Главная // Актуальные документы // ГОСТ Р (Государственный стандарт)СПРАВКА
Источник публикации
М.: Стандартинформ, 2019
Примечание к документу
Документ
введен в действие с 01.01.2016.
Взамен Р 50.2.024-2002.
Название документа
"ГОСТ Р 8.876-2014. Национальный стандарт Российской Федерации. Государственная система обеспечения единства измерений. Теодолиты. Методика поверки"
(утв. и введен в действие Приказом Росстандарта от 10.07.2014 N 781-ст)
"ГОСТ Р 8.876-2014. Национальный стандарт Российской Федерации. Государственная система обеспечения единства измерений. Теодолиты. Методика поверки"
(утв. и введен в действие Приказом Росстандарта от 10.07.2014 N 781-ст)
Утвержден и введен в действие
по техническому регулированию
и метрологии
от 10 июля 2014 г. N 781-ст
НАЦИОНАЛЬНЫЙ СТАНДАРТ РОССИЙСКОЙ ФЕДЕРАЦИИ
ГОСУДАРСТВЕННАЯ СИСТЕМА ОБЕСПЕЧЕНИЯ ЕДИНСТВА ИЗМЕРЕНИЙ
ТЕОДОЛИТЫ
МЕТОДИКА ПОВЕРКИ
State system for ensuring the uniformity of measurements.
Theodolites. Verification procedure
ГОСТ Р 8.876-2014
Дата введения
1 января 2016 года
1 РАЗРАБОТАН Федеральным государственным унитарным предприятием "Сибирский государственный ордена Трудового Красного Знамени научно-исследовательский институт метрологии" (ФГУП "СНИИМ"), Федеральным государственным бюджетным образовательным учреждением высшего профессионального образования "Сибирская государственная ордена "Знак Почета" геодезическая академия" (ФГБОУ ВПО "СГГА"), Федеральным государственным унитарным предприятием "Центральный ордена "Знак Почета" научно-исследовательский институт геодезии, аэросъемки и картографии им. Ф.Н. Красовского" (ФГУП "ЦНИИГАиК")
2 ВНЕСЕН Техническим комитетом по стандартизации ТК 206 "Эталоны и поверочные схемы", Подкомитетом ПК 206.5 "Эталоны и поверочные схемы в области измерения физико-химического состава и свойств веществ"
3 УТВЕРЖДЕН И ВВЕДЕН В ДЕЙСТВИЕ
Приказом Федерального агентства по техническому регулированию и метрологии от 10 июля 2014 г. N 781-ст
4 При разработке настоящего стандарта использованы изобретения, защищенные патентами 2116626 RU МКИ 6G 01 D 18/00 N 95108631/28 (заяв. 26.05.95; опубл. 27.07.98) и 2463561 RU МКП G01C 25/00, G01C 1/00 N 2011112168/28 (заяв. 30.03.2011; опубл. 10.10.2012)
5 ВЗАМЕН Р 50.2.024-2002
6 ПЕРЕИЗДАНИЕ. Март 2019 г.
Правила применения настоящего стандарта установлены в статье 26 Федерального закона от 29 июня 2015 г. N 162-ФЗ "О стандартизации в Российской Федерации". Информация об изменениях к настоящему стандарту публикуется в ежегодном (по состоянию на 1 января текущего года) информационном указателе "Национальные стандарты", а официальный текст изменений и поправок - в ежемесячном информационном указателе "Национальные стандарты". В случае пересмотра (замены) или отмены настоящего стандарта соответствующее уведомление будет опубликовано в ближайшем выпуске ежемесячного информационного указателя "Национальные стандарты". Соответствующая информация, уведомление и тексты размещаются также в информационной системе общего пользования - на официальном сайте Федерального агентства по техническому регулированию и метрологии в сети Интернет (www.gost.ru)
Настоящий стандарт устанавливает методы и средства первичной и периодической поверок теодолитов по
ГОСТ 10529 и других геодезических угломерных приборов [электронных и оптических теодолитов и др. (далее - теодолит)] отечественного и зарубежного производства.
Интервал между поверками теодолитов устанавливают в соответствии с правилами
[1] и
рекомендациями [2].
В настоящем стандарте использованы нормативные ссылки на следующие стандарты:
ГОСТ 8.050 Государственная система обеспечения единства измерений. Нормальные условия выполнения линейных и угловых измерений
ГОСТ 12.2.007.0 Система стандартов безопасности труда. Изделия электротехнические. Общие требования безопасности
ГОСТ 21830 Приборы геодезические. Термины и определения
