Главная // Актуальные документы // ГОСТ Р (Государственный стандарт)
СПРАВКА
Источник публикации
М.: Стандартинформ, 2015
Примечание к документу
Документ введен в действие с 1 января 2016 года.
Название документа
"ГОСТ Р ИСО 17984-2014. Национальный стандарт Российской Федерации. Материалы текстильные. Покрытия напольные текстильные машинного производства. Методы определения изменения размеров после воздействия тепла и/или воды"
(утв. и введен в действие Приказом Росстандарта от 26.11.2014 N 1923-ст)

"ГОСТ Р ИСО 17984-2014. Национальный стандарт Российской Федерации. Материалы текстильные. Покрытия напольные текстильные машинного производства. Методы определения изменения размеров после воздействия тепла и/или воды"
(утв. и введен в действие Приказом Росстандарта от 26.11.2014 N 1923-ст)


Содержание


Утвержден и введен в действие
Приказом Федерального
агентства по техническому
регулированию и метрологии
от 26 ноября 2014 г. N 1923-ст
НАЦИОНАЛЬНЫЙ СТАНДАРТ РОССИЙСКОЙ ФЕДЕРАЦИИ
МАТЕРИАЛЫ ТЕКСТИЛЬНЫЕ
ПОКРЫТИЯ НАПОЛЬНЫЕ ТЕКСТИЛЬНЫЕ МАШИННОГО ПРОИЗВОДСТВА
МЕТОДЫ ОПРЕДЕЛЕНИЯ ИЗМЕНЕНИЯ РАЗМЕРОВ ПОСЛЕ ВОЗДЕЙСТВИЯ
ТЕПЛА И/ИЛИ ВОДЫ
Machine-made textile floor coverings.
Determination of dimensional changes after exposure
to heat and/or water
ISO 17984:2001
Machine-made textile floor coverings -
Determination of dimensional changes after exposure
to heat and/or water
(IDT)
ГОСТ Р ИСО 17984-2014
ОКС 59.080.60
83 9000
ОКП 81 7000
Дата введения
1 января 2016 года
Предисловие
1. Подготовлен Техническим комитетом по стандартизации ТК 412 "Текстиль", Открытым акционерным обществом "Всероссийский научно-исследовательский институт сертификации" (ОАО "ВНИИС") на основе собственного аутентичного перевода на русский язык международного стандарта, указанного в пункте 4.
2. Внесен Управлением технического регулирования и стандартизации Федерального агентства по техническому регулированию и метрологии.
3. Утвержден и введен в действие Приказом Федерального агентства по техническому регулированию и метрологии от 26 ноября 2014 г. N 1923-ст.
4. Настоящий стандарт идентичен международному стандарту ИСО 17984:2001 "Покрытия текстильные напольные машинного производства. Определение изменения размеров после воздействия тепла и/или воды" (ISO 17984:2001 "Machine-made textile floor coverings - Determination of dimensional changes after exposure to heat and/or water").
Наименование настоящего стандарта изменено относительно наименования указанного международного стандарта для приведения в соответствие с ГОСТ Р 1.5 (пункт 3.5).
В разделе "Нормативные ссылки" ссылки на международные стандарты актуализированы.
При применении настоящего стандарта рекомендуется использовать вместо ссылочных международных стандартов соответствующие им национальные стандарты Российской Федерации, сведения о которых приведены в дополнительном Приложении ДА.
5. Введен впервые.
Правила применения настоящего стандарта установлены в ГОСТ Р 1.0-2012 (раздел 8). Информация об изменениях к настоящему стандарту публикуется в ежегодном (по состоянию на 1 января текущего года) информационном указателе "Национальные стандарты", а официальный текст изменений и поправок - в ежемесячном информационном указателе "Национальные стандарты". В случае пересмотра (замены) или отмены настоящего стандарта соответствующее уведомление будет опубликовано в ближайшем выпуске информационного указателя "Национальные стандарты". Соответствующая информация, уведомление и тексты размещаются также в информационной системе общего пользования - на официальном сайте Федерального агентства по техническому регулированию и метрологии в сети Интернет (gost.ru).
