Главная // Актуальные документы // ГОСТ Р (Государственный стандарт)СПРАВКА
Источник публикации
М.: Стандартинформ, 2014
Примечание к документу
Текст данного документа приведен с учетом
поправки, опубликованной в "ИУС", N 2, 2015.
Документ
введен в действие с 1 июля 2014 года.
Название документа
"ГОСТ Р ИСО 9241-303-2012. Национальный стандарт Российской Федерации. Эргономика взаимодействия человек-система. Часть 303. Требования к электронным видеодисплеям"
(утв. и введен в действие Приказом Росстандарта от 29.11.2012 N 1336-ст)
"ГОСТ Р ИСО 9241-303-2012. Национальный стандарт Российской Федерации. Эргономика взаимодействия человек-система. Часть 303. Требования к электронным видеодисплеям"
(утв. и введен в действие Приказом Росстандарта от 29.11.2012 N 1336-ст)
Утвержден и введен в действие
агентства по техническому
регулированию и метрологии
от 29 ноября 2012 г. N 1336-ст
НАЦИОНАЛЬНЫЙ СТАНДАРТ РОССИЙСКОЙ ФЕДЕРАЦИИ
ЭРГОНОМИКА ВЗАИМОДЕЙСТВИЯ ЧЕЛОВЕК-СИСТЕМА
ЧАСТЬ 303
ТРЕБОВАНИЯ
К ЭЛЕКТРОННЫМ ВИДЕОДИСПЛЕЯМ
Ergonomics of human-system interaction. Part 303.
Requirements for electronic visual display
ISO 9241-303:2008
Ergonomics of human-system interaction - Part 303:
Requirements for electronic visual display
(IDT)
ГОСТ Р ИСО 9241-303-2012
Дата введения
1 июля 2014 года
Цели и принципы стандартизации в Российской Федерации установлены Федеральным
законом от 27 декабря 2002 г. N 184-ФЗ "О техническом регулировании", а правила применения национальных стандартов Российской Федерации -
ГОСТ Р 1.0-2004 "Стандартизация в Российской Федерации. Основные положения"
1 ПОДГОТОВЛЕН Автономной некоммерческой организацией "Научно-технический центр сертификации электрооборудования" (НТЦСЭ) "ИСЭП" на основе аутентичного перевода на русский язык стандарта, указанного в
пункте 4
2 ВНЕСЕН Техническим комитетом по стандартизации ТК 452 "Безопасность аудио-, видео-, электронной аппаратуры, оборудования информационных технологий и телекоммуникационного оборудования"
3 УТВЕРЖДЕН И ВВЕДЕН В ДЕЙСТВИЕ
Приказом Федерального агентства по техническому регулированию и метрологии от 29 ноября 2012 г. N 1336-ст
4 Настоящий стандарт идентичен международному стандарту ИСО 9241-303:2008 "Эргономика взаимодействия человек-система. Часть 303. Требования к электронным видеодисплеям" (ISO 9241-303:2008 "Ergonomics of human-system interaction - Part 303: Requirements for electronic visual display")
При применении настоящего стандарта рекомендуется использовать вместо ссылочных международных стандартов соответствующие им национальные стандарты Российской Федерации, сведения о которых приведены в дополнительном
приложении ДА
5 ВВЕДЕН ВПЕРВЫЕ
Правила применения настоящего стандарта установлены в ГОСТ Р 1.0-
2012 (раздел 8). Информация об изменениях к настоящему стандарту публикуется в ежегодном (по состоянию на 1 января текущего года) информационном указателе "Национальные стандарты", а официальный текст изменений и поправок - в ежемесячном информационном указателе "Национальные стандарты". В случае пересмотра (замены) или отмены настоящего стандарта соответствующее уведомление будет опубликовано в ближайшем выпуске информационного указателя "Национальные стандарты". Соответствующая информация, уведомление и тексты размещаются также в информационной системе общего пользования - на официальном сайте Федерального агентства по техническому регулированию и метрологии в сети Интернет (gost.ru)
Международная организация по стандартизации (ИСО) является всемирной федерацией национальных организаций по стандартизации (национальных комитетов - членов ИСО). Разработка международных стандартов осуществляется техническими комитетами ИСО. Каждый национальный комитет, заинтересованный в деятельности, для которой создан технический комитет, имеет право быть представленным в этом комитете. Международные правительственные и неправительственные организации, взаимодействующие с ИСО, также принимают участие в этой работе. По вопросам стандартизации в области электротехники ИСО тесно сотрудничает с Международной электротехнической комиссией (МЭК).
Международные стандарты разрабатываются в соответствии с Директивами ИСО/МЭК, часть 2.
Международный стандарт ИСО 9241-303 подготовлен техническим комитетом ИСО/ТК 159 "Эргономика", подкомитет ПК 4 "Эргономика взаимодействия человек-система".
Серия стандартов ИСО 9241 первоначально была разработана как международный стандарт, состоящий из семнадцати частей по эргономическим требованиям для выполнения офисных работ с использованием видеодисплейных терминалов. В процессе пересмотра стандартов основное реструктурирование ИСО 9241 было согласовано, чтобы расширить его область, включить другие смежные стандарты и тем самым сделать его более удобным в работе.
Обзор всех стандартов серии ИСО 9241 приведен в
приложении A.
Настоящий стандарт устанавливает требования к качеству изображения, а также основные принципы в отношении электронных видеодисплеев. Представление функциональных характеристик и рекомендаций в единой форме, не зависящей от технологий и окружающей среды, гарантирует эффективные и комфортные условия просмотра для пользователей с нормальным или приближенным к нормальному зрением. Настоящий стандарт не затрагивает проблемы доступности для инвалидов, но учитывает аспекты зрения пожилых людей, а также пользователей, имеющих проблемы с ухудшением зрения (основные характеристики нормального зрения могут быть использованы для оценки точности различных визуальных отклонений).
Примечание - В дополнении к
библиографии,
приложение F предоставляет справочную информацию для инвалидов, включая людей с плохим, ухудшающимся и отсутствующим зрением.
Следующие нормативные ссылки являются обязательными для настоящего стандарта. Для ссылок на стандарты, в обозначении которых указан год издания, необходимо использовать только указанные издания. Для ссылок на стандарты, в обозначении которых не указан год издания, необходимо использовать самое последнее издание нормативного ссылочного документа, включая любые поправки и изменения.
В настоящем стандарте использованы нормативные ссылки на следующие стандарты:
ИСО 9241-302 Эргономика взаимодействия человек-система. Часть 302. Терминология для электронных видеодисплеев (ISO 9241-302, Ergonomics of human-system interaction - Part 302: Terminology for electronic visual Displays)
ИСО 9241-307 Эргономика взаимодействия человек-система. Часть 307. Методы анализа и проверки соответствия электронных видеодисплеев (ISO 9241-307, Ergonomics of human-system interaction - Part 307: Analysis and compliance test methods for electronic visual displays).
Примечание - При пользовании настоящим стандартом целесообразно проверить действие ссылочных стандартов в информационной системе общего пользования - на официальном сайте Федерального агентства по техническому регулированию и метрологии в сети Интернет или по ежегодному информационному указателю "Национальные стандарты", который опубликован по состоянию на 1 января текущего года, и по выпускам ежемесячного информационного указателя "Национальные стандарты" за текущий год. Если заменен ссылочный стандарт, на который дана недатированная ссылка, то рекомендуется использовать действующую версию этого стандарта с учетом всех внесенных в данную версию изменений. Если заменен ссылочный стандарт, на который дана датированная ссылка, то рекомендуется использовать версию этого стандарта с указанным выше годом утверждения (принятия). Если после утверждения настоящего стандарта в ссылочный стандарт, на который дана датированная ссылка, внесено изменение, затрагивающее положение, на которое дана ссылка, то это положение рекомендуется применять без учета данного изменения. Если ссылочный стандарт отменен без замены, то положение, в котором дана ссылка на него, рекомендуется применять в части, не затрагивающей эту ссылку.
В настоящем стандарте применены термины по ИСО 9241-302.
Для удовлетворительного взаимодействия человек-дисплей многие различные требования должны быть сбалансированы. Для целей настоящего стандарта, эти требования были сгруппированы в восемь главных областей:
- условия наблюдения;
- яркость;
- особенности окружающей среды;
- зрительные аномалии;
- четкость и разборчивость;
- четкость кодированной информации;
- четкость графики;
- достоверность.
Примечание - Об аттрактивности изображения на видеодисплее см.
приложение B.
5 Эргономические требования и рекомендации
Множественность задач диктует требования к информации, представленной на электронном видеодисплее. Очень важно, чтобы при работе с видеодисплеем информация была получена быстро, без ошибок и с минимальным напряжением. Перечень необходимых, но неполных условий наблюдения может быть обозначен для достижения быстрого, безошибочного и не требующего напряжения восприятия. Это относится к расстоянию наблюдения, направлению, необходимости всматриваться, углу наклона головы пользователя.
Известно, что расстояние и угол линии визирования нуждаются в вергенции и способности к адаптации пользователя и его способности фокусировать взгляд на незначительном расстоянии.
5.1.2 Проектное расстояние наблюдения
Проектное расстояние наблюдения зависит от задачи и от электронного видеодисплея и должно быть не менее 300 мм, являющихся типичным минимальным расстоянием, комфортным для просмотра (ближайшая точка ясного видения) при нормальном зрении взрослого человека. Существует определенное физиологическое отношение между ближайшей точкой ясного видения и возрастом пользователя, как показано на
рисунке 1, и между ближайшей точкой ясного видения и уровнем освещения, однако в данном отношении есть большие отклонения.
X - возраст в годах; Y1 - диапазон аккомодации,
в диоптриях; Y2 - ближняя точка ясного видения;
1 - максимум; 2 - средний; 3 - минимальный
Рисунок 1 - Диапазон аккомодации и ближняя точка
ясного видения относительно возраста пользователя
Кратчайшее расстояние наблюдения, между 200 мм и 300 мм, зарегистрированное у детей и подростков, дает возможность видеть более мелкие детали (часть характеристик), чем те, которые они могут видеть с большего расстояния, при условии, что такие аспекты, как яркость, контрастность и четкость дисплея, достаточно высоки. Однако большинство взрослых и пожилых людей располагают свои дисплеи на большем расстоянии, обычно 300 мм и более.
Для больших видеодисплеев, которые используют для офисных задач, предпочтительное расстояние наблюдения еще больше, обычно от 400 до 750 мм. На этом расстоянии напряжение для глаз менее значительное, чем на более коротких расстояниях наблюдения, кроме того, существует значительная свобода перемещения на больших расстояниях наблюдения. Для целей проецирования и презентаций предпочтительно еще большее расстояние для просмотра (обычно от 2 до 10 м).
5.1.3 Руководство по условиям наблюдения
При нормальном использовании, когда пользователь двигает головой, изображение на дисплее должно быть четким при любом угле наклона, по крайней мере, до 40° от нормали к поверхности дисплея, измеренном в любой плоскости.
В зависимости от задачи возможно другое предельное значение. Например, для задач, требующих приватности, когда дисплей используют в присутствии большого количества людей (в толпе), изображение на дисплее должен быть разборчивым только при максимальном угле наклона между 15° и 20°.
Пример - Люди в инвалидных креслах, желающие получать наличные в банкоматах самостоятельно, вынуждены читать с дисплея банкомата в довольно низкой точке обзора. Их требования могут соответствовать возможностям дисплея, изображение на котором разборчиво только при максимальном угле наклона между 15° и 20° от горизонтальной поверхности, но приближающийся к большему углу, по крайней мере, до 40° на вертикальной поверхности.
Примечание - Немногие технологии отображения демонстрируют анизотропические оптические свойства, это значит, что яркость, контрастность и цвет меняются в зависимости от направления просмотра (взгляда).
5.1.4 Угол наблюдения и наклона головы.
При обычных условиях работы рабочее место с приблизительно вертикальным положением верхней части тела и видеодисплей должны позволить пользователю рассматривать экран с углом взгляда от 0° до 40° и углом наклона головы от 0° до 25°.
Примечание - Эти угловые значения могут требовать, чтобы наклон дисплея мог регулироваться для достижения перпендикулярности. Кроме того, возможно изменение положения дисплея относительно высоты от пола.
5.1.5 Дисплей для виртуального отображения
Эргономические требования к дисплеям для виртуального отображения рассматриваются в
приложении E, охватывающем эргономические характеристики.
5.2.1 Общие принципы
Для того чтобы быть видимыми на видеодисплее, информационным знакам необходимо быть достаточно контрастными по отношению к фону. Поэтому знаки и фон должны определенно иметь различную яркость и (или) цвет.
