Главная // Актуальные документы // ГОСТ Р (Государственный стандарт)СПРАВКА
Источник публикации
М.: Стандартинформ, 2016
Примечание к документу
Документ включен в
Перечень стандартов, в результате применения которых на добровольной основе полностью или частично обеспечивается соблюдение соответствия медицинских изделий Общим
требованиям безопасности и эффективности медицинских изделий, требованиям к их маркировке и эксплуатационной документации на них (
Рекомендация Коллегии Евразийской экономической комиссии от 04.09.2017 N 17).
Документ
введен в действие с 1 сентября 2016 года.
Название документа
"ГОСТ Р МЭК 60601-2-65-2015. Национальный стандарт Российской Федерации. Изделия медицинские электрические. Часть 2-65. Частные требования безопасности с учетом основных функциональных характеристик для рентгеновских дентальных интраоральных аппаратов"
(утв. и введен в действие Приказом Росстандарта от 01.10.2015 N 1433-ст)
"ГОСТ Р МЭК 60601-2-65-2015. Национальный стандарт Российской Федерации. Изделия медицинские электрические. Часть 2-65. Частные требования безопасности с учетом основных функциональных характеристик для рентгеновских дентальных интраоральных аппаратов"
(утв. и введен в действие Приказом Росстандарта от 01.10.2015 N 1433-ст)
Утвержден и введен в действие
по техническому регулированию
и метрологии
от 1 октября 2015 г. N 1433-ст
НАЦИОНАЛЬНЫЙ СТАНДАРТ РОССИЙСКОЙ ФЕДЕРАЦИИ
ИЗДЕЛИЯ МЕДИЦИНСКИЕ ЭЛЕКТРИЧЕСКИЕ
ЧАСТЬ 2-65
ЧАСТНЫЕ ТРЕБОВАНИЯ БЕЗОПАСНОСТИ С УЧЕТОМ ОСНОВНЫХ
ФУНКЦИОНАЛЬНЫХ ХАРАКТЕРИСТИК ДЛЯ РЕНТГЕНОВСКИХ ДЕНТАЛЬНЫХ
ИНТРАОРАЛЬНЫХ АППАРАТОВ
Medical electrical equipment. Part 2-65: Particular
requirements for the basic safety and essential performance
of dental intra-oral X-ray equipment
IEC 60601-2-65:2012
Medical electrical equipment - Part 2-65: Particular
requirements for the basic safety and essential performance
of dental intra-oral X-ray equipment
(IDT)
ГОСТ Р МЭК 60601-2-65-2015
Дата введения
1 сентября 2016 года
1 ПОДГОТОВЛЕН Обществом с ограниченной ответственностью "Медтехстандарт" (ООО "Медтехстандарт") на основе собственного аутентичного перевода на русский язык международного стандарта, указанного в
пункте 4
2 ВНЕСЕН Техническим комитетом по стандартизации ТК 411 "Аппараты и оборудование для лучевой диагностики, терапии и дозиметрии"
3 УТВЕРЖДЕН И ВВЕДЕН В ДЕЙСТВИЕ
Приказом Федерального агентства по техническому регулированию и метрологии от 01 октября 2015 г. N 1433-ст
4 Настоящий стандарт идентичен международному стандарту МЭК 60601-2-65:2012 "Изделия медицинские электрические. Часть 2-65. Частные требования безопасности с учетом основных функциональных характеристик для рентгеновских дентальных интраоральных аппаратов" (IEC 60601-2-65:2012 "Particular requirements for the basic safety and essential performance of dental intra-oral X-ray equipment").
При применении настоящего стандарта рекомендуется использовать вместо ссылочных международных стандартов соответствующие им национальные стандарты Российской Федерации, сведения о которых приведены в
приложении ДА
5 ВВЕДЕН ВПЕРВЫЕ
Правила применения настоящего стандарта установлены в ГОСТ Р 1.0-2012
(раздел 8). Информация об изменениях к настоящему стандарту публикуется в ежегодном (по состоянию на 1 января текущего года) информационном указателе "Национальные стандарты", а официальный текст изменений и поправок - в ежемесячном информационном указателе "Национальные стандарты". В случае пересмотра (замены) или отмены настоящего стандарта соответствующее уведомление будет опубликовано в ближайшем выпуске ежемесячного информационного указателя "Национальные стандарты". Соответствующая информация, уведомление и тексты размещаются также в информационной системе общего пользования - на официальном сайте Федерального агентства по техническому регулированию и метрологии в сети Интернет (www.gost.ru)
Настоящий стандарт был подготовлен на основании
ГОСТ Р МЭК 60601-1-2010 и его дополнительных стандартов, включающих в себя ОСНОВЫ БЕЗОПАСНОСТИ и РАБОЧИЕ ХАРАКТЕРИСТИКИ, требуемые для РЕНТГЕНОВСКИХ ДЕНТАЛЬНЫХ ИНТРАОРАЛЬНЫХ АППАРАТОВ. В то время как ранее существующие стандарты для такого оборудования были посвящены компонентам и подсистемам, именно этот стандарт рассматривает системный подход к работе с РЕНТГЕНОВСКИМ ДЕНТАЛЬНЫМ ИНТРАОРАЛЬНЫМ АППАРАТОМ. Компоненты отдельных составляющих и их функции рассматриваются по мере необходимости.
Минимальные требования безопасности, определенные в настоящем стандарте, предназначены для обеспечения практической степени безопасности при эксплуатации РЕНТГЕНОВСКИХ ДЕНТАЛЬНЫХ ИНТРАОРАЛЬНЫХ АППАРАТОВ.
Минимальные требования безопасности для РЕНТГЕНОВСКИХ ДЕНТАЛЬНЫХ ЭКСТРАОРАЛЬНЫХ АППАРАТОВ указаны в отдельном специальном стандарте МЭК 60601-2-63, для того чтобы упростить и улучшить читаемость.
Настоящий частный стандарт вносит изменения и дополнения в
ГОСТ Р МЭК 60601-1-2010 (3-е издание, 2005 г.) "Изделия медицинские электрические. Часть 1: Общие требования безопасности и основные характеристики", именуемый в дальнейшем общим стандартом.
| | ИС МЕГАНОРМ: примечание. В официальном тексте документа, видимо, допущена опечатка: стандарт имеет номер ГОСТ Р 50267.32-99, а не ГОСТ Р 502667.32-99. | |
В рамках своей конкретной области положения настоящего частного стандарта заменяют требования
ГОСТ IEC 60601-2-7-2011 "Изделия медицинские электрические. Часть 2-7. Частные требования безопасности к рентгеновским питающим устройствам диагностических рентгеновских генераторов". Требования, предъявляемые к РЕНТГЕНОВСКИМ ДЕНТАЛЬНЫМ ИНТРАОРАЛЬНЫМ АППАРАТАМ, которые были включены в предыдущих выпусках частного стандарта
ГОСТ Р 50267.0.3 или частных стандартов
ГОСТ Р 50267.28-95,
ГОСТ IEC 60601-2-7 или
ГОСТ Р 502667.32-99, отражены в данном стандарте.
Все требования, предъявляемые к интегрированным РЕНТГЕНОВСКИМ ИЗЛУЧАТЕЛЯМ, отражены в настоящем стандарте. Поэтому
ГОСТ Р МЭК 60601-2-28-2013 не распространяется на оборудование, к которому применим настоящий частный стандарт.
201.1 Область распространения, цель и взаимосвязь с другими стандартами
Применяют
пункт 1 общего стандарта <1>, за исключением:
--------------------------------
<1> Общий стандарт
ГОСТ Р МЭК 60601-1:2010 "Изделия медицинские электрические. Часть 1. Общие требования к безопасности с учетом основных функциональных характеристик".
201.1.1 Область распространения
Замена:
Настоящий стандарт распространяется на ОСНОВНУЮ БЕЗОПАСНОСТЬ и ОСНОВНЫЕ ФУНКЦИОНАЛЬНЫЕ ХАРАКТЕРИСТИКИ К РЕНТГЕНОВСКИМ ДЕНТАЛЬНЫМ ИНТРАОРАЛЬНЫМ АППАРАТАМ и их основным компонентам (далее - ME ИЗДЕЛИЯ).
Настоящий стандарт распространяется на РЕНТГЕНОВСКИЕ АППАРАТЫ С РЕНТГЕНОВСКИМ ИЗЛУЧАТЕЛЕМ, содержащим ВЫСОКОВОЛЬТНЫЙ ГЕНЕРАТОР.
ME ИЗДЕЛИЯ РЕНТГЕНОВСКИЕ ДЕНТАЛЬНЫЕ ЭКСТРАОРАЛЬНЫЕ АППАРАТЫ не входят в область распространения настоящего стандарта.
Примечание 1 - РЕНТГЕНОВСКИЙ ГЕНЕРАТОР В РЕНТГЕНОВСКОМ ДЕНТАЛЬНОМ ИНТРАОРАЛЬНОМ АППАРАТЕ всегда включает РЕНТГЕНОВСКИЙ ИЗЛУЧАТЕЛЬ МОНОБЛОЧНОГО ТИПА. Поэтому в настоящем стандарте понятие "РЕНТГЕНОВСКИЙ ИЗЛУЧАТЕЛЬ" заменяется понятием "РЕНТГЕНОВСКИЙ МОНОБЛОК".
Примечание 2 - Основными компонентами могут быть, например, РЕНТГЕНОВСКИЙ МОНОБЛОК И ЭЛЕКТРОННЫЙ ПРИЕМНИК РЕНТГЕНОВСКОГО ИЗОБРАЖЕНИЯ.
Примечание 3 - Фотостимулирующие фосфорные пластины и их считыватели (аппаратные и программные) исключаются из сферы применения настоящего стандарта, так как они не имеют электрических РАБОЧИХ ЧАСТЕЙ, КОНТАКТИРУЮЩИХ С ОКРУЖАЮЩЕЙ ПАЦИЕНТА СРЕДОЙ, и не являются ME ИЗДЕЛИЯМИ.
ME ИЗДЕЛИЕ И ME СИСТЕМЫ, входящие в область распространения стандартов
ГОСТ Р МЭК 60601-2-63,
ГОСТ Р МЭК 60601-2-44,
ГОСТ Р МЭК 50267.2.54,
ГОСТ Р МЭК 60601-2-45 и
ГОСТ Р МЭК 60601-2-43, исключены из области распространения настоящего стандарта. Область распространения настоящего стандарта также исключает его распространение на РАДИОТЕРАПЕВТИЧЕСКИЕ СИМУЛЯТОРЫ и АППАРАТЫ ДЛЯ КОСТНОЙ или КОСТНО-ТКАНЕВОЙ АБСОРБЦИОННОЙ ДЕНСИТОМЕТРИИ. Исключены из области распространения также ME ИЗДЕЛИЯ, предназначенные для использования в ДЕНТАЛЬНОЙ РЕНТГЕНОСКОПИИ.
| | ИС МЕГАНОРМ: примечание. В официальном тексте документа, видимо, допущена опечатка: стандарт имеет номер ГОСТ 30324.32-2002, а не ГОСТ Р 30324.32. | |
В рамках области распространения положения настоящего стандарта заменяют
ГОСТ IEC 60601-2-7 "Изделия медицинские электрические. Часть 2-7. Частные требования безопасности к рентгеновским питающим устройствам диагностических рентгеновских генераторов" и
ГОСТ Р 30324.32 "Изделия медицинские электрические. Часть 2. Частные требования безопасности к вспомогательному оборудованию рентгеновских аппаратов".
Примечание 4 - Требования к РЕНТГЕНОВСКИМ ГЕНЕРАТОРАМ и ВСПОМОГАТЕЛЬНЫХ ИЗДЕЛИЙ, которые ранее отражались в МЭК 60601-2-7 и МЭК 60601-2-32, включены в
ГОСТ Р МЭК 60601-1, а также в настоящий частный стандарт. Поэтому
ГОСТ IEC 60601-2-7 и
ГОСТ 30324.32 не являются частными стандартами для
ГОСТ Р МЭК 60601-1 и стандарта для РЕНТГЕНОВСКИХ ДЕНТАЛЬНЫХ ИНТРАОРАЛЬНЫХ АППАРАТОВ.
Все требования, относящиеся к ИНТЕГРИРОВАННЫМ РЕНТГЕНОВСКИМ ИЗЛУЧАТЕЛЯМ, описаны в настоящем стандарте. Поэтому
ГОСТ Р МЭК 60601-2-28 не распространяется на ME ИЗДЕЛИЯ, к которым применяется настоящий стандарт.
Замена:
Целью настоящего частного стандарта является задача установления частных требований ОСНОВНОЙ БЕЗОПАСНОСТИ и ОСНОВНЫХ ФУНКЦИОНАЛЬНЫХ ХАРАКТЕРИСТИК для ME ИЗДЕЛИЙ в ДЕНТАЛЬНОЙ ИНТРАОРАЛЬНОЙ РАДИОГРАФИИ.
201.1.3 Дополнительные стандарты
Дополнение:
Настоящий частный стандарт ссылается на применимые действующие стандарты, перечисленные в
пункте 2 основного стандарта и
пункте 201.2 настоящего частного стандарта.
--------------------------------
<1> МЭК 60601-1-10 "Изделия медицинские электрические. Часть 1-10. Общие требования безопасности с учетом основных функциональных характеристик - вспомогательный стандарт. Требования к разработке физиологических контроллеров с обратной связью".
<2> МЭК 60601-1-11 "Изделия медицинские электрические. Часть 1-11. Общие требования безопасности с учетом основных функциональных характеристик - дополнительный стандарт: Требования к медицинскому электрооборудованию и медицинским электрическим системам, используемым для ухода за больным в домашней среде".
Примечание - ОПЕРАТОРЫ РЕНТГЕНОВСКОГО ДЕНТАЛЬНОГО ЭКСТРАОРАЛЬНОГО АППАРАТА используют звуковые сигналы в соответствии с требованиями настоящего частного стандарта, поэтому
ГОСТ IEC 60601-1-8 не применяется.
201.1.4 Частные стандарты
Замена:
В серии МЭК 60601 требования, предъявляемые в общем
стандарте и дополнительных стандартах, могут изменяться, заменяться или отменяться в частных стандартах, по необходимости, для определенных ME ИЗДЕЛИЙ.
Кроме того, в частных стандартах могут предъявляться дополнительные требования ОСНОВНОЙ БЕЗОПАСНОСТИ И ОСНОВНЫХ ФУНКЦИОНАЛЬНЫХ ХАРАКТЕРИСТИК.
Требование настоящего частного стандарта имеет приоритет над общим
стандартом.
Для краткости ссылки на
ГОСТ Р МЭК 60601-1 даются в настоящем частном стандарте как ссылки на общий
стандарт. Ссылки на дополнительные стандарты даются с обозначением их номера.
Нумерация пунктов и подпунктов настоящего частного стандарта дана в соответствии с нумерацией пунктов общего
стандарта с префиксом "201" (например, пункт 201.1 в настоящем частном стандарте рассматривает содержание
пункта 1 общего стандарта) или пунктов применимых дополнительных стандартов с префиксом "20
x", где "
x" - это последняя(ие) цифра(ы) номера дополнительного стандарта (например, пункт 202.4 данного частного стандарта ссылается на содержание
пункта 4, а для дополнительного стандарта ГОСТ Р МЭК 60601-1-2
пункт 203.4 настоящего частного стандарта отражает содержание
пункта 4 дополнительного стандарта ГОСТ Р МЭК 60601-1-3 и т.д.). Изменения в тексте общего
стандарта обозначены с использованием следующих слов:
- "замена" означает, что пункт или подпункт общего
стандарта или применимого дополнительного стандарта заменен полностью текстом настоящего частного стандарта;
- "дополнение" означает, что текст настоящего частного стандарта является дополнительным к требованиям подпункта общего
стандарта или применимого дополнительного стандарта;
- "изменение" означает, что пункт или подпункт общего
стандарта или применяемого дополнительного стандарта изменен в соответствии с текстом настоящего дополнительного стандарта.
Подпункты, рисунки или таблицы, которые являются дополнением к пунктам, подпунктам, рисункам и таблицам общего
стандарта, нумеруются начиная с
201.101. Однако, так как определения общего стандарта пронумерованы с
3.1 по
3.139, дополнительные определения в настоящем стандарте пронумерованы начиная с
201.3.201. Дополнительные приложения обозначены буквами
AA,
BB и т.д., а также дополнительные перечисления - буквами aa), bb), и т.д.
Подпункты, рисунки и таблицы, являющиеся дополнением к пунктам, подпунктам, рисункам и таблицам дополнительных стандартов, нумеруются начиная с 20
x, где "
x" является порядковым номером дополнительного стандарта (например,
202 - для
ГОСТ Р МЭК 60601-1-2,
203 - для
ГОСТ Р МЭК 60601-1-3 и т.д.).
Термин "настоящий стандарт" использован для совместного обозначения общего
стандарта и всех применимых дополнительных стандартов и настоящего частного стандарта.
Если в настоящем частном стандарте отсутствует соответствующий пункт или подпункт, то применяют пункт или подпункт общего
стандарта или применимого дополнительного стандарта без изменений, несмотря на то что он может не относится к данному вопросу; в том случае если определенную часть общего
стандарта или применимого дополнительного стандарта не следует применять в настоящем частном стандарте, несмотря на то что она может относиться к данному вопросу, то это обязательно объяснено.
Примечание - Информационные ссылки приведены в
Библиографии, начиная со страницы ....
Применяют
пункт 2 общего стандарта, за исключением следующего:
Замена:
ГОСТ Р МЭК 60601-1-2-2014 "Изделия медицинские электрические. Часть 1-2. Общие требования безопасности с учетом основных функциональных характеристик. ПАРАЛЛЕЛЬНЫЙ стандарт: Электромагнитная совместимость. Требования и испытания"
ГОСТ Р МЭК 60601-1-3-2013 "Изделия медицинские электрические. Часть 1-3. Общие требования безопасности с учетом основных функциональных характеристик. Дополнительный стандарт: Защита от излучения в диагностических рентгеновских аппаратах"
Дополнение:
ГОСТ Р МЭК 60336-2010 "Изделия медицинские электрические. Излучатели медицинские рентгенодиагностические. Характеристики фокусных пятен"
ГОСТ IEC 62220-1-2011 "Изделия медицинские электрические. Характеристики цифровых приемников рентгеновского изображения. Часть 1. Определение квантовой эффективности регистрации"
201.3 Термины и определения
Изменение:
В настоящем стандарте применены термины с соответствующими определениями, приведенными в
ГОСТ Р МЭК 60601-1, дополнительных стандартах и
ГОСТ Р МЭК/ТО 60788, а также следующие термины с соответствующими определениями:
Примечание - Индекс термина указывается, приводится начиная со страницы ... и далее.
