Главная // Актуальные документы // ГОСТ Р (Государственный стандарт)СПРАВКА
Источник публикации
М.: Стандартинформ, 2014
Примечание к документу
Документ
введен в действие с 1 декабря 2014 года.
Название документа
"ГОСТ Р ИСО 14505-2-2013. Национальный стандарт Российской Федерации. Эргономика термальной среды. Оценка термальной среды в транспортном средстве. Часть 2. Определение эквивалентной температуры"
(утв. и введен в действие Приказом Росстандарта от 22.11.2013 N 1652-ст)
"ГОСТ Р ИСО 14505-2-2013. Национальный стандарт Российской Федерации. Эргономика термальной среды. Оценка термальной среды в транспортном средстве. Часть 2. Определение эквивалентной температуры"
(утв. и введен в действие Приказом Росстандарта от 22.11.2013 N 1652-ст)
Утвержден и введен в действие
агентства по техническому
регулированию и метрологии
от 22 ноября 2013 г. N 1652-ст
НАЦИОНАЛЬНЫЙ СТАНДАРТ РОССИЙСКОЙ ФЕДЕРАЦИИ
ЭРГОНОМИКА ТЕРМАЛЬНОЙ СРЕДЫ
ОЦЕНКА ТЕРМАЛЬНОЙ СРЕДЫ В ТРАНСПОРТНОМ СРЕДСТВЕ
ЧАСТЬ 2
ОПРЕДЕЛЕНИЕ ЭКВИВАЛЕНТНОЙ ТЕМПЕРАТУРЫ
Ergonomics of the thermal environment. Evaluation
of thermal environments in vehicles. Part 2.
Determination of equivalent temperature
ISO 14505-2:2006
Ergonomics of the thermal environment - Evaluation
of thermal environments in vehicles - Part 2:
Determination of equivalent temperature
(IDT)
ГОСТ Р ИСО 14505-2-2013
Дата введения
1 декабря 2014 года
1. Подготовлен Автономной некоммерческой организацией "Научно-исследовательский центр контроля и диагностики технических систем" (АНО "НИЦ КД") на основе собственного аутентичного перевода стандарта, указанного в
пункте 4.
2. Внесен Техническим комитетом по стандартизации ТК 201 "Эргономика, психология труда и инженерная психология".
3. Утвержден и введен в действие
Приказом Федерального агентства по техническому регулированию и метрологии от 22 ноября 2013 г. N 1652-ст.
4. Настоящий стандарт идентичен международному стандарту ИСО 14505-2:2006 "Эргономика термальной среды. Оценка термальной среды в транспортном средстве. Часть 2. Определение эквивалентной температуры" (ISO 14505-2:2006 "Ergonomics of the thermal environment - Evaluation of thermal environments in vehicles - Part 2: Determination of equivalent temperature").
При применении настоящего стандарта рекомендуется использовать вместо ссылочных международных стандартов соответствующие им национальные стандарты, сведения о которых приведены в дополнительных
Приложениях ДА и
ДБ.
5. Введен впервые.
Правила применения настоящего стандарта установлены в ГОСТ Р 1.0-2012
(раздел 8). Информация об изменениях к настоящему стандарту публикуется в ежегодном (по состоянию на 1 января текущего года) информационном указателе "Национальные стандарты", а официальный текст изменений и поправок - в ежемесячном информационном указателе "Национальные стандарты". В случае пересмотра (замены) или отмены настоящего стандарта соответствующее уведомление будет опубликовано в ближайшем выпуске ежемесячного информационного указателя "Национальные стандарты". Соответствующая информация, уведомление и тексты размещаются также в информационной системе общего пользования - на официальном сайте Федерального агентства по техническому регулированию и метрологии в сети Интернет (gost.ru).
Взаимодействие конвективного, лучистого и проводящего теплообмена в салоне транспортного средства является достаточно сложным. Внешние термальные нагрузки в сочетании с внутренней системой обогрева и вентиляции транспортного средства создают микроклимат, который может значительно изменяться во времени и пространстве. Возникают условия температурной асимметрии, и часто именно они являются главной причиной жалоб на температурный дискомфорт. Микроклимат в транспортных средствах, которые вообще не имеют или имеют слабую систему отопления, вентиляции и кондиционирования воздуха (HVAC-система
<1>), и соответствующий термальный стресс в значительной степени определяют воздействием окружающих климатических условий. Субъективная оценка является интегральной, так как человек принимает объединенное воздействие нескольких термальных раздражителей. Однако она недостаточно детальна и точна для многократного применения. Технические измерения предоставляют детальную и точную информацию, но требуют обработки для прогнозирования термального воздействия на людей. Так как на окончательный теплообмен человека влияют несколько климатических факторов, требуется комплексное измерение этих факторов, представляющее их относительное значение.
--------------------------------
<1> HVAC-система - heating, ventilating and air-conditioning system.
Настоящий стандарт устанавливает руководство по оценке температурных условий в салоне транспортного средства. Он также применим для исследования других замкнутых пространств с асимметричными температурными условиями. Стандарт, в основном, предназначен для оценки температурных условий в случаях, когда отклонения от термонейтральной зоны относительно небольшие. Методология, приведенная в настоящем стандарте, может быть включена в стандарты по испытаниям HVAC-систем <1>, для транспортных средств и других замкнутых пространств.
--------------------------------
<1> HVAC-система - heating, ventilating and air-conditioning system.
В настоящем стандарте использованы нормативные ссылки на следующий стандарт:
ИСО 13731 Эргономика термальной среды. Словарь и символы (ISO 13731 Ergonomics of the thermal environment. Vocabulary and symbols).
В настоящем стандарте применены термины по ИСО 13731, а также следующие термины с соответствующими определениями.
3.1. Эквивалентная температура,

(equivalent temperature): температура однородного пространства со средней температурой излучения, равной температуре воздуха при нулевой скорости воздушного потока, в котором человек теряет такое же количество тепла за счет конвекции и излучения, как в условиях реальной окружающей среды.
3.2. Эквивалентная температура всего тела,

(whole body equivalent temperature): температура воображаемого замкнутого пространства с одинаковой температурой воздуха и окружающих поверхностей и нулевой скоростью воздушного потока, в котором тепловой манекен, имеющий размер и форму человека, теряет такое же количество сухого тепла за счет конвекции и излучения, как в условиях реальной неоднородной среды.
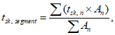
3.3. Эквивалентная температура сегмента,

(segmental equivalent temperature): однородная температура воображаемого замкнутого пространства с одинаковой температурой воздуха и окружающих поверхностей и нулевой скоростью воздушного потока, в котором одна или несколько выбранных зон теплового манекена теряют такое же количество сухого тепла за счет конвекции и излучения, как в условиях реальной неоднородной среды.
3.4. Направленная эквивалентная температура,

(directional equivalent temperature): температура воображаемого замкнутого пространства с одинаковой температурой воздуха и окружающих поверхностей и нулевой скоростью воздушного потока, в котором небольшая плоская нагреваемая поверхность теряет такое же количество сухого тепла за счет конвекции и излучения, как в условиях реальной неоднородной среды.
3.5. Всенаправленная эквивалентная температура,

(omnidirectional equivalent temperature): температура воображаемого замкнутого пространства с одинаковой температурой воздуха и окружающих поверхностей и нулевой скоростью воздушного потока, в котором нагреваемый эллипсоид теряет такое же количество сухого тепла за счет конвекции и излучения, как в условиях реальной неоднородной среды.
3.6. Сегмент (segment): часть теплового манекена, имеющего форму человека, обычно соответствующая реальной части тела, состоящая из одной или нескольких зон, для которой указывают эквивалентную температуру сегмента,

