Главная // Актуальные документы // ГОСТ Р (Государственный стандарт)СПРАВКА
Источник публикации
М.: Стандартинформ, 2011
Примечание к документу
Документ
введен в действие с 01.12.2010.
Название документа
"ГОСТ Р ИСО 7730-2009. Национальный стандарт Российской Федерации. Эргономика термальной среды. Аналитическое определение и интерпретация комфортности теплового режима с использованием расчета показателей PMV и PPD и критериев локального теплового комфорта"
(утв. и введен в действие Приказом Ростехрегулирования от 07.12.2009 N 573-ст)
"ГОСТ Р ИСО 7730-2009. Национальный стандарт Российской Федерации. Эргономика термальной среды. Аналитическое определение и интерпретация комфортности теплового режима с использованием расчета показателей PMV и PPD и критериев локального теплового комфорта"
(утв. и введен в действие Приказом Ростехрегулирования от 07.12.2009 N 573-ст)
Утвержден и введен в действие
по техническому регулированию
и метрологии
от 7 декабря 2009 г. N 573-ст
НАЦИОНАЛЬНЫЙ СТАНДАРТ РОССИЙСКОЙ ФЕДЕРАЦИИ
ЭРГОНОМИКА ТЕРМАЛЬНОЙ СРЕДЫ
АНАЛИТИЧЕСКОЕ ОПРЕДЕЛЕНИЕ И ИНТЕРПРЕТАЦИЯ КОМФОРТНОСТИ
ТЕПЛОВОГО РЕЖИМА С ИСПОЛЬЗОВАНИЕМ РАСЧЕТА ПОКАЗАТЕЛЕЙ
PMV И PPD И КРИТЕРИЕВ ЛОКАЛЬНОГО ТЕПЛОВОГО КОМФОРТА
Ergonomics of the thermal environment. Analytical
determination and interpretation of thermal comfort
using calculation of the PMV and PPD indices
and local thermal comfort criteria
ISO 7730:2005
Ergonomics of the thermal environment - Analytical
determination and interpretation of thermal comfort
using calculation of the PMV and PPD indices
and local thermal comfort criteria
(IDT)
ГОСТ Р ИСО 7730-2009
Группа Э65
Дата введения
1 декабря 2010 года
Цели и принципы стандартизации в Российской Федерации установлены Федеральным
законом от 27 декабря 2002 г. N 184-ФЗ "О техническом регулировании", а правила применения национальных стандартов Российской Федерации -
ГОСТ Р 1.0-2004 "Стандартизация в Российской Федерации. Основные положения"
1 ПОДГОТОВЛЕН Автономной некоммерческой организацией "Научно-исследовательский центр контроля и диагностики технических систем" (АНО "НИЦ КД") на основе собственного аутентичного перевода на русский язык стандарта, указанного в
пункте 4
2 ВНЕСЕН Техническим комитетом по стандартизации ТК 201 "Эргономика"
3 УТВЕРЖДЕН И ВВЕДЕН В ДЕЙСТВИЕ
Приказом Федерального агентства по техническому регулированию и метрологии от 7 декабря 2009 г. N 573-ст
4 Настоящий стандарт идентичен международному стандарту ИСО 7730:2005 "Эргономика термальной среды. Аналитическое определение и интерпретация комфортности теплового режима с использованием расчета показателей PMV и PPD и критериев локального теплового комфорта" (ISO 7730:2005 "Ergonomics of the thermal environment - Analytical determination and interpretation of thermal comfort using calculation of the PMV and PPD indices and local thermal comfort criteria").
При применении настоящего стандарта рекомендуется использовать вместо ссылочных международных стандартов соответствующие им национальные стандарты, сведения о которых приведены в дополнительном
приложении ДА
5 ВВЕДЕН ВПЕРВЫЕ
Информация об изменениях к настоящему стандарту публикуется в ежегодно издаваемом информационном указателе "Национальные стандарты", а текст изменений и поправок - в ежемесячно издаваемых информационных указателях "Национальные стандарты". В случае пересмотра (замены) или отмены настоящего стандарта соответствующее уведомление будет опубликовано в ежемесячно издаваемом информационном указателе "Национальные стандарты". Соответствующая информация, уведомление и тексты размещаются также в информационной системе общего пользования - на официальном сайте национального органа Российской Федерации по стандартизации в сети Интернет
Настоящий стандарт устанавливает методы оценки показателей умеренных термальных сред. Стандарт относится к серии стандартов, устанавливающих методы измерений и оценки показателей умеренных и экстремальных термальных сред, воздействию которых подвергаются люди.
Чувствительность человека к тепловым условиям связана в основном с тепловым балансом его тела. На этот баланс влияют физическая активность человека, одежда, а также параметры среды: температура воздуха, среднее тепловое излучение, скорость движения и влажность воздуха. Если проведены оценка и измерение этих факторов, то можно спрогнозировать чувствительность тела в целом к температуре окружающей среды путем расчета прогнозируемой средней оценки (PMV <1>) (см.
раздел 4).
--------------------------------
<1> PMV - Predicted Mean Vote.
Показатель прогнозируемого процента недовольных (PPD <2>) позволяет получить информацию о тепловом дискомфорте или недовольстве температурой средой на основе прогноза процента людей, которым слишком тепло или холодно в конкретной термальной среде. Показатель PPD может быть получен на основе показателя PMV (см.
раздел 5).
--------------------------------
<2> PPD - Predicted Percentage Dissatisfied.
Тепловой дискомфорт также может быть вызван локальным охлаждением или нагревом тела человека. Наиболее общими факторами локального дискомфорта являются асимметрия теплового излучения (холодные или теплые поверхности), сквозняк (который определен как локальное охлаждение тела, вызванное движением воздуха), разница в температуре воздуха по вертикали, а также холодные или теплые полы. В
разделе 6 приведены методы прогнозирования процента недовольных.
Недовольство может быть вызвано дискомфортом, связанным с нагреванием или охлаждением всего тела. Границы комфорта в этом случае описываются с помощью показателей PMV и PPD. Однако недовольство температурой также может быть вызвано факторами локального теплового дискомфорта. В
разделе 7 установлены критерии приемлемости термальных сред с точки зрения комфорта. В
разделах 6 и
7 рассмотрены стабильные условия. Методы оценки нестатических условий, например, температурных скачков, цикличности температуры и/или управляемого изменения температуры представлены в
разделе 8. Термальные среды в зданиях или на рабочих местах могут изменяться во времени, и не всегда существует возможность удерживать условия в пределах рекомендуемых температурных границ. Метод долгосрочной оценки теплового комфорта приведен в
разделе 9.
Раздел 10 содержит рекомендации по способам учета адаптации людей к различным температурным условиям для оценки и проектирования зданий и систем.
Международный стандарт, применяемый в настоящем стандарте, разработан техническим комитетом ИСО/ТК 159 "Эргономика".
Настоящий стандарт устанавливает методы прогнозирования чувствительности к температуре и степени дискомфорта (недовольства температурой) людей, подвергающихся воздействию умеренных термальных сред. Стандарт помогает провести аналитическую оценку и интерпретацию теплового комфорта на основе показателей PMV <1> и PPD <2>, а также критериев локального теплового комфорта и помогает оценить приемлемость условий окружающей среды для обеспечения теплового комфорта человека. Настоящий стандарт применим к здоровым мужчинам и женщинам, подверженным воздействию среды в конкретном помещении, в котором желательно наличие теплового комфорта, а также при проектировании новых или оценке существующих сред. Настоящий стандарт разработан специально для рабочих сред, однако может быть применим и для других видов сред. При рассмотрении людей с особыми требованиями, например инвалидов, настоящий стандарт может быть использован вместе с ISO/TS 14415 подраздел 4.2. Этнические, национальные и/или географические различия должны быть учтены при анализе помещений, не оборудованных кондиционерами.
--------------------------------
<1> PMV - Predicted Mean Vote (прогнозируемая средняя оценка качества воздушной среды).
<2> PPD - Predicted Percentage Dissatisfied (прогнозируемый процент недовольных температурой среды).
В настоящем стандарте использованы нормативные ссылки на следующие стандарты:
ИСО 13731 Эргономика термальной среды Словарь и обозначения (ISO 13731, Ergonomics of the thermal environment - Vocabulary and symbols)
ISO/TS 13732-2 Эргономика термальной среды. Методы оценки реакции человека при контакте с поверхностями. Часть 2. Контакт человека с поверхностями при умеренной температуре (ISO/TS 13732-2, Ergonomics of the thermal environment - Methods for the assessment of human responses to contact with surfaces - Part 2: Human contact with surfaces at moderate temperature)
ISO/TS 14415:2005 Эргономика термальной среды. Применение международных стандартов к людям с особыми требованиями (ISO/TS 14415:2005 Ergonomics of the thermal environment - Application of International Standards to people with special requirements)
В настоящем стандарте использованы термины по ИСО 13731, а также следующие термины с соответствующими определениями:
3.1 температурный цикл (temperature cycle): Изменение температуры с заданной амплитудой и частотой.
3.2 дрейф температуры (drift temperature): Пассивное, монотонное, равномерное, нецикличное изменение температуры в замкнутом пространстве.
3.3 управляемое изменение температуры (ramp temperature): Активно управляемое монотонное, равномерное, нецикличное изменение температуры в замкнутом пространстве.
3.4 эквивалентная (оперативная) температура (operative temperature); to: Равномерная температура воображаемого замкнутого пространства, в котором человек теряет такое же количество тепла от конвекции и излучения, как и в реальной среде (с неравномерной температурой).
3.5 скачки температуры (transient temperature): Быстрое изменение температурных условий, вызванное резким изменением температуры, влажности или вида деятельности человека и/или его одежды.
3.6 сквозняк (draught): Локальное охлаждение тела, вызванное движением воздуха.
4 Определение прогнозируемой средней оценки
4.1 Определение
Прогнозируемая средняя оценка (
PMV) - показатель, с помощью которого прогнозируют среднее значение чувствительности к температуре большой группы людей на основе баланса температуры тела человека по 7-балльной шкале (см.
таблицу 1). Баланс температуры достигается, когда вырабатываемое телом человека тепло равно потере телом тепла в окружающей среде. В умеренной среде система терморегуляции человека способна автоматически корректировать температуру кожи и потоотделение для поддержки баланса температуры тела.
Таблица 1
Семибалльная шкала чувствительности к температуре
Оценка в баллах | Ощущения человека |
+3 | Жарко |
+2 | Тепло |
+1 | Немного тепло |
0 | Нейтрально |
-1 | Немного прохладно |
-2 | Прохладно |
-3 | Холодно |

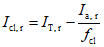
(1)

, (2)

(3)

(4)
где M - скорость обмена веществ, Вт/м2;
W - эффективная механическая энергия, Вт/м2;
Icl - коэффициент теплоизоляции одежды, м2·К/Вт;
fcl - коэффициент площади поверхности одежды;
ta - температура воздуха, °C;

- средняя температура излучения, °C;
var - скорость движения воздуха, м/с;
pa - парциальное давление водяного пара, Па;
hc - коэффициент конвективного теплообмена, Вт/(м2·К)
tcl - температура поверхности одежды, °C.
Примечание - 1 метаболическая единица = 1 мет = 58 Вт/м2; 1 единица одежды = 1 кло = 0,155 м2 °C/Вт.
Показатель PMV может быть рассчитан для различных сочетаний скорости обмена веществ, коэффициента теплоизоляции одежды, температуры воздуха, среднего теплового излучения, скорости движения воздуха и влажности воздуха (см. ИСО 7726). Значения tcl и hc могут быть найдены с помощью последовательных итераций.
Показатель PMV характеризует стабильные условия, но может быть применен в качестве хорошей аппроксимации при незначительных колебаниях одной или нескольких переменных, если применяются средневзвешенные по времени значения переменных за предыдущий период в 1 час.
Показатель используют только для значений PMV в интервале от - 2 до + 2, и если шесть основных параметров находятся в приведенных ниже интервалах:
M - от 46 до 232 Вт/м2 (от 0,8 до 4 мет);
Icl - от 0 до 0,310 м2 К/Вт (от 0 до 2 кло);
ta - от 10 °C до 30 °C;

- от 10 °C до 40 °C;
var - от 0 до 1 м/с;
pa - от 0 до 2700 Па.
Примечание - В пределах данного диапазона средняя скорость движения воздуха (var) при выполнении легкой, в основном сидячей, работы может ощущаться человеком как сквозняк.
Расчет скорости обмена веществ проводят с учетом типа работы, используя ИСО 8996 или
приложение B. При изменяющейся скорости обмена веществ следует подсчитать средневзвешенное по времени значение за предыдущий период в 1 ч. Используя ИСО 9920 или
приложение C подсчитывают термическое сопротивление одежды и стула с учетом времени года.
Показатель PMV вычисляют одним из следующих способов.
a) По
уравнению (1), используя компьютерную программу. Для этой цели в
приложении D представлена программа на языке BASIC. Для верификации других компьютерных программ в
приложении D представлены примеры с результатами расчетов.
b) Непосредственно по
приложению E, где приведены таблицы значений
PMV для разных сочетаний активности, одежды, температуры и относительной скорости движения воздуха.
c) С помощью непосредственных измерений с использованием интегрированного датчика рабочей и эквивалентной температур.
Значения
PMV, приведенные в
приложении E, применяют для относительной влажности 50%. Влияние влажности на температурную чувствительность является небольшим при умеренных температурах, близких к комфортным, и в этом случае не учитывается при определении значения
PMV (см.
приложение F).
4.2 Применение
PMV может быть использована для проверки того, удовлетворяет ли определенная термальная среда критериям комфорта (см.
раздел 7 и
приложение A), а также для установления требований к термальной среде.
Задавая PMV = 0, получают уравнение для прогнозирования сочетания активности, одежды и параметров среды, которые обычно обеспечивают нейтральную температурную чувствительность.
5 Определение прогнозируемого процента недовольных температурной средой
PPD указывает прогнозируемое среднее значение оценок термальной среды большой группы людей, подвергаемых воздействию этой среды. Индивидуальные оценки находятся вокруг этого среднего значения, поэтому полезной является возможность спрогнозировать количество людей, которые в данной среде, скорее всего, будут чувствовать себя некомфортно.
PPD - это показатель, который устанавливает прогнозируемый процент недовольных температурой среды людей, которым слишком тепло или холодно. Для целей настоящего стандарта под недовольными температурой среды людьми понимают тех людей, которые будут оценивать среду как "жарко", "тепло", "прохладно" или "холодно" по 7-балльной шкале температурной чувствительности, приведенной в
таблице 1.
PPD = 100 - 95 exp (-0,03353·
PMV4 - 0,2179·
PMV2) (5)
PMV - Прогнозируемая средняя оценка;
PPD - Прогнозируемый процент недовольных, %
Рисунок 1 -
PPD как функция
PMV
PPD прогнозирует количество недовольных температурой окружающей среды людей среди большой группы. Остальная часть группы будет ощущать нейтральное воздействие среды, легкое тепло или прохладу. Прогнозируемое распределение оценок приведено в
таблице 2.
Таблица 2
Распределение индивидуальных оценок
при различных значениях средних оценок
PMV | PPD | Процент оценок, имеющих указанное значение <a>, % |
0 | -1, 0, +1 | -2, -1, 0, +1, +2 |
+2 | 75 | 5 | 25 | 70 |
+1 | 25 | 30 | 75 | 95 |
+0,5 | 10 | 55 | 90 | 98 |
0 | 5 | 60 | 95 | 100 |
-0,5 | 10 | 55 | 90 | 98 |
-1 | 25 | 30 | 75 | 95 |
-2 | 75 | 5 | 25 | 70 |
<a> Основано на экспериментах с участием 1300 человек. |
6 Локальный температурный дискомфорт
6.1 Общие положения
Показатели
PMV и
PPD отражают дискомфорт от холода или тепла для всего тела как единого целого. Но недовольство температурой окружающей среды может быть вызвано нежелательным охлаждением или нагреванием одной конкретной части тела. В таком случае говорят о локальном дискомфорте. Наиболее распространенной причиной локального дискомфорта является сквозняк
(6.2). Но локальный дискомфорт также может быть вызван необычно высокой разницей температур по вертикали между головой и лодыжками
(6.3), слишком теплым или холодным полом
(6.4), или слишком высокой асимметрией теплового излучения
(6.5). В
приложении A приведены примеры требований к локальному и общему температурному комфорту для различных категорий среды и типов пространства.
К локальному температурному дискомфорту, в основном, чувствительны люди, занимающиеся легкой сидячей работой. Такие люди будут иметь близкую к нейтральной температурную чувствительность для всего тела. Люди с высоким уровнем физической активности менее чувствительны к температуре, и, соответственно, риск локального дискомфорта для них ниже.
Дискомфорт из-за сквозняка может быть выражен с помощью прогнозируемого процента людей, недовольных наличием сквозняка. Скорость сквозняка (
DR) вычисляют, используя
уравнение (6) (модель сквозняка):

