Главная // Актуальные документы // ГОСТ Р (Государственный стандарт)
СПРАВКА
Источник публикации
М.: Стандартинформ, 2014
Примечание к документу
Документ введен в действие с 1 января 2015 года.
Название документа
"ГОСТ Р 8.827-2013. Национальный стандарт Российской Федерации. Государственная система обеспечения единства измерений. Метод измерения и определения индекса цветопередачи источников излучения"
(утв. и введен в действие Приказом Росстандарта от 06.09.2013 N 1012-ст)

"ГОСТ Р 8.827-2013. Национальный стандарт Российской Федерации. Государственная система обеспечения единства измерений. Метод измерения и определения индекса цветопередачи источников излучения"
(утв. и введен в действие Приказом Росстандарта от 06.09.2013 N 1012-ст)


Содержание


Утвержден и введен в действие
Приказом Федерального
агентства по техническому
регулированию и метрологии
от 6 сентября 2013 г. N 1012-ст
НАЦИОНАЛЬНЫЙ СТАНДАРТ РОССИЙСКОЙ ФЕДЕРАЦИИ
ГОСУДАРСТВЕННАЯ СИСТЕМА ОБЕСПЕЧЕНИЯ ЕДИНСТВА ИЗМЕРЕНИЙ
МЕТОД ИЗМЕРЕНИЯ И ОПРЕДЕЛЕНИЯ ИНДЕКСА
ЦВЕТОПЕРЕДАЧИ ИСТОЧНИКОВ ИЗЛУЧЕНИЯ
State system for ensuring the uniformity of measurements.
Method of measuring and specifying Colour Rendering
Index of light sources
ГОСТ Р 8.827-2013
ОКС 17.180
Дата введения
1 января 2015 года
Предисловие
1. Разработан Федеральным государственным унитарным предприятием "Всероссийский научно-исследовательский институт оптико-физических измерений (ФГУП "ВНИИОФИ").
2. Внесен Техническим комитетом по стандартизации ТК 206 "Эталоны и поверочные схемы", Подкомитет ПК-10 "Оптические и оптико-физические измерения".
3. Утвержден и введен в действие Приказом Федерального агентства по техническому регулированию и метрологии от 6 сентября 2013 г. N 1012-ст.
4. Введен впервые.
Правила применения настоящего стандарта установлены в ГОСТ Р 1.0-2012 (раздел 8). Информация об изменениях к настоящему стандарту публикуется в ежегодном (по состоянию на 1 января текущего года) информационном указателе "Национальные стандарты", а официальный текст изменений и поправок - в ежемесячном информационном указателе "Национальные стандарты". В случае пересмотра (замены) или отмены настоящего стандарта соответствующее уведомление будет опубликовано в ближайшем выпуске информационного указателя "Национальные стандарты". Соответствующая информация, уведомление и тексты размещаются также в информационной системе общего пользования - на официальном сайте Федерального агентства по техническому регулированию и метрологии в сети Интернет (gost.ru).
1. Область применения
Настоящий стандарт распространяется на большинство основных источников излучения (лампы накаливания, трубчатые и компактные люминесцентные лампы, а также газоразрядные электрические лампы других типов, кроме источников монохроматического излучения) и устанавливает методы измерения и определения их индекса цветопередачи.
2. Нормативные ссылки
В настоящем стандарте использованы нормативные ссылки на следующие стандарты:
ГОСТ 8.205-90 Государственная система обеспечения единства измерений. Государственная поверочная схема для средств измерений координат цвета и координат цветности
ГОСТ 7601-78 Физическая оптика. Термины, буквенные обозначения и определения основных величин
ГОСТ 7721-89 Источники света для измерений цвета. Типы. Технические требования. Маркировка
ИС МЕГАНОРМ: примечание.
ГОСТ 26148-84 утратил силу с 1 июля 2017 года в связи с введением в действие ГОСТ 8.654-2016 (Приказ Росстандарта от 13.10.2016 N 1393-ст).