Примечание - При пользовании настоящим стандартом целесообразно проверить действие ссылочных стандартов в информационной системе общего пользования - на официальном сайте Федерального агентства по техническому регулированию и метрологии в сети Интернет или по ежегодному информационному указателю "Национальные стандарты", который опубликован по состоянию на 1 января текущего года, и по выпускам ежемесячного информационного указателя "Национальные стандарты" за текущий год. Если заменен ссылочный стандарт, на который дана недатированная ссылка, то рекомендуется использовать действующую версию этого стандарта с учетом всех внесенных в данную версию изменений. Если заменен ссылочный стандарт, на который дана датированная ссылка, то рекомендуется использовать версию этого стандарта с указанным выше годом утверждения (принятия). Если после утверждения настоящего стандарта в ссылочный стандарт, на который дана датированная ссылка, внесено изменение, затрагивающее положение, на которое дана ссылка, то это положение рекомендуется применять без учета данного изменения. Если ссылочный стандарт отменен без замены, то положение, в котором дана ссылка на него, рекомендуется применять в части, не затрагивающей эту ссылку.
3 Термины, определения и сокращения
3.2 В настоящем стандарте применены следующие сокращения:
ГКС - геодезический коллиматорный стенд;
СКП измерений - средняя квадратическая погрешность измерений;
ЭД - эксплуатационные документы.
Прием измерений - минимальное количество операций, необходимое для однократного измерения угла с заданной точностью.
КЛ (круг лево) - отсчет по лимбу при положении вертикального круга.
КП (круг право) - отсчеты по лимбу при положении вертикального круга справа.
4 Операции и средства поверки
4.1 Операции и средства поверки должны соответствовать указанным в
таблице 1.
Таблица 1
Операции и средства поверки
Наименование операции | Номер подраздела, пункта настоящего стандарта | Средство поверки | Проведение операции при поверке |
первичной | периодической |
Внешний осмотр | | - | Да | Да |
Опробование | | - | Да | Да |
Определение (контроль) метрологических характеристик: | | - | | |
Проверка установочных уровней | | - | Да | Да |
Проверка правильности работы вертикальной оси | | - | Да | Да |
Проверка установки сетки нитей зрительной трубы теодолита | | - | Да | Да |
Проверка коллимационной погрешности и места нуля (зенита) вертикального круга | | Автоколлиматор АКУ-0,2, АКУ-0,5 [3] или геодезический коллиматорный стенд (ГКС) [4] | Да | Да |
Определение погрешности теодолита при измерениях горизонтальных углов | | ГКС: - коллиматор универсальный УК; - или установка автоколлимационная для поверки нивелиров и теодолитов АУПНТ [5]; - или установка эталонная ЭУ [6] | Да | Да |
Определение погрешности теодолита при измерениях вертикальных углов | | ГКС: - коллиматор универсальный УК [7]; - или установка автоколлимационная для поверки нивелиров и теодолитов АУПНТ [5]; - или установка эталонная ЭУ [6] | Да | Да |
Определение коэффициента нитяного дальномера | | ГКС: - коллиматор универсальный УК [7]; - или установка автоколлимационная для поверки нивелиров и теодолитов АУПНТ [5]; - или эталонный компаратор для поверки нивелиров ЭКПН [8]; - или автоколлиматор АКУ-0,2 [3]; - или коллиматор универсальный УК1 [7]; - для теодолитов типа Т5, Т15, Т30 и Т60 - эталонный теодолит типа Т1 или Т2 | Да | Да |
Проверка перпендикулярности оси вращения зрительной трубы к вертикальной оси теодолита | | Коллиматор, или автоколлиматор [3] (по 3 шт.), или ГКС. Визирная марка и линейка длиной 200 мм для теодолитов типа Т15, Т30 и Т60 | Да | Да |
Определение диапазона и погрешности работы компенсатора углов наклона при вертикальном круге | | Экзаменатор с ценой деления 1" типа ЭГЕМ; автоколлиматор АК-0,2У или АК-0,25 [3], или ГКС, или установка эталонная ЭУ; или коллиматор универсальный УК1 | Да | Да |
