Главная // Актуальные документы // ГОСТ Р (Государственный стандарт)СПРАВКА
Источник публикации
М.: Стандартинформ, 2013
Примечание к документу
Документ
введен в действие с 1 января 2013 года.
Название документа
"ГОСТ Р 8.771-2011. Национальный стандарт Российской Федерации. Государственная система обеспечения единства измерений. Хроматографы аналитические газовые промышленные. Методика поверки"
(утв. и введен в действие Приказом Росстандарта от 13.12.2011 N 1104-ст)
"ГОСТ Р 8.771-2011. Национальный стандарт Российской Федерации. Государственная система обеспечения единства измерений. Хроматографы аналитические газовые промышленные. Методика поверки"
(утв. и введен в действие Приказом Росстандарта от 13.12.2011 N 1104-ст)
Утвержден и введен в действие
по техническому регулированию
и метрологии
от 13 декабря 2011 г. N 1104-ст
НАЦИОНАЛЬНЫЙ СТАНДАРТ РОССИЙСКОЙ ФЕДЕРАЦИИ
ГОСУДАРСТВЕННАЯ СИСТЕМА ОБЕСПЕЧЕНИЯ ЕДИНСТВА ИЗМЕРЕНИЙ
ХРОМАТОГРАФЫ АНАЛИТИЧЕСКИЕ ГАЗОВЫЕ ПРОМЫШЛЕННЫЕ
МЕТОДИКА ПОВЕРКИ
State system for ensuring the uniformity of measurements.
Analytical gas industrial chromatographs. The method
of verification
ГОСТ Р 8.771-2011
Группа Т88.5
Дата введения
1 января 2013 года
Цели и принципы стандартизации в Российской Федерации установлены Федеральным
законом от 27 декабря 2002 г. N 184-ФЗ "О техническом регулировании", а правила применения национальных стандартов Российской Федерации -
ГОСТ Р 1.0-2004 "Стандартизация в Российской Федерации. Основные положения".
1. Разработан Федеральным государственным унитарным предприятием "Всероссийский научно-исследовательский институт метрологической службы" (ФГУП "ВНИИМС").
2. Внесен Управлением метрологии Федерального агентства по техническому регулированию и метрологии.
3. Утвержден и введен в действие
Приказом Федерального агентства по техническому регулированию и метрологии от 13 декабря 2011 г. N 1104-ст.
4. Введен впервые.
Информация об изменениях к настоящему стандарту публикуется в ежегодно издаваемом информационном указателе "Национальные стандарты", а текст изменений и поправок - в ежемесячно издаваемых информационных указателях "Национальные стандарты". В случае пересмотра (замены) или отмены настоящего стандарта соответствующее уведомление будет опубликовано в ежемесячно издаваемом информационном указателе "Национальные стандарты". Соответствующая информация, уведомление и тексты размещаются также в информационной системе общего пользования - на официальном сайте Федерального агентства по техническому регулированию и метрологии в сети Интернет.
Настоящий стандарт распространяется на аналитические газовые промышленные хроматографы (далее - хроматографы), соответствующие требованиям
ГОСТ 26703, и устанавливает методику их первичной и периодической поверок.
В настоящем стандарте использованы нормативные ссылки на следующие стандарты:
ГОСТ Р 8.563-2009 Государственная система обеспечения единства измерений. Методики (методы) измерений
ГОСТ Р ИСО 5725-1-2002 Точность (правильность и прецизионность) методов и результатов измерений. Часть 1. Основные положения и определения
ГОСТ Р ИСО 5725-2-2002 Точность (правильность и прецизионность) методов и результатов измерений. Часть 2. Основной метод определения повторяемости и воспроизводимости стандартного метода измерений
