Главная // Актуальные документы // ГОСТ Р (Государственный стандарт)СПРАВКА
Источник публикации
М.: Стандартинформ, 2015
Примечание к документу
Документ
введен в действие с 1 июля 2015 года.
Название документа
"ГОСТ Р 8.850-2013. Национальный стандарт Российской Федерации. Государственная система обеспечения единства измерений. Характеристики люксметров и яркомеров. Общие положения"
(утв. и введен в действие Приказом Росстандарта от 22.11.2013 N 1691-ст)
"ГОСТ Р 8.850-2013. Национальный стандарт Российской Федерации. Государственная система обеспечения единства измерений. Характеристики люксметров и яркомеров. Общие положения"
(утв. и введен в действие Приказом Росстандарта от 22.11.2013 N 1691-ст)
Утвержден и введен в действие
по техническому регулированию
и метрологии
от 22 ноября 2013 г. N 1691-ст
НАЦИОНАЛЬНЫЙ СТАНДАРТ РОССИЙСКОЙ ФЕДЕРАЦИИ
ГОСУДАРСТВЕННАЯ СИСТЕМА ОБЕСПЕЧЕНИЯ ЕДИНСТВА ИЗМЕРЕНИЙ
ХАРАКТЕРИСТИКИ ЛЮКСМЕТРОВ И ЯРКОМЕРОВ
ОБЩИЕ ПОЛОЖЕНИЯ
State system for ensuring the uniformity
of measurements. Characterization of the performance
of illuminance meters and brightness meters. General
ГОСТ Р 8.850-2013
Группа Т88.10
Дата введения
1 июля 2015 года
1. Разработан Федеральным государственным унитарным предприятием "Всероссийский научно-исследовательский институт оптико-физических измерений" (ФГУП "ВНИИОФИ").
2. Внесен Управлением метрологии Федерального агентства по техническому регулированию и метрологии, Техническим комитетом по стандартизации ТК 206, ПК 206.10 "Эталоны и поверочные схемы в области оптических и оптико-физических измерений".
3. Утвержден и введен в действие
Приказом Федерального агентства по техническому регулированию и метрологии от 22 ноября 2013 г. N 1691-ст.
4. В настоящем стандарте реализованы нормы Федерального
закона от 26 июня 2008 г. N 102-ФЗ "Об обеспечении единства измерений",
Закона Российской Федерации от 7 февраля 1992 г. N 2300-1 "О защите прав потребителей".
5. Введен впервые.
Правила применения настоящего стандарта установлены в ГОСТ Р 1.0-2012
(раздел 8). Информация об изменениях к настоящему стандарту публикуется в ежегодном (по состоянию на 1 января текущего года) информационном указателе "Национальные стандарты", а официальный текст изменений и поправок - в ежемесячном информационном указателе "Национальные стандарты". В случае пересмотра (замены) или отмены настоящего стандарта соответствующее уведомление будет опубликовано в ближайшем выпуске ежемесячного указателя "Национальные стандарты". Соответствующая информация, уведомление и тексты размещаются также в информационной системе общего пользования - на официальном сайте Федерального агентства по техническому регулированию и метрологии в сети Интернет (gost.ru).
Настоящий стандарт распространяется на люксметры и яркомеры, устанавливает основные показатели качества и методы их количественной оценки при проведении световых измерений.
В настоящем стандарте использованы нормативные ссылки на следующие стандарты:
| | ИС МЕГАНОРМ: примечание. ГОСТ 8.195-89 утратил силу с 1 января 2015 года в связи с введением в действие ГОСТ 8.195-2013 (Приказ Росстандарта от 10.10.2013 N 1154-ст). | |
ГОСТ 8.195-89 Государственная система обеспечения единства измерений. Государственная поверочная схема для средств измерений спектральной плотности энергетической яркости, спектральной плотности силы излучения и спектральной плотности энергетической освещенности в диапазоне длин волн 0,25 - 25,00 мкм; силы излучения и энергетической освещенности в диапазоне длин волн 0,2 - 25,0 мкм.
| | ИС МЕГАНОРМ: примечание. ГОСТ 8.332-78 утратил силу с 1 октября 2015 года в связи с введением в действие ГОСТ 8.332-2013 (Приказ Росстандарта от 11.06.2014 N 539-ст). | |
ГОСТ 8.332-78 Государственная система обеспечения единства измерений. Световые измерения. Значения относительной спектральной световой эффективности монохроматического излучения для дневного зрения
ГОСТ 7601-78 Физическая оптика. Термины, буквенные обозначения и определения основных величин
| | ИС МЕГАНОРМ: примечание. ГОСТ 26148-84 утратил силу с 1 июля 2017 года в связи с введением в действие ГОСТ 8.654-2016 (Приказ Росстандарта от 13.10.2016 N 1393-ст). | |
ГОСТ 26148-84 Фотометрия. Термины и определения
ГОСТ Р 54500.1-2011/Руководство ИСО/МЭК 98-1:2009 Неопределенность измерения. Часть 1. Введение в руководства по неопределенности измерения
ГОСТ Р 54500.3-2011/Руководство ИСО/МЭК 98-3:2008 Неопределенность измерения. Часть 3. Руководство по выражению неопределенности измерения
Примечание. При пользовании настоящим стандартом целесообразно проверить действие ссылочных стандартов в информационной системе общего пользования - на официальном сайте Федерального агентства по техническому регулированию и метрологии в сети Интернет или по ежегодному информационному указателю "Национальные стандарты", который опубликован по состоянию на 1 января текущего года, и по выпускам ежемесячного информационного указателя "Национальные стандарты" за текущий год. Если заменен ссылочный стандарт, на который дана недатированная ссылка, то рекомендуется использовать действующую версию этого стандарта с учетом всех внесенных в данную версию изменений. Если заменен ссылочный стандарт, на который дана датированная ссылка, то рекомендуется использовать версию этого стандарта с указанным выше годом утверждения (принятия). Если после утверждения настоящего стандарта в ссылочный стандарт, на который дана датированная ссылка, внесено изменение, затрагивающее положение, на которое дана ссылка, то это положение рекомендуется применять без учета данного изменения. Если ссылочный стандарт отменен без замены, то положение, в котором дана ссылка на него, рекомендуется применять в части, не затрагивающей эту ссылку.
В настоящем стандарте применены термины по ГОСТ 7601, ГОСТ 26148, а также следующие термины с соответствующими определениями:
3.1. люксметр: Прибор для измерения освещенности.
3.2. яркомер: Прибор для измерения яркости.
3.3. фотометр: Прибор для измерения фотометрических величин.
Примечание. Фотометр (далее - люксметр или яркомер) состоит из фотометрической головки, которая измеряет спектрально интегрированное излучение преобразователя сигнала, выходного устройства и источника питания.
3.4. опорная плоскость: Воображаемая плоскость, связанная с фотометром или источником излучения и позволяющая измерить расстояние между ними.
Примечание. Для фотометра это плоскость, перпендикулярная к оптической оси фотометрической головки.
3.5. эффективная опорная плоскость фотометра: Плоскость, перпендикулярная к оптической оси фотометрической головки, на которой соблюдается закон обратных квадратов для точечного источника излучения; расстояние до источника излучения измеряют от этой плоскости.
Примечание. Эффективная опорная плоскость фотометра может изменяться с длиной волны. В этом случае источник излучения должен устанавливаться вместе с эффективной опорной плоскостью.
3.6. приемная апертура: Приемная область измерения фотометрической головки люксметра или область измерений яркомера.
Примечание. Приемная апертура, как правило, совпадает с эффективной опорной плоскостью фотометра.
3.7. минимальное фотометрическое расстояние: Кратчайшее расстояние между опорной плоскостью источника излучения и эффективной опорной плоскостью фотометра, на котором выполняется закон обратных квадратов.
4.1. Условия поверки (калибровки) фотометра
Фотометры поверяют (калибруют) с применением источников излучения или фотодетекторов, которые аттестованы как эталоны и которые прослеживают к соответствующему национальному эталону.
Примечание. Прослеживаемость - документально подтвержденная связь с соответствующим государственным первичным эталоном посредством сличений, поверок, калибровок.
Фотометр поверяют (калибруют) при температуре окружающей среды 25 °C с применением лампы накаливания с цветовой температурой 2856 К (источник типа A). Перед началом поверки (калибровки) для достижения термостабилизации фотометр выдерживают не менее одного часа при условиях измерений. Входная диафрагма фотометра должна быть равномерно и полностью освещена.
Периодичность поверки (калибровки) устанавливают при утверждении типа средства измерений в соответствии с
[3], но должна проводиться не реже чем каждые два года.
При поверке (калибровке) люксметра должны быть выполнены следующие требования: излучение должно падать перпендикулярно к эффективной опорной плоскости, источник излучения должен находиться на расстоянии, превышающем минимальное фотометрическое расстояние.
Если люксметр поверяют (калибруют) по эталонному фотометру, эффективная опорная плоскость люксметра должна быть расположена идентично ее положению у эталонного фотометра. Если люксметр поверяют (калибруют) по эталонной лампе, контролируемое расстояние определяют как расстояние от опорной плоскости лампы до эффективной опорной плоскости люксметра.
4.2.1. Люксметр с плоской насадкой
Освещенность E = Ex,
где Ex - освещенность эффективной опорной плоскости.
Эффективная опорная плоскость, как правило, совпадает с передней плоскостью насадки.
4.2.2. Люксметр со сферической косинусной насадкой
Освещенность E0 = Ex,
где Ex - освещенность эффективной опорной плоскости.
Эффективная опорная плоскость располагается внутри сферической насадки на расстоянии

