Главная // Актуальные документы // ГОСТ Р (Государственный стандарт)СПРАВКА
Источник публикации
М.: Стандартинформ, 2015
Примечание к документу
Документ
введен в действие с 01.12.2015.
Название документа
"ГОСТ Р ИСО 12219-3-2014. Национальный стандарт Российской Федерации. Воздух внутреннего пространства автотранспортных средств. Часть 3. Скрининг выделения летучих органических соединений материалами внутренней отделки и деталей салона. Метод с применением микрокамеры"
(утв. и введен в действие Приказом Росстандарта от 11.11.2014 N 1552-ст)
"ГОСТ Р ИСО 12219-3-2014. Национальный стандарт Российской Федерации. Воздух внутреннего пространства автотранспортных средств. Часть 3. Скрининг выделения летучих органических соединений материалами внутренней отделки и деталей салона. Метод с применением микрокамеры"
(утв. и введен в действие Приказом Росстандарта от 11.11.2014 N 1552-ст)
Утвержден и введен в действие
по техническому регулированию
и метрологии
от 11 ноября 2014 г. N 1552-ст
НАЦИОНАЛЬНЫЙ СТАНДАРТ РОССИЙСКОЙ ФЕДЕРАЦИИ
ВОЗДУХ ВНУТРЕННЕГО ПРОСТРАНСТВА АВТОТРАНСПОРТНЫХ СРЕДСТВ
ЧАСТЬ 3
СКРИНИНГ ВЫДЕЛЕНИЯ ЛЕТУЧИХ ОРГАНИЧЕСКИХ СОЕДИНЕНИЙ
МАТЕРИАЛАМИ ВНУТРЕННЕЙ ОТДЕЛКИ И ДЕТАЛЕЙ САЛОНА
МЕТОД С ПРИМЕНЕНИЕМ МИКРОКАМЕРЫ
Interior air of road vehicles. Part 3. Screening method
for the determination of the emissions of volatile organic
compounds from vehicle interior parts
and materials. Micro-scale chamber method
ISO 12219-3:2012
Interior air of road vehicles - Part 3: Screening method
for the determination of the emissions of volatile organic
compounds from vehicle interior parts
and materials - Micro-scale chamber method
(IDT)
ГОСТ Р ИСО 12219-3-2014
Дата введения
1 декабря 2015 года
1 ПОДГОТОВЛЕН Открытым акционерным обществом "Научно-исследовательский центр контроля и диагностики технических систем" (АО "НИЦ КД") на основе собственного аутентичного перевода стандарта, указанного в
пункте 4
2 ВНЕСЕН Техническим комитетом по стандартизации ТК 457 "Качество воздуха"
3 УТВЕРЖДЕН И ВВЕДЕН В ДЕЙСТВИЕ
Приказом Федерального агентства по техническому регулированию и метрологии от 11 ноября 2014 г. N 1552-ст
4 Настоящий стандарт идентичен международному стандарту ИСО 12219-3:2012 "Воздух внутреннего пространства автотранспортных средств. Часть 3. Скрининг выделения летучих органических соединений материалами внутренней отделки и деталей салона. Метод с применением микрокамеры" (ISO 12219-3:2012 "Interior air of road vehicles - Part 3: Screening method for the determination of the emissions of volatile organic compounds from vehicle interior parts and materials - Micro-scale chamber method").
При применении настоящего стандарта рекомендуется использовать вместо ссылочных международных стандартов соответствующие им национальные стандарты Российской Федерации, сведения о которых приведены в дополнительном
приложении Д.А
5 ВВЕДЕН ВПЕРВЫЕ
Правила применения настоящего стандарта установлены в ГОСТ Р 1.0-2012 (раздел 8). Информация об изменениях к настоящему стандарту публикуется в ежегодном (по состоянию на 1 января текущего года) информационном указателе "Национальные стандарты", а официальный текст изменений и поправок - в ежемесячном информационном указателе "Национальные стандарты". В случае пересмотра (замены) или отмены настоящего стандарта соответствующее уведомление будет опубликовано в ближайшем выпуске информационного указателя "Национальные стандарты". Соответствующая информация, уведомление и тексты размещаются также в информационной системе общего пользования - на официальном сайте Федерального агентства по техническому регулированию и метрологии в сети Интернет (gost.ru)
Летучие органические соединения (ЛОС) широко применяются в промышленности, а также их могут выделять изделия и материалы ежедневного пользования. В последние годы изучение ЛОС связано с их отрицательным влиянием на качество воздуха замкнутых помещений. Помимо домов и рабочих мест люди длительное время проводят в своих автотранспортных средствах (АТС). В связи с этим важно определять выделение ЛОС материалами внутренней отделки салона и при необходимости снижать их содержание до приемлемого уровня. Таким образом, необходимо получить исчерпывающую и надежную информацию о качественном составе ЛОС, находящихся в воздухе салонов АТС, а также об их содержании.
Мониторинг выделения ЛОС компонентами внутренней отделки АТС может быть выполнен различными способами, и выбираемый подход зависит от ожидаемого результата и типа материала. Например для получения данных по оценке выделения ЛОС собранными узлами (например приборной панелью или сидением) необходимо применять эмиссионные камеры или эластичные емкости, имеющие достаточную вместимость для размещения в них собранного узла (обычно более 1 м3). Для проведения подобных испытаний необходимо несколько часов или даже суток, в зависимости от времени установления равновесия и требований соответствующего протокола испытаний.
В настоящем стандарте описан метод измерений содержания выделенных ЛОС различных типов и уровней содержания с применением микрокамер (
[2] -
[4]). Этим методом можно определить качественный и полуколичественный состав ЛОС, выделяемых продукцией в течение непродолжительных периодов времени, составляющих несколько минут, но не в течение продолжительных периодов времени, составляющих несколько суток или недель, необходимых для установления равновесия при проведении испытаний в камерах больших размеров. Вместимость подобных камер ограничена, поэтому наилучшим образом они подходят для испытания небольших узлов или представительных образцов однородных материалов или частей внутренней отделки салона АТС. При необходимости из одного и того же образца материала легко могут быть изготовлены несколько образцов для испытаний. Микрокамеры идеально подходят для контроля качества продукции и других испытаний, проводимых изготовителем при внутреннем контроле. Их можно применять в качестве дополнения вместе с применением больших камер и эластичных емкостей для отбора проб.
Методы количественного определения содержания летучих органических соединений установлены также в ИСО 16000-3,
[5], ИСО 16000-6,
[6],
[7],
[8],
[9],
[10] и в
[11] и
[12].
ПРЕДУПРЕЖДЕНИЕ - Пользователь настоящего стандарта несет ответственность за разработку соответствующих мер безопасности и охраны здоровья. Следуют требованиям безопасности, установленным в национальных нормативных документах.