Проверка центрира | | Координатный столик; лист миллиметровой бумаги размером 100x100 мм | Да | Да |
Проверка смещения визирной оси при перефокусировке зрительной трубы | | Коллиматор с фокусным расстоянием 1000 - 1600 мм, имитирующий разноудаленные цели | Да | Да |
Определение эксцентриситета вертикального круга у теодолитов с односторонней системой отсчета | | ГКС: - коллиматор универсальный УК; - или установка автоколлимационная для поверки нивелиров и теодолитов АУПНТ; - или установка эталонная ЭУ | Да | Да |
4.2 Допускается применять другие средства поверки, соответствующие по точности требованиям настоящего стандарта.
4.3 Применяемые средства поверки должны иметь действующие свидетельства о поверке.
5 Требования к квалификации поверителей
5.1 К проведению поверки допускают лиц, имеющих среднее специальное или высшее образование, опыт работы с угломерными оптическими и электронными приборами не менее одного года и аттестованных в качестве поверителей в установленном порядке.
6 Требования безопасности
6.1 При поверке соблюдают правила техники безопасности при работе с оптическими и электронными приборами в соответствии с ЭД на теодолиты и средства поверки, а также:
- правила по технике безопасности при работе с радиоэлектронной аппаратурой
[10];
6.2 Процесс проведения поверки не наносит вреда здоровью поверителей и окружающей среде.
7 Условия поверки и подготовка к ней
7.1 При проведении поверки должны соблюдаться требования
ГОСТ 8.050, а также следующие условия:
- температура окружающего воздуха: | |
а) для высокоточных теодолитов, °C ....................................... | (20 +/- 2); |
б) для точных теодолитов, °C ................................................... | (20 +/- 3); |
в) для технических теодолитов, °C .......................................... | (20 +/- 5); |
- верхний предел относительной влажности воздуха при 20 °C | 85%; |
- атмосферное давление ............................................................ |  ; |
- скорость изменения температуры окружающего воздуха в 1 ч, не более ............................................................................................... | 0,5 °C. |
7.2 Электропитание должно осуществляться от сети переменного тока
- напряжением ........................................................................... |  ; |
- частотой ................................................................................... | (50 +/- 1) Гц. |
7.3 Перед поверкой теодолит необходимо выдерживать в упаковке в рабочем помещении не менее 2 ч.
8.1.1 При внешнем осмотре проверяют комплектность теодолита, целостность оптических узлов, чистоту окуляров, объективов, экранов, отсутствие явных повреждений деталей и узлов, наличие маркировки в соответствии с ЭД.
8.2.1 При опробовании проверяют функционирование (работоспособность) отдельных частей и прибора в целом:
- работу замков, прижимов и винтов, фиксирующих теодолит в футляре, плавность вращения всех микровинтов, регулировочных винтов, надежность электрических контактов (в теодолитах с электроподсветкой и в электронных теодолитах), качество освещения поля зрения и изображения штрихов в поле зрения или изображения на экране.
8.3 Определение (контроль) метрологических характеристик
8.3.1 При проверке установочного и цилиндрического уровней (кроме электронного уровня) теодолит устанавливают на жесткое основание. Уровень устанавливают параллельно двум подъемным винтам подставки и, вращая их в противоположных направлениях, приводят пузырек уровня на середину. Затем поворачивают алидаду горизонтального круга на 180°. Пузырек уровня при этом не должен отклоняться от среднего положения более чем на 0,5 деления. Проверяют уровни, расположенные под углом 90°, поочередно.
8.3.2 Правильность работы вертикальной оси проверяют по уровню при алидаде горизонтального круга. Для этого в пределах одного полного оборота на установках алидады через шаг

