Главная // Актуальные документы // ГОСТ Р (Государственный стандарт)СПРАВКА
Источник публикации
М.: Стандартинформ, 2014
Примечание к документу
Документ
введен в действие с 1 июля 2014 года.
Название документа
"ГОСТ Р ИСО 9342-1-2013. Национальный стандарт Российской Федерации. Оптика и оптические приборы. Контрольные линзы для настройки и поверки диоптриметров. Часть 1. Контрольные линзы для диоптриметров, используемых для измерений параметров очковых линз"
(утв. и введен в действие Приказом Росстандарта от 06.09.2013 N 1021-ст)
"ГОСТ Р ИСО 9342-1-2013. Национальный стандарт Российской Федерации. Оптика и оптические приборы. Контрольные линзы для настройки и поверки диоптриметров. Часть 1. Контрольные линзы для диоптриметров, используемых для измерений параметров очковых линз"
(утв. и введен в действие Приказом Росстандарта от 06.09.2013 N 1021-ст)
Утвержден и введен в действие
агентства по техническому
регулированию и метрологии
от 6 сентября 2013 г. N 1021-ст
НАЦИОНАЛЬНЫЙ СТАНДАРТ РОССИЙСКОЙ ФЕДЕРАЦИИ
ОПТИКА И ОПТИЧЕСКИЕ ПРИБОРЫ
КОНТРОЛЬНЫЕ ЛИНЗЫ ДЛЯ НАСТРОЙКИ И ПОВЕРКИ ДИОПТРИМЕТРОВ
ЧАСТЬ 1
КОНТРОЛЬНЫЕ ЛИНЗЫ ДЛЯ ДИОПТРИМЕТРОВ, ИСПОЛЬЗУЕМЫХ
ДЛЯ ИЗМЕРЕНИЙ ПАРАМЕТРОВ ОЧКОВЫХ ЛИНЗ
ISO 9342-1:2005
Optics and optical instruments - Test lenses for calibration
of focimeters - Part 1: Test lenses for focimeters used
for measuring spectacle lenses
(IDT)
ГОСТ Р ИСО 9342-1-2013
Дата введения
1 июля 2014 года
1 ПОДГОТОВЛЕН Федеральным государственным унитарным предприятием "Всероссийский научно-исследовательский институт оптико-физических измерений" (ФГУП "ВНИИОФИ") на основе собственного аутентичного перевода международного стандарта, указанного в
пункте 4
2 ВНЕСЕН Управлением метрологии Федерального агентства по техническому регулированию и метрологии, Техническим комитетом по стандартизации ТК 206 "Эталоны и поверочные схемы"
3 УТВЕРЖДЕН И ВВЕДЕН В ДЕЙСТВИЕ
Приказом Федерального агентства по техническому регулированию и метрологии от 06 сентября 2013 г. N 1021-ст
4 Настоящий стандарт идентичен международному стандарту ИСО 9342-1:2005 "Оптика и оптические приборы. Контрольные линзы для настройки и поверки диоптриметров. Часть 1. Контрольные линзы для диоптриметров, используемых для измерений параметров очковых линз" (ISO 9342-1:2005 "Optics and optical instruments - Test lenses for calibration of focimeters - Part 1: Test lenses for focimeters used for measuring spectacle lenses").
При применении настоящего стандарта рекомендуется использовать вместо ссылочных международных стандартов соответствующие им национальные стандарты, сведения о которых приведены в дополнительном
приложении ДА
5 ВВЕДЕН ВПЕРВЫЕ
Правила применения настоящего стандарта установлены в ГОСТ Р 1.0-2012 (раздел 8). Информация об изменениях к настоящему стандарту публикуется в ежегодном (по состоянию на 1 января текущего года) информационном указателе "Национальные стандарты", а официальный текст изменений и поправок - в ежемесячном информационном указателе "Национальные стандарты". В случае пересмотра (замены) или отмены настоящего стандарта соответствующее уведомление будет опубликовано в ближайшем выпуске ежемесячного информационного указателя "Национальные стандарты". Соответствующая информация, уведомление и тексты размещаются также в информационной системе общего пользования - на официальном сайте Федерального агентства по техническому регулированию и метрологии в сети Интернет (gost.ru).
к международному стандарту ИСО 9342-1:2005
"Оптика и оптические приборы. Контрольные линзы
для настройки и поверки диоптриметров. Часть 1. Контрольные
линзы для диоптриметров, используемых для измерений
параметров очковых линз"
ИСО (Международная организация по стандартизации, ISO) - всемирная федерация национальных органов стандартизации (членов ассоциации). Разработку международных стандартов, как правило, проводят технические комитеты. Каждый член ассоциации, заинтересованный в тематике, закрепленной за данным техническим комитетом, имеет право быть представленным в этом комитете. Международные правительственные и неправительственные организации, связанные с ИСО, также принимают участие в работе. ИСО тесно сотрудничает с Международной электротехнической комиссией [МЭК, (IEC)] по всем вопросам стандартизации в области электротехники.