.
3.7. Зона (zone): независимо регулируемая физическая часть сегмента, в пределах которой измеряют температуру поверхности и теплообмен.
3.8. HVAC-система (HVAC-system): система отопления, вентиляции и кондиционирования воздуха внутри транспортного средства и/или кабины.
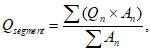
Принцип оценки основан на измерении эквивалентной температуры. Эквивалентная температура представляет собой комплексное измерение физических характеристик воздействия температурных условий на сухой теплообмен человека. На основе фактического значения температуры и колебаний эквивалентной температуры могут быть оценены условия теплового баланса в термонейтральной зоне или близком к ней диапазоне. Температурная чувствительность человека в большой степени зависит от общих и локальных изменений температуры вблизи поверхности кожи. Значения эквивалентной температуры определенной среды тесно связаны с восприятием человеком температурных условий в этой среде. Благодаря этому можно интерпретировать

и оценить качество среды.
Температурные условия оценивают с точки зрения общей эквивалентной температуры, которая описывает уровень термальной нейтральности среды.
Температурные условия также оценивают при анализе локальных воздействий на определенные участки поверхности тела человека. Локальные эквивалентные температуры определяют размер потери тепла (локального дискомфорта) определенными участками поверхности тела человека в диапазоне приемлемых уровней температур.
4.1. Общее описание эквивалентной температуры
Эквивалентная температура - это физическая величина, которая объединяет независимые воздействия конвекции и излучения на теплообмен тела человека. Их взаимосвязь лучше всего описана для общего (т.е. всего тела) теплообмена. Доступно ограниченное количество данных о взаимосвязях между локальным сухим теплообменом и локальной эквивалентной температурой. Стандартизованное определение

применимо только к теплообмену всего тела человека. Следовательно, для целей настоящего стандарта определение должно быть изменено. Значение

не учитывает восприятие и чувствительность человека, а также другие субъективные аспекты. Однако эмпирические исследования показали, что значения

в значительной степени связаны с субъективным восприятием температурного воздействия.
4.2. Общий принцип определения эквивалентной температуры
Определение

основано на уравнениях теплообмена вследствие конвекции и излучения для одетых людей. Предполагают, что теплообмен за счет кондукции, является небольшим и может быть вычислен на основе конвекции и излучения тепла

(1)

(2)
где R - плотность теплового потока при излучении тепла, Вт/м2;
C - плотность теплового потока при конвекции, Вт/м2;

- коэффициент теплоотдачи при излучении тепла, Вт/м2;

- коэффициент теплоотдачи при конвекции, Вт/м2;

- температура поверхности кожи, °C;

- средняя температура излучения, °C;

- температура воздуха, °C.
На практике, эквивалентную температуру определяют и устанавливают с помощью следующего уравнения
где

- температура поверхности;

- температура стандартной окружающей среды;
Q - плотность теплового потока за счет конвекции и излучения в фактических условиях
| | ИС МЕГАНОРМ: примечание. Нумерация формул дана в соответствии с официальным текстом документа. | |
Q = R + C; (4)

- общий коэффициент теплоотдачи за счет конвекции и теплового излучения, определенный при калибровке в стандартной окружающей среде.
Стандартная среда состоит из однородных, равномерных температурных условий с

и скоростью воздушного потока

. Процедура калибровки в соответствии с
Приложением C.
5. Специфические эквивалентные температуры
5.1. Общая информация
Так как не существует метода измерений истинной общей или локальной

, в соответствии с
5.2 -
5.5, в зависимости от принципов измерений могут быть вычислены четыре эквивалентные температуры:
a) эквивалентная температура всего тела;
b) эквивалентная температура сегмента;
c) эквивалентная температура в заданном направлении;
d) эквивалентная температура во всех направлениях.
5.2. Эквивалентная температура всего тела
5.2.1. Принцип определения
Принцип определения заключается в измерении общего теплового потока от испытательного манекена, имеющего форму и размер человеческого тела и состоящего из нескольких зон, каждая со своей температурой поверхности, приближенной к температуре реального тела человека. Теоретически эквивалентная температура всего тела может быть измерена с помощью теплового манекена или большого количества плоских нагреваемых датчиков, прикрепленных к обычному манекену. Точность результата зависит от температуры поверхности, размера тела, количества и распределения зон, позы и т.д. Подходящим методом является использование теплового манекена с отдельно нагреваемыми зонами, охватывающими все тело, с температурами поверхностей, приближенными к температурам реального тела человека. Манекен, имеющий размер человека, но только одну зону, не позволяет определить реальную

всего тела, потому что температурные условия существенно изменяются в пространстве. Чем большее количество зон имеет манекен, тем точнее значение, измеренное с помощью манекена.
5.2.2. Вычисление

(5)

(6)

(7)
где n - количество зон тела (0 < n <= N).
Значение

определяют с помощью калибровки в стандартной среде (см.
Приложение C).
Для обеспечения возможности сравнения результатов, полученных с использованием разных манекенов, измеренная

должна быть представлена вместе с подробным описанием использованного манекена, принципов регулирования, температуры поверхностей, количества зон и т.д. (см.
Приложения A и
B).
5.3. Эквивалентная температура сегмента
5.3.1. Принцип определения
Принцип определения заключается в измерении общего теплового потока от сегмента, состоящего из одной или нескольких зон, каждая со своей температурой поверхности, приближенной к температуре реального тела человека.
Эквивалентная температура сегмента

показывает поток тепла от отдельного сегмента тела, например, от руки, головы или грудной клетки. Эквивалентная температура сегмента

может быть измерена только с использованием теплового манекена или датчика, имеющего размер и форму тела (сегмента тела) человека. Количество зон и их распределение должно соответствовать реальному сегменту, для которого должна быть измерена

. Некоторые сегменты, например бедро, должны быть разделены хотя бы на две зоны, потому что температурные условия различаются для наружной и внутренней (контактирующей с сиденьем) сторон сегмента.
5.3.2. Вычисление

(8)

(9)

(10)
где n - количество зон тела (0 < n <= N).
Значение

определяют при калибровке в стандартной среде (см.
Приложение C).
Сегмент может быть выбран произвольно, но он должен состоять из одной или нескольких полных зон. Обычно в качестве сегмента выбирают такие части тела, как голова, кисти рук, руки, ступни, ноги, грудная клетка, спина, ягодицы.
Для обеспечения возможности сравнения результатов с результатами других измерений, результат измерения

должен быть представлен вместе с подробным описанием измеряемого сегмента, принципа регулирования, температуры поверхности, количества и распределения зон в сегменте (см.
Приложения A и
B).
5.4. Направленная эквивалентная температура
5.4.1. Принцип определения
Принцип определения заключается в измерении общего теплового потока от небольшой плоской поверхности с известной температурой. Направленная

может быть описана как вектор, перпендикулярный к измеряющей плоскости, определенный в каждой точке абсолютной величиной и направлением. Эта температура соответствует теплообмену в пределах полусферы перед бесконечно малой плоскостью. Направленная

может быть измерена только с помощью плоского датчика, который может быть закреплен на манекене или другом устройстве. Для определения направленной

в нескольких местоположениях или направлениях можно использовать несколько датчиков, при условии, что они не оказывают влияния друг на друга.
5.4.2. Вычисление

, (11)
где

- температура поверхности датчика;

- тепловой поток от датчика.
Значение

определяют при калибровке датчика в стандартной среде (см.
Приложение C).
Локальная эквивалентная температура

может быть вычислена как среднее значение ряда измерений, выполненных в одном и том же местоположении, но в различных направлениях. Для моделирования отдельных поз тела эту температуру вычисляют как среднее арифметическое без весовых коэффициентов или с ними

(12)
где n - количество направлений.