Настоящий стандарт устанавливает метод скрининга с использованием микрокамер для быстрого качественного и полуколичественного определения парообразных органических соединений (летучих и среднелетучих), выделяемых материалами внутренней отделки салона автотранспортного средства (АТС) при условиях, моделирующих его реальную эксплуатацию. Этот метод предназначен для оценки компонентов внутренней отделки салона нового АТС, но в принципе он также может быть применен для компонентов АТС с пробегом.
К определяемым аналитам относятся ЛОС (с летучестью в диапазоне от н-гексана до н-гексадекана включительно) и летучие карбонильные соединения, такие как формальдегид. Метод количественного определения ЛОС установлен в 16000-6, формальдегида и некоторых других карбонильных соединений с невысокой молярной массой - в ИСО 16000-3.
Примечания
1 Также с применением этого метода могут быть определены некоторые другие соединения более летучие, чем
н-гексан и менее летучие, чем
н-гексадекан (подробная информация приведена в ИСО 16000-6:2011, приложении D; ИСО 16017-1
[11] и
приложении E).
2 Было показано, что результаты испытаний по определению выделения ЛОС сухими, однородными материалами, полученные с применением микрокамер для вновь изготовленных изделий, хорошо согласуются с данными, полученными с применением стандартных (референтных) методов и общепринятых эмиссионных испытательных камер (см. ИСО 12219-4,
[1] и
[6]) или испытательных ячеек (см.
[7]). Также имеется информация по корреляции с данными по выделению ЛОС, полученными с применением эластичных емкостей для отбора проб (см. ИСО 12219-2). Процедура, установленная в настоящем стандарте, будет полезна в качестве дополнения к существующим стандартам.
Настоящий стандарт представляет испытательным лабораториям и промышленности экономичный подход для:
a) мониторинга и скрининга выделений ЛОС как части рутинного контроля качества;
b) контроля постоянства качества продукции или соответствия результатам официальных сертификационных испытаний;
c) сравнения выделения ЛОС изделиями одного вида с разными заданными параметрами (например различного цвета или структуры);
d) оценке прототипа при разработке изделий и материалов с низким выделением.
Примечание - Все летучие карбонильные соединения за исключением формальдегида могут быть количественно определены в соответствии с ИСО 16000-6.
В настоящем стандарте использованы нормативные ссылки на следующие международные стандарты:
ИСО 12219-1:2012 Воздух внутреннего пространства автотранспортных средств. Часть 1. Камера для испытания автотранспортного средства. Технические требования и условия испытания для определения летучих органических соединений в воздухе салона (ISO 12219-1:2012, Interior air of road vehicles - Part 1: Whole vehicle test chamber - Specification and method for the determination of volatile organic compounds in cabin interiors)
ИСО 16000-3:2011 Воздух замкнутых помещений. Часть 3. Определение содержания формальдегида и других карбонильных соединений в воздухе внутри помещения и воздухе испытательной камеры. Метод активного отбора проб (ISO 16000-3:2011, Indoor air - Part 3: Determination of formaldehyde and other carbonyl compounds in indoor air and test chamber air - Active sampling method)
ИСО 16000-6:2011 Воздух замкнутых помещений. Часть 6. Определение летучих органических соединений в воздухе замкнутых помещений и испытательной камеры путем активного отбора проб на сорбент Tenax TA с последующей термической десорбцией и газохроматографическим анализом с использованием МСД или МСД/ПИД (ISO 16000-6:2011, Indoor air - Part 6: Determination of volatile organic compounds in indoor and test chamber air by active sampling on

sorbent, thermal desorption and gas chromatography using MS or MS-FID)
В настоящем стандарте применены следующие термины с соответствующими определениями:
3.1 компонент внутренней отделки автотранспортного средства (vehicle trim component): Часть детали или материал внутренней отделки АТС.
Испытание проводят с целью определения удельной (на единицу площади или массы) интенсивности выделения ЛОС компонентами салона АТС. Испытания проводят в испытательной микрокамере при постоянной температуре и расходе газа. Площадь поверхности (или масса) образца в испытательной микрокамере постоянна, и на основе измерения массы или содержания паров выделяемых соединений может быть вычислена интенсивность выделения ЛОС изделием на единицу площади (или массы) в течение заданного времени
t (см.
раздел 10).
Полученные результаты могут быть использованы для оценки характеристик изделия по отношению к уровням выделения ЛОС - либо путем сравнения с контрольными уровнями либо путем сравнения с результатами испытаний других изделий или партий изделий.
5 Требование к аппаратуре
5.1 Общие положения
Общие характеристики и требования, которым должны соответствовать микрокамеры всех типов, приведены в 5.1 -
5.5. Общие принципы устройства микрокамер описаны в
приложении A, а конкретные варианты микрокамер - в
приложениях B -
D.
Микрокамера должна состоять из следующих компонентов:
- непосредственно самой микрокамеры;
- устройства нагрева;
- линии подачи чистого газа и, при необходимости, системы увлажнения.
Примечание - Большинство образцов обладают достаточной собственной влажностью, что облегчает скрининг формальдегида в соответствии с ИСО 16000-3 при коротком испытании в микрокамере. Поэтому обычно для применения этого метода скрининга увлажнение не требуется.
- соответствующие системы мониторинга и контроля (для подтверждения того, что испытание проходит в заданных условиях);
- соответствующие сорбционные трубки для улавливания паров ЛОС.
5.2 Материалы микрокамеры
Вместимость микрокамер может составлять от 30 до 1000 см
3 или 1 л (например, микрокамера, описанная в
приложении B, имеет вместимость 44,5 см
3). Они предназначены для испытаний различных материалов внутренней отделки и деталей салона АТС, строительных изделий и товаров широкого потребления при окружающей или повышенной температуре для определения паров выделяемых ими органических соединений.
Установка с микрокамерой может включать одну или несколько герметичных микрокамер, изготовленных из инертного, не выделяющего и не абсорбирующего ЛОС материала, такого как сталь с отполированной поверхностью или инертная нержавеющая сталь с покрытием из деактивированного стекла или кварца. Во всех случаях должны выполняться требования, приведенные в
5.4 и
5.5.
Любые уплотняющие материалы, например прокладки или О-образные кольца, используемые для герметизации дверок или крышек микрокамеры, не должны выделять и абсорбировать ЛОС и увеличивать их фоновое содержание в микрокамере. О-образные кольца или прокладки должны легко удаляться при проведении очистки или при замене. Микрокамеры должны легко демонтироваться и выниматься из держателей при проведении очистки в соответствии с
разделом 8.
5.3 Нагрев
Микрокамеры должны обеспечивать нагрев испытуемого образца до заданной температуры и ее постоянство на протяжении всего испытания. Температура должна поддерживаться постоянной с пределами допускаемого отклонения +/- 2 °C на протяжении всего испытания (см. также
6.1).
Для проведения очистки (см.
раздел 8) микрокамера должна выдерживать нагрев до температуры 100 °C и выше.
