Главная // Актуальные документы // ГОСТ Р (Государственный стандарт)СПРАВКА
Источник публикации
М.: Стандартинформ, 2015
Примечание к документу
Текст данного документа приведен с учетом
поправки, опубликованной в "ИУС", N 3, 2020.
Документ
введен в действие с 1 января 2016 года.
Название документа
"ГОСТ Р МЭК 60601-2-45-2014. Национальный стандарт Российской Федерации. Изделия медицинские электрические. Часть 2-45. Частные требования безопасности с учетом основных функциональных характеристик к маммографическим рентгеновским аппаратам и маммографическим устройствам для стереотаксиса"
(утв. и введен в действие Приказом Росстандарта от 12.12.2014 N 2077-ст)
"ГОСТ Р МЭК 60601-2-45-2014. Национальный стандарт Российской Федерации. Изделия медицинские электрические. Часть 2-45. Частные требования безопасности с учетом основных функциональных характеристик к маммографическим рентгеновским аппаратам и маммографическим устройствам для стереотаксиса"
(утв. и введен в действие Приказом Росстандарта от 12.12.2014 N 2077-ст)
Утвержден и введен в действие
по техническому регулированию
и метрологии
от 12 декабря 2014 г. N 2077-ст
НАЦИОНАЛЬНЫЙ СТАНДАРТ РОССИЙСКОЙ ФЕДЕРАЦИИ
ИЗДЕЛИЯ МЕДИЦИНСКИЕ ЭЛЕКТРИЧЕСКИЕ
ЧАСТЬ 2-45
ЧАСТНЫЕ ТРЕБОВАНИЯ БЕЗОПАСНОСТИ С УЧЕТОМ ОСНОВНЫХ
ФУНКЦИОНАЛЬНЫХ ХАРАКТЕРИСТИК К МАММОГРАФИЧЕСКИМ
РЕНТГЕНОВСКИМ АППАРАТАМ И МАММОГРАФИЧЕСКИМ УСТРОЙСТВАМ
ДЛЯ СТЕРЕОТАКСИСА
Medical electrical equipment. Part 2-45. Particular
requirements for the basic safety and essential performance
of mammographic X-ray equipment and mammographic
stereotactic devices
IEC 60601-2-45:2011
Medical electrical equipment - Part 2-45: Particular
requirements for the basic safety and essential performance
of mammographic X-ray equipment and mammographic
stereotactic devices
(IDT)
ГОСТ Р МЭК 60601-2-45-2014
Дата введения
1 января 2016 года
1. Подготовлен Обществом с ограниченной ответственностью "Медтехстандарт" (ООО "Медтехстандарт") на основе собственного аутентичного перевода на русский язык международного стандарта, указанного в пункте 4.
2. Внесен Техническим комитетом по стандартизации ТК 011 "Медицинские приборы, аппараты и оборудование".
3. Утвержден и введен в действие
Приказом Федерального агентства по техническому регулированию и метрологии от 12 декабря 2014 г. N 2077-ст.
4. Настоящий стандарт идентичен международному стандарту МЭК 60601-2-45:2011 "Изделия медицинские электрические. Часть 2-45. Частные требования безопасности с учетом основных функциональных характеристик к маммографическим рентгеновским аппаратам и маммографическим устройствам для стереотаксиса" (IEC 60601-2-45:2011 "Medical electrical equipment - Part 2-45: Particular requirements for the basic safety and essential performance of mammographic X-ray equipment and mammographic stereotactic devices").
При применении настоящего стандарта рекомендуется использовать вместо ссылочных международных стандартов соответствующие им национальные стандарты Российской Федерации и действующие в этом качестве межгосударственные стандарты, сведения о которых приведены в дополнительном
Приложении ДА.
5. Введен впервые.
1. Правила применения настоящего стандарта установлены в ГОСТ Р 1.0-2012
(раздел 8). Информация об изменениях к настоящему стандарту публикуется в ежегодном (по состоянию на 1 января текущего года) информационном указателе "Национальные стандарты", а официальный текст изменений и поправок - в ежемесячном информационном указателе "Национальные стандарты". В случае пересмотра (замены) или отмены настоящего стандарта соответствующее уведомление будет опубликовано в ближайшем выпуске информационного указателя "Национальные стандарты". Соответствующая информация, уведомление и тексты размещаются также в информационной системе общего пользования - на официальном сайте Федерального агентства по техническому регулированию и метрологии в сети Интернет (gost.ru).
Настоящее третье издание данного частного стандарта разработано для нормализации требований безопасности, основанных на стандарте МЭК 60601-1:2005 (третье издание) и его дополнениях. Настоящий частный стандарт применяется для маммографического рентгеновского аппарата, состоящего из рентгеновского генератора, соответствующего оборудования и принадлежностей. Функции составных частей указывают по мере необходимости.
Минимальные требования безопасности, содержащиеся в настоящем частном стандарте, должны обеспечивать практическую безопасность эксплуатации маммографического рентгеновского аппарата.
Как и предыдущее издание части 2-45, настоящее третье издание содержит требования к высоковольтным генераторам для маммографии.
Знак звездочки (*), помещенный после номера пункта или подпункта, указывает на то, что в
Приложении AA приведены пояснения требований настоящего частного стандарта.
201.1. Область применения, цель и взаимосвязь
с другими стандартами
Применяют раздел 1 общего стандарта <*>, за исключением:
--------------------------------
<*> МЭК 60601-1:2005 "Изделия медицинские электрические. Часть 1. Общие требования безопасности с учетом основных функциональных характеристик" (IEC 60601-1:2005, Medical electrical equipment - Part 1: General requirements for basic safety and essential performance) (далее - общий стандарт).
201.1.1.* Область применения
Дополнение:
Настоящий стандарт устанавливает требования безопасности, предъявляемые к МАММОГРАФИЧЕСКИМ РЕНТГЕНОВСКИМ АППАРАТАМ и МАММОГРАФИЧЕСКИМ УСТРОЙСТВАМ ДЛЯ СТЕРЕОТАКСИСА, именуемым далее как МЭ ИЗДЕЛИЕ.
Примечание 1. МАММОГРАФИЧЕСКИЙ РЕНТГЕНОВСКИЙ АППАРАТ включает встроенный цифровой ПРИЕМНИК РЕНТГЕНОВСКОГО ИЗОБРАЖЕНИЯ или встроенные системы, основанные на применении стимулируемых люминофоров.
Требования настоящего стандарта не распространяются:
- на режим работы реконструкционной томографии;
- диагностические консоли;
- системы архивирования изображения и коммуникаций;
- системы обработки изображений, основанные на стимулируемых люминофорах;
- камеры для получения твердых копий;
- пленки, экраны и кассеты;
- системы автоматизированного обнаружения;
- устройства для производства биопсии и другие биопсийные инструменты;
- режимы работы, предназначенные для демонстрации локального контраста (цифровая маммография с выделением контраста).
Если пункт или подпункт настоящего стандарта применим только для МЭ ИЗДЕЛИЯ или МЭ СИСТЕМ, это должно быть указано в соответствующем пункте или подпункте. Если не указано, соответствующий пункт или подпункт относится как к МЭ ИЗДЕЛИЮ, так и к МЭ СИСТЕМАМ.
Примечание 2. Требования МЭК 60601-2-7 и МЭК 60601-2-32 не являются частью третьего издания и не распространяются на МАММОГРАФИЧЕСКИЕ РЕНТГЕНОВСКИЕ АППАРАТЫ И МАММОГРАФИЧЕСКИЕ УСТРОЙСТВА ДЛЯ СТЕРЕОТАКСИСА.
201.1.2. Цель
Замена:
Целью настоящего частного стандарта является выполнение условий ОСНОВНОЙ БЕЗОПАСНОСТИ с учетом ОСНОВНЫХ ФУНКЦИОНАЛЬНЫХ ХАРАКТЕРИСТИК МАММОГРАФИЧЕСКОГО РЕНТГЕНОВСКОГО АППАРАТА и МАММОГРАФИЧЕСКИХ УСТРОЙСТВ ДЛЯ СТЕРЕОТАКСИСА для обеспечения безопасности, указания методов для демонстрации соблюдения этих требований и обеспечения рекомендаций для МЕНЕДЖМЕНТА РИСКА.
201.1.3. Дополнительные стандарты
Дополнение:
Настоящий стандарт использует дополнительные стандарты, указанные в разделе 2 общего стандарта и в
подразделе 201.2 настоящего стандарта.
МЭК 60601-1-2 и МЭК 60601-1-3 применяются, как указано в
разделах 202 и
203 соответственно. МЭК 60601-1-8, МЭК 60601-1-9, МЭК 60601-1-10 и МЭК 60601-1-11 не применяются <*>.
--------------------------------
<*> МЭК 60601-1-9:2007 "Изделия медицинские электрические. Часть 1-9. Общие требования безопасности с учетом основных функциональных характеристик. Дополнительный стандарт. Требования к экологически безопасной конструкции" (IEC 60601-1-9:2007, Medical electrical equipment - Part 1-9: General requirements for basic safety and essential performance - Collateral Standard: Requirements for environmentally conscious design).
МЭК 60601-1-10:2007 "Изделия медицинские электрические. Часть 1-10. Общие требования безопасности с учетом основных функциональных характеристик. Дополнительный стандарт. Требования к разработке физиологических замкнутых контроллеров" (IEC 60601-1-10:2007, Medical electrical equipment - Part 1-10: General requirements for basic safety and essential performance - Collateral Standard: Requirements for the development of physiologic closed-loop controllers).
МЭК 60601-1-11:2010 "Изделия медицинские электрические. Часть 1-11. Общие требования безопасности с учетом основных функциональных характеристик. Дополнительный стандарт. Требования к медицинскому оборудованию и системам, используемым для ухода за больными в домашней среде" (IEC 60601-1-11:2010, Medical electrical equipment - Part 1-11: General requirements for basic safety and essential performance - Collateral Standard: Requirements for medical electrical equipment and medical electrical systems used in the home healthcare environment).
201.1.4. Частные стандарты
Замена:
В серии стандартов МЭК 60601 частные стандарты могут изменять, заменять или отменять требования, содержащиеся в общем стандарте и дополнительных стандартах для рассматриваемого определенного МЭ ИЗДЕЛИЯ, и могут добавлять другие требования ОСНОВНОЙ БЕЗОПАСНОСТИ и ОСНОВНЫХ ФУНКЦИОНАЛЬНЫХ ХАРАКТЕРИСТИК.
Требования настоящего частного стандарта являются приоритетными по отношению к требованиям общего стандарта.
Для краткости в настоящем частном стандарте МЭК 60601-1 называется "общий стандарт". Дополнительные стандарты обозначаются их номерами.
Нумерация пункта и подпункта настоящего частного стандарта соответствует нумерации общего стандарта с добавлением перед номером "201" (например, 201.1 в настоящем стандарте адресует к содержанию раздела 1 общего стандарта) или в применимом дополнительном стандарте с добавлением перед номером "20x", где "x" является последней(ими) цифрой(ами) номера дополнительного стандарта (например, 202.4 в настоящем стандарте адресует к содержанию раздела 4 дополнительного стандарта МЭК 60601-1-2, 203.4 в настоящем стандарте адресует к содержанию раздела 4 дополнительного стандарта МЭК 60601-1-3 и т.д.). Изменения текста общего стандарта в настоящем стандарте введены с использованием следующих слов:
- "Замена" означает, что требования пункта или подпункта общего стандарта или дополнительного стандарта полностью заменены требованиями настоящего стандарта;
- "Дополнение" означает, что требования настоящего стандарта дополняют требования общего стандарта или дополнительного стандарта;
- "Изменение" означает, что требования пункта или подпункта общего стандарта или дополнительного стандарта изменены в соответствии с указанными в настоящем стандарте.
Подпункты, рисунки и таблицы, которые дополняют подпункты, рисунки и таблицы общего стандарта, пронумерованы начиная с 201.101. Однако в связи с тем, что в основном стандарте определения терминов обозначены цифрами от 3.1 до 3.139, в настоящем стандарте дополнительные определения пронумерованы начиная с 201.3.201. Дополнительные Приложения обозначены как AA, BB и т.д., а дополнительные перечисления - aa), bb) и т.д.
Подпункты, рисунки и таблицы, которые дополняют подпункты, рисунки и таблицы дополнительного стандарта, пронумерованы начиная с 20x, где "x" является последней(ими) цифрой(ами) номера дополнительного стандарта (например, 202 для МЭК 60601-1-2, 203 для МЭК 60601-1-3 и т.д.).
Термин "настоящий стандарт" использован для ссылок на общий стандарт, любые применимые дополнительные стандарты и настоящий частный стандарт, взятые вместе.
В случае отсутствия соответствующего пункта или подпункта в настоящем стандарте применяют без изменений соответствующий пункт или подпункт общего стандарта или применимого дополнительно стандарта, даже если он не имеет прямого отношения; условия неприменимости любого пункта или подпункта общего стандарта или применимого дополнительного стандарта указаны в настоящем стандарте.
201.2. Нормативные ссылки
Примечание. Информативные ссылки перечислены в Библиографии на стр. 37.
Применяют раздел 2 общего стандарта, за исключением:
Замена:
МЭК 60601-1-2:2007 Изделия медицинские электрические. Часть 1-2. Общие требования безопасности с учетом основных функциональных характеристик. Параллельный стандарт. Электромагнитная совместимость. Требования и испытания (IEC 60601-1-2:2007, Medical electrical equipment - Part 1-2: General requirements for basic safety and essential performance - Collateral standard: Electromagnetic compatibility - Requirements and tests)
МЭК 60601-1-3:2008 Изделия медицинские электрические. Часть 1-3. Общие требования безопасности с учетом основных функциональных характеристик. Дополнительный стандарт. Защита от излучения в диагностических рентгеновских аппаратах (IEC 60601-1-3:2008, Medical electrical equipment - Part 1-3: General requirements for basic safety and essential performance - Collateral Standard: Radiation protection in diagnostic X-ray equipment)
Дополнение:
МЭК 60336:2005 Изделия медицинские электрические. Излучатели медицинские рентгенодиагностические. Характеристики фокусных пятен (IEC 60336:2005, Medical electrical equipment - X-ray tube assemblies for medical diagnosis - Characteristics of focal spots)
МЭК 60613:2010 Электрические и нагрузочные характеристики кожухов рентгеновских трубок для медицинской диагностики (IEC 60613:2010, Electrical and loading characteristics of X-ray tube assemblies for medical diagnosis)
МЭК/ТО 60788:2004 Изделия медицинские электрические. Словарь (IEC/TR 60788:2004, Medical electrical equipment - Glossary of defined terms)
МЭК 61223-3-2:2007 Оценка и контроль эксплуатационных параметров рентгеновской аппаратуры в отделениях (кабинетах) рентгенодиагностики. Часть 3-2. Приемочные испытания. Характеристики изображений рентгеновских аппаратов для маммографии (IEC 61223-3-2:2007, Evaluation and routine testing in medical imaging departments - Part 3-2: Acceptance tests - Imaging performance of mammographic X-ray equipment)
МЭК 62220-1-2:2007 Изделия медицинские электрические. Характеристики устройств для получения цифровых рентгеновских изображений. Часть 1-2. Определение квантовой эффективности регистрации. Детекторы, используемые при маммографии (IEC 62220-1-2:2007, Medical electrical equipment - Characteristics of digital X-ray imaging devices - Part 1-2: Determination of the detective quantum efficiency - Detectors used in mammography)
ИСО 9236:1999 Сенситометрия систем экран/пленка для медицинской рентгенографии. Часть 3. Определение формы характеристической кривой, чувствительности и среднего градиента для маммографии (ISO 9236-3:1999, Photography - Sensitometry of screen/film systems for medical radiography - Part 3: Determination of sensitometric curve shape, speed and average gradient for mammography)
201.3. Термины и определения
В настоящем стандарте применены термины с соответствующими определениями, приведенными в МЭК 60601-1, МЭК 60601-1-3 и МЭК/ТО 60788, за исключением:
Примечание. Алфавитный указатель терминов приведен начиная со стр. 38.
Дополнение:
201.3.201. ДОПУСТИМОЕ СОПРОТИВЛЕНИЕ ПИТАЮЩЕЙ СЕТИ (APPARENT RESISTANCE OF SUPPLY MAINS): Сопротивление питающей сети для заданных условий нагрузки.
201.3.202. СРЕДНЯЯ ПОГЛОЩЕННАЯ ДОЗА, СПД (AVERAGE GLANDULAR DOSE, AGD): В маммографии среднее значение поглощенной дозы в железистой ткани (исключая кожу) равномерно компримированной молочной железы известного состава, полученной с помощью специального расчетного метода.
[МЭК 61223-3-2:2007, определение 3.7]
Примечание. Термины "СРЕДНЕЕ ЗНАЧЕНИЕ ПОГЛОЩЕННОЙ ДОЗЫ" и "средняя поглощенная доза" идентичны в литературе.
201.3.203. УСТРОЙСТВО ДЛЯ КОМПРЕССИИ МОЛОЧНОЙ ЖЕЛЕЗЫ (BREAST COMPRESSION DEVICE): Устройство для создания давления на молочную железу ПАЦИЕНТКИ во время исследования или воздействия.
201.3.204. ДЕФЕКТНЫЙ ЭЛЕМЕНТ ДЕТЕКТОРА (DEFECTIVE DETECTOR ELEMENT): Элемент ПРИЕМНИКА РЕНТГЕНОВСКОГО ИЗОБРАЖЕНИЯ, реакция которого находится вне диапазона, который должен соответствовать значению ВОЗДУШНОЙ КЕРМЫ или который соответствует чрезмерному уровню ШУМА.
201.3.205. ПРЯМОЕ ФОКУСНОЕ РАССТОЯНИЕ (DIRECT FOCAL DISTANCE): В маммографии кратчайшее достижимое расстояние от ФОКУСНОГО ПЯТНА до ПОВЕРХНОСТИ ПРИЕМНИКА ИЗОБРАЖЕНИЯ.
201.3.206. МАММОГРАФИЧЕСКОЕ УСТРОЙСТВО ДЛЯ СТЕРЕОТАКСИСА (MAMMOGRAPHIC STEREOTACTIC DEVICE): Устройство для трехмерной локализации точки внутри молочной железы и для механического наведения иглы или позиционного маркера при аспирации, биопсии и предхирургической локализации, основанных на рентгеновских изображениях неподвижной молочной железы, полученных под определенными заданными углами.
Примечание. Такое устройство может быть специализированной системой или принадлежностью МАММОГРАФИЧЕСКОГО РЕНТГЕНОВСКОГО АППАРАТА.
201.3.207. МАММОГРАФИЧЕСКИЙ РЕНТГЕНОВСКИЙ АППАРАТ (MAMMOGRAPHIC X-RAY EQUIPMENT): РЕНТГЕНОВСКИЙ АППАРАТ, ПРЕДУСМОТРЕННЫМ НАЗНАЧЕНИЕМ которого является получение изображений молочной железы.
201.3.208. ИСХОДНЫЕ ДАННЫЕ, ИД (ORIGINAL DATA, DN): Необработанные данные, по которым ведется коррекция в соответствии с настоящим стандартом.
[МЭК 62220-1-2:2007, определение 3.11]
Примечание. Термин "настоящий стандарт" в данном случае относится к МЭК 62220-1-2.
201.3.209. НЕОБРАБОТАННЫЕ ДАННЫЕ (RAW DATA): Значения сигнала пикселей непосредственно после аналого-цифрового преобразования с выхода цифрового преобразователя рентгеновского изображения или число фотонов системы считывания без программных коррекций.
[МЭК 62220-1-2:2007, определение 3.13]
Применяют раздел 4 общего стандарта, за исключением:
201.4.3. ОСНОВНЫЕ ФУНКЦИОНАЛЬНЫЕ ХАРАКТЕРИСТИКИ
Дополнение:
201.4.3.101.* Дополнительные требования к ОСНОВНЫМ ФУНКЦИОНАЛЬНЫМ ХАРАКТЕРИСТИКАМ
Дополнительные требования к ОСНОВНЫМ ФУНКЦИОНАЛЬНЫМ ХАРАКТЕРИСТИКАМ изложены в таблице 201.101.
