Главная // Актуальные документы // ГОСТ Р (Государственный стандарт)СПРАВКА
Источник публикации
М.: Стандартинформ, 2012
Примечание к документу
Документ
введен в действие с 1 июля 2012 года.
Название документа
"ГОСТ Р МЭК 60044-7-2010. Национальный стандарт Российской Федерации. Трансформаторы измерительные. Часть 7. Электронные трансформаторы напряжения"
(утв. и введен в действие Приказом Росстандарта от 23.12.2010 N 991-ст)
"ГОСТ Р МЭК 60044-7-2010. Национальный стандарт Российской Федерации. Трансформаторы измерительные. Часть 7. Электронные трансформаторы напряжения"
(утв. и введен в действие Приказом Росстандарта от 23.12.2010 N 991-ст)
Утвержден и введен в действие
агентства по техническому
регулированию и метрологии
от 23 декабря 2010 г. N 991-ст
НАЦИОНАЛЬНЫЙ СТАНДАРТ РОССИЙСКОЙ ФЕДЕРАЦИИ
ТРАНСФОРМАТОРЫ ИЗМЕРИТЕЛЬНЫЕ
ЧАСТЬ 7
ЭЛЕКТРОННЫЕ ТРАНСФОРМАТОРЫ НАПРЯЖЕНИЯ
Instrument transformers.
Part 7. Electronic voltage transformers
IEC 60044-7:1999
Instrument transformers -
Part 7: Electronic voltage transformers
(IDT)
ГОСТ Р МЭК 60044-7-2010
Дата введения
1 июля 2012 года
Цели и принципы стандартизации в Российской Федерации установлены Федеральным
законом от 27 декабря 2002 г. N 184-ФЗ "О техническом регулировании", а правила применения национальных стандартов Российской Федерации -
ГОСТ Р 1.0-2004 "Стандартизация в Российской Федерации. Основные положения".
1. Подготовлен Федеральным государственным унитарным предприятием "Всероссийский научно-исследовательский институт метрологической службы" (ФГУП "ВНИИМС") на основе собственного аутентичного перевода на русский язык указанного в
пункте 4 международного стандарта, разработанного МЭК/ТК 38 "Трансформаторы измерительные".
2. Внесен Управлением метрологии Федерального агентства по техническому регулированию и метрологии, Техническим комитетом по стандартизации ТК 445 "Метрология энергоэффективной экономики".
3. Утвержден и введен в действие
Приказом Федерального агентства по техническому регулированию и метрологии от 23 декабря 2010 г. N 991-ст.
4. Настоящий стандарт идентичен международному стандарту МЭК 60044-7:1999 "Трансформаторы измерительные. Часть 7. Электронные трансформаторы напряжения" (IEC 60044-7:1999 "Instrument transformers - Part 7: Electronic voltage transformers").
5. Введен впервые.
Информация об изменениях к настоящему стандарту публикуется в ежегодно издаваемом информационном указателе "Национальные стандарты", а текст изменений и поправок - в ежемесячно издаваемых информационных указателях "Национальные стандарты". В случае пересмотра (замены) или отмены настоящего стандарта соответствующее уведомление будет опубликовано в ежемесячно издаваемом информационном указателе "Национальные стандарты". Соответствующая информация, уведомление и тексты размещаются также в информационной системе общего пользования - на официальном сайте Федерального агентства по техническому регулированию и метрологии в сети Интернет.
1.1. Область применения
Настоящий стандарт распространяется на трансформаторы напряжения (далее - ТН) с номинальными напряжениями

до

включительно с электронными измерительными приборами, имеющими аналоговый выход для их использования с электрическими измерительными приборами и защитными устройствами на частоте от 15 до 100 Гц с целью передачи сигнала измерительной информации приборам измерения, защиты, автоматики, сигнализации и управления.
| | ИС МЕГАНОРМ: примечание. В документе, видимо, допущен пропуск текста: имеется в виду Приложение A. | |
Примечания. 1. Обычно оптические схемы включают в себя набор электронных компонентов, поэтому являются частью настоящего стандарта и приведены в
Приложении.
3. В настоящий стандарт не включены требования, специфические для трехфазных ТН, так как они аналогичны требованиям для однофазных; дополнительно требования для трехфазных ТН приведены в
разделах 3 и
11 и некоторые ссылки на них включены в разделы (например, см.
2.1.5,
5.1.1,
5.2,
11.2.1 и
11.2.2).
1.2. Нормативные ссылки
В настоящем стандарте использованы нормативные ссылки на следующие стандарты.
МЭК 60038:1983 Стандартизованные значения напряжений, рекомендованные МЭК (IEC 60038:1983, IEC standard voltages)
МЭК 60044-2:1997 Измерительные трансформаторы - Часть 2: Индуктивные трансформаторы напряжения (IEC 60044-2:1997, Instrument transformers - Part 2: Inductive voltage transformers)
МЭК 60050(161):1990 Международный Электротехнический словарь (IEV) - Глава 161: Электромагнитная совместимость (IEC 60050(161):1990, International Electrotechnical Vocabulary (IEV) - Chapter 161: Electromagnetic compatibility)
МЭК 60050(321):1986 Международный Электротехнический словарь (IEV) - Глава 321: Измерительные трансформаторы (IEC 60050(321):1986, International Electrotechnical Vocabulary (IEV) - Chapter 321: Instrument transformers)
МЭК 60050(601):1985 Международный Электротехнический словарь (IEV) - Глава 601: Генерирование, передача и распределение электричества - Общая информация (IEC 60050(601):1985, International Electrotechnical Vocabulary (IEV) - Chapter 601: Generation, transmission and distribution of electricity - General)
МЭК 60050(604):1987 Международный Электротехнический словарь (IEV) - Глава 604: Генерирование, передача и распределение электричества - Принцип действия (IEC 60050(604):1987, International Electrotechnical Vocabulary (IEV) - Chapter 604: Generation, transmission and distribution of electricity - Operation)
МЭК 60060 (все части) Технология испытаний высоким напряжением (IEC 60060 (all parts), High-voltage techniques)
МЭК 60060-1:1989 Технология испытаний высоким напряжением - Часть 1: Общие определения и требования к испытаниям (IEC 60060-1:1989, High-voltage test techniques - Part 1: General definitions and test requirements)
МЭК 60071-1:1993 Классификация изоляции - Часть 1: Определения, принципы и правила
(IEC 60071-1:1993, Insulation co-ordination - Part 1: Definitions, principles and rules)
МЭК 60186:1987 Трансформаторы напряжения (IEC 60186:1987, Voltage transformers)
МЭК 60255-5:1977 Электрические реле - Часть 5: Испытание изоляции электрических реле (IEC 60255-5:1977, Electrical relays - Part 5: Insulation tests for electrical relays)
МЭК 60255-6:1988 Электрические реле - Часть 6: Измерительные реле и защитные устройства (IEC 60255-6:1988, Electrical relays - Part 6: Measuring relays and protection equipment)
МЭК 60255-11:1979 Электрические реле - Часть 11: Дребезг и переменные составляющие (колебания) в сердечниках измерительных реле постоянного тока (IEC 60255-11:1979, Electrical relays - Part 11: Interruptions to and alternating component (ripple) in d.c. auxiliary energizing quantity of measuring relays)
МЭК 60255-22-1:1988 Электрические реле - Часть 22: Испытания измерительных реле и защитных устройств на устойчивость к электрическим возмущениям - Раздел 1: Испытания 1 МГц возмущениями (IEC 60255-22-1:1988, Electrical relays - Part 22: Electrical disturbance tests for measuring relays and protection equipment - Section 1: 1 MHz burst disturbance tests)
МЭК 60270:1981 Измерение частичных разрядов (IEC 60270:1981, Partial discharges measurements)
МЭК 60617-1:1985 Графические символы для построения диаграмм - Часть 1: Общая информация, основные обозначения. Таблицы перекрестных ссылок (IEC 60617-1:1985, Graphical symbols for diagrams - Part 1: General information, general index. Cross-reference tables)
МЭК 60694:1996 Общие технические требования к стандартам на коммутационную и управляющую аппаратуры (IEC 60694:1996, Common specifications for high-voltage switchgear and controlgear standards)
МЭК 60721 (все части) Классификация условий окружающей среды (IEC 60721 (all parts), Classification of environmental conditions)
МЭК 60815:1986 Руководство при выборе изоляции в загрязненных условиях (IEC 60815:1986, Guide for the selection of insulators in respect of polluted conditions)
МЭК 61000 (все части) Электромагнитная совместимость (ЭМС) (IEC 61000 (all parts), Electromagnetic compatibility (EMC)
МЭК 61000-4-1:1992 Электромагнитная совместимость (ЭМС) - Часть 4: Технология испытаний и измерений - Раздел 1: Обзор испытаний на устойчивость. Основные публикации по ЭМС (IEC 61000-4-1:1992, Electromagnetic compatibility (EMC) - Part 4: Testing and measurement techniques - Section 1: Overview of immunity test. Basic EMC publication)
МЭК 61000-4-2:1995 Электромагнитная совместимость (ЭМС) - Часть 4: Технология испытаний и измерений - Раздел 2: Испытания на устойчивость к электростатическим разрядам. Основные публикации по ЭМС (IEC 61000-4-2:1995, Electromagnetic compatibility (EMC) - Part 4: Testing and measurement techniques - Section 2: Electrostatic discharge immunity test. Basic EMC publication)
МЭК 61000-4-3:1995 Электромагнитная совместимость (ЭМС) - Часть 4: Технология испытаний и измерений - Раздел 3: Испытания на радиационную, радиочастотную, электромагнитную устойчивость (IEC 61000-4-3:1995, Electromagnetic compatibility (EMC) - Part 4: Testing and measurement techniques - Section 3: Radiated, radio-frequency, electromagnetic immunity test)
МЭК 61000-4-4:1995 Электромагнитная совместимость (ЭМС) - Часть 4: Технология испытаний и измерений - Раздел 4: Испытания на устойчивость к электрическому быстрому нестационарному режиму. Основные публикации по ЭМС (IEC 61000-4-4:1995, Electromagnetic compatibility (EMC) - Part 4: Testing and measurement techniques - Section 4: Electrical fast transient/burst immunity test. Basic EMC publication)
МЭК 61000-4-5:1995 Электромагнитная совместимость (ЭМС) - Часть 4: Технология испытаний и измерений - Раздел 5: Испытания на устойчивость к импульсам высокой частоты (IEC 61000-4-5:1995, Electromagnetic compatibility (EMC) - Part 4: Testing and measurement techniques - Section 5: Surge immunity test)
МЭК 61000-4-8:1993 Электромагнитная совместимость (ЭМС) - Часть 4: Технология испытаний и измерений - Раздел 8: Испытания на устойчивость к магнитным полям промышленной частоты. Основные публикации по ЭМС (IEC 61000-4-8:1993, Electromagnetic compatibility (EMC) - Part 4: Testing and measurement techniques - Section 8: Power frequency magnetic field immunity test. Basic EMC publication)
МЭК 61000-4-9:1993 Электромагнитная совместимость (ЭМС) - Часть 4: Технология испытаний и измерений - Раздел 9: Испытания на устойчивость к импульсным магнитным полям. Основные публикации по ЭМС (IEC 61000-4-9:1993, Electromagnetic compatibility (EMC) - Part 4: Testing and measurement techniques - Section 9: Pulse magnetic field immunity test. Basic EMC publication)
МЭК 61000-4-10:1993 Электромагнитная совместимость (ЭМС) - Часть 4: Технология испытаний и измерений - Раздел 10: Испытания на устойчивость. Основные публикации по ЭМС (IEC 61000-4-10:1993, Electromagnetic compatibility (EMC) - Part 4: Testing and measurement techniques - Section 10: Damped oscillatory magnetic field immunity test. Basic EMC publication)
МЭК 61000-4-11:1994 Электромагнитная совместимость (ЭМС) - Часть 4: Технология испытаний и измерений - Раздел 11: Испытание на помехоустойчивость к провалам напряжения, краткосрочным нарушениям и колебаниям подачи напряжения (IEC 61000-4-11:1994, Electromagnetic compatibility (EMC) - Part 4: Testing and measurement techniques - Section 11: Voltage dips, short interruption and voltage variation immunity test)
МЭК 61000-4-12:1995 Электромагнитная совместимость (ЭМС) - Часть 4: Технология испытаний и измерений - Раздел 12: Испытания на устойчивость к колебательным волнам (IEC 61000-4-12:1995, Electromagnetic compatibility (EMC) - Part 4: Testing and measurement techniques - Section 12: Oscillatory waves immunity tests. Basic EMC publication)
CISPR 11 (EN 55011) Оборудование радиочастотное промышленное, научное и медицинское. Предельные значения и методы измерения (CISPR 11 (EN 55011), Industrial, scientific and medical (ISM) radio-frequency equipment - Electromagnetic disturbance characteristics - Limits and methods of measurement)
EN 50081-2:1993 Электромагнитная совместимость. Общие стандарты по устойчивости. Часть 2: Промышленное окружение (EN 50081-2:1993, Electromagnetic compatibility - Generic immunity standard - Part 2: Industrial environment)
Примечание. При пользовании настоящим стандартом целесообразно проверить действие ссылочных стандартов в информационной системе общего пользования - на официальном сайте Федерального агентства по техническому регулированию и метрологии в сети Интернет или по ежегодно издаваемому информационному указателю "Национальные стандарты", который опубликован по состоянию на 1 января текущего года, и по соответствующим ежемесячно издаваемым информационным указателям, опубликованным в текущем году. Если ссылочный стандарт заменен (изменен), то при пользовании настоящим стандартом следует руководствоваться заменяющим (измененным) стандартом. Если ссылочный стандарт отменен без замены, то положение, в котором дана ссылка на него, применяется в части, не затрагивающей эту ссылку.
1.3. Основная блок-схема электронных трансформаторов
От применяемой технологии зависит, какие составные части необходимы для реализации ТН с электронными измерительными приборами, при этом необязательно присутствие в нем всех описанных частей (см. рисунки 1 и
2).
A, N... - вводы первичного напряжения;
a, n... - выводы вторичного напряжения
Рисунок 1. Блок-схема заземляемого однофазного ЭТН
A, N... - вводы первичного напряжения;
a, n... - выводы вторичного напряжения
Рисунок 2. Блок-схема заземляемого трехфазного ЭТН
2. Термины, определения, обозначения и сокращения
В настоящем стандарте приняты следующие определения.
2.1. Основные определения
2.1.1. электронный трансформатор (electronic instrument transformer): Устройство, состоящее из одного или более датчиков тока или напряжения, которые предназначены для пропорционального преобразования измеряемой величины с целью ее подачи на измерительное устройство, измерительный прибор и защитное устройство или контрольный прибор.
2.1.2. электронный трансформатор напряжения (ЭТН) (electronic voltage transformer (EVT): ЭТН, в котором вторичное напряжение при рабочих условиях пропорционально первичному и отличается от него углом фазового сдвига, приблизительно равным нулю при соответствующем направлении соединений.
2.1.3. электронный измерительный трансформатор напряжения (electronic measuring voltage transformer): ЭТН, предназначенный для передачи информационного (измерительного) сигнала на измерительные устройства и приборы.
2.1.4. незаземлямый электронный трансформатор напряжения (unearthed electronic voltage transformer): ЭТН, в котором все части датчиков первичного напряжения, включая вводы, изолированы друг от друга на уровне, соответствующем номинальному уровню изоляции.
2.1.5. заземляемый электронный трансформатор напряжения (earthed electronic voltage transformer): Однофазный ЭТН, один ввод первичного напряжения которого заземлен, или трехфазный ЭТН, первичная нейтральная точка звезды которого заземлена.
2.1.6. вторичная цепь (secondary circuit): Внешняя цепь, получающая сигналы информации от вторичного конвертера ЭТН. [IEV 321-01-08 измененный]
2.1.7. номинальное первичное напряжение

(rated primary voltage

: Значение первичного напряжения при частоте

, прикладываемое ко входу ЭТН в соответствии с принципом его действия. [IEV 321-01-12 измененный]
2.1.8. номинальное вторичное напряжение

(rated secondary voltage

: Значение вторичного напряжения при частоте

, возникающее на выходе ЭТН в соответствии с принципом его действия. [IEV 321-01-16 измененный]
2.1.9. напряжение нулевой последовательности (residual voltage): Векторная сумма всех фазозаземленных напряжений в трехфазной системе. [IEV 321-03-09 измененный]
2.1.10. номинальный коэффициент напряжения (rated voltage factor)

: Коэффициент, на который следует умножить номинальное первичное напряжение, чтобы определить его максимальное значение, при котором трансформатор должен отвечать соответствующим требованиям к температуре нагрева в течение установленного времени и требованиям к точности. [IEV 321-03-12]
2.1.11. действительный коэффициент трансформации (actual transformation ratio): Отношение действительного первичного к действительному вторичному напряжению. [IEV 321-01-18 измененный]
2.1.12. номинальный коэффициент трансформации

(rated transformation ratio (Kn): Отношение номинального первичного к номинальному вторичному напряжению. [IEV 321-01-20 измененный]
2.1.13. нагрузка (burden): Полное сопротивление вторичной цепи. [IEV 321-01-25 измененный]
Примечание. Нагрузка обычно характеризуется полной мощностью в вольт-амперах, потребляемой вторичной цепью, при указанном коэффициенте мощности и номинальном вторичном напряжении.
2.1.14. номинальная нагрузка (rated burden): Значение нагрузки, на котором основаны требования к точности. [IEV 321-01-26]
2.1.15. номинальная выходная мощность