1. Область применения
Настоящий стандарт устанавливает методы определения изменений размеров текстильных напольных покрытий машинного производства в одной плоскости и вне плоскости, которые происходят под воздействием на них тепла, воды или различного сочетания этих факторов.
Ко всем текстильным напольным покрытиям машинного производства, в т.ч. изготовленным в форме плитки, применимы следующие методы:
- метод 1: Определение изменений размеров после воздействия тепла;
- метод 2: Определение изменений размеров после погружения в воду;
- метод 3: Определение изменений размеров в результате различных условий воздействия тепла и воды;
- метод 4: Определение изменений размеров вне плоскости.
2. Нормативные ссылки
В настоящем стандарте используются ссылки на следующие международные стандарты:
Издание официальное
ИСО 139:2005 Изделия текстильные. Стандартные атмосферные условия для проведения кондиционирования и испытаний (ISO 139:2005 Textiles - Standard atmospheres for conditioning and testing)
ИСО 1957:2000 Покрытия напольные текстильные машинного производства. Отбор и вырезание образцов для физических испытаний (ISO 1957:2000 Machine-made textile floor coverings - Selection and cutting of specimens for physical tests)
ИСО 2424:2007 Покрытия напольные текстильные. Словарь (ISO 2424:2007 Textiles floor coverings - Vocabulary).
3. Термины и определения
В настоящем стандарте применены термины и определения, приведенные в ИСО 2424.
4. Принцип
Выполняют сопоставление размеров в плоскости или вне плоскости испытуемого образца после его предварительного кондиционирования в стандартных атмосферных условиях, установленных для испытаний текстиля, и после воздействия тепла или воды или установленных различных условий воздействия тепла и воды.
5. Аппаратура
5.1. Методы 1, 2 и 3
5.1.1. Инструмент для измерения длины с точностью до 0,1 мм, например, оптическая скамья или механическое устройство с манометром.
5.1.2. Листовое стеклянное полотно размером чуть меньше испытуемого образца или другие приспособления для того, чтобы держать образец в плоскости при выполнении измерений. Этого не требуется, если прибор в 5.1.1 включает стеклянную или металлическую пластинку.
5.1.3. Стальные булавки или другие подходящие средства для указания контрольных точек на испытуемом образце, если необходимо.
Примечание. Подходящее оборудование, включающее 5.1.1, 5.1.2 и 5.1.3, приведено в Приложении А.
5.2. Методы 1 и 3
5.2.1. Вентилируемая сушильная печь, обеспечивающая регулировку температуры на уровне (60 +/- 2) °C, и перфорированные и покрытые лаком полки, которые можно поместить в печь.
5.2.2. Эксикатор или аналогичное приспособление для выдерживания образцов в сухих условиях.
5.3. Методы 2 и 3
5.3.1. Емкость с водой при температуре (20 +/- 2) °C, размерами, по крайней мере, на 20 мм больше, чем размеры испытуемого образца, и достаточно глубокая, чтобы погрузить испытуемый образец в воду полностью.
5.3.2. Жесткий перфорированный лоток достаточного размера, чтобы вместил образец.
5.3.3. Эффективное смачивающее вещество, например, диоктилсульфосукцинат натрия, или додецилбензолсульфонат натрия.
5.3.4. Средства обеспечения принудительной циркуляции окружающего воздуха, если требуется.
5.4. Метод 4 (если используется совместно с методами 1, 2 или 3)
5.4.1. Шаблон или прибор, обеспечивающие измерение вертикального размера с точностью до 0,5 мм.
6. Отбор и подготовка образцов для испытаний
6.1. Отбор образцов
Производят в соответствии с ИСО 1957.
6.2. Количество и размеры образцов для испытания
Отбирают не менее трех образцов, каждый размерами не менее (450 x 450) мм, отмечая направление изготовления.
6.3. Кондиционирование
Укладывают образцы на плоскость по одному, рабочей (лицевой) поверхностью вверх, и выдерживают в стандартных атмосферных условиях для испытания в течение не менее 48 ч, пока они не достигнут постоянной массы (определяемой как отсутствие изменения массы с течением времени более чем на 1%), если взвешивать каждый час в течение 3 ч.