В большинстве случаев внешнее освещение по отношению к экрану влияет на его яркость и цвет, и поэтому контраст на экране изменяется в зависимости от внешнего освещения (для неотражающего индикатора, такого как бумага, контраст на экране дисплея может быть вызван внешним освещением). Так как пользователь не может контролировать яркость освещения внешней среды, необходимо обеспечить способы регулирования яркости дисплея для получения надлежащего баланса для рабочего диапазона.
5.2.2 Освещенность
Поставщик должен указать проектную освещенность экрана, Es.
Примечание - Если приложение использует цвета, их координаты цветности, как результат возможно изменение проектной освещенности экрана.
5.2.3 Яркость дисплея
В окружающем освещении, для работы в котором предназначен дисплей, яркость дисплея должна превышать минимальное значение для получения достаточной распознаваемости отображаемой информации в диапазоне проектной освещенности экрана, предназначенной для функционирования устройства визуального отображения. В темное время суток она не должна быть настолько высокой, чтобы аннулировать адаптацию глаз пользователя к темноте.
| | ИС МЕГАНОРМ: примечание. В официальном тексте документа, видимо, допущена опечатка: пункт D.11 отсутствует. Возможно, имеется в виду уравнение (D.11). | |
Приложение D представляет собой исследование об основных концепциях контрастности и яркости в зрительном восприятии. Уравнение, приведенное в
D.11 определяет минимальное значение светлых частей дисплея с учетом яркости темных частей, и диффузное и зеркальное отражение от поверхности дисплея.
Пример - Для применения в офисе, при 500 Лк освещенности (по горизонтали) белой бумаги с коэффициентом отражения 80% и положительной полярностью дисплея часто рекомендуется, чтобы яркость дисплея была в диапазоне от 100 кд/м2 до 150 кд/м2.
5.2.4 Баланс яркостей и блики
| | ИС МЕГАНОРМ: примечание. Текст дан в соответствии с официальным текстом документа. | |
Отношение усредненных по площади яркостей объектов, которые наблюдаются пользователем во время работы (например, бумажный документ, экран), должно быть в диапазоне от 0,1Z до 10Z, где L является средней яркостью всего экрана, заявленной для пользователя дисплея. Для стационарного поля зрения значительно большее соотношение средних яркостей участка, используемого при выполнении задачи, и окружающих поверхностей (например, корпус дисплея, стены комнаты и т.д.) более 1:10 не должно иметь побочных эффектов.
Дизайн экрана видеодисплея и окружающие его предметы быта не должны способствовать созданию бликов от внешнего освещения. Вышеизложенное особенно относится к продолжительному периоду работы с дисплеем.
| | ИС МЕГАНОРМ: примечание. В официальном тексте документа, видимо, допущена опечатка: пункт [23] в Библиографии отсутствует. ИС МЕГАНОРМ: примечание. В официальном тексте документа, видимо, допущена опечатка: приложение 4 отсутствует. | |
Экран видеодисплея должен соответствовать
5.4.11 (Государства - члены Европейского союза приняли нормы в отношении бликов и отражений на рабочем месте, включая экран дисплея, основываясь на
директиве 90/270/EEC [23] (см. приложение 4)
.
Примечания
1 Определение бликов (блескость) согласно CIE (845-02-52) это - условие видения, при котором появляется дискомфорт или уменьшение способности видеть детали, объекты или и то и другое вследствие неблагоприятного распределения яркости, или диапазона яркости, или экстремальных контрастов в пространстве.
Таким образом, наличие бликов ведет к таким условиям просмотра, при которых существует раздражающая степень дискомфорта и (или) значительное сокращение способности видеть детали и объекты.
2 Матовые поверхности, как правило, не дают бликов, в то время как появление бликов на глянцевых поверхностях может зависеть от таких элементов дизайна, как форма, цвет, размер, и условий освещения окружающей среды. Однако есть случаи, когда применение глянцевых поверхностей целесообразно. Для печатных документов и некоторых мобильных дисплеев, таких как дисплеи цветного отображения, глянец необходим, чтобы получить высокую цветопередачу. В то же время можно избежать появления бликов, изменяя положение дисплея или бумаги по отношению к естественному источнику света.
3 Для длительного просмотра в рабочих условиях целью является гармонизация экрана видеодисплея и окружающих его предметов быта с освещением внешней среды в соответствии с ИСО/МЭК 8995-1 и ИСО 9241-6.
4 В
пункте (b) приложения 2 директивы 90/270/EEC требуется следующее "возможные ослепляющие блики и отражения на экране или другом оборудовании, должны быть предотвращены, с помощью скоординированности рабочего места и рабочей станции с расположением и техническими характеристиками источников искусственного света, таких как окна и другие проемы". В
приложении 2, пункт (c), требуется: "рабочие станции должны разрабатываться с учетом, что источники света такие как окна и другие проемы, прозрачные и полупрозрачные стены, также ярко окрашенные приборы и поверхности, не вызовут нежелательного отражения и бликов на экране".
5 Проблема раздражающих бликов на видимой части корпуса экрана находится на рассмотрении в будущей редакции или изменениях этой части ИСО 9241.
5.2.5 Регулировка яркости
Для эмиссионных дисплеев яркость фона и (или) контраст между знаками и их фоном должны легко регулироваться пользователем. Эмиссионные дисплеи должны легко регулироваться по отношению к внешнему освещению в случае возникновения конкретной рабочей ситуации.
5.3 Особенности условий окружающей среды
5.3.1 Общие принципы
Следующие рекомендации должны быть приняты во внимание при проектировании дисплеев в тех случаях, когда ожидается, что дисплей будет подвергаться одному или нескольким условиям внешней среды, описанным в пунктах с 5.3.2 по
5.3.4.
5.3.2 Вибрация
Вибрация дисплея по отношению к голове пользователя, а, следовательно, и по отношению к его глазам (или, наоборот, вибрация пользователя по отношению к дисплею) является раздражителем, который может снизить визуальное восприятие, ввиду того, что:
- вибрация мешает контролировать чтение движением глаз, из-за их быстрого скачкообразного движения делая затруднительным определение цели, и вызывая движение изображения во время стоп фиксации, в которой центр визуальной области должен быть определен;
- контрастность мелких деталей снижена, потому, что у зон вдоль границ будет среднее значение яркости для обеих границ;
- быстрое чередование светлого и темного в поле зрения может создать эффект вспышки.
Степень серьезности данных эффектов зависит от частоты и амплитуды вибрации. Частота вибрации дисплея более 0,5 Гц при большей, чем пороговое значение амплитуде, повод для беспокойства. Также вредна частота вибрации головы пользователя более 6 Гц, при превышении порогового значения амплитуды. Таких частот и амплитуд следует избегать, например, путем помещения дисплея в соответствующий амортизирующий (гасящий вибрацию) материал.
| | ИС МЕГАНОРМ: примечание. Нумерация пунктов дана в соответствии с официальным текстом документа. | |
5.3.2 Ветер и дождь
Сильные ветры могут стать причиной колебания объектов, таких как видеодисплеи, которые в достаточной мере не защищены.
Капли дождя, падающие на экран дисплея, будут искажать вид выводимого на экран изображения, до состояния, при котором текст станет неразборчивым.
Видеодисплеи, которые могут использоваться на открытом воздухе, должны быть механически защищены от таких погодных условий.
5.3.4 Чрезмерные температуры
Если пользователю необходимо осуществлять работу дисплея в условиях, когда температура приближается к 0° или +40 °C, он должен принять меры предосторожности для себя лично и для используемого оборудования, чтобы гарантировать, что они способны выполнить свои задачи успешно и безопасно. Высокие температуры отрицательно скажутся на работе большинства дисплеев, а также сопутствующих электронных схем и, следовательно, повлияют на производительность труда пользователей при выполнении поставленных задач. Ознакомьтесь со спецификацией изготовителя оборудования, чтобы узнать рекомендованный рабочий диапазон температур для устройства. Если условия окружающей среды близки к пределу или вне пределов, рекомендуемых разработчиком, возможно придется нагреть или охладить устройство отображения до температуры в рамках диапазона, указанного производителем, для того чтобы обеспечить правильную работу устройств(а).
5.4.1 Общие принципы
Электронный видеодисплей должен отображать запланированную, высококачественную информацию, в виде текста, графиков или образов. Тем не менее, технологии дисплеев, как правило, несовершенны, отражения из внешней среды, так же как и искажения связанные с индивидуальными особенностями зрительного восприятия пользователя, вызывают зрительные аномалии, то есть информацию, конкурирующую с предполагаемой информацией для зрителя.
5.4.2 Неоднородность яркости
Для изображения с предполагаемой однородной яркостью отношение усредненной по площади яркости в центре экрана к усредненной по площади яркости любого участка экрана, не должно превышать 1,7:1.
5.4.3 Неоднородность цветности
Любая неоднородность цвета не должна стать причиной спорных данных при оценке в трех местах на экране. Максимальная разница цветности должна быть в соответствии с таблицей 1.
Таблица 1
Максимум разности цветностей
Dактивный --------------------- Dпроектное расстояние | Разность цветности  |
Заявленный набор цветов | Другие основные цвета <a> |
< 0,75 | 0,02 | 0,02 |
>= 0,75 | 0,03 | 0,03 |
Dактивный - диагональ активной области экрана. Dпроектное расстояние - проектное расстояние наблюдения. -------------------------------- <a> Основные несмешанные цвета, обычно красный, зеленый, синий. |
| | ИС МЕГАНОРМ: примечание. Текст дан в соответствии с официальным текстом документа. | |
Однородность цветности, определение для того, как цвет остается постоянным на всей поверхности экрана. Неоднородность цветности лучше всего характеризуется максимальными цветовыми отличиями (используется система показателей цветовых отличий-метрик) между двумя точками на экране. В настоящее время используются несколько метрик и координат, в том числе CIELAB, CIELUV и CIE 1931 (x, y).
Для целей данного стандарта, используется метрика u', v' цветовые отличия.
5.4.4 Однородность контрастности
Однородность контрастности важна в случае, когда должное распознавание или отображение информации, принципиально зависит от соответствующей обстановки или изображения модели. Это выражено в процентах, однородность контрастности равна 100% (Cmin/Cmax), где Cmin и Cmax - минимум и максимум контраста, соответственно, выбранного набора контрастности на экране (см. ИСО 9241-305). В целом, однородность контрастности должна быть настолько высока, насколько это возможно, чтобы соответствовать задачам пользователя.
Примечание - Существуют три различных формы неоднородности контрастности:
- изменения средней яркости контраста от центра дисплея к любой крайней точке дисплея;
- изменение пикового контраста характерных элементов (точки и штрихи) в зависимости от различного местоположения на экране;
- изменение пикового контраста характерных элементов (точки и штрихи) в зависимости от характера самих элементов.
Порог для визуального обнаружения неоднородности контрастности, выше чем порог который можно измерить в рабочем процессе. Оба эти порога зависят от:
- размера объекта;
- контрастной чувствительности пользователя;
- поставленной задачи;
- яркости объекта, фона и внешней среды.
Есть и другие способы выражения однородной контрастности, которые могут быть полезны. Например, соотношение "запланированного контраста", между символами текста и фоном, в отличие от соотношения этих двух показателей при неоднородной контрастности.
Одним из способов установить воздействие контрастной неоднородности является испытание на работающих пользователях (см. ИСО 9241-304). К испытаниям привлекаются лица, представляющие выборку из предполагаемых пользователей среди населения, которые, вероятно, могут пострадать от воздействия контрастной неоднородности. Во время теста однородность контрастности должна преднамеренно изменяться по всему экрану.
5.4.5 Геометрические искажения
Для различных строк или столбцов текста разница длины не должна превышать 1% от длины этих столбцов или строк.
Горизонтальное смещение положения символа по отношению к позиции символа непосредственно выше и ниже не должно отличаться более чем на 5% ширины символа. Вертикальное смещение положения символа относительно местоположения символа справа и слева не должно отличаться более чем на 5% от высоты символа.
5.4.6 Дефекты экрана и лицевой панели
Электронный видеодисплей должен быть без дефектов лицевой панели и экрана.
