лангбейн установил связь, которая дает возможность перехода от периода повторяемости Т, рассчитанного по выборке, составленной только из годовых максимумов, к периоду повторяемости Т', рассчитанному по выборке, составленной из максимумов, которые превышают произвольно выбранный базисный уровень. Установленное В. Лангбейном соотношение между периодом повторяемости Т' и количеством значений m' в используемой выборке, превышающих некоторое значение статистической переменной, имеет вид

(Г.6)
где N - число лет наблюдений.
Необходимо отметить, что при N/m' >= 10 периоды Т и Т' незначительно отличаются друг от друга.
Как было отмечено в справочных данных Российского морского регистра судоходства
[20], при использовании этого способа построения выборки оценка Т-летнего значения экстремальной характеристики является интервальной, т.е. сама оценка может рассматриваться как некоторая случайная величина. Поэтому для получения расчетных оценок должны быть использованы характерные параметры распределения этой случайной величины, например ее медиана, показывающая середину интервала, в котором может меняться возможное значение экстремума.
(рекомендуемое)
РАСПРЕДЕЛЕНИЕ ЭКСТРЕМУМОВ ВЫСОТ И ОЦЕНКИ ВЫСОТ ВОЛН,
ВОЗМОЖНЫХ ОДИН РАЗ В Т ЛЕТ
В соответствии с рекомендациями, приведенными в справочных данных Российского морского регистра судоходства
[21], распределение высот волн на глубокой воде задается комбинированным распределением вида

(Д.1)
где

- плотность режимного логнормального распределения высот волн (средних или другой обеспеченности) в синоптические сроки с параметрами
h0,5,
s

(Д.2)
где s - параметр формы, равный величине, обратной стандарту логарифмов высот волн;
h0,5 - медиана распределения;

- распределение Релея высот индивидуальных волн на промежутке квазистационарности

(Д.3)
Для высот волн на акватории ограниченной глубины
H верхний предел интегрирования в
формуле (Д.1) необходимо заменить на конечное значение, которое зависит от предельной высоты волн
hlim, соответствующей максимально возможному развитию ветрового волнения. Параметры
s и
h0,5 распределения, определяемого
формулой (Д.2), также зависят от глубины
H, а распределение, определяемое
формулой (Д.3), переходит в распределение Глуховского

(Д.4)
где

- средняя высота волн;

.
Распределение, определяемое
формулой (Д.4), - двухпараметрическое, так как зависит от

и
H.
Распределение (Д.4) базируется на обобщении многочисленных натурных данных и принимается в качестве исходного для расчетов квантилей индивидуальных высот волн на промежутке квазистационарности. Аналогично аппроксимация режимного распределения высот волн

в синоптические сроки на ограниченной глубине принимается в форме двухпараметрического логнормального распределения, где параметры
h0,5 и
s зависят от глубины
H акватории на всем разгоне волн.
Распределение Глуховского, определяемое
формулой (Д.4), и логнормальное распределение, определяемое
формулой (Д.2), не ограничены сверху. Следовательно, из-за отсутствия параметра усечения крайние члены выборок высот индивидуальных волн на промежутке квазистационарности, подчиняющихся распределению Глуховского, и высот волн фиксированной квантили в синоптические сроки, подчиняющихся логнормальному распределению, асимптотически распределены по закону Гумбеля

(Д.5)
Если исходная выборка некоррелирована, то параметры
A1 и
B1 могут быть рассчитаны по параметрам
h0,5 и
s исходного, определяемого
формулой (Д.2), распределения
d = z - (0,918 + lnz)/z, (Д.6)
где M - число синоптических сроков год (M = 2920 для трехчасовых синоптических сроков).
Однако аппроксимативное выражение
(Д.5) допускает появление бесконечно больших волн. Для того, чтобы учесть ограниченность сверху распределения экстремальных волн для очень малых вероятностей (один раз в 100 лет и реже), в распределение, определяемое
формулой (Д.5), вводится третий параметр
C:

(Д.7)
Параметр C связан с предельной высотой волны hlim соотношением

(Д.8)
В общем случае точное значение высоты обрушения hlim для конкретных условий волнообразования определить затруднительно (считается, что на мелководье предельная высота волны может в среднем составлять 0,7 - 0,8 от глубины места).
Для определения высоты волны, соответствующей ее обрушению, широко используется выражение, основанное на гидродинамической теории волн конечной амплитуды

(Д.9)
где g - ускорение силы тяжести,

- период волны,
C1 = 0,02711,
C2 = 28,77.
Константа C1 определяет предельную крутизну волн конечной амплитуды на глубокой воде, а константа C2 учитывает влияние мелководья. Следует отметить, что в общем случае это выражение оправдывает себя при расчете предельных высот волн при их выходе с глубокой воды на мелководье.
Оценка высоты волны, возможной один раз в Т лет, определяется как квантиль (1 - 1/Т)·100% обеспеченности распределения, определяемого
формулой (Д.7), т.е.