(13)
где n - количество местоположений,

.
Общая эквивалентная температура может быть вычислена как средневзвешенное значение локальных эквивалентных температур

(14)
где n - количество измерений,

,

соответствует n-й позе тела.
Для обеспечения возможности сравнения результатов с результатами других измерений, измеренное значение

должно быть представлено вместе с подробным описанием использованного датчика (см.
Приложения A и
B), принципа регулирования, температуры поверхности, размера, расположения и направления датчика. Эквивалентная температура для всего тела и общая эквивалентная температура не одно и то же. В асимметричных температурных условиях и при наличии контакта с сиденьем разница между ними может быть существенной.
5.5. Всенаправленная эквивалентная температура
5.5.1. Принцип определения
Принцип определения заключается в измерении общего теплового потока от поверхности эллипсоида с известной температурой. Всенаправленная

представляет собой средневзвешенное значение направленных

по всем направлениям. Весовые коэффициенты для различных направлений зависят от формы эллипсоида. Всенаправленная

характеризует теплообмен во всех направлениях. Всенаправленная

может быть измерена только датчиком в форме эллипсоида с однородным тепловым потоком по всей поверхности. Одновременно можно использовать один или несколько датчиков. Если используют более одного датчика, то необходимо учитывать, что датчики могут оказывать влияние друг на друга как горячие поверхности в измеряемой сфере.
5.5.2. Вычисление

(15)
где

- температура поверхности датчика;

- тепловой поток от датчика.
Значение

определяют при калибровке датчика в стандартной среде (см.
Приложение C).
Всенаправленная

, определенная с использованием одного датчика в форме эллипсоида в асимметричных температурных условиях, является локальной

. Общая

может быть вычислена как среднее арифметическое показаний датчиков, установленных в различных местоположениях с весовыми коэффициентами, соответствующими различным частям тела в соответствии с SAE J 2234.

(16)
где n - количество местоположений,

.
Для обеспечения возможности сравнения результатов измерений с результатами других измерений измеренное значение

должно быть представлено вместе с подробным описанием использованного датчика, принципа регулирования, температуры поверхности, размера, места расположения и направления датчика (см.
Приложения A и
B).
Несколько методов и средств измерений, основанных на различных принципах измерений, приведены в
Приложениях A и
B. Метод измерений должен быть выбран в зависимости от целей измерений.
Результаты измерений, полученные с помощью принципиально разных методов, нельзя сравнивать друг с другом, т.к. им соответствуют различные уровни:
- надежности;
- обоснованности;
- утверждения;
- повторяемости;
- точности;
- общности;
- сложности;
- стоимости;
- пригодности.
Характеристики и требования методов приведены в
Приложении B. Требования к процедурам калибровки приведены в
Приложении C.
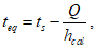
Эквивалентная температура представляет собой количественную характеристику условий физического теплообмена. Значение

- это уровень температуры, близкий к нормальному среднему уровню температур в помещении. Более высокие значения

указывают на меньшую потерю тепла ("тепло"), а более низкие значения

- на большую потерю тепла ("холодно").
Интерпретация эквивалентной температуры с точки зрения температурной чувствительности основана на серии исследований с привлечением испытуемых, на которых были измерены специфические эквивалентные температуры. Примеры интерпретации приведены в
Приложении C. Для некоторых типов эквивалентной температуры данные для сравнения с оценкой испытуемых отсутствуют. Тем не менее, такие виды измерений могут быть использованы для дифференциальных измерений температурных условий.
7.1. Определение эквивалентной температуры всего тела
Определение эквивалентной температуры всего тела предпочтительно выполнять с использованием теплового манекена или объединения отдельных измерений с использованием всенаправленных датчиков, расположенных в определенных местоположениях в салоне транспортного средства.
7.1.1. Определение эквивалентной температуры с использованием всенаправленных датчиков
Описание всенаправленных датчиков приведено в
Приложениях A и
B. Датчики помещают на стойку, имитирующую тело человека, и сиденье транспортного средства. Не менее шести датчиков помещают в установленных местах, а измерения проводят после достижения установившихся температурных условий. Эквивалентную температуру всего тела измеряют как средневзвешенное по площади значение показаний отдельных датчиков. Интерпретация значений должна быть выполнена в соответствии с
Приложением D.
7.1.2. Определение эквивалентной температуры с использованием теплового манекена
Требования к манекену и процедурам описаны в
Приложениях A и
B. Манекен помещают на сиденье транспортного средства и измеряют потерю тепла всего тела после достижения установившихся температурных условий. Потеря тепла всего тела является средневзвешенным по площади значением показаний для независимых сегментов манекена. Интерпретация значений должна быть выполнена в соответствии с
Приложением D.
7.2. Определение локальной эквивалентной температуры
Определение эквивалентной температуры всего тела предпочтительно выполнять с использованием теплового манекена или объединения отдельных измерений с использованием всенаправленных датчиков.
7.2.1. Определение локальной

с использованием всенаправленных датчиков или плоских нагреваемых датчиков
Описание всенаправленных датчиков приведено в
Приложениях A и
B. Датчики помещают на стойку, имитирующую тело человека, и сиденье транспортного средства или на определенные точки поверхности одежды человека или теплового манекена. Измерения проводят после достижения установившихся температурных условий. Локальную эквивалентную температуру определяют как показания отдельного датчика. Чем большее количество датчиков установлено в пространстве, тем точнее можно установить отклонения в тепловом поле вокруг тела человека.
7.2.2. Определение локальной

с использованием теплового манекена
Требования к манекену и процедурам приведены в
Приложениях A и
B. Манекен помещают на сиденье транспортного средства и измеряют потерю тепла локального сегмента манекена после достижения установившихся температурных условий. Локальную эквивалентную температуру определяют с помощью показаний, полученных с отдельного сегмента. Интерпретацию значений необходимо выполнять в соответствии с
Приложением D.
(справочное)
ПРИМЕРЫ СРЕДСТВ ИЗМЕРЕНИЙ
A.1. Тепловые манекены
Тепловой манекен представляет собой датчик, имеющий размер и форму человека, поверхность которого разделена на многочисленные, индивидуально управляемые, нагреваемые зоны. Он пригоден для измерения

всего тела и локальной

. Независимые зоны манекена нагревают до необходимой температуры с возможностью контроля и измерения их температуры. На каждую зону подают низковольтное напряжение с частотой, позволяющей поддерживать постоянную или изменяющуюся температуру поверхности. Также возможно поддерживать постоянное электроснабжение поверхности.
Энергопотребление при установившихся температурных условиях является показателем потери тепла за счет конвекции, излучения и кондукции (потери сухого тепла). Измерения и регулирование проводят с помощью компьютерной системы. Обычно для каждой зоны измеряют энергопотребление или потерю тепла (Q, Вт/м2) и температуру поверхности (

, °C). Прямое измерение Q и

устраняет необходимость определения других компонентов. С помощью приведения к температурным условиям, соответствующим определенной эквивалентной температуре, потери тепла могут быть приведены к эквивалентной температуре. Технические данные двух манекенов приведены на рисунке A.1 и в
таблице A.1. Дополнительная информация о системе измерений и ее регулировании приведена в библиографии.
Манекен 1 (33 зоны)
Манекен 2 (16 зон)
Рисунок A.1. Схематические изображения двух тепловых
манекенов с разделением на зоны
Таблица A.1
Технические данные двух тепловых манекенов
Параметры манекена | Манекен мужчины | Манекен женщины |
Размер одежды | С50 | |
Длина | Поза сидя (фиксированная поза) | 166 см |
Вес | 16 кг | 31 кг |
Количество зон | 33 + 3  | 16 |
| Постоянная  Постоянная Q Уравнение комфорта | Постоянная  Постоянная Q Уравнение комфорта |
Одежда | 0,6 кло | Обнаженный + 0,51 кло |
A.2. Отдельные тепловые датчики
A.2.1. Плоские нагреваемые датчики
Плоские нагреваемые датчики различной конструкции и формы могут быть использованы для определения направленной

. Один тип датчиков выполнен из одного нагреваемого элемента. Он состоит из маленькой плоской платиновой пластины, нагреваемой электрическим током, с различными настройками, которые соответствуют уровням активности человека (в большинстве случаев при постоянной интенсивности 85 Вт/м2). Направленную

измеряют с использованием искусственной кожи. Чтобы избежать появления непреднамеренных тепловых потоков, устанавливают восемь контр-нагревателей спереди и девять контр-нагревателей сзади. Измеряемым значением является результирующая температура поверхности (РТП), которую вычисляют с помощью измеренного электрического сопротивления и калибровочной кривой. Температура

может быть вычислена на основе РТП с помощью линейной функции. Несколько датчиков могут быть прикреплены к манекену или встроены в стандартную одежду, надетую на манекен или реального человека, как показано на рисунке A.2.