Проекты международных стандартов разрабатывают в соответствии с правилами, изложенными в Директивах ИСО/МЭК, часть 2.
Проекты международных стандартов, принятые техническими комитетами, рассылают членам ассоциации для голосования. Публикация в качестве международного стандарта требует одобрения не менее 75% членов ассоциации, принявших участие в голосовании.
Международный стандарт ИСО 9342-1 подготовлен подкомитетом ПК 7 "Офтальмологическая оптика и приборы" технического комитета ИСО/ТК 172 "Оптика и оптические приборы".
| | ИС МЕГАНОРМ: примечание. Текст дан в соответствии с официальным текстом документа. | |
Это первое издание отменяет и заменяет ИСО 9342:1996, в том числе пункт 1 пункты A.5 на A.7 было методически пересмотрено.
Серия стандартов ИСО 9342 под групповым заголовком "Оптика и оптические приборы. Контрольные линзы для настройки и поверки диоптриметров", общим для стандартов указанной серии, состоит из следующих частей:
- часть 1. Контрольные линзы для диоптриметров, используемых для измерений параметров очковых линз;
- часть 2. Контрольные линзы для диоптриметров, используемых для измерений параметров контактных линз.
к национальному стандарту Российской Федерации
ГОСТ Р ИСО 9342-1-2013 "Оптика и оптические приборы.
Контрольные линзы для настройки и поверки диоптриметров.
Часть 1. Контрольные линзы для диоптриметров, используемых
для измерений параметров очковых линз"
Целью настоящего стандарта является прямое применение в Российской Федерации международного стандарта ИСО 9342-1:2005 "Оптика и оптические приборы. Контрольные линзы для настройки и поверки диоптриметров. Часть 1. Контрольные линзы для диоптриметров, используемых для измерений параметров очковых линз" как основы для изготовления и поставки объекта стандартизации по договорам (контрактам) на экспорт.
ГОСТ Р ИСО 9342-1-2013 представляет собой полный аутентичный текст международного стандарта ИСО 9342-1:2005.
Настоящий стандарт определяет требования для контрольных линз, используемых для настройки и поверки диоптриметров, измеряющих параметры очковых линз.
Примечание - Допускается использовать другие линзы с рефракцией в пределах данного диапазона, изготовленных в соответствии с теми же требованиями по точности и форме, но с различной задней вершинной рефракцией, однако, только линзы имеющие целое значение номинальной рефракции, как описано в
приложении А, могут быть использованы для настройки и поверки диоптриметров с цифровым округлением измеряемых значений.
Следующие стандарты содержат положения, которые посредством ссылок в тексте составляют положения настоящего стандарта. На момент публикации указанные издания были действующими. Все стандарты подлежат пересмотру, поэтому при пользовании ссылочными стандартами рекомендуется применять их последние издания. Члены МЭК и ИСО ведут реестры действующих в настоящее время стандартов.
В настоящем стандарте использована нормативная ссылка на следующий стандарт:
ИСО 7944 Оптика и оптические приборы. Эталонные значения длин волн (ISO 7944, Optics and optical instruments - Reference wavelengths)
В настоящем стандарте применены следующие термины с соответствующими определениями:
3.1 сферические контрольные линзы: Линзы, используемые для настройки и поверки диоптриметров, измеряющих оптическую силу, у которых задняя вершинная рефракция выражена в диоптриях (D и дптр).
3.2 призматические контрольные линзы: Линзы, используемые для настройки и поверки диоптриметров, измеряющих призменное отклонение, у которых призматическое действие выражено в сантиметрах отклонения светового луча на метр расстояния (см/м).
Примечание - Специальное наименование для единиц призматического действия - "призменная диоптрия", для ее обозначения используется символ