(6)
Если

, следует использовать значение

.
Если DR > 100%, следует использовать значение DR = 100%,
где ta, l - локальная температура воздуха, от 20 до 26 °C;

- локальная средняя скорость движения воздуха, в метрах в секунду, < 0,5 м/с;
Tu - локальная интенсивность турбулентности, от 10% до 60% (если значение Tu неизвестно, может быть использовано значение 40%).
Модель применяют к людям со слабой физической активностью, в основном в позе сидя, с температурной чувствительностью, близкой к нейтральной, а также для прогнозирования сквозняка в области шеи. На уровне рук и стоп модель может завысить прогнозируемую скорость сквозняка. Чувствительность к сквозняку меньше при подвижной деятельности (> 1,2 мет) и у людей, предпочитающих более прохладную среду. Дополнительная информация по воздействию скорости движения воздуха приведена в
приложении G.
6.3 Разница в температуре воздуха по вертикали
Большая разница в температуре между головой и стопами может вызвать дискомфорт. На
рисунке 2 показан процент недовольных (
PD) как функция разности температур воздуха в области головы и стоп. Рисунок применяют, если температура выше наверху. Люди менее чувствительны, если температура наверху ниже,
PD вычисляют, используя
уравнение (7)

. (7)
PD - процент недовольных, %;

- разность температур
воздуха по вертикали в области головы и стоп, °C
Рисунок 2 - Локальный дискомфорт, вызванный
разностью температур по вертикали
Уравнение (7) выведено по результатам испытаний с помощью логистического регрессионного анализа, его следует использовать только при

.
6.4 Теплый и холодный пол
Если пол слишком теплый или холодный, люди могут чувствовать себя некомфортно. У людей, носящих легкую комнатную обувь, комфорт в большей степени зависит от температуры пола, а не материала, который его покрывает. На
рисунке 3 показан график процента недовольных людей как функции температуры пола, основанный на исследованиях со стоящими и/или сидящими людьми.
PD - процент недовольных, %; tf - температура пола, °C
Рисунок 3 - Локальный температурный дискомфорт, вызванный
теплым или холодным полом
Для людей, сидящих или лежащих на полу, могут быть использованы схожие значения. Значение
PD вычисляют, используя
уравнение (8), полученное по экспериментальным данным с помощью нелинейного регрессионного анализа:

. (8)
Результаты не могут быть использованы для электрически обогреваемых полов при долгом нахождении человека на полу.
Примечание - С помощью электрического обогрева обеспечивается определенное теплопоступление независимо от температуры поверхности. Водная система обогрева не создаст температуры выше, чем температура воды.
Для поверхностей, на которых люди стоят босыми ногами, см. ИСО/ТО 13732-2.
6.5 Асимметрия теплового излучения
Асимметрия теплового излучения

также может вызвать дискомфорт. Люди наиболее чувствительны к температурной асимметрии, вызванной теплым потолком, холодной стеной, холодным потолком или теплой стеной.
Рисунок 4 относится к оценке асимметрии теплового излучения слева/направо или справа/налево. Другие положения тела относительно излучающих поверхностей (например, спереди или сзади) не вызывают большого дискомфорта.
PD - процент недовольных, %;

- асимметрия теплового излучения, °C;
1 - теплый потолок; 2 - холодная стена;
3 - холодный потолок; 4 - теплая стена
Рисунок 4 - Локальный температурный дискомфорт, вызванный
асимметрией теплового излучения

(9)
b) Холодная стена

(10)
c) Холодный потолок

(11)

(12)
Уравнения (9) -
(12) были выведены по экспериментальным данным с помощью логистического регрессионного анализа и не должны быть использованы за пределами вышеуказанных диапазонов.
Уравнения a) теплый потолок и
d) теплая стена были скорректированы для учета дискомфорта, вызванного иными причинами, а не асимметрией излучения (см.
рисунок 4).
7 Приемлемые по комфорту термальные среды
Температурный комфорт - это состояние удовлетворения термальной средой. Недовольство может быть вызвано дискомфортом от тепла или холода, воздействующих на все тело, что описывают с помощью PMV и PPD, или нежелательным охлаждением (или нагревом) одной части тела.
Из-за индивидуальных особенностей невозможно установить термальную среду, которая удовлетворяла бы всех. Всегда имеется процент недовольных, но можно установить среды, приемлемые для определенного процента людей.
Часто один человек может быть чувствителен к различным типам локального дискомфорта. Например, человек, чувствительный к сквозняку, может также быть чувствительным к локальному охлаждению, вызванному асимметрией теплового излучения или холодным полом. Такой чувствительный к холоду человек может испытывать дискомфорт от холода для тела в целом. Поэтому показатели PPD, DR или PD, рассчитанные для различных типов локального дискомфорта, не следует складывать.
Вследствие наличия местных или национальных особенностей в приоритетах, техническом развитии и климатических условиях в некоторых случаях могут быть установлены в качестве приемлемых более высокие требования (меньший процент недовольных) или более низкие требования (больший процент недовольных). В таких случаях для оценки и проектирования термальной среды показатели
PMV и
PPD, модели сквозняка, связи между параметрами локального температурного дискомфорта (см.
раздел 6) и ожидаемого процента недовольных следует использовать для определения различных диапазонов параметров среды.
Примеры различных категорий требований приведены в
приложении A.
8 Неустойчивая термальная среда
8.1 Общие положения
Методы, приведенные в предыдущих разделах, предназначены для устойчивых условий. Часто термальная среда является неустойчивой, и возникает вопрос о применимости методов. Могут возникнуть три типа неустойчивых условий, характеризующихся температурными циклами, дрейфами или управляемыми изменениями и скачками температуры.
8.2 Температурные циклы
Температурные циклы могут возникать в результате управления температурой в пространстве. Если размах колебаний менее 1 К, то влияния на комфорт такие колебания не оказывают, и могут быть использованы рекомендации для устойчивых условий. Большие колебания могут снизить комфортность среды.
8.3 Дрейфы или управляемые изменения температуры
Если скорость изменений температуры при дрейфе или управляемых изменениях менее 2,0 К/ч, то применяют методы, являющиеся вариацией методов для устойчивых состояний.
8.4 Скачки температуры
Относительно скачков температуры могут быть сделаны следующие утверждения.
- Скачки эквивалентной температуры человек ощущает незамедлительно.
- После резкого повышения эквивалентной температуры новая устойчивая температурная чувствительность возникает незамедлительно, т.е. параметры PMV, PPD могут быть использованы для прогнозирования комфорта.
- После резкого понижения эквивалентной температуры температурная чувствительность сначала падает ниже предсказанного значения PMV, затем возрастает и достигает устойчивого адекватного уровня при сохранении температурных условий приблизительно за 30 мин, т.е. для первых 30 мин параметры PMV, PPD прогнозируют слишком высокие значения. Время для достижения нового устойчивого состояния зависит от исходных условий.
9 Оценка основных условий температурного комфорта в течение длительного времени
Могут быть установлены различные категории общего комфорта в качестве диапазонов значений
PMV,
PPD (см.
приложение A).
Если эти критерии должны быть выполнены, включая экстремальные ситуации, мощность нагревания и/или охлаждения любой системы обеспечения температурных условий среды (системы отопления, вентиляции и кондиционирования воздуха) должна быть сравнительно высокой. Экономические и/или экологические ограничения позволяют получить приемлемые пределы интервала времени, в течение которого значения PMV могут оставаться за пределами установленных диапазонов.
Условия комфорта часто испытывают на протяжении длительного периода времени для различных типов конструкции зданий и/или систем обеспечения температурных условий с помощью компьютерного моделирования. В таком случае необходимо установить значения характеристик условий долгосрочного комфорта для сравнения проектов и производительности упомянутых систем.
В
приложении H представлен перечень методов, которые могут быть использованы для этой цели.
В соответствии с настоящим стандартом при определении приемлемого диапазона эквивалентной температуры необходимо использовать значение коэффициента изоляции одежды, которое соответствует местным типам одежды и климату.
В теплых или холодных средах часто имеет место адаптация к температурным условиям. Кроме одежды, другие формы адаптации, такие как поза и пониженная активность, которые сложно определить количественно, могут привести к приемлемости более высоких температур в помещении. Люди, которые работали и жили в жарком климате, могут более легко поддерживать высокую работоспособность в жарких средах, чем те, кто жил в прохладном климате (см. ИСО 7933 и ИСО 7243).
Более широкий диапазон приемлемости может быть установлен для контролируемых людьми естественно кондиционируемых пространств в регионах с теплым климатом или во время теплых периодов года, когда температурные условия пространства в основном регулируются посредством открывания и закрывания окон. Эксперименты в эксплуатационных условиях показали, что люди в таких зданиях могут выдерживать более высокие температуры, чем спрогнозированные с помощью
PMV. В таких случаях температурные условия могут быть спроектированы для

значений
PMV, чем те, что приведены в
разделе 6 и
приложении A.
(справочное)
ПРИМЕРЫ ТРЕБОВАНИЙ ТЕМПЕРАТУРНОГО КОМФОРТА
ДЛЯ РАЗЛИЧНЫХ КАТЕГОРИЙ СРЕДЫ И ТИПОВ ПРОСТРАНСТВА
A.1 Категории термальных сред
Необходимая термальная среда для пространства может быть выбрана из трех категорий (A, B и C) согласно
таблице A.1. Все критерии должны быть удовлетворены одновременно для каждой категории.
Таблица A.1
Характеристики категорий термальной среды
Категория | Температурные ощущения тела в целом | Локальный дискомфорт |
PPD, % | PMV | DR, % | PD, вызванный разницей температуры воздуха по вертикали, % | PD, вызванный теплым или холодным полом, % | PD, вызванный асимметрией теплового излучения, % |
A | < 6 | -0,2 < PMV < + 0,2 | < 10 | < 3 | < 10 | < 5 |
B | < 10 | -0,5 < PMV < + 0,5 | < 20 | < 5 | < 10 | < 5 |
C | < 15 | -0,7 < PMV + 0,7 | < 30 | < 10 | < 15 | < 10 |
Каждая категория предписывает максимальный процент недовольных температурой для тела в целом (PPD) и PD для каждого из четырех типов локального дискомфорта. Некоторые требования сложно удовлетворить на практике, в то время как другие могут быть выполнены сравнительно легко.
Из-за низкой точности аппаратуры для измерений входных параметров может быть сложно проверить соответствие
PMV категории класса A (-0,2 <
PMV < +0,2). Вместо этого проверка может быть основана на соответствии входных параметров диапазону эквивалентной температуры (см.
пункт A.2 и
таблицу A.5).
Три категории, представленные в
таблице A.1, применяют к пространствам, в которых люди подвергаются воздействию одной и той же термальной среды. Следует стремиться к тому, чтобы каждый человек в этом пространстве мог осуществлять индивидуальный контроль термальной среды. Индивидуальный контроль локальной температуры воздуха, средней температуры теплового излучения или скорости движения воздуха может способствовать снижению больших различий между индивидуальными требованиями и, следовательно, приводить к меньшему количеству недовольных температурой людей.
Изменение одежды также может способствовать снижению индивидуальных различий в оценке среды. Воздействие оптимальной эквивалентной температуры на добавление или удаление различных предметов одежды показано в
таблице C.2.
A.2 Диапазон эквивалентной температуры
Для определенного пространства существует оптимальная эквивалентная температура, соответствующая
PMV = 0, в зависимости от двигательной активности и одежды находящихся в нем людей. На
рисунке A.1 показана оптимальная эквивалентная температура и допустимый диапазон температуры как функция одежды и двигательной активности для каждой из трех категорий. Оптимальная эквивалентная температура одинакова для всех трех категорий, а допустимый диапазон вокруг оптимальной температуры различен.
PPD - прогнозируемый процент недовольных; X - основная
изоляция одежды, кло; X' - основная изоляция одежды,
м2·°C/Вт; Y - скорость обмена веществ, мет;
Y' - скорость обмена веществ, Вт/м2
Рисунок A.1 - Оптимальная эквивалентная температура
в зависимости от одежды и двигательной активности
Эквивалентная температура во всех точках занимаемого пространства должна все время находиться в пределах допустимого диапазона. Это означает, что допустимый диапазон распространяется и на пространственные, и на временные вариации, включая колебания, вызванные системой управления.
Рисунок A.1 применяют при относительной влажности 50%; однако в умеренной тепловой среде влажность воздуха оказывает слабое влияние на температурную чувствительность. Обычно 10%-ное увеличение влажности и увеличение эквивалентной температуры на 0,3 °C человек воспринимает одинаково, как повышение температуры среды.
Значения
PD в
таблице A.1 не являются аддитивными. На практике при исследованиях в условиях эксплуатации с применением анкет, отражающих субъективные мнения, может быть найдено большее или меньшее количество недовольных (см. ИСО 10551).
Предполагается, что скорость движения воздуха в пространстве составляет менее 0,1 м/с. Относительная скорость движения воздуха var, вызываемая движением тела, является нулевой при скорости обмена веществ M менее 1 мет и var = 0,3 (M - 1) при M > 1 мет. Диаграммы установлены для относительной влажности 50%, но влажность оказывает лишь небольшое влияние на оптимальные и допустимые температурные диапазоны.
A.3 Локальный температурный дискомфорт
На
рисунке A.2 показаны диапазоны параметров локального температурного дискомфорта для трех категорий, представленных в
таблице A.1.
ta, l - локальная температура воздуха, °C;