Регулярно используемые дисплеи, не должны иметь дефектных пикселей и (или) субпикселей. В противном случае, поставщик должен подробно уточнить число дефектных пикселей и (или) субпикселей.
В зависимости от задачи пользователя дефекты экрана и лицевой панели или дефекты пикселей, могут быть раздражающим фактором, приводящим к снижению скорости считывания, допущению ошибок при считывании, снижению восприятия информации и зрительному дискомфорту. Либо они могут привести к ошибочному восприятию изображения и содержания, что приведет к неверному толкованию информации. В случае наличия этих дефектов аспекты привлекательности и эстетичности для пользователя в процессе работы также могут быть затронуты.
Поэтому дефекты лицевой панели, экрана или дефекты пикселей, должны быть исследованы с точки зрения их уместности по отношению к:
a) эргономичности;
b) признанию со стороны пользователей с учетом их задач.
Если дисплей, которым регулярно пользуются, отвечает требованиям эргономики в отношении дефектных пикселей, то эти дефекты не будут уменьшать скорости считывания, увеличивать число ошибок при считывании информации или вызывать зрительный дискомфорт (например, краснота, воспаление, зуд, слезоточивость глаз, головные боли и боли, связанные с неправильным положением тела).
Если электронный дисплей отвечает допустимым критериям дефектов пикселей указанным в спецификации, эти дефекты, вероятнее всего, не вызовут неверное толкование или негативную реакцию со стороны пользователей, в связи с поставленной задачей.
Примечание - Если дисплей имеет дефекты пикселей, их число не просто важный фактор, а скорее, их количество свидетельствует об отношении числа пикселей и дисплея. Также важно, какой материал будет отображаться, важны задачи пользователя, положение на экране дисплея дефектного пикселя и (или) субпикселей, и т.д. Точный уровень эргономических требований в отношении дефектов не отражен в этой части ИСО 9241. Таким образом, в классификации дефектов дисплеев (0, I, II, III, IV) можно встретить эргономические требования и требования к уровню дискомфорта в зависимости от области применения. Исследования по выяснению этих вопросов продолжаются и будут приняты во внимание в будущих изменениях к этой части ИСО 9241.
5.4.7 Временная нестабильность (мерцание)
Изображение должно быть таким, чтобы, по крайней мере, 90% пользователей не замечали мерцания.
Мерцание - восприятие беспорядочных, краткосрочных изменений в яркости на дисплее, в диапазоне частот от нескольких герц до критической частоты мерцания. Эти беспорядочные, краткосрочные изменения могут повлиять на удобство и производительность труда пользователя. Критические частоты мерцания (CFF) являются предельными, выше которых значение мерцания не воспринимается пользователем. Ощущение мерцания возрастает с увеличением яркости и размера экрана.
Примечания
1 Глаза более восприимчивы к мерцанию в боковом поле зрения, чем в центральном поле зрения.
2 Критичность частоты уменьшается с возрастом (среди индивидуальных факторов), с усталостью (в пределах индивидуальных факторов) и продолжительностью воздействия.
5.4.8 Пространственная нестабильность (дрожание, колебание)
Изображение должно восприниматься стабильным. Изображение стабильно, если пиковые изменения положения элементов изображения в плоскости экрана не превышают 0,0001 мм на один миллиметр проектного расстояния наблюдения в диапазоне частот от 0,5 до 30 Гц.
5.4.9 Муаровые эффекты
Муар - постоянное изображение, накладывающееся на запланированное изображение. Поскольку изображение - структурированный образец, чаще всего оно с легкость обнаруживается пользователями. Муаровый рисунок - явление естественного вмешательства. Оно может проявляться как рябь, волны, изменение интенсивности, которые накладываются на изображение на экране.
У цветных дисплеев муаровые рисунки, которые напоминают периодические шумовые поля, лежащие в областях выше области отображения экрана, не должны быть больше чем 6JND (только заметные различия) (см. ИСО 9241-302) модуляции их основной, пространственной частоты.
Муаровые рисунки с пространственной частотой и модуляцией выходящие за пределы кривой на
рисунке 2, заведомо превышают 6JND и, следовательно, будут ясно видны.
| | ИС МЕГАНОРМ: примечание. Текст дан в соответствии с официальным текстом документа. | |
Для минимизации (уменьшения) восприятия муаровых рисунков пользователем, необходимо, чтобы основная пространственная частота и модуляция цветного дисплея должны быть ниже кривой, показанной на
рисунке 2.
X - пространственных частот, циклы в градусах;
Y - контраст; JND - только заметные различия
Рисунок 2 - Пороги видимости муаровых рисунков
5.4.10 Иные нестабильности
Электронные видеодисплеи могут отображать незапланированные пространственные и временные вариации яркости, например "плавающие" или "перекрестные". В дополнение к требованиям, указанным в
5.4.6,
5.4.7 и
5.4.8, эти нестабильности, должны быть приняты во внимание, для разработки точных критериев эргономики, с целью минимизации других незапланированных пространственных или временных дефектов, которые находятся выше порога визуального обнаружения.
Важен первоначальный анализ в контексте (в процессе) использования, чтобы так или иначе проверить превышен ли порог. Существует множество дефектов, которые видны, например, через увеличительное стекло, но не с фактического расстояния просмотра.
Пример - Технически дисплей может отображать дрожание, пространственно настолько незначительное, что оно не может быть замечено невооруженным глазом, с фактического расстояния просмотра. С эргономической точки зрения, дисплей свободен от дрожания, при использовании на фактическом расстоянии просмотра. Однако, это дрожание (колебание) будет иметь влияние на контраст тонких линий. Таким образом, заключение с эргономической точки зрения будет следующим: снижение контраста тонких линий, технически, вызвано дрожанием. Необходимость корректирующих мероприятий, так или иначе направленных на снижение или устранение дрожания (колебания), зависит от степени снижения контраста.
5.4.11 Нежелательные отражения
Следует избегать раздражающие и (или) нежелательные отражения, которые снижают контраст. В случае необходимости, экран должен иметь антибликовое и (или) не отражающее покрытие. Неизбежное отражение должно быть как можно меньше.
Зеркальные отражения окружающих источников света (светильники, лампы, окна, и т.д.) на экране дисплея являются нежелательными отражениями. Они уменьшают контраст и таким образом четкость показанной информации. Часто, эти источники - причина яркого света, приводящего к дискомфорту или неспособности пользователя распознать информацию. В зависимости от класса видеодисплея отражения могут быть одного из следующих типов или комбинаций этих типов:
a) Ламберт (отраженная яркость, постоянная для всех направлений) - бумага для фотокопировальных устройств, является хорошим примером отражателя Ламберта;
b) зеркальный (подобный зеркалу) - отчетливо видно отражение источника света;
c) размытый (сконцентрированное отражение, но образы, более или менее размыты из-за рассеянного света) - небольшие источники света отражаются, как туманный объект, воспринимаемый как нечеткий круг света вокруг зеркального отражения.
Отражения Ламберта уменьшают контраст информации, выводимой на дисплей, с помощью осветления темного режима. Зеркальное отражение, однако, часто воспринимается как дискомфортное из-за двойной фокусировки (привыкания) глаз, к информации на экране дисплея и изображении источника света. Вследствие этого, многие относят отражения Ламберта к менее тревожащим пользователя, чем отлично видимые отражения, того же самого сигнала яркости. Отчетливые изображения источников освещения могут восприниматься настолько яркими, что информация, выводимая на дисплей не может быть воспринята и интерпретирована (то есть блики препятствуют работе).
Примечания
1 Дисплей с прозрачной защитой или электронно-лучевой трубкой и газоразрядные индикаторы могут быть скважиной, охарактеризованной суперпозицией Ламберта и зеркальными составляющими отражательной способности. Та же самая характеристика, которая опускает составляющую помутнения, приводит к существенным ошибкам в определении дисплеев, имеющих необращающуюся в нуль составляющую помутнения.
2 Например, экран типичного LCD (жидкокристаллический дисплей) имеет только составляющие помутнения с изменяющейся длительностью импульса распределения интенсивности отраженного света; в этом случае зеркальными отражениями и отражениями Ламберта можно пренебречь.
3 Многие пользователи находят тип отражения, которое производит четкое изображение, более нежелательным, чем диффузное отражение того же самого сигнала яркости.
5.4.12 Непредусмотренные эффекты глубины
Критичные цвета спектра, которые вызывают непредусмотренные эффекты глубины (стереохроматизм), не должны быть использованы для отображения информации, предназначенной для непрерывного просмотра или чтения.
5.5 Четкость и разборчивость
5.5.1 Общие принципы
Для электронных видеодисплеев отображение четких символов и обозначений в тексте, предназначенном для чтения, одна из самых важных проблем. Характеристики и требования определены в
пп. 5.5.2 -
5.5.11.
Пожилые люди имеют определенные проблемы со зрением, связанные с возрастными изменениями, не все они в настоящий момент существенны, но некоторые влияют на рекомендации по контрасту яркости
(5.5.2), полярности изображения
(5.5.3) и высоте символов
(5.5.4). Итоговый вывод: в случае использования дисплея пожилыми людьми следует избегать низких контрастных и фоновых сигналов яркости, так же как и маленьких размеров символов.
| | ИС МЕГАНОРМ: примечание. В официальном тексте документа, видимо, допущена опечатка: рисунок Д.3 отсутствует. Возможно, имеется в виду рисунок D.3. | |
Во внешнем освещении, для которого спроектирован дисплей, минимальный яркостной контраст характерных деталей в пределах или между символами, который существенен для четкости, должен соответствовать значениям, отраженным на
рисунке Д.3.
Как пример, при использовании дисплея с яркостным контрастом 20 кдл/м2 и принимая во внимание все отражения в экране дисплея, минимальные контрастные значения должны быть Cм = 0,5 (контрастная модуляция) или Cr = 3:1 (коэффициент контраста).
Для хороших визуальных характеристик и удобного чтения, особенно во время продолжительного использования, глубина модуляции или яркостной контраст должен в идеале быть более чем 0,5 или 3:1 соответственно. Это особенно важно для пожилых пользователей, особенно старше 80-летнего возраста.
Приложение D является разделом об основных концепциях контрастности и яркости в зрительном восприятии, что приведено в
формуле (8).
5.5.3 Полярность изображения
Любые темные символы на более ярком фоне (положительная полярность) или яркие символы на более темном фоне (отрицательная полярность) допустимы. Если дисплей обеспечивает позитивные и отрицательные полярности, то он должен отвечать всем требованиям ИСО 9241 для любой полярности изображения.
Примечание - Для большинства задач предпочтительна положительная полярность, преимущества которой:
- более легкая адаптации глаза от светлого к темному;
- меньшее напряжение зрения;
- улучшение четкости, вследствие лучшего распознавания знаков при том же контрасте;
- меньше замечаются неизбежные отражения;
- лучшая четкость для большинства пожилых людей;
- в большинстве случаев яркость экрана уравновешена с границами обычного освещения помещения. Однако значительное количество людей с плохим зрением предпочитают отрицательную полярность.
Угловой размер латинских знаков должен быть не менее 16' по высоте; это требование дает возможность обеспечить регламентируемую высоту знаков от 20' до 22'. Угловой размер японских знаков должен быть не менее 20' по высоте. Уровень высоты знаков от 20' до 22' для латинских символов и от 25' до 35' для японских символов рекомендуется для большинства задач.
Окончательным определяющим фактором для удобочитаемости, является зрение человека: только символы, считанные с достаточной высоты, которые были отображены с соответствующей резкостью, могут быть качественно восприняты сетчаткой. То, какая высота является достаточной, будет зависеть от качества дисплея, текста отображаемого на нем, так же как и от возраста читателя и поставленных задач. Для идеального визуального восприятия, такого, как при чтении с печатного листа бумаги, необходимая минимальная угловая высота знака от 10' до 12'. Существующие на настоящий момент дисплеи, в лучшем случае, только приближены к идеальному дисплею.
Лимитирующие факторы - плотность пикселей и разрешающая способность, контрастность и характер шрифта и матрицы, а также расстояние просмотра.