Пример 1 - Плоские нагреваемые датчики на манекене
Пример 2 - Пленочные тепловые датчики на манекене
Рисунок A.2. Примеры установки датчиков для измерения

с использованием нескольких отдельных нагреваемых датчиков,
прикрепленных к манекену или реальному человеку
Другой тип датчиков выполнен из двух пленочных тепловых элементов, нагреваемых электрическим током двух уровней мощности. Датчики имеют небольшой размер и плоскую поверхность, что обеспечивает измерение ими направленной

. Для вычисления эквивалентной температуры используют линейную модель. Несколько датчиков прикрепляют к поверхности тела манекена с формой тела женщины. Манекен сделан из полиуретана на металлической основе. Электронный блок управления встроен в тело манекена
(рисунок A.2, пример 2).
С использованием двух типов датчиков может быть определена

всего тела и локальная

.
A.2.2. Сферические нагреваемые датчики
Сферические датчики, нагреваемые по всей поверхности, могут быть использованы для измерения всенаправленной

.
Рассматриваемый тип датчика представляет собой эллипсоид размером 200 мм x 50 мм. Отдельный блок управляет температурой и нагревает датчик. Размер и форма преобразователя выбраны таким образом, чтобы соотношение потери тепла за счет излучения и конвекции соответствовало таковому у реального человека. Для моделирования различных ситуаций, в которых может оказаться человек, положение преобразователя можно изменять между вертикальным и горизонтальным. При использовании моделирования человека в позе сидя, датчик может быть отклонен на 30° от вертикали. Датчик состоит только из одной зоны. Он не может фиксировать температурные условия в разных направлениях, например тепловое излучение с одной стороны и сквозняк с другой стороны могут нивелировать друг друга. При использовании нескольких датчиков они могут повлиять друг на друга. Датчик не предназначен для измерений контакта с сиденьем. Полученные данные используют для вычисления всенаправленной

.
При использовании модели человека в позе сидя несколько датчиков могут быть установлены на устройство, имеющее форму человека. В этом случае можно определить локальную

и

всего тела (см. Рисунок A.3).
Эллипсоидные датчики, установленные на модели человека
Рисунок A.3. Пример выполнения измерений
с установкой нескольких эллипсоидных датчиков
на модели человека в позе сидя
(справочное)
ХАРАКТЕРИСТИКИ И ТРЕБОВАНИЯ К СРЕДСТВАМ ИЗМЕРЕНИЙ
B.1. Введение
В
таблицах B.1 -
B.3 перечислены факторы, оказывающие влияние на результаты измерений различных типов

. Приведена информация о типовых значениях или отклонениях факторов и их рекомендованные значения для достижения подходящей точности.
B.2. Требования к средствам измерений при определении

всего тела и сегмента
Таблица B.1
Требования к факторам при определении

всего тела и сегмента
Фактор | Типовые значения/отклонения | Требования |
Размер тела и поза | Определение  всего тела и сегмента необходимо проводить при сохранении человеком (манекеном) одной и той же позы, в большинстве случаев нормального положения при вождении. Размер манекена или человека должен быть обычным для исследуемой совокупности | Размер: С50 Поза: нормальное положение при вождении |
Количество зон и их разделение для регулирования | Количество зон может быть различным. При недостаточном количестве зон результат может быть слишком грубым. Зоны должны быть разделены исходя из изменения температурных условий (например, зона контакта с сиденьем, затененная зона). Такое разделение требует минимального количества зон и делает результаты более репрезентативными и учитывающими температурные отклонения на протяжении поверхности. Количество зон следует делать большим, чем количество сегментов | Минимум: Цель: Разделение: |
Количество сегментов и их разделение | Количество сегментов не обязательно должно быть таким же, как количество зон. Обычно используют такие сегменты, как ступни, грудная клетка и т.п. Если манекен имеет много зон, и в состав сегмента входит больше одной зоны, то можно исследовать воздействие на более мелкие части сегмента, например часть грудной клетки | В некоторых случаях большее количество (при возможности) |
Принцип регулирования | Режим постоянной температуры:  постоянна, при этом может быть однородна или неоднородна по всему телу. Температура быстро меняется, но может быть нестабильна. Обеспечивает реальную температуру поверхности. Обладает наименьшим диапазоном для активно нагреваемой поверхности. Режим постоянного теплового потока: Q постоянна, при этом может быть однородна или неоднородна по всему телу. Температура стабильна, скорость измерения температуры медленнее, чем в режиме постоянной  . Температуры поверхности могут значительно отличаться от реальных. Режим уравнения комфорта:  зависит от Q в соответствии с уравнением. Температура стабильна, скорость измерения температуры меняется медленнее, чем в режиме постоянной  . Температура поверхности более реальна, чем в других режимах | Режим постоянной однородной температуры, 34 °C. Режим уравнения комфорта, если время реакции может быть сокращено |
| Диапазон характеристик режима | |
Режим | Стабильность температуры | Скорость измерения температуры | Температура поверхности | Q > 0, Вт/м2 |
Постоянная  | - | + | + | - - |
Постоянная Q | + | - | - | + |
Уравнение комфорта | + | - | + + | - |
Одежда | Манекен может быть обнаженным или одетым. Обнаженному и одетому манекенам соответствуют разные  . Водитель обычно надевает одежду, которая закрывает все тело за исключением кистей рук и головы. Следовательно, тепловой поток и температура поверхности будут более репрезентативными в случае манекена в одежде. Повторяемость будет лучше при использовании обнаженного манекена. Одежда может иметь разную посадку и значение кло (изоляцию). Значение кло должно соответствовать ситуации и быть реальным. Так как HVAC-система транспортного средства должна обеспечивать комфорт, может быть использована обычная комнатная одежда. Для минимизации ошибок одежда должна иметь плотную посадку | Одежда с плотной посадкой: короткое нижнее белье, легкие носки, рубашка с длинными рукавами, длинные брюки и легкая обувь (0,6 - 0,8 кло или 1,3 кло всего) |
Время восстановления | Время восстановления зависит от нескольких факторов: принципа регулирования, теплоемкости теплового манекена, изоляции и т.д. Приемлемое время восстановления зависит от ситуации. Короткое время восстановления может оказать отрицательное влияние на стабильность | Время восстановления менее 20 мин |
Точность | Точность относится к определению  в известной однородной среде. Точность зависит от нескольких факторов: температуры поверхности, одежды, размера, позы, количества зон и т.д. | Приемлемая точность: не более +/- 1 °C  |
Повторяемость | Повторяемость относится к наибольшему различию между двумя измерениями, выполненными одним оператором в одной и той же однородной или неоднородной среде с использованием одних и тех же инструментов | Приемлемая повторяемость: не более +/- 0,5 °C |
Воспроизводимость | Воспроизводимость относится к наибольшему различию между измерениями, выполненными разными операторами | Приемлемая воспроизводимость: не более +/- 1,0 °C |
Разрешающая способность | Разрешающая способность зависит от требований к регулируемым компонентам системы измерений. Точность опосредованно зависит от разрешающей способности | Приемлемая разрешающая способность: не более 0,1 °C |
Примечание 1. Предлагаемое минимальное количество и разделение зон (16 зон + общая зона). |
0. Общая зона; 1. Лицо; 2. Волосистая часть головы; 3. Плечи; 4. Левая рука; 5. Правая рука; | 6. Левая кисть; 7. Правая кисть; 8. Грудная клетка; 9. Спина; 10. Ягодицы (+ задняя поверхность бедер); 11. Левое бедро; | 12. Правое бедро; 13. Левая нога; 14. Правая нога; 15. Левая стопа; 16. Правая стопа. |
Примечание 2. Предлагаемое количество и разделение зон для обеспечения хорошего регулирования (более 41 зоны + общая зона). |
0. Общая зона; 1. Левая сторона лица; 2. Правая сторона лица; 3. Глаза; 4. Волосистая часть головы; 5. Шея; 6. Передняя часть плеч; 7. Задняя часть плеч; 8. Внутренняя часть левого плеча; 9. Наружная часть левого плеча; 10. Верхняя часть левого плеча; 11. Нижняя часть левого плеча; 12. Наружная часть левой кисти; 13. Внутренняя часть левой кисти | 14. Внутренняя часть правого плеча; 15. Наружная часть правого плеча; 16. Верхняя часть правого плеча; 17. Нижняя часть правого плеча; 18. Наружная часть правой кисти; 19. Внутренняя часть правой кисти; 20. Передняя часть грудной клетки; 21. Левая часть грудной клетки; 22. Правая часть грудной клетки; 23. Желудок; 24. Промежность; 25. Верхняя часть спины; 26. Нижняя часть спины; 27. Ягодицы; | 28. Внутренняя часть левого бедра; 29. Внешняя часть левого бедра; 30. Задняя часть левого бедра; 31. Внутренняя часть правого бедра; 32. Внешняя часть правого бедра; 33. Задняя часть правого бедра; 34. Передняя часть левой ноги; 35. Задняя часть левой ноги; 36. Передняя часть правой ноги; 37. Задняя часть правой ноги; 38. Верхняя часть левой стопы; 39. Нижняя часть левой стопы; 40. Верхняя часть правой стопы; 41. Нижняя часть правой стопы. |
B.3. Средства измерений для определения направленной

