Главная // Актуальные документы // ГОСТ Р (Государственный стандарт)СПРАВКА
Источник публикации
М.: Стандартинформ, 2014
Примечание к документу
Документ
введен в действие с 1 января 2015 года.
Название документа
"ГОСТ Р ИСО 7944-2013. Национальный стандарт Российской Федерации. Оптика и оптические приборы. Эталонные значения длин волн"
(утв. и введен в действие Приказом Росстандарта от 06.09.2013 N 1020-ст)
"ГОСТ Р ИСО 7944-2013. Национальный стандарт Российской Федерации. Оптика и оптические приборы. Эталонные значения длин волн"
(утв. и введен в действие Приказом Росстандарта от 06.09.2013 N 1020-ст)
Утвержден и введен в действие
по техническому регулированию
и метрологии
от 6 сентября 2013 г. N 1020-ст
НАЦИОНАЛЬНЫЙ СТАНДАРТ РОССИЙСКОЙ ФЕДЕРАЦИИ
ОПТИКА И ОПТИЧЕСКИЕ ПРИБОРЫ
ЭТАЛОННЫЕ ЗНАЧЕНИЯ ДЛИН ВОЛН
Optics and optical instruments. Reference wavelengths
ISO 7944:1998
Optics and optical instruments - Reference wavelengths
(IDT)
ГОСТ Р ИСО 7944-2013
Дата введения
1 января 2015 года
1 ПОДГОТОВЛЕН Федеральным государственным унитарным предприятием "Всероссийский научно-исследовательский институт оптико-физических измерений" (ФГУП "ВНИИОФИ") на основе собственного аутентичного перевода международного стандарта, указанного в
пункте 4
2 ВНЕСЕН Управлением метрологии Федерального агентства по техническому регулированию и метрологии
3 УТВЕРЖДЕН И ВВЕДЕН В ДЕЙСТВИЕ
Приказом Федерального агентства по техническому регулированию и метрологии от 6 сентября 2013 г. N 1020-ст
4 Настоящий стандарт идентичен международному стандарту ИСО 7944:1998 "Оптика и оптические приборы. Эталонные значения длин волн" (ISO 7944:1998 "Optics and optical instruments - Reference wavelengths").
Правила применения настоящего стандарта установлены в ГОСТ Р 1.0-2012
(раздел 8). Информация об изменениях к настоящему стандарту публикуется в ежегодном (по состоянию на 1 января текущего года) информационном указателе "Национальные стандарты", а официальный текст изменений и поправок - в ежемесячном информационном указателе "Национальные стандарты". В случае пересмотра (замены) или отмены настоящего стандарта соответствующее уведомление будет опубликовано в ближайшем выпуске информационного указателя "Национальные стандарты". Соответствующая информация, уведомление и тексты размещаются также в информационной системе общего пользования - на официальном сайте Федерального агентства по техническому регулированию и метрологии в сети Интернет (gost.ru)
к международному стандарту ИСО 7944:1998 "Оптика
и оптические приборы. Эталонные значения длин волн"
ИСО (Международная организация по стандартизации, ISO) - всемирная федерация национальных органов стандартизации (членов ассоциации). Разработку международных стандартов, как правило, проводят технические комитеты. Каждый член ассоциации, заинтересованный в тематике, закрепленной за данным техническим комитетом, имеет право быть представленным в этом комитете. Международные правительственные и неправительственные организации, связанные с ИСО, также принимают участие в работе. ИСО тесно сотрудничает с Международной электротехнической комиссией [МЭК, (IEC)] по всем вопросам стандартизации в области электротехники.
Проекты международных стандартов, принятые техническими комитетами, рассылают членам ассоциации для голосования. Публикация в качестве международного стандарта требует одобрения не менее 75% членов ассоциации, принявших участие в голосовании.
Международный стандарт ИСО 7944 подготовлен техническим комитетом ИСО/ТК 172 "Оптика и оптические приборы".