Таблица 201.101
Требования, предъявляемые к ОСНОВНЫМ ФУНКЦИОНАЛЬНЫМ
ХАРАКТЕРИСТИКАМ
Требование | Подпункт |
Точность ПАРАМЕТРОВ НАГРУЗКИ | |
СИСТЕМА АВТОМАТИЧЕСКОГО УПРАВЛЕНИЯ | |
Характеристики изображения | |
Невизуализированные ткани со стороны грудной клетки | |
| | ИС МЕГАНОРМ: примечание. В официальном тексте документа, видимо, допущена опечатка: пункт 203.8.5.4.103 в тексте документа отсутствует. Возможно, имеется в виду пункт 203.8.5.4.102. | |
|
УСТРОЙСТВО ДЛЯ КОМПРЕССИИ МОЛОЧНОЙ ЖЕЛЕЗЫ | |
Линейность ВОЗДУШНОЙ КЕРМЫ в заданных интервалах ПАРАМЕТРОВ НАГРУЗКИ | |
Воспроизводимость выхода РЕНТГЕНОВСКОГО ИЗЛУЧЕНИЯ | |
201.4.10.2. ПИТАЮЩАЯ СЕТЬ для МЭ ИЗДЕЛИЯ и МЭ СИСТЕМ
Дополнение:
Собственное сопротивление ПИТАЮЩЕЙ СЕТИ должно быть достаточно малым, чтобы обеспечить функционирование МАММОГРАФИЧЕСКОГО РЕНТГЕНОВСКОГО АППАРАТА. Это имеет место, если ДОПУСТИМОЕ СОПРОТИВЛЕНИЕ питающей сети не превышает значения, указанного в ЭКСПЛУАТАЦИОННЫХ ДОКУМЕНТАХ.
ДОПУСТИМОЕ СОПРОТИВЛЕНИЕ ПИТАЮЩЕЙ СЕТИ и другие требования к ПИТАЮЩИМ СЕТЯМ должны быть указаны в ЭКСПЛУАТАЦИОННЫХ ДОКУМЕНТАХ.
МАММОГРАФИЧЕСКИЙ РЕНТГЕНОВСКИЙ АППАРАТ удовлетворяет требованиям настоящего стандарта, только если его НОМИНАЛЬНАЯ мощность может быть достигнута при ДОПУСТИМОМ СОПРОТИВЛЕНИИ ПИТАЮЩЕЙ сети, не меньшем, чем указано ИЗГОТОВИТЕЛЕМ в ЭКСПЛУАТАЦИОННЫХ ДОКУМЕНТАХ.
Примечание. Если указано НОМИНАЛЬНОЕ напряжение питающей сети, это означает, что отсутствует более высокое значение напряжения между любыми проводниками электрической схемы или между проводниками и землей.
На практике применяется синусоидальное напряжение, если форма напряжения в каждый момент отличается от идеальной не более чем на +/- 2%.
Предполагается, что трехфазная ПИТАЮЩАЯ СЕТЬ является практически симметричной, если она обеспечивает симметричное напряжение и при симметричной нагрузке обеспечивает симметричные токи.
Требования настоящего стандарта основаны на предположении, что трехфазные системы имеют симметричную конфигурацию СЕТЕВОГО НАПРЯЖЕНИЯ относительно земли. Однофазные системы могут быть получены из таких трехфазных систем. Если питающие системы не заземлены у источника, это означает, что были проведены адекватные измерения для определения ограничения и коррекции нарушения симметрии за достаточно короткое время.
Соответствие проверяется экспертизой ЭКСПЛУАТАЦИОННЫХ ДОКУМЕНТОВ.
Дополнительный пункт:
201.4.101. Запись данных
МЭ ИЗДЕЛИЕ должно иметь средства для записи следующей информации об изображении цифрового ПРИЕМНИКА РЕНТГЕНОВСКОГО ИЗОБРАЖЕНИЯ:
- данных о ПАЦИЕНТЕ (по крайней мере, фамилии, имени, отчества, даты рождения);
- информации о позиционировании (левой/правой молочной железы, угла съемки, позиционировании ПАЦИЕНТКИ);
- полученных параметров патологии;
- места и даты обнаружения патологии.
При представлении информации, указанной выше, рекомендуется пользоваться стандартом DICOM (ИСО 12052).
Инструкции по эксплуатации должны содержаться в руководстве ОПЕРАТОРА.
Соответствие проверяется экспертизой.
201.5. Общие требования к испытаниям МЭ ИЗДЕЛИЯ
Применяют раздел 5 общего стандарта.
201.6. Классификация МЭ ИЗДЕЛИЙ и МЭ СИСТЕМ
Применяют раздел 6 общего стандарта, за исключением:
201.6.2. Защита от поражения электрическим током
Замена:
МАММОГРАФИЧЕСКИЙ РЕНТГЕНОВСКИЙ АППАРАТ относится к КЛАССУ I МЭ ИЗДЕЛИЙ или ИЗДЕЛИЙ с ВНУТРЕННИМ ИСТОЧНИКОМ ПИТАНИЯ.
Если МАММОГРАФИЧЕСКИЙ РЕНТГЕНОВСКИЙ АППАРАТ классифицируется как МЭ ИЗДЕЛИЕ с ВНУТРЕННИМ ИСТОЧНИКОМ ПИТАНИЯ, то применяются соответствующие пункты общего стандарта, относящиеся к МЕНЕДЖМЕНТУ РИСКА.
201.7. Идентификация, маркировка и документация МЭ ИЗДЕЛИЯ
Применяют раздел 7 общего стандарта, за исключением:
201.7.2. Маркировка на наружных поверхностях МЭ ИЗДЕЛИЯ или его частей
201.7.2.6. Соединение с ПИТАЮЩЕЙ СЕТЬЮ
Дополнение:
Для МАММОГРАФИЧЕСКОГО РЕНТГЕНОВСКОГО АППАРАТА, представляющего собой ИЗДЕЛИЕ С ПОСТОЯННЫМ ПРИСОЕДИНЕНИЕМ К ПИТАЮЩЕЙ СЕТИ, информация, содержащаяся в пункте 7.2.6 общего стандарта, может быть указана только в ЭКСПЛУАТАЦИОННЫХ ДОКУМЕНТАХ.
201.7.2.7. Потребляемая от ПИТАЮЩЕЙ СЕТИ мощность
Дополнение:
Для МАММОГРАФИЧЕСКОГО РЕНТГЕНОВСКОГО АППАРАТА, не предназначенного для стационарной установки, информация, содержащаяся в пункте 7.2.7 общего стандарта, может быть указана только в ЭКСПЛУАТАЦИОННЫХ ДОКУМЕНТАХ.
Для входной мощности должна быть указана следующая информация:
a) СЕТЕВОЕ НАПРЯЖЕНИЕ, в B (см. пункты 7.2.1 и 7.2.6 общего стандарта);
b) число фаз (см. пункты 7.2.1 и 7.2.6 общего стандарта);
c) частота, в Гц (см. пункты 7.2.1 и 7.2.6 общего стандарта);
d) максимальное значение ДОПУСТИМОГО СОПРОТИВЛЕНИЯ ПИТАЮЩЕЙ СЕТИ, в Ом;
e) значения допустимых бросков тока в ПИТАЮЩЕЙ СЕТИ.
Примечание. Эти требования взяты из МЭК 60601-2-7:1998, подраздел 6.1, перечисление j).
201.7.2.15. Условия охлаждения
Дополнение:
Если необходимо охлаждение для безопасной эксплуатации МЭ ИЗДЕЛИЯ или его принадлежностей, условия охлаждения должны быть указаны в ЭКСПЛУАТАЦИОННЫХ ДОКУМЕНТАХ и включать:
- максимальное рассеяние тепла в окружающую среду должно быть указано для каждого устройства, которое рассеивает более 100 Вт и может быть размещено отдельно от установки;
- максимальное рассеяние тепла в устройствах для охлаждения воздуха, мощность потока и предельные температуры для охлаждения;
- максимальное рассеяние тепла в охлаждающих средах систем охлаждения, допустимый диапазон температур, минимум потока и давления, требуемые для систем охлаждения.
Дополнительный подпункт:
201.7.2.101. УСТРОЙСТВО ФОРМИРОВАНИЯ ПУЧКА
УСТРОЙСТВО ФОРМИРОВАНИЯ ПУЧКА должно иметь следующие маркировки:
- указанные в пункте 7.2.2 общего стандарта;
- с указанием серийного обозначения и/или индивидуальной идентификации;
- с указанием ПОСТОЯННОЙ ФИЛЬТРАЦИИ в единицах ЭКВИВАЛЕНТНОЙ ПО КАЧЕСТВУ ФИЛЬТРАЦИИ.
Маркировка УСТРОЙСТВА ФОРМИРОВАНИЯ ПУЧКА может быть скрыта под кожухом при НОРМАЛЬНОЙ ЭКСПЛУАТАЦИИ. В этом случае значение ПОСТОЯННОЙ ФИЛЬТРАЦИИ должно быть повторено в ЭКСПЛУАТАЦИОННЫХ ДОКУМЕНТАХ.
Примечание. УСТРОЙСТВО ФОРМИРОВАНИЯ ПУЧКА не относится к области действия МЭК 60601-2-28. Эти требования должны соответствовать подразделу 6.1 МЭК 60601-2-2.
201.7.8. Световые индикаторы и органы управления
Дополнительные подпункты:
201.7.8.101. Индикация рентгеновского излучения
Индикация рентгеновского излучения не должна соответствовать подразделу 7.8 общего стандарта. Применяется
подпункт 203.6.4.2.
201.7.8.102. Средства альтернативной визуальной индикации
Вместо световых индикаторов могут быть использованы альтернативные простые средства для визуальной индикации. Альтернативные простые средства для визуальной индикации могут использовать цветовые источники: красные, желтые, зеленые.
Эти средства должны быть указаны в инструкции по эксплуатации.
Соответствие проверяется экспертизой ЭКСПЛУАТАЦИОННЫХ ДОКУМЕНТОВ.
201.7.9. ЭКСПЛУАТАЦИОННЫЕ ДОКУМЕНТЫ
201.7.9.1. Общие положения
Дополнение:
В ЭКСПЛУАТАЦИОННЫХ ДОКУМЕНТАХ должны быть указаны размеры и расположение всех применяемых ЭФФЕКТИВНЫХ ПОВЕРХНОСТЕЙ ПРИЕМНИКОВ ИЗОБРАЖЕНИЯ.
ЭКСПЛУАТАЦИОННЫЕ ДОКУМЕНТЫ МАММОГРАФИЧЕСКОГО РЕНТГЕНОВСКОГО АППАРАТА должны содержать методику проверки качества, проводимую ОТВЕТСТВЕННОЙ ОРГАНИЗАЦИЕЙ. Эти методики должны содержать критерии оценки и частоту проведения испытаний.
В ЭКСПЛУАТАЦИОННЫХ ДОКУМЕНТАХ должны быть указаны средства индикации диагностических изображений.
Примечание. Примером таких средств являются дисплеи изображения или камеры для получения твердых копий.
Дополнительно для МАММОГРАФИЧЕСКОГО РЕНТГЕНОВСКОГО АППАРАТА, содержащего цифровой ПРИЕМНИК РЕНТГЕНОВСКОГО ИЗОБРАЖЕНИЯ, ЭКСПЛУАТАЦИОННЫЕ ДОКУМЕНТЫ должны содержать:
- описание формата передачи изображения данного устройства и все данные об этом изображении;
- версии обработки ИСХОДНЫХ ДАННЫХ изображения.
Информация, указанная в интерфейсе пользователя, может быть достаточной, чтобы удовлетворить требованиям, указанным выше.
Эксплуатационные документы для МАММОГРАФИЧЕСКОГО УСТРОЙСТВА ДЛЯ СТЕРЕОТАКСИСА, как дополнительной ПРИНАДЛЕЖНОСТИ МАММОГРАФИЧЕСКОГО РЕНТГЕНОВСКОГО АППАРАТА, должны содержать:
- по крайней мере, одно ОБОЗНАЧЕНИЕ МОДЕЛИ или типа МАММОГРАФИЧЕСКОГО РЕНТГЕНОВСКОГО АППАРАТА, для эксплуатации с которым предназначено устройство;
- ссылки на соответствующие стандарты, которым должно соответствовать МАММОГРАФИЧЕСКОЕ УСТРОЙСТВО ДЛЯ СТЕРЕОТАКСИСА.
Соответствие проверяется экспертизой ЭКСПЛУАТАЦИОННЫХ ДОКУМЕНТОВ.
201.7.9.2. Инструкция по эксплуатации
201.7.9.2.1. Общие положения
Дополнение:
Инструкция по эксплуатации должна содержать:
- проверку безопасности пользования компрессионными пластинами МАММОГРАФИЧЕСКОГО РЕНТГЕНОВСКОГО АППАРАТА;
- методы определения и исключения АРТЕФАКТОВ;
- для МАММОГРАФИЧЕСКОГО РЕНТГЕНОВСКОГО АППАРАТА, снабженного цифровым ПРИЕМНИКОМ РЕНТГЕНОВСКОГО ИЗОБРАЖЕНИЯ:

особое использование и обслуживание ПРИЕМНИКА РЕНТГЕНОВСКОГО ИЗОБРАЖЕНИЯ;

указание о том, как обеспечить требования подпункта 203.6.7.4.4.2 в части:
- ДЕФЕКТИВНЫХ ЭЛЕМЕНТОВ ДЕТЕКТОРА;
- замены данных, полученных от ДЕФЕКТИВНЫХ ЭЛЕМЕНТОВ ДЕТЕКТОРА;
- проблем однородности изображения;

процедуры предварительного контроля ПРИЕМНИКА РЕНТГЕНОВСКОГО ИЗОБРАЖЕНИЯ;

требования к представлению изображения.
В инструкции по эксплуатации должны быть приведены электрические выходные данные для определения ПАРАМЕТРОВ НАГРУЗКИ, как указано ниже в перечислениях от a) до
i) настоящего стандарта в
подпункте 201.7.9.2.1.
Данные должны быть указаны в следующей комбинации:
a) НОМИНАЛЬНОЕ АНОДНОЕ НАПРЯЖЕНИЕ и максимальный АНОДНЫЙ ТОК, допустимый для этого напряжения;
b) максимальный АНОДНЫЙ ТОК и максимальное АНОДНОЕ НАПРЯЖЕНИЕ, допустимое для этого тока;
c) комбинация АНОДНОГО ТОКА и АНОДНОГО НАПРЯЖЕНИЯ, соответствующих максимальной выходной электрической мощности;
d) НОМИНАЛЬНАЯ электрическая мощность, представляющая собой значение в кВт, которую обеспечивает РЕНТГЕНОВСКИЙ ГЕНЕРАТОР при АНОДНОМ НАПРЯЖЕНИИ 30 кВ, при времени нагрузки 1 с и ВРЕМЕНИ цикла 1 минута при любом количестве циклов, или, если эти значения неопределимы, при АНОДНОМ НАПРЯЖЕНИИ около 30 кВ для ВРЕМЕНИ НАГРУЗКИ, наиболее близком к 1 с, но не менее 1 с, и времени цикла 1 минута при любом количестве циклов.
Примечание 101. Ограничение номинальной электрической мощности может быть вызвано РЕНТГЕНОВСКИМ ПИТАЮЩИМ УСТРОЙСТВОМ, ИЗЛУЧАТЕЛЕМ или другими элементами.
e) значение НОМИНАЛЬНОЙ электрической мощности должно быть приведено в комбинации с АНОДНЫМ ТОКОМ, АНОДНЫМ НАПРЯЖЕНИЕМ и ВРЕМЕНЕМ НАГРУЗКИ.
Примечание 102. Эти значения приводятся только для характеристики аппарата.
f) для МАММОГРАФИЧЕСКОГО РЕНТГЕНОВСКОГО АППАРАТА, в котором предусмотрена индикация расчетного времени или измеренного ПРОИЗВЕДЕНИЯ ТОК-ВРЕМЯ, указывается наибольшее значение ПРОИЗВЕДЕНИЯ ТОК-ВРЕМЯ или комбинация ПАРАМЕТРОВ НАГРУЗКИ, обеспечивающая максимальное значение этого ПРОИЗВЕДЕНИЯ ТОК-ВРЕМЯ;
g) если величина максимального ПРОИЗВЕДЕНИЯ ТОК-ВРЕМЯ зависит от АНОДНОГО НАПРЯЖЕНИЯ или от комбинации ПАРАМЕТРОВ НАГРУЗКИ, максимальное ПРОИЗВЕДЕНИЕ ТОК-ВРЕМЯ должно быть представлено в виде таблицы или кривой, отражающих эту зависимость;
h) для МАММОГРАФИЧЕСКОГО РЕНТГЕНОВСКОГО АППАРАТА с АВТОМАТИЧЕСКИМ УПРАВЛЕНИЕМ ЭКСПОЗИЦИОННОЙ ДОЗОЙ, определяющим ВРЕМЯ НАГРУЗКИ, должно указываться минимальное ВРЕМЯ НАГРУЗКИ и/или наибольшее значение ПРОИЗВЕДЕНИЯ ТОК-ВРЕМЯ;
i) если АНОДНОЕ НАПРЯЖЕНИЕ или АНОДНЫЙ ТОК в МАММОГРАФИЧЕСКОМ РЕНТГЕНОВСКОМ АППАРАТЕ регулируется с помощью АВТОМАТИЧЕСКОГО УПРАВЛЕНИЯ ЭКСПОЗИЦИОННОЙ ДОЗОЙ, значения АНОДНОГО НАПРЯЖЕНИЯ и АНОДНОГО ТОКА в процессе облучения должны быть указаны в инструкции по эксплуатации;
j) если минимальное ВРЕМЯ НАГРУЗКИ зависит от ПАРАМЕТРОВ НАГРУЗКИ, таких как АНОДНОЕ НАПРЯЖЕНИЕ и АНОДНЫЙ ТОК, должно быть указано значение тех ПАРАМЕТРОВ НАГРУЗКИ, для которых допустимо минимальное ВРЕМЯ НАГРУЗКИ.
Инструкции по эксплуатации должны содержать сведения об ОТВЕТСТВЕННОЙ ОРГАНИЗАЦИИ за выполнение правил РАДИАЦИОННОЙ ЗАЩИТЫ МЭ ИЗДЕЛИЙ, действующих в данном районе.
201.7.9.3. Техническое описание
Дополнительные подпункты:
201.7.9.3.101. Спецификация РЕНТГЕНОВСКОГО ИЗЛУЧАТЕЛЯ и его расположения
Техническое описание в разделе "РЕНТГЕНОВСКИЙ ИЗЛУЧАТЕЛЬ" должно содержать:
a) обозначения ОПОРНЫХ ОСЕЙ, на которых угол МИШЕНИ и характеристики ФОКУСНОГО ПЯТНА рентгеновской трубки соответствуют указанным в документации значениям;
b) значение угла(ов) МИШЕНИ при заданных ОПОРНЫХ ОСЯХ;
c) пределы допустимого изменения размеров фокусного пятна на ОПОРНЫХ ОСЯХ;
d) НОМИНАЛЬНОЕ ЗНАЧЕНИЕ ФОКУСНОГО ПЯТНА(ЕН), определенное в соответствии с МЭК 60336 для ОПОРНЫХ ОСЕЙ.
Примечание. Эти требования взяты из пункта 6.8.3 МЭК 60601-2-28.
e) допустимое значение ПРЯМОГО ФОКУСНОГО РАССТОЯНИЯ;
f) точку пересечения ОПОРНЫХ ОСЕЙ с ПОВЕРХНОСТЬЮ ПРИЕМНИКА ИЗОБРАЖЕНИЯ для заданного значения ПРЯМОГО ФОКУСНОГО РАССТОЯНИЯ;
g) угол ОПОРНОЙ ОСИ ПОВЕРХНОСТИ ПРИЕМНИКА ИЗОБРАЖЕНИЯ.
Дополнительный подпункт:
201.7.9.101. Ссылки на ЭКСПЛУАТАЦИОННЫЕ ДОКУМЕНТЫ
Следующие подпункты настоящего стандарта содержат дополнительные требования к содержанию ЭКСПЛУАТАЦИОННЫХ ДОКУМЕНТОВ:
201.4.10.2. ПИТАЮЩАЯ СЕТЬ МЭ ИЗДЕЛИЙ и МЭ СИСТЕМ
201.7.2.6. Присоединение ПИТАЮЩЕЙ СЕТИ
201.7.2.7. Входная мощность ПИТАЮЩЕЙ СЕТИ
201.7.2.15. Условия охлаждения
203.5.2. ЭКСПЛУАТАЦИОННЫЕ ДОКУМЕНТЫ
203.6.2.1.101. Присоединение внешних блокировок
203.6.5. СИСТЕМЫ АВТОМАТИЧЕСКОГО УПРАВЛЕНИЯ
203.6.7.4. ДЕТЕКТОРЫ ИЗЛУЧЕНИЯ ИЛИ ПРИЕМНИК РЕНТГЕНОВСКОГО ИЗОБРАЖЕНИЯ
203.7.3. Индикация ФИЛЬТРА
203.11.101. Дополнительные требования к защите от ОСТАТОЧНОГО ИЗЛУЧЕНИЯ
201.8. Защита от опасностей поражения электрическим током
от МЭ ИЗДЕЛИЯ
Применяют раздел 8 общего стандарта, за исключением:
201.8.4. Ограничение напряжения, тока или энергии
Дополнительные подпункты:
201.8.4.101. ВЫСОКОВОЛЬТНЫЕ КАБЕЛЬНЫЕ РАЗЪЕМЫ
Контактное соединение ВЫСОКОВОЛЬТНЫХ КАБЕЛЬНЫХ РАЗЪЕМОВ предусматривает либо применение инструмента, либо разъем должен быть таким, чтобы обеспечивался контакт до тех пор, пока защитные крышки или высоковольтные соединения не удалены:
- МЭ ИЗДЕЛИЕ отключено от питающей сети, и
- емкости высоковольтной цепи разряжены за минимальное время, необходимое до полного разряда, и
- предусмотрены разрядники.