Таблица B.2
Требования к факторам при определении направленной

Фактор | Типовые значения/отклонения | Требования |
Размер поверхности | Нагреваемая поверхность, которую используют для определения направленной  , обычно небольшая: несколько квадратных сантиметров | Менее 5 x 5 см |
Количество и расположение датчиков | Датчики могут быть прикреплены к обычному манекену, имеющему форму тела человека или другому устройству. Использование манекена обеспечивает создание более реалистичного воздушного потока вокруг поверхности датчика. Количество датчиков может быть различным. Чем больше использовано датчиков, тем выше разрешающая способность при оценке общих температурных условий. Для обеспечения возможности сравнения результатов, полученных с помощью различных методов с использованием направленных датчиков, рекомендуется использовать не менее 16 датчиков | Размер манекена: С50 Поза: обычное положение при вождении или положение пассажира. Минимальное количество датчиков: 16 (см. таблицу 1) |
Принцип регулирования | Режим постоянной температуры:  постоянна, при этом она может быть однородна или неоднородна по всему телу. Изменение температуры является быстрым, но может быть нестабильным. Реальная температура поверхности обладает наименьшим диапазоном в режиме активно нагреваемой поверхности. Режим постоянного теплового потока: Q постоянна, при этом температура может быть однородна или неоднородна по всему телу. Температура стабильна, скорость измерения температуры медленнее, чем в режиме постоянной  . Температура поверхности может значительно отличаться от реальной. Режим уравнения комфорта:  зависит от Q в соответствии с уравнением. Температура стабильна, скорость измерения температуры медленнее, чем в режиме постоянной  . Температура поверхности более реалистична, чем в других режимах | Режим постоянной однородной температуры (34 °C) Режим уравнения комфорта, если время реакции может быть сокращено |
| Диапазон характеристик режима | |
Режим | Стабильность температуры | Скорость измерения температуры | Температура поверхности | Q > 0, Вт/м2 |
Постоянная  | - | + | + | - - |
Постоянная Q | + | - | - | + |
Уравнение комфорта | + | - | + + | - |
Время восстановления | Время восстановления зависит от нескольких факторов: принципа регулирования, теплоемкости датчика и т.п. Приемлемое время восстановления зависит от ситуации. Непродолжительное время восстановления может оказать отрицательное влияние на стабильность | Время восстановления менее 10 мин |
Точность | Точность относится к определению  в известной однородной среде. Точность зависит от нескольких факторов: температуры поверхности, размера, позы, количества зон и т.д. | Приемлемая точность: не более +/- 1 °C  |
Повторяемость | Повторяемость относится к наибольшему различию между двумя измерениями, выполненными одним оператором в одной и той же однородной или неоднородной среде с использованием одних и тех же инструментов | Приемлемая повторяемость: не более +/- 0,5 °C |
Воспроизводимость | Воспроизводимость относится к наибольшему различию между измерениями, выполненными разными операторами | Приемлемая воспроизводимость: не более +/- 1,0 °C |
Разрешающая способность | Разрешающая способность зависит от требований к регулируемым компонентам системы измерений. Точность опосредованно зависит от разрешающей способности | Приемлемая разрешающая способность: не более 0,1 °C |
Диапазоны | Основным назначением датчика является оценка температурных условий, находящихся в пределах или рядом с диапазоном температурного комфорта. Однако условия в салоне транспортного средства могут лежать далеко за пределами комфортного диапазона. Могут быть выделены два типа диапазонов: - диапазон, в пределах которого результаты измерений могут быть сопоставлены с температурным восприятием человека; - безопасный диапазон, в пределах которого может быть использовано средство измерений без нарушения калибровки или риска повреждения | Минимальный диапазон измерения не менее |
Безопасный диапазон не менее |
B.4. Средство измерений для определения всенаправленной