Дополнение:
201.3.201 ДЕНТАЛЬНЫЙ: Термин, связанный и определяющий структуры челюстно-лицевого аппарата пациента, включая зубной ряд.
| | ИС МЕГАНОРМ: примечание. Здесь и далее в официальном тексте документа, видимо, допущены опечатки: стандарт имеет номер ГОСТ Р МЭК 60601-2-63-2015, а не ГОСТ Р МЭК 60601-2-63-2014. | |
201.3.202 ПРОИЗВЕДЕНИЕ ДОЗЫ НА ПЛОЩАДЬ: Произведение площади поперечного сечения ПУЧКА РЕНТГЕНОВСКОГО ИЗЛУЧЕНИЯ и среднего значения КЕРМЫ В ВОЗДУХЕ в этом поперечном сечении, Гр*м
2.
201.3.203 ЭЛЕКТРОННЫЙ ПРИЕМНИК РЕНТГЕНОВСКОГО ИЗОБРАЖЕНИЯ: ПРИЕМНИК РЕНТГЕНОВСКОГО ИЗОБРАЖЕНИЯ, основанный на электропроводящем методе преобразования.
201.3.204 РАЗМЕР ВЫХОДНОГО ПОЛЯ: Размеры РАДИАЦИОННОГО ПОЛЯ НА ВЫХОДЕ ДЕНТАЛЬНОГО ТУБУСА определяются установленным УСТРОЙСТВОМ ФОРМИРОВАНИЯ ПУЧКА.
Примечание 1 - ДЕНТАЛЬНЫЙ ТУБУС обеспечивает минимальное фокусное расстояние кожи. Обычно УСТРОЙСТВО ФОРМИРОВАНИЯ ПУЧКА является частью ДЕНТАЛЬНОГО ТУБУСА.
201.3.205 ЭКСТРАОРАЛЬНОЕ: Термин, связанный с определением в ДЕНТАЛЬНОЙ РЕНТГЕНОГРАФИИ, стоматологии, где рентгеновский преобразователь изображения находится, вне полости рта.
201.3.206 БЛОКИРУЮЩЕЕ УСТРОЙСТВО: Устройство, препятствующее началу или продолжению работы ME ИЗДЕЛИЯ до тех пор, пока не будут установлены заранее заданные условия.
201.3.207 ИНТРАОРАЛЬНОЕ: Термин, связанный с определением в ДЕНТАЛЬНОЙ РЕНТГЕНОГРАФИИ, стоматологии, где рентгеновский преобразователь изображения находится полностью или частично, в полости рта.
201.3.208 ОДНОПОЛУПЕРИОДНОЕ РПУ: РПУ с питанием от однофазной сети, которое выдает на выходе не выпрямленное напряжение или выпрямленное напряжение с одним максимумом в каждом периоде.
[ГОСТ Р МЭК/ТО 60788-2009,
720]
201.3.209 ДВУХПОЛУПЕРИОДНОЕ РПУ: ДВУХПОЛУПЕРИОДНОЕ РПУ - РПУ с питанием от однофазной сети, дающее на выходе выпрямленное напряжение с двумя максимумами в каждом периоде.
[ГОСТ Р МЭК/ТО 60788-2009,
1157]
201.3.210 РЕНТГЕНОВСКИЙ МОНОБЛОК: РЕНТГЕНОВСКИЙ ИЗЛУЧАТЕЛЬ, содержащий ВЫСОКОВОЛЬТНЫЙ ТРАНСФОРМАТОР.
Примечание 1 - Термин "РЕНТГЕНОВСКИЙ МОНОБЛОК" не имеет УСТРОЙСТВО ФОРМИРОВАНИЯ ПУЧКА.
Применяют
пункт 4 общего стандарта, за исключением следующего:
201.4.3 ОСНОВНЫЕ ФУНКЦИОНАЛЬНЫЕ ХАРАКТЕРИСТИКИ
Дополнительный подпункт:
201.4.3.101 Дополнительные требования к ОСНОВНЫМ ФУНКЦИОНАЛЬНЫМ ХАРАКТЕРИСТИКАМ
В таблице 201.101 приведен список дополнительных требований к ОСНОВНЫМ ФУНКЦИОНАЛЬНЫМ ХАРАКТЕРИСТИКАМ, который должен рассмотреть ИЗГОТОВИТЕЛЬ в ПРОЦЕССЕ УПРАВЛЕНИЯ РИСКАМИ.
Примечание -
Подпункт 203.6.4.3.102 (точность ПАРАМЕТРОВ НАГРУЗКИ) определяет ограничение в применении
подпункта 203.6.4.3.102.2 (точность поддержания НАПРЯЖЕНИЯ НА РЕНТГЕНОВСКОЙ ТРУБКЕ) и
203.6.4.3.102.3 (точность поддержания ТОКА РЕНТГЕНОВСКОЙ ТРУБКИ). Это ограничение справедливо и для списка ОСНОВНЫХ ФУНКЦИОНАЛЬНЫХ ХАРАКТЕРИСТИК.
Таблица 201.101
Список дополнительных ОСНОВНЫХ ФУНКЦИОНАЛЬНЫХ ХАРАКТЕРИСТИК,
который должен быть рассмотрен ИЗГОТОВИТЕЛЕМ в ПРОЦЕССЕ
УПРАВЛЕНИЯ РИСКАМИ
Требование | Подпункт |
Точность ПАРАМЕТРОВ НАГРУЗКИ | |
Воспроизводимость выхода ИЗЛУЧЕНИЯ | |
201.4.10.2 Питающая сеть для ME ИЗДЕЛИЙ и ME СИСТЕМ
Дополнение:
Внутреннее сопротивление ИСТОЧНИКА ПИТАНИЯ может считаться достаточно низким для работы ME ИЗДЕЛИЯ, если значение КАЖУЩЕГОСЯ (ВНУТРЕННЕГО) СОПРОТИВЛЕНИЯ ИСТОЧНИКА ПИТАНИЯ не превышает значение, указанное в ЭКСПЛУАТАЦИОННЫХ ДОКУМЕНТАХ.
ME ИЗДЕЛИЕ считается отвечающим требованиям настоящего стандарта, только если его установленная НОМИНАЛЬНАЯ ЭЛЕКТРИЧЕСКАЯ МОЩНОСТЬ может быть получена при значении КАЖУЩЕГОСЯ СОПРОТИВЛЕНИЯ ИСТОЧНИКА ПИТАНИЯ не менее, чем указано ПРОИЗВОДИТЕЛЕМ в ЭКСПЛУАТАЦИОННЫХ ДОКУМЕНТАХ.
Соответствие проверяют путем осмотра СОПРОВОДИТЕЛЬНЫХ ДОКУМЕНТОВ и проведением функционального испытания.
201.5 Общие требования к испытаниям ME ИЗДЕЛИЯ
Применяют
пункт 5 общего стандарта.
201.6 Классификация ME ИЗДЕЛИЙ и ME СИСТЕМ
Применяют
пункт 6 общего стандарта.
201.7 Идентификация маркировка и документация ME ИЗДЕЛИЙ
Применяют
пункт 7 общего стандарта, за исключением:
201.7.2 Маркировка на внешних поверхностях ME ИЗДЕЛИЯ или его частей
201.7.2.7 Входная электрическая мощность, потребляемая от ИСТОЧНИКА ПИТАНИЯ
Дополнение:
Для
пунктов от a) до
c); исключение - ME ИЗДЕЛИЯ, являющиеся ИЗДЕЛИЕМ С ПОСТОЯННЫМ ПРИСОЕДИНЕНИЕМ К ПИТАЮЩЕЙ СЕТИ; информация может быть представлена только в ЭКСПЛУАТАЦИОННЫХ ДОКУМЕНТАХ.
Информация о потребляемой мощности должна быть представлена в терминах следующих комбинаций:
a) НОРМИРОВАННОЕ СЕТЕВОЕ НАПРЯЖЕНИЕ ME ИЗДЕЛИЯ, В; см.
пункты 7.2.1 и
7.2.6 общего стандарта;
d) максимальное допустимое значение КАЖУЩЕГОСЯ СОПРОТИВЛЕНИЯ ИСТОЧНИКА ПИТАНИЯ, Ом;
e) характеристики АВТОМАТИЧЕСКОГО ВЫКЛЮЧАТЕЛЯ МАКСИМАЛЬНОГО ТОКА, требующиеся в ПИТАЮЩЕЙ СЕТИ.
Примечание - Данные требования являются адаптированными требованиями
подпункта 6.1 j) ГОСТ МЭК 60601-2-7.
Дополнительный подпункт:
201.7.2.101 Устройство формирования ПУЧКА
Устройство ограничения пучка при НОРМАЛЬНОЙ ЭКСПЛУАТАЦИИ должно быть снабжено следующей маркировкой:
- обозначением серийного или индивидуального идентификационного номера;
- следует указать РАЗМЕР ВЫХОДНОГО ПОЛЯ, в значениях размерности или графически. Если РАЗМЕР ВЫХОДНОГО ПОЛЯ описывается графически, то методы определения размера должны быть описаны в инструкции по применению;
- следует указать ДОПОЛНИТЕЛЬНУЮ ФИЛЬТРАЦИЮ, если дополнительное значение больше, чем эквивалент 0,2 мм AI.
Соответствие проверяют путем осмотра.
201.7.8.1 Цвета световых индикаторов
Дополнение:
201.7.9 ЭКСПЛУАТАЦИОННЫЕ ДОКУМЕНТЫ
201.7.9.1 Общие положения
Дополнение:
Примечание 101 - Приложение C,
таблица 201.C.102, где перечислены требования настоящего стандарта, которые являются дополнительными к тем, что указаны в общем
стандарте для отчетности в ЭКСПЛУАТАЦИОННЫХ ДОКУМЕНТАХ.
ЭКСПЛУАТАЦИОННЫЕ ДОКУМЕНТЫ должны содержать описания процедур контроля качества ME ИЗДЕЛИЯ, которые должны быть выполнены ОТВЕТСТВЕННОЙ ОРГАНИЗАЦИЕЙ. Они должны содержать критерии приемки и рекомендуемые минимальные интервалы частоты для проведения испытаний.
Кроме того, для ME ИЗДЕЛИЙ, содержащих ЭЛЕКТРОННЫЙ ПРИЕМНИК РЕНТГЕНОВСКОГО ИЗОБРАЖЕНИЯ, ЭКСПЛУАТАЦИОННЫЕ ДОКУМЕНТЫ должны содержать:
- описание функциональных характеристик, необходимых для получения изображения в диагностических целях, в соответствии с НАЗНАЧЕНИЕМ.
Примечание - Например, минимальное требуемое количество пикселей и число уровней серого различимых на экране дисплея;
- указание номинального значения диапазона НОМИНАЛЬНОЙ ВОЗДУШНОЙ КЕРМЫ для ПРИЕМНИКА ИЗОБРАЖЕНИЯ, необходимого для использования по назначению;
- указания рекомендованных значений ВОЗДУШНОЙ КЕРМЫ для типовых значений ПАРАМЕТРОВ НАГРУЗКИ с учетом РАССТОЯНИЯ ФОКУС-КОЖА.
Соответствие проверяют путем проверки документов.
201.7.9.2 Инструкция по эксплуатации
201.7.9.2.1 Общие положения
Дополнительные подразделы:
201.7.9.2.1.101 ПАРАМЕТРЫ НАГРУЗКИ
В инструкции по эксплуатации ME ИЗДЕЛИЯ ПАРАМЕТРЫ НАГРУЗКИ должны быть указаны, как описано ниже. Должны быть указаны следующие характеристики и сочетания характеристик:
a) значение(я) АНОДНОГО НАПРЯЖЕНИЯ на рентгеновской трубке;
b) значение(я) АНОДНОГО ТОКА рентгеновской трубки;
c) значения или диапазон ВРЕМЕНИ ОБЛУЧЕНИЯ (ВРЕМЕНИ ЭКСПОЗИЦИИ);
d) максимальное значение АНОДНОГО ТОКА для каждого установленного значения АНОДНОГО НАПРЯЖЕНИЯ, если оно отличается от
b);
e) максимальное и минимальное ВРЕМЯ ОБЛУЧЕНИЯ для каждого сочетания АНОДНОГО НАПРЯЖЕНИЯ и АНОДНОГО ТОКА, если они отличаются от
c).
Соответствие проверяют проверки инструкции по применению.
201.7.9.2.1.102 УСТРОЙСТВО ФОРМИРОВАНИЯ ПУЧКА
Размер выходного поля(ей), обеспечиваемого(их) УСТРОЙСТВОМ ФОРМИРОВАНИЯ ПУЧКА, должен быть указан в инструкции по применению и в техническом описании.
Соответствие проверяют посредством рассмотрения эксплуатационных документов.
201.7.9.3 Техническое описание
Дополнительные подпункты:
201.7.9.3.101 Блок источника рентгеновского излучения
Техническое описание ИНТЕГРИРОВАННОГО БЛОКА ИСТОЧНИКА РЕНТГЕНОВСКОГО ИЗЛУЧЕНИЯ должно содержать следующие сведения в дополнение к данным, необходимым для маркировки в соответствии с
подпунктом 7.2 общего стандарта:
a) определение ОПОРНОЙ ОСИ, к которой относятся УГОЛ(Ы) МИШЕНИ и характеристики ФОКУСНОГО ПЯТНА БЛОКА ИСТОЧНИКА РЕНТГЕНОВСКОГО ИЗЛУЧЕНИЯ;
b) УГОЛ(Ы) МИШЕНИ относительно указанной ОПОРНОЙ ОСИ;
c) положение ФОКУСНОГО ПЯТНА;
d) НОМИНАЛЬНОЕ ЗНАЧЕНИЕ ФОКУСНОГО ПЯТНА, определенное в соответствии с
ГОСТ Р МЭК 60336 для указанной ОПОРНОЙ ОСИ;
e) РАЗМЕР ВЫХОДНОГО ПОЛЯ(ЕЙ), обеспечиваемого(ых) УСТРОЙСТВОМ ФОРМИРОВАНИЯ ПУЧКА.
Соответствие проверяют путем ознакомления технического описания.
Дополнительный подпункт:
201.7.9.101 Требования к ПИТАЮЩЕЙ СЕТИ
Информация о НОМИНАЛЬНОЙ входной потребляемой мощности для ДЕНТАЛЬНЫХ ИНТРАОРАЛЬНЫХ РЕНТГЕНОВСКИХ ГЕНЕРАТОРАХ должна включать:
- максимально допустимое значение кажущегося СОПРОТИВЛЕНИЯ ИСТОЧНИКА ПИТАНИЯ или другие сведения о соответствии ПИТАЮЩЕЙ СЕТИ, используемой в учреждении;
- характеристики АВТОМАТИЧЕСКОГО ВЫКЛЮЧАТЕЛЯ МАКСИМАЛЬНОГО ТОКА, требуемые для ПИТАЮЩЕЙ СЕТИ.
201.8 Защита от ОПАСНОСТЕЙ поражения электрическим током от ME ИЗДЕЛИЙ
Применяют
пункт 8 общего стандарта, за исключением следующего:
201.8.5.1 СРЕДСТВА ЗАЩИТЫ (MOP)
Дополнительный подпункт:
201.8.5.1.101 Дополнительные ограничения напряжения, тока или энергии РЕНТГЕНОВСКИХ ГЕНЕРАТОРОВ для ДЕНТАЛЬНЫХ ИНТРАОРАЛЬНЫХ АППАРАТОВ
Должны быть приняты меры, исключающие появление ВЫСОКОГО НАПРЯЖЕНИЯ в СЕТЕВОЙ ЧАСТИ или любой другой низковольтной цепи.
Примечание - Это может быть достигнуто следующим путем:
- предусмотреть между высоко- и низковольтной цепями слой обмотки или проводящий экран, соединенный с зажимом защитного заземления;
- предусмотреть устройства ограничения напряжения между зажимами, к которым подключены внешние устройства и между которыми может возникнуть повышенное напряжение при появлении разрыва во внешнем соединении.
Проверку соответствия проводят путем контроля проектной документации и конструкции.
201.8.7 ТОКИ УТЕЧКИ и ДОПОЛНИТЕЛЬНЫЕ ТОКИ В ЦЕПИ ПАЦИЕНТА
201.8.7.3* Допустимые величины
Изменение:
В
пункт c) вносятся следующие изменения:
Для НЕ ПОСТОЯННО ПРИСОЕДИНЕННОГО РЕНТГЕНОВСКОГО ГЕНЕРАТОРА допустимое значение ТОКА УТЕЧКИ на ДОСТУПНУЮ ЧАСТЬ в условиях ЕДИНИЧНОГО НАРУШЕНИЯ не должно превышать 2 мА.
Примечание - Это изменение от требований общего
стандарта не распространяется на ТОК УТЕЧКИ НА ПАЦИЕНТА.
В
пункт e) вносятся следующие изменения:
Для ПОСТОЯННО ПРИСОЕДИНЕННОГО РЕНТГЕНОВСКОГО ГЕНЕРАТОРА допустимое значение ТОКА УТЕЧКИ НА ЗЕМЛЮ равно 20 мА, в НОРМАЛЬНОМ СОСТОЯНИИ и при УСЛОВИИ ЕДИНИЧНОГО НАРУШЕНИЯ.
201.8.8.3* Электрическая прочность изоляции
Дополнение:
Вместо
подпункта 8.8.3 общего стандарта, ВЫСОКОЕ НАПРЯЖЕНИЕ ЦЕПИ РЕНТГЕНОВСКОГО МОНОБЛОКА следует испытывать следующим образом:
Испытания ВЫСОКОВОЛЬТНОЙ ЦЕПИ должны проводить при испытательном напряжении, в 1,1 и 1,15 раза превышающем НОМИНАЛЬНОЕ ЗНАЧЕНИЕ АНОДНОГО НАПРЯЖЕНИЯ РЕНТГЕНОВСКОЙ ТРУБКИ РЕНТГЕНОВСКОГО МОНОБЛОКА. Если цепь ВЫСОКОГО НАПРЯЖЕНИЯ не доступна для измерения подаваемого испытательного напряжения, то измерение напряжения может быть косвенным.