7. Проведение испытаний
7.1. Метод 1: Определение изменения размеров после воздействия тепла
Выполняют первые измерения (l0) на полностью кондиционированном образце, используя, например, метод, изложенный в Приложении А.
Помещают образец на жесткий перфорированный лоток (5.3.2) рабочей поверхностью вверх и кладут на полку в сушильную печь (5.2.1) с поддерживаемой температурой (60 +/- 2) °C. Выдерживают образец в печи в течение 24 ч. Извлекают образец из печи и сразу же помещают в эксикатор или аналогичное устройство (5.2.2) для охлаждения. При достижении температуры образца (20 +/- 2) °C извлекают его из эксикатора и сразу же измеряют размеры (l1), используя, например, метод, изложенный в Приложении А.
Оставляют образцы в стандартных атмосферных условиях для испытаний, чтобы произошло повторное кондиционирование до постоянной массы (см. 6.3). Определяют размеры (l2) с точностью до 0,1 мм, используя, например, метод, изложенный в Приложении А. Отмечают окончательный внешний вид образца.
7.2. Метод 2: Определение изменения размеров после погружения в воду
Выполняют пять измерений (l0) на полностью кондиционированном образце, используя, например, метод, изложенный в Приложении А.
Помещают образец на жесткий перфорированный лоток рабочей поверхностью вверх и погружают в горизонтальном положении в воду, в которую добавлено 0,5 г/л эффективного смачивающего вещества (5.3.3), рассчитанного с учетом содержания активного вещества, при температуре (20 +/- 2) °C. Вымачивают образец в воде в течение 2 ч, следя за тем, чтобы образец был погружен в воду полностью. Вынимают лоток из воды, приняв меры, чтобы не повредить форму образца. Оставляют стекать на горизонтальной поверхности в течение (5 +/- 1) мин. Помещают образец на измерительную доску (5.1.1) и снова измеряют размеры (l1), используя, например, метод, изложенный в Приложении А.
Сушат образец на лотке в стандартных атмосферных условиях для испытаний, как изложено в разделе 6, используя, при необходимости, принудительную циркуляцию воздуха (5.3.4), до получения постоянной массы (см. 6.3). Определяют размеры (l2), используя, например, метод, изложенный в Приложении А. Отмечают окончательный внешний вид образца.
7.3. Метод 3: Определение изменения размеров за счет эффектов переменных условий нагревания и погружения в воду
7.3.1. Первоначальное измерение образца
Выполняют все измерения на кондиционированном образце в плоском состоянии; этого можно достичь с помощью стеклянного листа (5.1.2) или иными средствами.
На кондиционированном образце измеряют расстояния между краями, параллельными направлению изготовления, и между краями, перпендикулярными к направлению изготовления, осуществляя каждое измерение в двух местах, расположенных друг от друга на расстоянии приблизительно 200 мм. Если принятый метод измерения требует, отмечают пары контрольных точек, например, с помощью стальных булавок (5.1.3), на расстоянии приблизительно 200 мм друг от друга у края, параллельного направлению изготовления, а также у края, расположенного перпендикулярно к этому направлению. Все измерения выполняют на изнаночной стороне образца с точностью до 0,1 мм.
Примечание. Изделия из нескольких слоев, например, конструкции с покрытием из пеноматериала, следует измерять на изнаночной и лицевой сторонах, и результаты этих измерений представить в протоколе испытаний.
7.3.2. Определение
Помещают образец, лежащий свободно на перфорированной, покрытой лаком полке, в сушильную печь (5.2.1) с поддерживаемой температурой на уровне (60 +/- 2) °C. Выдерживают образец в печи в течение 2 ч, затем извлекают и измеряют в течение от 6 до 7 мин после этого расстояние между двумя параллельными краями или двумя наборами контрольных точек с точностью до 0,1 мм.
Уложенный горизонтально образец погружают в воду при температуре (20 +/- 2) °C и вымачивают в течение 2 ч. Извлекают образец из воды, приняв меры, чтобы не повредить его форму. Избыток влаги можно удалить, поместив образец между листами промокательной бумаги. В течение (5 +/- 1) мин после извлечения образца из воды снова измеряют расстояние между двумя параллельными краями или двумя наборами контрольных точек в соответствии с 7.1.