(rated output

: Значение полной мощности (в вольт-амперах при указанном коэффициенте мощности), которую ЭТН должен отдавать во вторичную цепь при номинальном вторичном напряжении и подключенной к нему номинальной нагрузке. [IEV 321-01-27 измененный]
2.1.16. класс точности (accuracy class): Характеристика, установленная для ЭТН, погрешность напряжения (коэффициента масштабного преобразования напряжения) и угловая погрешность (угла фазового сдвига) которого остаются в определенных пределах при заданных условиях использования. [IEV 321-01-24 измененный]
2.1.17. номинальная частота

(rated frequency

: Значение частоты, на которой базируются требования данного стандарта.
2.1.18. номинальное напряжение дополнительного электропитания

(rated auxiliary power supply voltage

: Напряжение дополнительного электропитания компонентов ЭТН.
2.1.19. наибольшее рабочее напряжение (класс напряжения) для оборудования

(highest voltage for equipment (Um): Максимальное значение междуфазного среднеквадратического напряжения, для которого предназначено данное оборудование в плане требований к изоляции, и другие характеристики, касающиеся этого напряжения в соответствующих стандартах для данного оборудования. [IEV 604-03-01]
Примечание. Это максимальное значение междуфазного напряжения электрической сети, при котором оборудование еще можно использовать.
2.1.20. номинальный уровень изоляции (класс изоляции) (rated insulation level): Комбинация значений напряжений, характеризующая изоляцию трансформатора и определяющая ее способность выдерживать электрические перенапряжения.
2.1.21. коэффициент замыкания на землю (earth fault factor): Коэффициент, определяющий отношение влияния на одну или более фаз в любой точке сети во время замыкания на землю другой исправной фазы при наивысшем значении ее напряжения в заданном месте при заданном местоположении трехфазной сети и для заданной конфигурации соответственно в отсутствие любого подобного замыкания. [IEV 604-03-06]
2.1.22. сеть с изолированной нейтралью (isolated neutral system): Сеть, в которой нейтральная точка специально соединена с землей, за исключением соединений с высоким сопротивлением с целью защиты или измерений. [IEV 601-02-24]
2.1.23. сеть с резонансным заземлением (нейтралью) (resonant earthed (neutral) system): Сеть, в которой одна или более нейтральных точек соединены с землей через (электрический) реактор, предназначенный для компенсации емкостной составляющей замыкания тока одной фазы относительно земли. [IEV 601-02-27]
2.1.24. сеть с эффективно заземленной нейтралью (solidly earthed (neutral) system): Сеть, в которой нейтральная точка или точки заземлены напрямую. [IEV 601-02-25]
2.1.25. сеть с неэффективно (импедансно) заземленной нейтралью (с заземлением через сопротивление) (impedance earthed (neutral) system): Сеть, в которой нейтральная точка или точки заземлены через сопротивления для ограничения тока замыкания на землю. [IEV 601-02-26]
2.1.26. сеть с заземленной нейтралью (earthed neutral system): Сеть, в которой нейтраль подключена к земле либо глухозаземленно, либо через сопротивление или реактивное сопротивление со значением, достаточным для уменьшения переходных колебаний и для защиты от короткого замыкания на землю.
a) Трехфазная сеть с эффективно заземленной нейтралью - сеть, характеризуемая коэффициентом короткого замыкания на землю в заданной точке, значение которого не превышает 1,4.
Примечание. Этот результат достигается тогда, когда для всех конфигураций сети отношение реактивного сопротивления нулевой последовательности к реактивному сопротивлению прямой последовательности меньше 3, отношение активного сопротивления нулевой последовательности к реактивному сопротивлению прямой последовательности меньше 1.
b) Сеть с неэффективно заземленной нейтралью - сеть, характеризуемая коэффициентом короткого замыкания на землю в заданной точке, значение которого более 1,4.
2.1.27. незащищенная установка (non-exposed installation): Установка, в которой оборудование подвержено перенапряжениям и атмосферному влиянию.
Примечание. Такие установки обычно подключены к воздушным линиям электропередачи напрямую или кабелем короткой длины и не защищены разрядниками от искровых (атмосферных) перенапряжений.
2.1.28. защищенная установка (exposed installation): Установка, в которой оборудование не подвержено перенапряжениям и атмосферному влиянию.
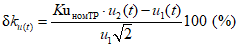
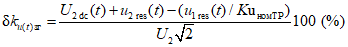
2.1.29. напряжение в установившемся режиме (voltage in steady state condition): Первичное и вторичное напряжения в электрически стабильно-устойчивом состоянии, определяемые следующими формулами соответственно:

; (1);

, (2),
где

- среднеквадратическое значение первичного напряжения при

и

;

- среднеквадратическое значение вторичного напряжения конвертера при

и

;
f - основная частота сети;

- составляющая напряжения постоянного тока в первичной цепи;

- составляющая напряжения постоянного тока во вторичной цепи;

- угол фазового сдвига первичного напряжения;

- угол фазового сдвига вторичного напряжения;

- остаточное напряжение в первичной цепи (утроенное значение напряжения нулевой последовательности), включая гармоническую и субгармоническую составляющие (далее - гармоники и субгармоники);

- остаточное напряжение во вторичной цепи (утроенное значение напряжения нулевой последовательности), включая гармоники и субгармоники;
t - мгновенное значение времени.
f,

,

,

,

,

,

- определяются для установившегося режима.
Примечания. 1. Установившийся режим - определенное стабильно-устойчивое состояние сети, описанное в
2.2.4 и
Приложении B.
2. ЭТН могут иметь специфические характеристики, такие как смещение напряжения, время задержки и т.д. Уравнения для точного представления о требованиях, касающихся ЭТН, приведены в МЭК 60044-2. Определения погрешностей также могут быть скорректированы в соответствии с МЭК 60044-2.
2.1.30. смещение напряжения постоянного тока во вторичной цепи (secondary direct voltage offset)

: Значение смещения постоянной составляющей вторичного напряжения ЭТН при

.
2.1.31. погрешность напряжения (погрешность коэффициента масштабного преобразования напряжения) в установившемся режиме

(voltage error for steady-state conditions

: Погрешность, обусловленная трансформатором при измерении напряжения, возникающая при коэффициенте масштабного преобразования, отличном от номинального коэффициента трансформации ЭТН. (МЭК 321-01-22 измененный)
Погрешность, выраженная в процентах, определяется по формуле

,
где

- номинальный коэффициент трансформации;

- действительное первичное напряжение;

- действительное вторичное напряжение при

, применяемом при рабочих условиях измерений.
Примечание. Выражение погрешности относится только к компонентам, зависящим от номинальной частоты как на первичном, так и на вторичном напряжениях, а не к зависящим от напряжения постоянного тока. Это выражение погрешности указано в стандарте МЭК 60044-2.
2.1.32. угол фазового сдвига в установившемся режиме (phase displacement for steady-state conditions)

: Различие фаз между векторами первичного и вторичного напряжений, т.е.

, направление которых подобрано таким образом, чтобы угол для совершенного трансформатора был нулевым. Фазовый сдвиг считается положительным, когда вторичное напряжение опережает вектор первичного напряжения. Фазовый сдвиг может характеризоваться номинальным смещением фаз

и номинальным временем задержки

. Угол фазового сдвига обычно выражается в радианах, сантирадианах или минутах. (МЭК 321-01-23 измененный)
2.1.33. номинальное смещение фазы

(rated phase offset

: Номинальное значение постоянного смещения угла фазового сдвига ЭТН.
2.1.34. номинальное время задержки

(rated delay time

: Время

передачи и обработки цифровых данных для некоторых типов ЭТН.
2.1.35. угловая погрешность (погрешность угла фазового сдвига напряжения)

(phase error

: Погрешность, вызванная смещением фаз

и временем задержки

. Погрешность характеризуется угловой единицей относительно номинальной частоты:

;

.
Угловая погрешность обычно выражается в радианах, сантирадианах или минутах (МЭК 321-01-23 измененный).
2.1.36. предельный ток вторичной обмотки (secondary limiting current): Максимальное значение тока вторичной обмотки при номинальном первичном напряжении, которое трансформатор может поддерживать постоянно.
2.1.37. способность выдержать короткое замыкание (short circuit withstand capability): Способность ЭТН выдержать без повреждения короткое замыкание между вторичными выводами.
2.1.38. место подключения (connecting point): Место, определенное производителем и применяемое пользователем для подключения электрических кабелей на месте установки или проведения испытаний. При использовании коаксиального кабеля точкой подключения считается только внешний экран.
2.1.39. первичные вводы напряжения (primary voltage terminals): Вводы, на которые подается первичное напряжение к ЭТН.
2.1.40. первичный датчик напряжения (primary voltage sensor): Электрическое, оптическое или другое устройство, предназначенное для передачи сигнала к вторичному оборудованию напрямую или через первичный конвертер, значение напряжения преобразования которого соответствует напряжению между первичными вводами.
2.1.41. первичный конвертер (primary converter): Устройство, преобразующее сигнал от одного или более первичных датчиков напряжения в сигнал, подходящий для работы устройства сопряжения.
2.1.42. первичное электропитание (primary power supply): Электропитание первичного конвертера и/или первичного датчика напряжения (может быть объединено с вторичным электропитанием).
2.1.43. устройство сопряжения (transmitting system): Устройство, соединяющее первичный конвертер с вторичным на коротких и длинных расстояниях и передающее сигнал от одного к другому. В зависимости от используемой технологии может также использоваться для передачи сигнала мощности.
2.1.44. вторичный конвертер (secondary converter): Устройство, преобразующее сигнал, переданный через устройство сопряжения, в величину, пропорциональную напряжению на первичных вводах, и предназначенное для последующего согласования с измерительными приборами, защитными или управляющими устройствами.
2.1.45. вторичное электропитание (secondary power supply): Электропитание вторичного конвертера (может быть объединено с первичным электропитанием).
2.1.46. вторичные выводы напряжения (secondary voltage terminals): Выводы для подключения измерительных приборов и защитных или управляющих устройств к цепям напряжения.
2.1.47. низковольтные компоненты (low-voltage components): Все компоненты, за исключением первичного датчика напряжения.
2.1.48. номинальный ток электропотребления

(rated supply current

: Значение тока, требуемое для электропитания ЭТН при номинальных условиях эксплуатации.
2.1.49. максимальный ток электропотребления

(maximum supply current

: Максимальное значение тока, необходимое для электропитания ЭТН в предельных условиях эксплуатации.
2.2. Дополнительные определения для электронных защитных однофазных трансформаторов напряжения
2.2.1. электронный защитный трансформатор напряжения (electronic protective voltage transformer): ЭТН, предназначенный для передачи информационных сигналов к защитным и управляющим устройствам.
2.2.2. электронный защитный трансформатор напряжения нулевой последовательности (electronic residual voltage transformer): Трехфазный ЭТН или группа трех однофазных ЭТН, предназначенных для передачи информационных сигналов о наличии остаточного напряжения в трехфазных сетях на первичных вводах.
2.2.3. переходная характеристика (transient response): Реакция вторичного напряжения на кратковременное изменение первичного напряжения.
2.2.3.1. короткое замыкание в цепи первичного напряжения (short circuit on the primary): Отсутствие вторичного напряжения ЭТН в случае короткого замыкания между высоковольтным вводом и землей.
2.2.3.2. повторное включение линии при наличии остаточного заряда (reclosing on a line with trapped charges): Реакция ЭТН на переходной процесс вследствие отключения и последующего повторного замыкания выключателя в линии с остаточным электрическим зарядом, аккумулированным в воздушной линии электропередачи.
2.2.4. напряжение при переходных процессах (voltage in transient conditions): Первичное и вторичное напряжения при переходном процессе, определяемые следующим образом:

; (3)

. (4)
Примечание. Переходные процессы возникают вследствие внезапного изменения одного или более параметров в
уравнении (1) первичного напряжения (см. также
B.4).
2.2.5. мгновенная погрешность напряжения (погрешность коэффициента масштабного преобразования напряжения) при переходном процессе (instantaneous voltage error for transient conditions): Погрешность, определяемая уравнением

,
где

и

- значения напряжения во временном промежутке переходного процесса, определяемые
уравнениями 3 и
4.
Отсчет времени переходного процесса начинается с момента изменения параметров в
уравнениях 3 и
4.
Примечание. Дополнительно см.
B.4.
2.3. В настоящем стандарте применены следующие обозначения (Index of symbols):
f - частота;

- номинальная частота;

- номинальный ток электропотребления;

- максимальный ток электропотребления;

- номинальный коэффициент напряжения;

- номинальный коэффициент трансформации;

- номинальная нагрузка;
t - мгновенное значение времени;

- номинальное время задержки;

- номинальное напряжение дополнительного электропитания;
Up - наибольшее рабочее напряжение для оборудования;

- среднеквадратическое значение первичного напряжения в установившемся режиме при

и

;

- составляющая напряжения постоянного тока в первичной цепи;

- напряжение переходного процесса;

- остаточное напряжение в первичной цепи;

- номинальное значение первичного напряжения, включая гармоники и субгармоники;

- среднеквадратическое значение вторичного напряжения конвертера при

и

;

- составляющая напряжения постоянного тока во вторичной цепи;

- смещение напряжения постоянного тока во вторичной цепи;

- вторичное напряжение переходного процесса;

- номинальное значение вторичного напряжения;

- остаточное напряжение во вторичной цепи, включая гармоники и субгармоники;

- угол фазового сдвига первичного напряжения;

- угол фазового сдвига вторичного напряжения;

- угол фазового сдвига напряжения в установившемся режиме;

- номинальный угол фазового смещения;

- угловая погрешность (угла фазового сдвига напряжения);

- погрешность напряжения (коэффициента масштабного преобразования напряжения) в установившемся режиме;

- погрешность напряжения (коэффициента масштабного преобразования напряжения) при переходном процессе.
3.1. Общие положения
В общем случае все ЭТН предназначены для измерения, однако определенные типы можно использовать и для защиты.
ЭТН двойного применения (т.е. для измерения и защиты) должны удовлетворять всем пунктам настоящего стандарта как для измерения, так и для защиты.
3.2. Информация, необходимая при тендерах и заказах ЭТН
Спецификация основных параметров ЭТН и необходимые обозначения приведены в таблице 1.
Характеристики, принятые для ЭТН
Характеристика | Сокращенное обозначение | Пункт или подпункт |
Механическая прочность | | 8.11 |
Наибольшее рабочее напряжение для оборудования (класс напряжения) | Up | 8.1 |
Номинальный уровень изоляции (класс изоляции) | | 8.1 |
Условия эксплуатации | | 8 |
Номинальная частота | | 7.5.1 |
Номинальное первичное напряжение | | 7.1.1 |
Номинальное вторичное напряжение | | 7.1.2 |
Номинальный коэффициент напряжения | | 7.3 |
Допустимая продолжительность перенапряжения | | 7.3 |
Вторичный максимальный ток | | |
Номинальная нагрузка | | 7.2 |
Класс точности | | 14 |
Номинальное напряжение электропитания | | 7.5.2 |
Номинальное начальное смещение фазы, номинальное время задержки |  ,  | 14 |
4. Нормальные (рабочие) и особые условия применения
Подробная информация относительно классификации условий окружающей среды приведена в МЭК 60721.
4.1. Рабочие условия эксплуатации
4.1.1. Температура окружающего воздуха
По климатическому исполнению ЭТН делятся на три категории, как показано в таблице 2.
Температурные категории
Категория | Минимальная температура °C | Максимальная температура °C |
- 5/40 | -5 | 40 |
- 25/40 | -25 | 40 |
- 40/40 | -40 | 40 |
Примечание - При выборе температурной категории должны быть определены условия хранения и транспортировки. |
4.1.2. Высота над уровнем моря
Высота над уровнем моря не превышает 1000 м.
4.1.3. Колебания или подземные толчки
Внешние колебания по отношению к ЭТН или подземные толчки не влияют на его работу. Однако следует принимать во внимание, что конструкция некоторых ЭТН может быть чувствительна к вибрациям. Соответствующие испытания таких ЭТН на вибрацию проводятся по требованию заказчика.
4.1.4. Условия эксплуатации ЭТН в закрытых помещениях
Условия эксплуатации:
a) влияние солнечной радиации - практически отсутствует;
b) окружающий воздух - без загрязнения пылью, дымом, коррозийными газами, парами или солью;
c) влажность:
- среднее значение относительной влажности в течение 24 ч не выше 95%;
- среднее значение давления водяного пара в течение 24 ч не выше 2,2 кПа;
- среднее значение относительной влажности в течение 1 месяца не выше 90%;
- среднее значение давления водяного пара в течение 1 месяца не выше 1,8 кПа.
В некоторых случаях при данных условиях допускается наличие конденсации.
Примечания. 1. Конденсация может появиться при внезапных изменениях температуры в периоды высокой влажности.
2. Воздействия высокой влажности и конденсации, приводящего к нарушениям изоляции или коррозии металлических частей, можно избежать при использовании специально разработанных ЭТН для таких условий применения.
3. Конденсации можно также избежать поддержанием соответствующих условий в помещении, наличием соответствующей вентиляции и обогрева или применением оборудования, уменьшающего влажность.
4.1.5. Условия эксплуатации ЭТН при наружной установке
Условия эксплуатации:
a) среднее значение температуры окружающего воздуха в течение 24 ч не выше 35 °C;
b) солнечную радиацию свыше 1000 W/m2 (в ясный день в полдень) - следует учитывать;
c) загрязнение окружающего воздуха пылью, дымом, коррозийными газами, парами или солью не выше уровней, приведенных в
таблице 8;
d) давление ветра не выше 700 Па (при скорости 34 м/с);
e) наличие конденсации или осадков.
4.2. Особые условия эксплуатации
Требования к ЭТН при условиях, отличных от условий эксплуатации (данных в
6.1), должны соответствовать приведенным пунктам настоящего стандарта.
4.2.1. Высота над уровнем моря
Для применения ЭТН на высоте над уровнем моря свыше 1000 м при превышении стандартных рабочих атмосферных условий должно быть определено расстояние образования дуги путем умножения допустимых напряжений, требуемых на месте эксплуатации, на коэффициент k в соответствии с
рисунком 3.
Примечание. Высота над уровнем моря не влияет на диэлектрическую прочность внутренней изоляции ЭТН. Метод проверки внешней изоляции должен быть согласован между изготовителем и заказчиком.
Рисунок 3. Корректирующий высотный коэффициент
Высотный коэффициент может быть рассчитан с помощью следующего уравнения:

,
где H - высота над уровнем моря в метрах;
m = 1 - для напряжений промышленной частоты и грозового импульса;
m = 0,75 - для напряжения коммутационного импульса.
4.2.2. Температура окружающего воздуха
Для ЭТН, устанавливаемых в местах, где окружающая температура может значительно отличаться от рабочих условий эксплуатации (перечисленных в
6.1.1), предпочтительны следующие минимальные и максимальные диапазоны температур:
a) от минус 50 °C до плюс 40 °C - для очень холодного климата;
b) от минус 5 °C до плюс 50 °C - для очень жаркого климата.
Примечания. 1. Для некоторых регионов с частыми теплыми влажными ветрами и внезапным изменением окружающей температуры свойственно наличие конденсации, даже в закрытом помещении.
2. При некоторых условиях солнечной активности, чтобы не были превышены указанные пределы температуры, может потребоваться принятие соответствующих мер, например наличие кровли, принудительной вентиляции и т.д.
4.2.3. Землетрясения
Требования и испытания - находятся на рассмотрении.
4.3. Системы заземления
4.3.1. Общие положения
ЭТН должны быть пригодными к эксплуатации в следующих системах заземления:
a) с изолированной нейтралью;
b) с нейтралью, заземленной через дугогасящий реактор;
c) с заземленной нейтралью:
- с глухо заземленной нейтралью;
- с нейтралью, заземленной через сопротивление.
5.1. Номинальные значения напряжений
5.1.1. Номинальное первичное напряжение
Стандартные номинальные первичные напряжения трех- и однофазных трансформаторов, используемых в однофазной или трехфазной системе между линиями, должны соответствовать одному из значений номинального линейного (междуфазного) напряжения, определяемого в МЭК 60038. Стандартные номинальные первичные напряжения однофазного трансформатора, подключенного между одной из линий трехфазной системы и землей или между нейтральной точкой системы и землей, должны быть равны одному из значений номинального напряжения системы, умноженному на

.
Примечание. Применение ЭТН в качестве измерительного или защитного трансформатора базируется на номинальном первичном напряжении, тогда как номинальный уровень изоляции определяется предельным напряжением для оборудования (классом напряжения) по МЭК 60038.
5.1.2. Номинальное вторичное напряжение
Стандартные значения номинального вторичного напряжения, данные в МЭК 60044-2, применимы также и к ЭТН.
В дополнение для однофазных трансформаторов в однофазных или подключенных между фазами трехфазных системах, а также для трехфазных трансформаторов в трехфазных системах стандартными номинальными значениями вторичного напряжения (в вольтах) могут быть:
1,625 - 2 - 3,25 - 4 - 6,5.
Для однофазных трансформаторов, используемых в системах "фаза - земля" или трехфазных системах, где номинальное первичное напряжение равно числу, разделенному на

, стандартными значениями номинального вторичного напряжения (в вольтах) могут быть:

.
Для ЭТН, имеющих дополнительные выводы и предназначенных для измерения остаточного напряжения в линии, стандартными значениями номинального вторичного напряжения (в вольтах) на дополнительных обмотках могут быть:
- для трехфазных сетей: 1,625/3 - 2/3 - 3,25/3 - 4/3 - 6,5/3;
- для однофазных сетей: 1,625/2 - 2/2 - 3,25/2 - 4/2 - 6,5/2.
Примечание. Пояснения относительно низковольтных значений вторичного напряжения даны в
пункте B.2.
5.2. Стандартизованные значения номинальной выходной мощности
Стандартизованные значения номинальной выходной мощности (приведены в
Приложении A) в вольтамперах должны быть выбраны из ряда:
0,001 - 0,01 - 0,1 - 0,5 - 1 - 2,5 - 5 - 10 - 15 - 25 - 30.
При этом рекомендованы значения номинальной выходной мощности (в вольтамперах):
- для ЭТН с вторичным напряжением <= 10 В: 0,001 - 0,01 - 0,1 - 0,5;
- для ЭТН с вторичным напряжением > 10 В: 1 - 2,5 - 5 - 10 - 15 - 25 - 30.
В специальных случаях могут быть использованы другие значения.
Номинальной для трехфазного трансформатора считается выходная мощность каждой из фаз.
Примечания. 1. Следует обратить внимание на тот факт, что увеличение номинальной выходной мощности вызывает:
- снижение надежности;
- увеличение потребления электроэнергии;
- повышение стоимости;
- уменьшение номинальной выходной мощности, приводящее к увеличению чувствительности к электромагнитным помехам.
2. Если одно из значений номинальной выходной мощности ЭТН соответствует стандартному классу точности, то это не исключает других значений, отличных от стандартных или соответствующих стандартным классам точности и выходной мощности.
5.3. Стандартизованные номинальные значения коэффициента перенапряжения
5.3.1. Заземляемые ЭТН
Номинальный коэффициент напряжения для заземляемых ЭТН зависит от коэффициента заземления в трехфазной сети.
Стандартные значения номинальных коэффициентов перенапряжения в зависимости от номинальной продолжительности времени нахождения под повышенным напряжением при различных условиях заземления даны в таблице 3.
Стандартные значения номинального коэффициента
перенапряжения
Значение номинального коэффициента напряжения | Номинальное время | Метод подключения первичных вводов и условия заземления |
1,2 | Продолжительное | Между фазами в любой сети |
Между нейтральными точками звезды трансформатора и землей в любой сети |
1,2 | Продолжительное | Между фазой и землей в сети с эффективно заземленной нейтралью |
1,5 | 30 с | |
1,2 | Продолжительное | Между фазой и землей в сети с неэффективно заземленной нейтралью с автоматическим выключателем заземления |
1,9 | 30 с | |
1,2 | Продолжительное | Между фазой и землей в сети с изолированной нейтралью без автоматического выключателя заземления или в системе с заземленной нейтралью через дугогасящий реактор без автоматического выключателя заземления |
1,9 | 8 ч |
Примечание - По соглашению между производителем и заказчиком допускается уменьшать значения номинального времени. |
5.3.2. Незаземляемые ЭТН
Значение номинального коэффициента напряжения для незаземляемых ЭТН должно составлять 1,2 при продолжительном времени работы.
5.4. Стандартизованные номинальные значения напряжения электропитания
Для электропитания ЭТН применимы стандартизованные значения номинального напряжения, данные в 3.2 МЭК 60255-6.
Примечания. 1. Ссылки на другие стандарты относительно требований к номинальным значениям напряжения электропитания не рекомендуются.
2. Ссылки на общие разделы других стандартов, распространяющихся на электропитание электронного оборудования подстанций, допустимы при условии действия соответствующих стандартов.
5.5. Стандартизованные нормированные значения других влияющих параметров
5.5.1. Стандартизованный нормированный диапазон частоты
Стандартизованный диапазон частоты должен составлять от 99% до 101% ее номинального значения в установленном классе точности для измерения и от 96% до 102% - в установленном классе точности для защиты.
Примечания. 1. Это требование распространяется на все типы ЭТН.
2. Расширенные диапазоны частоты рассматриваются для новых областей применения, например измерения параметров качества электроэнергии при измерении гармоник и субгармоник.
5.5.2. Стандартизованный нормированный диапазон напряжения электропитания
Стандартизованный диапазон напряжения электропитания должен находиться в пределах от 80% до 110% его номинального значения.
5.5.3. Стандартизованный нормированный диапазон нагрузок
Стандартный диапазон нагрузок должен находиться в пределах от 25% до 100% ее номинального значения при коэффициенте мощности 0,8, когда значение номинальной выходной мощности выше или равно 5 ВА. Для более низких значений ЭТН имеют погрешность в пределах заданного класса точности при любом коэффициенте мощности номинальной нагрузки.
Примечание. Превышение значения коэффициента мощности вследствие влияния емкости соединительных кабелей во внимание не принимается. При небольших выходных значениях нагрузки этот эффект можно не учитывать из-за очень короткой длины соединительных кабелей.
5.5.4. Стандартизованный нормированный диапазон температуры
Если иначе не определено, стандартизованный нормируемый диапазон температуры должен быть в интервале от нижнего до верхнего предела температуры окружающего воздуха в соответствии с
6.1.1.
6. Требования к конструкции
6.1. Требования к изоляции датчика первичного напряжения
Требования относятся ко всем типам ЭТН. Для ЭТН с газовой изоляцией могут потребоваться дополнительные требования. В настоящее время они находятся на рассмотрении.
6.1.1. Значения номинальных уровней изоляции (классов изоляции) для первичных вводов
Номинальное значение уровня изоляции (класса изоляции) для датчика первичного напряжения ЭТН определяется его рабочим напряжением (классом напряжения) для оборудования Up.
Произведение номинального первичного напряжения

на номинальный коэффициент напряжения

не должно превышать значения Up.
6.1.1.1. Для случая, когда Up = 0,72 или 1,2 кВ
Для первичных вводов с Up = 0,72 или 1,2 кВ номинальное значение класса изоляции определяется номинальным испытательным напряжением промышленной частоты в соответствии с
таблицей 4.
6.1.1.2. Для случая, когда 3,6 <= Up < 300 кВ
Для первичных вводов с Up >= 3,6 кВ, но менее 300 кВ, номинальное значение класса изоляции определяется испытательным стандартизованным грозовым импульсом и испытательным напряжением переменного тока промышленной частоты в соответствии с
таблицей 4.
Примечание. Для некоторых значений Up устанавливается альтернативный класс изоляции согласно МЭК 60071-1.
6.1.1.3. Для случая, когда Up >= 300 кВ
Для первичных вводов с Up >= 300 кВ номинальное значение класса изоляции определяется номинальными значениями испытательных напряжений стандартизованных коммутационных и грозовых импульсов в соответствии с
таблицей 5.
Примечание. Для некоторых значений Up устанавливается альтернативный класс изоляции согласно МЭК 60071-1.
Номинальные уровни испытаний прочности
изоляции для ЭТН с наибольшим рабочим напряжением
на первичных вводах Up < 300 кВ
Значение наибольшего рабочего напряжения Up (действующее), кВ | Номинальное значение испытательного напряжения переменного тока промышленной частоты  (действующее), кВ | Номинальное значение испытательного напряжения грозового импульса  (амплитудное), кВ |
0,72 | 3 | - |
1,2 | 6 | - |
3,6 | 10 | 20 40 |
7,2 | 20 | 40 60 |
12 | 28 | 60 75 |
17,5 | 38 | 75 95 |
24 | 50 | 95 125 |
36 | 70 | 145 170 |
52 | 95 | 250 |
72,5 | 140 | 325 |
100 | 185 | 450 |
123 | 185 | 550 |
230 | 650 |
145 | 230 | 550 |
275 | 650 |
170 | 275 | 650 |
325 | 750 |
245 | 395 | 950 |
460 | 1050 |
Примечание - Для установок рекомендуется выбирать наивысшее значение номинального класса изоляции. |
Номинальные уровни испытаний прочности
изоляции для ЭТН с наибольшим рабочим напряжением
на первичных вводах Up >= 300 кВ
Значение наибольшего рабочего напряжения Up (действующее), кВ | Номинальное значение испытательного напряжения коммутационного импульса  (амплитудное), кВ | Номинальное значение испытательного напряжения грозового импульса  (амплитудное), кВ |
300 | 750 | 950 |
850 | 1050 |
362 | 850 | 1050 |
950 | 1175 |
420 | 1050 | 1300 |
1050 | 1425 |
525 | 1050 | 1425 |
1175 | 1550 |
765 | 1425 | 1950 |
1550 | 2100 |
Примечания 1 Для установок рекомендуется выбирать наивысшее значение номинального класса изоляции. 2 Испытательные уровни напряжения с Up = 765 кВ окончательно не установлены, поэтому возможны некоторые вариации их значений для коммутационного и грозового импульсов. |
Номинальные уровни испытательных
напряжений для ЭТН с наибольшим рабочим напряжением
на первичных вводах Up >= 300 кВ
Номинальное значение испытательного напряжения грозового импульса  (амплитудное), кВ | Номинальное значение переменного испытательного напряжения  (действующее), кВ |
950 | 395 |
1050 | 460 |
1175 | 510 |
1300 | 570 |
1425 | 630 |
1550 | 680 |
1950 | 880 |
2100 | 975 |
6.1.2. Дополнительные требования к изоляции между первичными вводами
6.1.2.1. Испытание повышенным напряжением промышленной частоты
Первичные вводы с наибольшим рабочим напряжением для оборудования Up >= 300 кВ должны выдерживать испытательное напряжение промышленной частоты в соответствии с выбранным напряжением грозового импульса согласно
таблице 6.
6.1.2.2. Испытание повышенным напряжением промышленной частоты при проверке заземляемых первичных вводов
Выводы заземления первичного датчика напряжения, изолированные от корпуса или оболочки, должны выдерживать номинальное краткосрочное испытательное напряжение промышленной частоты 3 кВ (действующее) в течение 1 мин.
6.1.2.3. Требования к уровню частичных разрядов
Требования к уровню частичных разрядов предъявляются к ЭТН, начиная с Up >= 7,2 кВ.
Уровень частичных разрядов после предварительно проведенных испытаний изоляции в соответствии с
11.2.4 не должен превышать значений, приведенных в таблице 7, при испытательном напряжении, указанном в той же таблице.
Значения испытательного напряжения и допустимые уровни
частичных разрядов
Тип заземления сети | Подключение первичных вводов | Значение испытательного напряжения  (действующее), кВ | Допустимый уровень частичных разрядов пК |
Тип изоляции |
Погруженная в жидкость | Твердая |
С заземленной нейтралью (коэффициент заземления <= 1,5) | Фаза на землю | Up | 10 | 50 |
| 5 | 20 |
Фаза на фазу | 1,2 Up | 5 | 20 |
С изолированной или неэффективно заземленной нейтралью (коэффициент заземления <= 1,5) | Фаза на землю | 1,2 Up | 10 | 50 |
| 5 | 20 |
Фаза на фазу | 1,2 Up | 5 | 20 |
Примечания 1 Если тип сети неизвестен, то применяются значения, заданные для изолированной или неэффективно заземленной сети. 2 Допустимый уровень частичных разрядов также распространяется на частоты, отличные от номинальной. 3 При номинальном напряжении ЭТН ниже предельного напряжения сети Up, где он должен эксплуатироваться, значения испытательного напряжения и напряжения для измерения частичных разрядов могут быть согласованы между производителем и заказчиком. |
6.1.2.4. Срезанный грозовой импульс
Если это испытание определено дополнительно, то первичные вводы должны выдержать напряжение срезанного грозового импульса с амплитудой 115% полного напряжения стандартизованного грозового импульса.
Примечания. 1. Меньшие значения испытательного напряжения могут быть согласованы между изготовителем и заказчиком.
2. Даже если испытание срезанным грозовым импульсом не предусмотрено технологией датчика высокого напряжения, то его проведение помогает проверить устойчивость вторичного конвертера к воздействию высокого импульсного напряжения.
3. Испытательная схема должна быть согласована между изготовителем и заказчиком.
6.1.2.5. Емкость и тангенс угла диэлектрических потерь
Эти требования применяются только к ЭТН с жидко-масляной изоляцией первичного датчика напряжения при Up >= 72,5 кВ.
Значения емкости и тангенса угла диэлектрических потерь

изоляции должны быть определены при номинальной частоте и уровне напряжения в пределах диапазона от 10 кВ до

.
Примечания. 1. Задачей испытания является проверка стабильности производства. Пределы для допустимых отклонений могут быть согласованы между изготовителем и заказчиком.
2. Тангенс угла диэлектрических потерь зависит от типа изоляции, напряжения и температуры. Его значение при