Измерение ВЫСОКОГО НАПРЯЖЕНИЯ цепи РЕНТГЕНОВСКОГО МОНОБЛОКА должно проходить проверку с применением испытательного напряжения в течение времени, равному удвоенному максимально допустимому ВРЕМЕНИ ОБЛУЧЕНИЯ при условиях НОРМАЛЬНОГО ИСПОЛЬЗОВАНИЯ, как указано в ЭКСПЛУАТАЦИОННЫХ ДОКУМЕНТАХ. Испытание повторяют три раза, с минимальным интервалом в 2 мин между каждым испытанием.
Для ОДНОПОЛУПЕРИОДНЫХ РПУ испытание напряжения для цепи ВЫСОКОГО АНОДНОГО НАПРЯЖЕНИЯ должно быть основано на полупериоде без нагрузки, если АНОДНОЕ НАПРЯЖЕНИЕ, соответствующее полупериоду без нагрузки, выше чем в течение полупериода при нагрузке.
Если при испытании на электрическую прочность изоляции существует РИСК перегрева испытуемого трансформатора, допустимо проводить испытания при более высокой частоте питания.
201.9 Защита от механических опасностей, создаваемых ME ИЗДЕЛИЯМИ и ME СИСТЕМАМИ
Применяют
пункт 9 общего стандарта, за исключением следующего:
201.9.8.4 Системы с МЕХАНИЧЕСКИМИ ЗАЩИТНЫМИ ПРИСПОСОБЛЕНИЯМИ
Дополнительный пункт:
201.9.8.4.101 МЕХАНИЧЕСКИЕ ЗАЩИТНЫЕ ПРИСПОСОБЛЕНИЯ
Жгуты, цепи или ленты, идущие параллельно с другими жгутами, цепями или их группами, можно рассматривать как МЕХАНИЧЕСКИЕ ЗАЩИТНЫЕ ПРИСПОСОБЛЕНИЯ, если они не нагружаются при НОРМАЛЬНОЙ ЭКСПЛУАТАЦИИ.
Жгуты, цепи или ленты, используемые в качестве МЕХАНИЧЕСКОГО ЗАЩИТНОГО ПРИСПОСОБЛЕНИЯ, должны быть доступны для осмотра, ЭКСПЛУАТАЦИОННЫЕ ДОКУМЕНТЫ - содержать соответствующие инструкции для осмотра.
Соответствие проверяют путем проведения функциональных испытаний или экспертизы инструкции по эксплуатации или ЭКСПЛУАТАЦИОННЫХ ДОКУМЕНТОВ.
201.10 Защита от ОПАСНОСТЕЙ воздействия нежелательного или чрезмерного радиационного ИЗЛУЧЕНИЯ
201.11 Защита от чрезмерных температур и других ОПАСНОСТЕЙ
Применяют
пункт 11 общего стандарта, за исключением следующего:
Дополнительный подпункт:
201.11.101* Защита от чрезмерной температуры РЕНТГЕНОВСКОГО МОНОБЛОКА
Не распространяется на ограничение температуры внутри защитного корпуса РЕНТГЕНОВСКОГО МОНОБЛОКА.
Температура окрашенной металлической поверхности РЕНТГЕНОВСКОГО МОНОБЛОКА, доступная ОПЕРАТОРУ, которой можно касаться в течение НАЗНАЧЕНИЯ, а также иногда ПАЦИЕНТ, должна соответствовать значениям
таблицы 23 общего стандарта, но не должна превышать 65 °C.
201.12 Точность органов управления и измерительных приборов, защита от опасных значений выходных характеристик
201.13 ОПАСНЫЕ СИТУАЦИИ и условия нарушения
201.14 ПРОГРАММИРУЕМЫЕ ЭЛЕКТРИЧЕСКИЕ МЕДИЦИНСКИЕ СИСТЕМЫ (PEMS)
201.15 Конструкция ME ИЗДЕЛИЙ
201.17 Электромагнитная совместимость ME ИЗДЕЛИЙ и ME СИСТЕМ
202 Электромагнитная совместимость. Требования и испытания
Дополнительный подпункт:
202.101 Испытание стабильности ОСНОВНЫХ ФУНКЦИОНАЛЬНЫХ ХАРАКТЕРИСТИК
ПРОИЗВОДИТЕЛЬ может минимизировать испытания ОСНОВНЫХ ФУНКЦИОНАЛЬНЫХ ХАРАКТЕРИСТИК, указанных в
таблице 201.101, до практического уровня через ПРОЦЕСС УПРАВЛЕНИЯ РИСКАМИ.
При выборе способов тестирования ПРОИЗВОДИТЕЛЮ необходимо учитывать чувствительность электромагнитной совместимости (ЭМС) к окружающей среде, вероятность вреда от ЭМС окружающей среде, вероятность возникновения неприемлемых РИСКОВ через ПРОЦЕСС УПРАВЛЕНИЯ РИСКАМИ.
На точность испытательных приборов, используемых при определении стабильности работы ME ИЗДЕЛИЙ, не должны влиять электромагнитные условия при испытаниях.
Испытательные приборы не должны оказывать влияния на работу ME ИЗДЕЛИЯ.
Должны применять только неинвазивные (без проникновения) методы измерения.
Соответствие проверяют проведением экспертизы ДОКУМЕНТАЦИИ по УПРАВЛЕНИЮ РИСКАМИ.
203 Радиационная защита в диагностических рентгеновских аппаратах
203.4.1 Формулировка соответствия
Замена:
Соответствие ME ОБОРУДОВАНИЯ или сборочных узлов требованиям настоящего стандарта должно быть заявлено в следующем виде:
РЕНТГЕНОВСКИЙ ДЕНТАЛЬНЫЙ ИНТРАОРАЛЬНЫЙ РАДИОГРАФИЧЕСКИЙ АППАРАТ ++): ГОСТ Р МЭК 60601-2-65 ++) МОДЕЛЬ ИЛИ ТИП.
Дополнительный подпункт:
203.4.101 Уточняющие условия для использованных терминов
203.4.101.1* ВРЕМЯ ОБЛУЧЕНИЯ (ВРЕМЯ ЭКСПОЗИЦИИ)
ВРЕМЯ ОБЛУЧЕНИЯ измеряют как временной интервал между моментом, когда МОЩНОСТЬ ВОЗДУШНОЙ КЕРМЫ в первый раз достигла значения 50% от пикового значения, и моментом, когда ее значение падает ниже этого уровня.
203.5 Идентификация, маркировка и документация ME ИЗДЕЛИЙ или их частей
203.5.2.4.5 Определяющие эффекты
Дополнение:
Примечание - К этому моменту не известны детерминированные эффекты при НОРМАЛЬНОМ ИСПОЛЬЗОВАНИИ РЕНТГЕНОВСКИХ ДЕНТАЛЬНЫХ ИНТРАОРАЛЬНЫХ АППАРАТОВ.
203.6 Управление ОБЛУЧЕНИЕМ
203.6.2 Начало и окончание ОБЛУЧЕНИЯ
203.6.2.1 Нормальное начало и окончание ОБЛУЧЕНИЯ
Дополнение:
Должно быть невозможным любое последующее ОБЛУЧЕНИЕ без контроля состояния органов управления, которыми было прервано предыдущее ОБЛУЧЕНИЕ.
Соответствие проверяют проведением экспертизы и соответствующими функциональными испытаниями.
203.6.2.1.101 Присоединение внешних БЛОКИРУЮЩИХ УСТРОЙСТВ
ME ИЗДЕЛИЕ, за исключением ПЕРЕДВИЖНЫХ РЕНТГЕНОВСКИХ АППАРАТОВ и РУЧНОГО ME ИЗДЕЛИЯ, должно иметь соединения с внешними электрическими БЛОКИРУЮЩИМИ УСТРОЙСТВАМИ, отделенными от ME ИЗДЕЛИЯ, которые:
- либо могут предотвратить пуск ME ИЗДЕЛИЯ, при котором возникнет РЕНТГЕНОВСКОЕ ИЗЛУЧЕНИЕ;
- либо могут вызвать прекращение уже начатого процесса РЕНТГЕНОВСКОГО ИЗЛУЧЕНИЯ;
- либо и то, и другое.
Если наличие сигналов от этих внешних электрических БЛОКИРУЮЩИХ УСТРОЙСТВ не отображается на ПУЛЬТЕ УПРАВЛЕНИЯ, в ЭКСПЛУАТАЦИОННЫХ ДОКУМЕНТАХ должна быть информация для ОТВЕТСТВЕННОЙ ОРГАНИЗАЦИИ, что это состояние сигналов следует индицировать с помощью визуальных средств в их установке.
Примечание - Наличие данного соединения используют, например, для того, чтобы убедиться в наличии его как ЗАЩИТНОГО СРЕДСТВА при проведении ОБЛУЧЕНИЯ.
Соответствие проверяют с помощью экспертизы и проведением соответствующих функциональных испытаний.
203.6.2.2 Меры безопасности при отказе органов нормального окончания ОБЛУЧЕНИЯ
Дополнение:
Если нормальное отключение зависит от измеренного ИЗЛУЧЕНИЯ:
- то меры безопасности должны обеспечивать средства для автоматического окончания ОБЛУЧЕНИЯ в случае отказа нормального отключения;
- должно быть обеспечено либо ограничение произведения АНОДНОГО НАПРЯЖЕНИЯ, АНОДНОГО ТОКА И ВРЕМЕНИ ОБЛУЧЕНИЯ до значения не более 3,2 кДж за одно ОБЛУЧЕНИЕ, либо ограничение ПРОИЗВЕДЕНИЯ ТОК-ВРЕМЯ до значения 32 мАс за одно ОБЛУЧЕНИЕ.
Соответствие проверяют с помощью экспертизы и проведением определенных функциональных испытаний.
203.6.3* Доза ИЗЛУЧЕНИЯ и качество ИЗЛУЧЕНИЯ
203.6.3.1 Регулировка дозы ИЗЛУЧЕНИЯ и качества ИЗЛУЧЕНИЯ
Замена:
Должна быть предусмотрена возможность ограничения дозы ОБЛУЧЕНИЯ ПАЦИЕНТА в соответствии с назначением РЕНТГЕНОВСКОГО АППАРАТА. Это соответствие достигается за счет следующего:
a) системы автоматического управления ПАРАМЕТРАМИ НАГРУЗКИ должны обеспечивать достаточный диапазон комбинаций предварительно выбираемых ПАРАМЕТРОВ НАГРУЗОК;
b) каждое последующее значение АНОДНОГО ТОКА, или ВРЕМЕНИ ОБЛУЧЕНИЯ, или ПРОИЗВЕДЕНИЯ ТОК-ВРЕМЯ должно быть не более, чем установленное предыдущее значение, в соответствии с серией R'10 в ГОСТ Р МЭК 60601-1-3,
приложение B.
Примечание - Рекомендуется использовать интервалы в соответствии с серии R'10 или R'20 в соответствии с ГОСТ Р МЭК 60601-1-3,
приложение B;
c) для ПРОИЗВЕДЕНИЯ ТОК-ВРЕМЯ при каждом изменении значения АНОДНОГО НАПРЯЖЕНИЯ должен быть использован минимальный шаг соотношения 16:1;
d) для ВРЕМЕНИ ОБЛУЧЕНИЯ длительностью менее чем 0,08 с с ОДНОПОЛУПЕРИОДНЫМ РПУ и ДВУХПОЛУПЕРИОДНЫМ РПУ, где в связи с зависимостью от импульсного характера ПИТАЮЩЕЙ СЕТИ невозможно обеспечить все значения в соответствии с геометрическим рядом, должно быть обеспечено отображение на шкале индикации изменение интервала геометрического ряда и отсутствие пропущенных значений из выбранного ряда, нарушение значений соответствия также должно быть разъяснено в инструкции по применению;
e) в ME ИЗДЕЛИИ с различными РЕЖИМАМИ РАБОТЫ для компенсации разной чувствительности ПРИЕМНИКА РЕНТГЕНОВСКОГО ИЗОБРАЖЕНИЯ:
- должен быть обеспечен диапазон регулировки ПРОИЗВЕДЕНИЯ ТОК-ВРЕМЯ не менее 4:1;
- шага регулировки между соседними уставками ПРОИЗВЕДЕНИЯ ТОК-ВРЕМЯ не должен быть более чем 1,6.
Соответствие проверяют путем проведения экспертизы и определенных функциональных испытаний.
Дополнительный подпункт:
203.6.3.1.101 Линейность ВОЗДУШНОЙ КЕРМЫ
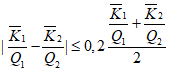
Изменение ИЗМЕРЕННЫХ ЗНАЧЕНИЙ ВОЗДУШНОЙ КЕРМЫ должно линейно следовать за изменением выбранного значения АНОДНОГО ТОКА или ПРОИЗВЕДЕНИЯ ТОК-ВРЕМЯ во всем диапазоне значений АНОДНОГО ТОКА или ПРОИЗВЕДЕНИЯ ТОК-ВРЕМЯ с точностью, равной или более чем 0,2.
Соответствие проверяют следующей процедурой испытания:
Испытания на линейность проводят при самой низкой и самой высокой доступной установке, кВ.
Для каждого значения АНОДНОГО ТОКА или ПРОИЗВЕДЕНИЯ ТОК-ВРЕМЯ пары параметров, кВ, должны быть выбраны следующим образом;
- нижнее значение первой пары должно соответствовать самому низкому доступному значению ПРОИЗВЕДЕНИЮ ТОК-ВРЕМЯ;
- отношение выбранных значений уставок АНОДНОГО ТОКА или ПРОИЗВЕДЕНИЯ ТОК-ВРЕМЯ в каждой паре должно быть как можно ближе к 2, но не более 2;
- самое высокое значение уставок АНОДНОГО ТОКА или ПРОИЗВЕДЕНИЯ ТОК-ВРЕМЯ в каждой паре, подлежащее измерению, должно быть использовано в качестве нижнего значения следующей пары уставок АНОДНОГО ТОКА или ПРОИЗВЕДЕНИЯ ТОК-ВРЕМЯ;
- самое высокое значение последней пары должно соответствовать самым высоким уставкам АНОДНОГО ТОКА или ПРОИЗВЕДЕНИЯ ТОК-ВРЕМЯ, а низкое значение должно быть в половину или быть близким к половине значения самой высокой уставки АНОДНОГО ТОКА или ПРОИЗВЕДЕНИЯ ТОК-ВРЕМЯ.
В случае с ОДНОПОЛУПЕРИОДНЫМ РПУ испытание следует ограничить ВРЕМЕНЕМ ОБЛУЧЕНИЯ не менее чем 80 мс.
Серии измерений, проводимые при испытании, должны быть выполнены в непрерывном режиме. Время между двумя последовательными измерениями не должно нарушать рабочий цикл ME ИЗДЕЛИЯ.
Необходимо выполнить как минимум три измерения для обоих из выбранных параметров уставок АНОДНОГО ТОКА или ПРОИЗВЕДЕНИЯ ТОК-ВРЕМЯ и измерить ВОЗДУШНУЮ КЕРМУ.
Следует рассчитать СРЕДНИЕ ЗНАЧЕНИЯ по измеренным значениям ВОЗДУШНОЙ КЕРМЫ, исходя из серии, состоящей из трех (или более) измерений.
Кроме того, необходимо рассчитать линейность для самой высокой и самой низкой уставке, кВ, по следующей формуле:
Коэффициент разности отношений средних значений АНОДНОГО ТОКА или ПРОИЗВЕДЕНИЯ ТОК-ВРЕМЯ не должен отличаться более чем на 0,2 раза от среднего значения суммы этих отношений
где

,

- средние измеренные значения ВОЗДУШНОЙ КЕРМЫ;
Q1 и Q2 - индицируемые значения АНОДНОГО ТОКА или ПРОИЗВЕДЕНИЯ ТОК-ВРЕМЯ.
203.6.3.2 Воспроизводимость выходного ИЗЛУЧЕНИЯ
Дополнение:
203.6.3.2.101 Коэффициент изменения ВОЗДУШНОЙ КЕРМЫ
Коэффициент изменения ИЗМЕРЕННЫХ ЗНАЧЕНИЙ ВОЗДУШНОЙ КЕРМЫ не должен превышать 0,05 для всех комбинаций ПАРАМЕТРОВ НАГРУЗКИ во всем диапазоне НАЗНАЧЕНИЯ:
Соответствие проверяют следующей ПРОЦЕДУРОЙ испытаний:
Выбирают ряд комбинаций ПАРАМЕТРОВ НАГРУЗКИ для анализа воспроизводимости, включая следующие комбинации:
- самое высокое доступное АНОДНОЕ НАПРЯЖЕНИЕ с самым низким доступным АНОДНЫМ ТОКОМ для этого АНОДНОГО НАПРЯЖЕНИЯ;
- самое низкое доступное АНОДНОЕ НАПРЯЖЕНИЕ с самым высоким доступным АНОДНЫМ ТОКОМ для этого АНОДНОГО НАПРЯЖЕНИЯ;
- комбинация АНОДНОГО НАПРЯЖЕНИЯ и АНОДНОГО ТОКА для самой высокой электрической мощности;
- комбинация АНОДНОГО НАПРЯЖЕНИЯ и АНОДНОГО ТОКА для самой низкой электрической мощности.
Проводимые измерения, требуемые для анализа, должны быть выполнены в непрерывном процессе. Время между двумя последующими измерениями не должно нарушать рабочий цикл ME ИЗДЕЛИЯ.
ВРЕМЯ ОБЛУЧЕНИЯ (ВРЕМЯ ЭКСПОЗИЦИИ) для этих измерений должно быть подобрано таким образом, чтобы ДОЗА ИЗЛУЧЕНИЯ, определенная в ЭКСПЛУАТАЦИОННЫХ ДОКУМЕНТАХ, обеспечивала получение изображения верхней области коренных зубов взрослого ПАЦИЕНТА.
Необходимо выполнить не менее пяти измерений на каждой из выбранных комбинаций НАГРУЗКИ и измерить КЕРМУ ВОЗДУХА.