фиксируют положение пузырька уровня относительно шкалы уровня, делая отсчеты по одному или двум его концам. Колебания отсчетов должны быть в пределах одного деления шкалы уровня.
8.3.3 Для проверки установки сетки нитей зрительной трубы теодолита горизонтальную нить сетки нитей теодолита наводят на четкую, видимую точку или изображение перекрестия сетки нитей коллиматора или автоколлиматора. Затем вращают алидаду теодолита микрометрическим винтом, при этом изображение выбранной точки не должно сходить с горизонтальной нити сетки нитей теодолита по всей ее длине более чем на двойную толщину этой нити.
8.3.4 Коллимационную погрешность горизонтального круга и место нуля (зенита) вертикального круга определяют в соответствии с ЭД теодолита.
8.3.5 Определение погрешности теодолита при измерениях горизонтальных углов
8.3.5.1 Погрешность теодолита определяют путем сравнения измеренных углов теодолитом с эталонными значениями ГКС.
Значение максимальной погрешности

не должно превышать значений, указанных в ЭД на теодолит.
Поверяемый теодолит устанавливают на основании ГКС, предварительно установленном по уровню. Используя собственные уровни, теодолит приводят в рабочее положение.
8.3.5.2 Наводят сетку нитей теодолита на первую визирную цель (лимб установлен на 0°) и снимают показания по горизонтальному кругу. Поворачивают алидаду по ходу часовой стрелки на величину измеряемого угла и наводят сетку нитей на вторую визирную цель, снимают показания по горизонтальному кругу. Переводят зрительную трубу через зенит, поворачивают алидаду по ходу часовой стрелки на 180°, наводят сетку нитей зрительной трубы на вторую цель и снимают показания по горизонтальному кругу. Поворачивают алидаду по ходу часовой стрелки на величину дополнения измеряемого угла до 360°, наводят сетку нитей зрительной трубы на первую цель и снимают показания по горизонтальному кругу. Это один прием.
Проводят шесть приемов измерений угла с перестановкой лимба через 30°.
Для электронных теодолитов, у которых конструктивно не предусмотрена перестановка лимба, поворачивают подставку СИ.
Значение

