Главная // Актуальные документы // ГОСТ Р (Государственный стандарт)СПРАВКА
Источник публикации
М.: Стандартинформ, 2014
Примечание к документу
Документ
введен в действие с 1 мая 2013 года.
Название документа
"ГОСТ Р 8.749-2011. Национальный стандарт Российской Федерации. Государственная система обеспечения единства измерений. Светодиоды. Методы измерения фотометрических характеристик"
(утв. и введен в действие Приказом Росстандарта от 13.12.2011 N 1072-ст)
"ГОСТ Р 8.749-2011. Национальный стандарт Российской Федерации. Государственная система обеспечения единства измерений. Светодиоды. Методы измерения фотометрических характеристик"
(утв. и введен в действие Приказом Росстандарта от 13.12.2011 N 1072-ст)
Утвержден и введен в действие
агентства по техническому
регулированию и метрологии
от 13 декабря 2011 г. N 1072-ст
НАЦИОНАЛЬНЫЙ СТАНДАРТ РОССИЙСКОЙ ФЕДЕРАЦИИ
ГОСУДАРСТВЕННАЯ СИСТЕМА ОБЕСПЕЧЕНИЯ ЕДИНСТВА ИЗМЕРЕНИЙ
СВЕТОДИОДЫ
МЕТОДЫ ИЗМЕРЕНИЯ ФОТОМЕТРИЧЕСКИХ ХАРАКТЕРИСТИК
State system for ensuring the uniformity of measurements.
Light-emitting diodes. Methods of photometric measurements
ГОСТ Р 8.749-2011
Группа Т84.10
Дата введения
1 мая 2013 года
Цели и принципы стандартизации в Российской Федерации установлены Федеральным
законом от 27 декабря 2002 г. N 184-ФЗ "О техническом регулировании", а правила применения национальных стандартов Российской Федерации -
ГОСТ Р 1.0-2004 "Стандартизация в Российской Федерации. Основные положения".
1 РАЗРАБОТАН Федеральным государственным унитарным предприятием "Всероссийский научно-исследовательский институт оптико-физических измерений" (ФГУП "ВНИИОФИ")
2 ВНЕСЕН Управлением метрологии Федерального агентства по техническому регулированию и метрологии
3 УТВЕРЖДЕН И ВВЕДЕН В ДЕЙСТВИЕ
Приказом Федерального агентства по техническому регулированию и метрологии от 13 декабря 2011 г. N 1072-ст
4 ВВЕДЕН ВПЕРВЫЕ
Информация об изменениях к настоящему стандарту публикуется в ежегодно издаваемом информационном указателе "Национальные стандарты", а текст изменений и поправок - в ежемесячно издаваемых информационных указателях "Национальные стандарты". В случае пересмотра (замены) или отмены настоящего стандарта соответствующее уведомление будет опубликовано в ежемесячно издаваемом информационном указателе "Национальные стандарты". Соответствующая информация, уведомление и тексты размещаются также в информационной системе общего пользования - на официальном сайте Федерального агентства по техническому регулированию и метрологии в сети Интернет
Настоящий стандарт распространяется на светоизлучающие диоды (далее - светодиоды) и устанавливает методы измерения их фотометрических и колориметрических характеристик, на которые распространяется сфера государственного регулирования обеспечения единства измерений.
В настоящем стандарте использованы нормативные ссылки на следующие стандарты:
ГОСТ 8.023-2003 Государственная система обеспечения единства измерений. Государственная поверочная схема для средств измерений световых величин непрерывного и импульсного излучений
| | ИС МЕГАНОРМ: примечание. ГОСТ 8.195-89 утратил силу с 1 января 2015 года в связи с введением в действие ГОСТ 8.195-2013 (Приказ Росстандарта от 10.10.2013 N 1154-ст). | |
ГОСТ 8.195-89 Государственная система обеспечения единства измерений. Государственная поверочная схема для средств измерений спектральной плотности энергетической яркости, спектральной плотности силы излучения и спектральной плотности энергетической освещенности в диапазоне длин волн от 0,25 до 25,00 мкм; силы излучения и энергетической освещенности в диапазоне длин волн от 0,2 до 25,0 мкм
ГОСТ 8.205-90 Государственная система обеспечения единства измерений. Государственная поверочная схема для средств измерений координат цвета и координат цветности
| | ИС МЕГАНОРМ: примечание. ГОСТ 8.332-78 утратил силу с 1 октября 2015 года в связи с введением в действие ГОСТ 8.332-2013 (Приказ Росстандарта от 11.06.2014 N 539-ст). | |
ГОСТ 8.332-78 Государственная система обеспечения единства измерений. Световые измерения. Значения относительной спектральной световой эффективности монохроматического излучения для дневного зрения
ГОСТ 7601-78 Физическая оптика. Термины, буквенные обозначения и определения основных величин
| | ИС МЕГАНОРМ: примечание. ГОСТ 26148-84 утратил силу с 1 июля 2017 года в связи с введением в действие ГОСТ 8.654-2016 (Приказ Росстандарта от 13.10.2016 N 1393-ст). | |
ГОСТ 26148-84 Фотометрия. Термины и определения
Примечание - При пользовании настоящим стандартом целесообразно проверить действие ссылочных стандартов в информационной системе общего пользования - на официальном сайте Федерального агентства по техническому регулированию и метрологии в сети Интернет или по ежегодно издаваемому информационному указателю "Национальные стандарты", который опубликован по состоянию на 1 января текущего года, и по соответствующим ежемесячно издаваемым информационным указателям, опубликованным в текущем году. Если ссылочный стандарт заменен (изменен), то при пользовании настоящим стандартом следует руководствоваться заменяющим (измененным) стандартом. Если ссылочный стандарт отменен без замены, то положение, в котором дана ссылка на него, применяется в части, не затрагивающей эту ссылку.
3 Термины, определения и обозначения
В настоящем стандарте применены термины и обозначения по ГОСТ 7601, ГОСТ 26148,
рекомендациям [1], а также следующие термины с соответствующими определениями и обозначениями
[2]:
3.1 фотометрия: Наука об изучении и измерении параметров и характеристик переноса энергии оптического излучения.
3.2 характеристика спектральной чувствительности;