Для приложений, где четкость несущественна для выполнения задачи, могут использоваться меньшие символы (для примеров, для сносок, верхних и нижних индексов). Для латинских символов угловая высота знака должна превышать 10', если потеря четкости недопустима (например, при показе внешнего вида макета страницы).
В приложениях, разработанных для специальных групп пользователей, в основном молодых, угловая высота знака 11' с расстоянием просмотра 250 мм (см.
5.1.1) позволяет пользоваться такими участками информации, как расписание на экране карманных приборов. Такие пользователи могут считывать и группировать информацию при условии, что, во-первых, плотность пикселей на дисплее составляет не менее 200 пикселей на дюйм, во-вторых, что контраст между знаками и фоном составляет 3:1 или более (в зависимости от технологии), в-третьих, отношение ширины к высоте знаков матрицы составляет не менее 7 x 9. Тем не менее, приложение должно позволить работу пользователей с более низкой остротой зрения, отображая знаки на больших расстояниях просмотра, чем для лиц выше упомянутых специальных групп, хотя и с подгонкой меньшего участка четкой информации на одном экране.
Высота знаков нижнего регистра без надстрочных и подстрочных элементов должна составлять приблизительно 70% высоты знака верхнего регистра (знака без надстрочного элемента). В случаях, когда важна разборчивость, угловая высота знака должна быть максимум 30'.
Пожилые пользователи нуждаются в очках для чтения, потому что они частично, и с течением времени полностью, утрачивают способность приспосабливаться к просмотру на малых расстояниях. Для расстояния просмотра 25 см эта потребность может возникнуть приблизительно в 35 лет. Однако плохое распознавание знаков, не отображаемых резко на сетчатке, можно до некоторой степени компенсировать за счет увеличения контраста. Кроме того, контрастная чувствительность и, следовательно, распознавание знаков, возрастает с увеличением яркости фона. И все же, в таких случаях, когда человек, находясь на улице, не может воспользоваться своими очками, рекомендуется использование более 16' углового размера знаков для дисплеев, таких устройств как общественные телефоны, сотовые телефоны или карманные персональные компьютеры (КПК).
Примечания
1 Маленькие или очень маленькие электронные дисплеи, используемые в КПК или мобильных телефонах, с соответственно маленькими символами, обычно читаются с расстояния близкого к точке, где глазные линзы максимально приспособлены (высота знака 1,4 мм, соответствует угловому размеру знака 16', на расстоянии просмотра 300 мм). Если используются большие знаки, которые могут быть прочитаны с большего расстояния, то нет необходимости с усилием приспосабливаться в течение длительного времени. Тем не менее, с использованием малых символов, на одном экране без прокрутки, может быть представлено больше информации. Это, например, облегчает пользователю возможность, мгновенно увидеть (часть) расписания и быстро вникнуть в его смысл.
2 Для знаковых шрифтов, кроме латинского или японского языков, таких как, например, кириллический, китайский, арабский или корейский язык, в ИСО 10646 существует соответствующее определение высоты знаков.
5.5.5 Постоянство размера знака
Высота и ширина отдельного знака, относящегося к определенному знаковому шрифту, не должны меняться более чем на +/- 5% от высоты знака, независимо от места его отображения на экране.
| | ИС МЕГАНОРМ: примечание. Текст дан в соответствии с официальным текстом документа. | |
Пример - Разность между 10 и 11 размером шрифта мог быть визуализироваться как 11 пикселей и 12 пикселей. При корректуре пользователь обязан находить символы ошибочно напечатанные с размером шрифта 11 в середине текста набранного 10-м шрифтом. Разность между 12 пикселями и 11 пикселями составляет 9%. Если отличие размера шрифта в тексте будет менее 9%, то задача будет трудной или невозможной для выполнения. В цифровых дисплеях, с аналоговыми сигналами, где разрешающая способность входного сигнала отличается от разрешающей способности в цифровом дисплее, размер шрифта визуализируется с точностью +1 пиксель из-за аналогово-цифрового преобразования.
5.5.6 Ширина штриха
Для латинского знакового шрифта ширина штриха должна быть в пределах от 10% до 17% высоты знака.
Примечание - Значения ниже этого диапазона могут дать символу очень тонкое вертикальное проявление ("паутина").
5.5.7 Отношение ширины знака к его высоте
Для таких понятий, как длина строки и соразмерное распределение интервалов, отношение ширины знака к его высоте должно быть от 0,5:1 до 1:1. Для оптимальной разборчивости и удобочитаемости рекомендовано отношение ширины знака к его высоте от 0,7:1 до 0,9:1.
5.5.8 Формат знака
Матрица знака 7 x 9 пикселей должна использоваться как минимальная для задач, требующих продолжительного чтения или обеспечения разборчивости отдельных букв, например, для корректуры. Матрица 5 x 7 пикселей (ширина x высота) должна использоваться как минимальная для отображения цифр и прописных букв.
Матрица знака должна быть увеличена сверху, по крайней мере, на два пикселя в случае использования диакритических знаков. Для строчных букв матрица знака должна быть увеличена снизу, по крайней мере, на два пикселя для размещения нижних выносных элементов.
Для матриц знаков с большей плотностью пикселей число пикселей, используемых для диакритических знаков, должно соответствовать печатному тексту. Матрица знака 4 x 5 пикселей должна использоваться как минимальная для отображения нижних и верхних индексов, а также для отображения числителей и знаменателей дробей на одном знакоместе. Матрица знака 4 x 5 пикселей может также использоваться для отображения алфавитно-цифровой информации, не имеющей отношения к решаемой оператором задаче. Например, информации об авторском праве.
Для японских знаков рекомендуется минимальная матрица знака 11 x 11 пикселей. В то же время предпочтительнее использовать матрицу знака 15 x 15 пикселей.
5.5.9 Интервал между знаками
Для шрифтов, не имеющих концевых засечек, интервал между знаками должен быть не менее ширины одного штриха или одного пикселя. Для знаков с засечками интервал между засечками соседних знаков не должен быть меньше одного пикселя. Для других текстов горизонтальный интервал должен быть в пределах от 25% максимум до 60% ширины знака.
5.5.10 Интервал между словами
Минимальное число пикселей между словами должно быть не менее ширины прописной буквы H. Число пикселей ширины прописной буквы N должно быть использовано для соразмерных шрифтов.
5.5.11 Интервал между строками
Интервал между строками, для задач которые требуют длительной работы с текстом, должен быть шириной минимум в один пиксель или в один горизонтальный штрих. Эта зона не должна содержать части знаков, диакритических знаков или символов подчеркивания.
5.6 Четкость информационного кодирования
5.6.1 Общие принципы
Особые пометки могут быть присоединены к информации, отображенной на экране, и закодированы таким образом, чтобы их можно было отличить от остальной части информации, выводимой на дисплей. Сигнал яркости, цвет, форма обозначения и частота мигания - все это может использоваться для такого кодирования.
5.6.2 Кодирование яркостью
При использовании кодирования только яркостью отношение значений яркости кодируемых участков изображения должно быть не менее 1,5:1. Кодирование яркостью включает в себя запланированное освещение внешней среды и проектные углы визирования.
Примечание - В ИСО 9241 использовался термин абсолютное кодирование яркостью. Все предыдущие требования, относящиеся к абсолютному кодированию яркостью, теперь изложены в этом пункте.
5.6.3 Кодирование миганием
Если кодирование миганием применяют только для привлечения внимания, рекомендуется применять частоту одиночных миганий в пределах от 1 до 5 Гц с коэффициентом заполнения 50%. Если во время мигания нужно сохранить удобочитаемость текста, то рекомендуется использовать частоту от 0,33 до 1 Гц с коэффициентом заполнения 70%. Следует предусмотреть возможность выключения мигания курсора.
Примечание - Максимальное значение в 3 Гц определено необходимостью защиты людей с фоточувствительной эпилепсией.
5.6.4 Кодирование цветом
Из-за очевидности цветовых отличий, кодирование цветом является мощным средством закрепления конкретной целевой информации. Цвета используемые для кодирования должны быть легко различимы. Каждый цвет, используемый для кодирования информации должен отражать только один смысл информации, например, красный цвет, отведен для всех сообщений, указывающих на опасные ситуации. Код цвета должен использоваться последовательно во всей системе, в противном случае он теряет свою ценность вследствие возникающей путаницы. Цвет не должен быть единственным средством кодирования или, по крайней мере, должен использоваться с осторожностью, потому что от 8% до 10% мужского населения цветоаномальны, т.е. не воспринимают цвета правильно. Для дублирования следует также использовать иные формы кодирования.
5.6.5 Геометрическое кодирование
Геометрическое кодирование - специфический тип графического кодирования. Отличие разных классов информации в диаграмме может быть облегчено за счет использования различных геометрических фигур, таких как треугольники и круги. Эти формы должны четко различаться, поэтому их количество должно быть ограничено.
Примечание - Для получения дополнительной информации по кодированию см. ИСО 9241-12 PI.
5.7.1 Общие принципы
Информация может быть представлена в виде графических символов. Они могут быть простыми геометрическими фигурами, такими как круги и квадраты или более сложными, в целом называемыми пиктограммами. Диаграммы, то есть конфигурации прямых или криволинейных линий, также несут информацию. Это может быть усвоено пользователем, только если у этих графических символов и диаграмм есть достаточно четкая определенность в терминах их размера, контраста и цвета.
5.7.2 Монохромный и многоцветный размер объекта
Пиктограммы должны быть спроектированы так, чтобы они были легко различаемы и понятны.
Пиктограммы должны дать возможность пользователю связать данный графический символ с его функциональным назначением.
Чтобы достигнуть этого, имеющие принципиальное значение символы, такие как обозначения или текст в пределах пиктограммы должны иметь как минимум угловое значение высоты 20'. Наиболее предпочтительными являются символы с угловым значением высоты от 25' до 35'.
Требования для графических объектов и других небольших объектов, где разборчивость является главной задачей изложены в
5.5.2.
Для отдельных изображений, где требуется точная идентификация цвета, изображение должно быть близко к 30' углового значения высоты знака, наиболее предпочтительным является размер 45' углового значения высоты знака.
5.7.3 Контраст разборчивости объекта.
Если требуется точная идентификация отдельных, многоцветных изображений (например, одиночных символов или обозначений), применяются те же самые условия для яркости и контраста, которые указаны в
5.5.2.
5.7.4 Рассмотрение цвета графики
Если требуется точная цветовая идентификация строчных знаков или символов угловое значение высоты должно быть минимум 20' для проектного расстояния наблюдения. Для отдельных изображений, таких как одиночные символы или обозначения, где требуется точная идентификация цвета, изображение должно быть близко к 30' углового значения высоты знака для проектного расстояния наблюдения, наиболее предпочтительным является размер 45' углового значения высоты знака.
a) Маленькие изображения
В случае с темным фоном следует избегать использования крайних цветов синего спектра (V' < 0,2) для изображений менее 2°.
b) Отдельные изображения
Для отдельных изображений, таких как одиночные символы или обозначения, где требуется точная идентификация цвета, изображение должно быть близко к 30' углового значения высоты знака для проектного расстояния наблюдения, наиболее предпочтительным является размер 45' углового значения высоты знака.
c) Установка цветов по умолчанию
| | ИС МЕГАНОРМ: примечание. Текст дан в соответствии с официальным текстом документа. | |
Если приложение требует от пользователя, чтобы он смог отличать или идентифицировать цвета, то приложение иметь набор цветов по умолчанию. Набор цветов по умолчанию должен базироваться на операционной системе и включать, по крайней мере:
- основные цвета красный, синий и зеленый;
- неосновные цвета как комбинации пар основного цвета, красно-синие, красно-зеленые и сине-зеленые;
- черно-белый.
Для точной идентификации набор цветов по умолчанию должен состоять не более, чем из 11 цветов. Если цвета могут быть изменены пользователем, набор цветов по умолчанию должен быть восстановимым и восстанавливаемым.
d) Разность цветов
Цветовые пары, которые необходимо различать, должны иметь значения разности цветов в системе.
Примечания
1 Если зрители четко различают цвета при значении