5.4 Устройства подачи и смешивания воздуха или газа
Устройство должно включать средства подачи чистого (с низким содержанием углеводородов), при необходимости увлажненного воздуха или газа в микрокамеру(ы) с постоянным контролируемом расходом с пределами допускаемого отклонения +/- 3%. Подаваемый воздух или газ не должны содержать ЛОС на уровне более установленного фонового содержания их в микрокамере (см.
6.3). Если подаваемый воздух или газ увлажняют, то вода, применяемая для увлажнения, также не должна содержать мешающие ЛОС.
Размещение входного и выходного отверстий для подачи воздуха или газа, вместимость микрокамеры и расход газа должны обеспечивать тщательное перемешивание таким образом, чтобы в микрокамере не оставалось застойного воздуха или газа. Входное и выходное отверстие для подачи воздуха или газа обычно располагают под прямым углом к поверхности образца для обеспечения оптимальных условий для турбулентного перемешивания. Микрокамеры, описанные в
приложении B и
приложении C, обычно применяют при расходе воздуха или газа в диапазоне от 20 до 500 мл/мин.
Примечания
1 Чаще всего применяют воздух, однако в некоторых случаях предпочтительнее использовать чистые инертные газы, такие как азот или гелий.
2 Условия турбулентности и перемешивания воздуха, газа в микрокамерах, схемы которых приведены в
приложениях B и
C, были оптимизированы за счет сведения к минимуму объема воздуха над поверхностью образца до 3,2 и 7,4 мл соответственно и ориентации входного и выходного отверстий для воздуха под прямым углом к поверхности образца. При такой конструкции расход воздуха более 10 и 20 мл/мин соответственно достаточен для обеспечения турбулентности, равномерного перемешивания и отсутствия застойных зон. Следует иметь в виду, что при недостаточной турбулентности и смешивании может произойти неполное извлечение аналита (см.
приложение E).
5.5 Утечки воздуха или газа
Микрокамеру можно считать достаточно герметичной, если поток воздуха или газа, проходящего через входное отверстие, отличается от общего потока воздуха или газа на выходе не более, чем на 5%. Проверку герметичности проводят перед каждым испытанием по определению извлечения (см.
приложение E), испытанием по определению фонового содержания (см.
9.2) и испытанием по определению выделения паров ЛОС (см.
9.3).
Пары следует отбирать на выходе микрокамеры путем подсоединения к ее выходному отверстию предварительно кондиционированных сорбционных трубок для улавливания летучих и среднелетучих органических соединений (см. ИСО 16000-6) или картриджа с ДНФГ или эквивалентного устройства для улавливания формальдегида и других летучих карбонильных соединений. Обычно микрокамеры представляют собой закрытые системы, из которых весь воздух или газ, находящийся внутри, выходит через устройство для улавливания паров.
Для улавливания ЛОС с летучестью в диапазоне от
н-гексана до
н-гексадекана чаще всего применяют Сорбент
<1>. Имеются другие сорбенты или комбинации сорбентов для улавливания соединений с летучестью, не входящей в указанный диапазон, при необходимости: более подробно они описаны в ИСО 16000-6, приложение D
<1>, ИСО 16017-1, приложение F.
--------------------------------
<1> Сорбент

- торговое наименование продукции, выпускаемой Buchem. Данная информация приведена для удобства пользователей настоящего стандарта и не является рекламой ИСО данной продукции. Допускается использовать другую продукцию, если с ее помощью можно получить аналогичные результаты.
<1> В соответствии с ИСО 16000-6, приложение D можно использовать сорбенты Carbopack X [Торговое наименование продукции, выпускаемой Supelco Corp. (US)], Carbograph 5 DT [Торговое наименование продукции, выпускаемой Lara S.r.l. (It)]. Можно использовать такие сорбенты, как углеродные молекулярные сита. Данная информация приведена для удобства пользователей настоящего стандарта и не является рекламой ИСО данной продукции. Допускается использовать другую продукцию, если с ее помощью можно получить аналогичные результаты.
Примечания
1 Руководство по выбору сорбента для улавливания определяемых ЛОС, элюирование которых происходит до
н-C
6 включительно, приведено в ИСО 16000-6, приложении D и ИСО 16017-1
[11].
2 Микрокамеры обычно работают при давлении, незначительно (< 20%) превышающем атмосферное, и включают устройства контроля и поддержания постоянства расхода газа независимо от того, подсоединена сорбционная трубка или нет. Если отбирают весь поток воздуха, покидающий микрокамеру, то при таком подходе может быть обеспечен постоянный расход воздуха через сорбционные трубки для улавливания паров без применения побудителей расхода (см,
приложения B и
C). Это облегчает работу при проведении регулярных проверок контроля качества в промышленных масштабах.
Обычно следует обеспечивать следующие условия испытаний.
Интенсивность выделения ЛОС зависит от конкретной температуры, поэтому важно поддерживать постоянную температуру (65 +/- 2) °C в микрокамере на протяжении всего испытания. Могут быть выбраны и другие значения температуры в зависимости от целей испытания и договоренности всех заинтересованных сторон.
6.2 Расход воздуха или газа через микрокамеру
Необходимо поддерживать постоянный расход воздуха или газа через каждую отдельную микрокамеру на протяжении всего испытания. Обычно расход составляет приблизительно 50 мл/мин для определения выделения ЛОС поверхностью образца. Испытания по определению выделения ЛОС сыпучими материалами, когда образец находится на дне микрокамеры и задействован

объем воздуха внутри микрокамеры, рекомендуется проводить при более высоком расходе (например, от 100 до 200 мл/мин). Также рекомендуется применять

расход при определении среднелетучих органических соединений (СЛОС) с высокой температурой кипения для сведения к минимуму эффектов поглощения.
Скрининг выделения формальдегида поверхностью образца рекомендуется проводить при расходе 250 мл/мин в соответствии с ИСО 16000-3.
Примечание - Скрининг формальдегида с применением микрокамер может быть проведен при более низком расходе или меньшей продолжительности отбора проб; однако в этом случае могут быть не достигнуты пределы обнаружения, установленные в ИСО 16000-3.
Испытания по определению извлечения аналитов (см.
приложение E) следует проводить регулярно (например один раз в месяц), также и с целью оценки адекватности турбулентности и смешивания воздуха в микрокамере и для обнаружения больших застойных зон. Удовлетворительным можно считать извлечение > 80% для первой сорбционной трубки и < 20% - для второй.
Регистрируют расход воздуха или газа и результаты самого последнего испытания по определению извлечения аналита.
6.3 Качество подаваемого воздуха или газа и фоновое содержание паров органических соединений
Фоновое содержание определяемых соединений (в том числе выделяемых самой микрокамерой и содержащихся в подаваемом воздухе или газе) должно быть не более 10%-ого уровня измеренного содержания определяемых компонентов при испытании материала или не более 5 мкг/м3 для каждого отдельного соединения или 50 мкг/м3 для всех летучих органических соединений в зависимости от того, какое из этих значений больше. Аналогичным образом при необходимости увлажнения содержание ЛОС в используемой воде не должно быть таким, чтобы оно могло повлиять на результаты испытания.