ГОСТ 26148-84 Фотометрия. Термины и определения
Примечание. При пользовании настоящим стандартом целесообразно проверить действие ссылочных стандартов в информационной системе общего пользования - на официальном сайте Федерального агентства по техническому регулированию и метрологии в сети Интернет или по ежегодному информационному указателю "Национальные стандарты", который опубликован по состоянию на 1 января текущего года, и по выпускам ежемесячного информационного указателя "Национальные стандарты" за текущий год. Если заменен ссылочный стандарт, на который дана недатированная ссылка, то рекомендуется использовать действующую версию этого стандарта с учетом всех внесенных в данную версию изменений. Если заменен ссылочный стандарт, на который дана датированная ссылка, то рекомендуется использовать версию этого стандарта с указанным выше годом утверждения (принятия). Если после утверждения настоящего стандарта в ссылочный стандарт, на который дана датированная ссылка, внесено изменение, затрагивающее положение, на которое дана ссылка, то это положение рекомендуется применять без учета данного изменения. Если ссылочный стандарт отменен без замены, то положение, в котором дана ссылка на него, рекомендуется применять в части, не затрагивающей эту ссылку.
3. Термины и определения
В настоящем стандарте применены термины и обозначения по ГОСТ 7601, ГОСТ 26148, а также следующие термины с соответствующими определениями и обозначениями:
3.1. Колориметрия: наука о методах измерения и количественного выражения цвета.
3.2. Коррелированная цветовая температура: температура излучателя Планка, воспринимаемый цвет которого наиболее близко характеризует данное цветовое излучение при той же светлоте и тех же стандартных условиях наблюдения.
3.3. Равноконтрастное цветовое пространство МКО 1964 [1]: цветовое пространство, получаемое построением ортогональных осей координат, значения которых определяют по формулам:
W* = 25Y1/3 - 17; (1)
U* = 13W*(u - u0); (2)
V* = 13W*(v - v0); (3)
1 <= Y <= 100, (4)
где u, v - координаты равноконтрастного цветового графика МКО 1960 г. [1]; u0, v0 - значения этих переменных для выбранного ахроматического цвета.
ИС МЕГАНОРМ: примечание.
Нумерация пунктов дана в соответствии с официальным текстом документа.
3.3. Цветопередача: влияние источника излучения на цвет объекта по сравнению с его цветом при освещении эталонным источником излучения, имеющим ту же цветовую температуру.
3.4. Индекс цветопередачи; R: мера степени отклонения цвета объекта при освещении источником излучения по сравнению с цветом объекта при освещении эталонным источником излучения.
3.5. Специальный индекс цветопередачи; Ri: индекс цветопередачи i-го образца цвета.
3.6. Цветность: качественная характеристика цвета, определяемая его координатами цветности.
3.7. Спектрорадиометр: прибор для измерения энергетических величин в узких интервалах длин волн определенного спектрального диапазона.
4. Требования к условиям проведения измерений и оборудованию
4.1. Условия измерений
При выполнении измерений соблюдают следующие условия:
- температура окружающего воздуха - (25 +/- 2) °C;
- относительная влажность - (65 +/- 20)%;
- атмосферное давление - (101 +/- 4) кПа;
- напряжение питающей сети - (220 +/- 22) В.
4.2. Требования к эталонным источникам излучения
Эталонный источник излучения должен соответствовать требованиям ГОСТ 7721.
Эталонный источник излучения должен иметь данные спектрального распределения энергии излучения в пределах длин волн видимого спектра с интервалом не более 10 nm.
Эталонный и исследуемый источники излучения должны иметь различие цветности не более чем 5,4·10-3 [2].
Различие цветности между исследуемым источником излучения (uk, vk) и эталонным источником излучения (ur, vr), согласно [2], может быть рассчитано по формуле
ИС МЕГАНОРМ: примечание.
Формула дана в соответствии с официальным текстом документа.