, равном 0,146 диаметра d сферической насадки, от зенита сферы.
Примечание.

определяют таким образом, чтобы область, вырезаемая из эффективной опорной плоскости, равнялась половине площади проекции входного окна фотометра:

. (1)
4.2.3. Люксметр с цилиндрической косинусной насадкой
Освещенность

,
где Ex - освещенность эффективной опорной плоскости.
Эффективная опорная плоскость располагается внутри цилиндрической насадки параллельно входной диафрагме фотометра на расстоянии

, равном 0,067 диаметра d цилиндрической насадки, от боковой поверхности насадки
(рисунок 1).
Примечание.

определяют таким образом, чтобы область, вырезаемая из эффективной опорной плоскости, равнялась половине площади проекции входного окна фотометра:

. (2)
Рисунок 1. Положение эффективной опорной плоскости для
люксметра с цилиндрической и полуцилиндрической насадками
4.2.4. Люксметр с полуцилиндрической косинусной насадкой
Освещенность

,
где Ex - освещенность эффективной опорной плоскости.
Эффективная опорная плоскость располагается внутри полуцилиндрической насадки параллельно входной диафрагме фотометра на расстоянии

, равном 0,067 диаметра d цилиндрической насадки, от боковой поверхности насадки
(рисунок 1).
Примечание.

определяют таким образом, чтобы область, вырезаемая из эффективной опорной плоскости, равнялась половине площади проекции входного окна фотометра:

. (3)
4.2.5. Люксметр с полусферической косинусной насадкой
Освещенность

,
где Ex - освещенность эффективной опорной плоскости.
Эффективная опорная плоскость располагается внутри полусферической насадки параллельно входной диафрагме фотометра на расстоянии

, равном 0,146 диаметра d полусферической насадки, от зенита сферы.
Примечание.