и температуре окружающей среды обычно не превышает 0,005.
3. Для некоторых типов ЭТН сложно интерпретировать результаты испытаний.
6.1.3. Требования к внешней изоляции
6.1.3.1. Загрязнение
Для ЭТН наружного исполнения с керамической изоляцией, чувствительных к загрязнениям, длина пути тока утечки при различных уровнях загрязнения приведена в таблице 8.
Уровень загрязнения | Минимальное значение длины пути тока утечки мм/кВ <1> <2> | Длина пути тока утечки |
Разрядное расстояние |
I - Легкий | 16 | |
II - Средний | 20 | <= 3,5 |
III - Сильный | 25 | |
IV - Очень сильный | 31 | <= 4,0 |
<1> Отношение длины пути тока утечки между фазой и землей к среднеквадратическому междуфазному предельному напряжению для оборудования (см. МЭК 60071-1). |
<2> Более подробная информация и допустимые отклонения значений длины пути утечки при производстве даны в МЭК 60815. |
Примечания 1 Свойства изоляционной поверхности в значительной степени зависят от формы изолятора. 2 В слабо загрязненных областях при наличии опыта эксплуатации может использоваться длина пути тока утечки ниже 16, но не менее 12 мм/кВ. 3 При сильном загрязнении длина пути тока утечки 31 мм/кВ может не соответствовать требованиям. В зависимости от опыта эксплуатации и/или от результатов лабораторных испытаний длина пути тока утечки может быть увеличена, в некоторых случаях необходима периодическая промывка изоляции. |
6.2. Требования к изоляции низковольтных компонентов
Низковольтные компоненты обычно включают в себя несколько цепей с гальванической изоляцией между ними. Эта изоляция должна соответствовать требованиям, представленным ниже.
6.2.1. Способность выдерживать испытательное повышенное напряжение промышленной частоты
Значение испытательного напряжения: 2 кВ (действующее).
6.2.2. Способность выдерживать импульсное напряжение
Значение испытательного напряжения: 5 кВ (амплитудное).
6.3. Способность выдерживать напряжение короткого замыкания
ЭТН должен быть разработан и спроектирован так, чтобы без повреждения выдерживать в течение 60 с механические и тепловые воздействия от внешнего короткого замыкания на вторичных выводах при подаче номинального напряжения.
Производитель должен указать способ ограничения тока на выходе (при его наличии), например прямоугольного колебания переменного тока, амплитудное значение которого в 1,2 раза выше максимального.
Потребителю важно знать, что при ограничении тока на выходе применение предохранителей для устранения короткого замыкания не эффективно. Поэтому ЭТН должен выдерживать напряжение короткого замыкания в течение более длительного времени, чем необходимо для сгорания предохранителя.
| | ИС МЕГАНОРМ: примечание. В официальном тексте документа, видимо, допущена опечатка: пункт 8.10 отсутствует. | |
Производитель указывает время, требуемое для восстановления вторичного напряжения (в заданном классе точности) после устранения короткого замыкания (для уточнения дополнительных требований см.
8.9 и 8.10).
6.4. Границы повышения температуры
ЭТН должен быть разработан и сконструирован таким образом, чтобы выдерживать без повреждений и превышений установленных уровней температуры нагрева компонентов тепловые воздействия, вызванные:
- превышением максимальной температуры окружающей среды;
- изменением номинальной частоты;
- увеличением в 1,2 раза номинального первичного напряжения;
- превышением максимальной мощности рассеивания вторичного конвертера из-за увеличения напряжения электропитания и/или вторичной нагрузки.
6.4.2. Дополнительные требования
ЭТН должен быть разработан и сконструирован так, чтобы выдерживать без повреждений тепловые воздействия, вызванные условиями, описанными в
6.4.1, при коэффициенте перенапряжения и длительности, указанных в
таблице 3.
6.5. Требования к уровню наведенных радиопомех
Цель испытания - проверить эмиссию от коронных разрядов, создаваемых ЭТН. Основными источниками этих разрядов являются высоковольтные участки и частичные разряды на поверхности корпуса изолятора. Испытание имеет важное значение для ЭТН с Up >= 123 кВ.
Процедура испытания находится на рассмотрении.
6.6. Требования по устойчивости к перенапряжениям
Цель испытания - проконтролировать распространение перенапряжений, передаваемых от первичного ввода к вторичному выводу ЭТН или его электропитанию. Основным источником перенапряжений является коммутация высоковольтного оборудования.
Процедура испытания находится на рассмотрении.
6.7. Требования к электромагнитной совместимости (ЭМС)
ЭМС - это способность оборудования или системы нормально функционировать при условиях воздействия внешнего электромагнитного поля, без создания электромагнитных помех недопустимого уровня (IEV 161-01-07).
Чтобы оценить поведение ЭТН в электромагнитном окружении, необходимо установить соответствующие пределы эмиссии и устойчивости. Цель каждого испытания описана ниже.
Примечание. Дополнительно см.
B.5.2.
6.7.1. Требования к эмиссии
Помимо требований к пределам эмиссии от напряжений радиопомех (испытание на радиопомехи) и перенапряжения, для ЭТН должны быть соответственно испытаны пределы эмиссии, рассматриваемые в CISPR 11.
6.7.2. Требования к устойчивости
Перечень испытаний, приемлемых для ЭТН, для определенных классов безопасности и критерии их оценки даны в
таблице 9.
Другие испытания, которые могут представлять интерес, находятся на рассмотрении.
6.7.2.1. Гармонические и интергармонические помехи
Цель испытания - проверить устойчивость ЭТН к гармоническим и интергармоническим составляющим низковольтного электропитания ЭТН. Это испытание применимо только к ЭТН, использующим электропитание от источника напряжения переменного тока.
6.7.2.2. Медленное изменение напряжения электропитания
Цель испытания - проверить устойчивость ЭТН к медленным изменениям напряжения низковольтного электропитания.
Требование распространяется на электропитание от источников напряжения переменного или постоянного тока.
Требования к испытаниям на устойчивость
Условия испытания | Ссылка на стандарт | Класс безопасности | Критерий оценки |
Гармоники и интергармоники <1> | | 2 | А |
Медленное изменение напряжения электропитания <1> | МЭК 61000-4-11 | От +12% до -15% | А |
Медленное изменение напряжения электропитания <2> | | - | А |
Провалы напряжения и короткие замыкания <1> | МЭК 61000-4-11 | 30% для 0,02 с 100% для 0,1 с | А |
Провалы напряжения и короткие замыкания <2> | | 50% для 0,1 с 100% для 0,05 с | А |
Устойчивость к переходным процессам | МЭК 61000-4-5 | 4 | Б |
Быстрый электрический спад/выброс | МЭК 61000-4-4 | 4 | Б |
Устойчивость к колебательным волнам | МЭК 61000-4-12 | 3 | Б |
Электростатический разряд | МЭК 61000-4-2 | 2 | Б |
Устойчивость к магнитным полям промышленной частоты | МЭК 61000-4-8 | 5 | А |
Устойчивость к импульсным магнитным полям | МЭК 61000-4-9 | 5 | Б |
Устойчивость к колебательным магнитным полям | МЭК 61000-4-10 | 5 | Б |
Устойчивость к радиации, радиочастотным излучениям и электромагнитным полям | МЭК 61000-4-3 | 3 | А |
<1> Применимо только к ЭТН с источником электропитания переменного тока. |
<2> Применимо только к ЭТН с источником электропитания постоянного тока. |
Примечания 1 А - При рабочих условиях в пределах технических характеристик. 2 Б - Допускается временное ухудшение характеристик измерения или функционирования самодиагностики с последующим самовосстановлением. Не допускается перенапряжение выше 500 В и ухудшение функционирования защитных ЭТН. |
<*> Источники даны в разделе Библиография. |
6.7.2.3. Устойчивость к провалам напряжения и коротким замыканиям
Цель испытания - проверить устойчивость ЭТН к провалам напряжения или к его прерываниям, вызванным коротким замыканием низковольтного источника электропитания ЭТН. Это требование распространяется на источники электропитания переменного и постоянного тока.
6.7.2.4. Устойчивость к переходным процессам
Цель испытания - проверить устойчивость ЭТН к однонаправленным переходным процессам, вызванным перенапряжениями вследствие коммутации участков в силовой сети и разрядов молний (прямых или косвенных). Это испытание очень важно для сетей высокого напряжения и высоковольтных установок из-за большой вероятности близкого разряда молнии.
6.7.2.5. Устойчивость к быстрым нестационарным электрическим броскам (спадам/выбросам)
Цель испытания - проверить устойчивость ЭТН к электрическим броскам очень коротких нестационарных режимов, произведенным переключением малых индуктивных нагрузок, дребезгом контактов реле (кондуктивные помехи), переключением высоковольтной (в частности, элегазовой