: Чувствительность фотометрической головки как функция длины волны.
3.3 фотометрическая головка; ФГ: Приемник излучения, относительная спектральная чувствительность которого скорригирована под относительную спектральную световую эффективность монохроматического излучения для дневного зрения.
3.4 гониофотометр: Фотометр для измерения углового распределения фотометрических характеристик источника света.
3.5 средняя сила света светодиода: Сила света светодиода, определяемая с учетом различной интенсивности излучения элементов светодиода.
3.6 частичный поток излучения светодиода;

: Поток излучения, исходящий от светодиода, распространяющийся в пределах телесного угла
x° (с центром в механической оси светодиода) и определяемый по круглой диафрагме и расстоянию, измеренному от конца светодиода.
3.7 доминирующая длина волны: Длина волны монохроматического излучения, на которой при аддитивном смешивании со стандартизованным ахроматическим излучением может быть получено цветовое равенство с рассматриваемым цветным излучением.
3.8 относительная спектральная световая эффективность монохроматического излучения для дневного зрения;

: Относительная спектральная световая эффективность излучения для стандартного фотометрического наблюдателя МКО для дневного зрения и поля зрения 2°.
4 Требования к условиям проведения измерений и оборудованию
4.1 Условия измерений
При выполнении измерений соблюдают следующие условия:
- температура окружающего воздуха - (25 +/- 2) °C;
- относительная влажность - (65 +/- 20)%;
- атмосферное давление - (101 +/- 4) кПа;
- напряжение питающей сети - (220 +/- 22) В.
Измерения характеристик светодиодов проводят с использованием источника питания постоянного тока в условиях установившегося температурного равновесия.
4.2 Требования к эталонным светодиодам
Эталонный светодиод, смонтированный в специально сконструированном корпусе, должен быть соответствующим типу испытуемого светодиода. Светодиод должен быть предварительно отобран и отожжен в течение 500 ч или более при номинальных значениях электрических параметров (стабилизация по току и контроль напряжения).
Корпус эталонного светодиода должен иметь систему контроля температуры и иметь возможность постоянного регулирования тока для обеспечения постоянной оптической выходной мощности.
Оптическая и механическая оси светодиода должны совпадать (рисунок 1).
Рисунок 1 - Светодиод, механическая и оптическая оси
которого указывают в разных направлениях
4.3 Требования к фотометрам
Фотометр или радиометр, применяемый для контроля светодиодов, как правило, состоит из приемника излучения, фильтра, корригирующего под