6.4 Средства контроля
Системы измерений температуры и расхода должны работать независимо от средств контроля других условий испытаний.
7.1 Общие положения
Настоящий стандарт может быть применен при испытании любого материала внутренней отделки салона АТС. Исследование выделения парообразных органических соединений материалами внутренней отделки и деталями салона АТС в микрокамерах требует соответствующего обращения с образцом перед испытанием и во время него.
Образцы, отбираемые сразу же после изготовления для быстрого анализа в лаборатории на предприятии-изготовителе, должны быть помещены в подходящий чистый, герметичный и не выделяющий газ контейнер или пакет. Образцы обрабатывают одинаковым способом, т.е. хранят в одинаковых контейнерах или пакетах, применяют для них один и тот же способ подготовки образца для испытаний с одинаковым промежутком времени между отбором образца и анализом.
Если образцы должны храниться до проведения анализа дольше 2 ч или если их необходимо транспортировать в лабораторию, находящуюся за пределами предприятия, то следует более тщательно соблюдать меры предосторожности при отборе образцов, их транспортировании, хранении, подготовке для испытаний и т.д. В этом случае следует выполнять требования, установленные в
[8].
Примечание - Для определения средней удельной интенсивности выделения гетерогенными материалами может потребоваться провести измерения на нескольких образцах для испытаний, изготовленных из одного образца материала.
7.2 Подготовка образца для испытаний
Часто образцы для испытаний нарезают (разделяют на части) для их плотного прилегания к стенкам микрокамеры таким образом, чтобы свести к минимуму или исключить влияния краев - см.
приложения A -
C. Для сведения к минимуму тепловыделения лучше всего использовать пробивной штамп. Маркируют и взвешивают каждый образец для испытаний.
Примечание - Выпиливание образца приводит к нагреву, что может исказить результаты испытания по определению выделения ЛОС.
Масса образцов сыпучих материалов должна быть представительной для определения интенсивности выделения на единицу массы с требуемой для данного испытания чувствительностью.
Период времени между изъятием образца из упаковки и подготовкой образца для испытаний должен быть по возможности коротким и постоянным в каждом случае. После подготовки образца для испытаний его сразу же помещают в микрокамеру. Этот момент времени фиксируют как время начала испытания, т.е. t = t0.
Если для определения выделения ЛОС целесообразно провести испытание сыпучего материала (например гранулированных полимеров, связующих материалов или волокон изоляционных материалов), то представительные образцы могут быть помещены непосредственно в микрокамеру без предварительной подготовки. Если при реальной эксплуатации АТС выделение ЛОС происходит только одной поверхностью материала или изделия, то следует тщательно изолировать остальные поверхности, срезанные края испытуемого материала, детали, т.к. выделяемые ими ЛОС могут повлиять на результаты испытания. Конструкция микрокамеры позволяет осуществить это за счет плотного прилегания испытуемого образца к стенкам микрокамеры или прижимания краев образцов твердых плоских материалов по периметру с помощью торца крышки (шайбы) или мембраны. Это предотвращает попадание выделений от срезанных краев и задней поверхности образца при небольшой продолжительности испытания (см.
приложения B и
C). В качестве альтернативы края и задние поверхности образца для испытаний могут быть изолированы алюминиевой самоклеящейся пленкой, не выделяющей ЛОС, или образец помещают в специальный держатель перед его размещением в микрокамере.
8 Очистка деталей микрокамеры
Холостая проба воздуха, отобранная из пустой микрокамеры, должна соответствовать требованиям, приведенным в
6.3. Если холостое значение превышает приемлемый предел, то микрокамеру следует очистить. Примеры процедур очистки микрокамеры описаны ниже.
Микрокамеры очищают, предварительно вынув все о-образные уплотняющие кольца или прокладки, путем промывки ее деталей с применением щелочного моющего средства с последующим двукратным ополаскиванием чистой водой или подходящим растворителем. После этого тщательно высушивают микрокамеру.
В качестве альтернативы, если допускается нагрев собранной микрокамеры, то повышают температуру пустой, герметично закрытой микрокамеры до 100 °C или выше и продувают ее сильным потоком чистого воздуха (газа) до тех пор, пока фоновое содержание загрязняющих веществ не снизится до приемлемого уровня (см.
6.3).
Если микрокамера имеет инертное покрытие, то во избежание его повреждения при очистке микрокамеры нельзя применять абразивные чистящие средства или моющие средства с высоким или низким pH.
9.1 Улавливающие материалы
Выбирают подходящие улавливающие материалы - см.
5.6.
Перед применением сорбционные трубки должны быть тщательно кондиционированы (см. ИСО 16000-6).
9.2 Измерение фонового содержания
Фоновое содержание ЛОС в микрокамере следует контролировать регулярно, например перед началом каждой серии испытаний, для количественного определения вклада фонового содержания паров органических соединений, содержащихся в подаваемом воздухе или газе, или в самой микрокамере.
Проверку фонового содержания следует проводить с применением предварительно подготовленных сорбционных трубок и в соответствии с процедурой, приведенной в
9.3, но при отсутствии образца.
Фоновое содержание должно соответствовать требованиям, установленным в
6.3.
Образец для испытаний должен быть помещен в предварительно нагретую (до 65 °C) микрокамеру и оставлен там для достижения теплового равновесия на 20 мин. Рекомендуемый расход для проведения испытания с применением микрокамер, типы которых приведены в
приложениях B -
D, составляет 50 мл/мин (для ЛОС) или 250 мл/мин (для формальдегида).
Примечание - При испытании по определению среднелетучих соединений или особенно плотных материалов для достижения теплового равновесия может потребоваться более длительное время.
По окончании периода достижения теплового равновесия к выходному отверстию микрокамеры подсоединяют подготовленное устройство для отбора проб пара. Этот момент времени отмечают, как начало отбора проб. Быстро проверяют микрокамеры на наличие утечек (см.
5.5). Отбирают пробу пара в течение (15 +/- 1) мин (для ЛОС) или в течение от (2 +/- 0,2) до (4 +/- 0,2) ч (для формальдегида).
Примечания
1 Большинство установок с микрокамерами работают при давлении незначительно превышающем атмосферное и обычно для отбора пробы в сорбционную трубку не применяют побудители расхода (см.
5.6).
2 Скрининг выделения формальдегида с применением микрокамер может быть проведен при более низком расходе или меньшей продолжительности отбора проб (см. ИСО 16000-3), однако это может привести к тому, что не будет достигнут заявленный предел обнаружения (см.
6.3).
3 Для сведения к минимуму вероятности проскока наиболее летучих ЛОС (см.
раздел 12) скрининг также может быть проведен при более низком расходе или меньшей продолжительности отбора проб, но в этом случае часто бывает более предпочтительно в качестве альтернативы использовать более активные сорбенты (см. 16000-6, приложение D). При интенсивном выделении ЛОС предпочтительно разделение потока при его поступлении в аналитическую систему вместо уменьшения продолжительности отбора проб или расхода.