- локальная средняя скорость движения воздуха, м/с;
Tu - интенсивность турбулентности, %
Рисунок A.2 - Максимально допустимая средняя скорость
движения воздуха как функция локальной температуры
воздуха и интенсивности турбулентности
Максимально допустимая средняя скорость движения воздуха является функцией локальной температуры воздуха и интенсивности турбулентности. Интенсивность турбулентности может изменяться от 30% до 60% в пространствах со смешанным воздухораспределением. В помещениях с системой вытесняющей вентиляции или без искусственной вентиляции интенсивность турбулентности может быть ниже.
В
таблицах A.2,
A.3 и
A.4 приведены значения параметров, вызывающих локальный температурный дискомфорт: разницы в температуре воздуха по вертикали, теплого/холодного пола и асимметрии температуры излучения.
Таблица A.2
Разность температур воздуха по вертикали
в области головы и стоп
Категория | Разница в температуре воздуха по вертикали <a>, °C |
A | < 2 |
B | < 3 |
C | < 4 |
<a> 1,1 и 0,1 м над полом. |
Таблица A.3
Диапазон температур поверхности пола
Категория | Диапазон температур поверхности пола, °C |
A | От 19 до 29 |
B | От 19 до 29 |
C | От 17 до 31 |
Таблица A.4
Асимметрия теплового излучения
Категория | Асимметрия теплового излучения, °C |
Теплый потолок | Холодная стена | Холодный потолок | Теплая стена |
A | < 5 | < 10 | < 14 | < 23 |
B | < 5 | < 10 | < 14 | < 23 |
C | < 7 | < 13 | < 18 | < 35 |
A.4 Критерии проектирования для различных типов пространства. Примеры
Критерии проектирования, установленные в
таблице A.5, получены для следующих условий. Критерии для эквивалентной температуры основаны на типичных уровнях двигательной активности, одежды с показателем 0,5 кло летом (теплый сезон) и 1,0 кло зимой (отопительный сезон). Критерии для средней скорости движения воздуха предполагают интенсивность турбулентности приблизительно в 40% (смешанная вентиляция). Приведенные критерии проектирования применимы также к другим близким по параметрам типам пространств.
Таблица A.5
Пример критериев проектирования для помещений
в различных типах зданий
Тип здания/помещения | Двигательная активность, Вт/м2 | Категория | Эквивалентная температура, °C | Максимальная средняя скорость движения воздуха <a>, м/с |
Лето (теплый сезон) | Зима (отопительный сезон) | Лето (теплый сезон) | Зима (отопительный сезон) |
Офис с открытым пространством Офис с перегородками Конференц-зал Аудитория Кафе/ресторан Класс | 70 | A | 24,5 +/- 1,0 | 22,0 +/- 1,0 | 0,12 | 0,10 |
B | 24,5 +/- 1,5 | 22,0 +/- 2,0 | 0,19 | 0,16 |
C | 24,5 +/- 2,5 | 22,0 +/- 3,0 | 0,24 | |
Детский сад | 81 | A | 23,5 +/- 1,0 | 20,0 +/- 1,0 | 0,11 | |
B | 23,5 +/- 2,0 | 22,0 +/- 2,5 | 0,18 | |
C | 23,5 +/- 2,5 | 22,0 +/- 3,5 | 0,23 | |
Универмаг | 93 | A | 23,0 +/- 1,0 | 19,0 +/- 1,5 | 0,16 | |
B | 23,0 +/- 2,0 | 19,0 +/- 3,0 | 0,20 | |
C | 23,0 +/- 3,0 | 19,0 +/- 4,0 | 0,23 | |
<a> Максимальная средняя скорость движения воздуха основана на интенсивности турбулентности 40% и температуре воздуха, равной эквивалентной температуре в соответствии с пунктом 6.2 и рисунком A.2. Значения относительной влажности 60% и 40% используют для лета и зимы, соответственно. Как для лета, так и для зимы при определении максимальной средней скорости движения воздуха используют самую низкую температуру диапазона. |
(справочное)
СКОРОСТЬ ОБМЕНА ВЕЩЕСТВ ПРИ РАЗЛИЧНОЙ
ДВИГАТЕЛЬНОЙ АКТИВНОСТИ
Более подробные данные по скорости обмена веществ приведены в ИСО 8996. Пожилые люди часто имеют более низкий уровень двигательной активности, чем молодые, что также следует учитывать.
Таблица B.1
Скорость обмена веществ
Двигательная активность, поза | Скорость обмена веществ |
Вт/м2 | мет |
Полулежа | 46 | 0,8 |
Сидя, расслабленно | 58 | 1,0 |
Сидячая работа (в офисе, дома, в школе, в лаборатории) | 70 | 1,2 |
Легкая двигательная активность, работа в позе стоя (покупка товаров, легкая промышленность) | 93 | 1,6 |
Средняя двигательная активность, работа в позе стоя (продавец, работа по дому, механическая обработка) | 116 | 2,0 |
Ходьба по горизонтальной поверхности: | | |
2 км/ч | 110 | 1,9 |
3 км/ч | 140 | 2,4 |
4 км/ч | 165 | 2,8 |
5 км/ч | 200 | 3,4 |
(справочное)
РАСЧЕТ ТЕРМОИЗОЛЯЦИИ ОДЕЖДЫ
C.1 Общие положения
Коэффициент изоляции одежды (
Icl) может быть подсчитан непосредственно по данным, представленным в
таблице C.1 для типичных сочетаний предметов одежды (значения для статичной термоизоляции), или опосредовано, с помощью сложения значений коэффициентов частичной изоляции каждого предмета одежды
Iclu, в соответствии с
таблицей C.2.
Таблица C.1
Температурная изоляция для типичных сочетаний
предметов одежды
Рабочая одежда | Icl | Повседневная одежда | Icl |
кло | м2·К/Вт | кло | м2·К/Вт |
Кальсоны, комбинезон, носки, обувь | 0,70 | 0,110 | Трусы, футболка, шорты, легкие носки, сандалии | 0,30 | 0,050 |
Кальсоны, рубашка, комбинезон, носки, обувь | 0,80 | 0,125 | Кальсоны, рубашка с короткими рукавами, легкие брюки, легкие носки, обувь | 0,50 | 0,080 |
Кальсоны, рубашка, брюки, рабочий халат, носки, обувь | 0,90 | 0,140 | Трусы, женское белье, чулки, платье, обувь. | 0,70 | 0,105 |
Нижняя одежда с короткими рукавами и штанинами, рубашка, брюки, пиджак, носки, обувь | 1,00 | 0,155 | Нижняя одежда, рубашка, брюки, носки, обувь | 0,70 | 0,110 |
Нижняя одежда с длинными рукавами и штанинами, термозащитная куртка, носки, обувь | 1,20 | 0,185 | Трусы, рубашка, брюки, пиджак, носки, обувь | 1,00 | 0,155 |
Нижняя одежда с короткими рукавами и штанинами, рубашка, брюки, пиджак, тяжелая стеганая куртка и штаны, носки, обувь | 1,40 | 0,220 | Трусы, чулки, блузка, длинная юбка, пиджак, обувь | 1,10 | 0,170 |
Нижняя одежда с короткими рукавами и штанинами, рубашка, брюки, пиджак, тяжелая стеганая куртка и штаны, носки, обувь, шапка, перчатки | 2,00 | 0,310 | Нижняя одежда с длинными рукавами и штанинами, рубашка, брюки, свитер, пиджак, носки, обувь | 1,30 | 0,200 |
Нижняя одежда с длинными рукавами и штанинами, термозащитная куртка и брюки, парка (аляска) с тяжелой подбивкой, штаны с тяжелой подбивкой, носки, обувь, шапка, перчатки | 2,55 | 0,395 | Нижняя одежда с короткими рукавами и штанинами, рубашка, брюки, жилет, пиджак, пальто, носки, обувь | 1,50 | 0,230 |
В
таблице C.2 показаны изменения оптимальной эквивалентной температуры, необходимые для поддержания температурной чувствительности на нейтральном уровне, когда предмет одежды добавляется или удаляется при легкой, в основном сидячей активности (1,2 мет).
Таблица C.2
Термоизоляция предметов одежды и изменения оптимальной
эквивалентной температуры
Предмет одежды | Iclu | Изменение оптимальной эквивалентной температуры, °C |
кло | м2·К/Вт |
Нижняя одежда | | | |
Трусы | 0,03 | 0,005 | 0,2 |
Длинные кальсоны | 0,10 | 0,016 | 0,6 |
Нижняя трикотажная рубашка | 0,04 | 0,006 | 0,3 |
Футболка | 0,09 | 0,014 | 0,6 |
Сорочка с длинными рукавами | 0,12 | 0,019 | 0,8 |
Трусы и бюстгальтер | 0,03 | 0,005 | 0,2 |
Рубашки/блузки | | | |
С короткими рукавами | 0,15 | 0,023 | 0,9 |
Легкие, длинные рукава | 0,20 | 0,031 | 1,3 |
Нормальные, длинные рукава | 0,25 | 0,039 | 1,6 |
Фланелевая рубашка, длинные рукава | 0,30 | 0,047 | 1,9 |
Легкая блузка, длинные рукава | 0,15 | 0,023 | 0,9 |
Штаны | | | |
Шорты | 0,06 | 0,009 | 0,4 |
Легкие брюки | 0,20 | 0,031 | 1,3 |
Нормальные брюки | 0,25 | 0,039 | 1,6 |
Фланелевые брюки | 0,28 | 0,043 | 1,7 |
Платья/Юбки | | | |
Легкие юбки (лето) | 0,15 | 0,023 | 0,9 |
Тяжелые юбки (зима) | 0,25 | 0,039 | 1,6 |
Легкое платье, короткие рукава | 0,20 | 0,031 | 1,3 |
Зимнее платье, длинные рукава | 0,40 | 0,062 | 2,5 |
Комбинезон | 0,55 | 0,085 | 3,4 |
Свитеры | | | |
Жилет без рукавов | 0,12 | 0,019 | 0,8 |
Тонкий свитер | 0,20 | 0,031 | 1,3 |
Свитер | 0,28 | 0,043 | 1,7 |
Толстый свитер | 0,35 | 0,054 | 2,2 |
Пиджаки | | | |
Легкий, летний пиджак | 0,25 | 0,039 | 1,6 |
Пиджак | 0,35 | 0,054 | 2,2 |
Блузон | 0,30 | 0,047 | 1,9 |
Одежда с высокой изоляцией из кожи или волокон | | | |
Комбинезон | 0,90 | 0,140 | 5,6 |
Брюки | 0,35 | 0,054 | 2,2 |
Пиджак | 0,40 | 0,062 | 2,5 |
Жилет | 0,20 | 0,031 | 1,3 |
Верхняя одежда | | | |
Пальто | 0,60 | 0,093 | 3,7 |
Пуховик | 0,55 | 0,085 | 3,4 |
Парка (аляска) | 0,70 | 0,109 | 4,3 |
Коже-волокняный комбинезон | 0,55 | 0,085 | 3,4 |
Принадлежности | | | |
Носки | 0,02 | 0,003 | 0,1 |
Толстые носки по щиколотку | 0,05 | 0,008 | 0,3 |
Толстые длинные носки | 0,10 | 0,016 | 0,6 |
Нейлоновые чулки | 0,03 | 0,005 | 0,2 |
Обувь с тонкой подошвой | 0,02 | 0,003 | 0,1 |
Обувь с толстой подошвой | 0,04 | 0,006 | 0,3 |
Сапоги | 0,10 | 0,016 | 0,6 |
Перчатки | 0,05 | 0,008 | 0,3 |
Для сидящих людей стул может вносить дополнительную изоляцию от 0 кло до 0,4 кло (см.
таблицу C.3). Более детальная информация приведена в ИСО 9920.
Таблица C.3
Значения термоизоляции для стульев
Тип стула | Iclu |
кло | м2·К/Вт |
Сетчатый/металлический стул | 0,00 | 0,00 |
Деревянный стул | 0,01 | 0,002 |
Стандартный офисный стул | 0,1 | 0,016 |
Кресло руководителя | 0,15 | 0,023 |
Значения, приведенные в
таблице C.3, следует прибавлять к коэффициентам индивидуальной изоляции предметов одежды из
таблицы C.2 или к значениям коэффициентов изоляции комплектов одежды из
таблицы C.1.
C.2 Определение характеристик динамической изоляции одежды
Активность и вентиляция изменяют характеристики изоляции одежды и смежного слоя воздуха. Ветер и движения тела снижают изоляцию, которая вследствие этого должна быть скорректирована. Поправочный коэффициент для итоговой изоляции одежды и наружного слоя воздуха может быть рассчитан с использованием
уравнений (B.1) -
(B.3).
Для одетого в нормальную или легкую одежду человека (0,6 < Icl < 1,4 кло или 1,2 < IT < 2,0 кло):
| | ИС МЕГАНОРМ: примечание. Нумерация формул дана в соответствии с официальным текстом документа. | |

, (B.1)
где IT, r - результирующий коэффициент изоляции одежды, м2·К/Вт или кло;
IT - коэффициент изоляция одежды, м2·К/Вт или кло;
Corr IT - поправочный коэффициент для итоговой изоляции одежды;
var - скорость движения воздуха относительно человека, м/с;
vw - скорость перемещения человека, м/с.
Для обнаженного человека (Icl = 0 кло)

, (B.2)
где Ia,r - результирующий коэффициент изоляции пограничного слоя воздуха в данных условиях, м2·К/Вт или кло;
Ia - коэффициент изоляции пограничного слоя воздуха, м2·К/Вт или кло;
Corr Ia - поправочный коэффициент для Ia;
Результирующую динамическую изоляцию одежды определяют по формуле

,
где fcl - коэффициент площади одежды (отношение площади поверхности закрытого тела к площади поверхности обнаженного тела), где var должен находиться в пределах 3,5 м/с и vw в пределах 1,2 м/с.
Если скорость перемещения человека не определена или он стоит, значение vw вычисляют по формуле
vw = 0,0052 (M - 58) при vw <= 0,7 м/с.
Для очень низких значений изоляции одежды, например для 0 <=
Icl <= 0,6 кло, была выведена интерполяция между
уравнениями B.1 и
B.2:

, (B.3)
где
IT, r, одетый равен
IT, определенному в соответствии с
B.1, кло;
IT, r, обнаженный равен
Ia, определенному в соответствии с
B.2, кло.
(справочное)
КОМПЬЮТЕРНАЯ ПРОГРАММА ДЛЯ ВЫЧИСЛЕНИЯ PMV И PPD
Приведенная компьютерная программа на BASIC позволяет вычислить PMV и PPD для заданного набора вводимых переменных. Другие языки программирования также могут быть использованы, но результат должен быть проверен с помощью данной программы или по примерам, приведенным в
таблице D.1.
Таблица D.1
N п/п | Температура воздуха, °C | Средняя температура излучения, °C | Скорость движения воздуха, м/с | RH, % | Скорость обмена веществ, мет | Изоляция одежды, кло | PMV | PPD |
1 | 22,0 | 22,0 | 0,10 | 60 | 1,2 | 0,5 | -0,75 | 17 |
2 | 27,0 | 27,0 | 0,10 | 60 | 1,2 | 0,5 | 0,77 | 17 |
3 | 27,0 | 27,0 | 0,30 | 60 | 1,2 | 0,5 | 0,44 | 9 |
4 | 23,5 | 25,5 | 0,10 | 60 | 1,2 | 0,5 | -0,01 | 5 |
5 | 23,5 | 25,5 | 0,30 | 60 | 1,2 | 0,5 | -0,55 | 11 |
6 | 19,0 | 19,0 | 0,10 | 40 | 1,2 | 1,0 | -0,60 | 13 |
7 | 23,5 | 23,5 | 0,10 | 40 | 1,2 | 1,0 | 0,50 | 10 |
8 | 23,5 | 23,5 | 0,30 | 40 | 1,2 | 1,0 | 0,12 | 5 |
9 | 23,0 | 21,0 | 0,10 | 40 | 1,2 | 1,0 | 0,05 | 5 |
10 | 23,0 | 21,0 | 0,30 | 40 | 1,2 | 1,0 | -0,16 | 6 |
11 | 22,0 | 22,0 | 0,10 | 60 | 1,6 | 0,5 | 0,05 | 5 |
12 | 27,0 | 27,0 | 0,10 | 60 | 1,6 | 0,5 | 1,17 | 34 |
13 | 27,0 | 27,0 | 0,30 | 60 | 1,6 | 0,5 | 0,95 | 24 |
Динамические воздействия на изоляцию одежды должны быть скорректированы до ввода результирующей термоизоляции одежды (Icl, r).
Переменные | Обозначения в программе |
Одежда, кло | CLO |
Скорость обмена веществ, мет | MET |
Наружная работа, мет | WME |
Температура воздуха, °C | TA |
Средняя температура излучения, °C | TR |
Относительная скорость движения воздуха, м/с | VEL |
Относительная влажность, % | RH |
Парциальное давление водяного пара, Па | PA |
10 | Компьютерная программа (BASIC) для вычисления |
20 | Прогнозируемой средней оценки (PMV) и прогнозируемого процента недовольных (PPD) |
30 | в соответствии с Международным стандартом ИСО 7730 |
40 | CLS: | PRINT | "ВВОД ДАННЫХ" | ввод данных |
50 | INPUT | " | Одежда | (кло) | " | CLO |
60 | INPUT | " | Скорость обмена веществ | (мет) | " | MET |
70 | INPUT | " | Наружная работа, обычно рядом с 0 | (мет) | " | WM |
80 | INPUT | " | Температура воздуха | (°C) | " | TA |
90 | INPUT | " | Средняя температура излучения | (°C) | " | TR |
100 | INPUT | " | Относительная скорость движения воздуха | (м/с) | " | VEL |
110 | INPUT | " | "ВЫБЕРИТЕ ИЛИ RH, ИЛИ ДАВЛЕНИЕ ВОДЯНОГО ПАРА, НО НЕ ОБА" |
120 | INPUT | " | Относительная влажность | (%) | " | RH |
130 | INPUT | " | Давление водяного пара | (Па) | " | PA |
140 | DEF FNPS (T) = EXP (16.6536-4030.183/T+235)) | : давление насыщенного пара, кПа |
150 | IF PA = 0 THEN PA = RH * 10 * FNPS (TA) | : давление водяного пара, Па |
160 | ICL = .155 * CLO | : термоизоляция одежды, м2·К/Вт |
170 | M = MET * 58.15 | : скорость обмена веществ, Вт/м2 |
180 | W = WME * 58.15 | : наружная работа, Вт/м2 |
190 | MW = M - W | : наружное производство тепла в теле человека |
200 | IF ICL u .078 THEN FCL = 1 | + 1.29 * ICL |
ELSE FCL = 1.05 + 0.645 * ICL | : множитель площади одежды |
210 | HCF = 12.1 * SQR (VEL) | : коэффициент теплообмена при принудительной конвекции |
220 | TAA = TA + 273 | : температура воздуха, К |
230 | TRA = TR + 273 | : средняя температура излучения, К |
240 | ----- ВЫЧИСЛИТЕ ТЕМПЕРАТУРУ ПОВЕРХНОСТИ ОДЕЖДЫ С ПОМОЩЬЮ ПОВТОРЕНИЯ --- |
250 | TLCA = TAA + (35.5 - TA)/(3.5 * ICL + .1) | : первое предположение о температуре поверхности одежды |
260 | P1 = ICL * FCL | : период вычисления |
270 | P2 = P1 * 3.96 | : период вычисления |
280 | P3 = P1 * 100 | : период вычисления |
290 | P4 = P1 * TAA | : период вычисления |
300 | P5 = 308.7 - .028 * MW + P2 * (TRA/100) * 4 | |
310 | XN = TLCA/100 | |
320 | XF = XN | |
330 | N = 0 | : N: количество повторений |
340 | EPS = .00015 | : критерии остановки при повторе |
350 | XF = (XF + XN)/2 | |
360 | HCN = 2.38 * ABS (100 * XF - TAA) ^ .25 | : коэффициент теплообмена при естественной конвекции |
370 | IF HCF > HCN THEN HC = HCF ELSE HC = HCN | |
380 | XN = (P5 + P4 * HC - P2 * XF ^ 4)/(100 + P3 * HC) | |
390 | N = N + 1 | |
400 | IF N > 150 THEN GOTO 550 | |
410 | IF ABS (XN - XF) > EPS GOTO 350 | |
420 | TCL = 100 * XN - 273 | : температура поверхности одежды |
430 | ------------------- КОМПОНЕНТЫ ПОТЕРИ ТЕПЛА --------------------- |
440 | HL1 = 3.05 * .001 (5733 - 6.99 * MW-PA) | : потеря тепла через кожу |
450 | IF MW > 58.15 THEN HL2 = .42 * (MW - 58.15) | |
ELSE HL2 = 0! | : потеря тепла за счет потения (комфортного) |
460 | HL3 = 1.7 * .00001 * m * (5867 - PA) | : скрытая потеря тепла из-за дыхания |
470 | HL4 = .0014 * m * (34 - TA) | : потеря тепла из-за сухого дыхания |
480 | HL5 = 3.96 * FCL * (XN^4 - (TRA/100^4) | : потеря тепла из-за излучения |
500 | ------------------ ВЫЧИСЛИТЕ PMV И PPD ------------------ |
510 | TS = .303 * EXP (- .036 * m) + .028 | : коэффициент переноса температурной чувствительности |
520 | PMV = TS * (MW - HL1 - HL2 - HL3 - HL4 - HL5 - HL6) | : прогнозируемая средняя оценка |
530 | PPD = 100 - 95 * EXP (- .03353 * PMV ^ 4 - .2179 * PMV^2) | : прогнозируемый процент недовольных |
540 | GOTO 570 | |
550 | PMV = 999999! | |
560 | PPD = 100 | |
570 | PRINT:PRINT "OUTPUT" | : результат |
580 | PRINT " | Predicted Mean Vote | (PMV): " |
:PRINT USING "# # . #": PMV |
590 | PRINT " Predicted Percent of Dissatisfied | (PPD): " |
:PRINT USING "# # # . #": PPD |
600 | PRINT: INPUT "NEXT RUN (Y/N)"; RS | |
610 | IF (RS = "Y" OR RS = "y") THEN RUN | |
620 | END | |
Пример - Ввод данных |
Одежда | (кло) ? 1.0 |
Скорость обмена веществ | (мет) ? 1.2 |
Наружная работа, обычно около 0 | (мет) ? 0 |
Температура воздуха | (C) ? 19 |
Средняя температура излучения | (C) ? 18 |
Относительная влажность воздуха | (м/с) ? 0.1 |
ВЫБЕРИТЕ ИЛИ RH ИЛИ ДАВЛЕНИЕ ВОДЯНОГО ПАРА, НО НЕ ОБА |
Относительная влажность | (%) ? 40 |
Давление водяного пара | (Па) ? |
РЕЗУЛЬТАТ |
Прогнозируемая средняя оценка | (PMV): - 0.7 |
Прогнозируемый процент недовольных | (PPD): 15.3 |
| | ИС МЕГАНОРМ: примечание. В официальном тексте документа, видимо, допущена опечатка: таблица D.1 повторяется дважды. | |
Таблица D.1
Примеры результатов
N п/п | Температура воздуха, °C | Средняя температура излучения, °C | Скорость движения воздуха, м/с | RH, % | Скорость обмена веществ, мет | Изоляция одежды, кло | PMV | PPD |
1 | 22,0 | 22,0 | 0,10 | 60 | 1,2 | 0,5 | -0,75 | 17 |
2 | 27,0 | 27,0 | 0,10 | 60 | 1,2 | 0,5 | 0,77 | 17 |
3 | 27,0 | 27,0 | 0,30 | 60 | 1,2 | 0,5 | 0,44 | 9 |
4 | 23,5 | 25,5 | 0,10 | 60 | 1,2 | 0,5 | -0,01 | 5 |
5 | 23,5 | 25,5 | 0,30 | 60 | 1,2 | 0,5 | -0,55 | 11 |
6 | 19,0 | 19,0 | 0,10 | 40 | 1,2 | 1,0 | -0,60 | 13 |
7 | 23,5 | 23,5 | 0,10 | 40 | 1,2 | 1,0 | 0,50 | 10 |
8 | 23,5 | 23,5 | 0,30 | 40 | 1,2 | 1,0 | 0,12 | 5 |
9 | 23,0 | 21,0 | 0,10 | 40 | 1,2 | 1,0 | 0,05 | 5 |
10 | 23,0 | 21,0 | 0,30 | 40 | 1,2 | 1,0 | -0,16 | 6 |
11 | 22,0 | 22,0 | 0,10 | 60 | 1,6 | 0,5 | 0,05 | 5 |
12 | 27,0 | 27,0 | 0,10 | 60 | 1,6 | 0,5 | 1,17 | 34 |
13 | 27,0 | 27,0 | 0,30 | 60 | 1,6 | 0,5 | 0,95 | 24 |
(справочное)
ТАБЛИЦЫ ДЛЯ ОПРЕДЕЛЕНИЯ ПРОГНОЗИРУЕМОЙ СРЕДНЕЙ ОЦЕНКИ
Точность таблиц настоящего приложения лучше чем 0,1 PMV, что обеспечивает разницу между температурой воздуха и средним значением теплового излучения менее 5 °C. Таблицы применяют для относительной влажности воздуха 50%.
Относительная скорость движения воздуха зависит от скорости передвижения тела человека, м/с.
Примечание - 1 метаболическая единица = 1 мет = 58 Вт/м2; 1 единица одежды = 1 кло = 0,155 м2 К/Вт.
При пользовании таблицами необходимо использовать результирующую изоляцию одежды.
Таблица E.1
Уровень активности: 46 Вт/м2 (0,8 мет)
Одежда | Эквивалентная температура, °C | Относительная скорость движения воздуха, м/с |
кло | м2·К/Вт | < 0,10 | 0,10 | 0,15 | 0,20 | 0,30 | 0,40 | 0,50 | 1,00 |
0 | 0 | 27 | -2,55 | -2,55 | | | | | | |
28 | -1,74 | -1,76 | -2,23 | -2,62 | | | | |
29 | -0,93 | -1,02 | -1,42 | -1,75 | | | | |
30 | -0,14 | -0,28 | -0,60 | -0,88 | | | | |
31 | 0,63 | 0,46 | 0,21 | 0,01 | | | | |
32 | 1,39 | 1,21 | 1,04 | 0,89 | | | | |
33 | 2,12 | 1,97 | 1,87 | 1,78 | | | | |
34 | | 2,73 | 2,71 | 2,68 | | | | |
| | | | | | | | | | |
0,25 | 0,039 | 26 | -1,92 | -1,94 | -2,29 | -2,57 | | | | |
27 | -1,30 | -1,36 | -1,67 | -1,92 | -2,31 | -2,62 | | |
28 | -0,69 | -0,78 | -1,05 | -1,26 | -1,60 | -1,87 | -2,10 | -2,89 |
29 | -0,08 | -0,20 | -0,42 | -0,60 | -0,89 | -1,12 | -1,31 | -1,97 |
30 | 0,53 | 0,39 | 0,21 | 0,06 | -0,17 | -0,36 | -0,51 | -1,05 |
31 | 1,12 | 0,99 | 0,84 | 0,73 | 0,55 | 0,41 | 0,29 | -0,13 |
32 | 1,71 | 1,58 | 1,49 | 1,41 | 1,28 | 1,18 | 1,09 | 0,80 |
33 | 2,29 | 2,19 | 2,13 | 2,08 | 2,01 | 1,95 | 1,90 | 1,73 |
| | | | | | | | | | |
0,5 | 0,078 | 25 | -1,54 | -1,59 | -1,84 | -2,04 | -2,34 | -2,57 | | |
26 | -1,04 | -1,12 | -1,34 | -1,51 | -1,78 | -1,98 | -2,15 | |
27 | -0,55 | -0,64 | -0,83 | -0,98 | -1,22 | -1,40 | -1,54 | -2,03 |
28 | -0,05 | -0,15 | -0,32 | -0,45 | -0,65 | -0,81 | -0,93 | -1,35 |
29 | 0,45 | 0,34 | 0,20 | 0,09 | -0,09 | -0,22 | -0,32 | -0,67 |
30 | 0,94 | 0,83 | 0,72 | 0,63 | 0,49 | 0,38 | 0,29 | 0,01 |
31 | 1,44 | 1,33 | 1,24 | 1,17 | 1,06 | 0,98 | 0,91 | 0,69 |
32 | 1,92 | 1,83 | 1,76 | 1,71 | 1,64 | 1,58 | 1,54 | 1,38 |
| | | | | | | | | | |
0,75 | 0,116 | 24 | 1,26 | -1,31 | -1,51 | -1,65 | -1,87 | -2,03 | -2,17 | |
25 | -0,84 | -0,91 | -1,08 | -1,21 | -1,41 | -1,56 | -1,67 | -2,05 |
26 | -0,42 | -0,51 | -0,66 | -0,77 | -0,95 | -1,08 | -1,18 | -1,52 |
27 | -0,01 | -0,10 | -0,23 | -0,33 | -0,49 | -0,60 | -0,69 | -0,98 |
28 | 0,41 | 0,32 | 0,20 | 0,11 | -0,02 | -0,12 | -0,19 | -0,45 |
29 | 0,83 | 0,73 | 0,63 | 0,56 | 0,45 | 0,37 | 0,30 | 0,09 |
30 | 1,25 | 1,15 | 1,07 | 1,01 | 0,93 | 0,86 | 0,81 | 0,63 |
31 | 1,66 | 1,57 | 1,51 | 1,47 | 1,40 | 1,35 | 1,31 | 1,18 |
| | | | | | | | | | |
1,00 | 0,155 | 23 | -1,06 | -1,12 | -1,28 | -1,39 | -1,56 | -1,68 | -1,78 | -2,08 |
24 | -0,71 | -0,77 | -0,91 | -1,02 | -1,17 | -1,28 | -1,37 | -1,65 |