, входной диафрагмы и электронной цепи для усиления и измерения выходного сигнала приемника излучения.
4.3.1 Приемники излучения
Для создания фотометров и радиометров, применяемых для контроля светодиодов, используют кремниевые фотодиоды. Кремниевые фотодиоды чувствительны от УФ-диапазона до ближней ИК-области до 1100 нм при пике чувствительности 850 - 950 нм. Кремниевые фотодиоды имеют линейную характеристику в нескольких декадных полосах частот входного потока излучения и практически пренебрежимую температурную зависимость чувствительности в видимой области. Следует учесть, что фильтры имеют более высокую температурную зависимость светопроницаемости.
4.3.2 Угловая и пространственная чувствительность фотометров/радиометров
Фотометр и радиометр для измерения средней силы света/излучения светодиода не требуют рассеивателя перед светочувствительной площадкой приемника излучения, так как свет падает под малым углом. Они должны иметь постоянную чувствительность только в диапазоне углов, под которыми излучение от испытуемого светодиода может падать на фотометр или радиометр. Поэтому для измерения интенсивности на передней поверхности фотометра или радиометра косинусная корректировка, как правило, не требуется, но для реализации светочувствительной области большей, чем светочувствительная область детектора, допускается использовать светорассеиватель. (Необходимо учесть, что при малом расстоянии до источника требуется значительно больший размер светочувствительной области детектора, чем передняя диафрагма фотометра). Фотометр/радиометр, используемый с фотометрическим шаром для измерения силы света или потока излучения, требует наличия рассеивателя перед светочувствительной площадкой приемника излучения.
Для измерения средней силы света светодиода (см.
4.3) чувствительность на входной диафрагме фотометра/радиометра должна быть постоянна, чтобы обеспечить равное значение силы излучения по всей площади входной диафрагмы. Некоторые светодиоды имеют малый угол луча или неравномерное распределение силы излучения, что может вызывать неравномерное распределение освещенности в диафрагме. Если чувствительность на входной диафрагме непостоянна, это может привести для таких светодиодов к значительным ошибкам в измеренной средней силе излучения светодиода, и особенно - при малых расстояниях между светодиодом и приемником излучения (до 100 мм).
4.3.3 Спектральная чувствительность фотометров/радиометров
Спектральная чувствительность

фотометра/радиометра может быть выражена абсолютным коэффициентом
s0 и относительной функцией

, причем

(1)
| | ИС МЕГАНОРМ: примечание. ГОСТ 8.195-89 утратил силу с 1 января 2015 года в связи с введением в действие ГОСТ 8.195-2013 (Приказ Росстандарта от 10.10.2013 N 1154-ст). | |
Описание процедуры определения спектральной чувствительности детекторов оптического излучения - в соответствии с ГОСТ 8.195.
Если на приемник падает излучение со спектральным распределением

, фототок
i может быть рассчитан по формуле
[5]

(2)
где

;
X0 - коэффициент нормализации;

- относительная спектральная световая эффективность монохроматического излучения для дневного зрения.

представляет собой либо фотометрическое, либо радиометрическое измеряемое свойство.
| | ИС МЕГАНОРМ: примечание. ГОСТ 8.332-78 утратил силу с 1 октября 2015 года в связи с введением в действие ГОСТ 8.332-2013 (Приказ Росстандарта от 11.06.2014 N 539-ст). | |
Относительная спектральная чувствительность фотометра должна быть как можно ближе к

в соответствии с ГОСТ 8.332.
Относительная спектральная чувствительность радиометра должна быть как можно более ровной в определенной области спектра.
4.3.3.1 Фотометр для контроля белых светодиодов
Фотометры классифицируют по коэффициенту

в соответствии с рекомендациями
[4]. Число

рекомендовано для контроля белых светодиодов. Если коррекцию спектрального несоответствия проводят не всегда (как указано в
5.2.3), рекомендуется для контроля белых светодиодов использовать фотометр со значением