вычисляют по формуле

(1)
где vi - уклонение каждого результата измерений горизонтального угла от эталонного значения;
n - число приемов.
Значение максимальной погрешности теодолита

не должно превышать значений, указанных в ЭД на теодолит.
8.3.6 Определение погрешности теодолита при измерениях вертикальных углов
8.3.6.1 Погрешность теодолита

определяют путем сравнения измеренных углов теодолитом и эталонными значениями ГКС в диапазоне от минус 45° до плюс 45°.
8.3.6.2 Перед выполнением измерений теодолит устанавливают на пункт стенда. Проводят четыре ряда наблюдений, каждый из которых состоит из трех приемов по десять измерений, вычисляют среднее арифметическое результатов измерений в каждом приеме. В каждом приеме наблюдают все четыре визирные цели при положении трубы КЛ и КП. Измерения организуют таким образом, чтобы каждую цель можно было наблюдать при двух положениях трубы друг за другом.
8.3.6.3 Результаты измерений записывают в журнал или сохраняют в памяти теодолита. Обработку результатов измерений проводят в соответствии с
ГОСТ 10529 или с помощью прилагаемого к теодолиту программного обеспечения.
Значение максимальной погрешности теодолита

не должно превышать значений, указанных в ЭД на теодолит.
8.3.7 Определение коэффициента нитяного дальномера
8.3.7.1 Коэффициент нитяного дальномера определяют путем сравнения параллактического угла теодолита с эталонным значением ГКС.
8.3.7.2 Коэффициент нитяного дальномера теодолитов типа Т5, Т15 и Т30 определяют с помощью теодолита типа Т2, Т1 по
ГОСТ 10529 путем измерений вертикального угла

между верхней и нижней нитями с погрешностью 1,5
", не менее чем двумя приемами для Т1 и тремя приемами для Т2 или с помощью автоколлиматора АКУ-0,2 с погрешностью 0,3
".
При выполнении измерений зрительные трубы эталонного и поверяемого теодолитов должны быть установлены на "бесконечность" и соосно (см.
рисунок 1).
1 - эталонный теодолит; 2 - поверяемый теодолит
Рисунок 1 - Схема установки
эталонного и поверяемого теодолитов
8.3.7.3 Коэффициент дальномера вычисляют по формуле

, (2)
где

- среднее значение вертикального угла, угловая мера.
Для всех типов теодолитов коэффициент дальномера не должен превышать (100 +/- 1)%.
8.3.8 Проверка перпендикулярности оси вращения зрительной трубы к вертикальной оси теодолита
8.3.8.1 Теодолит устанавливают на расстоянии D не более 30 м от стены здания или сооружения. Вертикальную ось теодолита тщательно приводят в отвесное положение.
Наводят трубу на марку (точку), расположенную на стене выше шкалы на 5 - 10 м. После каждого наведения при двух положениях круга, составляющих один прием, проецируют центр сетки нитей на шкалу линейки или штриховой меры, установленной примерно на уровне горизонта прибора, перпендикулярно к линии визирования. При проецировании берут отсчеты a1 и a2 по шкале в миллиметрах. Значение i (отклонения от перпендикулярности) в угловых секундах вычисляют по формуле

, (3)
где D - расстояние от прибора до шкалы, в мм;

- градусная мера одного радиана

;

- угол наклона визирной оси к горизонту при наведении на марку, угловая мера.
Выполняют не менее двух приемов, при этом высота расположения марки не должна изменяться.
8.3.8.2 За окончательное значение отклонения от перпендикулярности горизонтальной оси к вертикальной оси вращения теодолита принимают среднее арифметическое значение результатов всех приемов.
8.3.8.3 Значение не должно превышать значений, указанных в ЭД на теодолит.
8.3.9 Определение диапазона и погрешности работы компенсатора углов наклона при вертикальном круге
8.3.9.1 Диапазон и погрешность работы компенсатора определяют по отклонениям показаний вертикального круга при наведении трубы на изображение горизонтальной нити сетки коллиматора (эталонного теодолита) при наклонах вертикальной оси поверяемого теодолита в направлении линии визирования. Для проведения поверки теодолит устанавливают на экзаменатор таким образом, чтобы плоскость вертикального круга была параллельна оси экзаменатора. Винт экзаменатора приводят в среднее положение, теодолит - в рабочее положение. Затем устанавливают автоколлиматор (далее - АК) или эталонный теодолит типа Т1 таким образом, чтобы зрительные трубы АК и поверяемого теодолита были соосны (см.
рисунок 1).
8.3.9.2 Вывинчиванием и ввинчиванием винта экзаменатора выводят вертикальную ось поверяемого теодолита за пределы диапазона работы компенсатора, при этом на лимбе винта экзаменатора замечают и записывают показания Эмин и Эмакс, при которых компенсатор перестает работать.
8.3.9.3 Ввинчиванием винта экзаменатора устанавливают отсчет Эмин.
8.3.9.4 Наводят горизонтальную нить сетки нитей теодолита на горизонтальную нить АК или эталонный теодолит.
8.3.9.5 Отсчитывают по вертикальному кругу теодолита и получают отсчет