Соответствие проверяется экспертизой и измерением.
Примечание. Данные требования взяты из раздела 15 перечисления aa) МЭК 60601-2-7.
201.8.4.102. Ограничение АНОДНОГО НАПРЯЖЕНИЯ
МЭ ИЗДЕЛИЕ должно быть спроектировано так, чтобы при использовании РЕНТГЕНОВСКОГО ИЗЛУЧАТЕЛЯ не допустить значение АНОДНОГО НАПРЯЖЕНИЯ на РЕНТГЕНОВСКОЙ ТРУБКЕ выше номинального АНОДНОГО НАПРЯЖЕНИЯ, которое предусмотрено для РЕНТГЕНОВСКОГО ИЗЛУЧАТЕЛЯ.
Примечание. Данные требования взяты из подраздела 3.1 МЭК 60601-2-7.
201.8.5. Разделение частей
201.8.5.4. Рабочее напряжение
Дополнение:
201.8.5.4.101. Испытание статора и статорных цепей на прочность изоляции
Испытательное напряжение для испытания изоляции статора и статорных цепей должно быть таким, которое используется для поддержания скорости вращения анода рентгеновской трубки после его разгона.
Примечание. Данные требования взяты из 20.41 МЭК 60601-2-7.
201.8.6. Защитное заземление, рабочее заземление и выравнивание потенциалов МЭ ИЗДЕЛИЯ
Дополнительные подпункты:
201.8.6.101. РЕНТГЕНОВСКИЙ ИЗЛУЧАТЕЛЬ
Высоковольтные кабели, соединяющие РЕНТГЕНОВСКИЙ ИЗЛУЧАТЕЛЬ с РЕНТГЕНОВСКИМ ПИТАЮЩИМ УСТРОЙСТВОМ, должны иметь гибкий проводящий экран, имеющий сопротивление на единицу длины, не превышающее 1 Ом x м-1, и внешнее непроводящее покрытие для защиты экрана от механических повреждений. Экран должен соединяться с защитным заземлением КОРПУСА РЕНТГЕНОВСКОГО ПИТАЮЩЕГО УСТРОЙСТВА с малым сопротивлением.
Соответствие проверяется экспертизой и измерением.
201.8.6.102. БЛОК ИСТОЧНИКА РЕНТГЕНОВСКОГО ИЗЛУЧЕНИЯ
Во всех случаях должно быть обеспечено электрическое соединение между экраном, применяемым высоковольтным кабелем и металлической частью БЛОКА ИСТОЧНИКА РЕНТГЕНОВСКОГО ИЗЛУЧЕНИЯ.
Гибкий проводящий экран может быть недостаточным для защиты заземления между устройствами, соединенными кабелем.
Соответствие проверяется экспертизой и измерением.
201.8.7. ТОКИ УТЕЧКИ и дополнительные токи в цепи ПАЦИЕНТА
201.8.7.3. Допустимые значения
Дополнение:
Должны быть заданы допустимые значения ТОКА УТЕЧКИ НА ЗЕМЛЮ для всех элементов МАММОГРАФИЧЕСКОГО РЕНТГЕНОВСКОГО АППАРАТА, которые снабжены собственным соединением с ПИТАЮЩЕЙ СЕТЬЮ или контактом централизованного подключения, если изделие стационарное, и с ПОСТОЯННЫМ ПРИСОЕДИНЕНИЕМ к ПИТАЮЩЕЙ СЕТИ.
В изделии стационарном и с ПОСТОЯННЫМ ПРИСОЕДИНЕНИЕМ к ПИТАЮЩЕЙ СЕТИ контакт централизованного подключения может быть установлен внутри наружного КОРПУСА или под защитной крышкой МАММОГРАФИЧЕСКОГО РЕНТГЕНОВСКОГО АППАРАТА. Если другие блоки, такие как РЕНТГЕНОВСКИЙ ИЗЛУЧАТЕЛЬ или вспомогательное оборудование, подсоединены к контакту централизованного подключения, ТОК УТЕЧКИ НА ЗЕМЛЮ между этим контактом централизованного подключения и внешней защитной системой может превышать допустимые значения для любого из самостоятельно подключенных устройств.
Примечание 101. Ограничение ТОКОВ УТЕЧКИ НА ЗЕМЛЮ между элементами МАММОГРАФИЧЕСКОГО РЕНТГЕНОВСКОГО АППАРАТА имеет целью предотвратить их влияние на другое электрическое оборудование. Использование контакта централизованного подключения необходимо для МЭ ИЗДЕЛИЯ с ПОСТОЯННЫМ ПРИСОЕДИНЕНИЕМ К ПИТАЮЩЕЙ СЕТИ, чтобы разрыв ЗАЩИТНОГО ЗАЗЕМЛЕНИЯ не привел к УСЛОВИЮ ЕДИНИЧНОГО НАРУШЕНИЯ. Для этого, однако, необходима информация о защитных мерах, принятых для отдельных элементов.
201.8.8. Изоляция
201.8.8.3. Электрическая прочность изоляции
Порядок испытания на соответствие электрических высоковольтных цепей:
Высоковольтные цепи МЭ ИЗДЕЛИЯ испытываются приложением не более половины испытательного напряжения, затем оно постоянно повышается в течение 10 с до полного испытательного напряжения, которое прикладывается в течение 3 минут.
Дополнение к условиям испытания высоковольтных цепей:
Испытание высоковольтных цепей должно проводиться без РЕНТГЕНОВСКОЙ ТРУБКИ при значении испытательного напряжения 1,2 от значения номинального АНОДНОГО НАПРЯЖЕНИЯ, на которое рассчитано МЭ ИЗДЕЛИЕ.
Если МЭ ИЗДЕЛИЕ может быть испытано только с присоединенной РЕНТГЕНОВСКОЙ ТРУБКОЙ и если РЕНТГЕНОВСКАЯ ТРУБКА не позволяет приложить к МЭ ИЗДЕЛИЮ испытательное напряжение с коэффициентом 1,2 значения НОМИНАЛЬНОГО АНОДНОГО НАПРЯЖЕНИЯ, испытательное напряжение может быть уменьшено до значения 1,1 от номинального.
Если во время испытания на электрическую прочность существует РИСК перегрева трансформатора, подвергаемого испытанию, то допустимо приложение повышенной частоты.
Во время испытания прочности изоляции испытательное напряжение высоковольтной сети должно быть максимально близким к 100% и не выходить из диапазона 100 - 105% требуемой величины.
Во время испытания изоляции на электрическую прочность допустима разрядная корона высоковольтной цепи, если она имеет место, при значении выше 110% от предусмотренного напряжения.
Дополнения:
aa) РЕНТГЕНОВСКИЕ ПИТАЮЩИЕ УСТРОЙСТВА или их цепи, работающие в РЕНТГЕНОВСКОМ ИЗЛУЧАТЕЛЕ, должны испытываться с нагруженной РЕНТГЕНОВСКОЙ ТРУБКОЙ.
bb) Если РЕНТГЕНОВСКИЕ ПИТАЮЩИЕ УСТРОЙСТВА не обеспечены отдельными регулировками АНОДНОГО ТОКА, длительность испытания на электрическую прочность должна быть уменьшена до значений допускаемой нагрузки на РЕНТГЕНОВСКУЮ ТРУБКУ при максимально допустимом АНОДНОМ НАПРЯЖЕНИИ.
cc) Если высоковольтная цепь не предназначена для измерения приложенного испытательного напряжения, должны быть приняты соответствующие меры, чтобы испытательное напряжение было бы максимально близко к 100% и не выходило за пределы 100 - 105% от требуемого значения.
Примечание. Данные требования заимствованы из подраздела 20.4 МЭК 60601-2-7.
201.9. Защита от МЕХАНИЧЕСКИХ ОПАСНОСТЕЙ, создаваемых
МЭ ИЗДЕЛИЯМИ и МЭ СИСТЕМАМИ
Применяют раздел 9 общего стандарта, за исключением:
201.9.1. МЕХАНИЧЕСКИЕ ОПАСНОСТИ МЭ ИЗДЕЛИЯ
Дополнение:
Требования
подпункта 203.8.5.4.102 к УСТРОЙСТВУ ДЛЯ КОМПРЕССИИ МОЛОЧНОЙ ЖЕЛЕЗЫ применяются из настоящего частного стандарта.
201.9.2. ОПАСНОСТИ, связанные с движущимися частями
201.9.2.1. Общие положения
Дополнение:
Движения МЭ ИЗДЕЛИЯ или его частей, которые могут вызвать травмы ПАЦИЕНТА при НОРМАЛЬНОЙ ЭКСПЛУАТАЦИИ, должны требовать постоянного воздействия ОПЕРАТОРА, за исключением случаев, когда МАММОГРАФИЧЕСКИЙ РЕНТГЕНОВСКИЙ АППАРАТ предназначен для специального применения (например, предварительного позиционирования, получения стереотаксического изображения), когда требуется движение частей для выполнения процедуры. Опасности движения частей должны определяться ИЗГОТОВИТЕЛЕМ в ПРОЦЕССЕ МЕНЕДЖМЕНТА РИСКА.
Когда при НОРМАЛЬНОЙ ЭКСПЛУАТАЦИИ часть МЭ ИЗДЕЛИЯ, снабженного электроприводом, может контактировать с пациентом, если это предусмотрено конструкцией, она должна быть обеспечена средствами определения контакта с ПАЦИЕНТОМ и остановки движения, если контакт может вызвать физическую травму ПАЦИЕНТА.
Должны быть предусмотрены средства или указания в ЭКСПЛУАТАЦИОННЫХ ДОКУМЕНТАХ для предотвращения травмы, которая может быть вызвана столкновением частей МЭ ИЗДЕЛИЯ, снабженных электроприводом, с другими движущимися или неподвижными частями МЭ ИЗДЕЛИЯ, находящимися поблизости.
Соответствие проверяется функциональным испытанием и экспертизой инструкции по эксплуатации.
Примечание. Эти требования заимствованы из пункта 22.4.1 МЭК 60601-2-32.
201.9.2.2. ЗОНА ЗАХВАТА
201.9.2.2.6. Скорость движения(й)
Дополнение:
Если используется УСТРОЙСТВО ДЛЯ КОМПРЕССИИ МОЛОЧНОЙ ЖЕЛЕЗЫ с усилием больше чем 50 Н, скорость или ступень движения приводов должны быть ограничены для обеспечения ОПЕРАТОРУ возможности точной коррекции позиции, чтобы не навредить ПАЦИЕНТУ.
201.9.2.3. Прочие опасности, связанные с движущимися частями
201.9.2.3.1. Непреднамеренное движение
Дополнение:
Подвижные части должны иметь возможность фиксации в любом положении, предусмотренном конструкцией. В этих положениях эти части не должны иметь возможность непреднамеренных движений.
В случае обрыва ПИТАЮЩЕЙ СЕТИ подвижные части не должны создавать усилия больше 20 Н на любую часть тела ПАЦИЕНТА.
201.9.2.4. Устройства аварийной остановки
Дополнение:
Все осуществляемые электроприводом движения, которые могут создавать физическую некомфортность, должны быть обеспечены средствами экстренной остановки. В случае экстренной остановки должны быть предусмотрены средства для доступа к ПАЦИЕНТУ и извлечения его при аварии из МЭ ИЗДЕЛИЯ.
Соответствие проверяется функциональным испытанием и экспертизой инструкций по эксплуатации.
Примечание. Данные требования заимствованы из пункта 22.4.1 МЭК 60601-2-32.
Дополнительные подпункты:
201.9.2.101.* МАММОГРАФИЧЕСКОЕ УСТРОЙСТВО ДЛЯ СТЕРЕОТАКСИСА
201.9.2.101.1. Расположение БЛОКА ИСТОЧНИКА РЕНТГЕНОВСКОГО ИЗЛУЧЕНИЯ для получения стереотаксического изображения
В стереотаксическом изображении должно быть обеспечено определение угловых положений БЛОКА ИСТОЧНИКА РЕНТГЕНОВСКОГО ИЗЛУЧЕНИЯ. БЛОК ИСТОЧНИКА РЕНТГЕНОВСКОГО ИЗЛУЧЕНИЯ должен обеспечивать жесткую фиксацию в любом из этих положений. Однажды зафиксированный в любом таком положении БЛОК ИСТОЧНИКА РЕНТГЕНОВСКОГО ИЗЛУЧЕНИЯ должен выводиться из этого положения только при воздействии ОПЕРАТОРА.
201.9.2.101.2. Движение РАБОЧИХ ЧАСТЕЙ во время биопсии или установки маркера
При постоянном усилии компрессии не должно быть смещения относительно друг друга между ШТАТИВОМ (СТОЛИКОМ) ДЛЯ ПАЦИЕНТА и компрессионной пластиной более чем на +/- 0,5 мм и +/- 0,5°, а их смещение относительно ПАЦИЕНТА не должно превышать +/- 2 мм и +/- 2° в любом направлении.
Движение иглодержателя или держателя пистолета для биопсии с установленной иглой должно постоянно приводиться в действие ОПЕРАТОРОМ и контролироваться им.
Соответствие проверяется испытаниями по 201.9.2.101.3.
201.9.2.101.3. Точность расположения иглы для биопсии МАММОГРАФИЧЕСКИХ УСТРОЙСТВ ДЛЯ СТЕРЕОТАКСИСА
Точность размещения острия иглы для биопсии в координатах x, y, z должна быть в пределах +/- 1 мм обозначенного стереотаксического объема биопсии.
Соответствие проверяется следующими испытаниями.
a) Испытательное оборудование
Для испытаний требуется стереотаксический ТЕСТ-ОБЪЕКТ, конструкция которого позволяет проводить испытания при различных направлениях игл для биопсии. Этот ТЕСТ-ОБЪЕКТ включает пластину, высверленную так, чтобы служить в качестве держателя для испытательных игл. По крайней мере, три стальные иглы различной длины должны быть закреплены в установленной пластине наружными частями перпендикулярно к ее поверхности и в одном направлении.
Стальные иглы представляют собой иглы для испытаний, острия которых выполняют роль ТЕСТ-ОБЪЕКТОВ. Они должны быть расположены так, чтобы установленный объем стереотаксической биопсии был перекрыт. Должна быть обеспечена возможность расположения одной из них в пределах +/- 5 мм от центра заданного объема стереотаксической биопсии, а двух других - внутри этого объема на расстоянии 10 мм от крайних точек x, y, z, которые ограничивают область действия МАММОГРАФИЧЕСКОГО УСТРОЙСТВА ДЛЯ СТЕРЕОТАКСИСА.
b) Процедура испытаний
Измеряют длину иглы для биопсии и сравнивают полученный результат с НОМИНАЛЬНОЙ длиной иглы для биопсии или с длиной иглы для биопсии, запомненной или запрограммированной в МАММОГРАФИЧЕСКОМ УСТРОЙСТВЕ ДЛЯ СТЕРЕОТАКСИСА. Измеренная длина должна соответствовать НОМИНАЛЬНОЙ длине с допускаемым отклонением +/- 0,3 мм. Располагают ТЕСТ-ОБЪЕКТ на ШТАТИВЕ (СТОЛИКЕ) ДЛЯ ПАЦИЕНТА МАММОГРАФИЧЕСКОГО УСТРОЙСТВА ДЛЯ СТЕРЕОТАКСИСА так, чтобы острие одной из испытательных игл находилось в пределах +/- 5 мм относительно центра заданного объема стереотаксической биопсии, а острия двух других испытательных игл - внутри заданного объема стереотаксической биопсии на расстоянии 10 мм от крайних точек x, y, z, ограничивающих этот объем. Около БЛОКА ИСТОЧНИКА РЕНТГЕНОВСКОГО ИЗЛУЧЕНИЯ может быть закреплен однородный материал, ослабляющий излучение, например пластина из алюминия толщиной 2 мм.
Выбирают ФОКУСНОЕ ПЯТНО, при котором должно работать МАММОГРАФИЧЕСКОЕ УСТРОЙСТВО ДЛЯ СТЕРЕОТАКСИСА.
Устанавливают МАММОГРАФИЧЕСКИЙ РЕНТГЕНОВСКИЙ АППАРАТ в положение выполнения краниокаудальной проекции молочной железы. Получают два стереоснимка. На каждом изображении выбирают все проекции остриев испытательных игл в пределах установленного объема стереотаксической биопсии и вводят их координаты в устройство для стереотаксиса. Для каждой испытательной иглы определяют положение острия иглы для биопсии согласно положению, вычисленному МАММОГРАФИЧЕСКИМ УСТРОЙСТВОМ ДЛЯ СТЕРЕОТАКСИСА. Измеряют и регистрируют различия в координатах x, y, z, между каждым острием испытательной иглы и острием иглы для биопсии. Повторяют процедуру, поворачивая МАММОГРАФИЧЕСКИЙ РЕНТГЕНОВСКИЙ АППАРАТ до предела диапазона, установленного ИЗГОТОВИТЕЛЕМ для углового отклонения в каждом направлении при клиническом применении, а также для любого промежуточного значения углов до 90° или более. Если МАММОГРАФИЧЕСКОЕ УСТРОЙСТВО ДЛЯ СТЕРЕОТАКСИСА предназначено более чем для одного направления перемещения иглы для биопсии, повторяют процедуру до шести различных направлений в пределах диапазона, установленного ИЗГОТОВИТЕЛЕМ для клинического применения, включая, по крайней мере, два направления в экстремальных точках установленного диапазона.
c) Интерпретация результатов испытаний
Сравниваются различия по осям x, y, z, как указано выше.
201.10. Защита от ОПАСНОСТЕЙ воздействия нежелательного
или чрезмерного излучения
Применяют раздел 10 общего стандарта, за исключением:
201.10.1.2. МЭ ИЗДЕЛИЕ, предназначенное для рентгеновского излучения в диагностических или лечебных целях
Дополнение:
МАММОГРАФИЧЕСКИЙ РЕНТГЕНОВСКИЙ АППАРАТ должен удовлетворять требованиям МЭК 60601-1-3,
раздел 203 настоящего частного стандарта.
201.11. Защита от чрезмерных температур и других ОПАСНОСТЕЙ
Применяют раздел 11 общего стандарта.
201.12. Точность органов управления и измерительных
приборов и защита от опасных значений выходных
характеристик
Применяют раздел 12 общего стандарта, за исключением:
201.12.4. Защита от опасных значений выходных характеристик
201.12.4.5. Излучение для диагностических или терапевтических целей
201.12.4.5.2. Диагностические рентгеновские изделия
Дополнение:
Примечания
1. Много разнообразных факторов определяют влияние выходных параметров МАММОГРАФИЧЕСКОГО РЕНТГЕНОВСКОГО АППАРАТА на диагностический результат. Даже если существует соответствие с настоящим стандартом, нельзя ожидать, что в ежедневной практике выбранный режим исследования следует повторить для той же цели на другом оборудовании без коррекции.
2. В соответствии с подпунктом 12.4.5.2 общего стандарта относящийся к дозе пункт "Точность органов управления и измерительных приборов и защита от опасных значений выходных характеристик" отнесен к дополнительному стандарту МЭК 60601-1-3 соответственно, в настоящем частном стандарте это
подпункт 203.6.4.3.
201.13. Опасные ситуации и условия нарушения
Применяют раздел 13 общего стандарта.
201.14. ПРОГРАММИРУЕМЫЕ ЭЛЕКТРИЧЕСКИЕ МЕДИЦИНСКИЕ
СИСТЕМЫ (ПЭМС)
Применяют раздел 14 общего стандарта.
201.15. Конструкция МЭ ИЗДЕЛИЯ
Применяют раздел 15 общего стандарта, за исключением:
201.15.4. Компоненты МЭ ИЗДЕЛИЯ и общая сборка
201.15.4.3. Батареи
Дополнительный подпункт:
201.15.4.3.101. БЛОКИРОВКА режима зарядки
Каждый ПЕРЕДВИЖНОЙ АППАРАТ с подсоединяемым зарядным устройством должен быть снабжен средствами, исключающими механическое перемещение и включение РЕНТГЕНОВСКОГО ИЗЛУЧЕНИЯ неуполномоченным персоналом без прекращения зарядки батареи.