определяется таким образом, чтобы область, вырезаемая из эффективной опорной плоскости, равнялась половине площади проекции входного окна фотометра, то есть:

. (4)
Яркомер поверяют (калибруют) по эталону яркости, в качестве которого используют источник света с рассеивателем. Светящаяся поверхность должна иметь равномерную яркость и площадь больше, чем площадь поверхности, измеряемой яркомером. Однородность эталона яркости должна быть такой, чтобы этот фактор не оказывал значительного влияния на результаты поверки (калибровки), или проводится коррекция на неоднородность.
4.4. Погрешность поверки (калибровки)
Погрешность поверки (калибровки) представляет собой сумму погрешностей, связанных с процессом измерений, и погрешностей, связанных с применяемыми эталонами, которые указывают в документации эталонов.
Суммарная погрешность, возникающая в процессе измерений, зависит от погрешности, связанной:
- с рабочим эталоном;
- со старением эталона;
- со спектральным несоответствием функции

источника излучения, применяемого для поверки (калибровки) фотометра, и источника излучения типа A;
- с погрешностью преобразования оптического излучения в электрический сигнал как эталона, так и прибора;
- с юстировкой;
- с наличием рассеянного света;
- с изменением температуры окружающего воздуха;
- погрешностью, связанной с изменением температуры фотометра вследствие нагрева излучением источника света;
- с предельным разрешением дисплея.
Если указанные параметры могут быть определены и изменение сигнала фотометра при изменении параметра известно, то показания фотометра корректируют и суммарная неопределенность уменьшится.
4.5. Первоначальная установка параметров
Коэффициент несоответствия fadj первоначальной установки параметров фотометров рассчитывают по формуле

, (5)
где

- абсолютное значение относительного отклонения показаний фотометра;
Ycal - эталонное значение относительного отклонения показаний фотометра.
Изготовитель, как правило, регулирует показания фотометра под эталонное значение, в этом случае fadj = 0. Значение коэффициента и неопределенность, связанную с fadj, устанавливают при первичной поверке (калибровке).
Спектральное соответствие фотометра функции

следует регулярно проверять. Фотометр поверяют (калибруют) по источнику типа A. Значение световой чувствительности фотометра при облучении трехлинейчатой лампой сравнивают со значением световой чувствительности эталонного прибора.
Если при регулярной проверке фотометра изготовителем или поверочной (калибровочной) лабораторией проводилось регулирование фотометра, пользователю должны быть сообщены значения поверочного (калибровочного) фактора до и после регулирования.
5. Характеристики люксметров и яркомеров
5.1. Спектральные характеристики
| | ИС МЕГАНОРМ: примечание. ГОСТ 8.332-78 утратил силу с 1 октября 2015 года в связи с введением в действие ГОСТ 8.332-2013 (Приказ Росстандарта от 11.06.2014 N 539-ст). | |
Функция относительной спектральной чувствительности фотометра

должна соответствовать функции относительной спектральной световой эффективности монохроматического излучения для дневного зрения

по ГОСТ 8.332. Различие этих параметров должно быть скорректировано. Если известно относительное спектральное распределение источника излучения

и относительная спектральная чувствительность фотодетектора, то показания фотометра корректируют с помощью фактора спектрального несоответствия

. Если относительное спектральное распределение источника излучения неизвестно, то для характеристики фотометра применяют основной коэффициент несоответствия

.
5.1.1. Измерение спектральных характеристик
| | ИС МЕГАНОРМ: примечание. ГОСТ 8.195-89 утратил силу с 1 января 2015 года в связи с введением в действие ГОСТ 8.195-2013 (Приказ Росстандарта от 10.10.2013 N 1154-ст). | |
Для определения характеристик фотометра в отношении источников света с различным спектральным распределением необходимо знать спектральную чувствительность фотометра. Спектральные измерения проводят по ГОСТ 8.195. Функцию

определяют в диапазоне длин волн от 360 до 830 нм. Для оценки коэффициента несоответствия

измерения относительной спектральной чувствительности достаточно проводить в диапазоне длин волн от 380 до 780 нм. Вклад в световую чувствительность спектральной чувствительности на границах видимого диапазона длин волн незначителен и его можно не учитывать в расчете погрешности (неопределенности) измерений.
Для определения световой чувствительности и фактора спектральной коррекции измерения проводят во всем спектральном диапазоне чувствительности фотодетектора с помощью перестраиваемого монохроматического источника света с шагом длины волны не более 5 нм. Спектральная полоса пропускания должна быть не более 5 нм. Если полоса пропускания более 5 нм, применяют метод спектральной коррекции полосы пропускания.
5.1.2. Световая чувствительность
Чувствительность фотометра определяют как отношение входного и выходного сигналов фотодетектора. Входящее излучение описывает функция спектральной световой эффективности

. Абсолютную световую чувствительность источника излучения Zs
v определяют из уравнения (6)

, (6)
где Km = 683 лм/Вт;

- спектральная чувствительность фотометра;

- относительное спектральное распределение измеряемого источника излучения Z.
Нижний и верхний пределы интегрирования

покрывают диапазон длин волн, в котором значения

отличны от нуля.
Фотометры, как правило, поверяют (калибруют) по источнику типа A. В этом случае световую чувствительность

определяют по формуле

, (7)
где

- относительное спектральное распределение источника излучения типа A.
5.1.3. Относительная световая чувствительность и фактор коррекции спектрального несоответствия
Спектральная чувствительность фотометра в определенных спектральных диапазонах отличается от
функции (6). Для компенсации этих отличий применяют функцию спектрально интегрированной чувствительности, которая позволяет сравнить два спектральных распределения: для источника Z и источника типа A.
Относительную световую чувствительность

определяют по формуле

, (8)
где SZ - световая чувствительность фотометра при измерении источника Z;
SA - световая чувствительность фотометра при измерении источника типа A;
Srel - относительная спектральная чувствительность фотометра.
Нижний и верхний пределы интегрирования

покрывают диапазон длин волн, в котором значения

отличны от нуля.
Фактор коррекции спектрального несоответствия - обратная величина относительной световой чувствительности

. (9)
Для источников излучения с узким спектром (например, светодиодов) применение коэффициента коррекции спектрального несоответствия весьма важно.
5.1.4. Фактор коррекции цветовой температуры
Относительное спектральное распределение энергии излучения ламп накаливания и галогенных ламп подобно распределению Планка

и характеризуется температурой распределения T
d. В этом случае фактор коррекции цветовой температуры определяют по формуле

, (10)
где TA = 2856 К для стандартного источника A;
Td - температура распределения источника излучения;
m - экспонента несоответствия, которую определяют экспериментально для фотометра.
5.1.5. Индивидуальный коэффициент несоответствия
Степень соответствия спектральных характеристик фотометра функции