ГОСТ Р ИСО 5725-3-2002 Точность (правильность и прецизионность) методов и результатов измерений. Часть 3. Промежуточные показатели прецизионности стандартного метода измерений
ГОСТ Р ИСО 5725-4-2002 Точность (правильность и прецизионность) методов и результатов измерений. Часть 4. Основные методы определения правильности стандартного метода измерений
ГОСТ Р ИСО 5725-5-2002 Точность (правильность и прецизионность) методов и результатов измерений. Часть 5. Альтернативные методы определения прецизионности стандартного метода измерений
ГОСТ Р ИСО 5725-6-2002 Точность (правильность и прецизионность) методов и результатов измерений. Часть 6. Использование значений точности на практике
ГОСТ Р 51330.16-99 (МЭК 60079-17-96) Электрооборудование взрывозащищенное. Часть 17. Проверка и техническое обслуживание электроустановок во взрывоопасных зонах (кроме подземных выработок)
ГОСТ Р 53228-2008 Весы неавтоматического действия. Часть 1. Метрологические и технические требования. Испытания
ГОСТ 12.1.007-76 Система стандартов безопасности труда. Вредные вещества. Классификация и общие требования безопасности
ГОСТ 1770-74 Посуда мерная лабораторная стеклянная. Цилиндры, мензурки, колбы, пробирки. Общие технические условия
ГОСТ 9293-74 (ИСО 2435-73) Азот газообразный и жидкий. Технические условия
ГОСТ 17433-80 Промышленная чистота. Сжатый воздух. Классы загрязненности
ГОСТ 26703-93 Хроматографы аналитические газовые. Общие технические требования и методы испытаний
ГОСТ 29227-91 (ИСО 835-1-81) Посуда лабораторная стеклянная. Пипетки градуированные. Часть 1. Общие требования
ГОСТ 29252-91 (ИСО 385-2-84) Посуда лабораторная стеклянная. Бюретки. Часть 2. Бюретки без установленного времени ожидания
Примечание. При пользовании настоящим стандартом целесообразно проверить действие ссылочных стандартов в информационной системе общего пользования - на официальном сайте Федерального агентства по техническому регулированию и метрологии в сети Интернет или по ежегодно издаваемому информационному указателю "Национальные стандарты", который опубликован по состоянию на 1 января текущего года, и по соответствующим ежемесячно издаваемым информационным указателям, опубликованным в текущем году. Если ссылочный стандарт заменен (изменен), то при пользовании настоящим стандартом следует руководствоваться заменяющим (измененным) стандартом. Если ссылочный стандарт отменен без замены, то положение, в котором дана ссылка на него, применяется в части, не затрагивающей эту ссылку.
3. ТЕРМИНЫ, ОПРЕДЕЛЕНИЯ И СОКРАЩЕНИЯ
3.1. В настоящем стандарте применены следующие термины с соответствующими определениями:
3.1.1. Контрольное вещество: вещество, требования к которому регламентированы в технической документации на хроматографы для каждой системы детектирования и по которому нормируют и контролируют метрологические характеристики хроматографов.
3.1.2. Контрольная смесь: государственный стандартный образец - поверочная газовая смесь или раствор, приготовленный по
Приложению А к настоящему стандарту или к методике поверки хроматографа конкретного типа, содержащий контрольное вещество и предназначенный для контроля метрологических характеристик.
3.1.3. Показатель точности результатов измерений: установленная характеристика точности результатов измерений, полученных по методике измерений.
Примечание. Характеристики точности указывают:
- неопределенность - в соответствии с рекомендациями
[1];