Примечание. Примером подобного устройства для соответствия настоящему требованию являются кнопочные переключатели, запускаемые так, что механические передвижения и генерирование РЕНТГЕНОВСКОГО ИЗЛУЧЕНИЯ были бы возможны, только если кнопочный переключатель находится в определенном состоянии; зарядка батареи возможна при отсутствии переключателя.
Применяют раздел 16 общего стандарта.
201.17. Электромагнитная совместимость МЭ ИЗДЕЛИЙ
и МЭ СИСТЕМ
Применяют раздел 17 общего стандарта.
202. Электромагнитная совместимость. Требования и испытания
Применяют МЭК 60601-1-2, за исключением:
Дополнение:
202.101. Помехозащищенность ОСНОВНЫХ ФУНКЦИОНАЛЬНЫХ ХАРАКТЕРИСТИК
ИЗГОТОВИТЕЛЬ может минимизировать требования к ОСНОВНЫМ ФУНКЦИОНАЛЬНЫМ ХАРАКТЕРИСТИКАМ, изложенным в
таблице 201.101, до практического уровня с помощью ПРОЦЕССА МЕНЕДЖМЕНТА РИСКА.
ИЗГОТОВИТЕЛЬ, проводя испытания, должен учитывать факторы, которые могут привести к неприемлемому РИСКУ с помощью ПРОЦЕССА МЕНЕДЖМЕНТА РИСКА.
Испытательные инструменты не должны оказывать влияния на помехозащищенность МЭ ИЗДЕЛИЯ.
Должны применяться только неинвазивные инструменты.
Испытываемое МЭ ИЗДЕЛИЕ не должно подвергаться модернизации для проведения испытаний на помехозащищенность.
Соответствие проверяется инспекционным контролем ФАЙЛА МЕНЕДЖМЕНТА РИСКА.
203. Защита от излучения в диагностических рентгеновских
аппаратах
Применяют МЭК 60601-1-3, за исключением:
203.4. Общие требования
203.4.1. Формулировка соответствия
Замена:
Для МАММОГРАФИЧЕСКОГО РЕНТГЕНОВСКОГО АППАРАТА и его составных частей подтверждение соответствия требованиям настоящего стандарта должно быть в следующей форме:
МАММОГРАФИЧЕСКИЙ РЕНТГЕНОВСКИЙ АППАРАТ МЭК 60601-2-45
**) ОБОЗНАЧЕНИЕ МОДЕЛИ ИЛИ ТИПА
Примечание. Эти данные указываются на наружной стороне МЭ ИЗДЕЛИЯ.
Дополнительные подпункты:
203.4.101. Условия для квалификации
203.4.101.1. Электрическая мощность
P = fUI,
где P - электрическая мощность;
f - коэффициент, зависящий от формы АНОДНОГО НАПРЯЖЕНИЯ, выбранный из условий:
a) 0,95 для МЭ ИЗДЕЛИЯ, включающего шестипульсное РЕНТГЕНОВСКОЕ ПИТАЮЩЕЕ УСТРОЙСТВО;
b) 1,0 для МЭ ИЗДЕЛИЯ, включающего двенадцатипульсное РЕНТГЕНОВСКОЕ ПИТАЮЩЕЕ УСТРОЙСТВО или РЕНТГЕНОВСКОЕ ПИТАЮЩЕЕ УСТРОЙСТВО с постоянным напряжением;
c) для других МЭ ИЗДЕЛИЙ коэффициент f выбирается в зависимости от формы АНОДНОГО НАПРЯЖЕНИЯ с указанием выбранного значения.
U - АНОДНОЕ НАПРЯЖЕНИЕ;
I - АНОДНЫЙ ТОК.
203.4.101.2.* ВРЕМЯ НАГРУЗКИ
ВРЕМЯ НАГРУЗКИ измеряется как интервал:
- от момента, когда АНОДНОЕ НАПРЯЖЕНИЕ первый раз достигает 75% пикового значения;
- до момента, когда оно в последний раз ниже того же значения.
Для МЭ ИЗДЕЛИЯ, где НАГРУЗКА регулируется электронным выключением высокого напряжения с помощью сеток электронной лампы или РЕНТГЕНОВСКОЙ ТРУБКИ, ВРЕМЯ НАГРУЗКИ должно быть определено интервалом между моментом, когда реле времени формирует сигнал на начало ОБЛУЧЕНИЯ, и моментом, когда оно формирует сигнал окончания ОБЛУЧЕНИЯ.
МЭ ИЗДЕЛИЕ, где НАГРУЗКА включается одновременно в первичных, высоковольтных цепях и в цепях накала РЕНТГЕНОВСКОЙ ТРУБКИ, ВРЕМЯ НАГРУЗКИ должно определяться как интервал между моментом, когда АНОДНЫЙ ТОК впервые поднимается до 25% от максимального значения, и моментом, когда он последний раз опускается до этого значения.
В остальных случаях способы регулирования ВРЕМЕНИ НАГРУЗКИ и его определения должны быть указаны в ФАЙЛЕ МЕНЕДЖМЕНТА РИСКА.
Примечания
1. См. также определение 3.37 МЭК 60601-1-3.
2. Эти требования заимствованы из пункта 2.101.4 МЭК 6601-2-7.
203.5. Идентификация, маркировка и документы МЭ ИЗДЕЛИЙ
203.5.2. ЭКСПЛУАТАЦИОННЫЕ ДОКУМЕНТЫ
203.5.2.4. Инструкция по эксплуатации
203.5.2.4.2. Количественная информация
Дополнение:
Для МАММОГРАФИЧЕСКОГО РЕНТГЕНОВСКОГО АППАРАТА доза РЕНТГЕНОВСКОГО ИЗЛУЧЕНИЯ на ПАЦИЕНТА должна быть обозначена с использованием двух значений: входной ВОЗДУШНОЙ КЕРМЫ и СРЕДНЕЙ ПОГЛОЩЕННОЙ ДОЗЫ, определенных методами, указанными ИЗГОТОВИТЕЛЕМ.
203.6. Управление ИЗЛУЧЕНИЕМ
203.6.2. Начало и окончание ОБЛУЧЕНИЯ
203.6.2.1. Нормальное начало и окончание ОБЛУЧЕНИЯ
Дополнение:
203.6.2.1.101. Присоединение внешних блокировок
МАММОГРАФИЧЕСКИЙ РЕНТГЕНОВСКИЙ АППАРАТ, за исключением ПЕРЕДВИЖНОГО МАММОГРАФИЧЕСКОГО РЕНТГЕНОВСКОГО АППАРАТА, должен иметь по крайней мере одно внешнее электрическое устройство, блокирующее возможность включения МАММОГРАФИЧЕСКОГО РЕНТГЕНОВСКОГО АППАРАТА, приводящего к отключению РЕНТГЕНОВСКОГО ГЕНЕРАТОРА, создающего РЕНТГЕНОВСКОЕ ИЗЛУЧЕНИЕ.
МАММОГРАФИЧЕСКИЕ РЕНТГЕНОВСКИЕ АППАРАТЫ, за исключением ПЕРЕДВИЖНЫХ МАММОГРАФИЧЕСКИХ РЕНТГЕНОВСКИХ АППАРАТОВ, должны иметь по крайней мере одно внешнее электрическое устройство, обеспечивающее быстрое отключение РЕНТГЕНОВСКОГО ГЕНЕРАТОРА для прекращения РЕНТГЕНОВСКОГО ИЗЛУЧЕНИЯ.
Если сигналы от этих внешних электрических устройств не визуализируются на ПУЛЬТЕ УПРАВЛЕНИЯ, то ЭКСПЛУАТАЦИОННЫЕ ДОКУМЕНТЫ должны содержать информацию для ОТВЕТСТВЕННОЙ ОРГАНИЗАЦИИ о необходимости введения этой визуальной информации при установке.
203.6.2.2. Меры безопасности при отказе нормального окончания ОБЛУЧЕНИЯ
Замена:
a) Каждая НАГРУЗКА должна быть приложена и прекращена с помощью средства управления, которое требует непосредственного воздействия ОПЕРАТОРА.
b) Не должно быть возможным включение последующего ОБЛУЧЕНИЯ без предварительного отключения предыдущего ОБЛУЧЕНИЯ.
c) Должны быть предусмотрены средства для окончания ОПЕРАТОРОМ каждого ОБЛУЧЕНИЯ в любое время до назначенного срока его завершения.
d) В случае нарушения процесса нормального завершения отключения ОБЛУЧЕНИЯ оно должно быть прекращено средствами безопасности на основе измерений.
e) Если нормальный процесс завершения ОБЛУЧЕНИЯ зависит от измерений РЕНТГЕНОВСКОГО ИЗЛУЧЕНИЯ, должны последовать действия ОПЕРАТОРА в соответствии с
a), а меры безопасности должны быть достаточными для выполнения d).
f) Если процесс нормального завершения зависит от измерений РЕНТГЕНОВСКОГО ИЗЛУЧЕНИЯ:
- должна быть обеспечена безопасность на основе измерений для завершения ОБЛУЧЕНИЯ;
- ПРОИЗВЕДЕНИЕ ТОК-ВРЕМЯ должно быть ограничено значением, не превышающим 800 мАс за одно ОБЛУЧЕНИЕ, без специальных указаний ИЗГОТОВИТЕЛЯ;
- система обеспечения нормального завершения ОБЛУЧЕНИЯ и система, используемая для безопасности на основе измерений, должны быть разделены, чтобы отказ одной из них не повлиял на функционирование другой;
- если НАГРУЗКА завершена с помощью средств защиты, на ПУЛЬТЕ УПРАВЛЕНИЯ должна быть обеспечена видимая индикация этого. Следующая НАГРУЗКА в этом РЕЖИМЕ РАБОТЫ не должна быть возможна до тех пор, пока не осуществлено воздействие на орган управления на ПУЛЬТЕ УПРАВЛЕНИЯ, предназначенный для возврата в исходное положение.
g) ДЛЯ МАММОГРАФИЧЕСКОГО РЕНТГЕНОВСКОГО АППАРАТА, снабженного АВТОМАТИЧЕСКИМ УПРАВЛЕНИЕМ ЭКСПОЗИЦИОННОЙ ДОЗОЙ, должен быть указан метод, с помощью которого ОПЕРАТОР может выбирать режим АВТОМАТИЧЕСКОГО УПРАВЛЕНИЯ ЭКСПОЗИЦИОННОЙ ДОЗОЙ, а инструкция по эксплуатации должна содержать описание этого метода.
Соответствие проверяется экспертизой и функциональными испытаниями.
203.6.3. Доза ИЗЛУЧЕНИЯ и КАЧЕСТВО ИЗЛУЧЕНИЯ
Замена:
203.6.3.1. Настройка дозы ИЗЛУЧЕНИЯ И КАЧЕСТВА ИЗЛУЧЕНИЯ
203.6.3.1.1. Общие требования при настройке дозы ИЗЛУЧЕНИЯ и КАЧЕСТВА ИЗЛУЧЕНИЯ
Должна быть обеспечена возможность настройки КАЧЕСТВА ИЗЛУЧЕНИЯ и количества РЕНТГЕНОВСКОГО ИЗЛУЧЕНИЯ в зависимости от размеров груди и геометрии съемки при ПРЕДУСМОТРЕННОМ ПРИМЕНЕНИИ МАММОГРАФИЧЕСКОГО РЕНТГЕНОВСКОГО АППАРАТА.
Если настройка количества РЕНТГЕНОВСКОГО ИЗЛУЧЕНИЯ, вносящего вклад в изображение, осуществляется вручную с помощью выбора из дискретных значений ПАРАМЕТРОВ НАГРУЗКИ, имеющих пропорциональное отношение к количеству производимого РЕНТГЕНОВСКОГО ИЗЛУЧЕНИЯ, в частности значений АНОДНОГО ТОКА, ВРЕМЕНИ НАГРУЗКИ или ПРОИЗВЕДЕНИЯ ТОК-ВРЕМЯ, эти значения должны выбираться из рядов R'10 или R'20 в соответствии с МЭК 60601-1-3 Приложение B.
Примечание. Использование значений в соответствии с этими геометрическими прогрессиями помогает ОПЕРАТОРУ в настройке количества РЕНТГЕНОВСКОГО ИЗЛУЧЕНИЯ, которое важно как с точки зрения дозы РЕНТГЕНОВСКОГО ИЗЛУЧЕНИЯ на ПАЦИЕНТА, так и качества изображения.
Соответствие проверяется экспертизой.
203.6.3.1.2. Линейность ВОЗДУШНОЙ КЕРМЫ при изменении ПАРАМЕТРОВ НАГРУЗКИ
Изменение ИЗМЕРЕННЫХ ЗНАЧЕНИЙ ВОЗДУШНОЙ КЕРМЫ должно быть линейным при изменении значений ПРОИЗВЕДЕНИЯ ТОК-ВРЕМЯ во всем интервале выбираемых мАс с точностью, равной или лучше 0,2.
Соответствие проверяется следующим функциональным испытанием:
Испытания на линейность должны проводиться при АНОДНОМ НАПРЯЖЕНИИ 30 кВ или при ближайшем к этому значению. Для испытания выбираются два значения ПРОИЗВЕДЕНИЯ ТОК-ВРЕМЯ при следующих условиях:
- нижнее значение первой пары должно соответствовать наименьшему значению ПРОИЗВЕДЕНИЯ ТОК-ВРЕМЯ;
- отношение значений выбранного ПРОИЗВЕДЕНИЯ ТОК-ВРЕМЯ в каждой паре должно быть наиболее близким к 2, но не выше;
- максимальное значение ПРОИЗВЕДЕНИЯ ТОК-ВРЕМЯ в каждой паре, которая измеряется, должно быть минимальным для следующей пары;
- наивысшее значение последней пары должно соответствовать наивысшему значению устанавливаемого ПРОИЗВЕДЕНИЯ ТОК-ВРЕМЯ, а нижнее значение должно соответствовать половине или наиболее близкому значению к половине наивысшего значения ПРОИЗВЕДЕНИЯ ТОК-ВРЕМЯ.
Примечание. Пример такого правила выбора: если ряд произведений тока на время имеет 10, 12, 16, 20, 25, 32, 40, 50, 63, 80, 100, 125 мАс, пары должны выбираться: 10 и 20 мАс, 20 и 40 мАс, 40 и 80 мАс, 63 и 125 мАс.
Вся серия измерений, требуемых для испытания, должна проводиться без длинных интервалов времени в течение одного часа.
Производят 10 НАГРУЗОК для каждого выбранного ПРОИЗВЕДЕНИЯ ТОК-ВРЕМЯ и измеряют значение ВОЗДУШНОЙ КЕРМЫ в фиксированной точке на 40 мм выше ШТАТИВА (СТОЛИКА) ДЛЯ ПАЦИЕНТА. Рассчитывают среднее измеренное значение ВОЗДУШНОЙ КЕРМЫ для каждой серии из 10 измерений.
Рассчитывают линейность отношений каждой пары значений по следующей формуле: частное от деления среднего значения ВОЗДУШНОЙ КЕРМЫ на выбранное значение ПРОИЗВЕДЕНИЯ ТОК-ВРЕМЯ не должно отличаться более чем на 0,2 от среднего значения.

,
где

,

- средние ИЗМЕРЕННЫЕ ЗНАЧЕНИЯ ВОЗДУШНОЙ КЕРМЫ;
Q1, Q2 - выбранные значения ПРОИЗВЕДЕНИЯ ТОК-ВРЕМЯ.
203.6.3.2. Воспроизводимость выхода РЕНТГЕНОВСКОГО ИЗЛУЧЕНИЯ
Коэффициент вариации ИЗМЕРЕННОГО ЗНАЧЕНИЯ ВОЗДУШНОЙ КЕРМЫ не должен быть больше 0,05 для любой комбинации ПАРАМЕТРОВ НАГРУЗКИ при ПРЕДУСМОТРЕННОМ ПРИМЕНЕНИИ.
Соответствие проверяется следующим функциональным испытанием:
Выбирают комбинации ПАРАМЕТРОВ НАГРУЗКИ для испытания на воспроизводимость, включая по крайней мере следующие комбинации:
- максимальное значение рентгеновского АНОДНОГО НАПРЯЖЕНИЯ при минимальном для данного АНОДНОГО НАПРЯЖЕНИЯ значении АНОДНОГО ТОКА;
- минимальное значение АНОДНОГО НАПРЯЖЕНИЯ при максимально допустимом значении АНОДНОГО ТОКА для данного АНОДНОГО НАПРЯЖЕНИЯ;
- комбинацию значений АНОДНОГО НАПРЯЖЕНИЯ и АНОДНОГО ТОКА, обеспечивающих максимальное значение электрической мощности;
- комбинацию значений АНОДНОГО НАПРЯЖЕНИЯ и АНОДНОГО ТОКА, обеспечивающих минимальное значение электрической мощности.
Серия измерений, требуемых для этого испытания, должна быть проведена без перерывов, желательно в течение одного часа.
Выполняют 10 нагрузок для каждого из выбранных ПАРАМЕТРОВ НАГРУЗКИ и измеряют ВОЗДУШНУЮ КЕРМУ в фиксированной точке 40 мм выше ШТАТИВА (СТОЛИКА) ДЛЯ ПАЦИЕНТА.
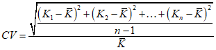
Рассчитывают коэффициент вариации для каждой серии ИЗМЕРЕННЫХ ЗНАЧЕНИЙ ВОЗДУШНОЙ КЕРМЫ.

,
где K1, K2, ..., Kn - ИЗМЕРЕННЫЕ ЗНАЧЕНИЯ ВОЗДУШНОЙ КЕРМЫ;
n - количество измерений (десять);

- среднее из 10 измерений.

,
где CV - среднее квадратичное отклонение.
203.6.4. Индикация рабочих состояний
203.6.4.2. Индикация НАГРУЗОЧНОГО СОСТОЯНИЯ
Дополнение:
203.6.4.2.101. НАГРУЗОЧНОЕ СОСТОЯНИЕ в маммографии
На ПУЛЬТЕ УПРАВЛЕНИЯ должны быть визуальные указания НАГРУЗОЧНОГО СОСТОЯНИЯ.
Завершение НАГРУЗОЧНОГО СОСТОЯНИЯ должно быть однозначно индуцировано на рабочем месте ОПЕРАТОРА звуковым сигналом независимо от того, завершение производится МЭ ИЗДЕЛИЕМ или ОПЕРАТОРОМ.
Если НАГРУЗОЧНОЕ СОСТОЯНИЕ указывается посредством однофункционального визуального индикатора, должен быть использован желтый цвет.
Соответствие проверяется экспертизой.
203.6.4.2.102. СОСТОЯНИЕ ГОТОВНОСТИ в маммографии
На ПУЛЬТЕ УПРАВЛЕНИЯ должна быть предусмотрена видимая индикация состояния, когда начинается НАГРУЗКА РЕНТГЕНОВСКОЙ ТРУБКИ при РЕНТГЕНОГРАФИИ.
Если это состояние указывается посредством однофункционального индикатора, должен быть использован зеленый цвет.
Соответствие проверяется экспертизой.
203.6.4.2.103. Дистанционная индикация СОСТОЯНИЯ ГОТОВНОСТИ в маммографии
Должны быть предусмотрены средства для индикации СОСТОЯНИЯ ГОТОВНОСТИ на расстоянии от ПУЛЬТА УПРАВЛЕНИЯ. Это требование не распространяется на ПЕРЕДВИЖНОЙ МАММОГРАФИЧЕСКИЙ РЕНТГЕНОВСКИЙ АППАРАТ.
203.6.4.3. Индикация ПАРАМЕТРОВ НАГРУЗКИ и РЕЖИМОВ РАБОТЫ
Дополнение:
203.6.4.3.101. Единицы индикации
Должны быть указаны следующие единицы:
- для АНОДНОГО НАПРЯЖЕНИЯ - киловольты (кВ);
- для АНОДНОГО ТОКА - миллиамперы (мА);
- для ВРЕМЕНИ НАГРУЗКИ - секунды (с) или миллисекунды (мс);
- для ВРЕМЕНИ ОБЛУЧЕНИЯ - секунды (с) или миллисекунды (мс);
- для ПРОИЗВЕДЕНИЯ ТОК-ВРЕМЯ - миллиампер x секунды (мАс).
Соответствие проверяется экспертизой.