Таблица B.3
Требования к факторам при определении всенаправленной

Фактор | Типовые значения/отклонения | Требования |
Геометрия датчика | Обычно датчик для определения всенаправленной  имеет форму эллипсоида, но он также может иметь форму сферы. В случае использования сферического датчика весовые коэффициенты для всех направлений одинаковы. В случае использования эллипсоидного датчика весовые коэффициенты для различных направлений могут быть изменены для моделирования человека в позе сидя или в позе стоя. На  влияет как форма, так и угол датчика. Обычно датчик состоит только из одной зоны | Эллипсоидный датчик с одной зоной может быть наклонен (30°) по направлению к спинке сиденья |
Размер поверхности | Нагреваемая поверхность датчика, которую используют для определения направленной  , обычно имеет форму эллипсоида с наименьшим диаметром 50 мм и около 200 мм в длину | Прибор измерения комфорта |
Количество и расположение датчиков | Количество датчиков может быть выбрано в соответствии с ситуацией. Чем больше датчиков использовано, тем выше разрешающая способность при оценке общих температурных условий. Необходимо учитывать, что датчики сильнее влияют друг на друга при увеличении их количества. Для обеспечения возможности сопоставления результатов различных измерений, полученных с помощью отдельных датчиков, они должны иметь такое же расположение по отношению к положению оператора | Минимум 6 датчиков, расположенных на голове, туловище, предплечьях и голенях При необходимости количество датчиков может быть увеличено или они могут быть перемещены на другие места |
Принцип регулирования | Режим постоянной температуры:  постоянна, при этом может быть однородна или неоднородна по всему телу. Температура быстро меняется и может быть нестабильной. Реальная температура поверхности обладает наименьшим диапазоном с активно нагреваемой поверхностью. Режим постоянного теплового потока: Q постоянна, при этом может быть однородна или неоднородна по всему телу. Температура стабильна, скорость измерения температуры медленнее, чем в режиме постоянной  . Температура поверхности может значительно отличаться от реальной. Режим уравнения комфорта:  зависит от Q в соответствии с уравнением. Температура стабильна, скорость измерения температуры медленнее, чем в режиме постоянной  . Температура поверхности более реальна, чем в других режимах | Режим постоянной однородной температуры (34 °C). Режим уравнения комфорта, если время реакции может быть сокращено |
Диапазон характеристик режима |
Режим | Стабильность температуры | Скорость измерения температуры | Температура поверхности | Q > 0, Вт/м2 |
Постоянная  | - | + | + | - - |
Постоянная Q | + | - | - | + |
Уравнение комфорта | + | - | + + | - |
Время восстановления | Время восстановления зависит от нескольких факторов: принципа регулирования, теплоемкости датчика и т.п. Приемлемое время восстановления зависит от ситуации. Непродолжительное время восстановления может оказать отрицательное влияние на стабильность | Время восстановления: менее 10 мин |
Точность | Точность относится к определению  в известной однородной среде. Точность зависит от нескольких факторов: температуры поверхности, размера, позы, количества зон и т.д. | Приемлемая точность: не более +/- 1 °C  |
Повторяемость | Повторяемость относится к наибольшему различию между двумя измерениями, выполненными одним оператором в одной и той же однородной или неоднородной среде с использованием одних и тех же средств измерений | Приемлемая повторяемость: не более +/- 0,5 °C |
Воспроизводимость | Воспроизводимость относится к наибольшему различию между результатами измерений, выполненных разными операторами | Приемлемая воспроизводимость: не более +/- 1,0 °C |
Разрешающая способность | Разрешающая способность зависит от требований к компонентам системы измерений. Точность опосредованно зависит от разрешающей способности | Приемлемая разрешающая способность: не более 0,1 °C |
Диапазоны | Основным предназначением датчика является оценка температурных условий, находящихся в пределах или рядом с диапазоном температурного комфорта. Однако условия в салоне транспортного средства могут лежать далеко за пределами комфортного диапазона. Могут быть выделены два типа диапазонов: - диапазон измерений, в пределах которого результаты могут быть сопоставлены с температурным восприятием человека; - безопасный диапазон, в пределах которого средство измерения может быть использовано без нарушения калибровки или риска повреждения | Минимальный диапазон измерений не менее Безопасный диапазон не менее |
(справочное)
C.1. Калибровка средств измерений температуры поверхности
Калибровку необходимо выполнять в комнате или камере с однородными температурными условиями

.
Калибровку необходимо выполнять, по крайней мере, до и после ряда экспериментов. При длительных измерениях калибровку необходимо выполнять каждую неделю.
Для расположения манекена и датчиков не установлены специальные требования.
Для датчиков необходимо выполнять калибровку во всем диапазоне использования. Для манекенов, у которых принципами регулирования являются уравнение комфорта и постоянная Q, необходимо выполнять калибровку для всего диапазона измерений. Среднее значение взвешенной по площади термокомпенсированной температуры поверхности

не должно отличаться более чем на +/- 0,3 °C от результатов периодических измерений, выполненных эталонным средством измерений с более высокой точностью в условиях калибровки.
C.2. Определение коэффициентов теплообмена
Определение коэффициентов теплообмена необходимо выполнять в комнате или камере с однородными температурными условиями

.
Коэффициент теплообмена в калибровочных условиях

не является постоянным, он зависит от разницы между температурой в камере

и температурой поверхности

. Следовательно, определение необходимо проводить при трех эквивалентных температурах: самой высокой, самой низкой и равной 24 °C. При использовании одетого манекена или режима уравнения комфорта значение

рассматривают как постоянное в пределах интервала измерения, а определение может быть выполнено только при 24 °C.
Определение коэффициентов теплообмена рекомендовано проводить до и после ряда измерений.
Расположение датчиков должно соответствовать реальной ситуации, когда оценивают температурные условия в транспортном средстве.
Манекен должен быть расположен так же, как во время измерений, в противном случае коэффициент теплообмена изменится. Манекен должен быть посажен на сетчатое сиденье, чтобы избежать дополнительной изоляции. Температурные отклонения на поверхности зоны

не должны превышать 3 °C.
C.3. Определение времени восстановления

Время восстановления определяют как время, необходимое средству измерений для восстановления эквивалентной температуры после 3-минутного отключения питания до среднего значения эквивалентной температуры до отключения питания +/- 0,5 °C.
Измерение времени восстановления выполняют с помощью отключения питания средства измерений и включения его снова. Температура во время измерений должна быть постоянной.
C.4. Определение точности, повторяемости и воспроизводимости
Точность - это разница между измеренной и известной

однородной среды.
Повторяемость - это отклонение значений нескольких измерений одной характеристики, выполненных с помощью одного и того же метода одним и тем же оператором. Повторяемость метода означает, что максимальное отклонение от средней эквивалентной температуры составляет +/- 0,5 °C.
Воспроизводимость - это отклонение значений нескольких измерений одной характеристики, выполненных с помощью одного и того же метода разными операторами. При проверке воспроизводимости условия измерений должны быть восстановлены после определенного периода времени, а манекен следует перемещать. Воспроизводимость метода означает, что максимальное отклонение от средней эквивалентной температуры составляет +/- 1 °C.
C.5. Свойства поверхности
Коэффициенты поглощения и излучения измеряемых поверхностей с учетом солнечного излучения должны соответствовать таковым у реального человека в фактической ситуации. Если определенная часть тела обычно находится под одеждой или обнажена, датчик должен моделировать это.
(справочное)
ИНТЕРПРЕТАЦИЯ ЭКВИВАЛЕНТНОЙ ТЕМПЕРАТУРЫ
D.1. Интерпретация эквивалентной температуры с позиций физического теплового баланса
По определению

представляет собой температуру пространства, которую измеряют в однородной среде с одним и тем же уровнем сухого теплообмена. Эта температура показывает, насколько сильно она отличается от температуры в термонейтральной ситуации. Значение

также зависит от уровня активности и одежды человека. Так как уровень активности и одежда у водителя и пассажиров в большинстве случаев относительно постоянны, значение

, соответствующее тепловому балансу, может быть аппроксимировано с помощью анализа с использованием усовершенствованного уравнения теплового баланса. ИСО 7730 позволяет определить условия термальной нейтральности.
Значения

, для изменений метаболического выделения тепла от 70 до 90 Вт/м2 и уровней изоляции одежды от 0,5 летом до 1 кло зимой, приведены в таблице D.1.
Таблица D.1
Значения

для различных уровней
активности и изоляции одежды
Условия |  всего тела, °C |
70 Вт/м2 и 0,5 кло | 25,3 |
90 Вт/м2 и 0,5 кло | 23,8 |
70 Вт/м2 и 1 кло | 22,1 |
90 Вт/м2 и 1 кло | 20,0 |
Эти значения могут быть использованы в качестве первой аппроксимации оптимального значения

всего тела. Значения локальной

должны быть близки к этим значениям, но могут наблюдаться небольшие отклонения для различных частей тела, например для частей тела, закрытых одеждой. См. также D.2.
D.2. Интерпретация эквивалентной температуры с позиций температурной чувствительности и температурного комфорта
Асимметричные температурные условия в салоне транспортного средства делают определение и оценку значений локальной

особенно полезной. Взаимосвязь между значениями локальной

для 16 сегментов тела и температурной чувствительностью показана на
рисунках D.1 и
D.2. Рисунки построены на основе измерений с привлечением испытуемых, когда их в течение часа подвергали воздействию асимметричных температурных условий: зимних (с системой отопления) и летних (без системы охлаждения). Температурные условия были постоянны на протяжении всего часа. В тех же условиях были проведены измерения с использованием двух тепловых манекенов (см.
[14],
[15]). Небольшие отклонения в результатах измерений на двух манекенах показаны в зонах на графиках
рисунка D.1. Данные измерений с использованием других манекенов в соответствии с настоящим стандартом в большинстве случаев будут соответствовать приведенным данным. Соответствие можно проверить, сопоставив значения

всего тела и локальной

с оценками ограниченного количества испытуемых для нескольких условий. Для сравнительных измерений во время разработки и испытаний продукции точное соответствие может быть не обязательным.