- приписанную характеристику погрешности - по рекомендациям
[2];
- показатели правильности и прецизионности - по ГОСТ Р ИСО 5725-1 - ГОСТ Р ИСО 5725-6.
3.2. В настоящем стандарте использованы следующие сокращения:
ГСО - государственный стандартный образец;
ДТП - детектор по теплопроводности;
МИ - методика измерений;
МСД - масс-селективный детектор;
НД - нормативные документы;
ПГС - поверочная газовая смесь;
ПИД - пламенно-ионизационный детектор;
ПФД - пламенно-фотометрический детектор.
4.1. При проведении поверки выполняют операции, указанные в таблице 1.
Таблица 1
Операции поверки
Наименование операции | Номер подраздела, пункта настоящего стандарта | Обязательность проведения операции |
при выпуске из производства | при выпуске из ремонта | при периодической поверке |
Внешний осмотр | | Да | Да | Да |
Опробование: | | | | |
- определение уровня флуктуационных шумов нулевого сигнала; | | Да | Да | |
- определение дрейфа нулевого сигнала; | | Да | Да | |
- определение предела детектирования | | Да | Да | |
Определение метрологических характеристик: | | | | |
- определение относительного среднего квадратического отклонения выходного сигнала; | | Да | Да | |
- определение относительного изменения параметров выходного сигнала за 48 ч непрерывной работы хроматографа; | | Нет | Да | |
- определение показателей точности результатов измерений | | Нет | Нет | |
<1> При отсутствии НД на МИ, утвержденной в установленном порядке по ГОСТ Р 8.563. |
<2> При наличии НД на МИ. |
5.1. При проведении поверки применяют средства поверки (средства измерений, стандартные образцы состава веществ и реактивы), указанные в таблице 2.
Таблица 2
Средства поверки
Наименование | Технические и метрологические характеристики |
| Высокий класс точности, предел взвешивания 200 г |
ГСО 3961-87 состава газовой смеси пропан - азот | Объемная доля пропана 0,2% |
ГСО 3971-87 состава газовой смеси пропан - гелий | Объемная доля пропана 0,12% |
ГСО 4281-88 состава газовой смеси сероводород - азот | Объемная доля сероводорода 0,05% |
ГСО 7612-99 состава газовой смеси водород - аргон | Объемная доля водорода 0,02% |
ГСО 7888-01 состава паратионметила (метафоса) чистого вещества | Массовая доля основного вещества не менее 99,40% |
ГСО 2828-83 состава гептана | Массовая доля основного вещества не менее 99,85% |
Октан, х.ч. | Массовая доля основного вещества не менее 99,80% |
5.2. При проведении поверки применяют вспомогательные материалы и оборудование, указанные в таблице 3.
Таблица 3
Вспомогательные материалы, оборудование
Наименование | Технические и метрологические характеристики |
Барометр-анероид БАММ-1 | Диапазон от 80 до 110 кПа |
Психрометр аспирационный МВ-4М | Диапазон относительной влажности от 10% до 100% |
Термометр лабораторный ТЛ-4 | Диапазон от 0 °C до 55 °C, цена деления 0,1 °C |
| Класс точности 2, вместимость 100 см3 |
| Класс точности 2, вместимость 25, 50, 100, 500 см3 |
| Класс точности 2, вместимость 0,1; 1,0; 2,0; 10,0 см3 |
| |
Гелий газообразный, марка A по техническим условиям [3] | Объемная доля основного вещества не менее 99,99% |
| Объемная доля основного вещества, не менее 99,973% |
| Объемная доля основного вещества не менее 99,99% |
| |
Оксид алюминия активный, марка AOA-1 по ГОСТ 8136 | Фракция от 0,25 до 0,50 мм |
Хроматон N-AW DMCS | Фракция от 0,125 до 0,160 мм |
Молекулярные сита CaA (5 А) | Фракция от 0,2 до 0,4 мм |