Сушат образец в течение 24 ч в печи при температуре (60 +/- 2) °C в тех же самых условиях, как раньше. В течение от 6 до 7 мин после удаления образца из печи снова измеряют расстояние между двумя параллельными краями или двумя наборами контрольных точек в соответствии с 7.1.
Оставляют образец на 48 ч в стандартных атмосферных условиях для испытания.
Измеряют расстояние между двумя параллельными краями или двумя наборами контрольных точек с точностью до 0,1 мм, отмечают окончательный внешний вид образца и оценивают степень деформации как слабую, умеренную или сильную, устанавливают природу повреждения, т.е. вспучивание, образование вмятин или морщин.
7.4. Метод 4: Изменение размеров вне плоскости
Измеряют вертикальную деформацию, которую образец проявляет изначально и после обработки в различных установленных условиях нагревания, погружения в воду или в сочетании того и другого, используя устройство, изложенное в 5.4.1, и плиту, представленную в А.2.1.
Помещают образец на опорную плиту рабочей поверхностью вверх и измеряют расстояние между плитой и изнаночной стороной образца в различных точках вдоль кромок (закручивание кромок).
Регистрируют максимальное закручивание кромки с точностью до 0,5 мм с каждой стороны образца как максимальное расстояние между изнаночной стороной образца и опорной плитой.
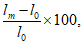
8. Двухмерная стабильность
Рассчитывают среднее арифметическое значение размеров, полученных для всех образцов в направлении изготовления и в перпендикулярном ему, для каждой стадии, изложенной в разделе 7.
В каждом случае вычисляют наблюдаемые вариации и выражают в процентах, с точностью до 0,05%, по формуле
где l0 - среднее арифметическое значение от первоначальных измерений;
lm - среднее арифметическое значение от измерений на каждой стадии, изложенной в разделе 7.
Указывают усадку знаком минус, а увеличение размеров - знаком плюс.
9. Протокол испытаний
Протокол испытаний должен содержать следующую информацию:
a) использованный метод(ы) испытаний;
b) заявление, что испытание проводилось в соответствии с настоящим стандартом, и описание всех операций, не включенных в документ или необязательных;
c) отдельные для каждого образца значения измерений, выполненных в направлении изготовления и в перпендикулярном ему направлении, наряду с результатами, полученными в соответствии с разделом 8;
d) описание окончательного внешнего вида образцов, т.е. определение типа деформации: слабой, умеренной или сильной;
e) указание типа использованного измерительного устройства;
f) максимальное закручивание кромки с каждой стороны образца;
g) описание всех отклонений от стандартного метода.
Приложение А
(справочное)
ОПРЕДЕЛЕНИЕ РАЗМЕРОВ ОБРАЗЦОВ ТЕКСТИЛЬНЫХ
НАПОЛЬНЫХ ПОКРЫТИЙ
А.1. Область применения
Этот метод применяется к текстильным напольным покрытиям всех типов с максимальной толщиной 15 мм.
А.2. Аппаратура
А.2.1. Жесткая, прочная, гладкая и водонепроницаемая опорная плита
Опорная плита должна состоять, например, из металла или судостроительной фанеры, покрытой слоистой пластмассой, и иметь размер, подходящий для размещения на ней испытуемого образца. Два упора шириной приблизительно 25 мм и высотой приблизительно 15 мм, расположенных под прямым углом вдоль двух соседних сторон с зазором приблизительно 1 мм в углу. На каждой из двух противоположных сторон выполнено по два паза или прорези шириной приблизительно 20 мм и длиной не менее 20 мм для помещения прижимной лапки микрометров с круговой шкалой. Прорези располагаются от упоров на 1/3 и 2/3 от номинального размера образца (длины стороны) и необходимы для того, чтобы позволить перемещать прижимные лапки на расстояние +/- 10 мм от номинального размера образца (см. рисунок А.1).
А.2.2. Четыре микрометра с круговой шкалой
Каждый микрометр имеет прижимную лапку диаметром 20 мм, траверс более 20 мм и обеспечивает измерение с точностью до 0,1 мм и работу с нагрузкой приблизительно от 0,5 до 1 Н. Микрометры устанавливают по центру в пределах паза или прорези, так чтобы оси их располагались в горизонтальной плоскости, а центры находились на 5 мм выше уровня основания. Требуются средства для удерживания шпинделей прижимных лапок микрометров в положении максимума.