203.6.4.3.102. Точность ПАРАМЕТРОВ НАГРУЗКИ
203.6.4.3.102.1. Общие положения
Примечание. Подпункты 203.6.4.3.102 и
203.6.4.3.103 содержат требования по установочным данным для МАММОГРАФИЧЕСКОГО РЕНТГЕНОВСКОГО АППАРАТА в части РЕНТГЕНОВСКОГО ГЕНЕРАТОРА, которые существенны для защиты от неправильного включения.
Требования этих подпунктов нормируют точность всех значений ПАРАМЕТРОВ НАГРУЗКИ, которые указаны, установлены или предварительно выбраны по отношению к ИЗМЕРЕННЫМ ЗНАЧЕНИЯМ тех же самых ПАРАМЕТРОВ НАГРУЗКИ.
| | ИС МЕГАНОРМ: примечание. В официальном тексте документа, видимо, допущена опечатка: пункт 203.6.4.3.104 в тексте документа отсутствует. | |
Соответствие проверяется испытаниями согласно 203.6.4.3.104.
203.6.4.3.102.2. Точность и воспроизводимость АНОДНОГО НАПРЯЖЕНИЯ
a) АНОДНОЕ НАПРЯЖЕНИЕ должно обеспечиваться с точностью +/- 5% ПРИБОРНОГО ЗНАЧЕНИЯ в пределах выбираемого диапазона.
b) Отклонение АНОДНОГО НАПРЯЖЕНИЯ должно быть равным или меньше 0,05.
c) ПРОЦЕНТНАЯ ПУЛЬСАЦИЯ выходного напряжения ВЫСОКОВОЛЬТНОГО ГЕНЕРАТОРА не должна быть более 4%.
203.6.4.3.102.3. Точность АНОДНОГО ТОКА
При работе МАММОГРАФИЧЕСКОГО РЕНТГЕНОВСКОГО АППАРАТА АНОДНЫЙ ТОК должен быть обеспечен с точностью +/- 20% от ПРИБОРНОГО ЗНАЧЕНИЯ в пределах измеряемого диапазона.
203.6.4.3.102.4. Точность ВРЕМЕНИ НАГРУЗКИ
При любой модификации МАММОГРАФИЧЕСКОГО РЕНТГЕНОВСКОГО АППАРАТА с принадлежностями ошибка значения ВРЕМЕНИ НАГРУЗКИ не должна быть больше +/- (10% + 1 мс) для любой комбинации ПАРАМЕТРОВ НАГРУЗКИ.
Подпункт применим, только если ВРЕМЯ НАГРУЗКИ равно ВРЕМЕНИ ОБЛУЧЕНИЯ ЭФФЕКТИВНОЙ ПОВЕРХНОСТИ ПРИЕМНИКА ИЗОБРАЖЕНИЯ в каждой точке или элементе ПРИЕМНИКА РЕНТГЕНОВСКОГО ИЗОБРАЖЕНИЯ.
Примечание. Примером МАММОГРАФИЧЕСКОГО РЕНТГЕНОВСКОГО АППАРАТА, где этот подпункт не действует, является система сканирования.
203.6.4.3.102.5. Точность ПРОИЗВЕДЕНИЯ ТОК-ВРЕМЯ
При любой модификации МАММОГРАФИЧЕСКОГО РЕНТГЕНОВСКОГО АППАРАТА с принадлежностями погрешность ПРОИЗВЕДЕНИЯ ТОК-ВРЕМЯ не должна быть больше +/- (10% + 0,2 мАс) от выбранного значения для любой комбинации ПАРАМЕТРОВ НАГРУЗКИ. Это требование также применяется в случаях, если ПРОИЗВЕДЕНИЕ ТОК-ВРЕМЯ рассчитывается.
203.6.4.3.103. Условия испытаний точности ПАРАМЕТРОВ НАГРУЗКИ
203.6.4.3.103.1. Точность и воспроизводимость АНОДНОГО НАПРЯЖЕНИЯ
Должны быть выполнены измерения при 30 кВ, при наиболее высоком и наиболее низком выбранных значениях АНОДНОГО НАПРЯЖЕНИЯ, при наиболее низком, среднем и наиболее высоком выбранном значении ПРОИЗВЕДЕНИЯ ТОК-ВРЕМЯ.
Производят 10 измерений для каждой комбинации АНОДНОГО НАПРЯЖЕНИЯ и ПРОИЗВЕДЕНИЯ ТОК-ВРЕМЯ, желательно в течение 1 часа.
Рассчитывают среднее значение и коэффициент вариации для каждой серии измерений для подтверждения соответствия.
203.6.4.3.103.2. Точность АНОДНОГО ТОКА
Должно быть выполнено измерение при наиболее низком ПРИБОРНОМ ЗНАЧЕНИИ АНОДНОГО ТОКА, наивысшем ПРИБОРНОМ ЗНАЧЕНИИ АНОДНОГО НАПРЯЖЕНИЯ и наиболее коротком ПРИБОРНОМ ЗНАЧЕНИИ ВРЕМЕНИ НАГРУЗКИ.
Должны быть выполнены измерения при наиболее низком ПРИБОРНОМ ЗНАЧЕНИИ АНОДНОГО ТОКА, наиболее высоком ПРИБОРНОМ ЗНАЧЕНИИ АНОДНОГО НАПРЯЖЕНИЯ и ВРЕМЕНИ НАГРУЗКИ приблизительно 1 с.
Должны быть выполнены измерения при наиболее высоком ПРИБОРНОМ ЗНАЧЕНИИ АНОДНОГО ТОКА, при наиболее высоком возможном значении АНОДНОГО НАПРЯЖЕНИЯ при ВРЕМЕНИ НАГРУЗКИ 1 с.
203.6.4.3.103.3. Точность ВРЕМЕНИ НАГРУЗКИ
Должно быть выполнено измерение при наиболее низком ПРИБОРНОМ ЗНАЧЕНИИ ВРЕМЕНИ НАГРУЗКИ, наиболее низком ПРИБОРНОМ ЗНАЧЕНИИ АНОДНОГО НАПРЯЖЕНИЯ и любом ПРИБОРНОМ ЗНАЧЕНИИ АНОДНОГО ТОКА.
Должно быть выполнено измерение при наиболее низком ПРИБОРНОМ ЗНАЧЕНИИ ВРЕМЕНИ НАГРУЗКИ и наиболее высокой допустимой электрической мощности P.
203.6.4.3.103.4. Точность ПРОИЗВЕДЕНИЯ ТОК-ВРЕМЯ
Должно быть выполнено измерение при наиболее низком ПРИБОРНОМ ЗНАЧЕНИИ ПРОИЗВЕДЕНИЯ ТОК-ВРЕМЯ, при наиболее высоком допустимом АНОДНОМ НАПРЯЖЕНИИ.
203.6.4.104. Индикация ДОПОЛНИТЕЛЬНЫХ ФИЛЬТРОВ
Если в РЕНТГЕНОВСКОМ АППАРАТЕ есть возможность выбора ДОПОЛНИТЕЛЬНОГО ФИЛЬТРА с помощью дистанционной или автоматической системы, выбранный ДОПОЛНИТЕЛЬНЫЙ ФИЛЬТР должен быть указан на ПУЛЬТЕ УПРАВЛЕНИЯ. Там, где ФИЛЬТР меняется автоматически, указание о его смене может появиться после завершения ОБЛУЧЕНИЯ.
Соответствие проверяется экспертизой и соответствующими функциональными испытаниями.
203.6.4.4. Индикация автоматического режима
Дополнение:
Для МАММОГРАФИЧЕСКОГО РЕНТГЕНОВСКОГО АППАРАТА, где регулирование условий экспозиции производится автоматически с помощью изменения одного или нескольких ПАРАМЕТРОВ НАГРУЗКИ, ДОПОЛНИТЕЛЬНЫХ ФИЛЬТРОВ или МИШЕНИ, должна быть дана информация в инструкции по эксплуатации об уровне взаимозависимости этих ПАРАМЕТРОВ НАГРУЗКИ.
Соответствие проверяется экспертизой и соответствующими функциональными испытаниями.
203.6.4.5. Дозиметрическая индикация
Дополнение:
Для МАММОГРАФИЧЕСКОГО РЕНТГЕНОВСКОГО АППАРАТА с цифровым приемником изображения СРЕДНЯЯ ПОГЛОЩЕННАЯ ДОЗА должна указываться для каждого полученного изображения.
203.6.5. СИСТЕМА АВТОМАТИЧЕСКОГО УПРАВЛЕНИЯ
Замена:
203.6.5.1. Общие требования к АВТОМАТИЧЕСКОМУ УПРАВЛЕНИЮ ЭКСПОЗИЦИОННОЙ ДОЗОЙ в МАММОГРАФИЧЕСКОМ РЕНТГЕНОВСКОМ АППАРАТЕ
МАММОГРАФИЧЕСКИЙ РЕНТГЕНОВСКИЙ АППАРАТ должен быть обеспечен АВТОМАТИЧЕСКИМ УПРАВЛЕНИЕМ ЭКСПОЗИЦИОННОЙ ДОЗОЙ.
Примечание. Включение ручного управления не противоречит этому требованию и может оказаться полезным в некоторых специальных случаях.
Рабочие характеристики, требуемые для ПРЕДУСМОТРЕННОГО ПРИМЕНЕНИЯ АВТОМАТИЧЕСКОГО УПРАВЛЕНИЯ ЭКСПОЗИЦИОННОЙ ДОЗОЙ, должны быть определены в ПРОЦЕССЕ МЕНЕДЖМЕНТА РИСКА и проверены соответствующими испытаниями.
Соответствие проверяется экспертизой и соответствующими испытаниями.
203.6.5.2. Требования к АВТОМАТИЧЕСКОМУ УПРАВЛЕНИЮ ЭКСПОЗИЦИОННОЙ ДОЗОЙ МАММОГРАФИЧЕСКОГО РЕНТГЕНОВСКОГО АППАРАТА без встроенного ПРИЕМНИКА РЕНТГЕНОВСКОГО ИЗОБРАЖЕНИЯ
Примечание. В данном подпункте устройство формирования изображения на основе стимулируемых люминофоров, входящих в состав МАММОГРАФИЧЕСКОГО РЕНТГЕНОВСКОГО АППАРАТА (либо в случае указания о его использовании в ПРЕДУСМОТРЕННОМ ПРИМЕНЕНИИ), рассматривается как встроенный цифровой ПРИЕМНИК РЕНТГЕНОВСКОГО ИЗОБРАЖЕНИЯ. Испытания для МАММОГРАФИЧЕСКОГО РЕНТГЕНОВСКОГО АППАРАТА в комплекте без встроенного ПРИЕМНИКА РЕНТГЕНОВСКОГО ИЗОБРАЖЕНИЯ с платой стимулируемого люминофора и/или считывающего устройства или без другого цифрового приемника должны проводиться вместе с ними и отвечать требованиям
подраздела 203.6.5.3.
МАММОГРАФИЧЕСКИЙ РЕНТГЕНОВСКИЙ АППАРАТ без встроенного ПРИЕМНИКА РЕНТГЕНОВСКОГО ИЗОБРАЖЕНИЯ должен испытываться с пленкой для проверки параметров АВТОМАТИЧЕСКОГО УПРАВЛЕНИЯ ЭКСПОЗИЦИОННОЙ ДОЗОЙ (АУЭ). Для МАММОГРАФИЧЕСКОГО РЕНТГЕНОВСКОГО АППАРАТА без встроенного ПРИЕМНИКА РЕНТГЕНОВСКОГО ИЗОБРАЖЕНИЯ ЭКСПЛУАТАЦИОННЫЕ ДОКУМЕНТЫ должны содержать информацию о характеристиках ПРИЕМНИКА РЕНТГЕНОВСКОГО ИЗОБРАЖЕНИЯ, который должен быть использован, чтобы обеспечить основные функциональные характеристики.
МАММОГРАФИЧЕСКИЙ РЕНТГЕНОВСКИЙ АППАРАТ, предназначенный для использования с конкретным невстроенным ЦИФРОВЫМ ПРИЕМНИКОМ ИЗОБРАЖЕНИЯ, может быть испытан с этим цифровым ПРИЕМНИКОМ РЕНТГЕНОВСКОГО ИЗОБРАЖЕНИЯ в соответствии с
подразделом 203.6.5.3.
В других случаях АУЭ должно обеспечивать постоянную плотность почернения при изменении толщин материала, эквивалентного молочной железе и при АНОДНОМ НАПРЯЖЕНИИ, соответствующем этим толщинам в диапазоне, указанном ИЗГОТОВИТЕЛЕМ для клинического применения. Соответствующая комбинация АНОДНОГО НАПРЯЖЕНИЯ и толщин объекта устанавливается ИЗГОТОВИТЕЛЕМ. Для клинического применения АУЭ должно работать при всех комбинациях режимов МАММОГРАФИЧЕСКОГО РЕНТГЕНОВСКОГО АППАРАТА: при наличии отсеивающего растра или без него, в режиме увеличенных снимков, в режиме стереотаксиса (если он предусмотрен), со всеми комбинациями материала МИШЕНЬ/ФИЛЬТР.
a) Методика испытаний
Измеряют оптическую плотность почернения рентгенограмм ФАНТОМОВ, выполненных из материалов, эквивалентных молочной железе. Рентгенограммы производят с помощью АВТОМАТИЧЕСКОГО УПРАВЛЕНИЯ ЭКСПОЗИЦИОННОЙ ДОЗОЙ. Определяют колебания плотности при различных АНОДНЫХ НАПРЯЖЕНИЯХ.
b) Условия испытаний
Используют следующие режимы испытаний:
1) ФОКУСНОЕ РАССТОЯНИЕ остается постоянным при всех испытаниях серий.
2) Выбирают АНОДНОЕ НАПРЯЖЕНИЕ, МИШЕНЬ и ФИЛЬТРАЦИЮ для разных толщин ФАНТОМОВ. Выбирают устанавливаемую плотность, типичную для клинического использования.
3) Используют маммографическую рентгенографическую кассету размером 18 x 24 см, тот же размер кассеты используют при всех испытаниях в сериях. Если МАММОГРАФИЧЕСКИЙ РЕНТГЕНОВСКИЙ АППАРАТ содержит более одного ШТАТИВА (СТОЛИКА) ДЛЯ ПАЦИЕНТА, испытания АУЭ производятся для всех этих устройств.
4) Испытывают толщины в диапазоне от 20 до 70 мм ступенями с шагом 10 мм. Размер фантомов должен быть достаточным, чтобы перекрыть чувствительную область детектора АУЭ, например 10 x 15 см или полукруг радиусом 100 мм. Больший размер не рекомендуется из-за повышенного воздействия рассеянного излучения. Фантом должен выступать на 10 мм за пределы стенки ШТАТИВА (СТОЛИКА) ДЛЯ ПАЦИЕНТА и по крайней мере на 10 мм за край детектора АУЭ.
5) Если удален отсеивающий растр или ШТАТИВ (СТОЛИК) ДЛЯ ПАЦИЕНТА не содержит растра, АУЭ должны испытываться и в этих конфигурациях.
6) Должна быть обеспечена одна точность воспроизводимости процесса обработки пленки и измерения оптической плотности почернения обработанной пленки. Стабильность этого процесса во время испытаний АУЭ должна регулярно проверяться и регистрироваться с помощью сенситометра по крайней мере в начале, в середине и в конце испытания. Не рекомендуется делить испытания на отдельные части, также недопустимо проводить испытания при нестабильных условиях фотообработки. Если существует небольшая нестабильность параметров проявления во время испытаний, это должно быть учтено при анализе результатов.
c) Рентгенографическая пленка и усиливающий экран
Используется та же комбинация рентгенографической пленки, усиливающего экрана и рентгенографической кассеты, которая указана в инструкции по эксплуатации. Если для специальных процедур, например стереотаксиса или рентгенографии с увеличением, используется другой усиливающий экран, АУЭ должно испытываться также с этим экраном.
d) Установка АВТОМАТИЧЕСКОГО УПРАВЛЕНИЯ ЭКСПОЗИЦИОННОЙ ДОЗОЙ:
- при установке ФАНТОМА на ШТАТИВ (СТОЛИК) ДЛЯ ПАЦИЕНТА убедитесь, что перекрыта вся поверхность чувствительного элемента АУЭ;
- режимы выбирают в соответствии с инструкцией по эксплуатации.
e) Критерии соответствия
ИЗМЕРЕННЫЕ ЗНАЧЕНИЯ оптической плотности почернения пленки должны быть в пределах 0,3 для диапазона толщин тканеэквивалентного материала от 20 до 70 мм.
203.6.5.3. Требования к АВТОМАТИЧЕСКОМУ УПРАВЛЕНИЮ ЭКСПОЗИЦИОННОЙ ДОЗОЙ для МАММОГРАФИЧЕСКОГО РЕНТГЕНОВСКОГО АППАРАТА со встроенным цифровым ПРИЕМНИКОМ РЕНТГЕНОВСКОГО ИЗОБРАЖЕНИЯ
203.6.5.3.1. Общие требования
Примечание. В данном подпункте система считывания на основе стимулируемых люминофоров, включенная в состав МАММОГРАФИЧЕСКОГО РЕНТГЕНОВСКОГО АППАРАТА или указанная для эксплуатации, рассматривается как встроенный цифровой приемник рентгеновского изображения.
Эксплуатационные качества АУЭ должны оцениваться качеством изображения, выраженным ОТНОШЕНИЕМ КОНТРАСТ/ШУМ при заданных условиях и измеренной дозой на ПАЦИЕНТА, определяемой СРЕДНЕЙ ПОГЛОЩЕННОЙ ДОЗОЙ, и сравнением полученных результатов с предусмотренными характеристиками.
Требуемые комбинации АНОДНОГО НАПРЯЖЕНИЯ и толщин объекта устанавливаются, как указано ИЗГОТОВИТЕЛЕМ. АУЭ должна быть работоспособной во всех вариантах клинического применения МАММОГРАФИЧЕСКОГО РЕНТГЕНОВСКОГО АППАРАТА: с растром, без растра, в условиях увеличения снимков и (если это предусмотрено) в режиме стереотаксиса со всеми комбинациями МИШЕНЬ/ФИЛЬТР.
Все комбинации режимов МАММОГРАФИЧЕСКОГО РЕНТГЕНОВСКОГО АППАРАТА (увеличение, режим стереотаксиса и т.п.), где работает АУЭ, должны испытываться в соответствующих условиях, указанных ИЗГОТОВИТЕЛЕМ.
Примечание. Пример таких испытаний приведен в МЭК 61223-3-2.
203.6.5.3.2. Воспроизводимость АВТОМАТИЧЕСКОГО УПРАВЛЕНИЯ ЭКСПОЗИЦИОННОЙ ДОЗОЙ
Воспроизводимость АУЭ должна проверяться повторными рентгенограммами ФАНТОМА при заданных условиях, с измерением изменения НАГРУЗКИ РЕНТГЕНОВСКОЙ ТРУБКИ (мАс), ВОЗДУШНОЙ КЕРМЫ или среднего сигнала ПИКСЕЛЯ и сравнением результатов, как указано в
перечислении c). Критерий соответствия
перечислению c) указан ниже.
Устанавливая клинически используемые АНОДНОЕ НАПРЯЖЕНИЕ и комбинации МИШЕНЬ/ФИЛЬТР, измеряют следующие параметры:
- НАГРУЗКУ РЕНТГЕНОВСКОЙ ТРУБКИ (мАс);
- ВОЗДУШНУЮ КЕРМУ при фиксированном положении БЛОКА ИСТОЧНИКА РЕНТГЕНОВСКОГО ИЗЛУЧЕНИЯ и ПРИЕМНИКА РЕНТГЕНОВСКОГО ИЗОБРАЖЕНИЯ;
- среднее значение линеаризованного сигнала ПИКСЕЛЕЙ в области интереса на изображении ФАНТОМА.
Для пяти значений НАГРУЗОК с ФАНТОМОМ, выполненным из тканеэквивалентного материала, воды или полиметилметакрилата (ПММА), определяют отклонения измеренных параметров для каждого значения НАГРУЗКИ от среднего значения.
Дополнительно, если это предусмотрено, производится регулировка чувствительности АУЭ, измерение производится в соответствии с настоящим
подпунктом a) (см. выше). В каждом случае, предусмотренном ИЗГОТОВИТЕЛЕМ, при одном и том же АНОДНОМ НАПРЯЖЕНИИ, комбинации МИШЕНЬ/ФИЛЬТР и конфигурации ФАНТОМА определяются отклонения параметров
пункта a) для каждой НАГРУЗКИ.
b) Условия испытаний
Используются следующие условия испытаний:
1) ПРЯМОЕ ФОКУСНОЕ РАССТОЯНИЕ остается неизменным при всех испытаниях серии;
2) должен быть подключен дозиметр или другое измерительное устройство, чтобы избежать повреждения чувствительной поверхности АУЭ.