Жидкая фаза SE-30 | |
Колонки газохроматографические (стеклянные или металлические) | Длина от 1 до 3 м, внутренний диаметр от 2 до 3 мм |
Колонки капиллярные типа HP-5 (5%-Phenyl- methylsiloxane) | 30 м x 0,25 мм x 0,25 мкм |
5.3. Допускается использовать другие средства поверки, метрологические и технические характеристики которых не хуже указанных в настоящем стандарте.
5.4. При наличии нормативной документации на МИ по
ГОСТ Р 8.563 колонки, используемые при поверке, должны соответствовать требованиям, указанным в соответствующем разделе МИ.
6. УСЛОВИЯ ПОВЕРКИ И ПОДГОТОВКА К НЕЙ
6.1. При проведении поверки должны быть соблюдены следующие условия:
- температура окружающей среды (20 +/- 5) °C;
- относительная влажность воздуха от 30% до 80%;
- атмосферное давление, изменяющееся в процессе поверки не более чем на +/- 5 кПа, от 84 до 106 кПа;
- напряжение переменного тока (220 +/- 5) В;
- частота переменного тока (50 +/- 1) Гц;
- механические воздействия, внешние электрические и магнитные поля, влияющие на работу комплекса, должны отсутствовать.
6.2. Перед проведением поверки должны быть выполнены следующие подготовительные работы:
- приготовление контрольных растворов (инструкция по приготовлению контрольных растворов приведена в
Приложении А);
- подготовка колонок в соответствии с эксплуатационной документацией (при наличии НД на МИ);
- проверка герметичности газовых линий в соответствии с НД на хроматограф.
6.3. Требования безопасности
6.3.1. Все работы, относящиеся к поверке хроматографа, должны быть выполнены с соблюдением требований безопасности, приведенных в руководстве по эксплуатации, а также в правилах
[4] и
ГОСТ Р 51330.16.
6.3.2. При поверке должны быть соблюдены требования правил
[5], а также требования безопасности и санитарно-гигиенические требования по
ГОСТ 12.1.007.
7.1.1. При внешнем осмотре устанавливают:
- соответствие комплектности хроматографа и номеров блоков паспортным данным;
- исправность механизмов и крепежных деталей;
- четкость маркировки.
7.2.1. Опробование осуществляют в соответствии с требованиями НД на хроматограф. Хроматограф включают и после стабилизации режима работы определяют с помощью программного обеспечения хроматографа уровень шумов и дрейф нулевого сигнала, предел детектирования.
7.2.2. При проверке ДТП используют газ-носитель гелий, при проверке других детекторов - гелий или азот. При проверке уровня шумов допускается задавать фильтрацию - 1 Гц.
7.2.3. Типичные значения параметров режима хроматографа приведены в таблице 4.
Детектор | Наименование параметра | Значение параметра |
ПИД | Температура термостатов, °C: | |
- колонок | 60 +/- 20 |
- детектора | 160 +/- 10 |
- испарителя | 150 +/- 10 |
ДТП | Температура термостатов, °C: | |
- колонок | 60 +/- 20 |
- детектора | 180 +/- 20 |
- испарителя | 160 +/- 20 |
ПФД | Температура термостатов, °C: | |
- колонок | 200 +/- 20 |
- детектора | 200 +/- 20 |
- испарителя | 250 +/- 20 |
Примечание. Расход газа-носителя и вспомогательных газов (воздух, водород, поддув газа-носителя) задают в соответствии с указаниями НД на хроматограф для соответствующих детекторов. |
7.2.4. Уровень флуктуационных шумов нулевого сигнала принимают равным амплитуде повторяющихся колебаний нулевого (без ввода пробы) сигнала с периодом не более 20 с.
Значения уровня флуктуационных шумов нулевого сигнала