25 | -0,35 | -0,42 | -0,54 | -0,64 | -0,78 | -0,88 | -0,96 | -1,21 |
26 | 0,01 | -0,06 | -0,17 | -0,26 | -0,38 | -0,47 | -0,55 | -0,76 |
27 | 0,37 | 0,29 | 0,20 | 0,12 | 0,01 | -0,06 | -0,13 | -0,32 |
28 | 0,74 | 0,66 | 0,57 | 0,51 | 0,41 | 0,35 | 0,30 | 0,13 |
29 | 1,10 | 1,02 | 0,95 | 0,90 | 0,82 | 0,76 | 0,72 | 0,58 |
30 | 1,46 | 1,39 | 1,33 | 1,29 | 1,22 | 1,18 | 1,14 | 1,03 |
| | | | | | | | | | |
1,50 | 0,233 | 18 | -1,67 | -1,70 | -1,84 | -1,93 | -2,07 | -2,17 | -2,25 | -2,49 |
20 | -1,11 | -1,16 | -1,27 | -1,36 | -1,48 | -1,57 | -1,63 | -1,84 |
22 | -0,55 | -0,60 | -0,70 | -0,77 | -0,88 | -0,95 | -1,01 | -1,18 |
24 | 0,02 | -0,04 | -0,12 | -0,18 | -0,27 | -0,33 | -0,38 | -0,52 |
26 | 0,60 | 0,53 | 0,46 | 0,42 | 0,35 | 0,30 | 0,26 | 0,15 |
28 | 1,17 | 1,11 | 1,06 | 1,02 | 0,97 | 0,94 | 0,91 | 0,82 |
30 | 1,76 | 1,70 | 1,67 | 1,64 | 1,61 | 1,58 | 1,57 | 1,51 |
32 | 2,34 | 2,30 | 2,28 | 2,27 | 2,26 | 2,24 | 2,23 | 2,20 |
| | | | | | | | | | |
2,00 | 0,310 | 14 | -1,84 | -1,87 | -1,98 | -2,06 | -2,18 | -2,26 | -2,32 | -2,49 |
16 | -1,39 | -1,43 | -1,52 | -1,59 | -1,69 | -1,77 | -1,82 | -1,98 |
18 | -0,93 | -0,97 | -1,06 | -1,12 | -1,21 | -1,27 | -1,32 | -1,46 |
20 | -0,46 | -0,52 | -0,59 | -0,64 | -0,72 | 0,77 | -0,82 | -0,94 |
22 | 0,01 | -0,05 | -0,11 | -0,15 | -0,22 | 0,27 | -0,30 | -0,41 |
24 | 0,48 | 0,43 | 0,38 | 0,34 | 0,28 | 0,24 | 0,22 | 0,13 |
26 | 0,97 | 0,91 | 0,87 | 0,84 | 0,80 | 0,76 | 0,74 | 0,67 |
28 | 1,45 | 1,40 | 1,37 | 1,35 | 1,32 | 1,29 | 1,27 | 1,23 |
Таблица E.2
Уровень двигательной активности: 58 Вт/м2 (1 мет)
Одежда | Эквивалентная температура, °C | Относительная скорость движения воздуха, м/с |
кло | м2·К/Вт | < 0,10 | 0,10 | 0,15 | 0,20 | 0,30 | 0,40 | 0,50 | 1,00 |
0 | 0 | 26 | -1,62 | -1,62 | -1,96 | -2,34 | | | | |
27 | -1,00 | -1,00 | -1,36 | -1,69 | | | | |
28 | -0,39 | -0,42 | -0,76 | -1,05 | | | | |
29 | 0,21 | 0,13 | -0,15 | -0,39 | | | | |
30 | 0,80 | 0,68 | 0,45 | 0,26 | | | | |
31 | 1,39 | 1,25 | 1,08 | 0,94 | | | | |
32 | 1,96 | 1,83 | 1,71 | 1,61 | | | | |
33 | 2,50 | 2,41 | 2,34 | 2,29 | | | | |
| | | | | | | | | | |
0,25 | 0,039 | 24 | -1,52 | -1,52 | -1,80 | -2,06 | -2,47 | | | |
25 | -1,05 | -1,05 | -1,33 | -1,57 | -1,94 | -2,24 | -2,48 | |
26 | -0,58 | -0,61 | -0,87 | -1,08 | -1,41 | -1,67 | -1,89 | -2,66 |
27 | -0,12 | -0,17 | -0,40 | -0,58 | -0,87 | -1,10 | -1,29 | -1,97 |
28 | 0,34 | 0,27 | 0,07 | -0,09 | -0,34 | -0,53 | -0,70 | -1,28 |
29 | 0,80 | 0,71 | 0,54 | 0,41 | 0,20 | 0,04 | -0,10 | -0,58 |
30 | 1,25 | 1,15 | 1,02 | 0,91 | 0,74 | 0,61 | 0,50 | 0,11 |
31 | 1,71 | 1,61 | 1,51 | 1,43 | 1,30 | 1,20 | 1,12 | 0,83 |
| | | | | | | | | | |
0,50 | 0,078 | 23 | -1,10 | -1,10 | -1,33 | -1,51 | -1,78 | -1,99 | -2,16 | |
24 | -0,72 | -0,74 | -0,95 | -1,11 | -1,36 | -1,55 | -1,70 | -2,22 |
25 | -0,34 | -0,38 | -0,56 | -0,71 | -0,94 | -1,11 | -1,25 | -1,71 |
26 | 0,04 | -0,01 | -0,18 | -0,31 | -0,51 | -0,66 | -0,79 | -1,19 |
27 | 0,42 | 0,35 | 0,20 | 0,09 | -0,08 | -0,22 | -0,33 | -0,68 |
28 | 0,80 | 0,72 | 0,59 | 0,49 | 0,34 | 0,23 | 0,14 | -0,17 |
29 | 1,17 | 1,08 | 0,98 | 0,90 | 0,77 | 0,68 | 0,60 | 0,34 |
30 | 1,54 | 1,45 | 1,37 | 1,30 | 1,20 | 1,13 | 1,06 | 0,86 |
| | | | | | | | | | |
0,75 | 0,116 | 21 | -1,11 | -1,11 | -1,30 | -1,44 | -1,66 | -1,82 | -1,95 | -2,36 |
22 | -0,79 | -0,81 | -0,98 | -1,11 | -1,31 | -1,46 | -1,58 | -1,95 |
23 | -0,47 | -0,50 | -0,66 | -0,78 | -0,96 | -1,09 | -1,20 | -1,55 |
24 | -0,15 | -0,19 | -0,33 | -0,44 | -0,61 | -0,73 | -0,83 | -1,14 |
25 | 0,17 | 0,12 | -0,01 | -0,11 | -0,26 | -0,37 | -0,46 | -0,74 |
26 | 0,49 | 0,43 | 0,31 | 0,23 | 0,09 | 0,00 | -0,08 | -0,33 |
27 | 0,81 | 0,74 | 0,64 | 0,56 | 0,45 | 0,36 | 0,29 | 0,08 |
28 | 1,12 | 1,05 | 0,96 | 0,90 | 0,80 | 0,73 | 0,67 | 0,48 |
| | | | | | | | | | |
1,00 | 0,0155 | 20 | -0,85 | -0,87 | -1,02 | -1,13 | -1,29 | -1,41 | -1,51 | -1,81 |
21 | -0,57 | -0,60 | -0,74 | -0,84 | -0,99 | -1,11 | -1,19 | -1,47 |
22 | -0,30 | -0,33 | -0,46 | -0,55 | -0,69 | -0,80 | -0,88 | -1,13 |
23 | -0,02 | -0,07 | -0,18 | 0,27 | -0,39 | -0,49 | -0,56 | -0,79 |
24 | 0,26 | 0,20 | 0,10 | 0,02 | -0,09 | -0,18 | -0,25 | -0,46 |
25 | 0,53 | 0,48 | 0,38 | 0,31 | 0,21 | 0,13 | 0,07 | -0,12 |
26 | 0,81 | 0,75 | 0,66 | 0,60 | 0,51 | 0,44 | 0,39 | 0,22 |
27 | 1,08 | 1,02 | 0,95 | 0,89 | 0,81 | 0,75 | 0,71 | 0,56 |
| | | | | | | | | | |
1,50 | 0,233 | 14 | -1,36 | -1,36 | -1,49 | -1,58 | -1,72 | -1,82 | -1,89 | -2,12 |
16 | -0,94 | -0,95 | -1,07 | -1,15 | -1,27 | -1,36 | -1,43 | -1,63 |
18 | -0,52 | -0,54 | -0,64 | -0,72 | -0,82 | -0,90 | -0,96 | -1,14 |
20 | -0,09 | -0,13 | -0,22 | -0,28 | -0,37 | -0,44 | -0,49 | -0,65 |
22 | 0,35 | 0,30 | 0,23 | 0,18 | 0,10 | 0,04 | 0,00 | -0,14 |
24 | 0,79 | 0,74 | 0,68 | 0,63 | 0,57 | 0,52 | 0,49 | 0,37 |
26 | 1,23 | 1,18 | 1,13 | 1,09 | 1,04 | 1,01 | 0,98 | 0,89 |
28 | 1,67 | 1,62 | 1,58 | 1,56 | 1,52 | 1,49 | 1,47 | 1,40 |
| | | | | | | | | | |
2,00 | 0,310 | 10 | -1,38 | -1,39 | -1,49 | -1,56 | -1,67 | -1,74 | -1,80 | -1,96 |
12 | -1,03 | -1,05 | -1,14 | -1,21 | -1,30 | -1,37 | -1,42 | -1,57 |
14 | -0,68 | -0,70 | -0,79 | -0,85 | -0,93 | -0,99 | -1,04 | -1,17 |
16 | -0,32 | -0,35 | -0,43 | -0,48 | -0,56 | -0,61 | -0,65 | -0,77 |
18 | 0,03 | -0,00 | -0,07 | -0,11 | -0,18 | -0,23 | -0,26 | -0,37 |
20 | 0,40 | 0,36 | 0,30 | 0,26 | 0,20 | 0,16 | 0,13 | 0,04 |
22 | 0,76 | 0,72 | 0,67 | 0,64 | 0,59 | 0,55 | 0,53 | 0,45 |
24 | 1,13 | 1,09 | 1,05 | 1,02 | 0,98 | 0,95 | 0,93 | 0,87 |
Таблица E.3
Уровень двигательной активности: 69,6 Вт/м2 (1,2 мет)
Одежда | Эквивалентная температура, °C | Относительная скорость движения воздуха, м/с |
кло | м2·К/Вт | < 0,10 | 0,10 | 0,15 | 0,20 | 0,30 | 0,40 | 0,50 | 1,00 |
0 | 0 | 25 | -1,33 | -1,33 | -1,59 | -1,92 | | | | |
26 | -0,83 | -0,83 | -1,11 | -1,40 | | | | |
27 | -0,33 | -0,33 | -0,63 | -0,88 | | | | |
28 | 0,15 | 0,12 | -0,14 | -0,36 | | | | |
29 | 0,63 | 0,56 | 0,35 | 0,17 | | | | |
30 | 1,10 | 1,01 | 0,84 | 0,69 | | | | |
31 | 1,57 | 1,47 | 1,34 | 1,24 | | | | |
32 | 2,03 | 1,93 | 1,85 | 1,78 | | | | |
| | | | | | | | | | |
0,25 | 0,039 | 23 | -1,18 | -1,18 | -1,39 | -1,61 | -1,97 | -2,25 | | |
24 | -0,79 | -0,79 | -1,02 | -1,22 | -1,54 | -1,80 | -2,01 | |
25 | -0,42 | -0,42 | -0,64 | -0,83 | -1,11 | -1,34 | -1,54 | -2,21 |
26 | -0,04 | -0,07 | -0,27 | -0,43 | -0,68 | -0,89 | -1,06 | -1,65 |
27 | 0,33 | 0,29 | 0,11 | -0,03 | -0,25 | -0,43 | -0,58 | -1,09 |
28 | 0,71 | 0,64 | 0,49 | 0,37 | 0,18 | 0,03 | -0,10 | -0,54 |
29 | 1,07 | 0,99 | 0,87 | 0,77 | 0,61 | 0,49 | 0,39 | 0,03 |
30 | 1,43 | 1,35 | 1,25 | 1,17 | 1,05 | 0,95 | 0,87 | 0,58 |
| | | | | | | | | | |
0,50 | 0,078 | 18 | -2,01 | -2,01 | -2,17 | -2,38 | -2,70 | | | |
20 | -1,41 | -1,41 | -1,58 | -1,76 | -2,04 | -2,25 | -2,42 | |
22 | -0,79 | -0,79 | -0,97 | -1,13 | -1,36 | -1,54 | -1,69 | -2,17 |
24 | -0,17 | -0,20 | -0,36 | -0,48 | -0,68 | -0,83 | -0,95 | -1,35 |
26 | 0,44 | 0,39 | 0,26 | 0,16 | -0,01 | -0,11 | -0,21 | -0,52 |
28 | 1,05 | 0,98 | 0,88 | 0,81 | 0,70 | 0,61 | 0,54 | -0,31 |
30 | 1,64 | 1,57 | 1,51 | 1,46 | 1,39 | 1,33 | 1,29 | 1,14 |
32 | 2,25 | 2,20 | 2,17 | 2,15 | 2,11 | 2,09 | 2,07 | 1,99 |
| | | | | | | | | | |
0,75 | 0,116 | 16 | -1,77 | -1,77 | -1,91 | -2,07 | -2,31 | -2,49 | | |
18 | -1,27 | -1,27 | -1,42 | -1,56 | -1,77 | -1,93 | -2,05 | -2,45 |
20 | -0,77 | -0,77 | -0,92 | -1,04 | -1,23 | -1,36 | -1,47 | -1,82 |
22 | -0,25 | -0,27 | -0,40 | -0,51 | -0,66 | -0,78 | -0,87 | -1,17 |
24 | 0,27 | 0,23 | 0,12 | 0,03 | -0,10 | -0,19 | -0,27 | -0,51 |
26 | 0,78 | 0,73 | 0,64 | 0,57 | 0,47 | 0,40 | 0,34 | 0,14 |
28 | 1,29 | 1,23 | 1,17 | 1,12 | 1,04 | 0,99 | 0,94 | 0,80 |
30 | 1,80 | 1,74 | 1,70 | 1,67 | 1,62 | 1,58 | 1,55 | 1,46 |
| | | | | | | | | | |
1,00 | 0,155 | 16 | -1,18 | -1,18 | -1,31 | -1,43 | -1,59 | -1,72 | -1,82 | -2,12 |
18 | -0,75 | -0,75 | -0,88 | -0,98 | -1,13 | -1,24 | -1,33 | -1,59 |
20 | -0,32 | -0,33 | -0,45 | -0,54 | -0,67 | -0,76 | -0,83 | -1,07 |
22 | 0,13 | 0,10 | 0,00 | -0,07 | -0,18 | -0,26 | -0,32 | -0,52 |
24 | 0,58 | 0,54 | 0,46 | 0,40 | 0,31 | 0,24 | 0,19 | 0,02 |
26 | 1,03 | 0,98 | 0,91 | 0,86 | 0,79 | 0,74 | 0,70 | 0,58 |
28 | 1,47 | 1,42 | 1,37 | 1,34 | 1,28 | 1,24 | 1,21 | 1,12 |
30 | 1,91 | 1,86 | 1,83 | 1,81 | 1,78 | 1,75 | 1,73 | 1,67 |
| | | | | | | | | | |
1,50 | 0,233 | 12 | -1,09 | -1,09 | -1,19 | -1,27 | -1,39 | -1,48 | -1,55 | -1,75 |
14 | -0,75 | -0,75 | -0,85 | -0,93 | -1,03 | -1,11 | -1,17 | -1,35 |
16 | -0,41 | -0,42 | -0,51 | -0,58 | -0,67 | -0,74 | -0,79 | -0,96 |
18 | -0,06 | -0,09 | -0,17 | -0,22 | -0,31 | -0,37 | -0,42 | -0,56 |
20 | 0,28 | 0,25 | 0,18 | 0,13 | 0,05 | 0,00 | -0,04 | -0,16 |
22 | 0,63 | 0,60 | 0,54 | 0,50 | 0,44 | 0,39 | 0,36 | 0,25 |
24 | 0,99 | 0,95 | 0,91 | 0,87 | 0,82 | 0,78 | 0,76 | 0,67 |
26 | 1,35 | 1,31 | 1,27 | 1,24 | 1,20 | 1,18 | 1,15 | 1,08 |
| | | | | | | | | | |
2,00 | 0,310 | 10 | -0,77 | -0,78 | -0,86 | -0,92 | -1,01 | -1,06 | -1,11 | -1,24 |
12 | -0,49 | -0,51 | -0,58 | -0,63 | -0,71 | -0,76 | -0,80 | -0,92 |
14 | -0,21 | -0,23 | -0,29 | -0,34 | -0,41 | -0,46 | -0,49 | -0,60 |
16 | 0,08 | 0,06 | -0,00 | -0,04 | -0,10 | -0,15 | -0,18 | -0,27 |
18 | 0,37 | 0,34 | 0,29 | 0,26 | 0,20 | 0,17 | 0,14 | 0,05 |
20 | 0,67 | 0,63 | 0,59 | 0,56 | 0,52 | 0,48 | 0,46 | 0,39 |
22 | 0,97 | 0,93 | 0,89 | 0,87 | 0,83 | 0,80 | 0,78 | 0,72 |
24 | 1,27 | 1,23 | 1,20 | 1,18 | 1,15 | 1,13 | 1,11 | 1,06 |
Таблица E.4
Уровень двигательной активности: 81,2 Вт/м2 (1,4 мет)
Одежда | Эквивалентная температура, °C | Относительная скорость движения воздуха, м/с |
кло | м2·К/Вт | < 0,10 | 0,10 | 0,15 | 0,20 | 0,30 | 0,40 | 0,50 | 1,00 |
0 | 0 | 24 | -1,14 | -1,14 | -1,35 | -1,65 | | | | |
25 | -0,72 | -0,72 | -0,95 | -1,21 | | | | |
26 | -0,30 | -0,30 | -0,54 | -0,78 | | | | |
27 | 0,11 | 0,11 | -0,14 | -0,34 | | | | |
28 | 0,52 | 0,48 | 0,27 | 0,10 | | | | |
29 | 0,92 | 0,85 | 0,69 | 0,54 | | | | |
30 | 1,31 | 1,23 | 1,10 | 0,99 | | | | |
31 | 1,71 | 1,62 | 1,52 | 1,45 | | | | |
| | | | | | | | | | |
0,25 | 0,039 | 22 | -0,95 | -0,95 | -1,12 | -1,33 | -1,64 | -1,90 | -2,11 | |
23 | -0,63 | -0,63 | -0,81 | -0,99 | -1,28 | -1,51 | -1,71 | -2,38 |