Следует рассчитать коэффициент изменения для каждой серии измеренных значений ВОЗДУШНУЮ КЕРМУ.
где
Ki - ИЗМЕРЕННЫЕ ЗНАЧЕНИЯ ВОЗДУШНОЙ КЕРМЫ;
n - порядковый номер измерения;
s - предполагаемое стандартное отклонение для выборки;

- среднее значение за
n-измерений.
203.6.3.2.102* Автоматическое управление экспозиционной дозой
Для ME ИЗДЕЛИЯ, оснащенного средствами АВТОМАТИЧЕСКОГО УПРАВЛЕНИЯ ЭКСПОЗИЦИОННОЙ ДОЗОЙ, ПРОЦЕССЫ УПРАВЛЕНИЯ РИСКАМИ представляют собой контроль воспроизводимости ВОЗДУШНОЙ КЕРМЫ к выбранному диапазону ПАРАМЕТРОВ НАГРУЗКИ, скорректированных применением АВТОМАТИЧЕСКОГО УПРАВЛЕНИЯ ЭКСПОЗИЦИОННОЙ ДОЗОЙ в соответствии с ТРЕБОВАНИЯМИ НАЗНАЧЕНИЯ.
Соответствие проверяют путем экспертизы документации по УПРАВЛЕНИЮ РИСКОМ.
203.6.3.2.103 Изделия с ВНУТРЕННИМ ИСТОЧНИКОМ ПИТАНИЯ
ВНУТРЕННИЕ ИСТОЧНИКИ ПИТАНИЯ ME ИЗДЕЛИЯ должны соответствовать требованиям, обеспечивающим для воспроизводимости радиационного выхода в соответствии с
203.6.3.2 во всем диапазоне состояний зарядки, используемых для внутреннего источника.
Соответствие проверяют с помощью функциональных тестов.
203.6.4 Индикация рабочих состояний
203.6.4.2 Индикация НАГРУЗОЧНОГО СОСТОЯНИЯ
Дополнение:
НАГРУЗОЧНОЕ СОСТОЯНИЕ должно быть обозначено индикатором желтого цвета на ПУЛЬТЕ УПРАВЛЕНИЯ.
Примечание - Звуковой сигнал, производимый в течение НАГРУЗОЧНОГО СОСТОЯНИЯ, является эквивалентным показателем состояния.
Соответствие проверяют посредством экспертизы.
203.6.4.3 Индикация ПАРАМЕТРОВ НАГРУЗКИ и РЕЖИМОВ РАБОТЫ
Дополнительные подразделы:
203.6.4.3.101 Общие требования для индикации ПАРАМЕТРОВ НАГРУЗКИ
Индицируемые параметры должны быть выражены в единицах измерения:
- АНОДНОЕ НАПРЯЖЕНИЕ - в киловольтах, кВ;
- АНОДНЫЙ ТОК - в миллиамперах, мА;
- ВРЕМЯ ОБЛУЧЕНИЯ - в секундах и/или миллисекундах, с и/или мс;
- ПРОИЗВЕДЕНИЕ ТОК-ВРЕМЯ - в миллиамперсекундах, мА·с.
Для ME ИЗДЕЛИЯ, работающего с одной или несколькими фиксированными комбинациями ПАРАМЕТРОВ НАГРУЗКИ, индикация на ПУЛЬТЕ УПРАВЛЕНИЯ может обозначать значение только одного из ПАРАМЕТРОВ НАГРУЗКИ для каждой комбинации, например АНОДНОЕ НАПРЯЖЕНИЕ.
В этом случае в инструкциях по эксплуатации должны быть указаны соответствующие значения других ПАРАМЕТРОВ НАГРУЗКИ для каждой комбинации.
Кроме того, эти значения должны быть указаны на видном месте для ПУЛЬТА УПРАВЛЕНИЯ или вблизи него в удобной для визуального представления форме.
Для ME ИЗДЕЛИЯ, работающего с одной или несколькими фиксированными комбинациями ПАРАМЕТРОВ НАГРУЗКИ, индикация на ПУЛЬТЕ УПРАВЛЕНИЯ может указывать только на идентичность каждой комбинации.
В этом случае должны быть обеспечены:
- информация в инструкции по эксплуатации о значениях каждой комбинации предварительно выбранных ПАРАМЕТРОВ НАГРУЗКИ в момент установки;
- указание этих значений в удобной форме на видном месте ПУЛЬТА УПРАВЛЕНИЯ или вблизи него.
Соответствие проверяют посредством экспертизы.
Примечание - РЕЖИМ РАБОТЫ и АВТОМАТИКА ПО ОРГАНАМ являются синонимами (см. словарь
ГОСТ Р МЭК/ТО 60788).
203.6.4.3.102 Точность ПАРАМЕТРОВ НАГРУЗКИ
203.6.4.3.102.1 Общие аспекты для точности ПАРАМЕТРОВ НАГРУЗКИ
В ВЫСОКОВОЛЬТНЫХ ГЕНЕРАТОРАХ требования настоящего подпункта применяют относительно точности всех значений НАГРУЗКИ, вне зависимости от того, указана фиксированная или предварительно выбранная по сравнению с ИЗМЕРЕННЫМИ ЗНАЧЕНИЯМИ одного и того же коэффициента НАГРУЗКА.
Соответствие проверяют путем осмотра и проведением испытаний.
203.6.4.3.102.2 Точность АНОДНОГО НАПРЯЖЕНИЯ
Отклонение значения АНОДНОГО НАПРЯЖЕНИЯ, в любой комбинации ПАРАМЕТРОВ НАГРУЗКИ, не должно превышать 10%.
Соответствие проверяют следующими процедурами испытания:
1 Одно измерение должно быть проведено при наименьшем индицируемом значении АНОДНОГО НАПРЯЖЕНИЯ и наибольшем возможном значении АНОДНОГО ТОКА для этого АНОДНОГО НАПРЯЖЕНИЯ и ВРЕМЕНИ ОБЛУЧЕНИЯ примерно 0,1 с.
2 Одно измерение должно быть проведено при наибольшем индицируемом значении АНОДНОГО НАПРЯЖЕНИЯ и наименьшем возможном значении АНОДНОГО ТОКА для этого АНОДНОГО НАПРЯЖЕНИЯ и ВРЕМЕНИ ОБЛУЧЕНИЯ примерно 0,1 с.
3 Одно измерение должно быть проведено при наибольшем индицируемом значении АНОДНОГО НАПРЯЖЕНИЯ и наибольшем возможном значении АНОДНОГО ТОКА для этого АНОДНОГО НАПРЯЖЕНИЯ и ВРЕМЕНИ ОБЛУЧЕНИЯ примерно 0,5 с (если более длительного ВРЕМЕНИ ОБЛУЧЕНИЯ обеспечить невозможно).
АНОДНОЕ НАПРЯЖЕНИЕ должно быть измерено не ранее 5 мс от начала его подачи, или когда АНОДНЫЙ ТОК превысит 75% от установленного значения, или что наступит раньше.
203.6.4.3.102.3 Точность АНОДНОГО ТОКА
Отклонение значения АНОДНОГО ТОКА, в любой комбинации ПАРАМЕТРОВ НАГРУЗКИ, не должно превышать 20%.
Соответствие проверяют следующими процедурами испытаний:
Одно измерение должно быть проведено при наивысшем индицируемом значении АНОДНОГО ТОКА и наименьшем индицируемом значении АНОДНОГО НАПРЯЖЕНИЯ, соответствующего этому значению АНОДНОГО ТОКА и ВРЕМЕНИ ОБЛУЧЕНИЯ примерно 0,1 с.
Одно измерение должно быть проведено при наименьшем индицируемом значении АНОДНОГО ТОКА и наивысшем индицируемом значении АНОДНОГО НАПРЯЖЕНИЯ, соответствующего этому значению АНОДНОГО ТОКА и ВРЕМЕНИ ОБЛУЧЕНИЯ примерно 0,1 с.
Одно измерение должно быть проведено при наивысшем индицируемом значении АНОДНОГО ТОКА и при наивысшем индицируемом значении АНОДНОГО НАПРЯЖЕНИЯ, соответствующего этому значению АНОДНОГО ТОКА и ВРЕМЕНИ ОБЛУЧЕНИЯ примерно 0,5 с (если более длительного ВРЕМЕНИ обеспечить невозможно).
203.6.4.3.102.4 Точность поддержания ВРЕМЕНИ ОБЛУЧЕНИЯ (ВРЕМЕНИ ЭКСПОЗИЦИИ)
Отклонение значения ВРЕМЕНИ ОБЛУЧЕНИЯ, в любой комбинации ПАРАМЕТРОВ НАГРУЗКИ, не должно превышать +/- 5% или +/- 20 мс (в зависимости от того, что больше).
В ОДНОПОЛУПЕРИОДНЫХ РПУ это требование не применяют для ВРЕМЕНИ ОБЛУЧЕНИЯ менее 1 с.
Соответствие проверяют следующими процедурами испытаний:
Одна пара измерений должна быть проведена при наименьшем индицируемом значении АНОДНОГО НАПРЯЖЕНИЯ и наибольшем индицируемом значении АНОДНОГО ТОКА соответствующему установленному АНОДНОМУ НАПРЯЖЕНИЮ для самых коротких и самых длительных значений ВРЕМЕНИ ОБЛУЧЕНИЯ.
Одна пара измерений должна быть проведена при наибольшем индицируемом значении АНОДНОГО НАПРЯЖЕНИЯ и наименьшем индицируемом значении АНОДНОГО ТОКА соответствующему установленному АНОДНОМУ НАПРЯЖЕНИЮ для самых коротких и самых длительных значений ВРЕМЕНИ ОБЛУЧЕНИЯ.
203.6.4.5 Дозиметрическая индикация
Замена:
ME ИЗДЕЛИЕ должно быть снабжено информацией в ЭКСПЛУАТАЦИОННЫХ ДОКУМЕНТАХ с указанием значений предполагаемой ВОЗДУШНОЙ КЕРМЫ на заданном расстоянии от эффективного ФОКУСНОГО ПЯТНА для любой комбинации выбранных ПАРАМЕТРОВ НАГРУЗОК.
Общее отклонение значений ВОЗДУШНОЙ КЕРМЫ от значений расчетной ВОЗДУШНОЙ КЕРМЫ, указанной в ЭКСПЛУАТАЦИОННЫХ ДОКУМЕНТАХ, не должно превышать 50%.
В ЭКСПЛУАТАЦИОННЫХ ДОКУМЕНТАХ должен быть указан способ расчета ПРОИЗВЕДЕНИЯ ДОЗЫ НА ПЛОЩАДЬ для соответствующих значений получаемых ВОЗДУШНОЙ КЕРМЫ и РАЗМЕРОВ ВЫХОДНОГО ПОЛЯ.
Соответствие проверяют с помощью экспертизы и проведением соответствующих функциональных испытаний.
Дополнительный подпункт:
203.6.4.101 ИНДИКАЦИЯ СОСТОЯНИЯ ГОТОВНОСТИ
Должна быть четко различимая индикация, указывающая на состояние, начиная с которого последующее включение команды приводило бы к подаче НАГРУЗКИ на РЕНТГЕНОВСКУЮ ТРУБКУ.
Если это состояние обозначено индикаторной лампой, означающей единственную функцию, ее цвет должен быть зеленым.
Соответствие проверяют посредством экспертизы.
203.6.5* СИСТЕМА АВТОМАТИЧЕСКОГО УПРАВЛЕНИЯ
203.6.6* Уменьшение РАССЕЯННОГО ИЗЛУЧЕНИЯ
203.6.7 Формирование изображений
203.6.7.4 ДЕТЕКТОР ИЗЛУЧЕНИЯ или ПРИЕМНИК РЕНТГЕНОВСКОГО ИЗОБРАЖЕНИЯ
Дополнение:
Данные об ЭЛЕКТРОННОМ ПРИЕМНИКЕ РЕНТГЕНОВСКОГО ИЗОБРАЖЕНИЯ должны быть внесены в перечень характеристик качества изображения. Эти данные должны позволить эффективно использовать рентгеновское излучение.
Соответствие проверяют путем экспертизы ДОКУМЕНТАЦИИ ПО УПРАВЛЕНИЮ РИСКОМ и СОПРОВОДИТЕЛЬНЫХ ДОКУМЕНТОВ.
203.7.1 СЛОЙ ПОЛОВИННОГО ОСЛАБЛЕНИЯ и ОБЩАЯ ФИЛЬТРАЦИЯ В РЕНТГЕНОВСКОМ АППАРАТЕ
Для ME ИЗДЕЛИЯ, работающего на НОМИНАЛЬНОМ АНОДНОМ НАПРЯЖЕНИИ не более 70 кВ, требования к СЛОЮ ПОЛОВИННОГО ОСЛАБЛЕНИЯ указаны в
таблице 3 ГОСТ Р МЭК 60601-1-3, ОБЩАЯ ФИЛЬТРАЦИЯ не менее 1,5 мм AI допускается равной по качеству ЭКВИВАЛЕНТНОЙ ФИЛЬТРАЦИИ.
Дополнительный подпункт:
203.7.101* Ограничение АНОДНОГО НАПРЯЖЕНИЯ
Индицируемая уставка АНОДНОГО НАПРЯЖЕНИЯ не должна быть ниже 60 кВ.
Соответствие проверяют путем экспертизы.
203.8 Ограничение пространственной протяженности ПУЧКА РЕНТГЕНОВСКОГО ИЗЛУЧЕНИЯ и соотношение между ПОЛЕМ РЕНТГЕНОВСКОГО ИЗЛУЧЕНИЯ и ПОВЕРХНОСТЬЮ ПРИЕМНИКА ИЗОБРАЖЕНИЯ
203.8.5 Соотношение между ПОЛЕМ РЕНТГЕНОВСКОГО ИЗЛУЧЕНИЯ и ПОВЕРХНОСТЬЮ ПРИЕМНИКА ИЗОБРАЖЕНИЯ
203.8.5.4 Позиционирование ПАЦИЕНТА и ограничение облучаемой зоны
Замена:
ME ИЗДЕЛИЕ должно иметь УСТРОЙСТВО ФОРМИРОВАНИЯ ПУЧКА для ограничения РАЗМЕРА ВЫХОДНОГО ПОЛЯ, который не должен превышать круг диаметром 6 см.
УСТРОЙСТВО ФОРМИРОВАНИЯ ПУЧКА должно иметь дополнительные средства для возможного ограничения РАЗМЕРА ВЫХОДНОГО ПОЛЯ в прямоугольной форме внутри круговой области 6 см в диаметре.
В случае ME ИЗДЕЛИЯ со встроенным ПРИЕМНИКОМ РЕНТГЕНОВСКОГО ИЗОБРАЖЕНИЯ, УСТРОЙСТВО ФОРМИРОВАНИЯ ПУЧКА должно иметь средство для ограничения РАЗМЕРА ВЫХОДНОГО ПОЛЯ прямоугольной формы, не превышающего ЭФФЕКТИВНУЮ ЗОНУ РЕГИСТРАЦИИ ИНТЕГРИРУЕМЫХ ЭЛЕКТРОННЫХ ПРИЕМНИКОВ РЕНТГЕНОВСКОГО ИЗОБРАЖЕНИЯ в диагонали не более чем 1 см.
В устройствах ВЫХОДНОГО ПОЛЯ прямоугольной формы должна быть предусмотрена возможность поворота поля выхода по отношению к ОСИ ПУЧКА РЕНТГЕНОВСКОГО ИЗЛУЧЕНИЯ.
Примечание - РЕНТГЕНОВСКОЕ ПОЛЕ должно совпадать с ПРИЕМНИКОМ РЕНТГЕНОВСКОГО ИЗОБРАЖЕНИЯ, размещенным в полости рта, поэтому необходимо обеспечить возможность вращения УСТРОЙСТВА ФОРМИРОВАНИЯ ПУЧКА для выравнивания ориентации с ЭФФЕКТИВНОЙ ПОВЕРХНОСТЬЮ ПРИЕМНИКА РЕНТГЕНОВСКОГО ИЗОБРАЖЕНИЯ, индицируемой системой позиционирования и используемой для ПРИЕМНИКА РЕНТГЕНОВСКОГО ИЗОБРАЖЕНИЯ.
Граница РЕНТГЕНОВСКОГО ПОЛЯ определена геометрическим местом точек, для которых МОЩНОСТЬ ВОЗДУШНОЙ КЕРМЫ составляет 25% от среднего значения МОЩНОСТИ ВОЗДУШНОЙ КЕРМЫ вблизи центров четвертей выделенной области.
Соответствие проверяют путем осмотра и проведением функционального испытания в соответствии с предыдущим и экспертизы в инструкциях по применению условий.
203.9 РАССТОЯНИЕ ФОКУС-КОЖА
Замена:
Конструкция ME ИЗДЕЛИЯ должна иметь средства, исключающие РАССТОЯНИЕ ФОКУС-КОЖА меньше чем 20 см.
Соответствие проверяют путем осмотра с помощью измерений.
203.10 ОСЛАБЛЕНИЕ ПУЧКА РЕНТГЕНОВСКОГО ИЗЛУЧЕНИЯ между ПАЦИЕНТОМ и ПРИЕМНИКОМ РЕНТГЕНОВСКОГО ИЗОБРАЖЕНИЯ
Пункт 10 дополнительного стандарта не распространяется.
203.11* Защита от ОСТАТОЧНОГО ИЗЛУЧЕНИЯ
Замена:
Инструкции по эксплуатации должны содержать информацию для ОПЕРАТОРА о наличии ОСТАТОЧНОГО ИЗЛУЧЕНИЯ и руководство по действиям предотвращения его ненужного воздействия.
Соответствие проверяют посредством экспертизы инструкции по применению.
203.12.2 Монтаж БЛОКОВ ИСТОЧНИКА РЕНТГЕНОВСКОГО ИЗЛУЧЕНИЯ и УСТРОЙСТВА ДЛЯ ПОЛУЧЕНИЯ РЕНТГЕНОВСКОГО ИЗОБРАЖЕНИЯ
Замена:
ИНТРАОРАЛЬНЫЙ ПРИЕМНИК РЕНТГЕНОВСКОГО ИЗОБРАЖЕНИЯ можно поддерживать рукой во время НАГРУЗКИ при НОРМАЛЬНОМ ИСПОЛЬЗОВАНИИ.