. Число

определяют как

(3)
где

- нормализованная относительная спектральная чувствительность детектора:

(4)
где

- относительное спектральное распределение стандартного источника света A по
ГОСТ 8.023. Последнее включено в формулу (4) для учета того, что фотометры калибруют с использованием лампы накаливания с вольфрамовой нитью, настроенной на температуру распределения стандартного источника света A. Погрешности измерения для белых светодиодов будут сведены к минимуму, если число

мало. Однако погрешность необходимо оценивать надлежащим образом.
Использование для контроля светодиодов фотометров, не соответствующих этим рекомендациям по

, должно быть ограничено строгим сравнением одного типа эталонных и испытуемых светодиодов одинакового цвета, или такие фотометры должны иметь индивидуально измеряемые данные по спектральной чувствительности, позволяющие применить коррекцию спектрального несоответствия (см.
5.2).
4.3.3.2 Фотометр для контроля цветных (не белых) светодиодов
В случае одноцветных светодиодов ошибки спектрального несоответствия могут быть большими, даже если число

достаточно мало, из-за того, что некоторые спектры светодиодов достигают пика на концах функции

, где отклонение оказывает небольшое воздействие на

, но может внести большой вклад в погрешность измерения.
При контроле одноцветных светодиодов необходимо предоставление относительной спектральной чувствительности фотометра с примерами, как применять коррекцию ошибок спектрального несоответствия и как оценивать погрешности измерения измеряемых фотометрических свойств данного цветного светодиода.
4.4 Свойства, определяющие пространственные отношения
4.4.1 Коэффициент нормализации и относительное пространственное распределение
Сила света

зависит от направления. Эта зависимость называется пространственным распределением силы света. Необходимо учесть, что измерения пространственного распределения силы света должны быть проведены на очень малом элементе телесного угла

. Для этого требуется приемник излучения, в котором диаметр входной диафрагмы и размер источника света малы по сравнению с расстоянием до источника. Если абсолютное значение силы света

измеряют в конкретном начальном направлении, соответствующем углам

и

, и обозначают как

, то его допускается использовать как коэффициент нормализации при относительном пространственном распределении силы света

. Пространственное распределение силы света

может быть выражено как

(5)
и переписано как

(6)
Реальные пространственные распределения силы света не могут быть выражены через простые математические функции. Симметричные пространственные распределения часто характеризуют указанием углов при значениях 50% и 10% максимального значения силы света. Для кривых сложной формы распределения силы света может быть более чем один угол, который дает значение 50% или 10%. При использовании этого метода рекомендуется указывать первые углы для таких значений силы света, начинающиеся с 0° (при измерении от направления механической оси).
Большая часть светодиодов предназначена для обеспечения распределения с максимальной силой света в направлении

, но для отдельных светодиодов конструкция предусматривает существенно более низкое значение в направлении механической оси, чем для некоторых отклоняющихся от оси углов. Один из примеров на
рисунке 1 иллюстрирует этот эффект.
Иногда из-за производственных допусков, даже если светодиод установлен в цилиндрическом корпусе, механическая ось корпуса (используемая для центрирования светодиода в измерительном аппарате) и оптическая ось (являющаяся осью вращательной симметрии пространственного распределения) могут иметь немного разные направления. Процедура измерения должна учитывать влияние, которое данный факт может оказывать на результаты.
4.5 Требования к фотометрическим шарам
Следует использовать фотометрические шары диаметром не менее 200 мм. Отражение внутреннего покрытия должно быть от 90% до 98%, для измерения частичного светового потока - от 95% до 98% в диапазоне длин волн от 360 до 800 нм.
5 Измерение средней силы света
Для измерения средней силы света используют оптические схемы A и B (рисунок 2). Для схемы A расстояние l = 0,316 м, для схемы B l = 0,100 м.
l - расстояние между светодиодом
и плоскостью входной диафрагмы детектора, м
Рисунок 2 - Схема стандартных условий A и B
для измерения средней силы света светодиода
Светодиод центрируют так, чтобы механическая ось светодиода проходила через центр диафрагмы детектора.
В обеих оптических схемах используют детектор с круглой входной диафрагмой площадью 100 мм2.
5.2.1 Метод сравнения
Среднюю силу света светодиода измеряют методом сравнения с эталонным светодиодом такого же типа (с аналогичным спектральным распределением и пространственным распределением силы света).
Эталонный светодиод должен быть калиброван по той же геометрической схеме (A или B), которую используют для калибруемого светодиода.
Среднюю силу света светодиода Iсд вычисляют по формуле