при измерениях конкретного источника излучения Z определяют индивидуальным коэффициентом несоответствия

. (11)
Если относительное спектральное распределение источника излучения и спектральная чувствительность фотометра известны, показания фотометра корректируют.
5.1.6. Коэффициент несоответствия функции

Индивидуальный коэффициент несоответствия

не подходит для описания характеристик фотометра, так как его можно минимизировать для конкретного спектрального распределения, даже если спектральная чувствительность фотометра значительно отличается от функции

.
Для большинства источников излучения характеристику спектрального несоответствия функции

описывают коэффициентом несоответствия

с помощью нормализованной функции спектральной чувствительности источника излучения

, (12)
где

- функция спектрального распределения источника A, применяемого для поверки (калибровки) фотометра;

- относительная спектральная чувствительность.
Коэффициент несоответствия

определяют по формуле

. (13)
5.2. Ультрафиолетовое излучение
Фотометр не должен быть чувствителен к ультрафиолетовому (далее - УФ) излучению. УФ-излучение может появиться из-за недостаточной УФ-блокировки или эффекта флуоресценции.
Влияние УФ-излучения измеряют, облучая фотометр УФ-лампой, имеющей спектральное распределение в УФ-диапазоне длин волн (рисунок 2), с применением корригирующего фильтра, имеющего спектральный коэффициент пропускания
(рисунок 3).
Рисунок 2. Относительное спектральное распределение
излучения SУФ
Рисунок 3. Спектральный коэффициент пропускания

УФ-фильтра
Значения спектрального коэффициента пропускания

приведены в
таблице А.1 (Приложение А).
Значения функции номинального относительного спектрального распределения энергии излучения УФ-лампы приведены в
таблице А.2 (Приложение А).
Облучение фотометра УФ-лампой без фильтра должно вызвать сигнал, по крайней мере в 1000 раз

минимального разрешения фотометра.
Коэффициент чувствительности фотометра к УФ-излучению fУФ определяют по формуле

, (14)
где YУФ - значение сигнала фотометра при облучении источником УФ-излучения в комбинации с УФ-фильтром;
Y - значение сигнала фотометра при облучении тем же источником излучения без УФ-фильтра;

,
где

- спектральный коэффициент пропускания фильтра для определения коэффициента f
УФ;

- относительное спектральное распределение источника излучения для определения коэффициента f
УФ.
5.3. Инфракрасное излучение
Фотометр не должен быть чувствителен к инфракрасному (далее - ИК) излучению.
Влияние ИК-излучения измеряют, облучая фотометр источником излучения типа A в комбинации с ИК-фильтром со спектральным коэффициентом пропускания

(рисунок 4). Номинальные значения спектрального коэффициента пропускания приведены в
таблице А.3 (Приложение А).
Рисунок 4. Спектральный коэффициент пропускания

ИК-фильтра
ИК-лампа должна быть без отражателя, и уровень ее ИК-излучения не должен быть настолько понижен, что облучение фотометра ИК-лампой без фильтра будет вызывать сигнал, по крайней мере в 10000 раз

минимального разрешения фотометра.
Коэффициент чувствительности фотометра к ИК-излучению fИК определяют по формуле

, (15)
где YИК - значение сигнала фотометра при облучении источником типа A в комбинации с ИК-фильтром;
Y - значение сигнала фотометра при облучении тем же источником излучения без ИК-фильтра;

,
где

- спектральный коэффициент пропускания фильтра для определения коэффициента f
ИК;

- относительное спектральное распределение источника излучения для определения коэффициента f
ИК.
5.4. Влияние направления излучения на показания люксметров
5.4.1. Общие положения
Воздействие излучения на приемную поверхность люксметра зависит от угла падения светового пучка. Чувствительность люксметра к направлению излучения зависит от формы и оптической конструкции фотометрической головки.
Комплектация фотометрической головки селективными по направлению оптическими элементами (например, диффузными насадками различной формы) позволяет получить функции оценки влияния направления излучения.
Для измерения чувствительности люксметра к направлению излучения миниатюрный источник типа A устанавливают на расстоянии не менее двух минимальных фотометрических расстояний от фотометра и источника излучения.
Следует исключать попадание рассеянного света на приемную поверхность фотометрической головки. Для источника излучения с горизонтальным лучом вращение фотометрической головки вокруг горизонтальной или вертикальной оси меняет угол падения светового пучка по отношению к центру приемной поверхности фотометрической головки. Центр вращения совмещают с центром приемной поверхности, положение которого устанавливает изготовитель. Измеряют сигнал люксметра в зависимости от функции угла падения света, среднее отклонение которой от заданной функции углового распределения характеризует фактор влияния направления излучения. Измерения проводят не менее чем в двух взаимно перпендикулярных плоскостях с угловым шагом 5° в минимальном диапазоне от 0° до 80° во всем угловом диапазоне чувствительности фотометра. Для люксметров с полусферической насадкой и косинусной коррекцией угловой диапазон составляет более 90°. Угловой размер детектора от лампы должен составлять не более 1°.
Для люксметров с нелинейным соотношением между входным потоком излучения и выходным сигналом измерения проводят при постоянном уровне сигнала или результат корректируют с помощью измерений входных-выходных характеристик люксметра.
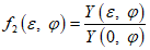
5.4.2. Люксметры с плоской насадкой
Для люксметра с плоской насадкой функцию

, характеризующую отклонение сигнала люксметра в зависимости от направления падающего излучения, представляют в виде

, (16)
где

- выходной сигнал как функция угла падения

и азимутального угла
(рисунок 5);

- угол отклонения от нормали к плоскости или оптической оси;

- азимутальный угол.
Рисунок 5. Система координат для определения функции

Для определения значений коэффициента чувствительности люксметра к направлению излучения

измеряют в четырех ортогональных плоскостях с азимутами

, равными 0,

,

,

. Коэффициент чувствительности f
2 рассчитывают по формуле

, (17)
где

.
5.4.3. Люксметры со сферической косинусной насадкой
Для люксметров со сферической насадкой функцию