ДЕНТАЛЬНЫЕ ИНТРАОРАЛЬНЫЕ БЛОКИ ИСТОЧНИКОВ РЕНТГЕНОВСКОГО ИЗЛУЧЕНИЯ можно поддерживать руками во время НАГРУЗКИ при НОРМАЛЬНОМ ИСПОЛЬЗОВАНИИ, если предоставлена следующая информация в СОПРОВОДИТЕЛЬНЫХ ДОКУМЕНТАХ:
- указаны значения ИЗЛУЧЕНИЯ УТЕЧКИ И НЕИСПОЛЬЗУЕМОГО ИЗЛУЧЕНИЯ НА ОПЕРАТОРА;
- приведено руководство по избеганию ухудшения качества изображения за счет подвижности БЛОКА ИСТОЧНИКА РЕНТГЕНОВСКОГО ИЗЛУЧЕНИЯ во время НАГРУЗКИ;
- рисунок и размеры, иллюстрирующие размещения особой зоны пребывания, и методы, указанные ПРОИЗВОДИТЕЛЕМ, для оценки ИЗЛУЧЕНИЯ УТЕЧКИ и НЕИСПОЛЬЗУЕМОГО ИЗЛУЧЕНИЯ НАПРАВЛЕННОГО НА ОПЕРАТОРА, ухудшающее качество изображения вследствие движения моноблока.
Соответствие проверяют путем экспертизы СОПРОВОДИТЕЛЬНЫХ ДОКУМЕНТОВ.
203.12.4 ИЗЛУЧЕНИЕ УТЕЧКИ В НАГРУЗОЧНОМ СОСТОЯНИИ
Замена:
В НАГРУЗОЧНОМ СОСТОЯНИИ ВОЗДУШНАЯ КЕРМА, создаваемая ИЗЛУЧЕНИЕМ УТЕЧКИ БЛОКОМ ИСТОЧНИКА РЕНТГЕНОВСКОГО ИЗЛУЧЕНИЯ, на расстоянии 1 м от ФОКУСНОГО ПЯТНА, усредненная по любой площади равной 100 см2, с основным линейным размером 20 см, при условиях НАГРУЗКИ и НОМИНАЛЬНОМ АНОДНОМ НАПРЯЖЕНИИ, которое соответствует условиям выбранной НАГРУЗКИ, не должна превышать 0,25 мГр за 1 ч.
Примечание 101 - Защита ОПЕРАТОРА от ИЗЛУЧЕНИЯ УТЕЧКИ при удерживании ME ИЗДЕЛИЯ руками должна быть предусмотрена ИЗГОТОВИТЕЛЕМ В ПРОЦЕССАХ УПРАВЛЕНИЯ РИСКОМ.
Соответствие проверяют следующими процедурами испытания:
a) закрывают РАДИАЦИОННОЕ ОКНО, чтобы была уверенность в том, что прошедшее через него ИЗЛУЧЕНИЕ не повлияет на измерение ИЗЛУЧЕНИЯ УТЕЧКИ. Далее необходимо изготовить подходящую для этой цели заглушку и установить ее как можно ближе к РАДИАЦИОННОМУ ОКНУ, но таким образом, чтобы она не выходила за его пределы больше, чем это требуется для надежного перекрытия;
b) для НАГРУЗКИ во время испытаний:
1) используют НОМИНАЛЬНОЕ АНОДНОЕ НАПРЯЖЕНИЕ для БЛОКА ИСТОЧНИКА РЕНТГЕНОВСКОГО ИЗЛУЧЕНИЯ,
2) используют НЕПРЕРЫВНЫЙ РЕЖИМ с удобным значением ПРОИЗВЕДЕНИЯ ТОК-ВРЕМЯ,
3) ни при каких обстоятельствах при испытаниях не должно быть использована НАГРУЗКА, при которой превышается допустимая мощность;
c) определяют, если необходимо, при помощи измерений, как влияют на ИЗЛУЧЕНИЕ УТЕЧКИ допустимые уставки при НОРМАЛЬНОМ ИСПОЛЬЗОВАНИИ и конфигурация испытываемой аппаратуры. Для самих испытаний выбирают комбинацию, наименее благоприятную с точки зрения соответствия;
d) при подходящих ПАРАМЕТРАХ НАГРУЗКИ проводят достаточное количество измерений ВОЗДУШНОЙ КЕРМЫ и МОЩНОСТИ ВОЗДУШНОЙ КЕРМЫ на расстоянии 1 м от ФОКУСНОГО ПЯТНА, для того чтобы определить максимальное распределение ИЗЛУЧЕНИЯ УТЕЧКИ по всей поверхности сферы;
e) приводят ИЗМЕРЕННЫЕ ЗНАЧЕНИЯ при указанных ПАРАМЕТРАХ НАГРУЗКИ к значениям ВОЗДУШНОЙ КЕРМЫ в 1 ч, соответствующим опорным условиям НАГРУЗКИ, указанным в ЭКСПЛУАТАЦИОННЫХ ДОКУМЕНТАХ в соответствии с 12.3 дополнительного стандарта;
f) осуществляют все необходимые поправки к найденным значениям, для того чтобы учесть допустимое усреднение по площади, как описано в этом подразделе;
g) соответствие считают достигнутым, если ни одно ИЗМЕРЕННОЕ ЗНАЧЕНИЕ, полученное в процессе испытаний, не выходит за допустимые пределы.
203.12.5 ИЗЛУЧЕНИЕ УТЕЧКИ НЕ В НАГРУЗОЧНОМ СОСТОЯНИИ
203.13 Защита от НЕИСПОЛЬЗУЕМОГО ИЗЛУЧЕНИЯ
203.13.2 Управление РЕНТГЕНОВСКИМ АППАРАТОМ из ЗАЩИТНОЙ ЗОНЫ
Замена:
ME ИЗДЕЛИЕ должно быть снабжено средствами, которые после применения позволяют из защитной зоны управлять или приводить в действие ОБЛУЧЕНИЕ.
Соответствующие инструкции должны быть приведены в СОПРОВОДИТЕЛЬНЫХ ДОКУМЕНТАХ.
СОПРОВОДИТЕЛЬНЫЕ ДОКУМЕНТЫ должны содержать информацию с указаниями и обращающие внимание ПОЛЬЗОВАТЕЛЯ на необходимость принять меры для обеспечения коммуникации и визуальной (связи) между ОПЕРАТОРОМ И ПАЦИЕНТОМ.
Это требование не распространено на ME ИЗДЕЛИЯ, удерживаемые в руках.
Соответствие проверяют путем осмотра ME ИЗДЕЛИЯ и проведением экспертизы СОПРОВОДИТЕЛЬНЫХ ДОКУМЕНТАХ.
203.13.3 Защита расстоянием
Дополнение:
Защита от НЕИСПОЛЬЗУЕМОГО ИЗЛУЧЕНИЯ может быть достигнута без условия управления из ЗАЩИТНОЙ ЗОНЫ путем обеспечения возможности для ОПЕРАТОРА управлять ИЗЛУЧЕНИЕМ с расстояния не менее 2 м от ФОКУСНОГО ПЯТНА и вне ПУЧКА РЕНТГЕНОВСКОГО ИЗЛУЧЕНИЯ.
Это требование не распространено на ME ИЗДЕЛИЕ, удерживаемое в руках.
Соответствие проверяют путем осмотра ME ИЗДЕЛИЯ и проведением экспертизы СОПРОВОДИТЕЛЬНЫХ ДОКУМЕНТАХ.
Дополнительный подпункт:
203.13.101 Защита от НЕИСПОЛЬЗУЕМОГО ИЗЛУЧЕНИЯ для ME ИЗДЕЛИЯ, удерживаемого в руках
Примечание - Защита ОПЕРАТОРА от НЕИСПОЛЬЗУЕМОГО ИЗЛУЧЕНИЯ для ME ИЗДЕЛИЯ, удерживаемого в руках, должна быть предусмотрена изготовителем в документах по УПРАВЛЕНИЮ РИСКОМ.
Применяют приложения к общему стандарту за исключением:
(справочное)
РУКОВОДСТВО К ТРЕБОВАНИЯМ МАРКИРОВКИ И ЭТИКЕТИРОВАНИЮ
ME ИЗДЕЛИЙ И ME СИСТЕМ
Применяют
приложение C общего стандарта, за исключением следующего:
201.C.1 Маркировка на внешней поверхности ME ИЗДЕЛИЙ, ME СИСТЕМ или их частей
Дополнение:
Дополнительные требования к маркировке на внешней поверхности ME ИЗДЕЛИЯ приведены в таблице 201.C.101.
Таблица 201.C.101
Маркировка на внешней поверхности ME ИЗДЕЛИЯ или их частей
Описание маркировки | Подпункт |
Индикация на АППАРАТЕ | |
201.C.5 СОПРОВОДИТЕЛЬНЫЕ ДОКУМЕНТЫ. Инструкция по эксплуатации
Дополнение:
Дополнительные требования к отчетности в СОПРОВОДИТЕЛЬНЫХ ДОКУМЕНТАХ (которые включают инструкции по эксплуатации и техническое описание) находятся в подпунктах, перечисленных в таблице 201.C.102
Таблица 201.C.102
Подпункты дополнительных требований в СОПРОВОДИТЕЛЬНЫХ
ДОКУМЕНТАХ
Название | Подпункт |
ПИТАЮЩИЕ СЕТИ для ME ИЗДЕЛИЯ | |
СОПРОВОДИТЕЛЬНЫЕ ДОКУМЕНТЫ | |
МЕХАНИЧЕСКОЕ ЗАЩИТНОЕ УСТРОЙСТВО | |
Присоединение внешних БЛОКИРУЮЩИХ УСТРОЙСТВ | |
Установка дозы ИЗЛУЧЕНИЯ и Качества ИЗЛУЧЕНИЯ | |
Коэффициент изменения ВОЗДУШНОЙ КЕРМЫ | |
Дозиметрические индикации | |
Защита расстоянием | |
(справочное)
РУКОВОДСТВО И ОБОСНОВАНИЕ
Нижеследующий текст содержит обоснование отдельных пунктов и подпунктов настоящего частного стандарта, номера которых совпадают с номерами в тексте стандарта.
Эти требования МЭК 60601-2-7, раздел 19.3, были сохранены, потому что обязательная EMI-фильтрация в сочетании с резким увеличением электрической мощности, необходимая для НАГРУЗКИ ME ИЗДЕЛИЯ, делает проблемой достижение ТОКА УТЕЧКИ требуемого общим стандартом.
Общее требование для испытания электрической прочности изоляции в цепи ВЫСОКОГО НАПРЯЖЕНИЯ, которое указано в дополнительном стандарте МЭК 60601-2-7 (2-е издание), должно испытываться напряжением в 1,2 раза выше от НОМИНАЛЬНОГО АНОДНОГО НАПРЯЖЕНИЯ.
Тем не менее в дополнительном стандарте указано уменьшение испытательного напряжения до 1,1 раза от НОМИНАЛЬНОГО АНОДНОГО НАПРЯЖЕНИЯ при определенных условиях: "Если РПУ может быть проверено только с ПОДКЛЮЧЕННОЙ РЕНТГЕНОВСКОЙ ТРУБКОЙ и если РЕНТГЕНОВСКАЯ ТРУБКА не позволяет проверить РПУ испытательным напряжением, 1,2 раза выше от НОМИНАЛЬНОГО АНОДНОГО НАПРЯЖЕНИЯ, испытательное напряжение должно быть снижено до необходимого значения, но имеющего значение не менее чем в 1,1 раза номинального напряжения".
Указанное условие всегда должны выполнять для РЕНТГЕНОВСКИХ ДЕНТАЛЬНЫХ ИНТРАОРАЛЬНЫХ АППАРАТОВ, которые оснащены РЕНТГЕНОВСКИМИ МОНОБЛОКАМИ.
Таким образом, в данном частном стандарте требование испытаний электрической прочности изоляции было упрощено, чтобы соответствовать этому требуемому условию, принимая во внимание вышеописанные ограничения.
Следует отметить, что в конструкции РЕНТГЕНОВСКОГО МОНОБЛОКА маловероятно, что ВЫСОКОЕ НАПРЯЖЕНИЕ может вырабатываться и поддерживаться на уровне значения, значительно превышающего НОМИНАЛЬНОЕ АНОДНОЕ НАПРЯЖЕНИЕ, за исключением моментов коротких переходных процессов.
Внутренние компоненты в ДЕНТАЛЬНОМ РЕНТГЕНОВСКОМ МОНОБЛОКЕ герметизированы и защищены от доступа воздуха. Если изоляционные материалы перегреются, РПУ выйдет из строя, и дальнейшая НАГРУЗКА невозможна.
Таблица 23 ГОСТ Р МЭК 60601-1 не распространяется на крашенные металлические поверхности. Кроме того, во время проверки при удержании ОПЕРАТОРОМ РЕНТГЕНОВСКОГО МОНОБЛОКА в руках диапазон времени не превышает нескольких секунд.
Некоторые основные положения радиологии заключаются в следующем:
- Диапазон дозы ОБЛУЧЕНИЯ, т.е. количество произведенного излучения (поглощенного РАДИОЛОГИЧЕСКИМ объектом) в единицу времени (МОЩНОСТЬ ВОЗДУШНОЙ КЕРМЫ), прямо пропорционален и линеен мгновенному АНОДНОМУ ТОКУ.
- Учитывая ПОСТОЯНСТВО АНОДНОГО ТОКА, доза ИЗЛУЧЕНИЯ, т.е. суммарное излучение, полученное (поглощенное РАДИОЛОГИЧЕСКИМ объектом) при ОБЛУЧЕНИИ (ВОЗДУШНАЯ КЕРМА), прямо пропорциональна и линейна ВРЕМЕНИ ОБЛУЧЕНИЯ.
- Следовательно, доза ИЗЛУЧЕНИЯ (ВОЗДУШНАЯ КЕРМА) прямо пропорциональна и линейна результату произведения между АНОДНЫМ ТОКОМ и ВРЕМЕНЕМ ОБЛУЧЕНИЯ, т.е. ПРОИЗВЕДЕНИЮ ТОК-ВРЕМЯ (выраженному в мАс).
Поэтому точное определение (т.е. "квалификационные условия для выбранного термина") ВРЕМЕНИ ОБЛУЧЕНИЯ следует определять из условия сохранения линейной пропорциональности с количеством излучения (дозой облучения) как можно более точно, даже в неидеальных условиях состояния.
Идеальное состояние возникает, очевидно, при запуске ИЗЛУЧЕНИЯ и резком прекращении, т.е. с мгновенным временем роста и спада. В этом случае определение ВРЕМЕНИ ОБЛУЧЕНИЯ является очевидным и требование подтверждения его линейности с дозой излучения явно ненужным. Однако в реальном случае есть конечное время для роста и спада АНОДНОГО ТОКА и МОЩНОСТИ ВОЗДУШНОЙ КЕРМЫ. Учитывая современные технологии в РЕНТГЕНОВСКИХ ГЕНЕРАТОРАХ, основанных на постоянном токе (D.C.), электронный преобразователь имеет время нарастания и спада, как правило, линейного изменения. В таких обстоятельствах для определения начала и конца ВРЕМЕНИ ОБЛУЧЕНИЯ, установив порог МОЩНОСТИ ВОЗДУШНОЙ КЕРМЫ, в 50% от достижения установленного состояния или максимального значения с учетом того, что количество дополнительной ВОЗДУШНОЙ КЕРМЫ производится раньше, чем установится точное значение ВОЗДУШНОЙ КЕРМЫ, и отсутствует момент в достижении этого максимального и устойчивого состояния значения, таким образом, сохраняя линейную пропорциональность между ВРЕМЕНЕМ ОБЛУЧЕНИЯ и суммарной ВОЗДУШНОЙ КЕРМЫ.

Рисунок AA.1 - ВОЗДУШНАЯ КЕРМА при ОБЛУЧЕНИИ производимым
РЕНТГЕНОВСКИМ ГЕНЕРАТОРОМ постоянного тока
В ОДНОПОЛУПЕРИОДНЫХ и ДВУХПОЛУПЕРИОДНЫХ РПУ ситуация более сложная, так как излучение подается импульсами, и рост огибающей пикового значения импульсов (т.е. передний край) не следует линейному росту. Время падения на задней кромке, как правило, ничтожно коротко по сравнению с временем нарастания, в связи с тем что прекращение облучения достигается выключением питания, т.е. одновременно с ОТКЛЮЧЕНИЕМ АНОДНОГО НАПРЯЖЕНИЯ И АНОДНОГО ТОКА. Профиль огибающего пикового значения импульсов "на переднем фронте" обычно имеет постепенный вогнутую-выпуклый профиль с точки перегиба примерно в 50% от стационарного и максимального значения.
Поэтому и в этом обстоятельстве установленный порог МОЩНОСТИ ВОЗДУШНОЙ КЕРМЫ, относительно огибающей пикового значения импульсов, при 50% от стационарного состояния и максимального значения, означает, что количество дополнительной ВОЗДУШНОЙ КЕРМЫ, производимой ранее определяемого начала мгновенного роста, примерно уравновешивает количество ВОЗДУШНОЙ КЕРМЫ пропавшего с этой точки времени при достижении максимального и устойчивого состояния значения, таким образом, сохраняя хорошее приближение линейной пропорциональности между таким определением ВРЕМЕНИ ОБЛУЧЕНИЯ и суммарной ВОЗДУШНОЙ КЕРМОЙ.
РЕНТГЕНОВСКИЙ ДЕНТАЛЬНЫЙ ИНТРАОРАЛЬНЫЙ АППАРАТ с ОДНОПОЛУПЕРИОДНЫМ РЕНТГЕНОВСКИМ ГЕНЕРАТОРОМ
Практически РЕНТГЕНОВСКИЙ ДЕНТАЛЬНЫЙ ИНТРАОРАЛЬНЫЙ АППАРАТ всегда содержит РЕНТГЕНОВСКИЙ МОНОБЛОК, что предполагает в его составе внутри герметичного РЕНТГЕНОВСКОГО КОЖУХА ВЫСОКОВОЛЬТНЫЕ ЧАСТИ рентгеновской генерирующей схемы, в том числе РЕНТГЕНОВСКУЮ ТРУБКУ и ВЫСОКОВОЛЬТНЫЙ ТРАНСФОРМАТОР. Такая конструкция необходима для того, чтобы обеспечить размер и вес исходной сборки моноблока настолько малым, насколько возможно такое совмещение с эргономикой, которое необходимо для работы ОПЕРАТОРА и ПАЦИЕНТА при ручном его позиционировании и ориентировании - в стесненном, как правило, пространстве стоматологического кабинета.