24 | -0,31 | -0,31 | -0,50 | -0,66 | -0,92 | -1,13 | -1,31 | -1,91 |
25 | 0,01 | 0,00 | -0,18 | -0,33 | -0,56 | -0,75 | -0,90 | -1,45 |
26 | 0,33 | 0,30 | 0,14 | 0,01 | -0,20 | -0,36 | -0,50 | -0,98 |
27 | 0,64 | 0,59 | 0,45 | 0,34 | 0,16 | 0,02 | -0,10 | -0,51 |
28 | 0,95 | 0,89 | 0,77 | 0,68 | 0,53 | 0,41 | 0,31 | -0,04 |
29 | 1,26 | 1,19 | 1,09 | 1,02 | 0,89 | 0,80 | 0,72 | 0,43 |
| | | | | | | | | | |
0,50 | 0,078 | 18 | -1,36 | -1,36 | -1,49 | -1,66 | -1,93 | -2,12 | -2,29 | |
20 | -0,85 | -0,85 | -1,00 | -1,14 | -1,37 | -1,54 | -1,68 | -2,15 |
22 | -0,33 | -0,33 | -0,48 | -0,61 | -0,80 | -0,95 | -1,06 | -1,46 |
24 | 0,19 | 0,17 | 0,04 | -0,07 | -0,22 | -0,34 | -0,44 | -0,76 |
26 | 0,71 | 0,66 | 0,56 | 0,48 | 0,35 | 0,26 | 0,18 | -0,07 |
28 | 1,22 | 1,16 | 1,09 | 1,03 | 0,94 | 0,87 | 0,81 | 0,63 |
30 | 1,72 | 1,66 | 1,62 | 1,58 | 1,52 | 1,48 | 1,44 | 1,33 |
32 | 2,23 | 2,19 | 2,17 | 2,16 | 2,13 | 2,11 | 2,10 | 2,05 |
| | | | | | | | | | |
0,75 | 0,116 | 16 | -1,17 | -1,17 | -1,29 | -1,42 | -1,62 | -1,77 | -1,88 | -2,26 |
18 | -0,75 | -0,75 | -0,87 | -0,99 | -1,16 | -1,29 | -1,39 | -1,72 |
20 | -0,33 | -0,33 | -0,45 | -0,55 | -0,70 | -0,82 | -0,91 | -1,19 |
22 | 0,11 | 0,09 | -0,02 | -0,10 | -0,23 | -0,32 | -0,40 | -0,64 |
24 | 0,55 | 0,51 | 0,42 | 0,35 | 0,25 | 0,17 | 0,11 | -0,09 |
26 | 0,98 | 0,94 | 0,87 | 0,81 | 0,73 | 0,67 | 0,62 | 0,47 |
28 | 1,41 | 1,36 | 1,31 | 1,27 | 1,21 | 1,17 | 1,13 | 1,02 |
30 | 1,84 | 1,79 | 1,76 | 1,73 | 1,70 | 1,67 | 1,65 | 1,58 |
| | | | | | | | | | |
1,00 | 0,155 | 14 | -1,05 | -1,05 | -1,16 | -1,26 | -1,42 | -1,53 | -1,62 | -1,91 |
16 | -0,69 | -0,69 | -0,80 | -0,89 | -1,03 | -1,13 | -1,21 | -1,46 |
18 | -0,32 | -0,32 | -0,43 | -0,52 | -0,64 | -0,73 | -0,80 | -1,02 |
20 | 0,04 | 0,03 | -0,07 | -0,14 | -0,25 | -0,32 | -0,38 | -0,58 |
22 | 0,42 | 0,39 | 0,31 | 0,25 | 0,16 | 0,10 | 0,05 | -0,12 |
24 | 0,80 | 0,76 | 0,70 | 0,65 | 0,57 | 0,52 | 0,48 | 0,35 |
26 | 1,18 | 1,13 | 1,08 | 1,04 | 0,99 | 0,95 | 0,91 | 0,81 |
28 | 1,55 | 1,51 | 1,47 | 1,44 | 1,40 | 1,37 | 1,35 | 1,27 |
| | | | | | | | | | |
1,50 | 0,233 | 10 | -0,91 | -0,91 | -1,00 | -1,08 | -1,18 | -1,26 | -1,32 | -1,51 |
12 | -0,63 | -0,63 | -0,71 | -0,78 | -0,88 | -0,95 | -1,01 | -1,17 |
14 | -0,34 | -0,34 | -0,43 | -0,49 | -0,58 | -0,64 | -0,69 | -0,84 |
16 | -0,05 | -0,06 | -0,14 | -0,19 | -0,27 | -0,33 | -0,37 | -0,50 |
18 | 0,24 | 0,22 | 0,15 | 0,11 | 0,04 | -0,01 | -0,05 | -0,17 |
20 | 0,53 | 0,50 | 0,45 | 0,40 | 0,34 | 0,30 | 0,27 | 0,17 |
22 | 0,83 | 0,80 | 0,75 | 0,72 | 0,67 | 0,63 | 0,60 | 0,52 |
24 | 1,13 | 1,10 | 1,06 | 1,03 | 0,99 | 0,96 | 0,94 | 0,87 |
| | | | | | | | | | |
2,00 | 0,310 | 10 | -0,37 | -0,38 | -0,44 | -0,49 | -0,56 | -0,61 | -0,65 | -0,76 |
12 | -0,13 | -0,14 | -0,20 | -0,25 | -0,31 | -0,35 | -0,39 | -0,49 |
14 | 0,11 | 0,09 | 0,04 | 0,00 | -0,05 | -0,09 | -0,12 | -0,21 |
16 | 0,36 | 0,34 | 0,29 | 0,25 | 0,20 | 0,17 | 0,14 | 0,06 |
18 | 0,60 | 0,58 | 0,54 | 0,51 | 0,46 | 0,43 | 0,41 | 0,34 |
20 | 0,85 | 0,83 | 0,79 | 0,77 | 0,73 | 0,70 | 0,68 | 0,62 |
22 | 1,11 | 1,08 | 1,05 | 1,03 | 0,99 | 0,97 | 0,95 | 0,91 |
24 | 1,36 | 1,34 | 1,31 | 1,29 | 1,27 | 1,25 | 1,23 | 1,19 |
Таблица E.5
Уровень двигательной активности: 92,8 Вт/м2 (1,6 мет)
Одежда | Эквивалентная температура, °C | Относительная скорость движения воздуха, м/с |
кло | м2·К/Вт | < 0,10 | 0,10 | 0,15 | 0,20 | 0,30 | 0,40 | 0,50 | 1,00 |
0 | 0 | 23 | -1,12 | -1,12 | -1,29 | -1,57 | | | | |
24 | -0,74 | -0,74 | -0,93 | -1,18 | | | | |
25 | -0,36 | -0,36 | -0,57 | -0,79 | | | | |
26 | 0,01 | 0,01 | -0,20 | -0,40 | | | | |
27 | 0,38 | 0,37 | 0,17 | 0,00 | | | | |
28 | 0,75 | 0,70 | 0,53 | 0,39 | | | | |
29 | 1,11 | 1,04 | 0,90 | 0,79 | | | | |
30 | 1,46 | 1,38 | 1,27 | 1,19 | | | | |
| | | | | | | | | | |
0,25 | 0,039 | 16 | -2,29 | -2,29 | -2,36 | -2,62 | | | | |
18 | -1,72 | -1,72 | -1,83 | -2,06 | -2,42 | | | |
20 | -1,15 | -1,15 | -1,29 | -1,49 | -1,80 | -2,05 | -2,26 | |
22 | -0,58 | -0,58 | -0,73 | -0,90 | -1,17 | -1,38 | -1,55 | -2,17 |
24 | -0,01 | -0,01 | -0,17 | -0,31 | -0,53 | -0,70 | -0,84 | -1,35 |
26 | 0,56 | 0,53 | 0,39 | 0,29 | 0,12 | -0,02 | -0,13 | -0,51 |
28 | 1,12 | 1,06 | 0,96 | 0,89 | 0,77 | 0,67 | 0,59 | 0,33 |
30 | 1,66 | 1,60 | 1,54 | 1,49 | 1,42 | 1,36 | 1,31 | 1,14 |
| | | | | | | | | | |
0,50 | 0,078 | 14 | -1,85 | -1,85 | -1,94 | -2,12 | -2,40 | | | |
16 | -1,40 | -1,40 | -1,50 | -1,67 | -1,92 | -2,11 | -2,26 | |
18 | -0,95 | -0,95 | -1,07 | -1,21 | -1,43 | -1,59 | -1,73 | -2,18 |
20 | -0,49 | -0,49 | -0,62 | -0,75 | -0,94 | -1,08 | -1,20 | -1,59 |
22 | -0,03 | -0,03 | -0,16 | -0,27 | -0,43 | -0,55 | -0,65 | -0,98 |
24 | 0,43 | 0,41 | 0,30 | 0,21 | 0,08 | -0,02 | -0,10 | -0,37 |
26 | 0,89 | 0,85 | 0,76 | 0,70 | 0,60 | 0,52 | 0,46 | 0,25 |
28 | 1,34 | 1,29 | 1,23 | 1,18 | 1,11 | 1,06 | 1,01 | 0,86 |
| | | | | | | | | | |
0,75 | 0,116 | 14 | -1,16 | -1,16 | -1,26 | -1,38 | -1,57 | -1,71 | -1,82 | -2,17 |
16 | -0,79 | -0,79 | -0,89 | -1,00 | -1,17 | -1,29 | -1,39 | -1,70 |
18 | -0,41 | -0,41 | -0,52 | -0,62 | -0,76 | -0,87 | -0,96 | -1,23 |
20 | -0,04 | -0,04 | -0,15 | -0,23 | -0,36 | -0,45 | -0,52 | -0,76 |
22 | 0,35 | 0,33 | 0,24 | 0,17 | 0,07 | -0,01 | -0,07 | -0,27 |
24 | 0,74 | 0,71 | 0,63 | 0,58 | 0,49 | 0,43 | 0,38 | 0,21 |
26 | 1,12 | 1,08 | 1,03 | 0,98 | 0,92 | 0,87 | 0,83 | 0,70 |
28 | 1,51 | 1,46 | 1,42 | 1,39 | 1,34 | 1,31 | 1,28 | 1,19 |
| | | | | | | | | | |
1,00 | 0,155 | 12 | -1,01 | -1,01 | -1,10 | -1,19 | -1,34 | -1,45 | -1,53 | -1,79 |
14 | -0,68 | -0,68 | -0,78 | -0,87 | -1,00 | -1,09 | -1,17 | -1,40 |
16 | -0,36 | -0,36 | -0,46 | -0,53 | -0,65 | -0,74 | -0,80 | -1,01 |
18 | -0,04 | -0,04 | -0,13 | -0,20 | -0,30 | -0,38 | -0,44 | -0,62 |
20 | 0,28 | 0,27 | 0,19 | 0,13 | 0,04 | -0,02 | -0,07 | -0,21 |
22 | 0,62 | 0,59 | 0,53 | 0,48 | 0,41 | 0,35 | 0,31 | 0,17 |
24 | 0,96 | 0,92 | 0,87 | 0,83 | 0,77 | 0,73 | 0,69 | 0,58 |
26 | 1,29 | 1,25 | 1,21 | 1,18 | 1,14 | 1,10 | 1,07 | 0,99 |
| | | | | | | | | | |
1,50 | 0,223 | 10 | -0,57 | -0,57 | -0,65 | -0,71 | -0,80 | -0,86 | -0,92 | -1,07 |
12 | -0,32 | -0,32 | -0,39 | -0,45 | -0,53 | -0,59 | -0,64 | -0,78 |
14 | -0,06 | -0,07 | -0,14 | -0,19 | -0,26 | -0,31 | -0,36 | -0,48 |
16 | 0,19 | 0,18 | 0,12 | 0,07 | 0,01 | -0,04 | -0,07 | -0,19 |
18 | 0,45 | 0,43 | 0,38 | 0,34 | 0,28 | 0,24 | 0,21 | 0,11 |
20 | 0,71 | 0,68 | 0,64 | 0,60 | 0,55 | 0,52 | 0,49 | 0,41 |
22 | 0,97 | 0,95 | 0,91 | 0,88 | 0,84 | 0,81 | 0,79 | 0,72 |
| | | | | | | | | | |
2,00 | 0,310 | 10 | -0,08 | -0,08 | -0,14 | -0,18 | -0,24 | -0,29 | -0,32 | -0,41 |
12 | 0,14 | 0,12 | 0,07 | 0,03 | -0,02 | -0,06 | -0,09 | -0,17 |
14 | 0,35 | 0,33 | 0,29 | 0,25 | 0,20 | 0,17 | 0,14 | 0,07 |
16 | 0,57 | 0,54 | 0,50 | 0,47 | 0,43 | 0,40 | 0,38 | 0,31 |
18 | 0,78 | 0,76 | 0,73 | 0,70 | 0,66 | 0,63 | 0,61 | 0,56 |
20 | 1,00 | 0,98 | 0,95 | 0,93 | 0,89 | 0,87 | 0,85 | 0,80 |
22 | 1,23 | 1,20 | 1,18 | 1,16 | 1,13 | 1,11 | 1,10 | 1,06 |
Таблица E.6
Уровень двигательной активности: 104,4 Вт/м2 (1,8 мет)
Одежда | Эквивалентная температура, °C | Относительная скорость движения воздуха, м/с |
кло | м2·К/Вт | < 0,10 | 0,10 | 0,15 | 0,20 | 0,30 | 0,40 | 0,50 | 1,00 |
0 | 0 | 22 | -1,05 | -1,05 | -1,19 | -1,46 | | | | |
23 | -0,70 | -0,70 | -0,86 | -1,11 | | | | |
24 | -0,36 | -0,36 | -0,53 | -0,75 | | | | |
25 | -0,01 | -0,01 | -0,20 | -0,40 | | | | |
26 | 0,32 | 0,32 | 0,13 | -0,04 | | | | |
27 | 0,66 | 0,63 | 0,46 | 0,32 | | | | |
28 | 0,99 | 0,94 | 0,80 | 0,68 | | | | |
29 | 1,31 | 1,25 | 1,13 | 1,04 | | | | |
| | | | | | | | | | |
0,25 | 0,039 | 16 | -1,79 | -1,79 | -1,86 | -2,09 | -2,46 | | | |
18 | -1,28 | -1,28 | -1,38 | -1,58 | -1,90 | -2,16 | -2,37 | |
20 | -0,76 | -0,76 | -0,89 | -1,06 | -1,34 | -1,56 | -1,75 | -2,39 |
22 | -0,24 | -0,24 | -0,38 | -0,53 | -0,76 | -0,95 | -1,10 | -1,65 |
24 | 0,28 | 0,28 | 0,13 | 0,01 | -0,18 | -0,33 | -0,46 | -0,90 |
26 | 0,79 | 0,76 | 0,64 | 0,55 | 0,40 | 0,29 | 0,19 | -0,15 |
28 | 1,29 | 1,24 | 1,16 | 1,10 | 0,99 | 0,91 | 0,84 | 0,60 |
30 | 1,79 | 1,73 | 1,68 | 1,65 | 1,59 | 1,54 | 1,50 | 1,36 |
| | | | | | | | | | |
0,50 | 0,078 | 14 | -1,42 | -1,42 | -1,50 | -1,66 | -1,91 | -2,10 | -2,25 | |
16 | -1,01 | -1,01 | -1,10 | -1,25 | -1,47 | -1,64 | -1,77 | -2,23 |
18 | -0,59 | -0,59 | -0,70 | -0,83 | -1,02 | -1,17 | -1,29 | -1,69 |
20 | -0,18 | -0,18 | -0,30 | -0,41 | -0,58 | -0,71 | -0,81 | -1,15 |
22 | 0,24 | 0,23 | 0,12 | 0,02 | -0,12 | -0,22 | -0,31 | -0,60 |
24 | 0,66 | 0,63 | 0,54 | 0,46 | 0,35 | 0,26 | 0,19 | -0,04 |
26 | 1,07 | 1,03 | 0,96 | 0,90 | 0,82 | 0,75 | 0,69 | 0,51 |
28 | 1,48 | 1,44 | 1,39 | 1,35 | 1,29 | 1,24 | 1,20 | 1,07 |
| | | | | | | | | | |
0,75 | 0,116 | 12 | -1,15 | -1,15 | -1,23 | -1,35 | -1,53 | -1,67 | -1,78 | -2,13 |
14 | -0,81 | -0,81 | -0,89 | -1,00 | -1,17 | -1,29 | -1,39 | -1,70 |
16 | -0,46 | -0,46 | -0,56 | -0,66 | -0,80 | -0,91 | -1,00 | -1,28 |
18 | -0,12 | -0,12 | -0,22 | -0,31 | -0,43 | -0,53 | -0,61 | -0,85 |
20 | 0,22 | 0,21 | 0,12 | 0,04 | -0,07 | -0,15 | -0,21 | -0,42 |
22 | 0,57 | 0,55 | 0,47 | 0,41 | 0,32 | 0,25 | 0,20 | 0,02 |
24 | 0,92 | 0,89 | 0,83 | 0,78 | 0,71 | 0,65 | 0,60 | 0,46 |
26 | 1,28 | 1,24 | 1,19 | 1,15 | 1,09 | 1,05 | 1,02 | 0,91 |
| | | | | | | | | | |
1,00 | 0,155 | 10 | -0,97 | -0,97 | -1,04 | -1,14 | -1,28 | -1,39 | -1,47 | -1,73 |
12 | -0,68 | -0,68 | -0,76 | -0,84 | -0,97 | -1,07 | -1,14 | -1,38 |
14 | -0,38 | -0,38 | -0,46 | -0,54 | -0,66 | -0,74 | -0,81 | -1,02 |
16 | -0,09 | -0,09 | -0,17 | -0,24 | -0,35 | -0,42 | -0,48 | -0,67 |
18 | 0,21 | 0,20 | 0,12 | 0,06 | -0,03 | -0,10 | -0,15 | -0,31 |
20 | 0,50 | 0,48 | 0,42 | 0,36 | 0,29 | 0,23 | 0,18 | 0,04 |
22 | 0,81 | 0,78 | 0,73 | 0,68 | 0,62 | 0,57 | 0,53 | 0,41 |
24 | 1,11 | 1,08 | 1,04 | 1,00 | 0,95 | 0,91 | 0,88 | 0,78 |
| | | | | | | | | | |
1,50 | 0,233 | 10 | -0,29 | -0,29 | -0,36 | -0,42 | -0,50 | -0,56 | -0,60 | -0,74 |
14 | 0,17 | 0,17 | 0,11 | 0,06 | -0,01 | -0,05 | -0,09 | -0,20 |
18 | 0,64 | 0,62 | 0,57 | 0,54 | 0,49 | 0,45 | 0,42 | 0,34 |
22 | 1,12 | 1,09 | 1,06 | 1,03 | 1,00 | 0,97 | 0,95 | 0,89 |
26 | 1,61 | 1,58 | 1,56 | 1,55 | 1,52 | 1,51 | 1,50 | 1,46 |