. (5)
4.3. Требования к образцам цвета
Для измерений применяют набор из восьми основных и шести дополнительных образцов цвета [2].
Цвета основных и дополнительных образцов представлены в таблице А.1 (Приложение А).
Основные образцы покрыты краской различной насыщенности и примерно одинаковой яркости. Спектральный коэффициент яркости восьми основных образцов представлен в таблице Б.1 (Приложение Б).
Цвета дополнительных образцов имеют большие различия в яркости и насыщенности. Спектральный коэффициент яркости шести дополнительных образцов представлен в таблице В.1 (Приложение В).
Спектральный коэффициент яркости определяется в геометрии освещения/наблюдения 0/45 [1].
5. Определение индекса цветопередачи
5.1. Определение координат цвета образцов
Измеряют относительное спектральное распределение энергии источника излучения .
Рассчитывают координаты цвета X, Y, Z и координаты цветности x, y по формулам:
; (6)
; (7)
; (8)
; (9)
; (10)
где , , - функции сложения цветов;
k - нормирующий коэффициент, определяемый по формуле
. (11)
Все координаты должны быть представлены значениями с четырьмя десятичными знаками.
5.2. Преобразование координат X, Y, Z и x, y в координаты u, v
Координаты X, Y, Z и x, y должны быть преобразованы в координаты u, v равноконтрастного цветового графика МКО 1960 г. [1] по формулам:
u = 4X/(X + 15Y + 3Z); (12)
v = 6Y/(X + 15Y + 3Z); (13)
u = 4x/(-2x + 12y + 3); (14)
v = 6y/(-2x + 12y + 3). (15)
5.3. Учет цветового смещения
Координаты цвета с учетом цветового смещения и , получаемого вследствие разницы между исследуемым и эталонным излучателями, в результате различной цветовой адаптации при освещении исследуемым и эталонным излучателями рассчитываются по формулам:
; (16)
, (17)
где i - номер образца цвета, функции c и d рассчитывают для исследуемого источника излучения и для образцов цвета, освещаемых этим источником излучения, по формулам:
; (18)
. (19)
Таким образом, и .
5.4. Преобразование в координаты равноконтрастного цветового пространства
Полученные координаты цвета (u, v) преобразуют в координаты равноконтрастного цветового пространства [1] по формулам:
; (20)
; (21)
; (22)
; (23)
; (24)
. (25)
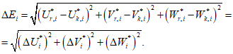
5.5. Определение результирующего цветового смещения
Разница между воспринимаемым цветом i-го образца цвета при освещении исследуемым и эталонным источниками излучения определяют по формуле
(26)
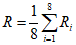
5.6. Расчет индекса цветопередачи
Специальный индекс цветопередачи для каждого образца цвета рассчитывается по формуле:
. (27)