Комфортные зоны для летних условий
| | ИС МЕГАНОРМ: примечание. Текст в графе "Y" дан в соответствии с официальным текстом документа. | |
Y: | X эквивалентная температура,  , °C |
a | правая стопа; | 1 | слишком холодно; |
b | левая стопа; | 2 | холодно, но комфортно; |
c | правая икра ноги; | 3 | нейтрально; |
d | левая икра ноги; | 4 | тепло, но комфортно; |
e | правое бедро; | 5 | слишком жарко. |
f | левое бедро; | |
g | правая кисть; | |
h | левая кисть; | |
i | правое предплечье; | |
j | левое предплечье; | |
k | правое предплечье; | |
l | левое предплечье; | |
m | верхняя часть спины; | |
n | грудная клетка; | |
o | лицо; | |
p | волосистая часть кожи головы; | |
q | тело целиком. | |
Примечание. Значения относятся к летним условиям, когда HVAC-система транспортного средства работает в режиме охлаждения. Предполагается, что люди одеты в легкую одежду, соответствующую изоляции 0,6 кло [0,09 (м2 °C)/Вт].
Рисунок D.1. Предлагаемая схема оценки измеренных
значений

с позиций субъективного восприятия
условий водителем или пассажиром
Комфортные зоны для зимних условий
| | ИС МЕГАНОРМ: примечание. Текст в графе "Y" дан в соответствии с официальным текстом документа. | |
Y: | X эквивалентная температура,  ,°C |
a | правая стопа; | 1 | слишком холодно; |
b | левая стопа; | 2 | холодно, но комфортно; |
c | правая икра ноги; | 3 | нейтрально; |
d | левая икра ноги; | 4 | тепло, но комфортно; |
e | правое бедро; | 5 | слишком жарко. |
f | левое бедро; | |
g | правая кисть; | |
h | левая кисть; | |
i | правое предплечье; | |
j | левое предплечье; | |
k | правое предплечье; | |
l | левое предплечье; | |
m | верхняя часть спины; | |
n | грудная клетка; | |
o | лицо; | |
p | волосистая часть кожи головы; | |
q | тело целиком. | |
Примечание. Значения относятся к летним условиям, когда HVAC-система транспортного средства работает в режиме отопления. Предполагается, что люди одеты в одежду, соответствующую изоляции 1,0 кло [0,155 (м2 °C)/Вт].
Рисунок D.2. Предлагаемая схема оценки измеренных значений

с позиций субъективного восприятия условий
водителем или пассажиром
(справочное)
ПРИМЕРЫ
E.1. Пример использования эквивалентной температуры для оценки установившихся температурных условий в транспортном средстве
Качество температурных условий, создаваемых HVAC-системой транспортного средства, можно оценить с помощью

для измерения локальных значений температуры в нескольких областях поверхности тела. В настоящем приложении приведены два метода оценки температурных условий, отличающиеся количеством одновременно измеряемых областей поверхности тела и сложностью средств измерений.
Метод 1 основан на измерениях с использованием теплового манекена. С помощью манекена одновременно и независимо измеряют около 18 сегментов тела. Манекен находится в режиме постоянной температуры. Условия измерений подробно описаны в
Приложениях A и
B.
Применимы следующие условия окружающей среды.
- Работа системы охлаждения при установившихся условиях.
Транспортное средство помещают на ночь

в климатическую камеру, температура в которой составляет 35 °C с относительной влажностью 30%. Перед началом испытаний предварительно нагретый манекен помещают в транспортное средство в заранее определенное место. После адаптации, занимающей 30 мин, салон транспортного средства подвергают воздействию солнечной нагрузки с установленной спектральной интенсивностью и энергетической мощностью. При необходимости, через салон транспортного средства может быть пущен ветровой поток. Одновременно HVAC-систему настраивают на охлаждение транспортного средства с установленными параметрами. После стабилизации измерений (в течение 10 мин) значения записывают. Значения

вычисляют в соответствии с настоящим стандартом.
- Работа системы отопления при установившихся условиях.
Транспортное средство помещают на ночь

в климатическую камеру, температура в которой составляет минус 20 °C. Перед началом испытаний предварительно нагретый манекен помещают в транспортное средство в заранее определенное место. После адаптации, занимающей 30 мин, салон транспортного средства подвергают воздействию ветрового потока. Одновременно HVAC-систему настраивают на отопление транспортного средства с установленными параметрами. После стабилизации измерений (в течение 10 мин) значения записывают. Значения

вычисляют в соответствии с настоящим стандартом.
Метод 2 основан на измерениях с использованием всенаправленных датчиков. Пять датчиков помещают на подставку, которую устанавливают на сиденье водителя или пассажира. Условия измерений подробно описаны в
Приложениях A и
B.
Применимы следующие условия окружающей среды.
- Работа системы охлаждения при установившихся условиях.
Транспортное средство помещают на ночь

в климатическую камеру, температура в которой составляет 35 °C с относительной влажностью 30%. Перед началом испытаний подставку с датчиками помещают в транспортное средство в заранее определенное место. После адаптации датчиков к температуре салон транспортного средства подвергают (в течение 15 мин) воздействию солнечной нагрузки с установленной спектральной интенсивностью и энергетической мощностью. При необходимости, через салон транспортного средства может быть пущен ветровой поток. Одновременно HVAC-систему настраивают на охлаждение транспортного средства с установленными параметрами. После стабилизации измерений значения записывают в течение 10 мин. Значения

вычисляют в соответствии с настоящим стандартом.
- Работа системы отопления при установившихся условиях.
Транспортное средство помещают на ночь

в климатическую камеру, температура в которой составляет минус 20 °C. Перед началом испытаний подставку с датчиками помещают в транспортное средство в заранее определенное место. После адаптации датчиков к температуре в течение 15 мин салон транспортного средства подвергают воздействию ветрового потока. Одновременно HVAC-систему настраивают на отопление транспортного средства с установленными параметрами. После стабилизации измерений значения записывают в течение 10 мин. Значения

вычисляют в соответствии с настоящим стандартом.
Условия испытаний должны быть установлены в стандарте на продукцию. Для метода измерения, установленного в стандарте на продукцию, достаточно ссылки на настоящий стандарт. Необходимые изменения должны быть определены и описаны в стандарте на продукцию.
E.2. Стандартная процедура измерения

в салоне транспортного средства в процессе испытаний на нагрев и охлаждение
Способность HVAC-системы нагревать салон транспортного средства в холодных условиях и охлаждать салон в жарких условиях может быть оценена с использованием показателя

. В настоящем стандарте использованы 2 метода.
Метод 1 основан на измерении

с использованием теплового манекена. Измерение с использованием теплового манекена относительно медленное и не может вовремя следовать за быстрыми изменениями некоторых температурных параметров во время динамичного нагрева или охлаждения салона. Тем не менее, измерения показывают изменения температурных условий и становятся более точными и релевантными при их приближении к комфортной зоне.
Испытания нагрева салона проводят при помещении транспортного средства на ночь в климатическую камеру, температура в которой составляет минус 30 °C. Перед началом испытаний предварительно нагретый манекен помещают в транспортное средство в заранее определенное место. Режим отопления в HVAC-системе включают на максимальную мощность. Измерения выполняют каждые 10 с и записывают время, необходимое для достижения определенной температуры и значения