, характеризующую отклонение сигнала люксметра в зависимости от направления падающего излучения, представляют в виде

, (18)
где

- выходной сигнал как функция угла падения

и азимутального угла

(рисунок 6).
Рисунок 6. Система координат для определения функции

Для определения значений коэффициента чувствительности люксметра к направлению излучения

измеряют в четырех ортогональных плоскостях с азимутами

, равными 0,

,

,

. Коэффициент чувствительности f
2,0 рассчитывают по формуле

, (19)
где

.
5.4.4. Люксметры с цилиндрической косинусной насадкой
Для люксметров с цилиндрической насадкой функцию

, характеризующую отклонение сигнала люксметра в зависимости от направления падающего излучения, представляют в виде

(20)
где

- выходной сигнал как функция угла падения

и азимутального угла

(рисунок 7).
Рисунок 7. Система координат для определения функции

Примечание. Рекомендуется функцию

представлять для горизонтальной

и вертикальной

плоскости в виде:
- для горизонтальной

; (21)
- для вертикальной

(22)
Коэффициент чувствительности люксметра к направлению излучения f2,C определяют по формуле

. (23)
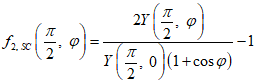
5.4.5. Люксметры с полуцилиндрической косинусной насадкой
Для люксметров с полуцилиндрической насадкой функцию

, характеризующую отклонение сигнала люксметра в зависимости от направления падающего излучения, представляют в виде

(24)
где

- выходной сигнал как функция угла падения

и азимутального угла

(рисунок 8).
Рисунок 8. Система координат для определения функции

Примечание. Рекомендуется функцию

представлять отдельно для горизонтальной

и вертикальной

плоскости в виде:
- для горизонтальной

; (25)
- для вертикальной

(26)
Идеальная чувствительность люксметров с полуцилиндрической насадкой в горизонтальной плоскости представлена на рисунке 9.
Рисунок 9
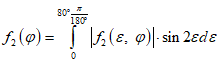
Коэффициент чувствительности люксметра к направлению излучения f2,SC определяют по формуле

. (27)
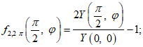
5.4.6. Люксметры с полусферической косинусной насадкой
Для люксметров с полусферической насадкой функцию

, характеризующую отклонение сигнала люксметра в зависимости от направления падающего излучения, представляют в виде

, (28)
где

- выходной сигнал как функция угла падения

и азимутального угла

(рисунок 10).
Рисунок 10. Система координат для определения функции

Примечание. Рекомендуется функцию

представлять отдельно для горизонтальной

и вертикальной

плоскости в виде:
- для горизонтальной

(29)
- для вертикальной

. (30)
Идеальная чувствительность люксметров с полусферической насадкой в вертикальной плоскости представлена на рисунке 11.
Рисунок 11
Коэффициент чувствительности люксметра к направлению излучения

определяют по формуле

(31)
5.5. Влияние направления излучения на показания яркомеров
Яркомеры предназначены для измерения яркости поверхности с равномерной светимостью, при этом яркость поверхности, находящейся за пределами зоны измерений, не должна влиять на результаты измерений. Функция влияния направления на чувствительность яркомера используется для описания оценки влияния направления и влияния яркости поверхности, находящейся за пределами зоны измерений.
Чувствительность яркомера к направлению излучения на приемную поверхность фотометрической головки зависит от угла падения светового пучка. Функция влияния направления излучения зависит от формы и оптической конструкции фотометрической головки и рассеяния света в оптической системе. В частных случаях функция влияния направления может быть получена при дополнении фотометрической головки линзами или сменными объективами.
Для измерения функции влияния направления излучения источник излучения располагают на достаточно большом расстоянии от измеряемой поверхности, так чтобы размер зоны освещения от источника был не более 5% от угла зоны измерений

, то есть максимального угла между внешним краем зоны измерений и оптической осью. Яркомер должен быть сфокусирован на источник излучения. Измерения могут быть проведены двумя способами:
- яркомер вращают вокруг оси входной диафрагмы прибора;
- источник излучения перемещают в плоскости, перпендикулярной оптической оси фотометра при фиксированном положении фотометрической головки.
Выходной сигнал как функцию угла падения света измеряют не менее чем при четырех равных пространственных направлениях угла

. Влияние рассеянного света на приемную поверхность не допускают.
5.5.1. Функция чувствительности к направлению излучения
Функцию чувствительности яркомеров к направлению излучения

представляют в виде

, (32)
где

- выходной сигнал при угле падения

и азимутальном угле
(рисунок 12);

- выходной сигнал при азимутальном угле

и падении излучения в направлении оптической оси фотометрической головки.
1 - оптическая ось; 2 - входная диафрагма;

- угол падения, измеренный относительно оптической оси;

- азимутальный угол
Рисунок 12. Система координат для определения функции

Коэффициент чувствительности яркомера к направлению излучения f2,g определяют по формуле

, (33)
где Ymin - минимальный выходной сигнал при угле падения внутри 90% площади зоны измерений;
Ymax - максимальный выходной сигнал при угле падения внутри 90% площади зоны измерений.
Функции коэффициентов зависимости от угла

и

представляют в виде:

, (34)

, (35)
где

- средний угол, внутри которого выходной сигнал составляет не менее 0,9 части величины излучения, направленного вдоль оптической оси;

- средний угол, внутри которого выходной сигнал составляет не менее 0,1 части величины излучения, направленного вдоль оптической оси;

- средний угол, внутри которого выходной сигнал составляет не менее 0,01 части величины излучения, направленного вдоль оптической оси.
Значения коэффициентов

и

усредняют по результатам измерений не менее чем в четырех равноудаленных плоскостях.
Симметричность направления измерений характеризуется функцией коэффициента f2,s

, (36)
где Y
max - максимальный выходной сигнал при

;
Y
min - минимальный выходной сигнал при

;

- угол для сигнала Y
max;