UV значительно больше 20', необязательно гарантировать удовлетворительное восприятие цвета, нарушаемое эффектами смежности и размера в цветном объекте.
2 Разность светлоты площадки

, разность красного и зеленого

, и разность желтого и синего

, предполагают разное ощущение в разных условиях. Например, для цветных протяженных изображений

завышается оценка разности воспринимаемых цветов. Для малых изображений

завышается оценка разности воспринимаемых цветов по сравнению со значением

от 5 до 1.
3 Малые изображения, составленные из цветов сине-зеленой области видимого спектра, очень трудно опознать и различить из-за малопольной тританопии. Поэтому, лучше устанавливать синий цвет по большому изображению (более 20') и следует избегать установки синего цвета по маленькому изображению (менее 20').
e) Отрицательная полярность
Для текстов, буквенно-цифровых знаков и символов, используемых в задачах считывания и представленных в отрицательной полярности:
- синий цвет (v' < 0,2) на темном фоне не должен использоваться;
- следует избегать красного цвета (u' > 0,4) на темном фоне и красный цвет не должен использоваться на фоне спектрального ограничения синего цвета (v' < 0,2).
f) Положительная полярность
Для текстов, буквенно-цифровых знаков и символов, используемых в задачах считывания и представленных в положительной полярности:
- не должен использоваться спектрально ограниченный синий цвет (v' < 0,2) на фоне спектрально ограниченного красного цвета (u' > 0,4);
- не должен использоваться спектрально ограниченный красный цвет (u' > 0,4) на фоне спектрально ограниченного синего цвета (v' < 0,2).
g) Эффекты глубины
Эффекты глубины присущи спектрально ограниченным цветам, которые не должны быть представлены в изображении для продолжительного наблюдения и чтения.
h) Нарушение сходимости цветов
На экране мультицветного ЭЛТ дисплея и изображениях с проектора, для некоторых проектных технологий, нарушение сходимости может стать причиной появления цветных окантовок или двойных изображений вдоль границ картинки, что может снизить работоспособность пользователя. Уровень нарушения сходимости в разных зонах, как ЭЛТ, так и проекционных экранов, не должен ухудшать визуализацию во время выполнения задач.
5.7.5 Эффекты фона и окружения изображения
Для того чтобы лучше различать и опознавать цвета, в аппаратных средствах и программном обеспечении компьютера следует использовать ахроматический фон за хроматическим передним изображением или ахроматическое переднее изображение на хроматическом фоне.
5.7.6 Число цветов
| | ИС МЕГАНОРМ: примечание. Нумерация пунктов дана в соответствии с официальным текстом документа. | |
5.6.7.1 Совместное представление цветов
Число цветов, совместно представленных на экране дисплея, должно базироваться на требованиях решаемой задачи. Число совместно представленных цветов должно быть минимальным. Для правильного опознавания установка цветов по умолчанию должна состоять не более чем из 11 цветов, использование большего количества цветов приведет к проблеме отличия между некоторыми парами цветов.
Пример 1 - Красный, оранжевый, желтый, желто-зеленый (голубой), синий, сине-красный (пурпурный или маджента), черный, белый, серый.
Пример 2 - Красный, розовый, оранжевый, желтый, коричневый, зеленый, синий, пурпурный, черный, белый, серый.
5.6.7.2 Визуальный поиск при цветных изображениях
Если требуется быстрый визуальный поиск, основанный на различении цветов, то используют не более шести цветов.
5.6.7.3 Заметность цветов
Пользователи должны легко отличать основную информацию от привлекающих внимание цветных пометок.
5.6.7.4 Интерпретация цвета, вызываемого из памяти компьютера
Если значение каждого цвета из набора цветов по умолчанию должно быть выбрано из памяти компьютера, следует использовать не более шести цветов. Программные приложения, требующие определения каждого цвета, который будет выбираться из памяти компьютера из набора, состоящего более чем из шести цветов, должны однозначно определять соответствие для каждого цвета.
5.8.1 Общие принципы
Точность - это понятие, которое имеет значение для воспроизведения в электронном виде любого статического или двигающегося объекта из реального мира. Чем больше соответствия между электронным образом и его реальным прототипом, тем выше точность передачи действительности. Однако, не всегда обязательно, что образы, переданные с наибольшей точностью, будут предпочтительны для пользователя.
5.8.2 Цветовая гамма и опорный белый
5.8.2.1 Цветовая гамма
Точная цветопередача на видеодисплее необходима для отображения образов и сцен из реальной жизни (электронное фото, телевидение, видео и т.д.). Неадекватная цветопередача может стать причиной неверного толкования или недостаточного понимания образов и сцен (цвет кожного покрова может указывать на болезнь). Обычно, чтобы обеспечить минимальные требования цветопередачи (в зависимости от поставленной задачи), электронный видеодисплей должен иметь возможность воспроизвести цвета, которые формируют минимальную треугольную зону цветового пространства (например, u' и v' цветовые координаты CIELUV (1976) из основных цветов: красного, зеленого и синего). Соответствующие минимальные значения даны в ИСО 9241-307.
5.8.2.2 Опорный белый
Для активации соответствующей цветочувствительности, необходимой пользователю, смотрящему на дисплей, желательно иметь изображения базовых поверхностей, таких как бумага или белая одежда, всегда воспринимаемых как "белые" независимо от того, какое освещение в данный момент воспроизводится на экране. Этого можно достичь (1) установкой опорного белого на видеодисплее и (2) корректировкой камеры, регистрирующей сцену, и канала связи между камерой и принимающим дисплеем таким образом, чтобы базовые поверхности были опорно-белыми.
5.8.3 Коэффициент контрастности и шкала яркости
Коэффициент контрастности для каждого из трех основных цветов должен быть в диапазоне 2,0 + 0,2.
Относительно шкалы яркости мультихромного видеодисплея, способного к воспроизведению изображений реального мира, нет никаких специальных требований в дополнение к тем, которые являются необходимыми для верного воспроизведения цвета, так как человеческий глаз намного более терпим к отклонениям яркости, чем к отклонениям цветности для специфического видеоряда. Очевидно, что характеристика коэффициента контрастности ЖКТ зависит от направления визирования, это значит, что при изменении направления визирования, будут существенно меняться цвет и яркость изображения.
5.8.4 Воспроизведение подвижных изображений
Чтобы воспроизвести подвижные изображения должным образом, дисплей нуждается во временной точности. Временная точность зависит от четырех главных параметров:
- время нарастания;
- время задержки (время между концом времени нарастания и началом времени спадания);
- время спада;
- частоты дискретизации.
Время нарастания и спада должно быть достаточно коротким, для переключения сигнала яркости с одного желаемого уровня к другому, от кадра к кадру. В противном случае, этот сигнал не сможет меняться достаточно быстро для быстро движущихся изображений. В худшем случае движение невозможно будет обнаружить (т.е. как на медленных ЖК-экранах без какой-либо компенсации за эту медлительность).
Время нарастания и время спада должно быть достаточно коротким для должной демонстрации быстро движущихся изображений, которые будут показаны на экране. В противном случае, края и детали движущихся изображений будут казаться смазанными.
Время удержания должно быть таким же или короче, чем требуется для быстрого перемещения изображения, которое будет показано на экране. В противном случае край и детали движущихся изображений будут размыты.
Примечания
1 Если время задержки будет слишком коротким по сравнению с частотой дискретизации, то пользователь будет чувствовать нежелательное мерцание.
Частота дискретизации (частота регенерации) должна быть достаточно высока, чтобы показать все детали быстро двигающихся изображений. Если частота дискретизации слишком низка, быстрые движения не будут видны. Если частота дискретизации будет очень низка, то движение будет рывками.
Кроме этих параметров, отношение сигнал-шум сигнала должно быть достаточно высоким, чтобы быстродействующие движения не искажались.
2 Следующие шаги можно предпринять для обеспечения целостности движущихся изображений:
a) проанализируйте содержание намеченного движущегося изображения и определите, как высока должна быть частота дискретизации, чтобы не упустить детали движения;
b) выберите дисплей с частотой регенерации, которая соответствует частоте дискретизации;
c) выберите время нарастания и время спада настолько короткое, чтобы двигающиеся изображения не казались смазанными;
d) выберите время задержки, короткое настолько, чтобы двигающиеся изображения не казались размытыми;
e) проверьте, что комбинация частоты регенерации и время задержки не создает нежелательного мерцания.
Проверьте систему, чтобы узнать, необходима ли видеообработка сигналов, чтобы компенсировать какой-нибудь оставшийся дефект или системный недостаток.
Рисунок 3 иллюстрирует действия нескольких нарастаний, задержек и спадов и специфической частоты дискретизации на изображении двигающегося объекта.
X - время (произвольный уровень); Y - интенсивность
(произвольный уровень); 1 - реальное изображение;
2 - STN-LCD (жидкокристаллический дисплей);
3 - TFT-LCD (жидкокристаллический дисплей
на тонкопленочных транзисторах)
Рисунок 3 - График яркость-время, изображения
двигающегося с ускорением на маленьком участке экрана
5.8.5 Время формирования изображений (ВФИ)
ВФИ должно быть достаточно коротким для отображаемой информации. Время формирования изображения на электронном видеодисплее зависит от технического типа дисплея. Время формирования изображения может быть длительным для определенных приложений. Например, показ реального передвижения требует короткого ВФИ. Тогда как, для дисплеев, которые отображают изображения по частям в течение большей части времени кадра, продолжительность периода кадровой развертки является лимитирующим фактором. Если продолжительность ВФИ или периода кадровой развертки будет слишком длинной, в то время как дисплей формирует изображение в течение большей части времени кадра, то результатом могут стать размытые или отрывистые изображения, и контраст может быть снижен.