4 По окончании отбора проб пары, покидающие микрокамеру, следует отводить в вытяжной шкаф для предотвращения попадания любых химических соединений, выделяемых образцом для испытаний, в воздух помещения лаборатории.
9.4 Герметизация и хранение устройств для улавливания паров после отбора проб
По окончании отбора проб пара сорбционные трубки следует отсоединить от микрокамеры, снова закупорить их с применением подходящих крышек и пробок (см. ИСО 16000-6 и ИСО 16000-3) и сразу же зафиксировать продолжительность испытания. Перед проведением анализа сорбционные трубки с отобранными пробами следует аккуратно хранить в соответствии с требованиями, приведенными в ИСО 16000-6 и ИСО 16000-3.
9.5 Анализ уловленных паров
Анализируют пары, уловленные устройствами для отбора проб в соответствии с ИСО 16000-3 (формальдегид) или ИСО 16000-6 (ЛОС) для определения массы каждого целевого соединения, уловленного сорбционной трубкой. При необходимости содержание паров аналитов может быть определено на основе соответствующих значений массы - см. ИСО 16000-3, раздел 10, ИСО 16000-6, раздел 11, и
приложение F настоящего стандарта.
9.6 Хранение образцов для испытаний в период между испытаниями (при необходимости)
Если один и тот же образец подлежит повторному испытанию с применением микрокамеры, то образцы для испытаний следует хранить в микрокамере в потоке чистого воздуха или газа.
9.7 Очистка микрокамеры после использования
При необходимости по окончании испытания для проведения последующих испытаний микрокамеру следует очистить в соответствии с
разделом 8 и проверить ее на соответствие требованиям по фоновому содержанию загрязняющих веществ (см.
6.3).
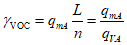
10 Вычисление содержания паров и удельной интенсивности выделения
Для учета различий в конструкции микрокамер результаты обычно выражают через интенсивность выделения на единицу площади qmA, в микрограммах на квадратный метр - час, или через интенсивность выделения на единицу массы, qmm, в микрограммах на грамм - час.
Большинство микрокамер работают в режиме, когда весь поток воздуха из микрокамеры проходит через сорбционную трубку. Если имеют дело с таким случаем и если уровни фонового содержания соответствуют критериям, установленным в настоящем стандарте, то значение массы отдельного парообразного ЛОС или всех ЛОС, определенное при испытании (см.
9.5), можно использовать напрямую для вычисления интенсивности выделения на единицу площади,
qmA, или интенсивности выделения на единицу массы,
qmm.
Интенсивность выделения на единицу площади qmA вычисляют по формуле

. (1)
Интенсивность выделения на единицу массы qmm вычисляют по формуле

, (2)
где ma - масса аналита, мкг;
A - площадь поверхности образца, м2;
ms - масса образца, г;
t - продолжительность отбора проб пара, ч.
Для целей настоящего стандарта продолжительность отбора проб составляет 15 мин (0,25 ч) при улавливании ЛОС или до 4 ч - при улавливании формальдегида.
Примеры
1 Для варианта микрокамеры, приведенного в приложении B, при площади экспонируемой поверхности образца 1,28 x 10-3 м2 и улавливании паров ЛОС в течение 15 мин вычисление qmA можно свести к:
.
2 Для варианта микрокамеры, приведенного в приложении C, при площади экспонируемой поверхности образца 2,46 x 10-3 м2 и улавливании паров ЛОС в течение 15 мин вычисление qmA можно свести к:
.
3 При применении варианта микрокамеры, приведенного в приложении B, при улавливании формальдегида и паров других летучих карбонильных соединений в течение 4 ч вычисление qmA можно свести к:
.
4 При применении варианта микрокамеры, приведенного в приложении C, при улавливании формальдегида и паров других летучих карбонильных соединений в течение 4 ч вычисление qmA можно свести к:
,
где ma - измеренная масса аналита.
| | ИС МЕГАНОРМ: примечание. В официальном тексте документа, видимо, допущена опечатка: имеется в виду Приложение F, а не G. | |
Более точно или в случае, когда на выходе микрокамеры отбирают только часть воздуха,
qmA (или
qmm) следует вычислять исходя из содержания целевого аналита в паровой фазе в микрокамере, см.
приложение G или ИСО 16000-3, ИСО 16000-6, ИСО 16000-9
[6] и ИСО 16000-10
[7].
В протоколе испытаний, если результаты, полученные с применением микрокамеры, необходимы для оценки выделений ЛОС в абсолютных единицах, приводят следующую информацию (протокол испытаний может быть составлен в упрощенной форме, если испытание проводят в целях рутинного внутреннего контроля качества на предприятии):
a) об испытательной лаборатории:
- название и адрес испытательной лаборатории (при необходимости),
- ФИО ответственного лица;
- ссылка на настоящий стандарт;
- ссылка на соответствующий протокол внутреннего контроля качества на предприятии или подробное описание применяемого оборудования и методов;
b) об отобранном образце или контрольном образце:
- тип и номер партии изделия (торговая марка, при необходимости);
- процедура отбора образца (например случайный);
- предыстория материала, например дата изготовления или дата поступления в испытательную лабораторию, при необходимости;
- описание упаковки (при необходимости);
c) о процедуре подготовки образца:
- дата и время распаковывания,
- описание метода подготовки, включая толщину и описание подложки;
d) об условиях испытания и процедурах:
- условия в микрокамере (температура, расход/поток воздуха или газа, влажность) (при необходимости),
- площадь поверхности образца для испытаний или его масса и способы его введения в микрокамеру (для жидких материалов, например красок, описывают подложку и процедуру нанесения на нее материала, толщину красочного слоя и плотность покрытия),
- описание, каким образом образец для испытаний был размещен в микрокамере: для определения выделения ЛОС только одной поверхностью или всеми поверхностями образца или материалом в массе,
- описание отбора проб (применяемого сорбента, объема отобранной пробы, продолжительности отбора проб и периода времени, истекшего с момента размещения в микрокамере),
- условия проведения анализа [т.е. параметры термической десорбции, описание выбранной ГХ колонки, ГХ-МС системы (или ГХ-МС-ПИД системы) и т.д.];
e) анализ данных: описание метода, применяемого для вычисления удельной интенсивности выделения или данные по содержанию паров;
f) результаты испытаний: удельную интенсивность выделения следует указывать для каждого образца для испытаний, для отдельных ЛОС или всех ЛОС" (при необходимости), во время отбора проб;
g) контроль качества/обеспечение качества:
- фоновое содержание определяемых соединений в микрокамере,
| | ИС МЕГАНОРМ: примечание. В официальном тексте документа, видимо, допущена опечатка: стандарт имеет номер ИСО 16000-6, а не ИСО 160000-6. | |
- данные об извлечении (см. ИСО 160000-6, приложение E),
- данные по извлечению трех соединений, являющихся представительными для рассматриваемого набора определяемых органических соединений,
- результаты анализа параллельных проб,
- результаты контроля качества данных, характеризующих параметры окружающей среды (температура, выбранный воздух или газ, расход воздуха или газа, кратность воздухо- или газообмена, относительная влажность) (при необходимости).