И наоборот, в типичном РЕНТГЕНОВСКОМ АППАРАТЕ, для традиционной медицинской рентгенографии, РЕНТГЕНОВСКАЯ ТРУБКА размещается в РЕНТГЕНОВСКОМ КОЖУХЕ и запитывается через ВЫСОКОВОЛЬТНЫЕ КАБЕЛИ (и через соединения, связанные с ВЫСОКОВОЛЬТНЫМИ КАБЕЛЯМИ), дающие питание от отдельного источника ВЫСОКОГО НАПРЯЖЕНИЯ. Это позволяет разделить ВЫСОКОЕ НАПРЯЖЕНИЕ питания цепи анода (для управления НАПРЯЖЕНИЕМ РЕНТГЕНОВСКОЙ ТРУБКИ, кВ) и цепи накала (для управления ТОКОМ РЕНТГЕНОВСКОЙ ТРУБКИ, мА).
Многие модели РЕНТГЕНОВСКИХ ДЕНТАЛЬНЫХ ИНТРАОРАЛЬНЫХ АППАРАТОВ основаны на применении ОДНОПОЛУПЕРИОДНЫХ РПУ, что делает возможным выпускать недорогие и компактные аппараты, хотя и с некоторыми ограничениями функциональных характеристик. В ОДНОПОЛУПЕРИОДНЫХ РПУ ВЫСОКОЕ НАПРЯЖЕНИЕ, подаваемое на РЕНТГЕНОВСКУЮ ТРУБКУ (АНОДНОЕ НАПРЯЖЕНИЕ), обеспечивается путем преобразования НАПРЯЖЕНИЯ ПИТАЮЩЕЙ СЕТИ (например, 100 V, 115 V или 230 V) с помощью единого смонтированного ВЫСОКОВОЛЬТНОГО ГЕНЕРАТОРА. Такой трансформатор имеет одну первичную обмотку с несколькими отводами и вторичную обмотку для питания анодной схемы и цепи накала.
Примечание 101 - Возможно с помощью двух отдельных трансформаторов питать отдельно анодную схему и цепь накала, хотя большинство ОДНОПОЛУПЕРИОДНЫХ РПУ РЕНТГЕНОВСКОГО ДЕНТАЛЬНОГО ИНТРАОРАЛЬНОГО АППАРАТА, коммерчески произведенных на момент опубликования стандарта и задолго до этого, используют один высоковольтный трансформатор с дополнительными обмотками. Так как дополнительные требования к защите отдельных цепей ВЫСОКОГО НАПРЯЖЕНИЯ приводят к существенному увеличению размера и веса, тем самым нарушая дизайн и главную цель для этого вида оборудования.
Очевидно, что в конструкции ОДНОПОЛУПЕРИОДНЫХ РПУ с одним ВЫСОКОВОЛЬТНЫМ ГЕНЕРАТОРОМ анодная схема и схема накаливания может быть запитана только одновременно и что они не могут управляться независимо, т.е. можно установить только одно номинальное значение АНОДНОГО НАПРЯЖЕНИЯ И АНОДНОГО ТОКА.
Когда АНОДНОЕ НАПРЯЖЕНИЕ приложено (т.е. анод становится положительным по отношению к катоду), РЕНТГЕНОВСКАЯ ТРУБКА мгновенно готова к рентгеновской эмиссии (с энергетической особенностью спектра данного АНОДНОГО НАПРЯЖЕНИЯ). Тем не менее мощность приложенная к цепи накала не приводит к непосредственному росту потока электронов через РЕНТГЕНОВСКУЮ ТРУБКУ и, как следствие, росту эмиссии рентгеновского излучения (со скоростью потока пропорционально АНОДНОМУ ТОКУ). Для достижения такого эффекта требуется постепенно повышать температуру нити накала до температуры, при которой наблюдается рост испускания электронов вследствие термоэлектронного эффекта. Время, необходимое для разогрева нити и достижения устойчивого теплового состояния для получения устойчивого состояния потока электронов и РЕНТГЕНОВСКОГО ИЗЛУЧЕНИЯ, может измеряться порядком сотен миллисекунд. Поэтому в РЕНТГЕНОВСКОМ ДЕНТАЛЬНОМ ИНТРАОРАЛЬНОМ АППАРАТЕ с ОДНОПОЛУПЕРИОДНЫМ РПУ существует значительная разница между временем нагрузки и ВРЕМЕНЕМ ОБЛУЧЕНИЯ.
Ниже приведены
диаграммы AA.2 и
AA.3, показывающие форму волны АНОДНОГО НАПРЯЖЕНИЯ и АНОДНОГО ТОКА с ОДНОПОЛУПЕРИОДНЫМ РПУ (и одним ВЫСОКОВОЛЬТНЫМ ГЕНЕРАТОРОМ). Скорость рентгеновских фотонов прямо пропорциональна АНОДНОМУ ТОКУ, и, следовательно, МОЩНОСТЬ ВОЗДУШНОЙ КЕРМЫ также по существу соответствует той же форме волны.
Период времени между последовательными импульсами является обратным по отношению к частоте сети, т.е. 20 мс для систем питания сети с частотой 50 Гц и около 16,7 мс для систем питания сети с частотой 60 Гц.
На рисунке AA.2 ВРЕМЯ НАГРУЗКИ является относительно большим по отношению ко времени нагрева нити накала. Видно, что существует значительная разница (= отставание) между ВРЕМЕНЕМ НАГРУЗКИ (время, в течение которого приводится в готовность РЕНТГЕНОВСКИЙ МОНОБЛОК) и ВРЕМЕНЕМ ОБЛУЧЕНИЯ (время, в течение которого МОЩНОСТЬ ВОЗДУШНОЙ КЕРМЫ превышает определенный процент максимального установившегося значения или, другими словами, время, в течение которого существует значительный рост эмиссии РЕНТГЕНОВСКОГО ИЗЛУЧЕНИЯ), в связи с задержкой нагрева накала нити и началом роста эмиссии электронов. И наоборот, ОБЛУЧЕНИЕ немедленно и резко прекратилось (см. по задней кромке), и далее АНОДНЫЙ ТОК и эмиссия РЕНТГЕНОВСКОГО ИЗЛУЧЕНИЯ прекращают действовать, потому что АНОДНОЕ НАПРЯЖЕНИЕ падает до нуля.
Рисунок AA.2 - ВОЗДУШНАЯ КЕРМА при ОБЛУЧЕНИИ ПРОИЗВОДИМЫМ
ОДНОПОЛУПЕРИОДНЫМ РПУ
Таким образом, определение ВРЕМЕНИ ОБЛУЧЕНИЯ зависит от априорного значения времени нагрева нити накала (также определяемого как время предварительного нагрева), которое определяет производитель при осуществлении типовых испытаний РЕНТГЕНОВСКОГО ГЕНЕРАТОРА.
Такое время разогрева не может быть определено заранее с абсолютной уверенностью и точностью. На самом деле небольшие изменения и колебания фактического значения НОРМИРОВАННОЙ ПИТАЮЩЕЙ СЕТИ имеют большое влияние на АНОДНЫЙ ТОК РЕНТГЕНОВСКОГО ИЗЛУЧЕНИЯ в связи с очень крутой зависимостью термоэлектронной кривой эмиссии рентгенов от АНОДНОГО ТОКА. Поэтому измерения ВРЕМЕНИ ОБЛУЧЕНИЯ следует выполнять только со значениями мощности от ПИТАЮЩЕЙ СЕТИ на уровне НОМИНАЛЬНОГО ЗНАЧЕНИЯ, и даже в этом случае ВРЕМЯ ОБЛУЧЕНИЯ может иметь существенные различия в значении (в связи с изменениями во времени нагрева нити накала), даже если средства управления регулируют ВРЕМЯ НАГРУЗКИ с очень высокой степенью точности.
Примечание 2 - Относительно постепенный линейный рост амплитудного значения АНОДНОГО ТОКА не очень вреден для линейности ВОЗДУШНОЙ КЕРМЫ, в сопоставлении с ВРЕМЕНЕМ ОБЛУЧЕНИЯ, если порог для определения начала ВРЕМЕНИ ОБЛУЧЕНИЯ установлен на уровне 50%, потому что количество дополнительной ВОЗДУШНОЙ КЕРМЫ, производимое до этого момента времени, существенно восполняет отсутствие ее после этого момента времени.
Для рисунка AA.3 ВРЕМЯ ОБЛУЧЕНИЯ в несколько раз больше, в сравнении с периодом частоты питания сети. В этом случае переменные результаты должны быть приняты во внимание.
мА - АНОДНЫЙ ТОК; кВ - АНОДНОЕ НАПРЯЖЕНИЕ
(определяющиеся только полуциклом); LT - ВРЕМЯ НАГРУЗКИ;
IT - ВРЕМЯ ОБЛУЧЕНИЯ; PHT - время предварительного нагрева;
P - период одного импульса питающей сети (20 мс - при 50 Гц,
16,7 мс - при 60 Гц);

- снижение амплитудного значения
АНОДНОГО НАПРЯЖЕНИЯ от начального значения при холостом
ходе до установившейся величины НАГРУЗКИ
Рисунок AA.3 - Форма волны при длительном времени ОБЛУЧЕНИЯ
от ОДНОПОЛУПЕРИОДНОГО РПУ
В связи с тем что ИЗЛУЧЕНИЕ происходит дискретными импульсами в очередной интервал времени, то и значения ВРЕМЕНИ ОБЛУЧЕНИЯ являются дискретными, т.е. не имеет концептуального смысла определять ВРЕМЯ ОБЛУЧЕНИЯ (и ВРЕМЯ НАГРУЗКИ) с точностью лучше, чем за один период питающей сети (20 или 16,7 мс при частоте 50 и 60 Гц соответственно). Следовательно, масштаб R10 достаточно хорошо аппроксимируется с помощью дискретной последовательности импульсов длительностью только 80 мс.
В данном примере ВРЕМЯ ОБЛУЧЕНИЯ будет соответствовать восьми импульсам питающей сети, т.е. длительностью в 160 мс при частоте сети 50 Гц и 133 мс при 60 Гц, что приближается к значению в 125 мс, соответствующем шкале масштаба R10.
Примечание 3 - Концептуально можно остановить или запустить НАГРУЗКУ во время активной фазы импульса (а не на пересечения нулевого уровня, как правило, это делается на хорошем уровне инженерной практики), однако это представляет значительную техническую задачу, вследствие решения которой необходимо избежать нанесения ущерба линейности между ВРЕМЕНЕМ ОБЛУЧЕНИЯ и ВОЗДУШНОЙ КЕРМОЙ (= дозе облучения), что является основным требованием в радиологии.
Даже незначительные отклонения времени предварительного нагрева, например в результате изменений в НАПРЯЖЕНИЕ ПИТАЮЩЕЙ СЕТИ, может привести к изменению одного (или более) значения длительности периода(ов) времени, что внесет большой процент изменения к определяемому и измеряемому ВРЕМЕНИ ОБЛУЧЕНИЯ.
Как следствие, в РЕНТГЕНОВСКИХ АППАРАТАХ С МОНОБЛОКОМ и ОДНОПОЛУПЕРИОДНЫМ РПУ:
- ВРЕМЯ ОБЛУЧЕНИЯ должно всегда быть определено как дискретное, кратное числу периодов времени в ПИТАЮЩЕЙ СЕТИ. Соответствие по шкале R10 или R20 могут быть применены только в качестве желаемого приближения.
- Измерение ВРЕМЕНИ ОБЛУЧЕНИЯ следует выполнять при стабильных значениях сетевого напряжения, так как из-за коротких промежутков времени любые отклонения от номинального значения влекут существенные процентные изменения.
Примечание 4 - Вышеизложенное относится также к случаю применения ДВУХПОЛУПЕРИОДНЫХ РПУ. Однако такой дизайн не считается выгодным для РЕНТГЕНОВСКИХ ДЕНТАЛЬНЫХ ИНТРАОРАЛЬНЫХ АППАРАТОВ, не реализован в реальных коммерческих изделиях и, следовательно, здесь не рассматривается.
Механизм компенсации нестабильности напряжения питания путем изменения времени нагрузки
Во многих моделях РЕНТГЕНОВСКИХ ДЕНТАЛЬНЫХ ИНТРАОРАЛЬНЫХ АППАРАТОВ с ОДНОПОЛУПЕРИОДНЫМ РПУ БЛОК УПРАВЛЕНИЯ использует специальный алгоритм работы, направленный на уменьшение влияния последствий нестабильности (колебаний) СЕТЕВОГО НАПРЯЖЕНИЯ на ВОЗДУШНУЮ КЕРМУ, т.е. на сохранение линейности ДОЗЫ ОБЛУЧЕНИЯ в течение выбранного ВРЕМЕНИ ОБЛУЧЕНИЯ, и поскольку СЕТЕВОЕ НАПРЯЖЕНИЕ колеблется, то, изменяя ВРЕМЯ НАГРУЗКИ, ВОЗДУШНАЯ КЕРМА остается постоянной при заданных номинальных функциональных характеристиках. Такое изменение имеет цель компенсации нестабильности (по отношению к номинальному) как АНОДНОГО НАПРЯЖЕНИЯ, так и ВРЕМЕНИ ОБЛУЧЕНИЯ (изменение которого, вызвано в результате колебаний времени предварительного нагрева нити накала).
Заранее определенные соотношения между фактическим ВРЕМЕНЕМ НАГРУЗКИ и фактическим СЕТЕВЫМ НАПРЯЖЕНИЕМ, при любых номинальных значениях ВРЕМЕНИ ОБЛУЧЕНИЯ, определяет ПРОИЗВОДИТЕЛЬ при проведении типовых испытаний.
В таком состоянии аппарата любые измерения точности и линейности технических параметров техники (кВ, мА, с) должны выполнять при сетевом питании, с установившимся номинальным значением. Либо, альтернативно, ИЗМЕРЕННЫЕ ЗНАЧЕНИЯ ВРЕМЕНИ ОБЛУЧЕНИЯ должны быть скорректированы в течение известного времени - отношения компенсации напряжения против указанных ПРОИЗВОДИТЕЛЕМ.
Этот
пункт относится только к ME ИЗДЕЛИЮ с автоматической регулировкой экспозиции, которая не является обязательной. См. также
подпункт 203.6.5.
АППАРАТЫ ДЕНТАЛЬНОЙ ИНТРАОРАЛЬНОЙ РАДИОГРАФИИ, базирующиеся на регистрации изображения на пленку, практически не могут быть оснащены устройствами автоматического контроля экспозиции.
РЕНТГЕНОВСКИЙ ДЕНТАЛЬНЫЙ ИНТРАОРАЛЬНЫЙ АППАРАТ может быть оснащен датчиком для измерения фактической дозы облучения только в том случае, когда использован интегрированный ЭЛЕКТРОННЫЙ РЕНТГЕНОВСКИЙ ПРИЕМНИК.
Для РЕНТГЕНОВСКОГО ДЕНТАЛЬНОГО ИНТРАОРАЛЬНОГО АППАРАТА изменение условий воздействия и, следовательно, РИСК ошибочного воздействия являются низкими. Поэтому СИСТЕМА АВТОМАТИЧЕСКОГО УПРАВЛЕНИЯ не обязательна.
Анатомия полости рта не допускает применения средств, снижающих воздействие рассеянного излучения.
Подпункт 203.7.1 Слои половинного ослабления и общая фильтрация в рентгеновском аппарате
Существует всемирная практика общего применения для РЕНТГЕНОВСКИХ ДЕНТАЛЬНЫХ ИНТРАОРАЛЬНЫХ АППАРАТОВ для достижения желаемого контраста изображения, основанное на определенном ВРЕМЕНИ ДЕЙСТВИЯ АНОДНОГО ТОКА при фиксированных значениях АНОДНОГО НАПРЯЖЕНИЯ. Эта практика была достигнута с использованием пределов ФИЛЬТРАЦИИ по
ГОСТ Р МЭК 60601-1-3.
Введение применяемых ограничений выгодно для снижения дозы облучения пациента и повышения качества изображения, без изменения сложившейся практики в стоматологическом сообществе.
Для ДЕНТАЛЬНОЙ РАДИОГРАФИИ определенная глубина проникновения излучения необходима в связи с наличием костных структур.
ПЛЕНКИ ДЛЯ ДЕНТАЛЬНОЙ РАДИОГРАФИИ не позволяют использовать средства для уменьшения ОСТАТОЧНОГО ИЗЛУЧЕНИЯ. Разница между ПОЛЕМ ОБЛУЧЕНИЯ и зоной ПРИЕМНИКА РЕНТГЕНОВСКОГО ИЗОБРАЖЕНИЯ не может быть решена путем средств ОСЛАБЛЕНИЯ, так как они не могут быть размещены в полости рта.
(справочное)
ОПРЕДЕЛЕНИЕ СОСТАВНЫХ ЧАСТЕЙ РЕНТГЕНОВСКИХ ДЕНТАЛЬНЫХ
ИНТРАОРАЛЬНЫХ СИСТЕМ В НАСТОЯЩЕМ СТАНДАРТЕ
Рисунок BB.1 демонстрирует иерархическую взаимосвязь между определенными и широко применяемыми терминами согласно МЭК 60601-1-3 и далее вновь модифицированными в данном частном стандарте.
Рисунок BB.2 является наглядным примером типичного РЕНТГЕНОВСКОГО ДЕНТАЛЬНОГО ИНТРАОРАЛЬНОГО АППАРАТА с графической корреляцией частей к определенным условиям.
Примечание - Состав данного описания не составляли исключительно из определенных в данном стандарте терминов, он может также включать в себя части, которые формально не определены в настоящем стандарте (и, следовательно, не указаны на диаграмме ниже). Например, РЕНТГЕНОВСКИЙ ГЕНЕРАТОР, включающий в себя ПУЛЬТ УПРАВЛЕНИЯ и БЛОК ИСТОЧНИКА РЕНТГЕНОВСКОГО ИЗЛУЧЕНИЯ, может (и обычно содержит) иметь также механические штативные части, которым формально не даны определения.