Результат округляется до ближайшего целого числа.
Индекс цветопередачи R рассчитывают по формуле
. (28)
Приложение А
(Обязательное)
ОБРАЗЦЫ ЦВЕТА ДЛЯ ОПРЕДЕЛЕНИЯ ИНДЕКСА ЦВЕТОПЕРЕДАЧИ
Таблица А.1
Образцы цвета для определения индекса цветопередачи [2]
Номер образца
Обозначения цветов в цветовой системе Мансела
Цвет образца при дневном свете
1
7,5 R 6/4
Светлый серо-красный
2
5 Y 6/4
Темный серо-желтый
3
5 GY 6/8
Насыщенный желто-зеленый
4
2,5 G 6/6
Средний желто-зеленый
5
10 BG 6/4
Светлый голубовато-зеленый
6
5 PB 6/8
Светлый синий
7
2,5 P 6/8
Светлый фиолетовый
8
10 P 6/8
Светлый красновато-пурпурный
9
4,5 R 4/13
Насыщенный красный
10
5 Y 8/10
Насыщенный желтый
11
4,5 G 5/8
Насыщенный зеленый
12
3 PB 3/11
Насыщенный синий
13
5 YR 8/4
Светлый желто-розовый (кожа человека)
14
5 GY 4/4
Средний оливково-зеленый (зеленый лист)
Приложение Б
(Обязательное)
СПЕКТРАЛЬНЫЙ КОЭФФИЦИЕНТ ЯРКОСТИ ВОСЬМИ ОСНОВНЫХ
ОБРАЗЦОВ ЦВЕТА, ПРИМЕНЯЕМЫХ ДЛЯ ИЗМЕРЕНИЯ ИНДЕКСА
ЦВЕТОПЕРЕДАЧИ [2]
Таблица Б.1
Длина волны , nm
для восьми основных образцов цвета
01
02
03
04
05
06
07
08
360
0,116
0,053
0,058
0,057
0,143
0,079
0,150
0,075
365
0,136
0,055
0,059
0,059
0,187
0,081
0,177
0,078
370
0,159
0,059
0,061
0,062
0,233
0,089
0,218
0,084
375
0,190
0,064
0,063
0,067
0,269
0,113
0,293
0,090
380
0,219
0,070
0,065
0,074
0,295
0,151
0,378
0,104
385
0,239
0,079
0,068
0,083
0,306
0,203
0,459
0,129
390
0,252
0,089
0,070
0,093
0,310
0,265
0,524
0,170
395
0,256
0,101
0,072
0,105
0,312
0,339
0,546
0,240
400
0,256
0,111
0,073
0,116
0,313
0,410
0,551
0,319
405
0,254
0,116
0,073
0,121
0,315
0,464
0,555
0,416
410
0,252
0,118
0,074
0,124
0,319
0,492
0,559
0,462
415
0,248
0,120
0,074
0,126
0,322
0,508
0,560
0,482
420
0,244
0,121
0,074
0,128
0,326
0,517
0,561
0,490
425
0,240
0,122
0,073
0,131
0,330
0,524
0,558
0,488
430
0,237
0,122
0,073
0,135
0,334
0,531
0,556
0,482
435
0,232
0,122
0,073
0,139
0,339
0,538
0,551
0,473
440
0,230
0,123
0,073
0,144
0,346
0,544
0,544
0,462
445
0,226
0,124
0,073
0,151
0,352
0,551
0,535
0,450
450
0,225
0,127
0,074
0,161
0,360
0,556
0,522
0,439
455
0,222
0,128
0,075
0,172
0,369
0,556
0,506
0,426
460
0,220
0,131
0,077
0,186
0,381
0,554
0,488
0,413
465
0,218
0,134
0,080
0,205
0,394
0,549
0,469
0,397
470
0,216
0,138
0,085
0,229
0,403
0,541
0,448
0,382
475
0,214
0,143
0,094
0,254
0,410
0,531
0,429
0,366
480
0,214
0,150
0,109
0,281
0,415
0,519
0,408
0,352
485
0,214
0,159
0,126
0,308
0,418
0,504
0,385
0,337
490
0,216
0,174
0,148
0,332
0,419
0,488
0,363
0,325
495
0,218
0,190
0,172
0,352
0,417
0,469
0,341
0,310
500
0,223
0,207
0,198
0,370
0,413
0,450
0,324
0,299
505
0,225