12 Обеспечение и контроль качества
Если испытания в микрокамере предназначены для быстрого скрининга выделений ЛОС продукцией в составе рутинного контроля качества или для внутризаводского сравнения продукции изготовителем на предприятии, то выполнений указаний, приведенных в настоящем стандарте, достаточно для выполнения этих процедур.
Однако, если испытания в микрокамере необходимы для проведения сравнения в абсолютных единицах, т.е. для оценки вклада продукции в содержание паров органических соединений в воздухе салона АТС, то следует выполнять процедуры обеспечения, контроля качества в соответствии с ИСО 16000-3, ИСО 16000-6 и ИСО 16000-9 (см.
[6]), в т.ч.:
- холостые пробы приготовляют в соответствии с
разделом 8;
- уровень холостых показаний является приемлемым, если площади пиков примесей составляют не более 10% типичных площадей пиков для определяемых соединений;
- эффективность десорбции ЛОС и карбонильных соединений следует проверять в соответствии с ИСО 16000-3 и ИСО 16000-6 - степень извлечения углеводородов от C6 до C16 должна составлять не менее 95% (см. 16000-6);
- эффективность улавливания всегда может быть проверена путем отбора проб объемом меньше гарантированного объема пробы, см. ИСО 16000-6 - проскок может быть обнаружен с помощью резервных сорбционных трубок или при отборе проб различного объема меньшего, чем гарантированный объем пробы;
- следует определять повторяемость методики отбора проб воздуха и методики анализа - при отборе и анализе параллельных проб относительное стандартное отклонение должно быть <= 15% (см. ИСО 16000-3 и ИСО 16000-6);
Примечание - На повторяемость испытания влияет любая неоднородность испытуемого материала.
- следует вести документацию, подтверждающую прослеживаемость калибровок приборов по измерению температуры, влажности и расхода.
(справочное)
ОСНОВНЫЕ ПРИНЦИПЫ РАБОТЫ МИКРОКАМЕР
A.1 Общие положения
Микрокамеры работают в соответствии с такими же фундаментальными принципами, как и обычные небольшие климатические испытательные камеры и их можно применять для испытаний по определению выделений ЛОС поверхностью образца или массового выброса. Однако их небольшой размер и возможность работы при повышенной температуре обеспечивает более быстрое выравнивание параметров условий в микрокамере по всему ее объему. Это облегчает и ускоряет получение воспроизводимых результатов скрининга выделений ЛОС, которые могут коррелировать с данными долговременных сравнительных испытаний, ввиду чего микрокамеры удобно применять для контроля качества на производстве.
При работе с микрокамерами следует учитывать требования, приведенные в
A.2 -
A.5.
Обычно микрокамеры имеют вместимость от 40 до 120 мл и сконструированы таким образом, что они имеют плоское основание и цилиндрическую форму для обеспечения простой подготовки образцов для испытаний, которые плотно прилегают к стенкам микрокамеры таким образом, что сводятся к минимуму выделения краями и задней поверхностью образца.
A.3 Материалы
Материалы, из которых изготавливают микрокамеры, должны быть прочными (подходящими для эксплуатации в заводской среде), инертными, не выделяющими и не сорбирующими какие-либо газы, и выдерживающими температуру выше 100 °C. К пригодным материалам относятся нержавеющая сталь или нержавеющая стали с инертным покрытием, а также и стекло или кварц с обработанной поверхностью. Уплотнительные прокладки не должны выделять и сорбировать какие-либо газы и выдерживать нагрев до высокой температуры.
A.4 Функционирование и технические характеристики
Микрокамеры должны обеспечивать возможность быстрого анализа выделений ЛОС поверхностью листовых материалов или массой сыпучих или формованных материалов.
У микрокамеры должны быть входное и выходное отверстия, расположенные таким образом, чтобы обеспечивалось оптимальное перемешивание воздуха, а также отсутствие зон застойного воздуха и эффектов поглощения.
При подсоединении сорбционной трубки для улавливания паров обычно должно быть обеспечено прохождение через нее всего потока воздуха из микрокамеры. В качестве альтернативы следует предпринять меры для того, чтобы отбираемая проба пара была представительной для воздуха в микрокамере.
Если микрокамера может работать без подключения побудителя расхода воздуха при одинаковом расходе воздуха на входе и выходе независимо от того, установлена ли сорбционная трубка для улавливания паров, то это облегчает работу и является преимуществом для применения в промышленности.
Микрокамера должна выдерживать равномерный нагрев до температуры, установленной в настоящем стандарте.
Микрокамера должна легко демонтироваться для проведения ее очистки.
A.5 Критерии эффективности
Данные по интенсивности выделения на единицу площади, полученные с применением микрокамеры при условиях, установленных в настоящем стандарте, свидетельствует о том, что они согласуются с данными, полученными для того же образца с применением обычных камер небольших размеров.
Полученные с помощью микрокамеры, результаты должны быть повторяемыми.
Для микрокамер должно быть характерно незначительное фоновое содержание определяемых веществ и эффекты осаждения, как установлено в нормативной части настоящего стандарта.
В микрокамере должно быть обеспечено поддержание равномерного расхода воздуха с или без установленной сорбционной трубки для улавливания паров.
В микрокамере должно быть обеспечено поддержание постоянной температуры на протяжении всего испытания.
1 - выход для воздуха и подсоединения сорбционной трубки
для улавливания паров; 2 - вход для воздуха с подогревом;
3 - образец для испытания с целью определения выделений ЛОС
его поверхностью; 4 - при проведении испытаний с целью
определения выделения ЛОС поверхностью образца, пространство
под образцом заполняется металлическими пластинами (обычно
алюминиевыми); 5 - уплотнительное кольцо, не выделяющее
и не сорбирующее какие-либо газы; 6 - образец для проведения
испытания с целью определения выделения ЛОС массой материала
Рисунок A.1 - Схема микрокамеры
(справочное)
Первый вариант типичной микрокамеры представлен на
рисунке B.1. Размеры и технические характеристики микрокамер такого типа приведены в
таблице B.1.