Подходящее устройство показано на рисунках А.1 и А.2.
Примечание. На устройстве может поместиться не один образец номинальных размеров, если переустановить микрометры с круговой шкалой и/или использовать дополнительные упоры.
А.2.3. Металлические квадраты или рейсшины
Это известные размеры, равноценные номинальным размерам образца, с точностью до 0,25 мм (для калибровки позиции инструмента).
А.2.4. Прямоугольные пластинки
Они на 10 мм меньше номинального размера образца массой приблизительно 5 кг/м2 (для покрывания образцов во время испытания).
А.3. Образцы для испытания
А.3.1. Отбор, количество, размеры и кондиционирование образцов
Отбор, количество, размеры и кондиционирование образцов должны соответствовать использованному стандартному методу.
Примечание. Отбор проб осуществляется в соответствии с ИСО 1957.
А.3.2. Маркировка
Там где возможно, следует идентифицировать направление изготовления. Все измерения следует выполнять со ссылкой на это направление, а стороны обозначить A, B, C, D, как показано на рисунке А.3. Если направление изготовления идентифицировать невозможно, следует идентифицировать это направление произвольно и обозначить соответствующие стороны.
А.4. Проведение испытания
А.4.1. Держа шпиндели прижимных лапок микрометров в положении максимумов, помещают подходящие калибровочный квадрат или рейсшину на опорную плиту и обеспечивают ее контакт с упорами. Отпускают шпиндели и получают нулевое показание для каждого микрометра. Снова фиксируют шпиндели в положении максимумов и убирают калибровочный квадрат.
А.4.2. Помещают образец изнаночной стороной вверх на устройство, плотно прижав сторону A к верхнему упору и, как минимум, часть стороны D приводят в контакт с боковым упором, особенно внимательно следя за тем, чтобы при этом не произошло отпружинивания. Помещают плоскую пластинку подходящего размера сверху на образец по центру, следя за тем, чтобы образец оставался плоским и не сдвигался с места. Располагают лапки микрометров с круговой шкалой, расположенных напротив стороны A так, чтобы опереть на кромку образца, и снимают показания с обоих микрометров с точностью до 0,1 мм.
Со ссылкой на калибровку и посредством прибавления или вычитания нулевого показания рассчитывают два значения для размеров в направлении изготовления.
А.4.3. Снимают плоскую пластинку и перемещают образец так, чтобы сторона D плотно прижималась к боковому упору, и, по крайней мере, часть стороны A касалась верхнего упора (переустановки не потребуется, если стороны A и D расположены точно под прямым углом друг относительно друга). Передвигают плоскую пластинку и выполняют измерения в соответствии с 7.2, используя на этот раз микрометры, расположенные напротив стороны D. Снова рассчитывают два значения для размеров, расположенных под прямым углом к направлению изготовления.
1 - упоры; 2 - образец; 3 - пазы/прорези; 4 - микрометры
a - приблизительно 1 мм
Рисунок А.1
1 - упор; 2 - опорная плита; 3 - образец
Рисунок А.2
a - направление изготовления
Рисунок А.3
Приложение ДА
(справочное)
СВЕДЕНИЯ О СООТВЕТСТВИИ НАЦИОНАЛЬНЫХ СТАНДАРТОВ
РОССИЙСКОЙ ФЕДЕРАЦИИ ССЫЛОЧНЫМ МЕЖДУНАРОДНЫМ СТАНДАРТАМ
Таблица ДА.1
Обозначение ссылочного международного стандарта
Степень соответствия
Обозначение и наименование национального стандарта
ИСО 139:2005
IDT
ГОСТ Р ИСО 139-2007 "Изделия текстильные. Стандартные атмосферные условия для кондиционирования и проведения испытаний"
ИСО 1957:2000
-
<*>
ИСО 2424:2007
-
<*>
<*> Соответствующий национальный стандарт отсутствует.
Примечание. В настоящей таблице использованы следующие условные обозначения степени соответствия стандартов:
- IDT - идентичные стандарты.