| | | | | | | | | | |
2,00 | 0,310 | 10 | 0,15 | 0,15 | 0,09 | 0,06 | 0,00 | -0,03 | -0,06 | -0,15 |
14 | 0,54 | 0,53 | 0,49 | 0,46 | 0,41 | 0,38 | 0,36 | 0,29 |
18 | 0,94 | 0,92 | 0,89 | 0,86 | 0,83 | 0,81 | 0,79 | 0,74 |
22 | 1,35 | 1,32 | 1,30 | 1,28 | 1,26 | 1,24 | 1,23 | 1,19 |
26 | 1,76 | 1,74 | 1,73 | 1,72 | 1,70 | 1,70 | 1,69 | 1,66 |
Таблица E.7
Уровень двигательной активности: 116 Вт/м2 (2,0 мет)
Одежда | Эквивалентная температура, °C | Относительная скорость движения воздуха, м/с |
кло | м2·К/Вт | < 0,10 | 0,10 | 0,15 | 0,20 | 0,30 | 0,40 | 0,50 | 1,00 |
0 | 0 | 18 | | -2,00 | -2,02 | -2,35 | | | | |
20 | | -1,35 | -1,43 | -1,72 | | | | |
22 | | -0,69 | -0,82 | -1,06 | | | | |
24 | | -0,04 | -0,21 | -0,41 | | | | |
26 | | 0,59 | 0,41 | 0,26 | | | | |
28 | | 1,16 | 1,03 | 0,93 | | | | |
30 | | 1,73 | 1,66 | 1,60 | | | | |
32 | | 2,33 | 2,32 | 2,31 | | | | |
| | | | | | | | | | |
0,25 | 0,039 | 16 | | -1,41 | -1,48 | -1,69 | -2,02 | -2,29 | -2,51 | |
18 | | -0,93 | -1,03 | -1,21 | -1,50 | -1,74 | -1,93 | -2,61 |
20 | | -0,45 | -0,57 | -0,73 | -0,98 | -1,18 | -1,35 | -1,93 |
22 | | 0,04 | -0,09 | -0,23 | -0,44 | -0,61 | -0,75 | -1,24 |
24 | | 0,52 | 0,38 | 0,28 | 0,10 | -0,03 | -0,14 | -0,54 |
26 | | 0,97 | 0,86 | 0,78 | 0,65 | 0,55 | 0,46 | 0,18 |
28 | | 1,42 | 1,35 | 1,29 | 1,20 | 1,13 | 1,07 | 0,90 |
30 | | 1,88 | 1,84 | 1,81 | 1,76 | 1,72 | 1,68 | 1,57 |
| | | | | | | | | | |
0,50 | 0,078 | 14 | | -1,08 | -1,16 | -1,31 | -1,53 | -1,71 | -1,85 | -2,32 |
16 | | -0,69 | -0,79 | -0,92 | -1,12 | -1,27 | -1,40 | -1,82 |
18 | | -0,31 | -0,41 | -0,53 | -0,70 | -0,84 | -0,95 | -1,31 |
20 | | 0,07 | -0,04 | -0,14 | -0,29 | -0,40 | -0,50 | -0,81 |
22 | | 0,46 | 0,35 | 0,27 | 0,15 | 0,05 | -0,03 | -0,29 |
24 | | 0,83 | 0,75 | 0,68 | 0,58 | 0,50 | 0,44 | 0,23 |
26 | | 1,21 | 1,15 | 1,10 | 1,02 | 0,96 | 0,91 | 0,75 |
28 | | 1,59 | 1,55 | 1,51 | 1,46 | 1,42 | 1,38 | 1,27 |
| | | | | | | | | | |
0,75 | 0,116 | 10 | | -1,16 | -1,23 | -1,35 | -1,54 | -1,67 | -1,78 | -2,14 |
12 | | -0,84 | -0,92 | -1,03 | -1,20 | -1,32 | -1,42 | -1,74 |
14 | | -0,52 | -0,60 | -0,70 | -0,85 | -0,97 | -1,06 | -1,34 |
16 | | -0,20 | -0,29 | -0,38 | -0,51 | -0,61 | -0,69 | -0,95 |
18 | | 0,12 | 0,03 | -0,05 | -0,17 | -0,26 | -0,32 | -0,55 |
20 | | 0,43 | 0,34 | 0,28 | 0,18 | 0,10 | 0,04 | -0,15 |
22 | | 0,75 | 0,68 | 0,62 | 0,54 | 0,48 | 0,43 | 0,27 |
24 | | 1,07 | 1,01 | 0,97 | 0,90 | 0,85 | 0,81 | 0,68 |
| | | | | | | | | | |
1,00 | 0,155 | 10 | | -0,68 | -0,75 | -0,84 | -0,97 | -1,07 | -1,15 | -1,38 |
12 | | -0,41 | -0,48 | -0,56 | -0,68 | -0,77 | -0,84 | -1,05 |
14 | | -0,13 | -0,21 | -0,28 | -0,39 | -0,47 | -0,53 | -0,72 |
16 | | 0,14 | 0,06 | 0,00 | -0,10 | -0,16 | -0,22 | -0,39 |
18 | | 0,41 | 0,34 | 0,28 | 0,20 | 0,14 | 0,09 | -0,04 |
20 | | 0,68 | 0,61 | 0,57 | 0,50 | 0,44 | 0,40 | 0,28 |
22 | | 0,96 | 0,91 | 0,87 | 0,81 | 0,76 | 0,73 | 0,62 |
| | | | | | | | | | |
1,50 | 0,233 | 10 | | -0,04 | -0,11 | -0,16 | -0,24 | -0,29 | -0,33 | -0,46 |
14 | | 0,39 | 0,33 | 0,29 | 0,23 | 0,18 | 0,15 | 0,04 |
18 | | 0,82 | 0,78 | 0,75 | 0,70 | 0,66 | 0,64 | 0,56 |
22 | | 1,27 | 1,24 | 1,22 | 1,18 | 1,16 | 1,14 | 1,08 |
| | | | | | | | | | |
2,00 | 0,310 | 10 | | 0,34 | 0,30 | 0,26 | 0,21 | 0,18 | 0,15 | 0,07 |
14 | | 0,70 | 0,66 | 0,64 | 0,60 | 0,57 | 0,55 | 0,49 |
18 | | 1,07 | 1,04 | 1,02 | 0,99 | 0,97 | 0,95 | 0,90 |
22 | | 1,45 | 1,42 | 1,42 | 1,39 | 1,38 | 1,37 | 1,33 |
Таблица E.8
Уровень двигательной активности: 174 Вт/м2 (3,0 мет)
Одежда | Эквивалентная температура, °C | Относительная скорость движения воздуха, м/с |
кло | м2·К/Вт | < 0,10 | 0,10 | 0,15 | 0,20 | 0,30 | 0,40 | 0,50 | 1,00 |
0 | 0 | 14 | | | | -1,92 | -2,49 | | | |
16 | | | | -1,36 | -1,87 | | | |
18 | | | | -0,80 | -1,24 | | | |
20 | | | | -0,24 | -0,61 | | | |
22 | | | | 0,34 | 0,04 | | | |
24 | | | | 0,93 | 0,70 | | | |
26 | | | | 1,52 | 1,36 | | | |
28 | | | | 2,12 | 2,02 | | | |
| | | | | | | | | | |
0,25 | 0,039 | 12 | | | | -1,19 | -1,53 | -1,80 | -2,02 | |
14 | | | | -0,77 | -1,07 | -1,31 | -1,51 | -2,21 |
16 | | | | -0,35 | -0,61 | -0,82 | -1,00 | -1,61 |
18 | | | | 0,08 | -0,15 | -0,33 | -0,48 | -1,01 |
20 | | | | 0,51 | 0,32 | 0,17 | 0,04 | -0,41 |
22 | | | | 0,96 | 0,80 | 0,68 | 0,57 | 0,24 |
24 | | | | 1,41 | 1,29 | 1,19 | 1,11 | 0,87 |
26 | | | | 1,87 | 1,78 | 1,71 | 1,65 | 1,45 |
| | | | | | | | | | |
0,50 | 0,078 | 10 | | | | -0,78 | -1,00 | -1,18 | -1,32 | -1,79 |
12 | | | | -0,43 | -0,64 | -0,79 | -0,92 | -1,34 |
14 | | | | -0,09 | -0,27 | -0,41 | -0,52 | -0,90 |
16 | | | | 0,26 | 0,10 | -0,02 | -0,12 | -0,45 |
18 | | | | 0,61 | 0,47 | 0,37 | 0,28 | 0,00 |
20 | | | | 0,96 | 0,85 | 0,76 | 0,68 | 0,45 |
22 | | | | 1,33 | 1,24 | 1,16 | 1,10 | 0,91 |
24 | | | | 1,70 | 1,63 | 1,57 | 1,53 | 1,38 |
| | | | | | | | | | |
0,75 | 0,116 | 10 | | | | -0,19 | -0,34 | -0,45 | -0,54 | -0,83 |
12 | | | | 0,10 | -0,03 | -0,14 | -0,22 | -0,48 |
14 | | | | 0,39 | 0,27 | 0,18 | 0,11 | -0,12 |
16 | | | | 0,69 | 0,58 | 0,50 | 0,44 | 0,24 |
18 | | | | 0,98 | 0,89 | 0,82 | 0,77 | 0,59 |
20 | | | | 1,28 | 1,20 | 1,14 | 1,10 | 0,95 |
| | | | | | | | | | |
1,00 | 0,155 | 10 | | | | 0,22 | 0,12 | 0,04 | -0,02 | -0,22 |
14 | | | | 0,73 | 0,64 | 0,58 | 0,53 | 0,38 |
18 | | | | 1,24 | 1,18 | 1,13 | 1,09 | 0,97 |
22 | | | | 1,77 | 1,73 | 1,69 | 1,67 | 1,59 |
| | | | | | | | |
1,50 | 0,233 | 10 | | | | 0,76 | 0,70 | 0,66 | 0,62 | 0,52 |
14 | | | | 1,17 | 1,12 | 1,09 | 1,06 | 0,98 |
18 | | | | 1,58 | 1,54 | 1,52 | 1,50 | 1,44 |
| | | | | | | | | | |
2,00 | 0,310 | 10 | | | | 1,14 | 1,10 | 1,07 | 1,05 | 0,99 |
14 | | | | 1,48 | 1,45 | 1,43 | 1,41 | 1,36 |
18 | | | | 1,84 | 1,81 | 1,80 | 1,79 | 1,75 |
Таблица E.9
Уровень двигательной активности: 232 Вт/м2 (4,0 мет)
Одежда | Эквивалентная температура, °C | Относительная скорость движения воздуха, м/с |
кло | м2·К/Вт | < 0,10 | 0,10 | 0,15 | 0,20 | 0,30 | 0,40 | 0,50 | 1,00 |
0 | 0 | 12 | | | | | | -2,22 | -2,66 | |
14 | | | | | | -1,55 | -1,93 | |
16 | | | | | | -0,86 | -1,20 | -2,51 |
18 | | | | | | -0,18 | -0,46 | -1,57 |
20 | | | | | | 0,52 | 0,29 | -0,63 |
22 | | | | | | 1,22 | 1,04 | 0,33 |
24 | | | | | | 1,94 | 1,81 | 1,29 |
26 | | | | | | 2,66 | 2,58 | 2,26 |
| | | | | | | | | | |
0,25 | 0,039 | 10 | | | | | | -1,06 | -1,29 | -2,09 |
12 | | | | | | -0,57 | -0,78 | -1,50 |
14 | | | | | | -0,08 | -0,27 | -0,90 |
16 | | | | | | 0,41 | 0,25 | -0,29 |
18 | | | | | | 0,91 | 0,78 | 0,31 |
20 | | | | | | 1,42 | 1,31 | 0,93 |
22 | | | | | | 1,93 | 1,84 | 1,55 |
24 | | | | | | 2,45 | 2,39 | 2,17 |
| | | | | | | | | | |
0,50 | 0,078 | 10 | | | | | | -0,06 | -0,19 | -0,62 |
12 | | | | | | 0,33 | 0,21 | -0,18 |
14 | | | | | | 0,72 | 0,61 | 0,27 |
16 | | | | | | 1,11 | 1,02 | 0,73 |
18 | | | | | | 1,51 | 1,43 | 1,18 |
20 | | | | | | 1,91 | 1,85 | 1,64 |
22 | | | | | | 2,32 | 2,27 | 2,11 |
| | | | | | | | | | |
0,75 | 0,116 | 10 | | | | | | 0,60 | 0,52 | 0,25 |
12 | | | | | | 0,92 | 0,84 | 0,61 |
14 | | | | | | 1,24 | 1,18 | 0,97 |
16 | | | | | | 1,57 | 1,51 | 1,33 |
18 | | | | | | 1,90 | 1,85 | 1,70 |
20 | | | | | | 2,23 | 2,19 | 2,07 |
| | | | | | | | | | |
1,00 | 0,155 | 10 | | | | | | 1,04 | 0,99 | 0,81 |
14 | | | | | | 1,60 | 1,55 | 1,41 |
18 | | | | | | 2,16 | 2,13 | 2,03 |
| | | | | | | | | | |
1,50 | 0,233 | 10 | | | | | | 1,61 | 1,58 | 1,48 |
14 | | | | | | 2,05 | 2,02 | 1,95 |
| | | | | | | | | | |
2,00 | 0,310 | 10 | | | | | | 1,95 | 1,94 | 1,88 |
14 | | | | | | 2,32 | 2,31 | 2,26 |
(справочное)
Влажность может быть выражена значением относительной или абсолютной влажности (см. ИСО 7726). Абсолютная влажность представляет собой давление водяного пара в воздухе, которое влияет на потерю человеком тепла за счет испарений. Это, в свою очередь, влияет на общий температурный комфорт тела (тепловой баланс). При умеренных температурах (< 26 °C) и умеренных уровнях двигательной активности (< 2 мет) это влияние невелико. В умеренных средах влажность воздуха имеет небольшое влияние на температурную чувствительность. Обычно увеличение относительной влажности на 10% ощущается как увеличение эквивалентной температуры на 0,3 °C. При более высоких уровнях температуры и двигательной активности влияние становится более сильным. При скачках температуры влажность может иметь значительное влияние.
Если ограничения влажности основаны на поддержании приемлемых термальных условий, исходя из соображений комфорта, включая температурную чувствительность, влажность кожи, сухость кожи и раздражение глаз, может быть приемлем широкий диапазон влажности.
(справочное)
СКОРОСТЬ ДВИЖЕНИЯ ВОЗДУХА
Скорость движения воздуха в пространстве влияет на конвективный теплообмен между человеком и средой. Это, в свою очередь, влияет на общий температурный комфорт тела (потерю тепла), выраженный показателями
PMV -
PPD (см.
разделы 4 и
5), локальный температурный дискомфорт, вызванный сквозняком
(раздел 6). Не существует минимального значения скорости движения воздуха, необходимого для обеспечения температурного комфорта. Однако повышенная скорость движения воздуха может использоваться для компенсации излишнего тепла, вызванного повышенной температурой.
Часто скорость движения воздуха увеличивают путем открывания окон или использования вентиляторов для адаптации в более теплой среде. При летних условиях температура может превысить уровень комфорта. Допустимое значение, на которое температура может повыситься, показано на
рисунке G.1. Сочетания скорости движения воздуха и температуры, определенные линиями на этом
рисунке, приводят к одинаковому итоговому теплообмену с поверхности кожи. Контрольной точкой для этих кривых являются 26 °C и скорость движения воздуха 0,20 м/с. Преимущества, которые могут быть получены с помощью увеличения скорости движения воздуха, зависят от одежды, физической активности и разницы между температурой поверхности одежды/кожи и температурой воздуха. На
рисунке G.1 показана скорость движения воздуха, необходимая для комфорта летом в типичной летней одежде (0,5 кло) при физической активности в позе сидя (1,2 мет).
Для легких видов активности, в основном в позе сидя, значения