Настоящее второе издание ИСО 7944 отменяет и заменяет первое издание (ISO 7984:1984), которое технически переработано.
к национальному стандарту Российской Федерации
ГОСТ Р ИСО 7944-2013 "Оптика и оптические приборы.
Эталонные значения длин волн"
Целью настоящего стандарта является прямое применение в Российской Федерации международного стандарта ИСО 7944:1998 "Оптика и оптические приборы. Эталонные значения длин волн" как основы для изготовления и поставки объекта стандартизации по договорам (контрактам) на экспорт.
ГОСТ Р ИСО 7944-2013 представляет собой полный аутентичный текст международного стандарта ИСО 7944:1998.
Настоящий стандарт устанавливает две основные длины волн для определения характеристик оптических материалов, оптических систем и приборов, а также очковых линз. Стандарт определяет соответствующие значения показателей преломления и средней дисперсии, а также числа Аббе для основной длины волны и средней дисперсии.
2. Основные длины волн, средние дисперсии и числа Аббе
2.1 Общие положения
Основными длинами волн являются
e-линия ртути 546,07 нм (см.
2.2) и
d-линия гелия 587,56 нм (см.
2.3).
Для всех областей применения, кроме офтальмологии, основной длиной волны является e-линия ртути.
Другие длины волн, которые могут быть использованы дополнительно к указанным, приведены в таблицах 1 -
3.
Примечание - Предусматривается, что в перспективе будет определена только одна основная длина волны, в том числе для офтальмологии.
Таблица 1
Основные длины волн и рекомендуемые длины волн в видимом
и ультрафиолетовом спектральных диапазонах
Спектральные линии | Элемент | Длина волны, нм | Основная длина волны, нм | Показателя преломления для основной длины волны |
УФ, ртуть, i-линия | Hg | | - | - |
Фиолетовый, ртуть, h-линия | Hg | 404,66 | - | - |
Синий, ртуть, g-линия | Hg | 435,83 | - | - |
Синий, кадмий, F'-линия | Cd | 479,99 | - | - |
Синий, водород, F-линия | H | 486,13 | - | - |
Зеленый, ртуть, e-линия | Hg | 546,07 | 546,07 | ne |
Желтый, гелий, d-линия | He | 587,56 | 587,56 | nd |
Красный, кадмий, C'-линия | Cd | 643,85 | - | - |
Красный, водород, C-линия | H | 656,27 | - | - |
Красный, гелий, r-линия | He | 706,52 | - | - |
<*> Должна быть использована данная спектральная линия триплета ртути. |
Таблица 2
Рекомендуемые длины волн инфракрасного
спектрального диапазона
Элемент | Длина волны, нм |
Rb | 780,0 |
Cs | |
Hg | |
Hg | 1128,66 |
Hg | 1395,1 |
Hg | 1529,6 |
Hg | 1813,1 |
Hg | 1970,1 |
Hg | 2325,4 |
|
Таблица 3
Рекомендуемые лазерные длины волн
Активная среда | He-Ne | He-Ne | Nd:YAG |
Длина волны, нм | 543,5 | 632,8 | 1064,1 |
2.2 e-линия ртути 546,07 нм
Показатель преломления для основной длины волны ne является показателем преломления для зеленой e-линии ртути, и соответствующее значение средней дисперсии определяют как nF' - nC',
где nF' - показатель преломления для синий F'-линии кадмия;
nC' - показатель преломления для красной C'-линии кадмия.
Число Аббе ve для основной длины волны и соответствующей средней дисперсии определяют по формуле

.
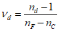
2.3
d-линия гелия 587,56 нм
Показатель преломления для основной длины волны nd является показателем преломления для желтой d-линии гелия, и соответствующее значение средней дисперсии определяют как nF - nC,
где nF - показатель преломления для голубой F-линии водорода;
nC - показатель преломления для красной C-линии водорода.
Число Аббе vd для основной длины волны и соответствующей средней дисперсии определяют по формуле

.