и пр дптр.
3.3 цилиндрические контрольные линзы: Линзы с цилиндрическими гранями, используемые для настройки и поверки маркера оси и оси индикатора по отношению к корректировке ориентации направляющей.
Примечание - Эти линзы, как правило, имеют специальную форму и обозначение.
3.4 эталонная длина волны: Длины волн в соответствии с ИСО 7944.
Примечание - В данной части ИСО 9342 основные длины волн: зеленая линия ртути (
e-линия)

или желтая линия гелия (
d-линия)

.
4 Конструктивные требования и рекомендации для контрольных линз
4.1 Общие положения
Контрольные линзы должны быть изготовлены из однородного прозрачного крона с показателем преломления nd = 1,523 +/- 0,002 или ne = 1,525 +/- 0,002 без пузырьков и свилей на площади, ограниченной окружностью радиусом 4 мм от центра светового диаметра.
Должна быть указана эталонная длина волны, на которой была откалибрована линза.
Линзы должны иметь защитные крепления, с которыми при правильном размещении линз в держателе ничто не мешает работе диоптриметра.
4.2 Сферические контрольные линзы
Для полного набора сферических линз рекомендованы следующие значения задней вершинной рефракции:
-25 D, -20 D, -15 D, -10 D, -5 D, +5 D, +10 D, +15 D, +20 D, +25 D.
Световой диаметр: не менее 15 мм.
Кривизна задней поверхности и толщина по центру должны примерно соответствовать очковым линзам, чтобы свести к минимуму влияние сферической аберрации. В таблице 1 приведены номинальные значения оптической силы задней поверхности и диапазоны толщин по центру, при которых линзы гарантированно имеют правильную форму.
Таблица 1
Конструктивные диапазоны для стандартных контрольных линз
Номинальное значение задней вершинной рефракции (ЗВР), м-1 (D) | Номинальная оптическая сила задней поверхности (ОСЗП), м-1 (D) | Диапазон для ОСЗП, м-1 (D) | Диапазон толщины по центру, мм |
-25 | -25 | +/- 1 | 2 - 6 |
-20 | -20 | 2 - 6 |
-15 | -15 | 2 - 6 |
-10 | -12 | 2 - 8 |
-5 | -9 | 2 - 8 |
+5 | -5 | 3 - 7 |
+10 | -3 | 3 - 7 |
+15 | -1 | 5 - 7 |
+20 | 0 | 7 - 9 |
+25 | 0 | 9 - 11 |
Примечание - оптическую силу сферической поверхности определяют по формуле: оптическая сила поверхности = (показатель преломления - 1)/радиус кривизны, м. |
4.3 Призматические контрольные линзы
Оптическая поверхность призматических линз должна быть плоская.
Число призматических линз, используемых для настройки или поверки диоптриметра, зависит от диапазона измерений прибора. Контрольная линза должна соответствовать настоящему стандарту.
Для полного комплекта рекомендован следующий ряд значений призменного отклонения:
4.4 Цилиндрические контрольные линзы
Линзы должны быть прямоугольные положительные плоско-цилиндрические не менее 5 D и иметь размеры, приведенные на рисунке 1. Оси цилиндра должны быть параллельны длинной стороне прямоугольника и отмечены. Одна из длинных сторон должна быть отмечена в качестве опорной стороны.
Размеры в миллиметрах
1 - Центральная линия
Рисунок 1 - Цилиндрическая линза
5.1 Допускаемые отклонения для сферических контрольных линз
Допускаемые отклонения для сферических линз приведены в
таблице 2.
Примечание - В
приложении А приведен пример конструкции линзы, которая соответствует значениям, приведенным в
таблицах 1 и 2 для светового диаметра до 9 мм.
Таблица 2
Допускаемые отклонения для сферических контрольных линз
Номинальное значение задней вершинной рефракции, м-1 (D, дптр) | Допускаемое отклонение (максимальное отклонение), м-1 (D, дптр) |
-25 | 0,03 |
-20 | 0,02 |
-15 | 0,02 |
-10 | 0,01 |
-5 | 0,01 |
+5 | 0,01 |
+10 | 0,02 |
+15 | 0,02 |
+20 | 0,03 |
+25 | 0,03 |
5.2 Допускаемые отклонения для призматических контрольных линз