1 - пробоотборная трубка; 2 - выходной патрубок для воздуха;
3 - пространство, заполненное металлическими пластинками
(обычно алюминиевыми); 4 - блок подогрева; 5 - линия подачи
сжатого воздуха; 6 - торец крышки микрокамеры
для предотвращения выделения ЛОС боковой и задней
поверхностями образца; 7 - подогреваемая линия подачи
воздуха; 8 - микрокамера; 9 - регулятор расхода;
10 - образец; 11 - уплотнительное кольцо, не выделяющее
и не сорбирующее какие-либо газы
Рисунок B.1 - Первый вариант микрокамеры, в разрезе,
используемой для определения выделений ЛОС
поверхностью образца
Таблица B.1
Размеры и технические характеристики
Пустая микрокамера (испытание по определению выделений ЛОС массой материала) | |
Диаметр, мм | 45 |
Глубина, мм | 28 |
Вместимость, мл | 44,5 |
Диапазон значений расхода газа, мл/мин | От 10 до 500 |
Диапазон значений кратности газообмена, ч-1 | От 13 до 674 |
Испытываемый материал, плотно прижатый торцом крышки к краям микрокамеры (испытание для определения выделения ЛОС поверхностью образца) |
Объем, м3 | 3,20 x 10-6 |
Диаметр экспонируемого образца, мм | 40,4 |
Максимальная площадь экспонируемой поверхности, м2 | 1,28 x 10-3 |
Коэффициент загрузки материалом, м2·м-3 | 400 |
Расход газа, мл/мин (в диапазоне от 10 до 500 мл/мин) | 50 | 100 | 250 | 500 |
Соответствующая кратность газообмена, ч-1 | 938 | 1875 | 4690 | 9375 |
Расход газа на единицу площади qVA, м3·ч-1·м-2 | ~ 2,34 | ~ 4,69 | ~ 11,7 | ~ 23,4 |
(справочное)
Второй вариант типичной микрокамеры представлен на
рисунке C.1. Размеры и технические характеристики микрокамер такого типа приведены в
таблице C.1.
1 - пробоотборная трубка; 2 - штуцер для выпуска воздуха;
3 - пространство, заполненное металлическими пластинками
(обычно алюминиевыми); 4 - блок подогрева; 5 - линия подачи
сжатого воздуха; 6 - торец крышки микрокамеры
для предотвращения выделения ЛОС боковой и задней
поверхностями образца; 7 - подогреваемая линия подачи
воздуха; 8 - микрокамера; 9 - регулятор расхода;
10 - образец; 11 - уплотнительное кольцо, не выделяющее
и не сорбирующее какие-либо газы
Рисунок C.1 - Второй вариант микрокамеры, в разрезе,
используемой для определения выделений ЛОС
поверхностью образца
Таблица C.1
Размеры и технические характеристики
Пустая микрокамера (испытание по определению выделений ЛОС массой материала) | |
Диаметр, мм | 64 |
Глубина, мм | 36 |
Вместимость, мл | 1,14 x 10-4 |
Диапазон значений расхода газа, мл/мин | От 10 до 500 |
Диапазон значений кратности газообмена, ч-1 | От 10 до 500 |
Испытываемый материал, плотно прижатый торцом крышки к краям микрокамеры (испытание для определения выделения ЛОС поверхностью образца) |
Объем, м3 | 7,38 x 10-6 |
Диаметр экспонируемого образца, мм | 56,0 |
Максимальная площадь экспонируемой поверхности, м2 | 2,46·10-3 |
Коэффициент загрузки материалом, м2·м-3 | 400 |
Расход газа, мл/мин (в диапазоне от 10 до 500 мл/мин) | 50 | 100 | 250 | 500 |
Соответствующая кратность газообмена, ч-1 | 407 | 813 | 2033 | 4065 |
Расход газа на единицу площади, qVA, м3·ч-1·м-2 | ~ 1,22 | ~ 2,44 | ~ 6,10 | ~ 12,2 |
(справочное)
Третий вариант типичных микрокамер представлен на
рисунках D.1 и
D.2. Размеры и технические характеристики микрокамер такого типа перечислены в
таблице D.1.
Расход в мл/мин
1 - микрокамера (регулируемая до 65 °C); 2 - пробоотборная
трубка (с минимальной температурой 65 °C); 3 - сорбционная
трубка с
<1>;
4 - побудитель расхода;
5 - микрокамера; 6 - линия сброса давления; 7 - обжимное
кольцо; 8 - материал внутренней отделки автомобиля;
9 - кварцевая подставка
Рисунок D.1 - Третий вариант микрокамеры (испытание
по определению ЛОС, выделяемых сыпучим материалом)
Расход в мл/мин
1 - микрокамера (с температурой, настраиваемой на 65 °C);
2 - пробоотборная трубка (с минимальной температурой 65 °C);
3 - сорбционная трубка с
<1>;
4 - побудитель
расхода; 5 - микрокамера; 6 - линия сброса давления;
7 - обжимное кольцо; 8 - материал внутренней
отделки автомобиля
Рисунок D.2 - Третий вариант микрокамеры (испытание
по определению ЛОС, выделяемых поверхностью образца)
Таблица D.1
Размеры и технические характеристики
Характеристика | Значение |
Диаметр, мм | 82 |
Глубина, мм | 125 |
Вместимость, м3 | 6,3·10-4 |
Диапазон расхода газа, мл/мин | От 30 до 100 |
Кратность газообмена, ч-1 | От 4 до 10 |
(справочное)
ОЦЕНКА СТЕПЕНИ ИЗВЛЕЧЕНИЯ ЛЕТУЧИХ ОРГАНИЧЕСКИХ СОЕДИНЕНИЙ
Степень извлечения паров органических соединений может быть определена в микрокамере путем нанесения одного или смеси нескольких аналитов известной представительной массы на соответствующую инертную подложку, например, диск из политетрафторэтилена или металлический толщиной 1 мм, и улавливания всего пара на выходе микрокамеры. Перед введением определяемого(ых) соединения(ий) в микрокамеру следует дать установиться постоянным значениям расхода и температуры воздуха. К соединениям, которые наиболее часто применяют для определения степени извлечения относятся: толуол, н-додекан и их дейтерированные эквиваленты.
Примечание - Если определяемые соединения вводят в виде раствора (например, раствор толуола с объемной долей 1%), то используют растворитель, не удерживаемый сорбентом

, например метанол, чтобы свести к минимуму мешающее влияние матрицы.
Как только в микрокамере установятся постоянные значения рабочих параметров, помещают подложку в микрокамеру и наносят на нее небольшой объем (обычно от 0,5 до 2 мкл) контрольного раствора. Сразу же герметично закрывают микрокамеру, подсоединяют предварительно подготовленную сорбционную трубку для улавливания паров (обычно заполненную сорбентом

) и включают подачу воздуха. Через 15 мин заменяют сорбционную трубку на свежеподготовленную. По окончании испытаний анализируют каждую сорбционную трубку.
Если требуется определять содержание очень летучих органических соединений, то более предпочтительно ввести в микрокамеру источник микропотока определяемого соединения (капиллярный или диффузионный) для предотвращения его потери еще до того, как микрокамера будет герметично закрыта.
Степень извлечения ЛОС считают удовлетворительной, если она составляет более 80% для первой трубки и менее 20% - для второй.