┌────────────────────────┐
│Рентгеновский дентальный│
│ интраоральный аппарат │
└────────────┬───────────┘
┌────────────────────────┼───────────────┐
┌────────────┴──────────────┐ ┌───────┴──────┐ ┌──────┴──────┐
│ Вспомогательное изделие │ │Приспособление│ │Рентгеновский│
│(т.е. электронный приемник │ └──────────────┘ │ генератор │
│рентгеновского изображения)│ └──────┬──────┘
└───────────────────────────┘ ┌────────────┴───────┐
┌─────┴─────┐ ┌────────────┴───────────┐
│ Пульт │ │ Блок источника │
│управления │ │рентгеновского излучения│
└───────────┘ └────────────┬───────────┘
┌─────────────┴─────┐
Устройство Рентгеновский
формирования пучка моноблок
┌───────────────┘
┌─────────────────┼───────────────┐
Кожух рентгеновской Высоковольтный Рентгеновская
трубки генератор трубка
IEC 1813/12
Рисунок BB.1 - Структура РЕНТГЕНОВСКОГО ДЕНТАЛЬНОГО
ИНТРАОРАЛЬНОГО АППАРАТА
РЕНТГЕНОВСКИЙ ГЕНЕРАТОР
C - ПУЛЬТ УПРАВЛЕНИЯ
D - БЛОК ИСТОЧНИКА РЕНТГЕНОВСКОГО ИЗЛУЧЕНИЯ
E - тубус, включая УСТРОЙСТВО ФОРМИРОВАНИЯ ПУЧКА
F - РЕНТГЕНОВСКИЙ МОНОБЛОК
Рисунок BB.2 - Части РЕНТГЕНОВСКОГО ДЕНТАЛЬНОГО
ИНТРАОРАЛЬНОГО АППАРАТА
(справочное)
СВЕДЕНИЯ О СООТВЕТСТВИИ ССЫЛОЧНЫХ МЕЖДУНАРОДНЫХ СТАНДАРТОВ
НАЦИОНАЛЬНЫМ СТАНДАРТАМ РОССИЙСКОЙ ФЕДЕРАЦИИ
Обозначение ссылочного международного стандарта | Степень соответствия | Обозначение и наименование соответствующего национального стандарта |
| | ИС МЕГАНОРМ: примечание. В официальном тексте документа, видимо, допущена опечатка: стандарт имеет номер ГОСТ Р МЭК 60601-1-2-2014, а не ГОСТ Р МЭК 60601-2-2014. | |
|
| - | |
| | ИС МЕГАНОРМ: примечание. В официальном тексте документа, видимо, допущена опечатка: стандарт имеет номер ГОСТ Р МЭК 60601-1-3-2013, а не ГОСТ Р МЭК 60601-3-2013. | |
|
| - | |
| - | |
| | ИС МЕГАНОРМ: примечание. В официальном тексте документа, видимо, допущена опечатка: стандарт имеет номер ГОСТ Р МЭК/ТО 60788-2009, а не ГОСТ Р МЭК/ТО 60778-2009. | |
|
| - | |
ГОСТ МЭК 62220-1-2011 | - | |
<*> Соответствующий национальный стандарт отсутствует. До его утверждения рекомендуется использовать перевод на русский язык данного международного стандарта. Перевод данного международного стандарта находится в Федеральном информационном фонде технических регламентов и стандартов. |
[1] IPSM 64:1991, данных для оценки рентгеновской трубки общей фильтрации
[2] Гиббс, S.J. Эффективные эквивалентные дозы облучения и эффективная доза: Сравнение общих прогнозов в челюстно-лицевой рентгенологии. Челюстно-лицевая хирургия, Минет Медицина, Минет Патология, Минет радиологии, и Эндодонтия, (2000), 90 (4), с. 538 - 545
[3] Гиббс, SJ, PUJOL младший, A., ЧЕН, TS, ДЖЕЙМС младший, A., риск для пациентов с внутриротовой стоматологической радиографии. Dentomaxillofacial радиологии, (1988), 17 (1), с. 15 - 23
[4] Гиббс, SJ, PUJOL младший, A., ЧЕН, TS, CARLTON, JC, DOSMANN, Массачусетс, Малькольм, AW, ДЖЕЙМС младший, AE, Дозы облучения чувствительных органов у экстраорального стоматологической радиографии. Dentomaxillofacial радиологии, (1987), 16 (2), с. 67 - 77
[5] Гиббс, S.J. Биологические эффекты радиации от зубной рентгенографии. Совет по стоматологические материалы, инструменты и оборудование. (1982) Журнал американской ассоциации стоматологов, 105 (2), с. 275 - 281
[6] UNDERHILL, TE, CHILVARQUER, И., Кимура, К., Лангле, RP, МакДэвид, WD, Прис, JW, Барнвелл, Г. радиобиологические оценка риска от зубной радиологии. Часть I. поглощенных доз для критических органов. Челюстно-лицевая хирургия, Минет Медицина, Минет Патология, (1988), 66 (1), с. 111 - 120
[7] UNDERHILL, TE, Кимура, К., CHILVARQUER, И., МакДэвид, WD, Лангле, RP, Прис, JW, Барнвелл, Г. радиобиологические оценка риска от зубной радиологии. Часть II. Заболеваемость раком и смертности. Челюстно-лицевая хирургия, Минет Медицина, Минет Патология, (1988), 66 (2), с. 261 - 267
[8] BRAND, JW, Гиббса, SJ, Эдвардс, М., КАЦ, JO, ЛУРЬЕ, AG, БЕЛЫЙ, SC радиационной защите в стоматологии. (2003) NCRP. Отчет N 145
[9] Berkhout, E., SANDERINK, Г., ВАН ДЕР STELT, П. Digital интраоральных рентгенография в стоматологии. Диагностические эффективность и дозы соображения. Оральный радиологии, (2003), 19 (1), с. 1 - 13
[10] ФАРМАН, AG Основы получения изображений и обработки в цифровую эпоху. Ортодонтия и черепно-лицевых исследований, (2003), 6, Дополнение 1, с. 17 - 22
[11] Фарман, AG стандарты для внутриротовой рентгенографии. Dentomaxillofacial радиологии, (2000), 29 (5), с. 257 - 259
[12] ФАРМАН, TT, Vandre, RH, Pajak, JC, МИЛЛЕР, SR, LEMPICKI, A., FARMAN, AG Эффекты сцинтиллятора на детектив квантовой эффективности (DQE) цифровой системы визуализации. Челюстно-лицевая хирургия, Минет Медицина, Минет Патология, Минет радиологии и Эндодонтия, (2006), 101 (2), с. 219 - 223
[13] Sones, P.A., Барнс, G.T. Метод измерения MTF цифровых рентгеновских систем. Медицинская физика, (1984), 11 (2), с. 166 - 171.
[14] МакДэвид, WD, Welander, У., SANDERINK, GCH, DOVE, SB, Tronje, Г. Простой метод для измерения MTF в прямой цифровой внутриротовой рентгенографии. Техническое примечание. Челюстно-лицевая хирургия, Минет Медицина, Минет Патология, (1994), 78 (6), с. 802 - 805
[15] ФАРМАН и ФАРМАН ТТ. Сравнение 18 различных детекторов рентгеновских настоящее время используется в стоматологии. Челюстно-лицевая хирургия, Минет Медицина, Минет Патология, (2005), 99 (4): 485 - 489
[16] MONDOU, Д., КАПОТ, Е., Coudert, Ж.Л., JOURLIN, M., MOLTENI, P., PACHOD, V. Критерии оценки собственных выступлений цифровых рентгенографических сенсоры. Академический радиологии, (1996), 3 (9), с. 751 - 757
[17] Welander, У., МакДэвид, WD, SANDERINK, GCH, Tronje, Г., Морнер, А.-С, DOVE, SB Разрешение, как это определено линия распределения и передачи модуляции функций для четырех цифровых внешнеротовых рентгенографических систем. Челюстно-лицевая хирургия, Минет Медицина, Минет Патология, (1994), 78 (1), с. 109 - 115
[18] YOSHIURA, К., STAMATAKIS, НС, Welander, У, МакДэвид, WD, SHI, X.-Вопрос, BAN, С, Kawazu, Т., Тацуми, М., KANDA, С. Физическая оценка системы для прямого цифрового внутри ротовой радиографии, основанной на прибор с зарядовой связью. Dentomaxillofacial радиологии, (1999), 28 (5), с. 277 - 283
[19] Welander, У., МакДэвид, WD, Морнер, А.-С, Tronje, Г., TOKUOKA, О., FUCHIHATA, H., NELVIG, П., DOVE, SB Абсолютные показатели качества изображения для Sens-A-Ray прямого цифрового экстраорального системы радиографии. Челюстно-лицевая хирургия, Минет Медицина, Минет Патология, Минет радиологии и Эндодонтия, (1995), 80 (3), с. 345 - 350
[20] Welander, У., NELVIG, П., Tronje, Г., МакДэвид, WD, DOVE, SB, Морнер-, AC, CEDERLUND, Т. Основные технические свойства системы для прямого получения цифровых внешнеротовых рентгенограмме. Челюстно-лицевая хирургия полости рта Медицина и Оральный Патология, (1993), 75 (4), с. 506 - 516
[21] Л.Г., YOSHIURA, К., SHI, Х.-Вопрос, Welander, У., МакДэвид, WD Физические свойства системы для прямого получения цифровых внешнеротовых рентгенограмме. Оральный радиологии, (2003), 19 (1), с. 22 - 27
[22] Хаякава, Y, ФАРМАН, AG, Scarfe, туалет, Kuroyanagi, К., RUMACK, PM, SCHICK, DB Колеблется Оптимальная экспозиция для компьютерной стоматологической радиографии. Dentomaxillofacial радиологии, (1996), 25 (2), с. 71 - 75
[23] MOLTENI, P. Прямая цифровая стоматологическая рентгеновская томография с Visualix / Vixa. Челюстно-лицевая хирургия полости рта Медицина и Оральный Патология, (1993), 76 (2), с. 235 - 243
[24] MOLTENI, P. улучшить режим для отображения изображения с цифрового датчика рентгеновского излучения. Dentomaxillofacial радиологии, (1995), 24 (2), с. 96 - 97
[25] Welander, У., YOSHIURA, К., Л., Г., Сяллстрем, П., МакДэвид, WD Коррекция ослабления и визуального ответ в цифровой рентгенографии. Dentomaxillofacial радиологии, (2002), 31 (2), с. 117 - 125
[26] DOVE, SB, МакДэвид, WD, задатки, С., Mcnally, M., WILCOX, CD Сжатия для прямой цифровой внутриротовой рентгенографии. Dentomaxillofacial радиологии, (1995), 24 (2), с. 99 - 100
[27] Welander, У., SANDERINK, GCH, МакДэвид, WD, Tronje, Г., Морнер, А.-С. Некоторые основные характеристики новых систем для прямого цифрового интраоральной рентгенографии. Dentomaxillofacial радиологии, (1995), 24 (2), с. 89
[28] ФАРМАН, AG, ФАРМАН, ТТ RVG-интерфейс: датчик, чтобы конкурировать с прямым экспозиции внешнеротовых рентгеновской пленки. Международный журнал компьютеризированной стоматологии, (1999), 2 (3), с. 183 - 196
[29] KITAGAWA, H., Scheetz, JP, ФАРМАН, А.Г. Сравнение комплементарной полупроводника оксида металла и зарядовой связью внешнеротовых устройство рентгеновских детекторов с помощью субъективное качество изображения. Dentomaxillofacial радиологии, (2003), 32 (6), с. 408 - 411
[30] SANDERINK, GCH, HUISKENS, P., ВАН ДЕР STELT, PF, Welander, США, STHEEMAN, SE Качество изображения прямых цифровых сенсоры рентгеновских при оценке длины корневого канала. Радиовизиография, Visualix / Vixa, Sens-A-Ray, и вспышки Дент системы по сравнению с Ektaspeed фильмов. Челюстно-лицевая хирургия, Минет Медицина, Минет Патология, (1994), 78 (1), с. 125 - 132
[31] МакДэвид, WD, Welander, У., ПИЛЛАИ, ВК, Моррис, CR Intrex-Констант потенциал рентгеновский аппарат для периапикальных стоматологической радиографии. Челюстно-лицевая хирургия, Минет Медицина, Минет Патология, (1982), 53 (4), с. 433 - 436
[32] JACOBSON, А., Келли, М., ФАРМАН, А. Проблемы с измерения рентгеновского время экспозиции на импульсных стоматологических установок рентгеновских. Dentomaxillofacial радиологии, (1990), 2 (19), с. 87
[33] МКРЗ ИЗДАНИЕ 103 - В 2007 Рекомендации Международной комиссии по радиологической защите. J. Валентин (редактор), Международная комиссия по радиологической защите
[34] Улусу Т., BODUR H., ODABAS ME, В пробирке сравнение цифровых и обычных рентгеновских снимках bitewing для обнаружения аппроксимальных кариеса в primariy зубов, подвергшихся и просмотренных новой беспроводной РПУ Dentomaxillofacial радиологии, (2010), 39 (2): с. 91 - 94
[35] IEC 60601-2-7:1998, медицинские электрические - Часть 2-7: Частные требования к безопасности высоковольтных генераторов диагностических рентгеновских генераторов
| | ИС МЕГАНОРМ: примечание. Абзац дан в соответствии с официальным текстом документа. | |
АВТОРСКОЕ ПРАВО

IEC. НЕ ДЛЯ КОММЕРЧЕСКОГО ИСПОЛЬЗОВАНИЯ ИЛИ ВОСПРОИЗВЕДЕНИЯ
60601-2-65

IEC: 2012 - 39 -
[36] IEC 60601-2-28:2010, медицинские электрические - Часть 2-28: Частные требования к основной безопасности и существенное выполнение сборок рентгеновской трубки для медицинской диагностики
[37] IEC 60601-2-32:1994, медицинские электрические - Часть 2: Частные требования к безопасности сопутствующего оборудования рентгеновского оборудования
[38] IEC 60601-2-43:2010, медицинские электрические - Часть 2-43: Частные требования к основной безопасности и существенное выполнение рентгеновского оборудования для интервенционных процедур
[39] IEC 60601-2-44:2009, медицинские электрические - Часть 2-44: Частные требования к основной безопасности и существенное выполнение рентгеновского оборудования для компьютерной томографии
[40] IEC 60601-2-45:2011, медицинские электрические - Часть 2-45: Частные требования к безопасности и существенной производительности маммографического рентгеновского оборудования и mammomagraphic стереотаксических устройств
[41] IEC 60601-2-54:2009, медицинские электрические - Часть 2-54: Частные требования к основной безопасности и существенное выполнение рентгеновского оборудования для рентгенографии и рентгеноскопии
[42] IEC 60601-2-63, медицинские электрические - Часть 2-63: Частные требования к основной безопасности и существенное выполнение стоматологической экстра-оральный рентгеновского оборудования
Алфавитный указатель терминов, используемых
в настоящем стандарте
Примечание - В настоящем документе использованы только термины, определенные в
ГОСТ Р МЭК 60601-1, его дополнительных стандартах, в
ГОСТ Р МЭК/ТО 60788, ГОСТ Р МЭК 62220-1 и в
пункте 201.3 настоящего частного стандарта. Определения также могут быть просмотрены на http://std.iec.ch/glossary.