Соответствие достигается, если ни одно ИЗМЕРЕННОЕ ЗНАЧЕНИЕ параметров не отличается больше чем на 15% от среднего для испытанной НАГРУЗКИ или среднего значения, указанного ИЗГОТОВИТЕЛЕМ.
203.6.7. Формирование изображения
203.6.7.3. НОМИНАЛЬНОЕ ЗНАЧЕНИЕ ФОКУСНОГО ПЯТНА
Дополнение:
Требования дополнительного стандарта должны проверяться, если НОМИНАЛЬНОЕ ЗНАЧЕНИЕ ФОКУСНОГО ПЯТНА РЕНТГЕНОВСКОЙ ТРУБКИ меньше или равно 0,4 в режиме контактной съемки в соответствии с МЭК 60336 или если НОМИНАЛЬНОЕ ЗНАЧЕНИЕ ФОКУСНОГО ПЯТНА для геометрического увеличения меньше или равно 0,2 в соответствии с МЭК 60336.
203.6.7.4. ДЕТЕКТОР ИЗЛУЧЕНИЯ или ПРИЕМНИК РЕНТГЕНОВСКОГО ИЗОБРАЖЕНИЯ
Замена:
203.6.7.4.1. Невстроенный ПРИЕМНИК РЕНТГЕНОВСКОГО ИЗОБРАЖЕНИЯ
Если в системе отсутствует встроенный ПРИЕМНИК РЕНТГЕНОВСКОГО ИЗОБРАЖЕНИЯ, в ЭКСПЛУАТАЦИОННЫХ ДОКУМЕНТАХ должны быть приведены типы или характеристики ПРИЕМНИКОВ РЕНТГЕНОВСКОГО ИЗОБРАЖЕНИЯ, которые должны применяться. В качестве приемников могут быть применимы:
- рентгеновские кассеты с усиливающими экранами и рентгенографической пленкой, сенситометрические свойства которых соответствуют ИСО 9236-3;
- невстроенные экраны со стимулируемыми люминофорами и устройствами считывания.
203.6.7.4.2. Встроенные РЕНТГЕНОВСКИЕ ПРИЕМНИКИ ИЗОБРАЖЕНИЯ
203.6.7.4.2.1. Общие положения
Если цифровой ПРИЕМНИК РЕНТГЕНОВСКОГО ИЗОБРАЖЕНИЯ встроен в МАММОГРАФИЧЕСКИЙ РЕНТГЕНОВСКИЙ АППАРАТ, то характеристики его изображения должны быть обозначены в ФАЙЛЕ МЕНЕДЖМЕНТА РИСКА в соответствии с МЭК 62220-1-2. Эти требования должны обеспечить рациональное использование РЕНТГЕНОВСКОГО ИЗЛУЧЕНИЯ.
Соответствие проверяется экспертизой ФАЙЛА МЕНЕДЖМЕНТА РИСКА.
203.6.7.4.2.2. ДЕФЕКТНЫЕ ЭЛЕМЕНТЫ ДЕТЕКТОРА
ИЗГОТОВИТЕЛЬ должен указывать:
- максимально допустимое число отдельных ДЕФЕКТНЫХ ЭЛЕМЕНТОВ ДЕТЕКТОРОВ по всей ПОВЕРХНОСТИ ПРИЕМНИКА ИЗОБРАЖЕНИЯ и максимально допустимое количество и их распределение в конкретных зонах ПОВЕРХНОСТИ ПРИЕМНИКА ИЗОБРАЖЕНИЯ;
- максимально допустимый размер и число рядом расположенных ДЕФЕКТНЫХ ЭЛЕМЕНТОВ ДЕТЕКТОРА, их распределение во входной ПОВЕРХНОСТИ ПРИЕМНИКА РЕНТГЕНОВСКОГО ИЗОБРАЖЕНИЯ, их максимально допустимое количество и их распределение в конкретных зонах ПОВЕРХНОСТИ ПРИЕМНИКА ИЗОБРАЖЕНИЯ, а также их распределение по топологическому признаку (например, соседство двух элементов, трех элементов, два на два и т.д.);
- максимально допустимое число дефектных строк, столбцов, сегментов и минимально допустимое расстояние между дефектными строками или столбцами с их шириной, длиной и распределением по всей ПОВЕРХНОСТИ ПРИЕМНИКА ИЗОБРАЖЕНИЯ, а также максимально допустимое число и их распределение в конкретных зонах ПОВЕРХНОСТИ ПРИЕМНИКА ИЗОБРАЖЕНИЯ.
Эти дефекты не должны существенно ухудшать качество изображения при ПРЕДУСМОТРЕННОМ ПРИМЕНЕНИИ.
ИЗГОТОВИТЕЛЬ должен определить, описать и точно указать допустимые свойства, число, размещение ДЕФЕКТНЫХ ЭЛЕМЕНТОВ ДЕТЕКТОРА в ФАЙЛЕ МЕНЕДЖМЕНТА РИСКА.
Должно быть обеспечено:
- определение и идентификация ДЕФЕКТНЫХ ЭЛЕМЕНТОВ ДЕТЕКТОРА, присутствующих в цифровом ПРИЕМНИКЕ РЕНТГЕНОВСКОГО ИЗОБРАЖЕНИЯ, в категориях, как указано выше;
- ВОЗМОЖНОСТЬ ОТВЕТСТВЕННОЙ ОРГАНИЗАЦИИ определить соответствие параметров цифрового ПРИЕМНИКА РЕНТГЕНОВСКОГО ИЗОБРАЖЕНИЯ установленным в документации требованиям, без ухудшения параметров качества изображения, соответствующего ПРЕДУСМОТРЕННОМУ ПРИМЕНЕНИЮ;
- должно быть приведено описание ДЕФЕКТНЫХ ЭЛЕМЕНТОВ ДЕТЕКТОРА, которые участвовали в испытаниях по 203.6.7.4.2.3, если требуется. Должно быть представлено это же описание в ОТВЕТСТВЕННУЮ ОРГАНИЗАЦИЮ.
Инструкция по эксплуатации должна содержать указания о том, как и где применять предусмотренные средства для контроля качества или обслуживания МЭ ИЗДЕЛИЯ ОТВЕТСТВЕННОЙ ОРГАНИЗАЦИЕЙ или под ее контролем.
Соответствие проверяется экспертизой ФАЙЛА МЕНЕДЖМЕНТА РИСКА и ЭКСПЛУАТАЦИОННЫХ ДОКУМЕНТОВ.
203.6.7.4.2.3.* Замещение данных, полученных от ДЕФЕКТНЫХ ЭЛЕМЕНТОВ ДЕТЕКТОРА
Должны быть предусмотрены средства для замещения данных, полученных от ДЕФЕКТНЫХ ЭЛЕМЕНТОВ ДЕТЕКТОРА, таким образом, чтобы элементы изображения не содержали значительной разности сигналов с исправными соседними элементами, т.е. были близки к сигналам соседних элементов цифрового ПРИЕМНИКА РЕНТГЕНОВСКОГО ИЗОБРАЖЕНИЯ.
Этот процесс замещения должен соответствовать текущему состоянию цифрового ПРИЕМНИКА РЕНТГЕНОВСКОГО ИЗОБРАЖЕНИЯ или последним данным о ДЕФЕКТНЫХ ЭЛЕМЕНТАХ ДЕТЕКТОРОВ.
ПРОЦЕСС замещения должен быть применен для каждого изображения, использованного в клинической практике при ПРЕДУСМОТРЕННОМ ПРИМЕНЕНИИ.
ФАЙЛ МЕНЕДЖМЕНТА РИСКА должен включать:
- описание ПРОЦЕССА ЗАМЕЩЕНИЯ ДАННЫХ;
- значение параметров после ПРОЦЕССА замещения данных;
- обоснование способности ПРОЦЕССА замещения удовлетворить требованиям.
Для ОТВЕТСТВЕННОЙ ОРГАНИЗАЦИИ должна быть представлена информация об обеспечении ПРОЦЕССА замещения для достижения требуемых характеристик. ПРОЦЕСС замещения может быть автоматическим или представлять собой часть процедуры контроля качества, выполняемой ОТВЕТСТВЕННОЙ ОРГАНИЗАЦИЕЙ. Инструкция по эксплуатации должна содержать указание, как и когда использовать эту процедуру, и описание мер, которые должны быть приняты в случае неудачи.
Соответствие проверяется экспертизой ФАЙЛА МЕНЕДЖМЕНТА РИСКА и ЭКСПЛУАТАЦИОННЫХ ДОКУМЕНТОВ.
203.6.7.4.2.4. Однородность изображения
Локальные колебания изображения встроенного цифрового ПРИЕМНИКА РЕНТГЕНОВСКОГО ИЗОБРАЖЕНИЯ не должны ухудшать требуемые характеристики качества изображения.
Примечания
1. Источники неоднородности изображения включают:
- непостоянство "темновых пьедесталов" отдельных элементов детектора;
- непостоянство чувствительности отдельных элементов детектора;
- непостоянство скорости для сканирующих маммографических рентгеновских аппаратов.
2. Дополнительным источником неоднородности изображения является неравномерность ПОЛЯ РЕНТГЕНОВСКОГО ИЗЛУЧЕНИЯ.
ФАЙЛ МЕНЕДЖМЕНТА РИСКА должен содержать параметры и обоснования однородности изображения, требуемой в клинической практике ПРЕДУСМОТРЕННОГО ПРИМЕНЕНИЯ в диапазоне эффективных энергий применяемого рентгеновского излучения (комбинации материала мишени, ОБЩАЯ ФИЛЬТРАЦИЯ, АНОДНОЕ НАПРЯЖЕНИЕ и толщины объекта), а также динамический диапазон РЕНТГЕНОВСКОГО ПРИЕМНИКА ИЗОБРАЖЕНИЯ, отнесенный к номинальному рабочему уровню(ям).
Должны быть обеспечены средства для:
- возможности коррекции каждого изображения, используемого в клинической практике для достижения требуемой однородности;
- информации ОТВЕТСТВЕННОЙ ОРГАНИЗАЦИИ о достаточности уровня однородности (или недостаточности). Эти средства могут быть автоматическими или составлять часть процедуры контроля качества, проводимой ОТВЕТСТВЕННОЙ ОРГАНИЗАЦИЕЙ. В этом случае инструкция по эксплуатации должна содержать информацию о том, как и когда использовать эти средства, а также описание мер, которые должны быть приняты в случае неудачи.
Соответствие подтверждается экспертизой ФАЙЛА МЕНЕДЖМЕНТА РИСКА и ЭКСПЛУАТАЦИОННЫХ ДОКУМЕНТОВ.
Дополнительные подпункты:
203.6.7.101. Однородность материалов в пучке излучения в БЛОКЕ ИСТОЧНИКА РЕНТГЕНОВСКОГО ИЗЛУЧЕНИЯ
Используемые в БЛОКЕ ИСТОЧНИКА РЕНТГЕНОВСКОГО ИЗЛУЧЕНИЯ материалы не должны создавать недопустимых артефактов на рентгеновском изображении.
Это требование должно распространяться:
- на изображения с допустимым увеличением для всех комбинаций ФОКУСНЫХ ПЯТЕН при всех геометрических условиях;
- на все используемые комбинации материалов МИШЕНИ и ДОПОЛНИТЕЛЬНОЙ ФИЛЬТРАЦИИ при самом низком значении АНОДНОГО НАПРЯЖЕНИЯ;
- на изображение ФАНТОМА, изготовленного из однородной пластины, перекрывающей всю эффективную ПОВЕРХНОСТЬ ПРИЕМНИКА РЕНТГЕНОВСКОГО ИЗОБРАЖЕНИЯ, при минимальной ее толщине, соответствующей допустимой энергии излучения;
- для невстроенных ПРИЕМНИКОВ РЕНТГЕНОВСКОГО ИЗОБРАЖЕНИЯ: если используется ПРИЕМНИК РЕНТГЕНОВСКОГО ИЗОБРАЖЕНИЯ по подпункту 203.7.6.4.1, обеспечивающий наивысшую чувствительность к АРТЕФАКТАМ. В этом случае ПРИЕМНИК РЕНТГЕНОВСКОГО ИЗОБРАЖЕНИЯ должен быть помещен на вспомогательный ШТАТИВ, обеспечивающий исключение колебаний обычного ШТАТИВА ПРИЕМНИКА РЕНТГЕНОВСКОГО ИЗОБРАЖЕНИЯ;
- для встроенных ПРИЕМНИКОВ РЕНТГЕНОВСКОГО ИЗОБРАЖЕНИЯ после удаления всех материалов между ФАНТОМОМ И ВХОДНОЙ ПОВЕРХНОСТЬЮ ПРИЕМНИКА РЕНТГЕНОВСКОГО ИЗОБРАЖЕНИЯ;
- при наиболее благоприятных условиях наблюдения изображения, используемых в клинической практике.
Более подробный метод определения и обозначения допустимых АРТЕФАКТОВ должен быть включен в ФАЙЛ МЕНЕДЖМЕНТА РИСКА.
Соответствие проверяется экспертизой ФАЙЛА МЕНЕДЖМЕНТА РИСКА И ЭКСПЛУАТАЦИОННЫХ ДОКУМЕНТОВ.
203.6.7.102. Движение ОТСЕИВАЮЩЕГО РАСТРА при максимальном компрессионном усилии
Для МАММОГРАФИЧЕСКОГО РЕНТГЕНОВСКОГО АППАРАТА с подвижным ОТСЕИВАЮЩИМ РАСТРОМ максимальное усилие УСТРОЙСТВА ДЛЯ КОМПРЕССИИ МОЛОЧНОЙ ЖЕЛЕЗЫ не должно препятствовать движению ОТСЕИВАЮЩЕГО РАСТРА.
Соответствие проверяется следующими испытаниями:
Скорость движения растра может быть определена косвенно с использованием параметра, зависящего от скорости (например, частоты привода движения).
Включают растр и определяют скорость его движения без компрессии.
УСТРОЙСТВО ДЛЯ КОМПРЕССИИ МОЛОЧНОЙ ЖЕЛЕЗЫ устанавливают в режим максимального усилия. Используют тест-объект и методику по
203.8.5.4.102.5.
Включают растр и определяют скорость его движения в этом режиме.
Отключают компрессионное усилие.
Повторяют испытания на +/- 90° и на 180° или на максимально близком значении к этим углам относительно первоначальной ориентации МАММОГРАФИЧЕСКОГО РЕНТГЕНОВСКОГО АППАРАТА.
Повторяют эти испытания для всех размеров ПРИЕМНИКА РЕНТГЕНОВСКОГО ИЗОБРАЖЕНИЯ.
Соответствие считается установленным, если все варианты компрессионного усилия не влияют на скорость движения ОТСЕИВАЮЩЕГО РАСТРА.
Примечание. Целесообразно объединить испытания по
203.8.5.4.102.5 с вышеизложенным.
203.6.7.103. Артефакты от линий растра
203.6.7.103.1. Требования
При условиях наблюдения, принятых для диагностики, при заданных толщинах фантомов, повороте МАММОГРАФИЧЕСКОГО РЕНТГЕНОВСКОГО АППАРАТА и компрессионных усилиях не должно быть обнаружено артефактов от ОТСЕИВАЮЩЕГО РАСТРА.
203.6.7.103.2. Испытательное оборудование
Требуется следующее испытательное оборудование:
- ФАНТОМ 20 мм толщины из ПММА, имеющий достаточные размеры, чтобы перекрыть ЭФФЕКТИВНУЮ ПОВЕРХНОСТЬ ПРИЕМНИКА ИЗОБРАЖЕНИЯ;
- алюминиевая пластина толщиной 2 мм с размерами, достаточными, чтобы перекрыть рабочий пучок излучения при движении, описанном выше;
- если РЕНТГЕНОВСКИЙ АППАРАТ используется с рентгенографической пленкой: денситометр с диапазоном оптической плотности 0 - 4,0, рентгенографические кассеты с усиливающими экранами и рентгенографическими пленками для каждого формата.
203.6.7.103.3. Методика испытаний
Устанавливают МАММОГРАФИЧЕСКИЙ РЕНТГЕНОВСКИЙ АППАРАТ в положение краниокаудальной проекции груди и приводят РЕНТГЕНОВСКИЙ АППАРАТ в режим растровой маммографии. Устанавливают компрессионную плату для обеспечения максимального усилия компрессии для выбранного формата ПРИЕМНИКА РЕНТГЕНОВСКОГО ИЗОБРАЖЕНИЯ. Устанавливают алюминиевую пластину между БЛОКОМ ИСТОЧНИКА РЕНТГЕНОВСКОГО ИЗЛУЧЕНИЯ и компрессионной платой так, чтобы полностью перекрыть рабочий ПУЧОК РЕНТГЕНОВСКОГО ИЗЛУЧЕНИЯ. Проводят экспонирование в режиме АУЭ, чтобы определить ПРОИЗВЕДЕНИЕ ТОК-ВРЕМЯ. Удаляют алюминиевую пластину и устанавливают фантом ПММА на ШТАТИВ (СТОЛИК) ДЛЯ ПАЦИЕНТА, центрируют в боковой проекции так, чтобы один край фантома был максимально приближен к краю ШТАТИВА (СТОЛИКА) ДЛЯ ПАЦИЕНТА, что соответствует расположению грудной клетки ПАЦИЕНТА. Производят облучение, используя установленное предварительно ПРОИЗВЕДЕНИЕ ТОК-ВРЕМЯ и ПРОЦЕСС получения рентгеновского изображения.
Испытания должны быть повторены через 90° относительно начального положения МАММОГРАФИЧЕСКОГО РЕНТГЕНОВСКОГО АППАРАТА (0°, +/- 90° и 180° или максимально близко к этим значениям).
203.6.7.103.4. Оценка результатов
Соответствие считается установленным, если ни одной линии растра не видно на изображениях.
203.6.7.104. Максимальное ВРЕМЯ НАГРУЗКИ
203.6.7.104.1. Минимальная МОЩНОСТЬ ВОЗДУШНОЙ КЕРМЫ
Требования этого подпункта относятся к МАММОГРАФИЧЕСКИМ РЕНТГЕНОВСКИМ АППАРАТАМ без встроенного ПРИЕМНИКА РЕНТГЕНОВСКОГО ИЗОБРАЖЕНИЯ, при выбранном наибольшем ФОКУСНОМ ПЯТНЕ и АНОДНОМ НАПРЯЖЕНИИ 28 кВ.
Если в качестве материала МИШЕНИ или КРАЕВОГО ФИЛЬТРА использован молибден, МАММОГРАФИЧЕСКИЙ РЕНТГЕНОВСКИЙ АППАРАТ должен создавать минимальную МОЩНОСТЬ ВОЗДУШНОЙ КЕРМЫ 7,0 мГр·с при любом ПРЯМОМ ФОКУСНОМ РАССТОЯНИИ при ПРЕДУСМОТРЕННОМ ПРИМЕНЕНИИ. Для других комбинаций МИШЕНИ и КРАЕВОГО ФИЛЬТРА минимальная МОЩНОСТЬ ВОЗДУШНОЙ КЕРМЫ должна быть определена умножением на коэффициент, приведенный в таблице 203.101. МАММОГРАФИЧЕСКИЙ РЕНТГЕНОВСКИЙ АППАРАТ должен быть способен создавать требуемый минимум МОЩНОСТИ ВОЗДУШНОЙ КЕРМЫ за ВРЕМЯ НАГРУЗКИ до 3 с.
Таблица 203.101
Минимальные значения ОБЩЕЙ ФИЛЬТРАЦИИ и коэффициента
для определения минимальной МОЩНОСТИ ВОЗДУШНОЙ КЕРМЫ
Мишень/Краевой фильтр | Mo/Mo | Mo/Rh | W/Mo | W/Rh | Rh/Rh |
Минимальная общая фильтрация | 30 мкм Mo | 25 мкм Rh | 60 мкм Mo | 50 мкм Rh | 25 мкм Rh |
Коэффициент | 1,0 | 0,86 | 0,41 | 0,38 | 0,58 |
Примечание. Каждое значение приведенного коэффициента есть отношение значений радиационного выхода РЕНТГЕНОВСКОГО ИЗЛУЧЕНИЯ (мкГр/мАс) при указанной комбинации МИШЕНЬ/ФИЛЬТР и комбинации Mo/Mo при АНОДНОМ НАПРЯЖЕНИИ 28 кВ.