Если эти условия не выполняются, то вынимают использованную подложку с определяемыми соединениями, и помещают ее в другую чистую микрокамеру при тех же условиях температуры и расхода. Продолжают эксперимент, отбирая параллельно еще две пары дополнительных проб в течение 15 мин на выходе исходной микрокамеры (из которой была вынута подложка с определяемыми соединениями) и новой микрокамеры, в которую подложка была перенесена.
Если при повторных испытаниях на подложке остается определяемое соединение и при этом не происходит его поглощение в микрокамере, то причиной неполного извлечения является медленное испарение определяемого соединения с подложки, но не его поглощение в микрокамере. В таком случае степень извлечения считают адекватной. Однако, если при повторных испытаниях на подложке не остается определяемое соединение, но при этом его потери в микрокамере превышают 20%, то степень извлечения данного соединения считают неудовлетворительной. Возможными причинами могут быть утечки или загрязнения микрокамеры. Они должны быть устранены до последующего использования микрокамеры для испытаний образцов.
В большей или меньшей степени в зависимости от конструкции микрокамеры можно ожидать, что более тяжелые СЛОС (например, соединения менее летучие, чем
н-C
18 -
н-C
22) могут конденсироваться на внутренних стенках микрокамеры, снижая степень извлечения. Поэтому для количественного определения СЛОС с применением микрокамер может потребоваться испытание в течение более продолжительного периода (например, 8 или 24 ч) или применение двухэтапной методики, установленной в ИСО 16000-25
[10].
(справочное)
ВЫЧИСЛЕНИЕ УДЕЛЬНОЙ ИНТЕНСИВНОСТИ ВЫДЕЛЕНИЯ
НА ОСНОВЕ ПОЛУЧЕННОГО СОДЕРЖАНИЯ ОПРЕДЕЛЯЕМОГО
СОЕДИНЕНИЯ В ВОЗДУХЕ МИКРОКАМЕРЫ
Удельная интенсивность выделения на единицу площади
qmA, мкг/(м
2·ч), может быть вычислена на основе полученного содержания определяемого соединения в воздухе микрокамеры, по известным формулам, описанным в ИСО 16000-9
[6] и 16000-10
[7]:

. (F.1)
После преобразования получают

(F.2)
где

- массовая концентрация ЛОС в пробе воздуха, мкг/м
3
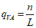
qVA - расход на единицу площади, м3·ч-1·м-2, вычисляемый по формуле

, (F.3)
где n - число смен воздуха в час;
L - коэффициент загрузки (отношение площади поверхности образца к вместимости микрокамеры), м2·м-3;
Пример
Коэффициент загрузки для микрокамеры, описанной в приложении B, будет равен
.
При применении такой микрокамеры для определения выделений ЛОС поверхностью образца при расходе воздуха 50 мл·мин-1 (0,003 м3·ч-1) кратность воздухо- или газообмена будет равна
и удельный поток воздуха или газа на единицу площади будет равен
Массовую концентрацию ЛОС в воздухе
, мкг/м3, определяют на основе измеренной массы аналита и объема отобранного воздуха или газа, как приведено в ИСО 16000-6, раздел 11, или ИСО 16000-3, раздел 10, с применением поправок для 23 °C и 101,3 кПа.
Таким образом, интенсивность выделения на единицу площади qmA, для ЛОС, определенную с применением микрокамер данного типа при заданных условиях, вычисляют как произведение
.
Т.е. для микрокамеры данного типа
.
(справочное)
СВЕДЕНИЯ О СООТВЕТСТВИИ ССЫЛОЧНЫХ МЕЖДУНАРОДНЫХ СТАНДАРТОВ
НАЦИОНАЛЬНЫМ СТАНДАРТАМ РОССИЙСКОЙ ФЕДЕРАЦИИ
Таблица Д.А
Обозначение ссылочного международного стандарта | Степень соответствия | Обозначение и наименование соответствующего национального стандарта |
ИСО 12219-1:2012 | IDT | ГОСТ Р ИСО 12219-1-2014 "Воздух внутреннего пространства автотранспортных средств. Часть 1. Камера для испытания автотранспортного средства. Технические требования и условия испытания для определения летучих органических соединений в воздухе салона" |
ИСО 16000-3:2011 | - | |
ИСО 16000-6:2011 | - | |
<*> Соответствующий национальный стандарт отсутствует. До его утверждения рекомендуется использовать перевод на русский язык данного международного стандарта. Перевод данного международного стандарта находится в Федеральном информационном фонде технических регламентов и стандартов. Примечание - В настоящей таблице использовано следующее условное обозначение степени соответствия стандартов: - IDT - идентичный стандарт. |
| VDA 276 | Bestimmung organischer Emissionen aus Bauteilen den Kfz-Innenraum mit einer 1 m3 -  [Measurement of the emissions of automotive interior assemblies in a 1 m 3 test chamber, standard VDA] |
| Schripp T., Nachtwey B., Toelke J., Salthammer T., Uhde E., Wensing M. Bahadir, M. A micro-scale device for measuring emissions from materials for indoor use. Anal. Bioanal. Chem. 2007, 387, pp. 1907 - 1919 |
[3] | Williams G.J., Pharaoh M. PARD Report: Correlation between the VDA 276 test and micro-chamber testing. Issued by WMG. University of Warwick, UK, 2009 |
| Kim, M.G. Determination of chemical emissions from car interior parts. Presentation to Joint Working Group 13 of ISO/TC 146/SC 6 and ISO/TC 22 (N 0069) and series of papers in press |
Documents on VOCs cited informatively |
| ISO 16000-5 | Indoor air - Part 5: Sampling strategy for volatile organic compounds (VOCs) |
| ISO 16000-9 | Indoor air - Part 9: Determination of the emission of volatile organic compounds from building products and furnishing - Emission test chamber method |
| ISO 16000-10 | Indoor air - Part 10: Determination of the emission of volatile organic compounds from building products and furnishing - Emission test cell method |
| ISO 16000-11 | Indoor air - Part 11: Determination of the emission of volatile organic compounds from building products and furnishing - Sampling, storage of samples and preparation of test specimens |
| ISO 16000-24 | Indoor air - Part 24: Performance test for evaluating the reduction of volatile organic compound (except formaldehyde) concentrations by sorptive building materials |
| ISO 16000-25 | Indoor air - Part 25: Determination of the emission of semi-volatile organic compounds by building products - Micro-chamber method |
| ISO 16017-1 | Indoor, ambient and workplace air - Sampling and analysis of volatile organic compounds by sorbent tube/thermal desorption/capillary gas chromatography - Part 1: Pumped sampling |
| ISO 16017-2 | Indoor, ambient and workplace air - Sampling and analysis of volatile organic compounds by sorbent tube/thermal desorption/capillary gas chromatography - Part 2: Diffusive sampling |
УДК 504.3:006.354 | |
Ключевые слова: воздух, автотранспортные средства, салон, летучие органические соединения, формальдегид, материалы отделочные для салона, скрининговый метод, микрокамера |