или вакуумной) коммутационной аппаратуры (излучаемые помехи).
6.7.2.6. Устойчивость к колебательным волнам
Цель испытания - проверить устойчивость ЭТН к периодически повторяющимся затухающим колебательным волнам, возникающим в низковольтных цепях из-за процессов коммутации в сетях высокого напряжения или на высоковольтных подстанциях (в изоляторах высокого напряжения, на высоковольтных подстанциях с открытыми распределительными устройствами шинных переключателей); при нарушениях в работе с высоким напряжением; или при замыканиях в сетях высокого напряжения.
6.7.2.7. Устойчивость к электростатическим разрядам
Цель испытания - проверить устойчивость ЭТН к электростатическим разрядам (ЭСР), сгенерированным касанием одежды оператора (непосредственно или при помощи инструмента) к оборудованию или его окружению.
В целом это не имеет большого значения, потому что электронные части ЭТН находятся на открытом воздухе или в закрытом помещении и обычно расположены непосредственно на полу без синтетического ковра или мебели поблизости. Кроме того, в целях безопасности такие части обычно установлены в металлическом корпусе, имеющем надежное, хорошо контролируемое заземление цепи, поэтому вероятность возникновения ЭСР ничтожно мала.
6.7.2.8. Устойчивость к магнитным полям промышленной частоты
Цель испытания - проверить устойчивость ЭТН к воздействию магнитных полей промышленной частоты, возникающих вблизи силовых кабелей (проводов сети), трансформаторов и т.д. в нормальном или аварийном состоянии. Это испытание имеет большое значение вследствие возможной эксплуатации электронных частей ЭТН в непосредственной близости к силовым цепям.
6.7.2.9. Устойчивость к импульсным магнитным полям
Цель испытания - проверить устойчивость ЭТН к воздействию импульсных магнитных полей, сгенерированных ударами молнии в здания, металлические сооружения и системы заземления. Это испытание является важным для сетей высокого напряжения и высоковольтных установок вследствие повышенной вероятности подверженности ударам молнии.
6.7.2.10. Устойчивость к колебательным магнитным полям
Цель испытания - проверить устойчивость ЭТН к колебательным магнитным полям, сгенерированным переключением высокого напряжения. Это испытание является важным для определения возможности использования электронного оборудования на высоковольтных подстанциях.
6.7.2.11. Устойчивость к радиочастотному электромагнитному полю
Цель испытания - проверить устойчивость ЭТН к электромагнитным полям, сгенерированным радиопередатчиками или другими устройствами, излучающими радиочастотную электромагнитную энергию. Важным фактором является проверка возможности использования в непосредственной близости от высоковольтных установок портативных радиостанций и мобильных телефонов.
6.8. Требования к надежности
Требования к надежности ЭТН сравнимы с требованиями для аналогичных электронных компонентов на подстанциях. Надежность ЭТН должна быть также рассмотрена.
6.9. Устойчивость к аварийному режиму работы
В зависимости от используемой технологии испытание на устойчивость к короткому замыканию и перегреву применимо только к вторичному конвертеру.
Примечание. Предполагается, что датчик первичного напряжения и другие части ЭТН, за исключением вторичного конвертера, должны соответствовать только требованиям рабочих условий применения, если нет других указаний.
6.10. Сигнализация об аварийном режиме работы
Чтобы избежать ложных отключений защитных реле, ЭТН должен вырабатывать дополнительные сигналы индикации, которые могут быть использованы в случае возникновения:
- короткого замыкания во вторичной цепи;
- внутренней неполадки, обнаруженной при выполнении самодиагностики;
- прерывания или провала напряжения электропитания.
Сигнал индикации должен быть получен за время меньше чем 4 мс.
6.11. Требования к механической прочности
Эти требования применяются только к ЭТН с предельным напряжением для оборудования Up = 72,5 кВ и выше.
В
таблице 10 даны рекомендации относительно статических нагрузок, к которым должны быть устойчивы ЭТН, в том числе нагрузки от ветра и льда.
Указанные испытательные нагрузки прикладываются в любом направлении к первичным вводам.
При установке ЭТН в закрытом распределительном устройстве, где используется дополнительное электрическое коммутационное оборудование, по соглашению между производителем и заказчиком может проводиться испытание на виброустойчивость.
Испытание на устойчивость к статическим нагрузкам
Значение наивысшего рабочего напряжения Up, кВ | Устойчивость к статическим нагрузкам  , N |
ЭТН с вводами |
напряжения | проходными токовыми |
нагрузка класс 1 | нагрузка класс 2 |
От 72,5 до 100 | 500 | 1250 | 2500 |
От 123 до 170 | 1000 | 2000 | 3000 |
От 245 до 362 | 1250 | 2500 | 4000 |
>= 420 | 1500 | 4000 | 5000 |
Примечания 1 Сумма нагрузок, действующих в обычных рабочих условиях эксплуатации, не должна превышать 50% испытательных. 2 В некоторых случаях ЭТН с проходными токовыми вводами должны выдерживать редко встречающиеся экстремальные динамические нагрузки (например, короткие замыкания), которые могут превышать в 1,4 раза статическую. 3 Для ряда применений возможна необходимость определения сопротивления кручению первичных вводов. Величина прикладываемого крутящего момента при испытании должна быть согласована между производителем и заказчиком. |
6.12. Выводы заземления
6.12.1. Заземление датчика первичного напряжения и первичного конвертера
Начиная с Up >= 1,2 кВ, все металлические части ЭТН (если имеются) должны быть обеспечены надежным заземлением с одним или более легко доступным винтовым зажимом для подключения к заземляющему проводнику, подходящему для указанных условий.
Диаметр винтов зажима заземления должен быть не менее 8 мм для Up < 36 кВ и не менее 12 мм - для Up >= 36 кВ.
6.12.2. Заземление вторичного конвертера
Начиная с Up >= 1,2 кВ, вторичные выводы вторичного конвертера ЭТН должны быть спроектированы таким образом, чтобы каждый из них мог быть заземлен альтернативно и независимо, не препятствуя подключению к вторичной цепи.
7. Классификация испытаний
Испытания, указанные в настоящем стандарте, классифицируются как типовые, приемо-сдаточные и специальные.
Испытания ЭТН проводятся для каждого типа трансформаторов, чтобы продемонстрировать их соответствие требованиям одной и той же спецификации без учета требований, предъявляемых при приемо-сдаточных испытаниях.
Примечание. По соглашению между производителем и заказчиком данные испытания могут считаться положительными и при незначительных отклонениях от спецификации, если имеются.
Тип испытаний:
a) грозовым импульсом (см.
8.1.2);
b) коммутационным импульсом (см.
8.1.3);
c) на влажность для ЭТН наружного исполнения (см.
8.2);
d) на проверку точности измерений (см.
8.3);
e) на устойчивость к аварийным режимам работы (см.
8.4);
f) на устойчивость к радиопомехам (см.
8.5);
g) на устойчивость к перенапряжениям (см.
8.6);
h) на электромагнитную совместимость: эмиссия (см.
8.7.1);
i) на электромагнитную совместимость: устойчивость (см.
8.7.2);
j) на устойчивость низковольтных компонентов к импульсным напряжениям (см.
8.8);
k) на устойчивость к переходным процессам при (см.
8.9):
1) коротком замыкании в первичной цепи (см.
8.9.1),
2) повторном включении в линии с остаточным зарядом (см.
8.9.2).
Типовые испытания диэлектрика на диэлектрическую прочность изоляции должны проводиться на таком же трансформаторе, но не подвергнутом другим испытаниям, если не указано иначе.
После выборочных типовых испытаний ЭТН в соответствии с
7.1 каждый из них должен быть подвергнут всем пунктам приемо-сдаточных испытаний в соответствии с
7.2.
7.2. Приемо-сдаточные испытания
Испытаниям подвергается каждый ЭТН.
Тип испытаний и проверок:
a) проверка маркировки на вводах и выводах (см.
9.1);
b) испытания на стойкость первичных вводов к повышенному напряжению промышленной частоты (см.
9.2);
c) измерение частичных разрядов (см.
9.2.4);
d) испытания на стойкость вторичных выводов к повышенному напряжению промышленной частоты (см.
9.3);
e) испытания на проверку точности измерений (см.
9.4).
Кроме испытаний на проверку точности измерений по
e), которые должны быть выполнены после испытаний по
b),
c) и
d), порядок и возможная комбинация других испытаний не регламентированы.
7.3. Специальные испытания
Испытания, отличные от типовых или приемо-сдаточных испытаний и согласованные между производителем и заказчиком, называются специальными.
Объем испытаний и проверок:
a) испытание электрической прочности изоляции первичных вводов срезанным грозовым импульсом (см.
10.1);
b) измерение емкости и тангенса угла диэлектрических потерь (см.
10.2);
c) испытания на механическую прочность (см.
10.3).
8.1. Испытания электрической прочности изоляции первичных вводов импульсным напряжением
8.1.1. Общие требования
Испытания импульсным напряжением должны проводиться в соответствии с МЭК 60060.
Испытания импульсным напряжением обычно проводятся при значениях пробного уровня и затем при значениях номинального уровня. Значения импульсного напряжения пробного уровня должны быть между 50% и 75% номинального испытательного. При испытаниях должно быть зарегистрировано и измерено пиковое значение импульса, а также форма волны импульсного напряжения.
Об отрицательном результате испытания изоляции может свидетельствовать изменение формы волны зарегистрированных параметров амплитуды и формы импульса при пробном или номинальном испытательном напряжении.
8.1.2. Испытание грозовым импульсом
Испытательное напряжение должно соответствовать значениям, данным в
таблицах 4,
5 и
6 (см.
6.1.1), в зависимости от предельного напряжения для оборудования и указанного уровня прочности изоляции.
Испытательное напряжение должно прикладываться между каждым из линейных вводов датчика первичного напряжения и землей.
Вывод заземления датчика первичного напряжения или непроверяемого первичного ввода (в случае незаземляемого ЭТН), корпус или оболочка (если имеются) должны быть соединены вместе и заземлены.
Для определения повреждений могут быть внесены изменения при подключении с целью регистрации дополнительных параметров.
В частности, пожеланию изготовителя:
- подключение к земле может быть сделано через подходящее токозаписывающее устройство;
- вторичные выводы могут быть соединены вместе и заземлены или подключены к подходящему устройству для записи волны напряжения, появляющейся на вторичном выводе напряжения во время испытания.
8.1.2.1. Испытание грозовым импульсом первичных вводов с Up < 300 кВ
Испытание должно проводиться как для положительной, так и для отрицательной полярности с приложением 15 последовательных импульсов в каждой полярности без поправки на атмосферные условия.
ЭТН считается выдержавшим испытание, если не обнаружено:
- электрического пробоя в "несамовосстанавливающейся" внутренней изоляции;
- поверхностных перекрытий в "несамовосстанавливающейся" внешней изоляции;
- более двух поверхностных пробоев для каждой полярности в "самовосстанавливающейся" внешней изоляции;
- других свидетельств повреждения в изоляции (например, изменений в форме волны зарегистрированных величин).
Для незаземляемых ЭТН на каждый линейный ввод приходится приблизительно половина всех импульсов поочередно с другим линейным вводом, подключаемым к земле.
Примечание. Прикладывание 15 положительных и 15 отрицательных импульсов указано для испытания внешней изоляции. Если испытания согласованы между производителем и заказчиком, то количество грозовых импульсов может быть уменьшено до трех в каждой полярности без поправки на атмосферные условия.
8.1.2.2. Испытание грозовым импульсом первичных вводов с Up >= 300 кВ
Испытание должно проводиться как для положительной, так и для отрицательной полярности с приложением серии из трех импульсов в каждой полярности без поправки на атмосферные условия.
ЭТН считается выдержавшим испытание, если:
- не возникает электрического пробоя;
- не обнаружено других свидетельств повреждения изоляции (например, изменений в форме волны зарегистрированных величин).
8.1.3. Испытание коммутационным импульсом
Испытательное напряжение должно соответствовать значениям, данным в
таблице 5 (см.
6.1.1), в зависимости от наивысшего рабочего напряжения для оборудования и указанного уровня прочности изоляции и применяться между каждым линейным вводом датчика первичного напряжения и землей. Контакт заземления первичного датчика напряжения или непроверяемого линейного ввода (в случае незаземляемого ЭТН), корпус или оболочка (если имеются) должны быть соединены вместе и заземлены.
Если требуется, то заземление можно осуществить через подходящее токозаписывающее устройство.
Низковольтные выводы могут быть соединены вместе и заземлены или незаземленные вторичные выводы могут оставаться свободными либо подключены к устройству с высоким входным импедансом для записи формы импульса напряжения, появляющегося на вторичных выводах напряжения во время испытания.
Испытание должно проводиться как для положительной, так и для отрицательной полярности импульсов напряжения. Должна быть приложена серия из 15 последовательных импульсов в каждой полярности с поправкой на атмосферные условия.
ЭТН для наружной установки должны подвергаться только испытанию на проверку электрической прочности изоляции под дождем. Испытание в сухом состоянии не требуется.
ЭТН считается выдержавшим испытание, если:
- не возникает электрического пробоя в "несамовосстанавливающейся" внутренней изоляции;
- не возникает поверхностных пробоев в "несамовосстанавливающейся" внешней изоляции;
- не происходит более двух поверхностных пробоев для каждой полярности в "самовосстанавливающейся" внешней изоляции;
- не обнаружено других доказательств повреждений в изоляции (например, изменений в форме зарегистрированных импульсов).
8.2. Испытание под дождем ЭТН наружного исполнения
Чтобы проверить внешнюю изоляцию, трансформаторы наружного исполнения должны быть подвергнуты испытаниям в условиях дождя. Процедура проводится в соответствии с МЭК 60060.
8.2.1. Первичные вводы напряжения с Up < 300 кВ
Испытание должно быть выполнено в соответствии с
11.2.2 при напряжении промышленной частоты с поправкой на атмосферные условия.
8.2.2. Первичные вводы напряжения с Up >= 300 кВ
Испытание должно быть выполнено при напряжении коммутационного импульса в соответствии с
8.1.3.
8.3. Испытания на проверку класса точности
8.3.1. Основные испытания на проверку класса точности
Для подтверждения соответствия
разделу 12 испытания должны проводиться для каждого значения напряжения, приведенного в
таблицах 13 и
14, при номинальной частоте, нагрузках, составляющих 25% и 100% номинального значения, и рабочей температуре окружающей среды, если не указано иначе.
Примечания. 1. Емкостный трансформатор напряжения: когда ЭТН образован емкостным делителем напряжения, последовательно соединенным с усилителем, то для этого делителя применяется стандарт МЭК 601106 (трансформаторы напряжения емкостные), а настоящий стандарт распространяется только на электронную часть (усилитель).
2. Испытание может проводиться с использованием подключенного между эталонным трансформатором и дифференциальным усилителем устройства задержки. Время задержки этого устройства должно быть обозначено на табличке технических данных.
8.3.2. Испытание на проверку класса точности в диапазоне рабочих температур
В дополнение к испытаниям согласно
8.3.1 испытание на проверку класса точности необходимо выполнять в двух крайних точках температурного диапазона при номинальной частоте, номинальном напряжении и 100%-ном значении номинальной нагрузки.
Во время испытаний следует обращать внимание на тепловой коэффициент.
Примечание. Время, необходимое для стабилизации температуры трансформатора, зависит от его размера и конструкции.
Испытания ЭТН, частично расположенного в закрытом помещении и частично на открытом воздухе, должны проводиться отдельно для наружных и отдельно для внутренних частей при двух крайних значениях соответствующих температурных диапазонов на основе следующих правил:
- максимальная температура для частей ЭТН, используемых в закрытых помещениях, должна соответствовать максимальной температуре для трансформаторов, применяемых в закрытых помещениях;
- минимальная температура для частей ЭТН, используемых на открытом воздухе, должна соответствовать минимальной температуре для трансформаторов, применяемых на открытом воздухе.
В диапазоне рабочих температур погрешность должна быть в пределах соответствующего класса точности.
8.3.3. Испытание на проверку класса точности в зависимости от изменения частоты
В дополнение к испытаниям согласно
8.3.1 данное испытание должно проводиться в двух крайних точках стандартного диапазона частоты
(5.5.1) при номинальном напряжении и фактической лабораторной температуре на заводе-изготовителе, а также при 100%-ной номинальной нагрузке.
Достаточными считаются измерения при помощи эталонной измерительной системы, откалиброванной при номинальной частоте.
Фактические значения частоты испытательного напряжения и температуры при испытании должны быть включены в отчет об испытании.
8.3.4. Испытание на проверку класса точности в зависимости от замены компонентов
Способность ЭТН обеспечивать класс точности при замене части его компонентов необходимо подтвердить испытанием на точность при фактической лабораторной температуре, номинальной частоте, номинальном напряжении и 100%-ной номинальной нагрузке.
8.4. Испытания на устойчивость к климатическим воздействиям вне пределов рабочих условий эксплуатации
Испытания согласно
8.4.1 и
8.4.2 для подтверждения соответствия ЭТН требованиям
6.9 могут быть проведены только для одного вторичного конвертера.
Если ЭТН имеет более одного вторичного конвертера, то испытание должно быть выполнено на каждом из них.
ЭТН считается прошедшим испытание, если после охлаждения до температуры окружающей среды:
a) нет явных повреждений;
b) погрешности не отличаются от зарегистрированных перед испытаниями более чем на половину пределов погрешности его класса точности.
8.4.1. Испытание на устойчивость ЭТН к коротким замыканиям
Испытание проводится, чтобы подтвердить соответствие с
6.3.
Для проведения этого испытания ЭТН должен первоначально находиться в диапазоне температур от 10 °C до 30 °C.
Напряжение подается на первичные вводы ЭТН, а его вторичные выводы должны быть закорочены.
Выполняется одно короткое замыкание продолжительностью 1 мин.
Примечание. Это требование относится также к плавким предохранителям, если они являются составными частями ЭТН.
Во время короткого замыкания первичного напряжения напряжение на входе вторичного конвертера должно быть эквивалентно среднеквадратическому значению и не ниже номинального.
8.4.2. Испытание на устойчивость к перегреву
Испытание проводится, чтобы подтвердить соответствие
6.4.
Условия, создаваемые на входе вторичного конвертера, должны быть эквивалентны условиям на выходе первичного преобразователя при номинальном значении первичного напряжения, описанном в
6.4.
Испытание должно продолжаться до тепловой стабилизации согласно
6.4.1 и
6.4.2.
8.5. Испытание на влияние радиопомех
Процедура находится на рассмотрении.
8.6. Испытание на устойчивость к передаваемым помехам от перенапряжений
Процедура находится на рассмотрении.
8.7. Испытания на электромагнитную совместимость (ЭМС)
Испытания проводятся, чтобы подтвердить соответствие
6.7.
В большинстве случаев ЭТН может быть разделен на несколько основных частей, например расположенных в щитах управления и в области коммутационной аппаратуры. Испытания на ЭМС, соответствующие применяемой технологии, могут быть проведены для каждой из основных частей отдельно, на работающем ЭТН в целом или смоделированных частях.
Основные части ЭТН в сборе показаны на
рисунке 4.
8.7.1. Испытание на устойчивость к электромагнитной эмиссии
Испытание на устойчивость к электромагнитной эмиссии должно проводиться в соответствии с CISPR 11.
Испытательными пределами являются данные группы 1, класса А.
Более предпочтительно выполнять испытание при полной сборке ЭТН, но для простоты и в случае, если некоторые части не содержат электронных компонентов, оно может быть выполнено на оставшихся частях сборки.
а - высоковольтная линия;
б - экран;
в - заземляющий электрод;
г - сигнальный порт;
д - управляющий порт;
е - коммуникационный порт;
ж - канал эмиссии переменного тока;
з - канал эмиссии постоянного тока;
Части сборки 1 - "наружная часть" в зоне распределительного устройства;
Части сборки 2 - "внутренняя часть" в зоне ячейки распределительного устройства.
Рисунок 4. Части ЭТН, проверяемые на устойчивость
к электромагнитной эмиссии
8.7.2. Испытания на устойчивость к электромагнитным помехам
Испытание должно быть проведено последовательно на основных портах, идентификация которых приведена на
рисунке 4.
8.7.2.1. Испытание на устойчивость к гармоническим и интергармоническим помехам
Данная испытательная процедура находится на рассмотрении
[1]. Безопасный уровень соответствует классу 2 (полное гармоническое искажение 10%). Критерий оценки дан в
таблице 9.
8.7.2.2. Испытание на устойчивость к медленному изменению напряжения электропитания
Испытание должно проводиться согласно МЭК 61000-4-11 для электропитания напряжением переменного тока. Изменение напряжения составляет от +12 до -15% номинального значения.
Испытательная процедура для электропитания напряжением постоянного тока находится на рассмотрении.
8.7.2.3. Испытание на устойчивость к провалам и коротким прерываниям напряжения
Испытание должно быть выполнено согласно МЭК 61000-4-11 для электропитания напряжением переменного тока и МЭК 61000-4-29
[2] для электропитания напряжением постоянного тока:
a) провалы напряжения в процессе короткого прерывания должны составлять 30% номинального значения напряжения электропитания переменного тока в течение 0,02 с. Длительность испытания на короткое прерывание для электропитания переменного тока 0,1 с;
b) длительность испытания на провалы напряжения 50%-ного номинального напряжения электропитания постоянного тока составляет 0,1 с, длительность испытания на короткое прерывание для электропитания постоянного тока 0,05 с;
8.7.2.4. Испытание на устойчивость к импульсам напряжения
Испытание должно быть выполнено согласно МЭК 61000-4-5. Испытательный генератор представляет собой комбинированный волновой генератор (см. 6.1 МЭК 61000-4-5) со стандартизованной формой грозовой волны 1,2/50 (открытая цепь) и 10/20 мкс (короткое замыкание). Испытательный уровень импульсных напряжений соответствует классу 4 (4 кВ - в обычном и 2 кВ - в дифференциальном режиме).
8.7.2.5. Испытание на устойчивость к быстрым переходным электрическим процессам
Испытание должно быть выполнено согласно МЭК 61000-4-4 при уровне напряжений в соответствии с классом 4 (4 кВ - в диапазоне повторения 2,5 кГц на порт электропитания и 2 кВ - в диапазоне повторения 5 кГц на вводе/выводе сигнала данных и портов управления в обычном режиме). Испытание должно быть проведено с использованием зажимов на портах электропитания и токовых клещей на портах связи и на вводе/выводе данных.
8.7.2.6. Испытание на устойчивость к колебательным волнам
Испытание должно быть выполнено согласно МЭК 61000-4-12. Используют испытательный генератор с затухающей колебательной волной (см. 6.1.2 МЭК 61000-4-12). Испытательное напряжение для порта электропитания и сигнально-контрольной линии должно составлять 2,5 кВ в обычном режиме и 1 кВ - в дифференциальном режиме (см. МЭК 60255-22-1). Испытательная частота - 1 МГц при частоте повторения 400/с (см. МЭК 60255-22-1).
8.7.2.7. Испытание на устойчивость к электростатическому разряду
Испытание должно быть выполнено согласно МЭК 61000-4-2 при напряжении в соответствии с классом 2 (4 кВ), обеспечивающем защиту в антистатическом окружении, и относительной влажности менее 10% (см. A.4 в МЭК 61000-4-2).
8.7.2.8. Испытание на устойчивость к электромагнитным полям промышленной частоты
Испытание должно быть выполнено согласно МЭК 61000-4-8 при напряженности электромагнитного поля, соответствующей классу 5 (100 А/м в стабильном состоянии и 1000 А/м x 1").
8.7.2.9. Испытание на устойчивость к импульсным магнитным полям
Испытание должно быть выполнено согласно МЭК 61000-4-9 при напряженности импульсного магнитного поля, соответствующей классу 5 (пиковое значение 1000 А/м).
8.7.2.10. Испытание на устойчивость к затухающим колебаниям магнитного поля
Испытание должно быть выполнено согласно МЭК 61000-4-10 при напряженности затухающих колебаний магнитного поля, соответствующей классу 5 (испытательное поле 100 А/м).
8.7.2.11. Испытание на устойчивость к излучаемым радиочастотным электромагнитным полям
Испытание должно быть выполнено согласно МЭК 61000-4-3 при силе электромагнитного поля, соответствующей классу 3 (сила поля 10 В/м).
8.8. Испытание на устойчивость низковольтных компонентов к импульсным напряжениям
Испытание должно проводиться с целью подтверждения соответствия
6.2.2 с использованием генератора со следующими характеристиками:
a) форма волны импульса соответствует стандартизованному грозовому импульсу 1,2/50 мкс (см. МЭК 60060) с допустимыми отклонениями:
1) сопротивление импульсного генератора на выходе:

;
2) энергия импульса: 0,5 Дж +/- 10%;
b) импульсное напряжение в соответствии с
8.2 подается на выводы испытательной цепи с подключенным к ним ЭТН;
c) стабильность напряжения: 0 - 10%;
d) рекомендованная стандартная цепь импульсного генератора представлена на рисунке 11 в МЭК 60255-5;
e) длина испытательных кабелей: не более 2 м.
Три положительных и три отрицательных импульса применяются с интервалами не менее 5 с.
Импульсные напряжения прикладываются к соответствующим клеммам подключения цепи, остальные клеммы должны быть соединены вместе и заземлены.
Во время испытаний ЭТН не подключен к источнику питания.
После испытаний ЭТН должен соответствовать всем требованиям спецификации.
Примечание. Поверхностный пробой не обязательно является причиной неисправности, поскольку он может произойти, не вызывая повреждения.
Производитель должен определить, устранена или нет причина неисправности при условии выполнения других критериев (правил) приемки.
8.9. Испытания на устойчивость к переходным процессам
Примечание. Дополнительно см.
B.4.
8.9.1. Короткое замыкание в первичной цепи
Испытание должно быть проведено для подтверждения соответствия полностью укомплектованного ЭТН
13.6.2 при номинальном значении первичного напряжения и при 25% и 100% номинальной нагрузки созданием короткого замыкания между высокопотенциальным и низкопотенциальным (заземляемым) вводами.
Нагрузка во вторичной цепи при данном испытании может быть последовательной или последовательно-параллельной.
Диаграммы цепи и значения компонентов обеих нагрузок даны в
Приложении A.
При наличии емкостной нагрузки (из-за емкости кабеля) они должны быть проверены отдельно (см.
B.4 для упрощенного метода испытаний).
Примечание. При согласовании между производителем и заказчиком данный пункт можно заменить эквивалентным испытанием.
Испытание выполняется 10 раз в случайном порядке или дважды при пиковом значении первичного напряжения и дважды при его проходе через ноль. В последнем случае фазовый угол первичного напряжения не должен быть смещен более чем на +/- 20° от пикового и нулевого проходов.
8.9.2. Повторное включение на линии с заряженным потенциалом
Испытание (если применимо) должно проводиться для подтверждения соответствия 13.6.3 и выполняться на цепи, указанной в
B.4. Пределы класса точности даны в
таблице 15.
Нагрузка при испытании должна составлять 25% ее номинального значения.
9. Приемо-сдаточные испытания
9.1. Проверка маркировки вводов и выводов
Должно быть проверено соответствие маркировки требованиям технической документации (см.
11.2).
9.2. Испытание на устойчивость первичных вводов к повышенному переменному напряжению промышленной частоты и на проверку уровня частичных разрядов
9.2.1. Общие положения
Испытание на устойчивость первичных вводов ЭТН к повышенному переменному напряжению промышленной частоты проводится в соответствии с МЭК 60060-1.
Продолжительность испытания составляет 60 с.
9.2.2. Первичные вводы напряжения с Up < 300 кВ
Испытательные напряжения на первичных вводах с Up < 300 кВ должны соответствовать значениям, данным в
таблице 4 (см.
6.1.1).
9.2.2.1. Незаземляемые ЭТН
Незаземляемые ЭТН должны подвергаться следующему испытанию: напряжение прикладывается между землей и всеми вводами первичного напряжения, соединенными вместе. Корпус, оболочка и все низковольтные выводы должны быть соединены вместе и заземлены.
Заземляемые ЭТН должны быть подвергнуты следующему испытанию: напряжение, соответствующее значению, указанному в
6.1.2.2, прикладывается между вводом первичного напряжения, предназначенного для заземления, и землей.
9.2.3. Первичные вводы напряжения с Up > 300 кВ
ЭТН должен быть подвергнут следующему испытанию: при напряжении, соответствующем значениям, указанным в
6.1.2.1, согласно
9.2.2.2.
9.2.4. Измерение уровня частичных разрядов
9.2.4.1. Испытательные цепи и аппаратура
Схема испытаний и используемая аппаратура должны соответствовать МЭК 60270. Некоторые примеры таких схем, предназначенных для испытаний индуктивных трансформаторов напряжения, показаны на рисунках 2 - 5 в МЭК 60044-2. Их применение допустимо и для испытаний ЭТН.
Используемое оборудование должно измерять уровень частичных разрядов q, выраженных в пикокулонах (пК); его калибровка должна быть выполнена в испытательной цепи (см. пример на рисунке 5 в МЭК 60044-2).
Широкополосные приборы могут иметь полосу пропускания не менее 100 кГц с верхним пределом частоты до 1,2 МГц.
Узкополосные приборы могут иметь частоту в диапазоне от 0,15 до 2 МГц (предпочтительные значения в пределах от 0,5 до 2 МГц), но, если возможно, измерение следует выполнять при частоте, дающей самую высокую чувствительность.
Чувствительность прибора должна позволять измерять уровни частичных разрядов в пределах 5 пК.
Примечания. 1. Помехи должны быть значительно ниже чувствительности прибора; импульсы, обусловленные внешним воздействием, игнорируются.
2. Для подавления внешних помех подходит сбалансированная испытательная схема (см. рисунок 4 в МЭК 60044-2). Применение только разделительного конденсатора для балансировки недостаточно для устранения внешних помех.
3. При использовании электронной обработки и восстановлении сигнала для уменьшения уровня фоновых шумов их параметры изменяются до степени, при которой можно обнаружить периодически возникающие импульсы.
9.2.4.2. Процедура испытаний для заземляемых ЭТН
После создания предварительного напряжения согласно процедурам A и B, описанным ниже, для измерения частичных разрядов к объекту прикладывается испытательное напряжение, значение которого представлено в
таблице 7, и измеряется в течение 30 с.
Уровень частичных разрядов не должен превышать пределов, указанных в
таблице 7.
Процедура A: Измерение уровня частичных разрядов проводится после испытаний на устойчивость первичных вводов ЭТН к повышенному напряжению промышленной частоты в момент снижения значения испытательного напряжения.
Процедура B: Измерение уровня частичных разрядов проводится после испытаний на устойчивость первичных вводов ЭТН к повышенному напряжению промышленной частоты. В этом случае напряжение увеличивается до 80% значения применяемого испытательного напряжения не быстрее, чем за 60 с, а затем уменьшается без прерывания процесса до указанных для измерения уровня частичных разрядов напряжений.
Если иначе не определено, выбор процедуры остается за производителем.
Методика применяемого испытания указывается в протоколе о поверке.
9.2.4.3. Процедура испытаний для незаземляемых ЭТН
Схема испытаний для незаземляемых ЭТН должна быть такой же, как и для заземляемых. Необходимо выполнить два испытания с приложением напряжений поочередно к каждому из высоковольтных вводов. При этом другой высоковольтный ввод должен быть подключен к низковольтному выводу, корпусу и оболочке (если имеются) (см. рисунки 2 - 4 в МЭК 60044-2).
9.3. Испытание на устойчивость низковольтных компонентов ЭТН к повышенному напряжению промышленной частоты
Испытания должны проводиться с соответствующими мерами предосторожности на сухих компонентах ЭТН при допустимых значениях температуры окружающей среды (без самонагревания компонентов) при напряжении промышленной частоты с синусоидальной формой волны и номинальной частоте (50 или 60 Гц). Необходимо принять во внимание импеданс источника испытательной цепи.
Напряжение не должно превышать заданного значения.
9.3.1. Места прикладывания испытательного напряжения
Испытательное напряжение прикладывается к точкам подключения ЭТН.
Каждую цепь испытывают при соответствующем напряжении относительно всех других цепей, соединенных вместе и подключенных к земле, для чего:
a) все точки подключения должны быть объединены в одну цепь;
b) цепи, предназначенные для заземления, должны быть соответствующим образом подключены.
9.3.2. Продолжительность испытаний
Продолжительность испытаний должна быть следующей:
a) типовых: 1 мин - при напряжении, указанном в
6.2.1;
b) приемо-сдаточных: 1 мин - при напряжении, указанном в
6.2.1, или 1 с - при том же напряжении, умноженном на коэффициент 1,1.
Выбор на усмотрение изготовителя.
9.4. Испытания на проверку класса точности
Приемо-сдаточные испытания на проверку класса точности соответствуют типовым испытаниям, описанным в
8.3.1. Однако при этом они могут проводиться и при меньшем количестве напряжений и/или нагрузок, если типовые испытания на аналогичном ЭТН продемонстрировали, что такое сокращенное число испытаний является достаточным, чтобы подтвердить соответствие
разделу 12.
10. Специальные испытания
10.1. Испытание первичных вводов напряжения срезанным грозовым импульсом
Во время испытания первичный датчик напряжения подключен к вторичному конвертеру (если имеется), а питание подается по схеме, согласованной между производителем и заказчиком.
Испытание может быть выполнено только для отрицательной полярности и объединено с испытанием полным грозовым импульсом нижеописанным способом.
Испытательное напряжение, как определено в МЭК 60060-1, должно соответствовать стандартизованному грозовому импульсу, срезанному между 2 и 5 мкс. Конструкция срезающей цепи должна обеспечивать колебания противоположной полярности зарегистрированного импульса, превышающие 30% пикового значения или приблизительно равные ему.
Испытательное напряжение полного стандартизованного грозового импульса должно иметь соответствующее значение, указанное в
таблице 4 или
5, в зависимости от предельного напряжения для оборудования и уровня изоляции.
Испытательное напряжение грозового импульса должно соответствовать
6.1.2.4.
Последовательность приложения импульсов должна быть следующей:
a) Вводы с Up < 300 кВ:
- один полный импульс;
- два срезанных импульса;
- 14 полных импульсов.
Для незаземляемых ЭТН к каждому вводу первичного напряжения должны быть приложены два срезанных импульса и приблизительно половина полных импульсов.
b) Вводы с Up >= 300 кВ:
- один полный импульс;
- два срезанных импульса;
- два полных импульса.
Различия в форме полного импульса, приложенного до и после срезанного, должны быть в пределах заданной погрешности.
Пробой от срезанных импульсов самовосстанавливающейся внешней изоляции не принимается в расчет при общей оценке ее качества.
10.2. Измерение емкости и тангенса угла диэлектрических потерь
Испытание должно быть выполнено в соответствии с
6.1.2.5 после испытания на устойчивость вводов первичного напряжения повышенным напряжением промышленной частоты.
Схема испытаний согласовывается между производителем и заказчиком - более предпочтителен мостовой метод.
Испытание проводится при рабочей температуре окружающей среды, значения которой должны быть зарегистрированы.
10.3. Испытания на механический разрыв
Испытания выполняются для проверки соответствия ЭТН требованиям, указанным в
6.11.
ЭТН должен быть полностью укомплектован, а корпус жестко закреплен, как для эксплуатации в рабочих условиях.
Заливаемые жидкостью ЭТН необходимо заполнить указанной изоляционной средой и подвергнуть эксплуатационному давлению.
Испытательные нагрузки должны применяться в течение 60 с для каждого из условий, обозначенных в
таблице 11.
ЭТН считается выдержавшим испытание, если нет признаков повреждений (деформации, разрыва или утечки).
Способы приложения испытательных нагрузок к линейным
первичным вводам
Тип ЭТН | Способ приложения |
К первичным вводам напряжения | Горизонтальный | |
Вертикальный | |
К высоковольтным вводам тока | Горизонтальный к каждому вводу | |
|
| Вертикальный к каждому вводу | |
Примечание - Испытательная нагрузка должна прикладываться к центру терминала. |
11.1. Требования к данным таблички с основными техническими характеристиками
Все ЭТН должны быть снабжены табличкой с основными техническими характеристиками, на которой приводят данные, указанные в таблице 12.
Надписи на табличке технических данных
Общая маркировка таблички с техническими данными |
Наименование | Обозначение | Измерительный ЭТН | Защитный ЭТН | Номер пункта | Примечание |
Электронный трансформатор напряжения (ЭТН) | | X | X | | |
Производитель | | X | X | | |
Обозначение типа | | X | X | | |
Серийный номер, год выпуска | | X | X | | |
Наибольшее рабочее напряжение (класс напряжения) | Up | X | X | 8.1 | 1 |
Номинальный уровень изоляции (класс изоляции) | | X | X | 8.1 | 1 |
Номинальная частота | | X | X | 3.1.17 | |
Номинальный коэффициент напряжения | | X | X | 7.3 | 2 |
Допустимое время перенапряжения | | X | X | 7.3 | 2 |
Вес | | X | X | | |
Табличка с техническими данными для каждого вторичного конвертера |
Наименование | Обозначение | Измерительный ЭТН | Защитный ЭТН | Номер пункта | Примечание |
Номинальное первичное напряжение/номинальное вторичное напряжение | | X | X | 7.1.1 7.1.2 | |
Маркировка контактов | | X | X | 13.2 | |
Номинальная нагрузка | | X | X | 7.2 | 3 |
Класс точности | | X | X | 14 | 3 |
Номинальный угол начального фазового сдвига | | X | X | 14 | 4 |
Номинальное время задержки | | X | X | 10.3.1 | 4 |
Табличка с техническими данными для напряжения электропитания |
Наименование | Обозначение | Измерительный ЭТН | Защитный ЭТН | Пункт или подпункт | Примечание |
Номинальное(ые) напряжение(ия) постоянного и/или переменного тока | | X | X | | 5 |
Номинальный ток электропотребления (при номинальных условиях) | | X | X | | |
Максимальный ток электропотребления (в условиях перегрузки) | | X | X | | |
(X = применимо) Примечания 1 Наибольшее рабочее напряжение (класс напряжения) для оборудования и номинальный уровень изоляции можно объединять в одной маркировочной надписи (например, 145/275/650 кВ). 2 Номинальный коэффициент напряжения и соответствующую допустимую продолжительность можно объединять в одной маркировочной надписи (например, 1,5/30 с). 3 Номинальную нагрузку и соответствующий класс точности можно объединять в одной маркировочной надписи (например, 0,5 ВА, класс 1). 4 Дополнительно см. B.5.1. 5 Значение номинального напряжения электропитания и его природу следует объединять в одной маркировке (например, 230 В переменного тока). |
11.2. Требования к маркировке
Маркировка распространяется на однофазные ЭТН и включающие их установки, собранные как одно целое и соединенные для применения как трехфазные.
Заглавные буквы A, B, C и N обозначают первичные вводы напряжения, а строчные a, b, c и n - соответствующие вторичные терминалы напряжения.
Буквы A, B и C обозначают полностью изолированные вводы, а N - предназначенный для заземления контакт, изоляция которого меньше, чем у потенциального(ых) ввода(ов).
Буквы da и dn обозначают, что вторичные выводы напряжения предназначены для получения информации об остаточном напряжении.
Если ЭТН имеет более одного вторичного конвертера, выводы должны быть маркированы как:
1a - 1n;
2a - 2n;
3a - 3n.
11.2.3. Относительная полярность
Вводы и выводы с соответствующими заглавными и строчными буквами должны иметь одинаковую полярность фаз.
11.2.4. Контакты заземления
11.2.4.1. Заземление первичного датчика напряжения и первичного конвертера
Контакты заземления должны быть отмечены символом "земля", как показано в МЭК 60617-1.
11.2.4.2. Заземление вторичного конвертера
Контакты заземления должны быть отмечены символом "земля", как обозначен символ N 02-15-01 в МЭК 60617-1.
12. Требования к классу точности однофазных измерительных
электронных трансформаторов напряжения
12.1. Общие требования
Погрешность напряжения (коэффициента масштабного преобразования напряжения) и угловая погрешность (угла фазового сдвига напряжения) не должны превышать значений, указанных в
таблице 13, для соответствующего класса точности при любых значениях температуры, частоты, нагрузки и напряжения электропитания в пределах рекомендуемых диапазонов (см.
5.5.1,
5.5.2,
5.5.3,
5.5.4).
Для ЭТН, имеющих несколько отдельных вторичных выводов напряжения, каждый из них вследствие возможной взаимозависимости должен соответствовать требованиям к точности при условиях, приведенных выше, в то время как другие аналогичные выводы могут иметь любую нагрузку от нуля до номинального значения.
Если один из этих вторичных выводов напряжения нагружен только в течение короткого периода времени, то его влияние на оставшийся(еся) вывод(ы) можно не учитывать. Погрешности на выводах ЭТН должны быть определены с учетом влияния любых плавких предохранителей или резисторов, являющихся его составными частями. Если один и тот же вторичный вывод используется для измерения и защитных целей, следует обозначить оба класса точности.
Смещение постоянной составляющей вторичного напряжения

не влияет на точность ЭТН, однако может воздействовать на характеристики вторичных цепей. Чтобы гарантировать их правильную работу, производитель должен определить максимальное смещение постоянной составляющей вторичного напряжения.
12.2. Требования к обслуживанию
Компоненты (составные части), которые можно заменить без калибровки, необходимо специально обозначить соответствующей маркировкой. Эта возможность должна быть подтверждена испытанием.
Остальные компоненты не могут быть заменены без соответствующей калибровки ЭТН в сборе.
12.3. Обозначение класса точности измерительных ЭТН
Класс точности определяется самой высокой допустимой погрешностью напряжения (в процентах) в диапазоне значений номинального напряжения и нагрузок, указанных в
5.5.3 для соответствующего класса точности.
12.4. Стандартные классы точности измерительных ЭТН
Стандартными классами точности ЭТН являются:
0,1 - 0,2 - 0,5 - 1 - 3
12.5. Пределы погрешности коэффициента масштабного преобразования напряжения и погрешности угла фазового сдвига напряжения ЭТН в зависимости от класса точности
Пределы погрешности коэффициента масштабного преобразования
напряжения и погрешности угла фазового сдвига напряжения
измерительных ЭТН в зависимости от класса точности
Класс точности |  , % | |
Минуты | Сантирадианы |
0,1 | +/- 0,1 | +/- 5 | +/- 0,15 |
0,2 | +/- 0,2 | +/- 10 | +/- 0,3 |
0,5 | +/- 0,5 | +/- 20 | +/- 0,6 |
1,0 | +/- 1,0 | +/- 40 | +/- 1,2 |
3,0 | +/- 3,0 | Не определено |
Примечания 1 Нормальным значением  должен быть 0. Если ЭТН используется в сочетании с другими ЭТН или ЭТТ, то необходимо указать конкретное общее значение. 2 Влияние времени задержки см. в B.5.1. |
Погрешности не должны превышать значений, данных в
таблице 13, при следующих условиях: частота - номинальное значение, напряжение - 80% ... 120% номинального значения, нагрузка - 25% ... 100% номинальной мощности и коэффициент мощности 0,8.
Погрешности могут определяться на выводах трансформатора и учитывать влияние предохранителей или резисторов как его составных частей.
13. Требования к классу точности однофазных защитных
электронных трансформаторов напряжения
13.1. Общие требования
Погрешность коэффициента масштабного преобразования напряжения и угла фазового сдвига не должна превышать значений, указанных в
таблицах 14 и
15 для соответствующего класса точности при указанных условиях, а также для любого значения температуры, частоты, нагрузки и напряжения электропитания в пределах указанных диапазонов (см.
5.5.1,
5.5.2,
5.5.3,
5.5.4).
Для защитных ЭТН, имеющих несколько отдельных вторичных выводов напряжения, каждый из них из-за возможной взаимозависимости должен соответствовать требованиям точности при условиях, указанных выше, в то время как другие аналогичные выводы могут иметь нагрузку от нуля до номинального значения.
Если один из этих вторичных выводов напряжения нагружен только в течение коротких периодов, его влиянием на другой вывод(ы) можно пренебречь. Погрешности на выводах ЭТН должны быть определены с учетом влияния предохранителей или резисторов, являющихся его составными частями. Если тот же вторичный вывод напряжения используется как для измерения, так и защитных целей, следует обозначить оба класса точности.
Смещение постоянной составляющей вторичного напряжения