- угол для сигнала Y
min.
5.5.2. Измерение влияния поверхности, окружающей зону измерений
При измерении влияния яркости поверхности, окружающей зону измерений, применяют равномерно отражающую поверхность, площадь которой не менее чем в 10 раз больше площади измеряемой зоны. Яркость такой поверхности должна быть такой, чтобы она обеспечивала сигнал, не менее чем в десять раз больший максимального выходного сигнала наиболее чувствительного диапазона прибора.
Перед отражающей поверхностью устанавливают ловушку (поверхность с пренебрежимо малой яркостью) и центрируют ее относительно измеряемой зоны. Размеры ловушки должны превышать более чем на 10% размеры измеряемой зоны (рисунок 13). Влияние яркости поверхности измеряют с ловушкой и без ловушки.
1 - измеряемое поле (диаметр d); 2 - наблюдаемое поле;
3 - ловушка
Рисунок 13. Положение и размеры ловушки для измерений
параметров функции f2,u
Влияние окружающей освещенной зоны характеризуется функцией f2,u

, (37)
где Yокр - выходной сигнал при измерении с ловушкой, то есть измеряемое поле черное, а окружающее поле - яркое;
Yобщ - выходной сигнал при измерении без ловушки, то есть измеряемое поле и окружающее поле - яркие.
Линейность фотометра - изменение значения выходного сигнала пропорционально изменению входного сигнала. Фотодетектор линеен только выше определенного уровня диапазона входных сигналов. На диапазон линейности фотометра влияет качество используемых электронных схем.
Линейность фотометров определяют методом сравнения с эталонным фотометром с известной линейностью. Линейность эталонного фотометра должна быть определена с максимальной точностью с использованием принципа аддитивности световых потоков с применением различных источников излучения или апертур.
Функцию отклонения от линейности f3(Y) представляют в виде

, (38)
где Y - выходной сигнал при освещении фотометра излучением величиной X;
Xmax - входное значение, соответствующее максимальному выходному сигналу Ymax, то есть максимальному значению диапазона измерений;
Ymax - выходной сигнал при освещении фотометра излучением величиной Xmax.
Коэффициент f3 применяют для определения по формуле (39) характеристики отклонения от линейности в каждом диапазоне измерений.
f3 = max[f3(Y)]. (39)
Это соответствует максимальному значению функции f3(Y) при измерениях от 10% верхнего значения диапазона до верхнего значения - для всех диапазонов, кроме наиболее чувствительного диапазона. Для наиболее чувствительного диапазона - от минимального до максимального значения диапазона.
Коэффициент f3 учитывают для каждого диапазона измерений.
Точность показаний фотометров с аналоговым дисплеем зависит от класса аналоговой аппаратуры. Точность показаний фотометров с цифровым дисплеем зависит от разрешения.
Примечание. Показатель класса - максимальная погрешность выходного сигнала при измерениях на всей шкале прибора.
5.7.1. Аналоговый дисплей
Для аналоговых дисплеев коэффициент точности показаний дисплея определяют по формуле
f4 = k · ic, (40)
где k - коэффициент, соответствующий изменению диапазона выходного сигнала (то есть k = 10, когда переключение диапазона измерений пропорционально 1:10);
i
c - показатель класса согласно
[4].
Коэффициент k определяют по формуле

, (41)
где YB,max - максимальное значение показаний шкалы в наименее чувствительном диапазоне B;
YA,max - максимальное значение показаний шкалы в наиболее чувствительном диапазоне A.
Значение параметра f4 выбирают на границе диапазонов, то есть при максимальной погрешности.
5.7.2. Цифровой дисплей
Для цифровых дисплеев коэффициент точности показаний дисплея определяют по формуле

, (42)
где fдисплея - относительное отклонение цифрового дисплея;
k - коэффициент изменения диапазона;
Pmax - максимальная разрядность дисплея цифрового прибора;
D - возможное отклонение последней значащей цифры.
5.8. Утомляемость фотометрической головки
Утомляемость фотометрической головки - обратимые

изменения чувствительности при постоянных условиях измерений, вызванные облучением фотодетектора. В процессе измерений может изменяться как спектральная, так и световая чувствительность. Утомляемость возрастает с увеличением уровня излучения, падающего на светочувствительный фотодетектор.
Утомляемость фотометрической головки измеряют при стабильной во времени освещенности, равной 5000 лк. Условия измерений должны быть стабильными. Перед началом измерений фотометрическую головку выдерживают не менее 24 ч в темноте. Выходной сигнал определяют как функцию времени освещения.
Утомляемость определяют с использованием функции систематического отклонения f5(t) по формуле

, (43)
где t - время выдержки фотометрической головки при постоянном уровне облучения;
Y(t) - выходной сигнал за то же время t;
t0 - контрольное время.
Для характеристики утомляемости используют коэффициент f5, определяемый по формуле

, (44)
где Y(t = 30 мин) - выходной сигнал через 30 мин после начала облучения;
Y(t0 = 10 с) - выходной сигнал через 10 с после начала облучения.
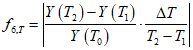
Точность измерений зависит от температуры и определяется влиянием температуры окружающего воздуха на абсолютную и относительную спектральную чувствительность фотометрической головки. Если фотометрическую головку применяют при температуре, отличающейся от температуры при ее калибровке, погрешность измерений возрастает.
Перед началом измерений фотометрическую головку выдерживают при заданной температуре измерений до достижения температурного равновесия.
Выходной сигнал измеряют не менее чем при трех температурах: 5 °C, 25 °C (стандартная температура измерений), 40 °C. Измерения проводят при уровне освещения фотометрической головки, соответствующем максимальному значению выбранного диапазона измерений. Выбирают достаточно низкий уровень излучения, чтобы минимизировать эффект утомляемости.
Температурную зависимость представляют функцией f6,T(T) в виде

, (45)
где Y(T) - выходной сигнал при температуре T;
Y(T0) - выходной сигнал при температуре 25 °C.
Коэффициент f6,T определяют по формуле

, (46)
где T
2 = 40 °C; T
1 = 5 °C; T
0 = 25 °C;