Проведение испытаний:
БЛОК ИСТОЧНИКА РЕНТГЕНОВСКОГО ИЗЛУЧЕНИЯ, ДИАФРАГМА и ДЕТЕКТОР ИЗЛУЧЕНИЯ устанавливаются для измерений в УСЛОВИЯХ УЗКОГО ПУЧКА без компрессионной пластины. При этом необходимо убедиться, что КАЧЕСТВО ИЗЛУЧЕНИЯ РЕНТГЕНОВСКОГО ПУЧКА, испускаемого БЛОКОМ ИСТОЧНИКА РЕНТГЕНОВСКОГО ИЗЛУЧЕНИЯ, соответствует условиям НОРМАЛЬНОЙ ЭКСПЛУАТАЦИИ. Если такие условия не обозначены, следует убедиться, что ОБЩАЯ ФИЛЬТРАЦИЯ в БЛОКЕ ИСТОЧНИКА РЕНТГЕНОВСКОГО ИЗЛУЧЕНИЯ соответствует МЭК 60601-1-3. Измеряют значение ВОЗДУШНОЙ КЕРМЫ в точке на 40 мм выше ШТАТИВА (СТОЛИКА) ДЛЯ ПАЦИЕНТА и на 60 мм от грудной клетки по центральной линии.
Соответствие проверяется испытанием.
203.6.7.104.2. Максимальное ВРЕМЯ НАГРУЗКИ, используемое при типичном РЕЖИМЕ РАБОТЫ
Требования этого подпункта распространяются на МАММОГРАФИЧЕСКИЙ РЕНТГЕНОВСКИЙ АППАРАТ со встроенным ПРИЕМНИКОМ РЕНТГЕНОВСКОГО ИЗОБРАЖЕНИЯ без сканирования.
ВРЕМЯ НАГРУЗКИ при средней толщине компримированной молочной железы 45 мм при НОРМАЛЬНОЙ ЭКСПЛУАТАЦИИ не должно превышать 2 с при большом ФОКУСНОМ ПЯТНЕ.
Соответствие проверяется следующим испытанием:
- используют фантом прямоугольной формы из полиметилметакрилата (ПММА) толщиной 40 мм (фантом может состоять из нескольких слоев) со сторонами, равными или больше 150 мм;
- устанавливают фантом на ШТАТИВ (СТОЛИК) ДЛЯ ПАЦИЕНТА;
- производят экспонирование как при средней толщине компримированной молочной железы 45 мм;
- измеряют ВРЕМЯ НАГРУЗКИ.
203.7. КАЧЕСТВО ИЗЛУЧЕНИЯ
203.7.1. СЛОЙ ПОЛОВИННОГО ОСЛАБЛЕНИЯ и ОБЩАЯ ФИЛЬТРАЦИЯ РЕНТГЕНОВСКОГО АППАРАТА
Замена:
КАЧЕСТВО ИЗЛУЧЕНИЯ РЕНТГЕНОВСКОГО ПУЧКА РЕНТГЕНОВСКОГО АППАРАТА должно обеспечивать получение изображения без чрезмерного облучения ПАЦИЕНТА.
ОБЩАЯ ФИЛЬТРАЦИЯ пучка должна быть достаточной, чтобы достигнуть указанные выше цели. Требование минимальной ФИЛЬТРАЦИИ приводится здесь в единицах общей ЭКВИВАЛЕНТНОЙ ПО КАЧЕСТВУ ФИЛЬТРАЦИИ или в значениях первого СЛОЯ ПОЛОВИННОГО ОСЛАБЛЕНИЯ для заданного АНОДНОГО НАПРЯЖЕНИЯ.
В МАММОГРАФИЧЕСКОМ РЕНТГЕНОВСКОМ АППАРАТЕ для всех модификаций, предусмотренных для НОРМАЛЬНОЙ ЭКСПЛУАТАЦИИ, и для всех комбинаций МИШЕНЬ/ФИЛЬТР, приведенных в
таблице 203.101, ОБЩАЯ ФИЛЬТРАЦИЯ должна быть не менее приведенной в
таблице 203.101 при соответствующем КРАЕВОМ ФИЛЬТРЕ.
Для комбинаций МИШЕНЬ/ФИЛЬТР, которые не приведены в
таблице 203.101, ОБЩАЯ ФИЛЬТРАЦИЯ должна быть достаточно высокой, чтобы первый СЛОЙ ПОЛОВИННОГО ОСЛАБЛЕНИЯ (выраженный в мм AI), исключая материал компрессионной пластины, был не меньше значения высокого напряжения (выраженного в кВ), разделенного на 100, для всех модификаций, предусмотренных для НОРМАЛЬНОЙ ЭКСПЛУАТАЦИИ.
Материал компрессионной пластины не включается в ОБЩУЮ ФИЛЬТРАЦИЮ.
Дополнение:
203.7.1.101. Предотвращение нефильтрованного ОБЛУЧЕНИЯ
Если в БЛОК ИСТОЧНИКА РЕНТГЕНОВСКОГО ИЗЛУЧЕНИЯ включены выбираемые ДОПОЛНИТЕЛЬНЫЕ ФИЛЬТРЫ, должны быть предусмотрены средства для предотвращения ОБЛУЧЕНИЯ при отсутствии ДОПОЛНИТЕЛЬНЫХ ФИЛЬТРОВ.
203.7.3. Индикация свойств ФИЛЬТРА
Дополнение:
Вместо указания на маркировке РЕНТГЕНОВСКОГО ИЗЛУЧАТЕЛЯ требований в соответствии с подразделом 7.3 МЭК 60601-1-3 свойства фильтра РЕНТГЕНОВСКОГО ИЗЛУЧАТЕЛЯ могут указываться в ЭКСПЛУАТАЦИОННЫХ ДОКУМЕНТАХ, если предусмотрен один тип РЕНТГЕНОВСКОГО ИЗЛУЧАТЕЛЯ или РЕНТГЕНОВСКИЙ ИЗЛУЧАТЕЛЬ недоступен при НОРМАЛЬНОЙ ЭКСПЛУАТАЦИИ.
203.7.6. Испытание СЛОЯ ПОЛОВИННОГО ОСЛАБЛЕНИЯ
Замена:
Для РЕНТГЕНОВСКОГО АППАРАТА, предназначенного для маммографии, компрессионная пластина не вводится в РЕНТГЕНОВСКИЙ ПУЧОК при определении СЛОЯ ПОЛОВИННОГО ОСЛАБЛЕНИЯ.
Примечание. Исключение компрессионной пластины не противоречит 7.6 МЭК 60601-1-3, поскольку МАММОГРАФИЧЕСКИЙ РЕНТГЕНОВСКИЙ АППАРАТ обычно включает перфорированную компрессионную пластину для биопсии.
Для каждого ДОПОЛНИТЕЛЬНОГО ФИЛЬТРА, необходимого для обеспечения ОБЩЕЙ ФИЛЬТРАЦИИ в МАММОГРАФИЧЕСКОМ РЕНТГЕНОВСКОМ АППАРАТЕ, приведенного в 201.7.1, измерение первого СЛОЯ ПОЛОВИННОГО ОСЛАБЛЕНИЯ в УСЛОВИЯХ УЗКОГО ПУЧКА производится на МАММОГРАФИЧЕСКОМ РЕНТГЕНОВСКОМ АППАРАТЕ при условиях:
- минимально выбранном значении АНОДНОГО НАПРЯЖЕНИЯ;
- на одном среднем значении АНОДНОГО НАПРЯЖЕНИЯ при НОРМАЛЬНОЙ ЭКСПЛУАТАЦИИ.
При этом ПАРАМЕТРЫ НАГРУЗКИ должны соответствовать диапазону НОРМАЛЬНОЙ ЭКСПЛУАТАЦИИ.
203.8. Ограничения пространственной протяженности ПУЧКА РЕНТГЕНОВСКОГО ИЗЛУЧЕНИЯ и соотношение между ПОЛЕМ РЕНТГЕНОВСКОГО ИЗЛУЧЕНИЯ и ПОВЕРХНОСТЬЮ ПРИЕМНИКА ИЗОБРАЖЕНИЯ
203.8.5. Соотношение между ПОЛЕМ РЕНТГЕНОВСКОГО ИЗЛУЧЕНИЯ И ПОВЕРХНОСТЬЮ ПРИЕМНИКА ИЗОБРАЖЕНИЯ
203.8.5.3. Соответствие ПОЛЯ РЕНТГЕНОВСКОГО ИЗЛУЧЕНИЯ И ЭФФЕКТИВНОЙ ПОВЕРХНОСТИ ПРИЕМНИКА ИЗОБРАЖЕНИЯ
Дополнение:
В режиме без геометрического увеличения:
a) не должно простираться больше чем на 2 мм за край ШТАТИВА ДЛЯ ПАЦИЕНТА, находящийся со стороны грудной клетки ПАЦИЕНТА;
b) для МАММОГРАФИЧЕСКОГО РЕНТГЕНОВСКОГО АППАРАТА, работающего в режиме без сканирования, должно простираться за пределы края ЭФФЕКТИВНОЙ ПОВЕРХНОСТИ ПРИЕМНИКА ИЗОБРАЖЕНИЯ со стороны грудной клетки ПАЦИЕНТА;
c) для МАММОГРАФИЧЕСКОГО РЕНТГЕНОВСКОГО АППАРАТА, работающего в режиме без сканирования, не должно простираться больше чем на 2% от ПРЯМОГО ФОКУСНОГО РАССТОЯНИЯ за все остальные края ЭФФЕКТИВНОЙ ПОВЕРХНОСТИ ПРИЕМНИКА ИЗОБРАЖЕНИЯ.
В настоящем стандарте за край РЕНТГЕНОВСКОГО ПОЛЯ приняты точки, в которых МОЩНОСТЬ ВОЗДУШНОЙ КЕРМЫ составляет 25% от среднего значения МОЩНОСТИ ВОЗДУШНОЙ КЕРМЫ, аппроксимированного к значениям в ограниченной центральной области.
Для МАММОГРАФИЧЕСКОГО РЕНТГЕНОВСКОГО АППАРАТА, основанного на сканировании, где меняется положение устройства приема при экспонировании РЕНТГЕНОВСКОГО ИЗОБРАЖЕНИЯ, вместо ЭФФЕКТИВНОЙ ПОВЕРХНОСТИ ПРИЕМНИКА ИЗОБРАЖЕНИЯ должна быть общая поверхность, используемая в получении изображения.
203.8.5.4. Позиционирование ПАЦИЕНТА и ограничение облучаемой поверхности
Дополнение:
МЭ ИЗДЕЛИЕ должно быть оснащено СВЕТОВЫМ УКАЗАТЕЛЕМ ПОЛЯ.
Для МАММОГРАФИЧЕСКИХ РЕНТГЕНОВСКИХ АППАРАТОВ без сканирования СВЕТОВОЕ ПОЛЕ должно совпадать с ПОЛЕМ РЕНТГЕНОВСКОГО ИЗЛУЧЕНИЯ таким образом, чтобы отличие их краев в области визуального определения поля как по длине, так и по ширине на проекции молочной железы на поверхности штатива не превышало 2% от прямого фокусного расстояния.
203.8.5.4.101.* Невизуализируемые ткани со стороны грудной клетки
203.8.5.4.101.1. Требования
В режиме без увеличения максимальное расстояние между краем ПОВЕРХНОСТИ ПРИЕМНИКА ИЗОБРАЖЕНИЯ со стороны грудной клетки ПАЦИЕНТА и смежным краем ШТАТИВА (СТОЛИКА) ДЛЯ ПАЦИЕНТА должно быть меньше чем 5 мм при проекции на ШТАТИВ (СТОЛИК) ДЛЯ ПАЦИЕНТА.
203.8.5.4.101.2. Методика испытаний
Устанавливают ТЕСТ-ОБЪЕКТ на ШТАТИВ (СТОЛИК) ДЛЯ ПАЦИЕНТА так, чтобы он, находясь на ШТАТИВЕ (СТОЛИКЕ) ДЛЯ ПАЦИЕНТА, позволял измерять на результирующей рентгенограмме расстояние от края ШТАТИВА (СТОЛИКА) ДЛЯ ПАЦИЕНТА до грудной клетки с точностью 0,5 мм на длине 6 мм и больше. Этот ТЕСТ-ОБЪЕКТ должен включать средства для повторного позиционирования относительно края ШТАТИВА (СТОЛИКА) ДЛЯ ПАЦИЕНТА.
Производится рентгенограмма ТЕСТ-ОБЪЕКТА.
На рентгенограмме измеряется расстояние от края ШТАТИВА (СТОЛИКА) ДЛЯ ПАЦИЕНТА до края ПОВЕРХНОСТИ ПРИЕМНИКА ИЗОБРАЖЕНИЯ.
Для МАММОГРАФИЧЕСКОГО РЕНТГЕНОВСКОГО АППАРАТА без встроенного ПРИЕМНИКА РЕНТГЕНОВСКОГО ИЗОБРАЖЕНИЯ испытания должны быть повторены 5 раз, включая снятие и установку ТЕСТ-ОБЪЕКТА, чтобы определить наибольшее значение коэффициента вариации. Это наибольшее значение должно быть принято как окончательное.
Соответствие проверяется испытаниями.
203.8.5.4.102. УСТРОЙСТВО ДЛЯ КОМПРЕССИИ МОЛОЧНОЙ ЖЕЛЕЗЫ
203.8.5.4.102.1. Общие положения
Все МАММОГРАФИЧЕСКИЕ РЕНТГЕНОВСКИЕ АППАРАТЫ должны быть оснащены электроприводными УСТРОЙСТВАМИ ДЛЯ КОМПРЕССИИ МОЛОЧНОЙ ЖЕЛЕЗЫ.
203.8.5.4.102.2. Управление компрессионными движениями
Все устройства, управляющие движениями для создания компрессии, должны требовать постоянного активного участия в процессе движения.
РЕНТГЕНОВСКИЙ АППАРАТ должен:
- обеспечивать не ручное (например, ножное) управление приводом компрессии с двух сторон от положения ПАЦИЕНТА;
- включать средства для точного регулирования усилия компрессии с двух сторон от положения ПАЦИЕНТА;
- иметь средства, чтобы ОПЕРАТОР мог предотвратить автоматическую декомпрессию.
В случае обрыва ПИТАЮЩЕЙ СЕТИ во время биопсии или операции наведения компрессия должна продолжаться. Однако должны быть предусмотрены средства для полной ручной декомпрессии.
203.8.5.4.102.3. Параметры движения
При всех случаях НОРМАЛЬНОЙ ЭКСПЛУАТАЦИИ диапазон движений УСТРОЙСТВА ДЛЯ КОМПРЕССИИ МОЛОЧНОЙ ЖЕЛЕЗЫ должен позволять всем элементам компрессионной платы находиться в контакте с грудью до 10 мм от поверхности ШТАТИВА (СТОЛИКА) ДЛЯ ПАЦИЕНТА.
Примечание. Это требование должно обеспечивать адекватную компрессию малых или тонких молочных желез без ограничения движения компрессионной платы. Усилие компрессии на пациента контролируется ОПЕРАТОРОМ и может быть ограничено его действиями, см.
203.8.5.4.102.6.
203.8.5.4.102.4. Конструкция компрессионных пластин
Компрессионные пластины, предназначенные для специальных задач, не относятся к требованиям этого подпункта.
Компрессионные пластины должны соответствовать всем размерам штативов (столиков) для молочных желез.
Компрессионные пластины должны быть прозрачными, чтобы кожа пациента оставалась видимой в контакте с ними.
Когда используется АУЭ-датчик и если других средств индикации не предусмотрено, МАММОГРАФИЧЕСКИЙ РЕНТГЕНОВСКИЙ АППАРАТ должен включать по крайней мере одну компрессионную пластину для каждого размера ПРИЕМНИКА РЕНТГЕНОВСКОГО ИЗОБРАЖЕНИЯ, применяемого в режиме АВТОМАТИЧЕСКОГО УПРАВЛЕНИЯ ЭКСПОЗИЦИОННОЙ ДОЗОЙ с указанием положения датчика при НОРМАЛЬНОЙ ЭКСПЛУАТАЦИИ.
Край компрессионной пластины, который должен находиться в контакте с грудной клеткой ПАЦИЕНТА, не должен выступать относительно края ЭФФЕКТИВНОЙ ПОВЕРХНОСТИ ПРИЕМНИКА ИЗОБРАЖЕНИЯ, обращенного к грудной клетке, больше чем на 1% от ПРЯМОГО ФОКУСНОГО РАССТОЯНИЯ, когда компрессионная пластина расположена на 45 мм выше поверхности молочной железы на штативе.
Изображение этого края компрессионной пластины не должно быть видимо.
203.8.5.4.102.5. Прочность компрессионных пластин
Компрессионные пластины и их оправы без маркировки, указывающей максимально допустимое усилие компрессии, должны выдерживать максимум компрессионного усилия, возможного в МЭ ИЗДЕЛИИ. Форма кодирования маркировки может быть изложена в инструкции по эксплуатации.
Соответствие проверяется следующим испытанием:
a) Испытательное оборудование
Требуется следующее оборудование:
- объекты соответствующего размера, один для каждого формата ПРИЕМНИКА РЕНТГЕНОВСКОГО ИЗОБРАЖЕНИЯ, обеспечивающие распределение усилий при компрессии. Например, такой объект может быть выполнен в виде наполненной песком подушки или эластичных резиновых блоков. Толщина должна быть в диапазоне 20 - 50 мм. Длина и ширина объектов должны быть от 100 до 120 мм для ПРИЕМНИКА РЕНТГЕНОВСКОГО ИЗОБРАЖЕНИЯ минимального формата и от 120 до 150 мм для

форматов.
b) Методика испытаний
Устанавливают МАММОГРАФИЧЕСКИЙ РЕНТГЕНОВСКИЙ АППАРАТ в положение краниокаудальной проекции молочной железы. Устанавливают компрессионную пластину. На ШТАТИВ (СТОЛИК) ДЛЯ ПАЦИЕНТА устанавливают объект, соответствующий по формату ПРИЕМНИКУ РЕНТГЕНОВСКОГО ИЗОБРАЖЕНИЯ и компрессионной пластине, отцентрировав в поперечном направлении и совместив его, насколько возможно, одним краем с краем ШТАТИВА (СТОЛИКА) ДЛЯ ПАЦИЕНТА со стороны грудной клетки ПАЦИЕНТА. Если объект выполнен в виде наполненной песком подушки, вручную ее формируют для получения максимальной поверхности, контактирующей со ШТАТИВОМ (СТОЛИКОМ) ДЛЯ ПАЦИЕНТА и компрессионной пластиной.
Включают УСТРОЙСТВО ДЛЯ КОМПРЕССИИ МОЛОЧНОЙ ЖЕЛЕЗЫ, доводят усилие до максимально возможного при исследовании или до максимального усилия, которое выдерживает пластина. Затем снимают усилие. Повторяют испытания для всех пластин.
c) Интерпретация результатов испытаний
Инспектируют компрессионные пластины и связанные с ними детали на появление любого признака повреждений, особенно трещин. Компрессионные пластины и связанные с ними детали не должны иметь повреждений, видимых поломок и остаточной деформации.
203.8.5.4.102.6. Компрессионное усилие
УСТРОЙСТВА ДЛЯ КОМПРЕССИИ МОЛОЧНОЙ ЖЕЛЕЗЫ должны удовлетворять следующим требованиям по компрессионным усилиям во всех направлениях, предусмотренных при НОРМАЛЬНОЙ ЭКСПЛУАТАЦИИ:
- УСТРОЙСТВО ДЛЯ КОМПРЕССИИ МОЛОЧНОЙ ЖЕЛЕЗЫ не должно создавать усилие более 300 Н;
- для компрессии с электроприводом УСТРОЙСТВО ДЛЯ КОМПРЕССИИ МОЛОЧНОЙ ЖЕЛЕЗЫ должно обеспечивать усилие 150 Н и не должно создавать усилие выше, чем 200 Н.
Примечание. Допускается аппаратура, обеспечивающая компрессию менее 150 Н в клинической практике. См. далее;
- для компрессии с электроприводом усилие должно иметь возможность снижения до 70 Н или менее;
- если имеется индикация усилия, точность индикации должна быть не ниже +/- 20 Н.