Для многих типов плоских дисплеев время, необходимое для переключения с одного уровня яркости к другому - определяющий фактор для ВФИ - зависит от значения этих уровней в целом. Это также зависит от температуры дисплея. Это особенность типа дисплея. Пока еще накоплено недостаточно много данных, чтобы предсказать наихудший вариант ВФИ в дисплее, когда переключение между двумя уровнями "серого", будет самым медленным. Переключение "черного" к "белому" может занять меньше времени чем переключение, например, от "темно-серого" к "светло-серому".
5.8.6 Пространственное разрешение
Разрешающая способность дисплея должна давать возможность нормального воспроизведения первоначального изображения, то есть нормальное горизонтальное и вертикальное разрешения телевизионного изображения. Кроме того, не должно быть геометрических искажений, которые уменьшают геометрический объект, отображенный с точностью.
5.8.7 Растровая модуляция или коэффициент заполнения
Для дисплеев, имеющих растровую модуляцию или коэффициент заполнения меньше, чем 30 пикселей на градус при проектном расстоянии просмотра, модуляция яркости в направлении, перпендикулярном к соседним строкам пикселей не должна превышать Cм = 0,4 для монохромных дисплеев или Cм = 0,7 для цветных дисплеев, когда все пиксели находятся в своем высшем положении.
Для лучшей четкости Cм не должен превышать 0,2 ни для одного типа дисплея.
5.8.8 Плотность пикселя
Для дисплеев прямого просмотра изготовитель должен указать плотность пикселей. Плотность пикселей является важным фактором для качественного воспроизведения информации.
(справочное)
ОБЗОР СЕРИИ СТАНДАРТОВ ИСО 9241
В данном приложении приведен обзор структуры серии стандартов ИСО 9241.
Для актуального обзора структуры, предметных областей и текущего состояния опубликованных и находящихся на стадии разработки частей обращаться к сериям ИСО 9241.
Таблица A.1
Структура серии стандартов ИСО 9241
"Эргономика взаимодействия человек-система"
Номер части | Наименование |
1 | Общее введение |
2 | Требования к производственному заданию |
11 | Руководство по обеспечению пригодности использования |
20 | Руководство по доступности оборудования и услуг в области информационно-коммуникационных технологий (ИКТ) |
21 - 99 | Резервные номера |
100 | Эргономика программного обеспечения |
200 | Человеко-ориентированное проектирование |
300 | Требования к электронным видеодисплеям |
400 | Принципы и требования для устройств физического ввода |
500 | Рабочая станция |
600 | Рабочая среда |
700 | Центры управления |
900 | Тактильные взаимодействия |
(справочное)
АТТРАКТИВНОСТЬ ИЛИ ВИЗУАЛЬНЫЕ КАЧЕСТВА ОБЪЕКТА
Качество изображения на видеодисплее важный фактор, влияющий на хорошее состояние, утомляемость и производительность труда пользователя.
Дизайн символьного шрифта является психологическим стимулом для пользователя.
В настоящее время единодушие в оценке привлекательности не достигнуто. Однако, считается, что следующие факторы воздействия влияют на этот параметр (хотя психологическая взаимосвязь еще не доказана).
Стиль шрифта:
- знак, слово, разделительные линии;
- шрифт с засечками;
- полужирный, стиль курсива;
- под-/сверхстрочный.
Специфика пользователя:
- образование;
- возраст;
- внешние условия чтения.
Неспециализированное исследование по чтению и опрос общественного мнения по поводу напечатанного текста, с использованием различных шрифтов были проведены со значительным количеством людей. Результаты показывают различия в оценках привлекательности. Например, в книжных типографиях известно, что определенные шрифты, такие как Gatineau, предпочтительны для большого количества людей. Однако не известно, может ли этот опыт быть применен к характеристикам видеодисплеев, если это ЭЛТ, ЖКД или другие, новые технологии.
По указанным выше причинам ни точные определения, ни методы измерения, ни контрольные уровни для привлекательности не могут быть предоставлены. Можно порекомендовать, чтобы фактор привлекательности учитывал изготовитель, желающий улучшать дизайн. При отсутствии научно доказанной методологии, нужно учитывая, что сколько людей, столько и мнений, брать во внимание субъективную оценку различных наборов шрифтов, включая запланированный к использованию шрифт, и применять проверенные правила при проведении опросов общественного мнения.
(справочное)
АСПЕКТЫ УДОБСТВА И ПРОСТОТЫ УСТАНОВКИ
C.1 Аспекты удобства и простоты
Удобство и простота использования - важный фактор в разработке дизайна продукта, потому что это напрямую связано с тем, как пользователь сможет работать эффективно, рационально и с удовольствием. Степень достигнутого удобства и простоты использования, работоспособность и удовлетворенность пользователей, работающих с продуктом, следует изучать. Основные факторы, которые следует учитывать при оценке простоты и удобства продукта это выполнение задачи, контекст использования и квалификация пользователя. Адекватная проверка удобства и простоты использования должна показать несоответствия между намеченным использованием (запланировано разработчиком) и фактическим использованием (как выполнено реальным пользователем).
Инсталляция и установка компьютеризированного рабочего места, являются одним из первых впечатлений, которые пользователь получает при работе с компьютером, и это может повлиять на его оценку.
Поэтому этот этап является одной из проверок удобства и простоты использования продукта, такого как компьютеризированное рабочее место.
C.2 Инсталляция и установка
Как уже определено, смыслом основной задачи является инсталляция и установка продукта. Установка может включать в себя следующие этапы:
- распаковка;
- нахождение/идентификация схемы по установке или руководства по эксплуатации;
- удаление защитных средств, таких как винты, амортизаторы и оберточный материал;
- координация установки компонентов оборудования, включая кабели, разъемы, лицевые панели и винты;
- последовательность и средства подключения (например цветное кодирование соответствующих частей), чтобы соединить компоненты;
- инсталляция программных составляющих, таких как драйверы, утилиты и приложения;
- регистрация;
- несколько запусков/последовательность запусков системы.
Эффективность и КПД инсталляции зависят от способностей, опыта и тренировки лица ответственного за задачу. Поэтому изготовитель должен определить тип инсталляции: является ли это пользовательской установкой, или установкой опытным специалистом, или заложенным принципом "включай и работай".
Чтобы определить удобство и простоту установки, предварительная проверка удобства и простоты использования должна быть проведена в соответствующих условиях. Эта среда может быть смоделирована в лабораторных условиях.
Следующие замеры дают существенную информацию:
a) время от распаковки до завершения инсталляции;
b) время определения действий в каждом этапе;
c) количество неверных решений;
d) неудачи (первостепенная, второстепенная, фатальная):
1) первостепенная (существенно препятствующая эксплуатации);
2) второстепенная (временно препятствующая эксплуатации);
3) фатальная (дальнейшая эксплуатация не возможна);
e) количество обращений к специалисту за справочной информацией;
f) количество и суть рекламаций и рекомендаций для усовершенствования;
g) соотношение необходимых указаний по сравнению с самостоятельными шагами.
C.3 Работа с продуктом
Чтобы определить или измерить удобство и простоту использования, нужно определиться с целями и разделить эффективность, КПД и удовлетворенность пользователя на субъективные характеристики и характеристики, которые могут быть измерены и подтверждены. Многие ситуации могут потребовать оценки удобства использования продукта, испытуемого в рамках всей системы. Это включает любую аппаратную или программную составляющую, которая относится к делу и является показательной для фактической рабочей среды. Составляющие и соотношения между ними показаны на рисунке C.1.
Контекст использования | Запланированные задачи | Цели |
Пользователь | | |
Задача ----------------------- Оборудование | Измерения |
эффективность |
Внешние условия | Результат взаимодействия | КПД |
продукт | удовлетворенность |
Рисунок C.1 - Структура удобства и простоты использования
(обязательное)
ОСНОВНЫЕ ПОНЯТИЯ ЗРИТЕЛЬНОГО ВОСПРИЯТИЯ КОНТРАСТНОСТИ
И ЯРКОСТИ ЭЛЕКТРОННЫХ ДИСПЛЕЕВ
D.1 Контрастность и яркость для электронного дисплея
Это приложение пытается объяснить процессы за формирующимся изображением с определенной яркостью и контрастом на электронном дисплее, таким образом, имея дело с фундаментальными понятиями яркости и контрастности в визуальном восприятии.
В этом приложении использованы следующие символы и сокращения:
CR - контрастное отношение
E - яркость
g - однородность яркости
LL - минимальная яркость
LA - яркость изображения
Lr - яркость отраженная
LH - максимальная яркость
r - (нижний индекс) значение отражения
- спектральная область изображения
- спектральная область
T - коррелированная цветная температура
u', v' - значения равноконтрастной цветовой шкалы МКО 1976
Xr, Yr, Zr - тройное значение цветного сигнала
- высота знака
- значение коэффициента контрастности функции преобразования
D.3 Яркостные условия
Типичное использование дисплея показано на
рисунке D.1. Элементы системы технического зрения нарисованы символически:
- различные условия освещения (естественные, искусственные источники) и их атрибуты;
- внешние условия, которые влияют на адаптацию глаза;
- дисплей с его атрибутами;
- глаз с его атрибутами.
1 - Внешняя среда; Полезная информация:

,
LH,
LL, CR,
u',
v',

,

и т.д.; Раздражающая информация:
Xr,
Yr,
Zr, (
Lr)
и т.д.
Примечание - Обозначение символов см. в
D.2.
Рисунок D.1 - Использование дисплеев
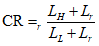
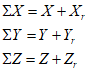
Полезная информация, представленная пользователю дисплея, основана на:
- яркости, ZH, ZL;
- контрасте, CR = LH/LL;
- цветовом контрасте,

.
Отражения и различные условия освещения приводят к раздражающей информации. Следующие последствия раздражающей информации:
- снижение контраста
| | ИС МЕГАНОРМ: примечание. Формула дана в соответствии с официальным текстом документа. | |

(D.1)
Раздражитель и цветовой фон:

(D.2)
Полезная информация распознается, если следующие условия соблюдены:
- минимальный сигнал яркости;
- минимальный контраст;
- минимальный размер;
- адаптация глаза к текущей яркости в поле зрения;
- достаточное количество времени демонстрации объекта;
- уменьшение случайной информации, например - отражений, так, чтобы полезная информация могла быть воспринята и минимально подвергалась влиянию.
D.4 Яркостный контраст
Сравнения различных требований контраста ИСО 9241-3
[4] и ИСО 13406-2
[5] отражены на
рисунке D.2.
LL - яркость Кд/м2; CRmin - минимальное контрастное
значение; минимальный контраст в соответствии
с ИСО 9241-3: CR = 3:1; минимальный контраст
в соответствии с ИСО 13406-2: CR = 1 + 10-0,55
Рисунок D.2 - Минимальный контраст
(в соответствии с ИСО 9241-3/ИСО 13406-2)
Сравнение и обсуждение
| | ИС МЕГАНОРМ: примечание. В официальном тексте документа, видимо, допущена опечатка: рисунок Г.2 отсутствует. Возможно, имеется в виду рисунок D.3. | |
Под

, требования ИСО 9241-3 слишком занижены по сравнению с ИСО 13406-2.
Над

, требования ИСО 9241-3 слишком завышены по сравнению с ИСО 13406-2.
Согласно ИСО 13406-2, контраст стремится к 1 с возрастанием LL, что недопустимо.
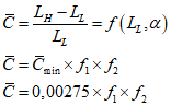
В качестве альтернативы различным требованиям по контрастности ИСО 9241-3 и ИСО 13406-2, для целей этой части ИСО 9241, определены другие требования контрастности.
| | ИС МЕГАНОРМ: примечание. Обозначения даны в соответствии с официальным текстом документа. | |
Основываясь на историческом опыте
[15], выведена математическая формула визуального порога контраста,
, давая математическое определение

как функции яркости,
LL, и угла,
a, визуальной цели:

(D.3)

(D.4)
Это выражение преобразовано, чтобы выразить коэффициент контраста, CR

(D.5)
В зависимости от размера визуальной цели, визуальный порог контраста,

, должен быть откорректирован константой
k. Использование размера объекта

приведет к константе
k:

(D.6)
В общем:

(D.7)
Результат демонстрирует пунктирная линия на
рисунке D.3.
LL - яркость Кд/м2; CRmin - минимальное
контрастное значение
Рисунок D.3 - Требуемый минимальный контраст дисплеев
Заданный визуальный порог контраста для объекта с размером 1', предложен как минимально необходимый контраст для электронных видеодисплеев.
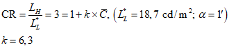
Поэтому, необходимый контраст должен быть:

(D.8)
Исходные данные для вышеупомянутой контрастной потребности были получены экспериментами на молодых пользователях. Требуемый яркостный контраст, CR, различен для разных возрастных групп пользователей. Поэтому введение контрастного коэффициента,
kage, было предложено Blackwell
[16]
CRmin,age = kage x CRmin (D.9)
См. таблицу D.1.
Таблица D.1
Возрастной коэффициент контраста
Возраст пользователя, в годах | Контрастный коэффициент, kage |
20 | 1,00 |
25 | 1,00 |
30 | 1,02 |
35 | 1,07 |
40 | 1,17 |
45 | 1,34 |
50 | 1,58 |
55 | 1,90 |
60 | 2,28 |
65 | 2,66 |
Однако, комбинация данных должна рассматриваться с осторожностью. В настоящий момент,
уравнение (D.8) отражает соответствующие требования (см. также CIE 145
[17]).
D.5 Яркость дисплея
В дополнение к LH, LL, Lr яркость, отраженную от дисплея или поверхности экрана, нужно рассматривать в условиях освещения внешней среды; Lv рассматривает такие составляющие яркости, как LD и LS:
- диффузное отражение яркости
- зеркальное отражение яркости
В целом контраст должен быть:

(D.10)
Решением уравнения (D.10) для LH, выведена минимальная яркость дисплея LH,min:
LH,min = [2,2 + 4,84 x (
LL +
LD +
LS)
-0,65 x
x (LL + LD + LS) - LD - LS. (D.11)
Поэтому LH,min функция LL:

(D.12)

(D.13)
Это отраженно в двух следующих примерах:
Пример 1. Типичный дисплей с катодно-лучевой трубкой, используемый в офисе, где:
LL = 0,5 cd/m2
RS,EXT = 3%
LA = 0 cd/m2.
См. таблицу D.2.
Таблица D.2
E lx | LH,min cd/m2 |
1 | = 5 |
10 | = 6 |
100 | = 11 |
1 000 | = 46 |
10 000 | = 334 |
100 000 | = 3 075 |
Пример 2. Типичный лэптоп TFT-ЖКТ, где
LL = 0,5 cd/m2
RS,EXT = 2%.
| | ИС МЕГАНОРМ: примечание. В официальном тексте документа, видимо, допущена опечатка: таблица Г.3 отсутствует. Возможно, имеется в виду таблица D.3. | |
LA см. таблицу Г.3.
Таблица D.3
LA cd/m2 | LH,min cd/m2 |
1 | = 5 |
10 | = 6 |
100 | = 10 |
1 000 | = 39 |
10 000 | = 272 |
100 000 | = 2 470 |
Нижний уровень для LH,min
LH,min должен превышать 3 Кд/м
2. Это требование минимальной яркости для восприятия цветных образов
[18]. В случае низкой освещенности, также важен размер дисплея.
Пример - В кинотеатрах LH,min должен быть больше 50 Кд/м2.
Верхний уровень для LH.
Блики (раздражающие и создающие дискомфорт) не должны воспроизводиться дисплеем.
Примечание - Блики зависят от режима адаптации человеческого глаза.
(справочное)
РАБОЧИЕ ХАРАКТЕРИСТИКИ ВИРТУАЛЬНЫХ ДИСПЛЕЕВ
E.1 Общие принципы
Комфортность - один из ключевых аспектов при использовании закрепленных на голове (head-worn) или переносных (hand-held) виртуальных дисплеев (карманные электронные виртуальные устройства или виртуальные устройства закрепленные на голове), который имеет важное значение и рассматривается в этом приложении. Цель этого приложения состоит в том, чтобы обеспечить, минимальный набор рабочих эргономических требований при которых работа пользователя с виртуальным дисплеем будет комфортной. Это ограничения для непрозрачных бинокулярных или биокулярных дисплеев.
E.2 Расстояние между глазом и оптическим устройством
| | ИС МЕГАНОРМ: примечание. Текст дан в соответствии с официальным текстом документа. | |
Расстояние между глазом и оптическим устройством - расстояние от роговицы глаза, в месте расположения зрачка, до ближайшего оптического элемента дисплея виртуального изображения. Расстояние между глазом и оптическим устройством ограничивается двумя коэффициентами: глаз должен быть достаточно близко к линзе, чтобы весь дисплей был видим, но достаточно далеко от дисплея так, чтобы могли быть надеты очки. Чтобы надеть очки, расстояние между глазом и оптическим устройством, должно составлять, по крайней мере, 25 мм (5), (6), (7).
E.3 Требования конвергенции (сходимости)
Угол конвергенции

, это угол между зрительными осями левого и правого глаза. См.
рисунок E.1. Это выражается формулой:
где D - расстояние от узловой точки глаза вдоль срединной сагиттальной плоскости к зафиксированному пункту, F, в пространстве;
i - расстояние между зрачками.
Когда два дисплея бинокулярного виртуального дисплея перед глазами, пользователь должен свести глаза так, чтобы воспринять изображения и соединить их в единый объект. Позиция конвергенции глаз, которая необходима для бинокулярного слияния, является требованием конвергенции бинокулярной виртуальной системы.
Система не должна задавать такие требования конвергенции, которые находятся в расходящемся направлении от параллельных визуальных осей, то есть в направлении от висков к оптической бесконечности
[5],
[8].
Требования конвергенции должны быть от 0° до 10°, предпочтительно от 2° до 10°
[5],
[8].
Рисунок E.1 - Конвергенция
E.4 Горизонтальная диспарантность
Различие в относительном положении визуальных изображений объекта на двух сетчатках. Горизонтальная диспарантность изображения в сетчатке точки фиксации
F, по отношению к точке
P, равна разнице между углом сходимости/расходимости, необходимым для фиксации
F, и углом сходимости/расходимости, необходимым для фиксации
P. Диспарантность между