не влияет на точность защитного ЭТН, однако может воздействовать на характеристики вторичных цепей. Чтобы гарантировать их правильную работу, производитель должен определить максимальное смещение постоянной составляющей вторичного напряжения.
13.2. Требования к обслуживанию
Компоненты (составные части), которые можно заменить без калибровки, необходимо специально обозначить соответствующей маркировкой. Эта возможность должна быть подтверждена испытанием.
13.3. Обозначение класса точности для защитных электронных трансформаторов напряжения
Класс точности определяется самой высокой допустимой погрешностью напряжения (в процентах) в диапазоне от 5% номинального до значения с учетом номинального коэффициента перенапряжения при стандартном диапазоне нагрузки, указанном в
5.5.3.
Установленный класс точности обозначается цифрой, сопровождаемой буквой "Р".
13.4. Стандартный класс точности для защитных электронных трансформаторов напряжения
Стандартные классы точности для защитных ЭТН - 3Р и 6Р и те же пределы для погрешности напряжения и угла фазового сдвига применимы как при 5% номинального напряжения, так и при его значении с учетом номинального коэффициента перенапряжения. При 2% номинального напряжения пределы погрешности вдвое выше, чем при 5%.
Когда защитные ЭТН имеют различные пределы погрешности при 5% номинального напряжения и максимальном напряжении (напряжение с учетом номинального коэффициента перенапряжения 1,2 или 1,5 или 1,9), то это должно быть согласовано между производителем и потребителем.
13.5. Пределы погрешности коэффициента масштабного преобразования напряжения и погрешности угла фазового сдвига напряжения защитных электронных трансформаторов напряжения в зависимости от класса точности
Пределы погрешности коэффициента масштабного
преобразования напряжения и погрешности угла фазового сдвига
защитных ЭТН в зависимости от класса точности
Класс точности |  , % |
2 | 5 | |
 , % |  , мин |  , срад |  , % |  , мин |  , срад |  , % |  , мин |  , срад |
3Р | +/- 6 | +/- 240 | +/- 7 | +/- 3 | +/- 120 | +/- 3,5 | +/- 3 | +/- 120 | +/- 3,5 |
6Р | +/- 12 | +/- 480 | +/- 14 | +/- 6 | +/- 240 | +/- 7 | +/- 6 | +/- 240 | +/- 7 |
<1> x - номинальный коэффициент напряжения, умноженный на 100. |
Примечания 1 Нормальным значением  должен быть 0. Если ЭТН используется в сочетании с другими ЭТН или ЭТТ, то необходимо указать конкретное общее значение. 2 Влияние времени задержки показано в B.5.1 Приложения B. |
13.6. Требования к переходной характеристике
13.6.1. Общие положения
Требования к переходной характеристике находятся на рассмотрении. Дополнительные объяснения даны в
B.4 и
B.5.1 (Приложение B).
13.6.2. Короткое замыкание в первичной цепи
После прекращения короткого замыкания первичной цепи между высоковольтным вводом и низковольтным выводом, связанным с землей, переходной процесс вторичного выходного напряжения должен иметь затухание переходной характеристики в пределах одного цикла номинальной частоты до значения, отличающегося не более чем на 10% от максимального значения напряжения, установленного перед коротким замыканием.
Примечание. Переходная и амплитудно-частотная характеристики ЭТН должны быть гармонизированы с аналогичными для ЭТТ. Этот пункт стандарта будет в ближайшее время пересмотрен.
13.6.3. Обрыв линии
При обрыве линии образуется остаточный заряд, который присутствует во вторичном напряжении как компонент

(см.
2.2.4) и должен достаточно быстро снизиться до нуля, чтобы предотвратить насыщение входных трансформаторов и подключенного оборудования. Постоянная времени должна быть заявлена производителем.
13.6.4. Повторное включение на линии при наличии в ней остаточного заряда
При коротком замыкании на землю одной из фаз и отключении линии в момент значения первичного напряжения в сети

на линии аккумулируется заряд потенциала определенного знака. При повторном замыкании выключателя линии в момент, когда

при знаке, противоположном остаточному заряду, переходные процессы описываются следующими выражениями (см.
2.1.29):
- для t <= 0

;
- для t > 0

.
Погрешность коэффициента масштабного преобразования напряжения ЭТН при номинальной частоте в указанных условиях не должна превышать значений, данных в таблице 15, где f · t - производное от частоты f и времени t, отражающее число периодов, при которых определяется точность.
Пределы мгновенной погрешности для защитного ЭТН
при повторном включении напряжения переменного тока в цепи
с остаточным зарядом напряжения постоянного тока
Комментарий | | |  для t <= 0 | |  , % |
2 < f · t <= 3 | 3 < f · t <= 4,5 |
Линия заряжения потенциалов с  (повторное включение при одинаковой полярности) | 1 | 1 | | | | |
То же при противоположной полярности | 1 | 1 | | | | |
<*> При согласовании между производителем и заказчиком могут быть приняты другие значения. |
(обязательное)
НАГРУЗКИ ПРИ ОПРЕДЕЛЕНИИ ПАРАМЕТРОВ ПЕРЕХОДНЫХ
ХАРАКТЕРИСТИК ЭЛЕКТРОННЫХ ТРАНСФОРМАТОРОВ НАПРЯЖЕНИЯ
В СЛУЧАЕ КОРОТКОГО ЗАМЫКАНИЯ ПЕРВИЧНОЙ ЦЕПИ
A.1. Индуктивные нагрузки
Схемы цепей для двух возможных нагрузок представлены на рисунке A.1, а соответствующие значения их компонентов - в
таблице A.1.
a) последовательная нагрузка
b) последовательно-параллельная нагрузка
Рисунок A.1. Схемы цепей индуктивной нагрузки
при определении параметров переходных характеристик
Таблица A.1
Значения сопротивления и индуктивности
последовательных и последовательно-параллельных нагрузок
при определении параметров переходных характеристик
| Последовательная нагрузка | Последовательно-параллельная нагрузка |
| R | | | | |
100% от  | | | | | |
25% от  | | | | | |
 - номинальная нагрузка в вольт-амперах.  - номинальное вторичное напряжение в вольтах  (  в омах). |
Примечания 1 Полная нагрузка, заданная приведенными значениями, имеет коэффициент мощности 0,8. 2 Индуктивное сопротивление ЭТН (например, с воздушным сердечником) должно быть линейным. Последовательное сопротивление состоит из эквивалентных последовательных сопротивлений: индуктивного (сопротивление обмотки плюс эквивалентное последовательное сопротивление потерь в сердечнике) и подключенного. 3 Погрешность нагрузки должна быть менее +/- 5% для  и менее +/- 0,03 - для коэффициента мощности. |
A.2. Емкостные нагрузки
Схема цепи емкостной нагрузки представлена на рисунке A.2, а значения ее соответствующих компонентов - в
таблице A.2.
Рисунок A.2. Схема цепи емкостной нагрузки при определении
параметров переходных характеристик
Таблица A.2
Значение сопротивления и емкости нагрузки при определении
параметров переходных характеристик
| Емкостная нагрузка для испытания переходных характеристик |
R | C |
100% от  | | |
25% от  | | |
 - номинальная нагрузка в вольт-амперах; |
 - номинальное вторичное напряжение в вольтах; |
 (  в омах). |
Примечание - Значение  должно определяться заказчиком. |
(информативное)
B.1. Введение
В ЭТН могут использоваться емкостные и резистивно-емкостные делители напряжения и/или оптические устройства, укомплектованные электронными компонентами для передачи и усиления измеренных сигналов.
Приложение дает необходимую информацию о работе в установившемся и переходном режимах эксплуатации.
Для этого полезно создать модель ЭТН, которая упростит рассмотрение теоретических вопросов.
Первичное и вторичное напряжения могут быть описаны следующими уравнениями:

;

,
где

- среднеквадратическое значение первичного напряжения при

и

;

- среднеквадратическое значение вторичного напряжения при

и

;
f - фундаментальная частота сети;

- значение составляющей напряжения постоянного тока в первичной цепи, обусловленное остаточными зарядами (В);

- значение составляющей напряжения постоянного тока во вторичной цепи, вызванное

и/или внутренним напряжением смещения ЭТН (В);

- первичное фазовое смещение в радианах;

- вторичное фазовое смещение в радианах;

- первичное напряжение нулевой последовательности, включая гармоники и субгармоники;

- вторичное напряжение нулевой последовательности, включая гармоники и субгармоники;
t - мгновенное значение времени в секундах.
f,

,

,

,

,

,

- постоянные величины для установившихся условий.
Для совмещенных ЭТН для измерения и защиты должны быть проведены корректные измерения указанных составляющих при частоте f.
Другие члены представленных выше уравнений описывают нежелательные явления в сети, которые могут влиять на погрешность измеренного сигнала.
B.2.2. Нормальные условия в сети
При нормальных условиях в сети первичное напряжение

и частота f остаются в пределах установленных ограничений за счет работы системы регулирования в сети, например:

;

.
При нормальных условиях в сети ЭТН, спроектированные для измерения, находят широкое применение в сочетании с токовыми трансформаторами.
B.2.3. Аварийный режим работы в сети
Вследствие аварий в сети (описанных в
B.4.1.1) первичное напряжение

и частота f могут значительно отличаться от номинальных значений.
ЭТН, используемые для измерения, должны выдерживать эти ситуации без повреждения, но их класс точности в этом случае не определен настоящим стандартом и может быть предметом соглашения между производителем и заказчиком.
ЭТН, используемые для защиты, предназначены для корректной передачи сигнала при нормальных условиях и аварийных режимах, чтобы обеспечить срабатывание защитного реле при любой критической ситуации в сети.
B.2.4. Выбор номинальных значений вторичного напряжения
Как правило, электронное оборудование питается от биполярного источника напряжения +/- 12 или +/- 15 В, что позволяет получать на выходе максимальные значения выходного сигнала +/- 10 В практически со стопроцентной линейностью. Номинальные значения вторичного напряжения ЭТН должны быть выбраны таким образом, чтобы максимальные значения оставались в пределах данного диапазона.
Например:
С учетом коэффициента напряжения

и коэффициента, отражающего напряжение смещения, вызванного остаточными зарядами,

и при номинальном значении

(среднеквадратическом) для заземляемых ЭТН максимальное значение вторичного напряжения равно:

(пиковое).
B.3. Установившееся состояние
В установившемся состоянии значение составляющей смещения постоянного напряжения остается неизменным:

;

;

;

.
B.4.1. Теоретические выкладки
Многие процессы в электрических сетях за пределами нормальных условий эксплуатации должны быть учтены при проектировании высоковольтного оборудования. Например, от некоторых из них напрямую зависит конструкция изоляции или требования к передаче сигнала. Ниже представлены наиболее важные явления в сети, которые необходимо учитывать.
a) Длительное перенапряжение в сетях
В зависимости от удаленности участков сети от мощных источников электроснабжения может происходить длительное повышение уровня напряжения по сравнению с номинальным значением. Перенапряжение выражается коэффициентом, на который должно быть помножено номинальное напряжение.
Как правило, значение коэффициента длительного перенапряжения принимают равным 1,2.
b) Короткое замыкание на землю в трехфазной сети с незаземленной нейтралью
Короткое замыкание на землю одной фазы в трехфазной сети с незаземленной нейтралью ведет к перенапряжениям на двух незатронутых фазах. Теоретически коэффициент перенапряжения на этой фазе равен квадратному корню из 3. Однако этот коэффициент зависит от расстояния ЭТН до точки короткого замыкания на землю сети. Замыкание на землю может продолжаться до нескольких часов (или даже дней) для некоторых участков сети, труднодоступных зимой.
Обычное значение коэффициента временного перенапряжения - 1,9 для 8 ч.
c) Атмосферные разряды на высоковольтных линиях электропередач
Молнии вызывают высокую степень перенапряжения в высоковольтном оборудовании, которое может достигать уровня мегавольт. К счастью, продолжительность такого перенапряжения обычно длится несколько микросекунд и сопровождается импульсом электроэнергии в оборудовании с временем нарастания фронта 1 мкс, что ведет к созданию напряжения частотой в несколько мегагерц и опасно для всей изоляции вследствие наличия паразитных емкостей.
Наихудший эффект от этого явления наблюдается в участках сети с переходом от одного значения внутреннего сопротивления к другому, например от линии электропередачи к силовому трансформатору, когда волновое сопротивление линии намного меньше, чем сопротивление трансформатора. В таких случаях отраженная волна может быть вдвое больше начального значения напряжения.
Такие перенапряжения часто ведут к кратковременным прерываниям напряжения в сети с образованием искрового промежутка, действующего как ограничивающее устройство. Система защиты распознает возникновение дуги как короткое замыкание на землю и активизирует прерыватель (автоматический выключатель) сети. Этого обычно достаточно, чтобы устранить появление дуги, затем автоматический выключатель повторно включается.
d) Коммутационные процессы
Другие явления вызваны коммутационными действиями в высоковольтных сетях. Это может привести к паразитному резонансу с переходными перенапряжениями, которые имеют частоты, отличные от номинальной частоты сети в диапазоне от нескольких килогерц до мегагерца в подстанциях с газовой изоляцией (GIS) и главным образом определяемые фактической конфигурацией сети.
Кроме того, образование дуги в выключателях также ведет к переходным эффектам с перенапряжениями. Как включение, так и выключение небольших индуктивных потоков может вызвать перенапряжения, обусловленные резонансом между нелинейными компонентами и емкостями.
Другие явления в сети описаны ниже в
B.4.1.2.
B.4.1.2. Типы переходных процессов
Многие типы переходных процессов, возникающих вследствие перенапряжений и коммутационных действий, описаны в
B.4.1.1.
В качестве средств защиты от перенапряжений применяется множество различных устройств, таких как искровые разрядники и варисторы. С одной стороны, они необходимы для защиты сети и ее компонентов, с другой, могут также привести к переходным процессам, к которым электроника должна быть устойчива. Очень важно, чтобы ЭТН, предназначенные для точной передачи сигнала, были разработаны с учетом таких процессов в сети. Следовательно, требования к измерительным ЭТН должны предусматривать высокочастотные характеристики, в частности до нескольких килогерц.
Другие переходные процессы включают в себя внезапные изменения первичного напряжения вследствие короткого замыкания непосредственно на измеряемую фазу или на землю, или на одну из соседних фаз, как описано в
B.4.1.1. Эти процессы, происходящие в пределах времени в несколько миллисекунд, ЭТН должен воспроизводить с соответствующей точностью.
Проблема переходных процессов, происходящих в сети, наиболее важна для ЭТН с емкостным делителем в качестве датчика высокого напряжения, поскольку он становится объектом образования эффекта остаточного заряда.
Во время размыкания линии или кабеля под напряжением в ЭТН, в том числе и на емкостном делителе, может остаться заряженный потенциал. Если линия не заземлена или не разряжается подключенным к ней низкоимпедансным устройством, заряд может сохраняться в течение нескольких дней.
Смысл явления проще понять с помощью
рисунка B.1. Уровень зарядного потенциала зависит от фазы напряжения в момент отключения. Наихудший случай при пиковом значении напряжения

, означающем, что первичный конденсатор делителя

заряжен (сохраняя заряд

), а вторичный

разряжен параллельным резистором

, подключенным к устройству.
Когда линия включена снова, низковольтное внутреннее сопротивление сети разряжает ее мгновенно, что вынуждает заряд от

перетекать к

. Таким образом,

будет заряжаться при условии:

,
что приблизительно равно

.
Это напряжение уменьшается в геометрической прогрессии (по экспоненте) с постоянной времени

, наложенной на синусоидальный сигнал, что в результате приводит к существенной ошибке измерения (см.
рисунок B.2).
Наихудший эффект от этого апериодического процесса - магнитное насыщение сердечников, встроенных непосредственно в ЭТН или в подключенные к нему защитные реле.
Решение этой проблемы - использование смешанного резистивно-емкостного делителя, передающего неискаженный сигнал в течение переходного процесса.

- емкость линии
Рисунок B.1. Схематическая диаграмма, объясняющая эффект
остаточного заряда
Примечания. 1.