ПИД, ПФД [в амперах (А)] и ДТП [в вольтах (В)] определяют по формуле
где

- максимальное значение амплитуды повторяющихся колебаний нулевого сигнала в вольтах (В) с полупериодом (длительностью импульса), не превышающим 10 с, зарегистрированное на выходе усилителя выходного сигнала детектора. Колебания, имеющие характер одиночных импульсов длительностью не более 1 с, не учитывают;

- коэффициент преобразования усилителя выходного сигнала в соответствии с НД на хроматограф, В/А (для ПИД и ПФД), В/В (для ДТП).
Полученные значения уровня флуктуационных шумов нулевого сигнала детекторов не должны превышать значений, указанных в НД на хроматограф.
7.2.5. За дрейф нулевого сигнала принимают наибольшее смещение уровня нулевого сигнала в течение 1 ч.
Дрейф нулевого сигнала

определяют следующим образом.
В течение 1 ч регистрируют хроматограмму без ввода пробы.
Значение дрейфа нулевого сигнала ПИД, ПФД [в амперах в час (А/ч)] и ДТП [в вольтах в час (В/ч)] определяют по формуле
где

- смещение уровня нулевого сигнала, зарегистрированное на выходе усилителя входного сигнала детектора, В.
Полученные значения дрейфа нулевого сигнала детекторов не должны превышать значений, указанных в НД на хроматограф.
7.2.6. Для определения предела детектирования вводят в хроматограф пять или более раз соответствующий проверяемому детектору контрольный раствор (см. таблицу 5). Объем вводимой жидкой пробы составляет от 0,1 до 5 мкл, объем газовой пробы - от 0,125 до 2,0 мл.
Детектор | Массовая концентрация (объемная доля) контрольного вещества | Колонка, сорбент (рекомендуемые) |
ПИД, ДТП | Гептан в октане, 0,5 - 1,0 мг/см3 | Хроматон N-AW-DMCS SE-30 |
ДТП (для газа-носителя гелия) (для газа-носителя аргона) | Пропан в азоте, гелии, 0,18% - 3,3% | Оксид алюминия AOA-1 |
Водород в азоте, аргоне, 0,01% - 1% |
ПФД | Паратионметил (метафос) в гексане,  | Хроматон N-AW-DMCS SE-30 |
Сероводород в азоте, 0,002% - 0,005% | Оксид алюминия AOA-1 |
Определение предела детектирования допускается совмещать с определением относительного среднего квадратического отклонения (СКО).
Предел детектирования детекторов

, (кроме ДТП) рассчитывают по формуле
для ДТП, г/см3, - по формуле
где G - масса контрольного вещества, г;

- среднее арифметическое значение площади пика, В · с;

- расход газа-носителя, см3/с.
Массу контрольного вещества при использовании раствора

, определяют по формуле
где

- объем раствора, см3;

- массовая концентрация контрольного вещества, г/см3;
K - коэффициент, учитывающий содержание фосфора и серы в паратионметиле (метафосе), равный 0,12.
При использовании газовой пробы массу контрольного вещества

, определяют по формуле
где

- объем газовой пробы, см3;
P - атмосферное давление, Па;
M - молярная масса, г/моль:
- 44 (для пропана),
- 2 (для водорода),
- 34 (для сероводорода);

- объемная доля контрольного вещества в газовой смеси, %;
R - газовая постоянная,

;
t - температура окружающей среды, °C.
Полученные значения предела детектирования должны быть не более указанных в НД на хроматограф.
7.3. Определение метрологических характеристик
7.3.1. Относительное СКО выходного сигнала определяют при условиях, указанных в
таблицах 4,
5. Проверку допускается совмещать с определением предела детектирования.
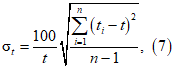
Относительное СКО выходного сигнала определяют для всех нормируемых информативных параметров выходного сигнала: времени удерживания f, высоты h, площади пика S.
В хроматограф вводят пробу 5 - 10 раз. Определяют значения выходного сигнала

, находят их средние арифметические значения (h, t, S).
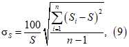
Значения относительного СКО

,

,

, определяют по формулам
где n - число наблюдений, полученное после исключения выбросов (по
ГОСТ Р ИСО 5725-2).
Полученные значения относительного СКО должны быть не более указанных в НД на хроматограф.
7.3.2. Определение относительного изменения параметров выходного сигнала за 48 ч непрерывной работы выполняют следующим образом.
Проводят операции по
7.3.1 и определяют средние арифметические значения информативных параметров выходного сигнала - X(h, t, S). Через 48 ч непрерывной работы (для хроматографов с МСД - через 8 ч) снова проводят измерения по
7.3.1 и определяют средние арифметические значения параметров