. Точка
P имеет сходящуюся или перекрестную диспарантность по отношению к точке
F. Точка
Q имеет сходящуюся или перекрестную диспарантность по отношению к точке
F. См. рисунок E.2.
Рисунок E.2 - Горизонтальная диспарантность
Если нужно избежать восприятия глубины, диспарантность в виртуальном дисплее должна быть менее чем 20 мс
[5].
Если восприятие глубины - цель дисплея, перекрестная диспарантность не должна стать причиной таких требований конвергенции, которые находятся в расходящихся направлениях от параллельных визуальных осей, то есть в направлении от висков к оптической бесконечности
[5],
[8].
Если вышеупомянутые ограничения приняты во внимание, и используется непрозрачный дисплей, то перекрестная или неперекрестная диспарантность относительно точки фиксации с временем демонстрации более чем 200 мс должна быть <= 2
° [8],
[9] и <= 15'
[8] со временем демонстрации <= 200 мс.
E.5 Вертикальное смещение дисплея
Рисунок E.3 показывает вертикальное смещение дисплея
Рисунок E.3 - Вертикальное смещение дисплея
Вертикальное смещение относится к вертикальной позиции дисплеев по отношению друг к другу. Если нет никакого вертикального смещения, и пользователь точно фиксирует соответствующие точки в двух дисплеях, оптическая ось лежит на плоскости. Величина вертикального смещения - полное отклонение оптической оси от этой плоскости.
Рекомендации для соответствующего вертикального смещения от 3' до 34' указаны в
[8]. Различные рекомендации зависят от различных условий, связанных со временем использования прибора и возможным опытом пользователя. Однако, если использовать критерии комфорта, и предполагается, что бинокулярные виртуальные дисплеи используются в течение более длительного периода, вертикальное смещение бинокулярного дисплея не должно превышать 8,6'
[11].
E.6 Межглазная разность вращения
Межглазная разность вращения - разность вращения между двумя биокулярными или бинокулярными дисплеями виртуального изображения. В иллюстрации E.4 прямоугольник, изображенный при помощи сплошной линии, представляет положение первого дисплея, а прямоугольник, изображенный при помощи штрих-пунктирной линии, представляет положение второго дисплея.
dh - горизонтальное смещение; dv - вертикальное смещение
Рисунок E.4 - Межглазная разница вращения
Если предполагается, что визуальные поля бинокулярного виртуального дисплея полностью накладываются. Максимальная допустимая разница вращения,
R, в минутах, рассчитана от максимального допустимого вертикального смещения,
V, и полного поля зрения, FOV, в градусах, и выражается
[18],
[13].
R = V x sin(FOV/2). (E.1)
Таблица E.1 рассматривает результат максимальной разницы вращения, когда вертикальное смещение 8,6' используется как максимальное разрешенное вертикальное смещение
[12].
Таблица E.1
Максимальная допустимая разность вращения
Поле зрения (ПЗ) в градусах (°) | Максимальная разрешенная разница вращения (') |
30 | 49,53 |
40 | 33,23 |
50 | 25,14 |
60 | 20,35 |
70 | 17,20 |
80 | 14,99 |
90 | 13,38 |
100 | 12,16 |
110 | 11,23 |
120 | 10,5 |
E.7 Межглазная разница увеличения
Это разница в увеличении между двумя биокулярными или бинокулярными дисплеями виртуального изображения. На
рисунке 5 прямоугольник, изображенный при помощи сплошной линии, представляет положение первого дисплея, а прямоугольник, изображенный при помощи штрих-пунктирной линии, представляет положение второго дисплея.
dh - горизонтальное смещение; dv - вертикальное смещение
Рисунок E.5 - Межглазная разница увеличения
Если предполагается, что визуальные поля бинокулярного виртуального дисплея полностью накладываются. Максимальная разрешенная разница увеличения,
d, в процентах, рассчитана от максимального разрешенного вертикального смещения,
V, и полного поля зрения, FOV, в градусах, и выражается
[6],
[12].
В
таблице E.2 рассматривается результат максимальной разницы увеличения, когда вертикальное смещение 8,6' используется как максимально разрешенное вертикальное смещение
[12].
Таблица E.2
Максимальная допустимая разница увеличения
Поле зрения (ПЗ) в градусах (°) | Максимальная разрешенная вертикальная разница увеличения (%) |
30 | 0,95 |
40 | 0,72 |
50 | 0,57 |
60 | 0,48 |
70 | 0,41 |
80 | 0,36 |
90 | 0,32 |
100 | 0,29 |
110 | 0,26 |
E.8 Межглазная разница вертикального увеличения
Межглазная разница вертикального увеличения - разница в вертикальном увеличении между двумя биокулярными или бинокулярными дисплеями виртуального изображения. На
рисунке 6 прямоугольник, изображенный при помощи сплошной линии, представляет положение первого дисплея, а прямоугольник, изображенный при помощи штрих-пунктирной линии, представляет положение второго дисплея. Значение вертикального смещения, вызванного вертикальной разницей увеличения, не должно превышать 8,6'
[11].
dh - горизонтальное смещение; dv - вертикальное смещение
Рисунок E.6 - Вертикальная межглазная разница увеличения
E.9 Межглазная разница горизонтального увеличения
Межглазная разница горизонтального увеличения - разница в горизонтальном увеличении между двумя биокулярными или бинокулярными дисплеями виртуального изображения.
На
рисунке E.7 прямоугольник, изображенный при помощи сплошной линии, представляет положение первого дисплея, а прямоугольник, изображенный при помощи штрих-пунктирной линии, представляет положение второго дисплея.
dh - горизонтальное смещение; dv - вертикальное смещение
Рисунок E.7 - Межглазная разница горизонтального увеличения
Разница горизонтального увеличения между дисплеями должна быть такой, чтобы в результате диспарантность не стала причиной таких требований конвергенции, которые находятся в расходящихся направлениях от параллельных визуальных осей, то есть в направлении от висков к оптической бесконечности
[5],
[8].
Если вышеупомянутые ограничения приняты во внимание, то перекрестная или неперекрестная диспарантность относительно точки фиксации с временем демонстрации более чем 200 мс должна быть <= 2°
[8],
[9] и <= 15'
[8] со временем демонстрации <= 200 мс.
E.10 Межглазная разница яркости
Разница яркости в поле зрения левого и правого глаза не должна быть более 10%
[5],
[6].
E.11 Межглазная фокусная разница
Фокусная разница в поле зрения левого и правого глаза не должна быть более 0,25
D [8].
E.12 Временное искажение (асинхрония)
Временная асинхрония воспринимаемая правым и левым глазами, не должна превышать 100 мс
[8].
E.13 Фокусное расстояние
Если используется фиксированное фокусное расстояние, то фокусное расстояние не должно быть менее чем 40 см. Предпочтительно расстояние более 100 см
[8].
E.14 Межглазное расстояние
Если межглазное расстояние может меняться, это должны быть по крайней мере от 50 мм до 74 мм (охватывает 98% населения
[8]).
Если межглазное расстояние фиксировано, рекомендуется следующее.
Если межзрачковое расстояние пользователя не соответствует межглазному расстоянию прибора, оптические центры глаза не сконцентрированы с оптикой системы, что может вызвать дополнительные требования конвергенции. Требования конвергенции, вызванные межглазным расстоянием прибора, не должны быть в расходящихся направлениях от параллельных визуальных осей, то есть в направлении от висков к оптической бесконечности
[5],
[8].
Несоответствие между межзрачковым расстоянием пользователя и межглазным расстоянием системы не должно вызвать невозможность аккомодации, более чем 0,25D
[8].
Несоответствие между межзрачковым расстоянием пользователя и межглазным расстоянием системы не должно вызвать вертикальную разницу увеличения, более чем 8,6'
[11].
E.15 Разница кривизны поля
Межглазная разница кривизны поля не должна вызывать невозможность аккомодации, более чем 0,25D
[8].
(справочное)
ДОСТУПНОСТЬ ИНФОРМАЦИИ ПО ЭЛЕКТРОННЫМ ВИДЕОДИСПЛЕЯМ
F.1 Общие принципы
Справочная информация, перечисленная в этом приложении, должна быть рассмотрена как отправная точка для проектировщиков, разработчиков и пользователей электронного оборудования, которые планируют обеспечить доступ к характеристикам их продуктов. Эта справочная информация не является полной или исчерпывающей. Степень доступности имеет международное значение, что ведет к значительному диапазону задач в политической и технологической сферах. Нижеприведенная справочная информация обеспечивает первичное руководство и служит источником технической информации.
F.2 Справочная информация
URL могут быть изменены, и конечно Web адреса будут актуальны на момент публикации этой части ИСО 9241, пользователю рекомендуется проверить точность информации. Некоторые из документов доступны только через соответствующие агентства.
- The World Wide Web Consortium (W3C). The developer of interoperable technologies (specifications, guidelines, software and tools), the W3C is cited by many countries throughout the world as the core technical source for software accessibility:
http://www.w3.org/
- ISO/TS 16071:2003, Ergonomics of human-system interaction - Guidance on accessibility for human-computer interfaces. Available from ISO.
- HFES 200, Human Factors Engineering of Software User Interfaces (canvass draft 2006).
Multi-part draft standard developed by the USA's Human Factors and Ergonomics Society, intended to be published as an expanded US version of the ISO 9241 software-related parts 10 to 17. One part deals with software accessibility, including Web access. See also Reference
[1].
- US Section 508. Technical standards for Web-based applications, software and operating systems, telecommunications products, video and multimedia products, desktops and hardware. An official starting point for any developer to understand what needs to be done:
http://www.section508.gov/index.cfm?FuseAction=Content&ID=12
- UNE 139801, Aplicaciones informaticas para personas con discapacidad.
Requisito deaccesibilidad al ordenador.
Hardware. (Computer applications for people with disabilities. Computer accessibility requirements. Hardware.). Published by the Spanish Association for Standardisation and Certification - (AENOR), Spanish version only available:
http://www.aenor.es/desarrollo/inicio/home/home.asp
- Nordic Guidelines for Computer Accessibility, second edition:
Provides public and private procurers with accessibility requirements to be included in or referred to in calls-for-proposal for personal computer systems and similar systems. Published by the Nordic Cooperation on Disability:
http://trace.wisc.edu/docs/nordic_guidelines/nordic_guidelines.htm
- TR 124, Products in Design for All. Deutsches Institut fur Normung e. V. (DIN) Technical Report containing guidelines and recommendations for the development of technical products so that "as many people as possible can use the products as intended - if readily achievable.".
- ISO/IEC Guide 71, Guidelines for standards developers to address the needs of older persons and persons with disabilities. Available from ISO.
- CEN/CENELEC Guide 6, Guidelines for standards developers to address the needs of older persons and persons with disabilities (January 2002).
(справочное)
СВЕДЕНИЯ О СООТВЕТСТВИИ ССЫЛОЧНЫХ МЕЖДУНАРОДНЫХ СТАНДАРТОВ
ССЫЛОЧНЫМ НАЦИОНАЛЬНЫМ СТАНДАРТАМ РОССИЙСКОЙ ФЕДЕРАЦИИ
Таблица ДА.1
Обозначение ссылочного международного стандарта | Степень соответствия | Обозначение и наименование соответствующего национального стандарта |
ИСО 9241-302 | - | |
ИСО 9241-307 | IDT | ГОСТ Р ИСО 9241-307-2012 "Эргономика взаимодействия человек-система. Часть 307. Методы анализа и проверки соответствия электронных видеодисплеев" |
<*> Соответствующий национальный стандарт отсутствует. До его утверждения рекомендуется использовать перевод на русский язык данного международного стандарта. Перевод данного международного стандарта находится в Федеральном информационном фонде технических регламентов и стандартов. Примечание - В настоящей таблице использовано следующее условное обозначение степени соответствия стандарта: - IDT - идентичный стандарт. |
| HFES 100, Human Factors Engineering of Computer Workstations (second canvass draft 2006). |
[2] | ISO/IEC 10646, Information technology - Universal Multiple-Octet Coded Character Set (UCS). |
[3] | ISO 9241-12:1998, Ergonomic requirements for office work with visual display terminals (VDTs) - Part 12: Presentation of information. |
| ISO 9241-3:1992, Ergonomic requirements for office work with visual display terminals (VDTs) - Part 3: Visual display requirements. |
| ISO 13406-2:2001, Ergonomic requirements for work with visual displays based on flat panels - Part 2: Ergonomic requirements for flat panel displays. |
| Wentworth, J.W. Color Television Engineering, p. 110, McGraw-Hill, New York, USA (1955). |
[7] | Farrel, R.J., Booth, J.M. Design handbook for imagery interpretation equipment, Boeing document D180-19063-1 (reprint, with corrections of 1975 original), Boeing Aerospace Company, Seattle, Washington 98124 (1984). |
| Self, H.C. Optical tolerances for alignment and image differences for binocular helmet-mounted displays, Armstrong Aerospace Medical Research Laboratory, Technical Report (AAMRL-TR-86-019) (1986). |
| Velger, M. Helmet-mounted displays and sights, Artech House, USA (1998). |
[10] | Peli, E. Optometric and perceptual issues with head-mounted displays, In Mourolis, P. (Ed.) Visual instrumentation. Optical design and engineering principles, McGraw-Hill 1999, USA (1998). |
| Goss, D. Ocular accommodation, convergence, and fixation disparity, A manual of clinical analysis, 2nd edition, Butterworth-Heinemann, USA (1995). |
| Howard, LP., Rogers, B.J. Binocular vision and stereopsis, Oxford University Press/Clarendon Press, USA (1995). |
| ANSI Z87.1:1989, Practice for Occupational and Educational Eye and Face Protection (R1998). |
[14] | Boff, K.R. Lincoln, J.E. Engineering Data Compendium, Human Perception and Performance: three volume set including Users Guide, Harry G Armstrong Aerospace (1986). |
| Kokoschka, S., Beleuchtung, Bildschirm, Sehen, Habilitationsschrift. Karlsruhe (1989). |
| Blackwell, O.M., Blackwell H.R. Visual performance data for 156 normal users of varying age, Journal of IES. (October 1971). |
| CIE 145:2002, The correlation of models for vision and visual performance. |
| Lang, H. Farbmetrik und Farbfernsehen, R. Oldenbourg (1978). US Human Factors and Ergonomics Society draft standard. |
[19] | ISO 13407:1999, Human-centred design processes for interactive systems. |
[20] | ISO 6385:2004, Ergonomic principles in the design of work systems. |
[21] | ISO/CEI 8995-1:2002, Lighting of work places - Part 1: Indoor. |
[22] | CIE 17.4:1989/IEC 50:1989, International Lighting Vocabulary. |