.
Метод 2 основан на измерениях значения направленной

. Этот метод достаточно быстрый и позволяет следить за изменением некоторых температурных параметров во время динамичного нагрева или охлаждения салона. Условия испытаний такие же, как для
метода 1.
E.3. Детальная оценка качества климата, создаваемого HVAC-системой транспортного средства
Изготовитель новой модели автомобиля имеет намерение информировать покупателей, насколько комфортен климат в его автомобиле независимо от внешних климатических условий. Транспортное средство испытывают в различных температурных условиях, установленных и описанных изготовителем. Испытания могут проводить, например, при минус 20 °C, минус 5 °C, 10 °C, 25 °C и 40 °C, при наличии и отсутствии солнечного света и ветра. В каждом случае HVAC-систему настраивают таким образом, чтобы она создавала наиболее комфортные и однородные температурные условия в транспортном средстве. Измерения выполняют с использованием теплового манекена, а результаты описывают на диаграммах комфорта, как показано в
Приложении D.
(справочное)
СВЕДЕНИЯ О СООТВЕТСТВИИ ССЫЛОЧНЫХ
МЕЖДУНАРОДНЫХ СТАНДАРТОВ, УКАЗАННЫХ В НОРМАТИВНЫХ ССЫЛКАХ
НАСТОЯЩЕГО СТАНДАРТА, ССЫЛОЧНЫМ НАЦИОНАЛЬНЫМ СТАНДАРТАМ
РОССИЙСКОЙ ФЕДЕРАЦИИ (И ДЕЙСТВУЮЩИМ В ЭТОМ КАЧЕСТВЕ
МЕЖГОСУДАРСТВЕННЫМ СТАНДАРТАМ)
Таблица ДА.1
Обозначение ссылочного международного стандарта | Степень соответствия | Обозначение и наименование соответствующего национального стандарта |
ИСО 13731:2001 | - | <*> |
<*> Соответствующий национальный стандарт отсутствует. До его утверждения рекомендуется использовать перевод на русский язык данного международного стандарта. Перевод данного международного стандарта находится в Федеральном информационном фонде технических регламентов и стандартов. |
(справочное)
СВЕДЕНИЯ О СООТВЕТСТВИИ ССЫЛОЧНЫХ
МЕЖДУНАРОДНЫХ СТАНДАРТОВ, УКАЗАННЫХ В БИБЛИОГРАФИИ
НАСТОЯЩЕГО СТАНДАРТА, ССЫЛОЧНЫМ НАЦИОНАЛЬНЫМ СТАНДАРТАМ
РОССИЙСКОЙ ФЕДЕРАЦИИ (И ДЕЙСТВУЮЩИМ В ЭТОМ КАЧЕСТВЕ
МЕЖГОСУДАРСТВЕННЫМ СТАНДАРТАМ)
Таблица ДБ.1
Обозначение ссылочного международного стандарта | Степень соответствия | Обозначение и наименование соответствующего национального стандарта |
ИСО 7726:1998 | - | |
ИСО 7730:2005 | IDT | ГОСТ Р ИСО 7730-2009 Эргономика термальной среды. Аналитическое определение и интерпретация комфортности теплового режима с использованием расчета показателей PMV и PPD и критериев локального теплового комфорта |
ИСО 13732-1:2006 | - | |
ISO/TS 13732-2:2001 | IDT | ГОСТ Р ИСО/ТУ 13732-2-2008 Эргономика термальной среды. Методы оценки реакции человека при контакте с поверхностями. Часть 2. Контакт с поверхностью умеренной температуры |
ИСО 13732-3:2005 | IDT | ГОСТ Р ИСО 13732-3-2013 Эргономика термальной среды. Методы оценки реакции человека при контакте с поверхностями. Часть 3. Контакт с холодными поверхностями |
ISO/TS 14505-1:2007 | IDT | ГОСТ Р 53962.1-2010/ISO/TS 14505-1:2007 Эргономика термальной среды. Оценка термальной среды в транспортном средстве. Часть 1. Принципы и методы оценки термального стресса |
ИСО 14505-3:2006 | IDT | ГОСТ Р ИСО 14505-3-2010 Эргономика термальной среды. Оценка термальной среды в транспортном средстве. Часть 3. Оценка температурного комфорта с привлечением испытателей |
<*> Соответствующий национальный стандарт отсутствует. До его утверждения рекомендуется использовать перевод на русский язык данного международного стандарта. Перевод данного международного стандарта находится в Федеральном информационном фонде технических регламентов и стандартов. |
Примечание. В настоящей таблице использованы следующие условные обозначения степени соответствия стандартов: IDT - идентичные стандарты. |
[1] | ISO 7726 Ergonomics of the thermal environment - Instruments for measuring physical quantities |
[2] | ISO 7730 Moderate thermal environments - Determination of the PMV and PPD indices and specification of the conditions for thermal comfort |
[3] | ISO 13732-1 Ergonomics of the thermal environment - Assessment of human responses to contact with surfaces - Part 1: Hot surfaces |
[4] | ISO 13732-3 Ergonomics of the thermal environment - Assessment of human responses to contact with surfaces - Part 3: Cold surfaces |
[5] | ISO 14505-1 Ergonomics - Evaluation of thermal environments in vehicles - Part 1: Principles and methods for assessment of thermal stress |
[6] | ISO 14505-3 Ergonomics of the thermal environment - Evaluation of thermal environments in vehicles - Part 3: Subjective assessment using humans test panels |
[7] | SAE-J-2234 Equivalent temperature. SAE Information Report, 1993 |
[8] | BOHM, M.,  O., NILSSON, H., and  I. Quantification of climate effects in a cabin simulator. Swedish Institute of Agricultural Engineering and National Institute of Occupational Health, Sweden, 1994 |
[9] | BOHM, M.,  O., NILSSON, H., and  I. Use of thermal maniken to improve the cab climate. International Conference on Agricultural Engineering, Milan, Italy. Report No. 94-D-041, 1994 |
[10] | BOHM, M.,  O.,  I., and NILSSON, H. Comparison of methods to determine the equivalent temperature in a cab in a climatic chamber. 6th international conference, Florence ATA 1999, The new role of experimentation in the modern automotive product development process, Florence, Italy, 1999, p. 99A4084 CD ROM |
[11] |  I. Climate stress in vehicles - A criteria document. Journal of the Human-Environment System, 1:23-33, 1997 |
[12] |  I., NILSSON, H., BOHM, M., and  O. Equivalent temperature in vehicles-conclusions and recommendations for standard. 6th international conference, Florence ATA 1999, The new role of experimentation in the modern automotive product development process, Florence, Italy, 1999, p. 99A4121 CD ROM |
[13] | BOHM, M.,  O.,  I., and NILSSON, H. Development of standard test methods for evaluation of thermal climate in vehicles. Final Report on Project SMT4-CT95-2017. Uppsala: Swedish Institute of Agricultural Engineering, 1999, p. 106 |
| NILSSON, H.,  I., BOHM, M., and  O. Equivalent temperature and thermal sensation - Comparison with subjective responses Proceedings of Comfort in the automotive industry. Bologna Italy, ATA vol. 1, 1997, pp. 157 - 162, 97A3018 |
| NILSSON, H. Comfort climate evaluation with thermal manikin methods and computer simulation models. Doctoral thesis from the Royal Institute of Technology, University of  and The Swedish National Institute for Working Life (download free of charge from the National Library of Sweden http://urn.kb.se/resolve?urn=urn;se:kth:diva-3726) Arbete och  2004:2. ISBN 91-7045-703-4, ISBN 91-7283-693-8, ISSN 0346-7821. |