.
Относительное изменение параметров выходного сигнала

, за 48 ч непрерывной работы определяют по формуле
Полученные значения изменения параметров выходного сигнала

должны быть не более указанных в НД на хроматограф.
7.3.3. При проведении периодической поверки хроматографов, эксплуатируемых по НД на МИ, отвечающим требованиям
ГОСТ Р 8.563, проверяют показатели точности результатов измерений в соответствии с процедурами и нормативами контроля, установленными в рекомендациях
[6].
8. ОФОРМЛЕНИЕ РЕЗУЛЬТАТОВ ПОВЕРКИ
8.1. По результатам поверки заполняют протокол, форма которого приведена в
Приложении Б.
8.2. Хроматографы, удовлетворяющие требованиям настоящей методики поверки, признают годными.
8.3. Положительные результаты поверки оформляют свидетельством о поверке установленной формы по правилам
[7].
8.4. Хроматографы, не удовлетворяющие требованиям настоящего стандарта, к дальнейшей эксплуатации не допускают и на них выдают извещение о непригодности по правилам
[7].
(обязательное)
ИНСТРУКЦИЯ ПО ПРИГОТОВЛЕНИЮ КОНТРОЛЬНЫХ РАСТВОРОВ
Настоящая инструкция устанавливает методику приготовления контрольных растворов, предназначенных для проверки метрологических характеристик хроматографа.
Диапазон содержания контрольного вещества - от

до 10 мг/см3. Относительная погрешность аттестованного значения массовой концентрации контрольного компонента не превышает 10%.
Средства измерений, материалы и реактивы приведены в
разделе 5.
А.1. Процедура приготовления растворов
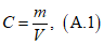
А.1.1. Растворы массовой концентрацией от 1 до 10 мг/см3 приготавливают объемно-весовым методом. Массовую концентрацию контрольного вещества C определяют по формуле
где m - масса контрольного вещества, мг;
V - объем приготовленного раствора, см3.
А.1.2. Исходные вещества, используемые для приготовления раствора, выдерживают не менее 2 ч в лабораторном помещении.
А.1.3. Температура окружающей среды при приготовлении контрольных растворов не должна изменяться более чем на 4 °C.
А.1.4. Определяют массу

мерной колбы вместимостью 100 см3. Результат взвешивания записывают с точностью до первого десятичного знака.
А.1.5. В мерную колбу вносят от 100 до 1000 мг контрольного вещества и вновь взвешивают колбу

.
А.1.6. Вычисляют массу контрольного вещества m, мг, по формуле
А.1.7. В колбу с контрольным веществом вводят от 20 до 25 см3 растворителя, перемешивают содержимое и доводят объем раствора до 100 см3. Тщательно перемешивают раствор.
А.1.8. Рассчитывают массовую концентрацию контрольного вещества по
А.1.1.
А.1.9. Растворы с содержанием контрольного вещества от

до 1 мг/см3 приготавливают объемным методом путем последовательного разбавления более концентрированных растворов. Массовую концентрацию контрольного вещества

рассчитывают по формуле
где n - номер ступени разбавления исходного контрольного раствора концентрацией C;

- аликвотная доля раствора с массовой концентрацией

, мг/см3.
А.1.10. Перед каждым разбавлением рассчитывают значение аликвотной доли раствора