(7)
где

и
Iсд - средняя сила света эталонного и калибруемого светодиодов соответственно;
R0 и R - сигналы фотометра для эталонного и калибруемого светодиодов соответственно.
5.2.2 Метод калибровки светодиода по фотометру
Фотометр для определения средней силы света светодиода должен быть калиброван по коэффициенту преобразования по спектру эталонного источника типа A на расстоянии, соответствующем оптической схеме A или оптической схеме B. Относительная спектральная чувствительность фотометрической головки и относительные спектральные распределения мощности излучения светодиодов должны быть известны
[6].
Фотометр помещают на точное расстояние l (в соответствии со схемой A или B). Среднюю силу света светодиода Iсд определяют по формуле

(8)
где R - сигнал фотометрической головки;
Sсд - коэффициент преобразования фотометрической головки для соответствующей оптической схемы (A или B);
F - коэффициент поправки на спектральное несоответствие, определяемый по формуле

(9)
где

- относительное спектральное распределение излучения калибруемого светодиода;

- относительное спектральное распределение излучения эталонного светодиода;

- относительная спектральная чувствительность фотометрической головки;
| | ИС МЕГАНОРМ: примечание. ГОСТ 8.332-78 утратил силу с 1 октября 2015 года в связи с введением в действие ГОСТ 8.332-2013 (Приказ Росстандарта от 11.06.2014 N 539-ст). | |

- относительная спектральная световая эффективность монохроматического излучения для дневного зрения ГОСТ 8.332.
5.2.3 Метод коррекции спектрального несоответствия
Метод используют для измерения средней силы света светодиодов любого цвета.
Фотометрическую головку калибруют с помощью эталонных светодиодов определенного цвета. Среднюю силу света светодиодов любых других цветов определяют с использованием коррекции спектрального несоответствия следующим образом:

(10)
где

и
Iсд - средняя сила света эталонного и калибруемого светодиодов соответственно;
R0 и R - сигналы фотометра для эталонного и калибруемого светодиодов соответственно;
F - коэффициент поправки на спектральное несоответствие.
6 Измерение светового потока
Для измерения полного светового потока светодиода используют гониофотометры или фотометрические шары. Для измерения частичного светового потока светодиода используют фотометрические шары.
6.1 Гониофотометрический метод
Фотометрическая головка гониофотометра должна соответствовать требованиям, указанным в
4.3 и
5.2.2.
Гониофотометр должен быть экранирован от окружающего света и от отраженного света в пределах прибора.
Диапазон сканирования по углам должен охватывать весь телесный угол, в котором испытуемый светодиод испускает свет.
Расстояние между фотометром и калибруемым светодиодом должно быть не менее 300 мм. Если гониофотометр также предназначен для измерения средней силы света светодиода, расстояние l должно быть 100 мм для схемы A и 316 мм - для схемы B.
При измерении пространственного распределения силы света