Световой диаметр призматических контрольных линз не менее 15 мм. Допускаемые отклонения не более значений, приведенных в таблице 3.
Таблица 3
Допускаемые отклонения для призматических контрольных линз
Призменное отклонение, см/м (  , пр дптр) | Допускаемое отклонение, см/м (  , пр дптр) |
2 | +/- 0,02 |
5 | +/- 0,03 |
10 | +/- 0,05 |
15 | +/- 0,10 |
20 | +/- 0,15 |
5.3 Допускаемые отклонения для цилиндрических контрольных линз
Угловое отклонение между осью цилиндра и длинной стороной прямоугольника (см.
рисунок 1) не более 20'.
Смещения осевой линии от афокального меридиана не более 0,1 мм.
Эти допускаемые отклонения не должны быть аддитивными и допускать угловое отклонение между осью цилиндра и центральной линией более 20'.
(справочное)
ПРОИЗВОДСТВО КОНТРОЛЬНЫХ ЛИНЗ ДЛЯ ДИОПТРИМЕТРОВ
А.1 Общие положения
Сферические контрольных линзы, параметры которых удовлетворяют допускаемым отклонениям (см.
5.1), могут быть изготовлены согласно следующим спецификациям и методам.
Для изготовления контрольных линз в соответствии с данным приложением производителю необходимо иметь пробные стекла для проверки радиусов и формы сферической оптической поверхности, которые позволят проверить поверхности изготовленных контрольных линз стандартными оптическими методами.
А.2 Выбор стекла
Согласно данному методу для изготовления сферических контрольных линз необходимо стекло высокой степени однородности.
Показатель преломления должен быть известен с точностью +/- 5·10-5. Следует выбирать стекло с показателем преломления ne = 1,525 +/- 0,001 и nd = 1,523 +/- 0,001. Дисперсия v должна составлять 59 +/- 4.
А.3 Расчет номинального радиуса кривизны задней поверхности
Номинальный радиус кривизны задней поверхности (например, той, которая соприкасается с упором диоптриметра) может быть найден в
таблице 1.
Для каждого номинального значения задней вершинной рефракции задано номинальное значение оптической силы задней поверхности. Номинальное значение радиуса кривизны задней поверхности вычисляют по формуле, указанной в
примечании к таблице 1.
А.4 Выбор ближайшего стандартного значения радиуса кривизны
Используя результат, полученный в
А.3, выбирают из доступных пробных стекол те, радиус кривизны которых наиболее близок к рассчитанному значению.
А.5 Расчет толщины линзы и выбор радиуса кривизны передней поверхности
Используя выбранное значение радиуса кривизны задней поверхности, требуемое значение вершинной рефракции и толщины по центру, указанной в
таблице 1, рассчитывают радиус кривизны передней поверхности по
формуле (А.2). Значение радиуса кривизны сравнивают с доступными пробными стеклами, из которых выбирают наиболее близкое по радиусу к требуемому значению в качестве радиуса кривизны передней поверхности. Затем для расчета толщины по центру по
формуле (А.3) подставляют выбранные значения радиусов кривизны передней и задней поверхностей и известный показатель преломления.
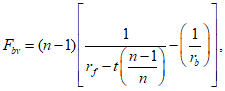
Формула (А.1) задней вершинной рефракции Fbv является функцией четырех переменных: радиуса кривизны передней поверхности, радиуса кривизны задней поверхности, показателя преломления материала линзы, и толщины по центру линзы:

(А.1)
где n - показатель преломления материала линзы на основной длине волны;
rf - радиус кривизны передней поверхности;
t - толщина линзы по центру;
rb - радиус кривизны задней поверхности.
Формулу (А.1) преобразуют к виду (А.2) для вычисления радиуса кривизны передней поверхности, когда известны задняя вершинная рефракция, радиус кривизны задней поверхности, показатель преломления и толщина по центру:

(А.2)
Формулу (А.2) преобразуют к виду (А.3) для вычисления толщины по центру, когда известны задняя вершинная рефракция, радиус кривизны задней поверхности, показатель преломления и радиус кривизны передней поверхности:

(А.3)
А.6 Определение оптической силы задней поверхности линзы и допустимое отклонение погрешности
Значение задней вершинной рефракции линзы, изготовленной согласно методам по
А.3,
А.4 и
А.5, будет близким к расчетному значению, однако, для контрольной линзы необходимо более точное значение. Для нахождения точного значения задней вершинной рефракции контрольной линзы необходимо измерить ее параметры. Показатель преломления материала линзы обычно заявлен производителем и известен с точностью +/- 0,00005. Радиусы кривизны поверхностей измеряют интерферометрическими методами с погрешностью +/- 1·10
-5 м (10 мкм). Толщина по центру может быть измерена с погрешностью +/- 3·10
-6 м (3 мкм).
Погрешность значения задней вершинной рефракции, возникающая из-за погрешности определения одной из составляющих переменных значений, вычисляют как произведение частной производной функции Fbv по данной переменной на ее погрешность. Выражения для четырех частных производных следующие:
Данные уравнения могут быть упрощены введением следующих обозначений:

- оптическая сила передней поверхности, скорректированная на толщину линзы;

- оптическая сила задней поверхности линзы;

- задняя вершинная рефракция.
Погрешность
Fbv, возникающая из-за погрешности измерений
rf, обозначают

и вычисляют по формуле
где drf - погрешность значения rf.
Погрешность
Fbv, возникающая из-за погрешности измерений
rb, обозначают

и вычисляют по формуле
где drb - погрешность rb.
Погрешность Fbv, возникающая из-за погрешности измерений n, обозначают "dFbvn" и вычисляют по формуле
где dn - погрешность n.
Погрешность Fbv, возникающая из-за погрешности измерений t, обозначают dFbvt и вычисляют по формуле
где dt - погрешность t.
Суммарную погрешность контрольной линзы, учитывающую одновременное влияние всех погрешностей составляющих величин вычисляют по формуле
А.7 Пример расчета ожидаемой погрешности
Для иллюстрации метода расчета ожидаемой погрешности по
А.6 зададим следующие условия.
Номинальное значение задней вершинной рефракции образцовой линзы: 15 дптр. Материал линзы имеет показатель преломления nd, равный 1,52249, толщина линзы по центру: 5,40 мм. Радиусы кривизны поверхностей линзы rf, равный 34,47 мм, и rb, равный 510,53 мм.
Совокупность данных параметров дает линзу со следующими значениями оптической силы передней и задней поверхности:
и тогда значение задней вершинной рефракции
Fbv = 16,02 - 1,02 = 15,00 дптр.
Погрешности измерений составляющих переменных:
drf = 1 x 10-5 м;
drb = 1 x 10-5 м;
dn = 3 x 10-5;
dt = 3 x 10-6 м;
Таким образом, оптическая сила контрольной линзы равна 15,00 +/- 0,005 дптр, что соответствует значениям, приведенным в
таблице 2.
(справочное)
СВЕДЕНИЯ О СООТВЕТСТВИИ ССЫЛОЧНЫХ МЕЖДУНАРОДНЫХ СТАНДАРТОВ
НАЦИОНАЛЬНЫМ СТАНДАРТАМ РОССИЙСКОЙ ФЕДЕРАЦИИ
Таблица ДА.1
Обозначение ссылочного международного стандарта | Степень соответствия | Обозначение и наименование соответствующего национального стандарта |
| | ИС МЕГАНОРМ: примечание. В официальном тексте документа, видимо, допущена опечатка: стандарт "Оптика и оптические приборы. Эталонные значения длин волн" имеет номер ГОСТ Р ИСО 7944-2013 (ISO 7944:1998), а не ГОСТ Р ИСО 7944:1998. | |
|
ИСО 7944 | IDT | |
Примечание - В настоящей таблице использовано следующее условное обозначение степени соответствия стандартов: - IDT - идентичные стандарты. |