0,225
0,221
0,383
0,409
0,431
0,311
0,289
510
0,226
0,242
0,241
0,390
0,403
0,414
0,301
0,283
515
0,226
0,253
0,260
0,394
0,396
0,395
0,291
0,276
520
0,225
0,260
0,278
0,395
0,389
0,377
0,283
0,270
525
0,225
0,264
0,302
0,392
0,381
0,358
0,273
0,262
530
0,227
0,267
0,339
0,385
0,372
0,341
0,265
0,256
535
0,230
0,269
0,370
0,377
0,363
0,326
0,260
0,251
540
0,236
0,272
0,392
0,367
0,353
0,309
0,257
0,250
545
0,245
0,276
0,399
0,354
0,342
0,293
0,257
0,251
550
0,253
0,282
0,400
0,341
0,331
0,279
0,259
0,254
555
0,262
0,289
0,393
0,327
0,320
0,265
0,260
0,258
560
0,272
0,299
0,380
0,312
0,308
0,253
0,260
0,264
565
0,283
0,309
0,365
0,296
0,296
0,241
0,258
0,269
570
0,298
0,322
0,349
0,280
0,284
0,234
0,258
0,272
575
0,318
0,329
0,332
0,263
0,271
0,227
0,254
0,274
580
0,341
0,335
0,315
0,247
0,260
0,225
0,254
0,278
585
0,367
0,339
0,299
0,229
0,247
0,222
0,259
0,284
590
0,390
0,341
0,285
0,214
0,232
0,221
0,270
0,295
595
0,409
0,341
0,272
0,198
0,220
0,220
0,284
0,316
600
0,424
0,342
0,264
0,185
0,210
0,220
0,302
0,348
605
0,435
0,342
0,257
0,175
0,200
0,220
0,324
0,384
610
0,442
0,342
0,252
0,169
0,194
0,220
0,344
0,434
615
0,448
0,341
0,247
0,164
0,189
0,220
0,362
0,482
620
0,450
0,341
0,241
0,160
0,185
0,223
0,377
0,528
625
0,451
0,339
0,235
0,156
0,183
0,227
0,389
0,568
630
0,451
0,339
0,229
0,154
0,180
0,223
0,400
0,604
635
0,451
0,338
0,224
0,152
0,177
0,239
0,410
0,629
640
0,451
0,338
0,220
0,151
0,176
0,244
0,420
0,648
645
0,451
0,337
0,217
0,149
0,175
0,251
0,429
0,663
650
0,450
0,336
0,216
0,148
0,175
0,258
0,438
0,676
655
0,450
0,335
0,216
0,148
0,175
0,263
0,445
0,685
660
0,451
0,334
0,219
0,148
0,175
0,068
0,452
0,693
665
0,451
0,332
0,224
0,149
0,177
0,273
0,457
0,700
670
0,453
0,332
0,230
0,151
0,180
0,278
0,462
0,705
675
0,454
0,331
0,238
0,154
0,183
0,281
0,466
0,709
680
0,455
0,331
0,251
0,158
0,186
0,283
0,468
0,712
685
0,457
0,330
0,269
0,162
0,189
0,286
0,470
0,715
690
0,458
0,329
0,288
0,165
0,192
0,291
0,473
0,717
695
0,460
0,328
0,312
0,168
0,195
0,296
0,477
0,719
700
0,462
0,328
0,340
0,170
0,199
0,302
0,483
0,721
705
0,463
0,327
0,368
0,171
0,200
0,313
0,489
0,720
710
0,464
0,326
0,390
0,170
0,199
0,325
0,496
0,719
715
0,465
0,325
0,412
0,168
0,198
0,338
0,503
0,722
720
0,466
0,324
0,431
0,166
0,196
0,351
0,511
0,725
725
0,466
0,324
0,447
0,164
0,195
0,364
0,518
0,727
730
0,466
0,324
0,460
0,164
0,195
0,376
0,525
0,729
735
0,466
0,232
0,472
0,165
0,196
0,389
0,532
0,730
740
0,467
0,322
0,481
0,168
0,197
0,401
0,539
0,730
745
0,467
0,321
0,488
0,172
0,200
0,413
0,546
0,730
750
0,467
0,320
0,493
0,177
0,203