(для теодолитов типа Т2); отсчитывают по шкале АК или измеряют значение вертикального направления с помощью эталонного теодолита и получают отсчет

(для теодолитов типа Т5К, Т15К или электронных).
8.3.9.7 Последовательно измеряют наклон вертикальной оси теодолита с помощью экзаменатора с дискретностью 1
' в пределах диапазона работы компенсатора и, выполняя действия по
8.3.9.4 и
8.3.9.5, получают отсчеты

и

(здесь
j - номер установки).
8.3.9.8 Выполняют действия в обратном ходе, т.е. при вывинчивании винта экзаменатора, и получают отсчеты

и

.
8.3.9.9 При обработке результатов измерений вычисляют:
- среднее из двух наведений на каждой установке по формулам:

прямо и

обратно, (4)
где j - номер установки;
- разность средних отсчетов dвj, полученных из одного и того же угла наклона вертикальной оси теодолита в прямом и обратном ходах по формуле

; (5)
- средние отсчеты из отсчетов прямого и обратного ходов на одной установке по формуле

; (6)
- отклонения

средних отсчетов от отсчета, соответствующего нулевому наклону вертикальной оси по формуле

; (7)
- диапазон работы компенсатора в угловых минутах по формуле

, (8)
где

и

- отсчеты на максимальных наклонах теодолита в диапазоне работы компенсатора, угловые минуты

; (9)
- систематическую погрешность работы компенсатора для крайних отсчетов в угловых секундах по формуле

, (10)
где

и

- отсчеты на максимальных наклонах теодолита в диапазоне работы компенсатора, угловая мера,

- угол между максимальными наклонами вертикальной оси теодолита, угловая мера.
8.3.9.10 Значение не должно превышать значений, указанных в ЭД на теодолит.
8.3.10.1 Для проверки совпадения визирной оси центрира с вертикальной осью вращения теодолит устанавливают на штативе на высоте 1,5 м над координатным столиком. Теодолит приводят в рабочее положение. На координатный столик в поле зрения оптического или светового пятна лазерного центрира кладут лист бумаги с миллиметровой сеткой.
Фиксируют точкой на миллиметровой бумаге проекцию центрира (координаты x1 и y1). Поворачивают дважды верхнюю часть теодолита на 120° и отсчитывают координаты (x2 y2 и x3 y3) перемещения проекции перекрестия сетки при каждом его положении. Вычисляют длины сторон треугольника по формулам:

, (11)

, (12)

. (13)
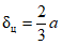
Наибольшее расстояние от центра тяжести треугольника до его вершины (погрешность центрирования) определяется наибольшей медианой, которая лежит между наибольшими сторонами, по формулам:

, (14)

, (15)
где a - наибольшая медиана;

- погрешность центрирования.
8.3.10.2 Для всех типов теодолитов погрешность центрирования не должна превышать 1 мм.
8.3.11 Проверка смещения визирной оси при перефокусировке зрительной трубы
8.3.11.1 Проверку смещения визирной оси при перефокусировке зрительной трубы проводят с помощью зрительной трубы с фокусным расстоянием 1600 (1000) мм или длиннофокусного коллиматора, имитирующего разноудаленные цели.
Теодолит устанавливают в рабочее положение против зрительной трубы по одной оси и фокусируют их на бесконечность. Подсвечивая сетку зрительной трубы, совмещают нити сетки теодолита и сетки зрительной трубы. Меняют фокусировку зрительной трубы. Теодолит фокусируют на новое положение сетки зрительной трубы. Расхождение нитей характеризует смещение визирной оси теодолита при перефокусировке. Теодолит фокусируют не менее шести раз на всем диапазоне визирования (от бесконечности до минимального расстояния визирования) в прямом и обратном направлениях. Смещение визирной оси при перефокусировке не должно быть более тройной ширины нити сетки теодолита.
8.3.12 Определение эксцентриситета вертикального круга у теодолитов с односторонней системой отсчета
8.3.12.1 Максимальное влияние эксцентриситета вертикального круга у теодолитов типа Т5, Т15 и Т30 определяют по одной паре коллиматоров, установленных горизонтально (т.е.