.
Фотометр должен быть устойчивым к воздействию влажности в определенных пределах. Устойчивость фотометра к влажности воздуха определяют методом сравнения его характеристик до и после выдержки в условиях повышенной влажности по коэффициенту f6,H.
Перед началом измерений фотометр выдерживают при заданной температуре и влажности измерений до достижения равновесия с условиями окружающей среды. Температуру окружающей среды устанавливают в интервале от 21 °C до 27 °C и поддерживают в процессе измерений с точностью не менее 2 °C.
Устанавливают относительную влажность в интервале от 45% до 75%. Фотометр выдерживают не менее 3 ч в данных условиях измерений. Фотометр устанавливают на фотометрической скамье и освещают стандартной лампой для измерений силы света, расположенной на фиксированном расстоянии от фотометра. Фиксируют показания прибора Yдо.
Устанавливают относительную влажность в интервале от 85% до 95% без конденсации. Фотометр выдерживают в заданных условиях не менее 3 ч. Затем устанавливают первоначальное значение относительной влажности воздуха, и при освещении фотометра той же лампой фиксируют его показания Yпосле.
Коэффициент устойчивости фотометра к влажности воздуха f6,H определяют по формуле

. (47)
5.11. Модулированный свет
При измерении модулированного света показания фотометра могут отличаться от среднеарифметических значений, если частота модулированного света ниже нижнего или выше верхнего пределов частоты реагирования фотометра, если превышена пиковая мощность, или недостаточно времени для восстановления фотометра.
Нижний и верхний предел синусоидально модулированного света (рисунок 14) - интервал частот, выше и ниже которых показания фотометра отличаются не более чем на 5% от показаний для немодулированного света с тем же среднеарифметическим значением.
Рисунок 14. Синусоидально модулированный свет первого
уровня модуляции
Для определения влияния частоты модуляции измерения проводят с применением света с различной частотой модуляции. При этом среднеарифметическое значение показаний фотометра должно быть постоянным при различных частотах модуляции.
Измерения верхнего и нижнего пределов частоты выполняют одним из двух способов:
- с использованием светодиодов, сила света которых синусоидально модулируется с помощью источника питания;
- с использованием секторного вращающегося диска в комбинации с лампой постоянного тока (до частоты 104 Гц).
Для секторного диска с пятидесятипроцентным пропусканием уровень сигнала для измерений модулированного излучения должен быть меньше половины полной шкалы диапазона измерений.
Значение функции влияния частоты модуляции света

вычисляют по формуле

, (48)
где

- выходной сигнал при облучении немодулированным светом

;

- выходной сигнал при облучении, модулированном с частотой

, с тем же среднеарифметическим значением, что и при облучении немодулированным светом.
Для фотометров, предназначенных для измерений высокочастотных источников излучения (высокочастотные флуоресцентные лампы, пульсирующие светодиоды), значение функции

устанавливают дополнительно.
5.12. Поляризованный свет
Линейно поляризованный квазипараллельно падающий свет, плоскость поляризации которого вращается вокруг направления излучения, может оказывать влияние на показания фотометра.
Примечание. Показания люксметра могут зависеть от поляризации в определенном диапазоне углов падения света. Для люксметров с цилиндрической и полуцилиндрической косинусными насадками и яркомеров с полуцилиндрической косинусной насадкой такая зависимость может наблюдаться и при перпендикулярном к приемной поверхности фотоголовки падении светового пучка.
Для измерения влияния поляризованного света используют точечный источник неполяризованного света согласно
5.4 и
5.5. Неполяризованное излучение поляризуется с помощью установки двух поляризационных пластин (поляризатора) перед источником излучения. Для изменения положения плоскости поляризации поляризатор вращают вокруг направления излучения и измеряют максимальное Y
max и минимальное Y
min значения сигнала фотометра.
Примечания
1. Свет, излучаемый лампой накаливания, полностью поляризован. Деполяризация достигается установкой перед лампой под небольшим углом стеклянной пластины. Для достижения полной деполяризации света оптимальное положение стеклянной пластины определяют с помощью не зависящего от поляризации света детектора (например, безоконного кремниевого плоского светодиода, установленного перпендикулярно падающему излучению), который располагают за поляризационным фильтром.
2. Для подтверждения полной поляризации используют второй поляризатор. После того как будет установлена полная поляризация излучения для проведения измерений Ymax и Ymin, второй поляризатор убирают.
Функцию влияния поляризации излучения

представляют в виде

, (49)
где

- угол отклонения падающего излучения от оптической оси;

- азимутальный угол.
Значения

устанавливают при следующих условиях измерений:
- для люксметров:

,

;

,

;
- для люксметров со сферической насадкой:

;
- для люксметров с цилиндрической и полуцилиндрической насадками:

,

;

,

;
- для яркомеров:

.
5.13. Пространственная неоднородность
Чувствительность и относительная спектральная чувствительность фотометрической головки может зависеть от распределения интенсивности падающего светового пучка на приемной апертуре. Поэтому приемная апертура должна быть равномерно освещена.
Для измерения пространственной неоднородности источник излучения устанавливают согласно
5.4 для люксметров и согласно
5.5 для яркомеров. Круглую апертуру с диаметром, равным 1/10 диаметра приемной поверхности фотометра, устанавливают перед приемной апертурой фотометра. Попадание рассеянного света на приемную апертуру не допустимо.
Круглую апертуру устанавливают в следующих положениях:
- центр полностью открытой круглой апертуры совпадает с центром приемной апертуры;
- центр полностью открытой круглой апертуры располагается в точке, находящейся на расстоянии 2/3 радиуса от центра приемной апертуры. Пространственную неоднородность измеряют в четырех точках с интервалом в 90° вокруг центра входной апертуры.
Значение функции влияния пространственной неоднородности f9 определяют по формуле