0,425
0,553
0,730
755
0,467
0,318
0,497
0,181
0,205
0,436
0,559
0,730
760
0,467
0,316
0,500
0,185
0,208
0,447
0,565
0,730
765
0,467
0,315
0,502
0,189
0,212
0,458
0,570
0,730
770
0,467
0,315
0,505
0,192
0,215
0,469
0,575
0,730
775
0,467
0,314
0,510
0,194
0,217
0,477
0,578
0,730
780
0,467
0,314
0,516
0,197
0,219
0,485
0,581
0,730
785
0,467
0,313
0,520
0,200
0,222
0,493
0,583
0,730
790
0,467
0,313
0,524
0,204
0,226
0,500
0,585
0,731
795
0,466
0,312
0,527
0,210
0,231
0,506
0,587
0,731
800
0,466
0,312
0,531
0,218
0,237
0,512
0,588
0,731
805
0,466
0,311
0,535
0,225
0,243
0,517
0,589
0,731
810
0,466
0,311
0,539
0,233
0,249
0,521
0,590
0,731
815
0,466
0,311
0,544
0,234
0,257
0,525
0,590
0,731
820
0,465
0,311
0,548
0,254
0,266
0,529
0,590
0,731
825
0,464
0,311
0,552
0,264
0,273
0,532
0,591
0,731
830
0,464
0,310
0,555
0,274
0,280
0,535
0,592
0,731
Приложение В
(Обязательное)
СПЕКТРАЛЬНЫЙ КОЭФФИЦИЕНТ ЯРКОСТИ ШЕСТИ
ДОПОЛНИТЕЛЬНЫХ ОБРАЗЦОВ ЦВЕТА, ИСПОЛЬЗУЕМЫХ
ДЛЯ ИЗМЕРЕНИЯ ИНДЕКСА ЦВЕТОПЕРЕДАЧИ
Таблица В.1
Длина волны , nm
для шести дополнительных образцов цвета
09
10
11
12
13
14
360
0,069
0,042
0,074
0,0189
0,071
0,036
365
0,072
0,043
0,079
0,175
0,076
0,036
370
0,073
0,045
0,086
0,158
0,082
0,036
375
0,070
0,047
0,098
0,139
0,090
0,036
380
0,066
0,050
0,111
0,120
0,104
0,036
385
0,062
0,054
0,121
0,103
0,127
0,036
390
0,058
0,059
0,127
0,090
0,161
0,037
395
0,055
0,063
0,129
0,082
0,211
0,038
400
0,052
0,066
0,127
0,076
0,254
0,039
405
0,052
0,067
0,121
0,068
0,313
0,039
410
0,051
0,068
0,116
0,064
0,341
0,040
415
0,050
0,069
0,112
0,065
0,352
0,041
420
0,050
0,069
0,108
0,075
0,359
0,042
425
0,049
0,070
0,105
0,093
0,361
0,042
430
0,048
0,072
0,104
0,123
0,364
0,043
435
0,047
0,073
0,104
0,160
0,365
0,044
440
0,046
0,076
0,105
0,207
0,367
0,044
445
0,044
0,078
0,106
0,256
0,369
0,045
450
0,042
0,083
0,110
0,300
0,372
0,045
455
0,041
0,088
0,115
0,331
0,374
0,046
460
0,038
0,095
0,123
0,346
0,376
0,047
465
0,035
0,103
0,134
0,347
0,379
0,048
470
0,033
0,113
0,148
0,341
0,384
0,050
475
0,031
0,125
0,167
0,328
0,389
0,052
480
0,030
0,142
0,192
0,307
0,397
0,055
485
0,029
0,162
0,219
0,282
0,405
0,057
490
0,028
0,189
0,252
0,257
0,416
0,062
495
0,028
0,219
0,291
0,230
0,429
0,067
500
0,028
0,262
0,325
0,204
0,443
0,075
505
0,029
0,305
0,347
0,178
0,454
0,083
510
0,030
0,365
0,356
0,154
0,461
0,092
515
0,030
0,416
0,353
0,129
0,466
0,100
520
0,031
0,465
0,346
0,109
0,469
0,108
525
0,031
0,509
0,333
0,090
0,471
0,121
530
0,032
0,546
0,314
0,075
0,474
0,133
535
0,032
0,581
0,294
0,062
0,476
0,142
540
0,033
0,610
0,271
0,051
0,483
0,150
545