светодиода полный световой поток

определяют по формуле

(11)
где

- пространственное распределение силы света в телесном углу

при угле наблюдения

.
При измерении пространственного распределения освещенности

по воображаемой сферической поверхности с радиусом
r полный световой поток

определяют по формуле

(12)
где

- пространственное распределение освещенности в телесном углу

при угле наблюдения

;
r - расстояние от излучающей поверхности светодиода до чувствительной поверхности фотометра.
6.2 Метод фотометрических шаров
6.2.1 Измерение полного светового потока
Полный световой поток светодиода измеряют методом сравнения с эталонным светодиодом такого же типа (с аналогичным спектральным распределением), калиброванным по полному световому потоку.
Оптические схемы фотометрических шаров для измерения полного светового потока светодиодов представлены на рисунке 3
[4].
а - для светодиодов, у которых присутствует обратное
излучение, б - для светодиодов без обратного излучения
Рисунок 3 - Оптические схемы фотометрических шаров
для полного светового потока светодиодов
Фотометрическая головка должна соответствовать требованиям, указанным в
4.3.
6.2.2 Измерение частичного светового потока
Частичный световой поток светодиода измеряют методом сравнения с эталонным светодиодом, имеющим аналогичное спектральное распределение и конструкцию.
Для измерения частичного светового потока светодиода используют шар с фотометром согласно оптической схеме на
рисунке 5.
Шар имеет отверстие, к которому прикреплена прецизионная диафрагма (диаметром 50 мм). Плоскость диафрагмы должна быть расположена на одном уровне с внутренней поверхностью шара. Расстояние d от конца светодиода до плоскости диафрагмы определяют для полного конического угла x° по формуле (13). Пояснения к формуле приведены на рисунке 4.

(13)
Рисунок 4 - Пояснения к определению частичного
светового потока светодиодов
Светодиод и входная апертура шара должны быть экранированы от окружающего света.
Рисунок 5 - Оптическая схема шара для измерения
частичного светового потока светодиода
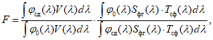
6.2.3 Поправка на спектральное несоответствие
Фотометр калибруют с помощью стандартных светодиодов определенного цвета, затем измеряют фотометрические характеристики светодиодов любого цвета с применением коррекции спектрального несоответствия
[3].
Коэффициент коррекции спектрального несоответствия F определяют по формуле

(14)
где

- относительное спектральное распределение калибруемого светодиода;

- относительное спектральное распределение эталонного светодиода;

- спектральный коэффициент пропускания фотометрического шара;

- относительная спектральная световая эффективность монохроматического излучения для дневного зрения;

- относительная спектральная чувствительность фотометрической головки.
Для проведения измерений спектральных характеристик излучения светодиодов должен быть использован спектрорадиометр с полосой пропускания не более 5 нм.
Шаг сканирования должен быть не более 2,5 нм.
Результаты измерений сравнивают с измерением спектральных характеристик излучения стандартных светодиодов разных цветов.
7.1 Режим облучения
Измеряют излучение от светодиода, распространяющееся в одном направлении в пределах малого телесного угла.
Спектрорадиометр калибруют с помощью стандартной спектральной лампы (как правило, квазигалогеновой лампы с вольфрамовой нитью). Для калибровки используют фотометрический шар диаметром 50 мм. Излучение от стандартной лампы и испытуемого светодиода должно попадать в спектрорадиометр с одинаковым пространственным и угловым распределением и одинаковыми условиями поляризации.
7.1.1 Измерение средней силы света светодиода
Спектрорадиометр в режиме облучения должен быть настроен по оптической схеме A или B (см.
5.1) и калиброван по абсолютному спектральному облучению. Измеряют абсолютную спектральную плотность энергетической освещенности

светодиода. Среднюю силу света светодиода
Iсд вычисляют по формуле

(15)
где l - расстояние между светодиодом и плоскостью входной диафрагмы спектрорадиометра, м;

- относительная спектральная световая эффективность монохроматического излучения для дневного зрения.
7.2 Режим полного светового потока
Измеряют среднее пространственное распределение спектральной характеристики излучения светодиода. Оптическая схема измерений представлена на рисунке 6.
Рисунок 6 - Оптическая схема измерений
в режиме полного потока
Систему (спектрорадиометр плюс шар) калибруют с помощью стандартной лампы полного потока спектрального излучения (как правило, лампы накаливания с вольфрамовой нитью). Спектральный поток пространственно интегрируют по всему телесному углу.
7.2.1 Измерение полного светового потока
Измеряют абсолютную плотность спектрального потока излучения светодиода

. Полный световой поток

вычисляют по формуле

(16)
где

- относительная спектральная световая эффективность монохроматического излучения для дневного зрения.
7.3 Режим частичного светового потока
Оптическая схема измерений представлена на рисунке 7.
Рисунок 7 - Оптическая схема измерений
в режиме частичного светового потока
Систему (спектрорадиометр плюс шар) калибруют по абсолютному потоку спектрального излучения с помощью стандартной лампы спектрального излучения.
Если площадь диафрагмы
A известна, абсолютную плотность спектрального потока излучения светодиода, попадающего в сферу