- напряжение на первичных вводах.
2.

- напряжение на вторичных выводах.
Рисунок B.2. Напряжения при наличии эффекта
остаточного заряда
B.4.1.3. Уравнения для

и

Теоретически переходной процесс, возникающий в сети, может быть описан с использованием следующих уравнений (см.
B.2.1):
- первичное напряжение:

;
- вторичное напряжение:

.
Внезапное изменение одного или более параметров, представленных в уравнениях, создает условия для возникновения переходных процессов.
Сравнение

и

дает представление о качестве работы ЭТН при таких процессах.
Таблица B.1
Эффект короткого замыкания в первичной цепи
| | | |
| См. уравнение выше | 0 | 0 |
| | 0 | 0 |
| См. уравнение выше | | |
<*> Пределы: см. требования в 13.6.2. |
Примечание -  - время короткого замыкания. |
Таблица B.2
Эффект зарядного потенциала
| | | | |
| | 0 | 0 | |
| 0 | | | 0 |
| См. уравнение выше | | | |
<*> Пределы: см. требования в 13.6.2. |
Примечание - В таблице представлен наихудший случай, когда происходит размыкание линии при  и ее повторном включении при  с противоположной для  полярностью.  - время размыкания автоматического выключателя.  - время повторного включения автоматического выключателя. |
B.4.1.4. Простейшая модель (схема замещения) ЭТН
B.4.1.4.1. Общие положения
Когда практическое испытание ЭТН невозможно, его поведение должно быть проверено моделированием. Это требует согласования между производителем и заказчиком относительно схемы замещения ЭТН и программного обеспечения процесса моделирования.
Моделирование обычно используется и в других областях электротехники, например при программном обеспечении EMTP (программа расчета электромагнитных переходных процессов) вместо реальных испытаний для проверки корректности поведения автоматического выключателя в сети.
B.4.1.4.2. Модель (схема замещения) ЭТН
Идентичная модель должна применяться при коротком замыкании первичных вводов и при повторном включении линии с остаточными зарядами. Соглашение между производителем и заказчиком может базироваться на сравнении результатов, полученных при реальном испытании во время короткого замыкания и с помощью его программного моделирования. Модель должна принимать в расчет нелинейность ЭТН.
Компоненты

,

- компоненты емкостного делителя напряжения;
A - идеальный усилитель с единичным усилением напряжения;
TR - индуктивный магнитный трансформатор;

- входной импеданс усилителя;

- полный эквивалентный импеданс нагрузки выходной цепи усилителя;

- нагрузка трансформатора
Рисунок B.3. Пример упрощенной схемы-замещения ЭТН
ЭТН при переходном процессе может быть представлен в соответствии со схемой, приведенной на
рисунке B.3. Модель должна учитывать параметры сети и нелинейность индуктивного магнитного трансформатора TR.
Моделирование может быть выполнено с различным программным обеспечением, например EMTP, Saber, Spice и т.д.

- параллельная или последовательная нагрузка трансформатора, которая должна соответствовать требованиям настоящего стандарта.
Моделирование всей испытательной установки проводится согласно
B.4.3.
B.4.1.5. Влияние эффектов переходных процессов на работу защитных реле
На высоковольтных подстанциях ЭТН подключены к защитным реле, входной каскад которых содержит индуктивные магнитные трансформаторы напряжения, обеспечивающие гальваническую развязку. Их размеры малы, а первичная обмотка сделана из очень тонкого провода.
Следовательно, эти трансформаторы очень чувствительны к присутствию на входе любой составляющей постоянного тока, которая может вызвать насыщение их магнитных сердечников. Возникающая в результате этого перегрузка по току приводит к тепловому перегреву первичной обмотки.
Потребителю и заказчику следует обратить внимание на проверку работы защитных реле при наличии в ЭТН зарядных потенциалов, что особенно важно для передачи напряжения постоянного тока или очень низкой частоты.
B.4.2. Определение погрешности при переходном процессе
Мгновенная погрешность напряжения (коэффициента масштабного преобразования) определяется формулой:

,
где

- номинальный коэффициент трансформации.
B.4.3. Испытания на устойчивость к переходным процессам
B.4.3.1. Испытания обычных трансформаторов напряжения на устойчивость к переходным процессам
В МЭК 60186 только емкостные ТН должны соответствовать требованиям по устойчивости к переходным процессам, где принимается во внимание только короткое замыкание в первичной цепи.
Испытание может проводиться методом записи двух выходных сигналов: первый - с емкостного трансформатора, второй - с эталонного устройства, измеряющего первичное напряжение и дающего точное определение момента времени, в который произойдет короткое замыкание. Правильность работы трансформатора контролируется прямым измерением остаточного первичного напряжения.
B.4.3.2. Испытания электронных трансформаторов напряжения на устойчивость к переходным процессам
B.4.3.2.1. Общие положения
В
B.4.2 показано определение мгновенной погрешности ЭТН для переходного процесса формулой

.
Эта формула может быть выражена следующим образом:

.
Используя определение погрешности для установившегося режима:

,
можем выразить

функцией от


.
Замещая

этим выражением в предыдущей формуле, получаем

.
Принимая во внимание, что

,
можем упростить испытательную процедуру формулой:

.
Примечания. 1. Нагрузка может иметь существенное влияние на устойчивость и стабильность работы ЭТН при переходных процессах. Настоящий стандарт определяет два типа нагрузок: последовательную и последовательно-параллельную, используемых во время испытания.
2. Испытания на устойчивость к переходным процессам считаются законченными, если охватывают все реальные ситуации в сети, такие как возникновение короткого замыкания в первичной цепи и повторное включение сети с наличием заряженных потенциалов.
3. Переходные процессы могут существенно влиять на номинальное время задержки (см.
B.5). Чтобы избежать нежелательных воздействий на защитные реле, необходимо рассмотреть два случая:
a) зависимость между номинальным временем задержки ЭТН и ЭТТ отсутствует.
Испытание может быть выполнено без внешней коррекции номинального времени задержки

;
b) ЭТН и ЭТТ, используемые совместно, имеют общее номинальное время задержки.
Испытание может быть выполнено с применением встроенного между эталонным трансформатором и дифференциальным усилителем устройства задержки времени, которое должно быть установлено на значение, определяемое формулой

,
где

и

- значения, указанные на табличке с паспортными данными.
B.4.3.2.2. Короткое замыкание в первичной цепи
При испытании на устойчивость к короткому замыканию в первичной цепи

для t > 0. Таким образом, формула в
B.4.3.2.1 будет иметь вид:

,
что является математическим выражением требований, указанных в настоящем стандарте.
Примечание.

является пиковым значением вторичного выходного напряжения ЭТН для t < 0 (прежде чем происходит короткое замыкание). Эта упрощенная формула позволяет не ссылаться на калиброванное значение первичного напряжения при коротком замыкании первичной цепи. Необходимо знать только точный момент времени, в который оно произошло.
B.4.3.2.3. Повторное включение линии при наличии в ней остаточного заряда
Для случая, когда t < 0

;

.
Для случая, когда t >= 0

;

.
Для случая, когда t >= 0

.
Заменяя

и

на их выражения, получаем
с

;

.
Уравнение для

содержит только синусоидальные компоненты и является погрешностью ЭТН в установившемся режиме. Если он правильно отрегулирован, то ею можно пренебречь.
В этом случае учитывается только погрешность

, являющаяся основной составляющей при переходном режиме.
В наихудшем случае

. Таким образом, постоянная времени ЭТН для значения

имеет существенное влияние при выборе испытательной процедуры.
Различают два метода испытания: для малых и больших значений постоянной времени ЭТН.
B.4.3.2.3.1. Малые значения постоянной времени
Если значение

уменьшается с постоянной времени менее 100 мс, возможно применение испытательной установки, как показано на рисунке B.4.
ЭДН - высоковольтный эталонный делитель с одинаковыми коэффициентами напряжения, как и у ЭТН.
Диф. усилитель - откалиброванный дифференциальный усилитель (с полосой, определяемой низкочастотным фильтром), характеристики которого отрегулированы в соответствии с соглашением между потребителем и заказчиком.

- источник номинального напряжения и частоты;

- источник напряжения постоянного тока с номинальным пиковым значением, умноженным на коэффициент заземления k.

;

.

- емкость линии для обеспечения в 10 раз более медленного спада первичного напряжения, чем вторичного напряжения ЭТН, из-за наличия зарядного потенциала.
СВ1 и СВ2 - выключатели, находящиеся в разомкнутом положении.
Рисунок B.4. Испытательная установка для малых значений
постоянной времени
Последовательность действий:
a) СВ1 разомкнут | СВ2 закорочен | Зарядка высоковольтных конденсаторов до значения  ; |
(  , емкость ЭТН и т.д.) |
b) СВ1 разомкнут | СВ2 разомкнут | Источник высокого напряжения постоянного тока  отключен от цепи  ; |
c) СВ1 закорочен | СВ2 разомкнут | Повторное включение источника напряжения переменного тока  с номинальным значением  , которое накладывается на зарядный потенциал напряжения постоянного тока. |
B.4.3.2.3.2. Большие значения постоянной времени
Если значение

уменьшается с постоянной времени более 100 мс, возможно применение испытательной установки, представленной на рисунке B.5.
ЭДН - высоковольтный эталонный делитель с одинаковыми коэффициентами напряжения, как и у ЭТН.
Диф. усилитель - откалиброванный дифференциальный усилитель (с полосой, определяемой низкочастотным фильтром), характеристики которого отрегулированы в соответствии с соглашением между потребителем и заказчиком.
Рисунок B.5. Испытательная установка для больших значений
постоянной времени
Форма волны e(t) изображена на рисунке B.6.
Рисунок B.6. Типичная форма волны e(t) во время испытания
B.5.1.1. Определение
ЭТН могут включать передачу цифровой информации и обработку данных. Необходимое для этого время

может быть учтено в уравнении для вторичного напряжения (см.
2.1.29) с заменой (t) на

:

,
где

- время задержки.
B.5.1.2. Влияние

на точность в стабильно-устойчивом режиме
В стабильном состоянии время запаздывания должно быть выражено как:
Полный угол фазового сдвига

, определенный в
2.1.32 как

,
в данном случае может быть представлен тремя компонентами:

,
где

- номинальное значение постоянного смещения угла фазового сдвига ЭТН;

- угол фазового сдвига, вызванный временем задержки;

- погрешность угла фазового сдвига напряжения.
Сдвиг фаз может быть вызван влиянием температуры и изменением частоты. Настоящий стандарт требует, чтобы класс точности имел пределы для значения

, которые могут быть выражены как

.
Рассматриваются два варианта.
B.5.1.2.1. Вариант 1
Малые значения

, для которых соблюдается условие:

.
В этом случае

не влияет на точность и им можно пренебречь.
B.5.1.2.2. Вариант 2
Большие значения

приводят к тому, что

,
и в этом случае им нельзя пренебречь.
Однако, если ЭТН предназначен для использования вместе с ЭТТ, при измерении энергии большое значение

(общее для обоих трансформаторов) не будет иметь влияния на точность, если оно удовлетворяет следующему выражению:

.
Следовательно, значения

, являющиеся номинальным смещением фазы и

, должны быть указаны в табличке с паспортными данными ЭТН.
Требования к углу фазового сдвига проиллюстрированы рисунком B.7.
Рисунок B.7. Требования к углу фазового сдвига
B.5.2.1. Общие требования
ЭТН должны быть спроектированы с возможностью выдерживать сложные ситуации, возникающие на высоковольтных подстанциях, где могут присутствовать множественные источники помех. Большинство из них подробно описаны в существующих стандартах, которые можно использовать для контроля соответствия ЭТН этим требованиям. Последующие пункты разъясняют применение стандартов. Для более детальной информации необходимо обратиться к серии
стандартов МЭК 61000-4.
B.5.2.2. Испытание на устойчивость к ЭМС
B.5.2.2.1. Общие положения
ЭТН являются аналоговой системой, и их класс точности проверяется измерительным мостом, поэтому для них очень сложно определить влияние электромагнитных помех на точность измерения. Как правило, установки для испытаний на ЭМС требуют применения между объектом испытания и подключенными к нему цепями высокоомной развязки, которая может в значительной степени влиять на погрешности измерения. По этой причине невозможно выполнить испытания ЭТН на ЭМС с одновременным подтверждением его класса точности.
B.5.2.2.2. Паразитные эффекты
Вследствие наличия паразитных емкостей следует соблюдать осторожность, чтобы избежать непосредственного влияния помех на выходные контакты.
B.5.2.3. Низкочастотные помехи
Основная область применения ЭТН - высоковольтные подстанции, где датчик первичного напряжения и вторичный конвертер могут быть разделены большими расстояниями, поэтому потенциалы земли обоих компонентов могут быть различными. Если связь между датчиком напряжения и конвертером осуществлена электрическим кабелем, то он может находиться под воздействием помех промышленной частоты. Эти помехи вызывают существенные паразитные сигналы, которые могут смешиваться с измеряемым напряжением, влияя на точность. Это явление зависит от места установки.
B.5.2.4. Рекомендации по месту установки
Влияние помех может быть минимизировано при соответствующем месте установки ЭТН на энергообъекте, где чрезвычайно важны:
- контур заземления подстанции;
- подключение заземления;
- расположение электрических кабелей.
В общем случае установка ЭТН должна быть выполнена в соответствии с рекомендациями серии стандартов МЭК 61000, относящихся к ЭМС.
B.5.3. Рекомендации по надежности
Из-за различий в технологиях, используемых при изготовлении ЭТН, основные показатели надежности также будут отличаться. Поэтому испытания на отказ или другие тепловые испытания подлежат согласованию между производителем и заказчиком.
Если ЭТН включает в себя систему самодиагностики, то выявленные повреждения будут подтверждаться выходным сигналом, который можно использовать для того, чтобы избежать ложного отключения защитного реле.
(справочное)
СВЕДЕНИЯ О СООТВЕТСТВИИ ССЫЛОЧНЫХ
МЕЖДУНАРОДНЫХ СТАНДАРТОВ ССЫЛОЧНЫМ НАЦИОНАЛЬНЫМ СТАНДАРТАМ
РОССИЙСКОЙ ФЕДЕРАЦИИ (И ДЕЙСТВУЮЩИМ В ЭТОМ КАЧЕСТВЕ
МЕЖГОСУДАРСТВЕННЫМ СТАНДАРТАМ)
Таблица ДА.1
Обозначение ссылочного международного стандарта | Степень соответствия | Обозначение и наименование соответствующего национального стандарта | Обозначение ссылочного международного стандарта | Степень соответствия | Обозначение и наименование соответствующего национального стандарта |
МЭК 60038:1983 | - | | МЭК 60694:1996 | - | |
МЭК 60044-2:1997 | - | | МЭК 60721 (все части) | - | |
МЭК 60050(161): 1990 | - | | МЭК 60815:1986 | - | |
МЭК 60050(321):1986 | - | | МЭК 61000 (все части) | - | |
МЭК 60050(601):1985 | - | | МЭК 61000-4-1:1992 | - | |
МЭК 60050(604): 1987 | - | | МЭК 61000-4-2:1995 | - | |
МЭК 60060 (все части) | - | | МЭК 61000-4-3:1995 | - | |
МЭК 60060-1:1989 | - | | МЭК 61000-4-4:1995 | - | |
МЭК 60071-1:1993 | - | | МЭК 61000-4-5:1995 | - | |
МЭК 60186:1987 | - | | МЭК 61000-4-8:1993 | - | |
МЭК 60255-5:1977 | - | | МЭК 61000-4-9:1993 | - | |
МЭК 60255-6:1988 | - | | МЭК 61000-4-10:1993 | - | |
МЭК 60255-11:1979 | - | | МЭК 61000-4-11:1994 | - | |
МЭК 60255-22-1:1988 | - | | МЭК 61000-4-12:1995 | - | |
МЭК 60270:1981 | - | | CISPR 11 (EN 55011) | - | |
МЭК 60617-1:1985 | - | | EN 50081-2:1993 | - | |
<*> Соответствующий национальный стандарт отсутствует. До его утверждения рекомендуется использовать перевод на русский язык данного международного стандарта. Перевод данного международного стандарта находится в Федеральном информационном фонде технических регламентов и стандартов. |
| Электромагнитная совместимость (ЭМС) - Часть 4-13: Методики испытаний и измерений. Испытания на устойчивость к воздействию гармоник и интергармоник, включая сигналы, передаваемые через сеть переменного тока (IEC 61000-4-13 Electromagnetic compatibility (EMC) - Part 4-13: Testing and measurement techniques Harmonics and interharmonics including mains signalling at a.c. power port, low frequency immunity tests) |
| Электромагнитная совместимость. Часть 4-29. Методы испытаний и измерений. Испытание на устойчивость к провалам и кратковременным прерываниям напряжения в сети, а также к изменениям напряжения постоянного тока электропитания (IEC 61000-4-29 Electromagnetic compatibility (EMC). Part 4-29. Testing and measurement techniques. Voltage dips, short interruptions and voltage variations on d.c. input power port immunity tests) (на рассмотрении) |
[3] EN 50081-2:1993 | Совместимость электромагнитная. Общие требования к помехозащищенности. Часть 2. Индустриальные помехи (EN 50081-2:1993 Electromagnetic compatibility. Generic emission standard. Part 2. Industrial environment) |