0,034
0,634
0,248
0,041
0,490
0,154
550
0,035
0,653
0,227
0,035
0,506
0,155
555
0,037
0,666
0,206
0,029
0,526
0,152
560
0,041
0,678
0,188
0,025
0,553
0,147
565
0,044
0,687
0,170
0,022
0,582
0,140
570
0,048
0,693
0,153
0,019
0,618
0,133
575
0,052
0,696
0,138
0,017
0,651
0,125
580
0,060
0,701
0,125
0,017
0,680
0,118
585
0,076
0,704
0,114
0,017
0,701
0,112
590
0,102
0,705
0,106
0,016
0,717
0,106
595
0,136
0,705
0,100
0,016
0,729
0,101
600
0,190
0,706
0,096
0,016
0,736
0,096
605
0,256
0,707
0,092
0,016
0,742
0,095
610
0,336
0,707
0,090
0,016
0,745
0,093
615
0,418
0,707
0,087
0,016
0,747
0,090
620
0,505
0,708
0,085
0,016
0,748
0,089
625
0,581
0,708
0,082
0,016
0,748
0,087
630
0,641
0,710
0,080
0,018
0,748
0,086
635
0,682
0,711
0,079
0,018
0,748
0,085
640
0,717
0,712
0,078
0,018
0,748
0,084
645
0,740
0,714
0,078
0,018
0,748
0,084
650
0,758
0,716
0,078
0,019
0,718
0,084
655
0,770
0,718
0,078
0,020
0,748
0,084
660
0,781
0,720
0,081
0,023
0,747
0,085
665
0,790
0,722
0,083
0,024
0,747
0,087
670
0,797
0,725
0,088
0,026
0,747
0,092
675
0,803
0,729
0,093
0,030
0,747
0,096
680
0,809
0,731
0,102
0,035
0,747
0,102
685
0,814
0,735
0,112
0,043
0,747
0,110
690
0,819
0,739
0,125
0,056
0,747
0,123
695
0,824
0,742
0,141
0,074
0,746
0,137
700
0,828
0,746
0,161
0,097
0,746
0,152
705
0,830
0,748
0,182
0,128
0,746
0,169
710
0,831
0,749
0,203
0,166
0,745
0,188
715
0,833
0,751
0,223
0,210
0,744
0,207
720
0,835
0,753
0,242
0,257
0,743
0,226
725
0,836
0,754
0,257
0,305
0,744
0,243
730
0,836
0,755
0,270
0,354
0,745
0,260
735
0,837
0,755
0,282
0,401
0,748
0,277
740
0,838
0,755
0,292
0,446
0,750
0,294
745
0,839
0,755
0,302
0,485
0,750
0,310
750
0,839
0,756
0,310
0,520
0,749
0,325
755
0,839
0,757
0,314
0,551
0,748
0,339
760
0,839
0,758
0,317
0,577
0,748
0,353
765
0,839
0,759
0,323
0,599
0,747
0,366
770
0,839
0,759
0,330
0,618
0,747
0,379
775
0,839
0,759
0,334
0,633
0,747
0,390
780
0,839
0,759
0,338
0,645
0,747
0,399
785
0,839
0,759
0,343
0,656
0,746
0,406
790
0,839
0,759
0,348
0,666
0,746
0,416
795
0,839
0,759
0,353
0,647
0,746
0,422
800
0,839
0,759
0,359
0,680
0,746
0,428
805
0,839
0,759
0,365
0,686
0,745
0,434
810
0,838
0,758
0,372
0,691
0,745
0,439
815
0,837
0,757
0,380
0,694
0,745
0,444
820
0,837
0,757
0,388
0,697
0,745
0,448
825
0,836
0,756
0,396
0,700
0,745
0,451
830
0,836
0,756
0,403
0,702
0,745
0,454
БИБЛИОГРАФИЯ
[1]
Рекомендации Международной комиссии по освещению (МКО), Публикация N 015
Колориметрия
[2]
Рекомендации Международной комиссии по освещению (МКО), Публикация N 13.3
Метод измерения и определения характеристик цветопередачи источников излучения