, исходя из заданного значения концентрации контрольного вещества

и концентрации разбавляемого раствора

.
А.1.11. В мерную колбу вместимостью 100 см3 вносят аликвотную долю разбавляемого раствора, доводят объем приготавливаемого раствора до 100 см3 и тщательно перемешивают.
А.2. Хранение контрольных растворов
Контрольные растворы хранят в чистых сухих склянках с хорошо притертыми пробками вдали от источников огня и нагревательных приборов при температуре от 4 °C до 8 °C.
Срок хранения исходного раствора - от 3 до 5 сут, смеси меньших концентраций хранению не подлежат.
(рекомендуемое)
Протокол N _________
поверки хроматографа, принадлежащего
___________________________________________________________________________
(наименование организации)
Тип хроматографа _________________ Заводской номер ________________________
Детектор __________________________________________________________________
Изготовитель _____________________ Год изготовления _______________________
Порядковый номер по системе нумерации изготовителя ________________________
Наименование и номера блоков ______________________________________________
___________________________________________________________________________
Условия поверки:
- температура окружающего воздуха ______________________________ K (°C)
- атмосферное давление ____________________________________________ кПа
- относительная влажность ___________________________________________ %
- напряжение питания ________________________________________________ В
1. Определение уровня флуктуационных шумов и дрейфа нулевого сигнала
Детектор | Значение уровня шумов | Значение дрейфа |
по НД | действительное | по НД | действительное |
| | | | |
| | | | |
| | | | |
2. Определение предела детектирования
Детектор | Среднее значение выходного сигнала | Значение предела детектирования |
по НД | действительное |
| | | |
| | | |
| | | |
3. Определение среднего квадратического отклонения выходного сигнала
Детектор | Значение выходного сигнала | Среднее арифметическое значение выходного сигнала | Среднее квадратическое отклонение выходного сигнала |
| | | t | h | S | | | |
| | | | | | | | | |
| | | | | | | | | |
| | | | | | | | | |
4. Определение изменения выходных сигналов за 48 ч непрерывной работы
Детектор | Значение выходного сигнала | Среднее арифметическое значение выходного сигнала | Значение по НД | Действительное значение |
| | | | | | | | | | | |
| | | | | | | | | | | | |
| | | | | | | | | | | | |
| | | | | | | | | | | | |
5. Определение показателя точности результатов измерений
Показатель точности | Результат контрольной процедуры | Норматив контроля по НД на МИ |
| | |
| | |
| | |
6. Особые отметки (контрольные образцы, режимы, колонки и др.) ________
___________________________________________________________________________
7. Приложение (хроматограммы, полученные при поверке) _________________
___________________________________________________________________________
Заключение по результатам поверки _____________________________________
___________________________________________________________________________
___________________________________________________________________________
Выдано свидетельство (извещение о непригодности) N ______ от ______20___ г.
Поверку проводил ________________________ _____________________
(подпись) (инициалы, фамилия)
"___" _______ 20___ г.
| Рекомендации по межгосударственной стандартизации РМГ 43-2001 | Государственная система обеспечения единства измерений. Применение "Руководства по выражению неопределенности измерений" |
| | Государственная система обеспечения единства измерений. Результаты измерений и характеристики погрешности измерений. Формы представления. Способы использования при испытаниях образцов продукции и контроле их параметров |
| Технические условия | Гелий газообразный (сжатый) очищенный |
ТУ 0271-135-31323949-2005 |
| | Общие правила взрывобезопасности для взрывопожароопасных химических, нефтехимических и нефтеперерабатывающих производств (утверждены Постановлением Госгортехнадзора России от 05.05.2003 г. N 29) |
| | Межотраслевые правила по охране труда (правила безопасности) при эксплуатации электроустановок (ред. от 18.02.2003 г.) (утверждены Постановлением Минтруда РФ от 05.01.2001 г. N 3, Приказом Минэнерго РФ от 27.12.2000 г. N 163) |
(РД 153-34.0-03.150-00) |
| МИ 2531-99 | Государственная система обеспечения единства измерений. Анализаторы состава веществ и материалов универсальные. Общие требования к методикам поверки в условиях эксплуатации |
| Правила по метрологии | Государственная система обеспечения единства измерений. Порядок проведения поверки средств измерений |