должно быть < 3 °C, а

.

- температура выше 26 °C;

- средняя скорость движения воздуха, м/с.
--------------------------------
<a> Ограничения для легких видов активности, в основном в позе сидя.
<b>

, °C (
ta - температура воздуха, °C;

- средняя температура излучения, °C).
Рисунок G.1 - Скорость движения воздуха, требуемая
для компенсации возрастающей температуры
(справочное)
ДЛИТЕЛЬНАЯ ОЦЕНКА ОСНОВНЫХ УСЛОВИЙ
ДЛЯ ТЕМПЕРАТУРНОГО КОМФОРТА
Чтобы оценить условия комфорта во времени (сезон, год), должно быть сделано сложение (суммирование) данных, измеренных в реальных зданиях или при динамическом компьютерном моделировании. Это приложение предоставляет пять методов, каждый из которых может использоваться для этой цели.
a) Метод A
Вычислить количество или процент часов от всех часов, в течение которых люди находятся в здании, со значением PMV или эквивалентной температурой, находящимися за пределами установленного диапазона.
b) Метод B
Время, в течение которого актуальная эквивалентная температура превышает установленный диапазон, взвешивается множителем, который является функцией того, на сколько градусов был превышен диапазон.
1) Весовой множитель wf равен 1 для
to = to, предел,
где
to, предел - высшее или низшее температурное ограничение установленного диапазона комфорта (например 23,5 °C <
to < 25,5 °C, что соответствует - 0,2 < PMV < 0,2, как установлено в
приложении A для открытых офисов, категория A, лето).
2) Весовой множитель wf вычисляется как
для |to| > |to, предел|.
3) Для характеристического периода, не превышающего год, произведения весовых коэффициентов wf на время t суммируют, а результат выражают в часах.
i) Теплый период:

для |
to| > |
to, предел|;
ii) Холодный период:

для |
to| < |
to, предел|.
c) Метод C
Время, в течение которого значение
PMV превышает границы комфорта, умножают на весовой коэффициент, являющийся функцией
PPD. Начинают с распределения
PMV в течение года и соотношения между
PMV и
PPD (см.
раздел 5), затем выполняют следующие вычисления:
1) Весовой коэффициент wf равен 1 для
PMV = PMVограничение,
где PMVограничение определяется диапазоном комфорта, вычисляемым в соответствии с настоящим стандартом.
2) Весовой коэффициент wf вычисляют по формуле

.
Для |PMV| > |PMVограничение|,
где PPDактуальная PMV - значение PPD, соответствующее значению PMV;
PPDPMV ограничение - значение PPD, соответствующее PMVограничение.
3) Для характеристического периода, не превышающего год, произведения весовых коэффициентов wf и времени t суммируют, а результат выражают в часах.
i) Теплый период:

для
PMV >
PMVограничение.
ii) Холодный период

для
PMV <
PMVограничение.
d) Метод D
Вычисляют средний PPD во времени, в течение которого человек находится в определенном пространстве.
e) Метод E
Суммируется PPD во времени, в течение которого человек находится в определенном пространстве.
(обязательное)
СВЕДЕНИЯ О СООТВЕТСТВИИ ССЫЛОЧНЫХ МЕЖДУНАРОДНЫХ СТАНДАРТОВ
ССЫЛОЧНЫМ НАЦИОНАЛЬНЫМ СТАНДАРТАМ РОССИЙСКОЙ ФЕДЕРАЦИИ (И
ДЕЙСТВУЮЩИМ В ЭТОМ КАЧЕСТВЕ МЕЖГОСУДАРСТВЕННЫМ СТАНДАРТАМ)
Таблица ДА.1
Обозначение ссылочного международного стандарта | Степень соответствия | Обозначение и наименование соответствующего национального стандарта |
ИСО 13731:2001 | - | |
ИСО/ТУ 13732-2:2001 | IDT | ГОСТ Р ИСО/ТУ 13732-2-2008 Эргономика термальной среды. Методы оценки реакции человека при контакте с поверхностями. Часть 2. Контакт с поверхностью умеренной температуры |
ISO/TS 14415:2005 | - | ГОСТ Р 53453-2009/ISO/TS 14415:2005 Эргономика термальной среды. Применение требований стандартов к людям с особыми требованиями |
<*> Соответствующий национальный стандарт отсутствует. До его утверждения рекомендуется использовать перевод на русский язык данного международного стандарта. Перевод данного международного стандарта находится в Федеральном информационном фонде технических регламентов и стандартов. Примечание - В настоящей таблице использованы следующие условные обозначения степени соответствия стандартов: - IDT - идентичные стандарты. |
ISO 7243, Hot environments - Estimation of the heat stress on working man, based on the WBGT - index (wet bulb globe temperature)
ISO 7726, Ergonomics of the thermal environment - Instruments for measuring physical quantities
ISO 7933, Ergonomics of the thermal environment - Analytical determination and interpretation of heat stress using calculation of the predicted heat strain
ISO 8996, Ergonomics of the thermal environment - Determination of metabolic rate
ISO 9920, Ergonomics of the thermal environment - Estimation of the thermal insulation and evaporative resistance of a clothing ensemble
ISO 10551, Ergonomics of the thermal environment - Assessment of the influence of the thermal environment using subjective judgement scales
ISO 11399, Ergonomics of the thermal environment - Principles and application of relevant International Standards
ISO TR 11079, Ergonomics of the thermal environment - Analytical determination and interpretation of cold stress using calculation of the required clothing insulation (IREQ) and the assessment of local cooling effects
ALFANO, G., CANNASTRARO, G., D'AMBROSIO, F.R. and RIZZO, G., Notes on the use of the tables of standard ISO 7730 for the evaluation of the PMV index, Indoor Built Environment. 1996. 5:355 - 357
ANDERSON, I., LUNDQUIST, G.R. and PROCTOR, D.F., Human perception of humidity under four controlled conditions. Achieves of Environmental Health 26, pp. 22 - 27, 1973
ASHRAE Standard 55, Thermal Environmental Conditions for Human Occupancy
BERGLUND, L.G. and GONZALEZ, R.R., Application of Acceptable Temperature Drifts to Built Environments as a Mode of Energy Conservation, ASHRAE Transactions 84, pp. 110 - 121, 1978
BERGLUND, L.G. and GONZALEZ, R.R., Occupant Acceptability of Eight Hour Long Temperature Ramps in the Summer at Low and High Humidities, ASHRAE Transactions 84, pp. 278 - 284, 1978
BERGLUND, L.G., Thermal Acceptability, ASHRAE Transactions 85, pp. 825 - 834, 1979
BERGLUND, L.G. and FOBELETS, A.P.R., Subjective Human Response to Low-Level Air Current and Asymmetric Radiation, ASHRAE Transactions 93, pp. 497 - 523, 1987
BERGLUND, L.G., 1998. Comfort and Humidity. ASHRAE Journal, V. 40(8)
BERGLUND, L.G., 1989. Comfort criteria in a low-humidity environment. RP2732-10. - Palo Alto, CA: Electric Power Research Institute
BRAGER, G.S. and de DEAR, R., 2000. A standard for natural ventilation. ASHRAE Journal. V.42(10), pp. 21 - 27
BREUNIS, K. and de GROOT, J.P., Relative Humidity of the Air and Ocular Discomfort in a Group of Susceptible Office Workers, Proceedings of the Fourth International Conference on Indoor Air Quality and Climate, 2: pp. 625 - 629, 1987
de DEAR, R. and BRAGER, G.S., 1998. Developing an adaptive model of thermal comfort and preference. ASHRAE Trans., V. 104(1a), pp. 145 - 167
FANGER, P.O., OSTERGAARD, J., OLESEN, O. and MADSEN, Th., Lund (1974): The effect on man's comfort of a uniform air flow from different directions, ASHRAE Transactions, vol. 80, 2, pp. 142 - 157
FANGER, P.O., OLESEN B.W., LANGKILDE, G. and BANHIDI, L., Comfort Limits for Heated Ceilings, ASHRAE Transactions 86, pp. 141 - 156, 1980
FANGER, P.O., Thermal Comfort, Robert E. Krieger, Malabar, FL, 1982
FANGER, P.O., IPSEN, B.M., LANGKILDE, G., OLESEN, B.W., CHRISTENSEN, N.K. and TANABE, S., 1985. Comfort limits for asymmetric thermal radiation. Energy and Buildings. V. 8, pp. 225 - 226.
FANGER, P.O. and CHRISTENSEN, N.K., Perception of Draught in Ventilated Spaces, Ergonomics, 29: pp. 215 - 235, 1986
FANGER, P.O., MELIKOV, A.K., HANZAWA, H. and RING, J., Air Turbulence and Sensation of Draught, Energy and Buildings, 12: pp. 21 - 39, 1988
FOUNTAIN, M., ARENS, E., de DEAR, R., BAUMAN, F. and MIURA, K., (1994) Locally controlled air movement preferred in warm isothermal environments, ASHRAE Trans., vol. 100, part 2, pp. 937 - 952.
GAGGE, A.P., NISHI, Y. and NEVINS, R.G., The Role of Clothing in Meeting FEA Energy Conservation Guidelines, ASHRAE Transactions 82, pp. 234 - 247, 1976
GAGGE, A.P. and NEVINS, R.G., Effect of Energy Conservation Guidelines on Comfort, Acceptability and Health, Final Report of Contract #CO-04-51891-00, Federal Energy Administration, 1976
GOLDMAN, R.F., The Role of Clothing in Achieving Acceptability of Environmental Temperatures Between 65 °F and 85 °F (18 °C and 30 °C), Energy Conservation Strategies in Buildings, J.A.J. Stolwijk, (Ed.) Yale University Press, New Haven, 1978
GREEN, G.H., The Effect of Indoor Relative Humidity on Colds, ASHRAE Transactions 85, pp. 747 - 757, 1979
GRIEFAHN, B., 1999. Bewertung von Zugluft am Arbeitsplatz. Fb 828, Schriftenreihe der Bundesanstalt fur Arbeitsschutz und Arbeitsmedizin, Dortmund
GRIFFITHS, I.D. and MCINTYRE, D.A., Sensitivity to Temporal Variations in Thermal Conditions, Ergonomics, 17: pp. 99 - 507, 1974
ISODA, N., TSUZUKI, K. and YOSHIOKA, M., Importance of floor surface temperature in maintaining thermal comfort for people sitting directly on the floor. 10th ICEE pp. 821 - 824, Sept-2002, Fukuoka, Japan
JONES, B.W., HSIEH, K. and HASHINAGA, M., The Effect of Air Velocity on Thermal Comfort at Moderate Activity Levels, ASHRAE Transactions 92, Part 2B: pp. 761 - 769, 1986
LANGKILDE, G., GUNNARSEN, L. and MORTENSEN, N., 1985. Comfort limits during infrared radiant heating of industrial spaces, Proceedings of CLIMA 2000, Copenhagen
LAVIANA, J.E., ROHLES, F.H. and BULLOCK, P.E., Humidity, Comfort and Contact Lenses, ASHRAE Transactions 94, pp. 3 - 11, 1988
MCCULLOUGH, E.A. and WYON, D.P., Insulation Characteristics of Winter and Summer Indoor Clothing, ASHRAE Transactions 89, pp. 614 - 633, 1983
MCCULLOUGH, E.A., JONES, B.W. and HUCK, J., A Comprehensive Data Base for Estimating Clothing Insulation, ASHRAE Transactions 92, pp. 29 - 47, 1985
MCINTYRE, D.A., Overhead Radiation and Comfort, The Building Services Engineer 44: pp. 226 - 232, 1976
MCINTYRE, D.A., Preferred Air Speeds for Comfort in Warm Conditions, ASHRAE Transactions 84, pp. 264 - 277, 1978
MCNALL, P.E., JR., JAAX, J., ROHLES, F.H., NEVINS, R.G. and SPRINGER, W., Thermal Comfort (Thermally Neutral) Conditions for Three Levels of Activity, ASHRAE Transactions 73, (Part I): I.3.1 - I.3.14, 1967
MCNALL, P.E., JR. and BIDDISON, R.E., Thermal and Comfort Sensations of Sedentary Persons Exposed to Asymmetric Radiant Fields, ASHRAE Transactions 76, pp. 123 - 136, 1970
NAGANO, K., TAKAKI, A., HIRAKAWA, M., FUJIWARA, M. and TOCHIHARA, Y., Thermal responses to temperature steps in summer. Kyushu Institute of Design, 2003
NEVINS, R.G. and FEYERHERM, A.M., Effect of Floor Surface Temperature on Comfort. Part IV: Cold Floors, ASHRAE Transactions 73 (Part II): III.2.1 - III.2.8, 1967
NEVINS, R.G., MICHAELS, K.B. and FEYERHERM, A.M., The Effect of Floor Surface Temperature on Comfort. Part II: College Age Females, ASHRAE Transactions 70, pp. 37 - 43, 1964
NEVINS, R.G. and MCNALL, P.E., JR., ASHRAE Thermal Comfort Standards as Performance Criteria for Buildings, CIB Commission W 45 Symposium, Thermal Comfort and Moderate Heat Stress, Watford, U.K. 1972 (Published by HMSO London 1973)
NIELSEN, B., I. ODDERSHEDE, A. TORP and P.O. FANGER, Thermal Comfort During Continuous and Intermittent Work. Indoor Climate, P.O. Fanger and O. Valbjorn, eds., Danish Building Research Institute, Copenhagen, 1979, pp. 477 - 490
NILSSON, S.E. and ANDERSSON, L., Contact Lens Wear in Dry Environments, ACTA Ophthalmologica 64, pp. 21 - 225, 1986
OLESEN, S., FANGER, P.O., JEMSEN, P.B. and NIELSEN, O.J., Comfort limits for man exposed to asymmetric thermal radiation. Proc. of CIB Commission W45 (Human Requirements) Symposium: Thermal comfort and Moderate Heat Stress, Building Research Station, London, September 1971, HMSO, 1973, pp. 133 - 148
OLESEN, B.W., Thermal Comfort Requirements for Floors, Proceedings of The Meeting of Commissions B1, B2, E1 of IIR, Belgrade, 1977, pp. 307 - 313
OLESEN, B.W., Thermal Comfort Requirements for Floors Occupied by People with Bare Feet, ASHRAE Transactions 83, pp. 41 - 57, 1977
OLESEN, B.W., SCHOLER, M. and FANGER, P.O., Discomfort Caused by Vertical Air Temperature Differences, Indoor Climate, P.O. Fanger and O. Valbjorn, eds., Danish Building Research Institute, Copenhagen, 1979
OLESEN, B.W., A New and Simpler Method for Estimating the Thermal Insulation of a Clothing Ensemble, ASHRAE Transactions 92, pp. 478 - 492, 1985
OLESEN, B.W., SLIWINSKA, E., MADSEN, T.L. and FANGER, P.O., Effect of Body Posture and Activity on the Thermal Insulation of Clothing. Measurements by a Movable Thermal Manikin, ASHRAE Transactions 88, pp. 91 - 805, 1987
ROHLES, F.H., JR., WOODS, J.E. and NEVINS, R.G., The Influence of Clothing and Temperature on Sedentary Comfort, ASHRAE Transactions 79, pp. 71 - 80, 1973
ROHLES, F.H., WOODS, J.E. and NEVINS, R.G., The Effect of Air Speed and Temperature on the Thermal Sensations of Sedentary Man, ASHRAE Transactions 80, pp. 101 - 119, 1974
ROHLES, F.H., MILLIKEN, G.A., SKIPTON, D.E. and KRSTIC, I., Thermal Comfort During Cyclical Temperature Fluctuations, ASHRAE Transactions 86, pp. 125 - 140, 1980
ROHLES, F.H., KONZ, S.A. and JONES, B.W., Ceiling Fans as Extenders of the Summer Comfort Envelope, ASHRAE Transactions 89, pp. 245 - 263, 1983
SCHEATZLE, D.G., WU, H. and YELLOTT, J., Extending The Summer Comfort Envelope with Ceiling Fans in Hot, Arid Climates, ASHRAE Transactions 95, Part 1, pp. 269 - 280, 1989
SPRAGUE, C.H. and MCNALL, P.E., JR., Effects of Fluctuating Temperature and Relative Humidity on the Thermal Sensation (Thermal Comfort) of Sedentary Subjects, ASHRAE Transactions 77, pp. 183 - 199, 1971
TANABE, S., KIMURA, K. and HARA, T., 1987. Thermal comfort requirements during the summer season in Japan. ASHRAE Transactions 93,(1): pp. 564 - 577
TANABE, S., and KIMURA, K., 1994. Effects of air temperature, humidity, and air movement on thermal comfort under hot and humid conditions. ASHRAE Transactions, Vol. 100, part 2, p. 16
TOFTUM, J., NIELSEN, R., 1996a. Draught sensitivity is influences by general thermal sensation. International Journal of Industrial Ergonomics, 18(4), pp. 295 - 305
TOFTUM, J., NIELSEN, R., 1996b. Impact of metabolic rate on human response to air movements during work in cool environments. International Journal of Industrial Ergonomics, 18(4), pp. 307 - 316
TOFTUM, J., ZHOU, G., MELIKOV, A., 1997. Airflow direction and human sensitivity to draught. Proceedings of CLIMA 2000, Brussels
TOFTUM, J., MELIKOV, A., TYNEL, A., BRUZDA, M. and FANGER, P.O. 2003. Human response to Air Movement - Evaluation of ASHRAE's Draft Criteria (RP-843). HVAC&R Research, vol. 9 no. 2, April 2003
TSUZUKI, K. and OHFUKU, T., Thermal comfort and thermoregulation in elderly compared to young people in Japanese winter season. National Institute of Advanced Industrial Science and Technology, Tsukuba, Japan
WYON, D.P., ASGEIRSDOTTIR, TH., KJERULF-JENSEN, P., and FANGER, P.O., The Effects of Ambient Temperature Swings on Comfort, Performance and Behaviour, Arch. Sci. Physiol. 27, pp. 441 - 458, 1973
УДК 331.433:006.354 | | Э65 |
Ключевые слова: эргономика, термальная среда, тепловая нагрузка, температура окружающей среды, температурный комфорт, оценка качества воздушной среды, показатель PMV, показатель PPD, прогнозируемая средняя оценка, локальный температурный дискомфорт, прогнозируемый процент недовольных |