(Д.10)
После расчета оценок средних высот волн

, возможных один раз в 1, 5, 10, 25, 50, 100 лет, высоты волн других обеспеченностей рассчитываются по распределению, определяемому
формулой (Д.4). Например, высота индивидуальных волн
p%-ной обеспеченности,
p = 50, 13, 3, 1, 0,1, соответствующая средней высоте волны
hТ, возможной один раз в Т лет, определяется по формуле

(Д.11)
Здесь

- относительная средняя высота волны, возможная один раз в Т лет.
| ИСО 19906:2010 <*> (ISO 19906:2010) | Нефтяная и газовая промышленность. Сооружения арктического шельфа (Petroleum and natural gas industries - Arctic offshore structures) |
| ИСО 19901-1:2005 <*> (ISO 19901-1:2005) | Нефтяная и газовая промышленность. Специальные требования к морским сооружениям. Часть 1. Проектирование и эксплуатация с учетом гидрометеорологических условий (Petroleum and natural gas industries. Specific requirements for offshore structures - Part 1. Metocean design and operating considerations) |
| Наставление Всемирной метеорологической организации ВМО - N 544 | Наставление по Глобальной системе наблюдений. Том 1. Глобальные аспекты |
[4] | Наставление Всемирной метеорологической организации ВМО - N 485 | Наставление по Глобальной системе обработки данных и прогнозирования. Том I. Глобальные аспекты |
| Наставление Всемирной метеорологической организации ВМО - N 488 | Руководство по Глобальной системе наблюдений |
| Наставление Всемирной метеорологической организации ВМО - N 1060 | Наставление по информационной системе ВМО |
| Руководящий документ Росгидромета | Положение о государственной наблюдательной сети |
[8] | Руководящий документ Росгидромета РД 52.04.316-92 | Наставление гидрометеорологическим станциям и постам, вып. 9, Гидрометеорологические наблюдения на морских станциях |
[9] | Руководящий документ Росгидромета РД 52.04.614-2000 | Наставление гидрометеорологическим станциям и постам, вып. 3, ч. II. Обработка материалов метеорологических наблюдений |
| Руководящий документ Росгидромета РД 52.04.663-2005 | Наставление гидрометеорологическим станциям и постам, вып. 9. Гидрометеорологические наблюдения на морских станциях, ч. II |
| Наставление Всемирной метеорологической организации ВМО - N 471 | Руководство по морскому метеорологическому обслуживанию. Третье издание |
| Наставление Всемирной метеорологической организации ВМО - N 558 | Наставление по морскому метеорологическому обслуживанию |
| Наставление Всемирной метеорологической организации ВМО - N 168 | Руководство по гидрометеорологической практике. Сбор и обработка данных, анализ, прогнозирование и другие применения |
| Наставление Всемирной метеорологической организации WMO - N 100 | Руководство по климатологической практике (Guide of Climatological practices) |
| Ветер и волны в океанах и морях. Справочные данные. "Транспорт", Регистр СССР, 1974 |
| Технический отчет Всемирной метеорологической организации WMO - Nо. 702 | Руководство по анализу и прогнозу ветровых волн (Guide to wave analysis and forecasting) |
| Руководящий документ Росгидромета РД 52.27.759-2011 | Наставление по службе прогнозов, раздел 3, часть III. Служба морских гидрологических прогнозов |
| Технический отчет Всемирной метеорологической организации WMO/TD - Nо. 1041 | Оценка экстремальных характеристик высоты ветровых волн (Estimation of extreme wind wave heights) |
| Наставление Всемирной метеорологической организации ВМО - N 8 | Руководство по метеорологическим приборам и методам наблюдений |
| Справочные данные по режиму ветра и волнения Балтийского, Северного, Черного, Азовского и Средиземного морей. Российский морской регистр судоходства. 2006 |
| Справочные данные по режиму ветра и волнения Баренцева, Охотского и Каспийского морей. Российский морской регистр судоходства. 2003 |
--------------------------------
<*> Официальный текст стандарта находится в Федеральном информационном фонде стандартов.