, вычисляют по формуле

(17)
где

- спектральная плотность энергетической освещенности (СПЭО);
ka - поправочный коэффициент для среднего значения СПЭО на отверстии шара относительно площади, по которой калибруют излучение от лампы.
7.3.1 Измерение частичного светового потока
С помощью калиброванного по абсолютной плотности спектрального потока спектрорадиометра измеряют частичный спектральный поток излучения светодиода

. После этого частичный световой поток излучения светодиода

вычисляют по формуле

(18)
где

- относительная спектральная световая эффективность монохроматического излучения для дневного зрения.
8 Определение колориметрических характеристик
Цвет света, излучаемого светодиодом, зависит от координат цветности, которые могут быть получены следующими способами:
- расчетом из спектрального распределения мощности излучения;
- определением доминирующей длины волны;
- определением характеристик монохроматичности.
8.1 Расчет цветовых характеристик из спектрального распределения мощности излучения
Каждый цветовой оттенок, характеризующийся спектральной плотностью мощности излучения

, может быть выражен набором трех параметров
ГОСТ 8.205:

(19)

(20)

(21)
где
X,
Y и
Z - значения трех основных цветов, соответствующие возбуждению (т.е. мощности) каждой из составляющих трех основных цветов (красного, зеленого и синего), образующих излучение цвета

;

,

,

- удельные координаты цвета для стандартного колориметрического наблюдателя.
Значения
X,
Y и
Z указывают на количество красного, зеленого и синего цветов в спектре

.
На практике удобнее использовать координаты цветности (x, y), которые рассчитывают по формулам:

(22)

(23)
В соответствии с формулами (22) и (23) значение координаты цветности определяет степень возбуждения одной из групп цветовых рецепторов, деленную на нормированное суммарное возбуждение (X + Y + Z). Значение координаты z вычисляют с помощью аналогичного выражения:

(24)
8.2 Определение доминирующей длины волны
Доминирующей длиной волны калибруемого светодиода считают длину волны монохроматического излучения, расположенную на краю цветовой диаграммы (рисунок 7) в месте пересечения прямой линии, проведенной к краю диаграммы, проходящей через точку равной энергии (x = 0,3333, y = 0,3333) источника белого света и точку с координатами цветности (x, y), соответствующими калибруемому источнику света с границей локуса. Точка пересечения этой прямой с внешней границей цветовой диаграммы и будет определять доминирующую длину волны источника.
В центре показана точка равной энергии (N) с координатами (1/3, 1/3);
C - точка с координатами цветности исследуемого источника;
D - точка на границе цветовой диаграммы, указывающая доминирующую длину волны.
| | ИС МЕГАНОРМ: примечание. Нумерация рисунков дана в соответствии с официальным текстом документа. | |
Рисунок 7 - Цветовая диаграмма МКО 1931
[7]
8.3 Определение характеристик монохроматичности
Характеристикой монохроматичности считают условную чистоту цвета светодиода p, определяемую по следующим формулам:

(25)
или

(26)
где x и y - координаты цветности рассматриваемого излучения;
xn и yn - координаты цветности ахроматического излучения;
xd и yd - координаты цветности доминирующей длины волны.
| Рекомендации по межгосударственной стандартизации РМГ 29-99 | Государственная система обеспечения единства измерений. Метрология. Основные термины и определения |
| Стандарт ИСО 23539:2005(E)/ МКО S 010/E:2004 | Фотометрия. Система физической фотометрии МКО |
| Рекомендации Международной комиссии по освещению (МКО), Публикация N 69-1987 | Методы исследований характеристик люксметров и яркомеров |
| Рекомендации Международной комиссии по освещению (МКО), Публикация N 84-1989 | Измерение светового потока |
| Рекомендации Международной комиссии по освещению (МКО), Публикация N 202-2011 | Определение спектральной чувствительности детекторов, радиометров и фотометров |
| Рекомендации Международной комиссии по освещению (МКО), Публикация N 64-1984 | Определение спектральной чувствительности детекторов оптического излучения |
| Стандарт ИСО 11664-1:2007(E)/ МКО S 014-1/E:2006 | Колориметрия МКО. Часть 1. Стандартные колориметрические наблюдатели |