) и соосно, при установке теодолита в створе между ними. Схема установки приборов аналогична приведенной на
рисунке 2; для данной операции поверки используют одну пару горизонтально расположенных коллиматоров.
1, 2 - коллиматоры; 3 - теодолит
Измерения проводят в следующей последовательности:
а) наводят при КЛ трубу теодолита на горизонтальную нить коллиматора 1
(рисунок 2) и делают отсчет Л
i по вертикальному кругу;
б) вращением трубы вокруг горизонтальной оси наводят ее на горизонтальную нить коллиматора 2
(рисунок 2) (при этом алидада горизонтального круга остается неподвижной) и делают отсчет П
i по вертикальному кругу.
Операции по
подпунктам а) и
б), составляющие один прием, выполняют не менее двух раз для теодолитов типа Т5 и Т15 и не менее трех раз для теодолитов типа Т30.
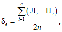
Максимальное влияние эксцентриситета вертикального круга в угловых секундах вычисляют по формуле

(16)
где n - число приемов.
8.3.12.2 Значение не должно превышать значений, указанных в ЭД на теодолит.
9 Оформление результатов поверки
9.1 Положительные результаты поверки оформляют свидетельством о поверке в соответствии с
[1]. В свидетельство о поверке вносят максимальные значения погрешности теодолита при измерениях горизонтальных и вертикальных углов. Поверительные клейма наносят в соответствии с
[11].
9.2 Отрицательные результаты поверки оформляют в соответствии с
[1].
| | Государственная система обеспечения единства измерений. Порядок проведения поверки средств измерения |
| | Государственная система обеспечения единства измерений. Методы определения межповерочных и межкалибровочных интервалов средств измерений |
| ТУ 3-3.2254-90 | Автоколлиматоры унифицированные АКУ. Технические условия |
| | Измерения геодезические. Термины и определения |
| Госреестр СИ N 27149-04 | Установки автоколлимационные для поверки нивелиров и теодолитов АУПНТ |
| Патент на изобретение 2116626 RU МКИ 6G 01 D 18/00 | Устройство для аттестации системы измерений вертикальных углов теодолита / Б.А. Пизюта, В.Д. Лизунов, В.В. Копытов, Т.В. Набока, О.К. Ушаков, В.В. Афанасьев (Россия) - N 95108631/28; заяв. 26.05.95; опубл. 27.07.98. Бюлл. N 21 - 4 с. |
| Госреестр СИ N 27127-04 | Коллиматоры универсальные УК1, УК1-01 |
| Патент на изобретение N 2463561, RU МКП G01C 25/00, G01C 1/00 | Устройство для определения погрешности измерений горизонтальных и вертикальных углов геодезических угломерных приборов / Куликов А.В., Копытов В.В., Загарских С.А., Новоевский В.Т., Куликова Л.Г., Носов А.Н., Сидоров А.А. (Россия) - N 2011112168/28; заяв. 30.03.2011; опубл. 10.10.2012. Бюлл. N 28 - 7 с. |
| | Правила по технике безопасности на топографо-геодезических работах. М.: Недра, 1991 |
| Методические указания по охране труда, утвержденные Постановлением Минтруда РФ N 129 от 1 июля 1993 г | Правила по технике безопасности при работе с радиоэлектронной аппаратурой |
| | Государственная система обеспечения единства измерений. Поверительные клейма |
--------------------------------
УДК 528.5:083.96:006.354 | |
Ключевые слова: теодолит, геодезические угломерные приборы, эталонная установка, поверка, операции поверки, средства поверки, условия поверки, измерения углов, обработка результатов измерений |