(50)
где Yi - выходной сигнал от падающего излучения Xi в каждой из четырех точек, расположенных на радиусе приемной апертуры;
Y1 - выходной сигнал падающего излучения X1 в центре приемной апертуры.
5.14. Изменение диапазона измерений
Изменение диапазона измерений - систематическое отклонение, возникающее при переходе фотометра на следующий диапазон измерений.
Для измерения отклонения показаний, возникающего при изменении диапазона измерений, освещенность фотометрической головки устанавливают на уровне, соответствующем 90% верхнего предела шкалы в наиболее низком диапазоне измерений I. Затем освещенность увеличивают в соответствии с коэффициентом k по
5.7.1. При увеличении освещенности диапазон измерений меняется с диапазона I на более высокий диапазон II. Фиксируют показания в следующем диапазоне измерений.
Для фотометров с линейной зависимостью выходного сигнала от интенсивности падающего излучения требуемую освещенность воспроизводят точной установкой тока на источнике излучения при выключенном фотометре.
Коэффициент отклонения показаний фотометра при изменении диапазона измерений f11 определяют по формуле

, (51)
где YA - показания прибора в диапазоне I для входного сигнала XA, соответствующего 90% полной шкалы (максимальное значение для цифровых фотометров);
YB - показания прибора в следующем, более высоком диапазоне B для входного сигнала XB, большего, чем сигнал XA.
Коэффициент f11 определяют для каждого диапазона измерений.
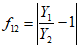
5.15. Расстояние фокусировки для яркомеров
При измерении влияния изменения расстояния фокусировки применяют стандарт яркости, площадь поверхности которого значительно больше измеряемой зоны. Стандарт яркости выбирают таким, чтобы выходной сигнал прибора соответствовал 90% полной шкалы измеряемого диапазона. Выходной сигнал измеряют на максимальном и минимальном расстоянии фокусировки фотометрической головки, определяемом изготовителем.
Коэффициент влияния изменения расстояния фокусировки f12 определяют по формуле

, (52)
где Y1 - выходной сигнал при фокусировке на минимальном расстоянии;
Y2 - выходной сигнал при фокусировке на максимальном расстоянии.
(обязательное)
СПЕКТРАЛЬНЫЕ ХАРАКТЕРИСТИКИ
ИСТОЧНИКОВ ИЗЛУЧЕНИЯ И ФИЛЬТРОВ, ПРИМЕНЯЕМЫХ ДЛЯ ИЗМЕРЕНИЯ
ЧУВСТВИТЕЛЬНОСТИ ФОТОМЕТРОВ К УЛЬТРАФИОЛЕТОВОМУ
И ИНФРАКРАСНОМУ ИЗЛУЧЕНИЮ
Таблица А.1
Номинальные значения спектрального коэффициента пропускания

УФ-фильтров
Длина волны  , нм | |
< 250 | 0 |
250 | 0,00067 |
255 | 0,00811 |
260 | 0,0360 |
265 | 0,0928 |
270 | 0,176 |
275 | 0,285 |
280 | 0,385 |
285 | 0,476 |
290 | 0,556 |
295 | 0,612 |
300 | 0,654 |
305 | 0,684 |
310 | 0,705 |
315 | 0,723 |
320 | 0,731 |
325 | 0,739 |
330 | 0,743 |
335 | 0,741 |
340 | 0,733 |
345 | 0,721 |
350 | 0,703 |
355 | 0,674 |
360 | 0,628 |
365 | 0,556 |
370 | 0,447 |
375 | 0,303 |
380 | 0,145 |
385 | 0,0397 |
390 | 0,0044 |
395 | 0,00014 |
400 - 675 | 0 |
680 | 0,00050 |
685 | 0,00213 |
690 | 0,00637 |
695 | 0,0134 |
700 | 0,0209 |
705 | 0,0287 |
710 | 0,0367 |
715 | 0,0404 |
720 | 0,0383 |
725 | 0,0325 |
730 | 0,0254 |
735 | 0,0188 |
740 | 0,0132 |
745 | 0,00907 |
750 | 0,00614 |
755 | 0,00404 |
760 | 0,00264 |
765 | 0,00168 |
770 | 0,00105 |
775 | 0,00067 |
780 | 0,00043 |
785 | 0,00027 |
790 | 0,00018 |
795 | 0,00012 |
> 795 | 0 |
Таблица А.2
Номинальные значения относительного спектрального
распределения

излучения УФ-лампы
Длина волны  , нм | |
< 335 | 0 |
335 | 0,0002 |
340 | 0,0019 |
345 | 0,0130 |
350 | 0,0621 |
355 | 0,209 |
360 | 0,499 |
365 | 0,840 |
370 | 1 |
375 | 0,840 |
380 | 0,499 |
385 | 0,210 |
390 | 0,0621 |
395 | 0,0130 |
400 | 0,0019 |
405 | 0,0002 |

для длины волны больше 405 нм, кроме

. Отношение видимой части спектра (545 нм) к ультрафиолетовой (<= 405 нм) составляет 35 лк·(Вт·м
-2)
-1.
Таблица А.3
Номинальные значения спектрального коэффициента
пропускания

ИК-фильтров
Длина волны  , нм | |
< 760 | 0 |
760 | 0,0012 |
765 | 0,0057 |
770 | 0,0198 |
775 | 0,0534 |
780 | 0,114 |
785 | 0,203 |
790 | 0,310 |
795 | 0,421 |
800 | 0,524 |
805 | 0,609 |
810 | 0,676 |
815 | 0,729 |
820 | 0,769 |
825 | 0,796 |
830 | 0,814 |
835 | 0,826 |
840 | 0,842 |
845 | 0,847 |
850 | 0,852 |
855 | 0,857 |
860 - 1100 | 0,860 |
| | Государственная система обеспечения единства измерений. Применение "Руководства по выражению неопределенности измерений" |
| Рекомендации KOOMET R/GM/21:2011 | Использование понятий "погрешность измерения" и "неопределенность измерения". Общие принципы |
| | Государственная система обеспечения единства измерений. Методы определения межповерочных и межкалибровочных интервалов средств измерений |
| IEC 60051-1 (1997) | Приборы аналоговые, электроизмерительные, показывающие, прямого действия и части к ним. Часть 1. Определения и основные требования, общие для всех частей |