АВТОМАТИКА ПО ОРГАНАМ | OBJECT PROGRAMMED CONTROL | IEC/TR 60788:2004, rm-36-44, rm-21-02 |
АППАРАТ РЕНТГЕНОВСКИЙ | X-RAY EQUIPMENT | IEC 60601-1-3:2008, 3.78, rm-20-20 |
БЕЗОПАСНОСТЬ ОСНОВНАЯ | BASIC SAFTY | ГОСТ Р МЭК 60601-1:2010, 3.10 |
БЛОК ИСТОЧНИКА ИЗЛУЧЕНИЯ (БЛОК ИСТОЧНИКА РЕНТГЕНОВСКОГО ИЗЛУЧЕНИЯ) | X-RAY SOURCE ASSEMBLY | IEC 60601-1-3:2008, 3.62 |
ВРЕМЯ НАГРУЗКИ | LOADING TIME | IEC 60601-1-3:2008, 3.37, rm-36-10 |
ВРЕМЯ ОБЛУЧЕНИЯ (ВРЕМЯ ЭКСПОЗИЦИИ) | IRRADIATION TIME | IEC 60601-1-3:2008, 3.32, rm-36-11 |
ВЫКЛЮЧАТЕЛЬ ИЗЛУЧЕНИЯ | IRRADIATION SWITCH | IEC 60601-1-3:2008, 3.31, rm-30-03 |
ВЫКЛЮЧАТЕЛЬ МАКСИМАЛЬНОГО ТОКА АВТОМАТИЧЕСКИЙ | OVER=CURRENT RELEASE | IEC 60601-1:2005, 3.74 |
ВЫХОД РАДИАЦИОННЫЙ | RADIATION OUTPUT | IEC/TR 60788:2004, rm-13-57 |
ГЕНЕРАТОР ВЫСОКОВОЛЬТНЫЙ | HIGH-VOLTAGE TRANSFORMER ASSEMBLY | IEC/TR 60788:2004, rm-21-15 |
ГЕНЕРАТОР РЕНТГЕНОВСКИЙ | X-RAY GENERATOR | IEC 60601-1-3:2008, 3.79, rm-20-17 |
ДЕНТАЛЬНЫЙ | DENTAL | |
ДЕТЕКТОР ИЗЛУЧЕНИЯ | RADIATION DETECTOR | IEC 60601-1-3:2008, 3.57, rm-51-01 |
ДОКУМЕНТЫ ЭКСПЛУАТАЦИОННЫЕ | ACCOMPANYING DOCUMENT | ГОСТ Р МЭК 60601-1:2010, 3.4 |
ЗАЖИМ ЗАЩИТНОГО ЗАЗЕМЛЕНИЯ | PROTECTIVE EARTH TERMINAL | IEC 60601-1:2005, 3.95 |
ЗАЩИТА РАДИАЦИОННАЯ | RADIATION PROTECTION | IEC 60601-1-3:2008, 3.59, rm-60-02 |
ЗНАЧЕНИЕ ИЗМЕРЕННОЕ | MEASURED VALUE | IEC 60601-1-3:2008, 3.38, rm-73-08 |
ЗНАЧЕНИЕ ФОКУСНОГО ПЯТНА НОМИНАЛЬНОЕ | NOMINAL FOCAL SPOT VALUE | IEC/TR 60788:2004, rm-20-14 |
ЗОНА ЗАЩИТНАЯ | PROTECTED AREA | IEC 60601-1-3:2008, 3.48, rm-63-06 |
ИЗГОТОВИТЕЛЬ | MANUFACTURER | IEC 60601-1:2005, 3.55, rm-85-03 |
ИЗДЕЛИЕ ВСПОМОГАТЕЛЬНОЕ | ASSOCIATED EQUIPMENT | IEC/TR 60788:2004, rm-30-01 |
ИЗДЕЛИЕ ЭЛЕКТРИЧЕСКОЕ МЕДИЦИНСКОЕ (ME ИЗДЕЛИЕ) | MEDICAL ELECTRICAL EQUIPMENT (ME EQUIPMENT) | IEC 60601-1:2005, 3.63 |
(ИЗДЕЛИЕ) КЛАССА I | CLASS I | ГОСТ Р МЭК 60601-1:2010, 3.13 |
(ИЗДЕЛИЕ) С ПОСТОЯННЫМ ПРИСОЕДИНЕНИЕМ К ПИТАЮЩЕЙ СЕТИ | PERMANENTLY INSTALLED | IEC 60601-1:2005, 3.84 |
ИЗЛУЧАТЕЛЬ РЕНТГЕНОВСКИЙ | X-RAY TUBE ASSEMBLY | IEC 60601-1-3:2008, 3.84, rm-22-01 |
ИЗЛУЧЕНИЕ | RADIATION | IEC 60601-1-3:2008, 3.53 |
ИЗЛУЧЕНИЕ АФОКАЛЬНОЕ | EXTRA-FOCAL RADIATION | IEC (МЭК) 60601-1-3:2008, 3.22, rm-11-11 |
ИЗЛУЧЕНИЕ НЕИСПОЛЬЗУЕМОЕ | STRAY RADIATION | IEC 60601-1-3:2008, 3,75 |
ИЗЛУЧЕНИЕ ОСТАТОЧНОЕ | RESIDUAL RADIATION | IEC 60601-1-3:2008, 3.72, rm-11-14 |
ИЗЛУЧЕНИЕ РАССЕЯННОЕ | SCATTERED RADIATION | IEC 60601-1-3:2008, 3.73, rm-11-13 |
ИЗЛУЧЕНИЕ РЕНТГЕНОВСКОЕ | X-RAY BEAM | IEC 60601-1-3:2008, 3.55 |
ИЗЛУЧЕНИЕ УТЕЧКИ | LEAKEGE RADIATION | IEC 60601-1-3:2008, 3.33, rm-11-15 |
ИНТРАОРАЛЬНЫЙ | INTRA-ORAL | |
ИСТОЧНИК ПИТАНИЯ ВНУТРЕННИЙ | INTERNALLY POWERED | IEC 60601-1:2005, 3.46 |
КАЧЕСТВО ИЗЛУЧЕНИЯ | RADIATION QUALITY | IEC 60601-1-3:2008, 3.60, rm-13-28 |
КЕРМА ВОЗДУШНАЯ | AIR KERMA | IEC (МЭК) 60601-1-3:2008, 3.4 |
КОЖУХ РЕНТГЕНОВСКОЙ ТРУБКИ | X-RAY TUBE HOUSING | IEC 60601-1-3:2008, 3,86, rm-22-02 |
МЕНЕДЖМЕНТ РИСКА (УПРАВЛЕНИЕ РИСКОМ) | RISK MANAGEMENT | IEC 60601-1:2005, 3.107 |
МОНОБЛОК РЕНТГЕНОВСКИЙ | X-RAY MONOBLOCK ASSEMBLY | |
МОЩНОСТЬ ВОЗДУШНОЙ КЕРМЫ | AIR KERMA RATE | IEC (МЭК) 60601-1-3:2008, 3.5 |
МОЩНОСТЬ ЭЛЕКТРИЧЕСКАЯ НОМИНАЛЬНАЯ | NOMINAL ELECTRIC POWER | IEC/TR 60788:2004, rm-36-19 |
НАГРУЗКА | LOADING | IEC 60601-1-3:2008, 3.34, rm-36-09 |
НАПРЯЖЕНИЕ АНОДНОЕ | X-RAY TUBE VOLTAGE | IEC 60601-1-3:2008, 3.88, rm-36-02 |
НАПРЯЖЕНИЕ АНОДНОЕ НОМИНАЛЬНОЕ | NOMINAL X-RAY TUBE VOLYAGE | IEC 60601-1-3:2008, 3.42, rm-36-03 |
НАПРЯЖЕНИЕ ВЫСОКОЕ | HIGH VOLTAGE | IEC 60601-1:2005, 3.41 |
НАПРЯЖЕНИЕ СЕТЕВОЕ | MAINS VOLTAGE | IEC 60601-1:2005, 3.54 |
НОМИНАЛЬНОЕ (ЗНАЧЕНИЕ) | NOMINAL (value) | IEC 60601-1:2005, 3,69 |
НОРМИРОВАННОЕ (ЗНАЧЕНИЕ) | RATED (value) | IEC 60601-1:2005, 3.97 |
ОБЛУЧЕНИЕ | IRRADIATION | IEC 60601-1-3:2008, 3.30, rm-12-09 |
ОБОЗНАЧЕНИЕ МОДЕЛИ ТИПА (НОМЕР ТИПА) | MODEL OR TYPE REFERENCE | IEC 60601-1:2005, 3.66 |
ОКНО РАДИАЦИОННОЕ (АПЕРТУРА) | RADIATION APERTURE | IEC 60601-1-3:2008, 3,54 |
ОПАСНОСТЬ | HAZARD | IEC 60601-1:2005, 3.39 |
ОПАСНОСТЬ МЕХАНИЧЕСКАЯ | MECHANICAL HAZARD | IEC 60601-1:2005, 3,61 |
ОПЕРАТОР | OPERATOR | IEC 60601-1:2005, 3.73, rm-85-02 |
ОРГАНИЗАЦИЯ ОТВЕТСТВЕННАЯ | RESPONSIBLE ORGANIZATION | IEC 60601-1:2005, 3.101 |
ОСЛАБЛЕНИЕ | ATTENUATION | IEC (МЭК) 60601-1-3:2008, 3.7, rm-12-08 |
ОСЬ ОПОРНАЯ | REFERENCE AXIS | IEC/TR 60788:2004, rm-37-03 |
ОСЬ ПУЧКА ИЗЛУЧЕНИЯ | RADIATION BEAM AXIS | IEC/TR 60788:2004, rm-37-06 |
ОСЬ РЕНТГЕНОВСКОГО ИЗЛУЧЕНИЯ | X-RAY BEAM AXIS | IEC/TR 60788:2004, rm-37-06 |
ПАРАМЕТР НАГРУЗКИ | LOADING FACTOR | IEC 60601-1-3:2008, 3.35, rm-36-01 |
| | ИС МЕГАНОРМ: примечание. Здесь и далее в официальном тексте документа, видимо, допущена опечатка: стандарт имеет номер ГОСТ Р МЭК 60601-1-2010, а не ГОСТ Р МЭК 60601-1:2006. | |
|
ПАРАМЕТРЫ ФУНДАМЕНТАЛЬНЫЕ (РАБОЧИЕ ХАРАКТЕРИСТИКИ) | ESSENTIAL PERFORMANCE | ГОСТ Р МЭК 60601-1:2006, 3.27 |
ПАЦИЕНТ | PATIENT | IEC 60601-1:2005, 3.76, rm-62-03 |
ПЕРЕДВИЖНОЕ | MOBILE | IEC 60601-1:2005, 3.65 |
ПРИСПОСОБЛЕНИЕ ЗАЩИТНОЕ | PROTECTIVE DEVICE | IEC 60601-1-3:2008, 3.50, rm-64-05 |
ПОВЕРХНОСТЬ ПРИЕМНИКА ИЗОБРАЖЕНИЯ | EFFECTIVE IMAGE RECEPTION AREA | IEC (МЭК) 60601-1-3:2008, 3.20, rm-37-16 |
ПОВЕРХНОСТЬ ПРИЕМНИКА ИЗОБРАЖЕНИЯ | IMAGE RECEPTION AREA | IEC 60601-1-3:2008, 3.28, rm-37-16 |
ПОЛЕ РЕНТГЕНОВСКОЕ | X-RAY FIELD | IEC 60601-1-3:2008, 3.58 |
ПРИЕМНИК РЕНТГЕНОВСКОГО ИЗОБРАЖЕНИЯ | X-RAY IMAGE RECEPTOR | IEC 60601-1-3:2008, 3.81, rm-32-29 |
ПРИЕМНИК РЕНТГЕНОВСКОГО ИЗОБРАЖЕНИЯ ЦИФРОВОЙ | DIGITAL X-RAY IMAGING DEVICE | ГОСТ Р МЭК 62220-1:2006, 3.5 |
ПРИЕМНИК РЕНТГЕНОВСКОГО ИЗОБРАЖЕНИЯ ЭЛЕКТРОННЫЙ | ELECTRONIC X-RAY IMAGE RECEPTOR | |
ПРИМЕНЕНИЕ ПРЕДУСМОТРЕННОЕ (НАЗНАЧЕНИЕ) | INTENDED USE | IEC 60601-1:2005, 3.44 |
ПРОИЗВЕДЕНИЕ ДОЗЫ НА ПЛОЩАДЬ | DOSE AREA PRODUCT | |
ПРОИЗВЕДЕНИЕ ТОК-ВРЕМЯ | CURRENT TIME PRODUCT | IEC (МЭК) 60601-1-3:2008, 3.16, rm-36-13 |
ПРОЦЕДУРА | PROCEDURE | IEC 60601-1:2005, 3.88 |
ПУЛЬТ УПРАВЛЕНИЯ | CONTROL PANEL | IEC (МЭК) 60601-1-3:2008, 3.14, rm-83-02 |
ПУЧОК ИЗЛУЧЕНИЯ | RADIATION BEAM | IEC/TR 60788:2004, rm-37-05 |
ПЯТНО ФОКУСНОЕ ЭФФЕКТИВНОЕ | FOCAL SPOT | IEC/TR 60788:2004, rm-20-13s |
РАДИОЛОГИЧЕСКИЙ | RADIOLOGICAL | IEC 60601-1-3:2008, 3.65, rm-40-02 |
РАЗМЕР ВЫХОДНОГО ПОЛЯ | EXIT FIELD SIZE | |
РАЗЪЕМ КАБЕЛЬНЫЙ ВЫСОКОВОЛЬТНЫЙ | HIGH-VOLTAGE CABLE CONNECTION | IEC/TR 60788:2004, rm-20-18 |
РАССТОЯНИЕ ФОКУС-КОЖА | FOCAL SPOT TO SKIN DISTANCE | IEC 60601-1-3:2008, 3.26, rm-37-12 |
РЕЖИМ РАБОТЫ | MODE OF OPERATION | IEC 60601-1-3:2008, 3.40 |
РЕНТГЕНОВСКОЕ (ИЗДЕЛИЕ) | X-RAY | IEC 60601-1-3:2008, 3.53 |
РЕНТГЕНОГРАФИЯ | RADIOGRAPHY | IEC 60601-1-3:2008, 3.64, rm-41-06 |
РИСК | RISK | IEC 60601-1:2005, 3.102 |
РПУ ДВУХПОЛУПЕРИОДНОЕ | TWO-PEAK HIGH VOLTAGE GENERATOR | |
РПУ ОДНОПОЛУПЕРИОДНОЕ | ONE-PEAK HIGH VOLTAGE GENERATOR | |
| CONSTANT POTENTIAL | IEC/TR 60788: 2004, rm-21-06 |
РПУ ПОСТОЯННОГО НАПРЯЖЕНИЯ | HIGH-VOLTAGE GENERATOR | |
РУЧНОЕ (ИЗДЕЛИЕ) | HAND-HELD | IEC 60601-1:2005, 3.37 |
СЕТЬ ПИТАЮЩАЯ | SUPPLY MAINS | IEC 60601-1:2005, 3.120 |
СИСТЕМА АВТОМАТИЧЕСКОГО УПРАВЛЕНИЯ | AUTOMATIC CONTROL SYSTEM | IEC (МЭК) 60601-1-3:2008, 3.9, rm-36-45 |
СИСТЕМА ЭЛЕКТРИЧЕСКАЯ МЕДИЦИНСКАЯ (ME СИСТЕМА) | MEDICAL ELECTRICAL SYSTEM (ME SYSTEM) | IEC 60601-1:2005, 3.64 |
СИТУАЦИЯ ОПАСНАЯ | HAZARDOUS SITUATION | IEC 60601-1:2005, 3.40 |
СЛОЙ ПОЛОВИННОГО ОСЛАБЛЕНИЯ | HALF-VALUE LAYER | IEC 60601-1-3:2008, 3.27, rm-13-42 |
СОПРОТИВЛЕНИЕ ПИТАНИЯ КАЖУЩЕЕСЯ | APPARENT RESISTANCE OF SUPPLY MAINS | IEC/TR 60788: 2004, rm-36-16 |
СОСТОЯНИЕ ГОТОВНОСТИ | READY STATE | IEC/TR 60788:2004, rm-84-05 |
СОСТОЯНИЕ НАГРУЗОЧНОЕ | LOADING STATE | IEC 60601-1-3:2008, 3.36, rm-36-40 |
СОСТОЯНИЕ НОРМАЛЬНОЕ | NORMAL CONDITION | IEC 60601-1:2005, 3.70 |
СРЕДА (ОКРУЖАЮЩАЯ) ПАЦИЕНТА | PATIENT ENVIRONMENT | IEC 60601-1:2005, 3.79 |
СРЕДСТВА ЗАЩИТЫ (MOP) | MEANS OF PROTECTION (MOP) | IEC 60601-1:2005, 3.60 |
СРЕДСТВО ЗАЩИТНОЕ | PROTECRIVE SHIELDING | IEC 60601-1-3:2008, 3.51, rm-64-01 |
ТОК АНОДНЫЙ | X-RAY TUBE CURRENT | IEC 60601-1-3:2008, 3.85, rm-36-07 |
ТОК В ЦЕПИ ПАЦИЕНТА ДОПОЛНИТЕЛЬНЫЙ (ВСПОМОГАТЕЛЬНЫЙ) | PATIENT AUXILIARY CURRENT | IEC 60601-1:2005, 3.77 |
ТОК УТЕЧКИ | LEAKAGE CURRENT | IEC 60601-1:2005, 3.47 |
ТОК УТЕЧКИ НА ДОСТУПНУЮ ЧАСТЬ | TOUCH CURRENT | IEC 60601-1:2005, 3.129 |
ТОК УТЕЧКИ НА ЗЕМЛЮ | EARTH LEAKAGE CURRENT | ГОСТ Р МЭК 60601-1:2006, 3.25 |
ТРАНСПОРТИРУЕМОЕ (ИЗДЕЛИЕ) | TRANSPORTABLE | IEC 60601-1:2005, 3.130 |
ТРУБКА РЕНТГЕНОВСКАЯ | X-RAY TUBE | IEC 60601-1-3:2008, 3.83, rm-22-03 |
УГОЛ МИШЕНИ | TARGET ANGLE | IEC/TR 60788:2004, rm-20-11 |
УПРАВЛЕНИЕ ЭКСПОЗИЦИОННОЙ ДОЗОЙ АВТОМАТИЧЕСКОЕ | AUTOMATIC EXPOSURE CONTROL | IEC (МЭК) 60601-1-3:2008, 3.10, rm-36-46 |
УСТРОЙСТВО БЛОКИРУЮЩЕЕ | INTERLOCK | |
УСТРОЙСТВО ДЛЯ ПОЛУЧЕНИЯ РЕНТГЕНОВСКОГО ИЗОБРАЖЕНИЯ | X-RAY IMAGING ARRANGEMENT | IEC 60601-1-3:2008, 3.80, rm-20-21 |
УСЛОВИЕ ЕДИНИЧНОГО НАРУШЕНИЯ | SINGLE FAULT CONDITION | IEC 60601-1:2005, 3.116, rm-11-12 |
УСТРОЙСТВО ЗАЩИТНОЕ МЕХАНИЧЕСКОЕ | MECHANICAL PROTECTIVE DEVICE | IEC 60601-1:2005, 3.62 |
УСТРОЙСТВО ПИТАЮЩЕЕ РЕНТГЕНОВСКОЕ (РПУ) | HIGH-VOLTAGE GENERATOR | IEC/TR 60788:2004, rm-21-01 |
УСТРОЙСТВО ФОРМИРОВАНИЯ ПУЧКА | BEAM LIMITING DEVICE | IEC (МЭК) 60601-1-3:2008, 3.11, rm-37-28 |
ФАЙЛ МЕНЕДЖМЕНТА РИСКА (ДОКУМЕНТАЦИЯ ПО УПРАВЛЕНИЮ РИСКОМ) | RISK MANAGEMENT FILE | IEC 60601-1:2005, 3.108 |
ФИЛЬТРАЦИЯ | FILTRATION | IEC (МЭК) 60601-1-3:2008, 3.24, rm-12-11 |
ФИЛЬТРАЦИЯ ДОПОЛНИТЕЛЬНАЯ | ADDITIONAL FILTRATION | IEC (МЭК) 60601-1-3:2008, 3.3 |
ФИЛЬТРАЦИЯ ОБЩАЯ | TOTAL FILTRATION | IEC 60601-1-3:2008, 3.77, rm-13-48 |
ЧАСТЬ РАБОЧАЯ | APPLIED PART | ГОСТ Р МЭК 60601-1:2010, 3.8 |
ЧАСТЬ СЕТЕВАЯ | MAINS PART | IEC 60601-1:2005, 3.49 |
ЭКСПЛУАТАЦИЯ НОРМАЛЬНАЯ (ИСПОЛЬЗОВАНИЕ) | NORMAL USE | IEC 60601-1:2005, 3.71, rm-82-04 |
ЭКСТРАОРАЛЬНОЕ | EXTRA-ORAL | |