Соответствие устанавливается испытанием.
a) Оборудование для испытания
Применяется следующее оборудование:
- измеритель силы, усилия (динамометр);
- эластичный резиновый блок толщиной от 20 до 50 мм, длиной и шириной от 100 до 120 мм.
b) Методика испытаний
Устанавливают МАММОГРАФИЧЕСКИЙ РЕНТГЕНОВСКИЙ АППАРАТ в положение краниокаудальной проекции молочной железы. Фиксируют измеритель усилия на ШТАТИВЕ (СТОЛИКЕ) ДЛЯ ПАЦИЕНТА так, чтобы он оставался безопасным при любой ориентации МАММОГРАФИЧЕСКОГО РЕНТГЕНОВСКОГО АППАРАТА. Устанавливают эластичный резиновый блок на чувствительную поверхность измерителя усилия. Приводят в действие УСТРОЙСТВО ДЛЯ КОМПРЕССИИ МОЛОЧНОЙ ЖЕЛЕЗЫ, которое сдавливает резиновый блок, и регистрируют показания измерителя усилия. Измеряют наибольшее достигнутое компрессионное усилие при всех режимах компрессии. Если усилие указывается на РЕНТГЕНОВСКОМ АППАРАТЕ, то производят не менее пяти дополнительных измерений для более низких компрессионных усилий с примерно одинаковыми интервалами от нуля до максимума и регистрируют значения усилий, указанных на дисплее аппарата, и показания прибора, измеряющего усилия. Повторяют процедуру не менее чем при трех ориентациях МАММОГРАФИЧЕСКОГО РЕНТГЕНОВСКОГО АППАРАТА, чтобы охватить достаточно широкий диапазон всех возможных углов поворота.
c) Интерпретация результатов измерений
Соответствие определяется сравнением ИЗМЕРЕННЫХ ЗНАЧЕНИЙ с требуемыми значениями; если компрессионные усилия визуализируются на пульте, то проверяют вышеуказанные требования к точности измерений.
203.9. РАССТОЯНИЕ ФОКУС-КОЖА
Замена:
РАССТОЯНИЕ ФОКУС-КОЖА при НОРМАЛЬНОЙ ЭКСПЛУАТАЦИИ должно быть достаточно большим, чтобы ограничить дозу РЕНТГЕНОВСКОГО ИЗЛУЧЕНИЯ на пациента минимально возможным уровнем. Соответствие достигается выполнением следующих требований:
За исключением тех случаев, когда применяется МАММОГРАФИЧЕСКОЕ УСТРОЙСТВО ДЛЯ СТЕРЕОТАКСИСА, прямое фокусное расстояние должно быть не менее 600 мм.
Коэффициент увеличения в плоскости ШТАТИВА (СТОЛИКА) ДЛЯ ПАЦИЕНТА, используемый для геометрического увеличения, не должен превышать 2.
Соответствие проверяется измерением.
203.10. ОСЛАБЛЕНИЕ ПУЧКА РЕНТГЕНОВСКОГО ИЗЛУЧЕНИЯ материалами, расположенными между пациентом и ПРИЕМНИКОМ РЕНТГЕНОВСКОГО ИЗОБРАЖЕНИЯ
203.10.1. Общие требования
Дополнение:
ЭКВИВАЛЕНТ ПО ОСЛАБЛЕНИЮ всех элементов штатива для молочной железы, расположенных на пути РЕНТГЕНОВСКОГО ПУЧКА между молочной железой и ПРИЕМНИКОМ РЕНТГЕНОВСКОГО ИЗОБРАЖЕНИЯ, не должен превышать 0,3 мм AI.
Это требование не распространяется на защитные слои ПРИЕМНИКА РЕНТГЕНОВСКОГО ИЗОБРАЖЕНИЯ, радиографические кассеты и ОТСЕИВАЮЩИЕ РАСТРЫ.
Соответствие проверяется измерением. Проверяют ЭКВИВАЛЕНТ ПО ОСЛАБЛЕНИЮ по толщине AI, которая создает то же самое поглощение, что штатив (столик) для молочной железы, измеряя ВОЗДУШНУЮ КЕРМУ в УСЛОВИЯХ УЗКОГО ПУЧКА при АНОДНОМ НАПРЯЖЕНИИ приблизительно 30 кВ, пульсации не более 10%, первом слое половинного ослабления 0,3 мм +/- 0,01 мм AI.
203.11. Защита от ОСТАТОЧНОГО ИЗЛУЧЕНИЯ
Дополнительный пункт:
203.11.101. Дополнительные требования к защите от ОСТАТОЧНОГО ИЗЛУЧЕНИЯ
МАММОГРАФИЧЕСКИЙ РЕНТГЕНОВСКИЙ АППАРАТ должен быть обеспечен ПЕРВИЧНЫМ ЗАЩИТНЫМ СРЕДСТВОМ в соответствии с требованиями, изложенными далее. Эти требования должны распространяться на все комбинации РЕНТГЕНОВСКИХ ПОЛЕЙ, ПРЯМЫХ ФОКУСНЫХ РАССТОЯНИЙ, ПАРАМЕТРОВ НАГРУЗКИ и ФИЛЬТРАЦИИ при НОРМАЛЬНОЙ ЭКСПЛУАТАЦИИ.
Проекция ПЕРВИЧНОГО ЗАЩИТНОГО СРЕДСТВА на ШТАТИВ (СТОЛИК) ДЛЯ ПАЦИЕНТА должна достигать, по крайней мере, края, примыкающего к грудной клетке ПАЦИЕНТА, а на других краях должна распространяться за пределы ПОЛЯ РЕНТГЕНОВСКОГО ИЗЛУЧЕНИЯ, по крайней мере, на 1% от ПРЯМОГО ФОКУСНОГО РАССТОЯНИЯ.
ОСТАТОЧНОЕ ИЗЛУЧЕНИЕ за устройством крепления ПРИЕМНИКА РЕНТГЕНОВСКОГО ИЗОБРАЖЕНИЯ не должно превышать 1,0 мкГр воздушной кермы за ОБЛУЧЕНИЕ.
Соответствие проверяется следующими испытаниями:
Измеренные значения ВОЗДУШНОЙ КЕРМЫ должны быть усреднены по площади измерения 100 см2 при условии, что размер сторон площади не превышает 200 мм и центрирование ее производится на расстоянии 50 мм от любой доступной ПОВЕРХНОСТИ за элементами крепления ПРИЕМНИКА РЕНТГЕНОВСКОГО ИЗОБРАЖЕНИЯ. Устанавливают, если это необходимо, перед ПЕРВИЧНЫМ ЗАЩИТНЫМ СРЕДСТВОМ дополнительную защиту, чтобы исключить из измерений РЕНТГЕНОВСКОЕ ИЗЛУЧЕНИЕ, не поглощенное ПЕРВИЧНЫМ ЗАЩИТНЫМ СРЕДСТВОМ. Измерения относятся к плоскости ПРИЕМНИКА РЕНТГЕНОВСКОГО ИЗОБРАЖЕНИЯ.
АНОДНОЕ НАПРЯЖЕНИЕ при установлении соответствия должно быть НОМИНАЛЬНЫМ.
ПАРАМЕТРЫ НАГРУЗКИ для установления соответствия должны быть такими, чтобы обеспечить максимальную энергию при одиночной НАГРУЗКЕ в соответствии с ПАСПОРТНЫМИ УСЛОВИЯМИ РЕНТГЕНОГРАФИИ.
Если максимальная энергия при одиночной НАГРУЗКЕ в соответствии с ПАСПОРТНЫМИ УСЛОВИЯМИ РЕНТГЕНОГРАФИИ не может быть получена при НОМИНАЛЬНОМ АНОДНОМ НАПРЯЖЕНИИ, определяют и используют наихудшую комбинацию ПАРАМЕТРОВ НАГРУЗКИ и ФИЛЬТРАЦИИ.
Если ПАРАМЕТРАМИ НАГРУЗКИ можно управлять только с помощью СИСТЕМЫ АВТОМАТИЧЕСКОГО УПРАВЛЕНИЯ, ЭКСПЛУАТАЦИОННЫЕ ДОКУМЕНТЫ должны содержать инструкции по выбору соответствующих ПАРАМЕТРОВ НАГРУЗКИ для испытаний.
Соответствие проверяется экспертизой результатов испытаний, изучением конструкторской документации и ЭКСПЛУАТАЦИОННЫХ ДОКУМЕНТОВ.
203.13. Защита от НЕИСПОЛЬЗУЕМОГО ИЗЛУЧЕНИЯ
Дополнительный подпункт:
203.13.101. ЗАЩИТНАЯ ШИРМА
МАММОГРАФИЧЕСКИЙ РЕНТГЕНОВСКИЙ аппарат с обозначенной ОСОБОЙ ЗОНОЙ ПРЕБЫВАНИЯ должен иметь ЗАЩИТНУЮ ШИРМУ, устанавливаемую между ОСОБОЙ ЗОНОЙ ПРЕБЫВАНИЯ и ШТАТИВОМ (СТОЛИКОМ) ДЛЯ ПАЦИЕНТА. ЗАЩИТНАЯ ШИРМА не должна препятствовать ОПЕРАТОРУ наблюдать за ПАЦИЕНТОМ во время выполнения маммограмм. ЗАЩИТНАЯ ШИРМА должна располагаться не более чем на 150 мм над полом и на высоту не менее 185 см, а ширина ее не должна быть менее 60 см.
Примечание. Высота ОСОБОЙ ЗОНЫ ПРЕБЫВАНИЯ, как указано в МЭК 60601-1-3, не обязательно требует той же самой высоты ЗАЩИТНОЙ ШИРМЫ, как указано в настоящем стандарте.
При МИШЕНИ из молибдена, АНОДНОМ НАПРЯЖЕНИИ 35 кВ с пульсациями не больше 4%, ОБЩЕЙ ФИЛЬТРАЦИЕЙ 0,03 мм молибдена эквивалент по ослаблению этой ЗАЩИТНОЙ ШИРМЫ не должен быть менее 0,08 мм свинца.
ЗАЩИТНАЯ ШИРМА должна иметь маркировку ЭКВИВАЛЕНТА ПО ОСЛАБЛЕНИЮ со ссылкой на настоящий стандарт.
(справочное)
ЧАСТНЫЕ ПОЛОЖЕНИЯ И ОБОСНОВАНИЯ
AA.1. Обоснования для отдельных пунктов и подпунктов
Далее следует обоснование для специфических пунктов и подпунктов в настоящем стандарте с обозначениями, параллельными обозначениям в настоящем стандарте.
Подпункт 201.4.3.101. Дополнительные требования к ОСНОВНЫМ ФУНКЦИОНАЛЬНЫМ ХАРАКТЕРИСТИКАМ
Индикация требований к ОСНОВНЫМ ФУНКЦИОНАЛЬНЫМ ХАРАКТЕРИСТИКАМ определяется РИСКОМ, связанным с ионизирующим РЕНТГЕНОВСКИМ ИЗЛУЧЕНИЕМ, используемым для создания маммографического изображения, что вынуждает принять специальные меры при проведении процедуры (например, экранирование груди).
Настоящий частный стандарт имеет целью сформулировать адекватные требования для характеристик изображения в МАММОГРАФИЧЕСКОМ РЕНТГЕНОВСКОМ АППАРАТЕ, позволяющие обеспечить на современном уровне науки и техники получение изображений достаточного качества при НОРМАЛЬНОЙ ЭКСПЛУАТАЦИИ.
Эти параметры изображения при одиночных ошибках (например, недетектируемых сигналах пикселов) могут быть исправлены применением специальных процедур (включая проведение специальных и предусмотренных испытаний) для установленного оборудования.
Требования, не относящиеся к ОСНОВНОЙ БЕЗОПАСНОСТИ, приведены в
таблице 201.101.
Подпункт 201.9.2.101. МАММОГРАФИЧЕСКОЕ УСТРОЙСТВО ДЛЯ СТЕРЕОТАКСИСА
Точность позиционирования РЕНТГЕНОВСКОГО ИЗЛУЧАТЕЛЯ определяют точностью позиционирования иглы для биопсии.
Стабильность УСТРОЙСТВА ДЛЯ КОМПРЕССИИ МОЛОЧНОЙ ЖЕЛЕЗЫ и ШТАТИВА (СТОЛИКА) ДЛЯ ПАЦИЕНТА необходимы, чтобы обеспечить точность позиционирования биопсийной иглы и безопасность пациента.
РИСК, связанный с этим подпунктом, в значительной степени зависит от конструктивных особенностей МЭ ИЗДЕЛИЙ и обеспечения ПРОЦЕССА МЕНЕДЖМЕНТА РИСКА, проводимого ИЗГОТОВИТЕЛЕМ.
Подпункт 203.4.101.2. ВРЕМЯ НАГРУЗКИ
В первом параграфе приведен метод измерения ВРЕМЕНИ НАГРУЗКИ в соответствии с МЭК 60601-1-3. Второй и третий параграфы содержат описание испытаний для разных рентгеновских генераторов. Технические особенности, которые не включены во второй и третий параграфы, введены в четвертый параграф.
Подпункт 203.6.7.4.2.3. Замещение данных от ДЕФЕКТНЫХ ЭЛЕМЕНТОВ ДЕТЕКТОРА
В МАММОГРАФИЧЕСКОМ РЕНТГЕНОВСКОМ АППАРАТЕ со встроенным цифровым детектором применяется контроль качества для обеспечения соответствия со спецификацией ИЗГОТОВИТЕЛЯ. Этот контроль должен производиться ОТВЕТСТВЕННОЙ ОРГАНИЗАЦИЕЙ.
Подпункт 203.8.5.3. Соответствие между ПОЛЕМ РЕНТГЕНОВСКОГО ИЗЛУЧЕНИЯ и ЭФФЕКТИВНОЙ ПОВЕРХНОСТЬЮ ПРИЕМНИКА ИЗОБРАЖЕНИЯ и подпункт 203.8.5.4.101. Невизуализированные ткани со стороны грудной клетки
С момента первого издания МЭК 60601-1-3 возникла необходимость увеличить край ПОЛЯ РЕНТГЕНОВСКОГО ИЗЛУЧЕНИЯ относительно края ШТАТИВА (СТОЛИКА) ДЛЯ ПАЦИЕНТА, и установлено это значение равным 5 мм. Этот подпункт необходим, поскольку полное перекрытие пленки по всему краю требует особого внимания для ограничения избыточного ОБЛУЧЕНИЯ. Преимуществом здесь является обеспечение почернения пленки на краю, прилегающему к грудной клетке ПАЦИЕНТА, что существенно для дальнейшего анализа изображения за счет увеличения площади изображения со стороны грудной клетки, где возможна патология.
Это новое требование позволяет удовлетворить раздел 11 Защита от ОСТАТОЧНОГО ИЗЛУЧЕНИЯ по МЭК 60601-1-3 и предохранить другие части ПАЦИЕНТА от избыточного облучения (например, с обеих сторон груди) и, таким образом, сделать эффективным
203.11.101 настоящего стандарта.
Поскольку технически трудно исключить РЕНТГЕНОВСКОЕ ИЗЛУЧЕНИЕ за ШТАТИВОМ (СТОЛИКОМ) ДЛЯ ПАЦИЕНТА, разрешается допуск 2 мм.
(справочное)
СВЕДЕНИЯ О СООТВЕТСТВИИ ССЫЛОЧНЫХ МЕЖДУНАРОДНЫХ СТАНДАРТОВ
НАЦИОНАЛЬНЫМ СТАНДАРТАМ РОССИЙСКОЙ ФЕДЕРАЦИИ И ДЕЙСТВУЮЩИМ
В ЭТОМ КАЧЕСТВЕ МЕЖГОСУДАРСТВЕННЫМ СТАНДАРТАМ
Таблица ДА.1
Обозначение ссылочного международного стандарта | Степень соответствия | Обозначение и наименование соответствующего национального стандарта |
МЭК 60336:2005 | IDT | |
МЭК 60417:2002 | - | |
МЭК 60601-1:2005 | IDT | ГОСТ Р МЭК 60601-1-2010 "Изделия медицинские электрические. Часть 1. Общие требования безопасности с учетом основных функциональных характеристик" |
МЭК 60601-1-2:2007 | IDT | ГОСТ Р МЭК 60601-1-2-2014 "Изделия медицинские электрические. Часть 1-2. Общие требования безопасности с учетом основных функциональных характеристик. Параллельный стандарт. Электромагнитная совместимость. Требования и испытания" |
МЭК 60601-1-3:2008 | IDT | ГОСТ Р МЭК 60601-1-3-2013 "Изделия медицинские электрические. Часть 1-3. Общие требования безопасности с учетом основных функциональных характеристик. Дополнительный стандарт. Защита от излучения в диагностических рентгеновских аппаратах" |
МЭК 60601-1-8:2006 | - | |
МЭК 60601-1-9:2007 | - | |
МЭК 60601-1-10:2007 | - | |
МЭК 60601-1-11:2010 | - | |
МЭК 60601-2-7:1998 | IDT | ГОСТ IEC 60601-2-7-2011 "Изделия медицинские электрические. Часть 2-7. Частные требования безопасности к рентгеновским питающим устройствам диагностических рентгеновских генераторов" |
МЭК 60601-2-28:1993 | MOD | ГОСТ 30324.28-2002 "Изделия медицинские электрические. Часть 2. Частные требования безопасности к диагностическим блокам источника рентгеновского излучения и рентгеновским излучателям" |
МЭК 60601-2-28:2010 | IDT | ГОСТ Р МЭК 60601-2-28-2013 "Изделия медицинские электрические. Часть 2-28. Частные требования безопасности с учетом основных функциональных характеристик медицинских диагностических рентгеновских излучателей" |
МЭК 60601-2-32:1994 | MOD | ГОСТ 30324.32-2002 "Изделия медицинские электрические. Часть 2. Частные требования безопасности к вспомогательному оборудованию рентгеновских аппаратов" |
МЭК 60613:2010 | - | |
МЭК 60664-1:2007 | - | |
МЭК 61223-3-2:2007 | - | |
МЭК 62220-1-2:2007 | IDT | ГОСТ Р МЭК 62220-1-2-2010 "Изделия медицинские электрические. Характеристики устройств для получения цифровых рентгеновских изображений. Часть 1-2. Определение квантовой эффективности регистрации. Детекторы, используемые при маммографии" |
МЭК/ТО 60788:2004 | IDT | |
ИСО 4090:2001 | IDT | ГОСТ ISO 4090-2011 "Медицинские рентгенографические кассеты/экраны/пленки и пленки для твердых копий изображения. Размеры и технические требования" |
ИСО 7000:2004 | - | |
ИСО 9236-3:1999 | IDT | ГОСТ Р ИСО 9236-3-2009 "Сенситометрия систем экран/пленка для медицинской рентгенографии. Часть 3. Определение формы характеристической кривой, чувствительности и среднего градиента для маммографии" |
ИСО 12052 | - | |
<*> Соответствующий национальный стандарт отсутствует. До его утверждения рекомендуется использовать перевод на русский язык данного международного стандарта. Перевод данного международного стандарта находится в Федеральном информационном фонде технических регламентов и стандартов. Примечание. В настоящей таблице использованы следующие условные обозначения степени соответствия стандартов: - IDT - идентичные стандарты; - MOD - модифицированные стандарты. |
[1] | IEC 60417, Graphical symbols for use on equipment |
[2] | IEC 60601-2-7:1998, Medical electrical equipment - Part 2-7: Particular requirements for the safety of high voltage generators of diagnostic X-ray generators |
[3] | IEC 60601-2-28:1993, Medical electrical equipment - Part 2: Particular requirements for the safety of X-ray source assemblies and X-ray tube assemblies for medical diagnosis (withdrawn) |
[4] | IEC 60601-2-28:2010, Medical electrical equipment - Part 2-28: Particular requirements for the basic safety and essential performance of X-ray tube assemblies for medical diagnosis |
[5] | IEC 60601-2-32:1994, Medical electrical equipment - Part 2: Particular requirements for the safety of associated equipment of X-ray equipment |
[6] | IEC 60664-1:2007, Insulation coordination for equipment within low-voltage systems - Part 1: Principles, requirements and tests |
[7] | ISO 4090:2001, Photography - Medical radiographic cassettes/screens/films and hardcopy imaging films - Dimensions and specifications |
[8] | ISO 7000:2004, Graphical symbols for use on equipment - Index and synopsis |
[9] | ISO 9236-3:1999, Photography - Sensitometry of screen/film systems for medical radiography - Part 3: Determination of sensitometric curve shape, speed and average gradient for mammography |
[10] | ISO 12052, Health informatics - Digital imaging and communication in medicine (DICOM) including workflow and data management |
Алфавитный указатель терминов
Примечание 1. В настоящем стандарте приведены только термины, содержащиеся в общем стандарте МЭК 60601-1, его дополнительных стандартах, в МЭК/ТО 60788 или в
пункте 201.3 настоящего частного стандарта.
АНОДНОЕ НАПРЯЖЕНИЕ НОМИНАЛЬНОЕ | МЭК 60601-1-3, 3.42 |
АППАРАТ РЕНТГЕНОВСКИЙ | МЭК 60601-1-3, 3.78 |
АППАРАТ РЕНТГЕНОВСКИЙ МАММОГРАФИЧЕСКИЙ | |
АРТЕФАКТ | МЭК/ТО 60788, rm-32-67 |
БЕЗОПАСНОСТЬ ОСНОВНАЯ | МЭК 60601-1, 3.10 |
БЛОК ИСТОЧНИКА РЕНТГЕНОВСКОГО ИЗЛУЧЕНИЯ | МЭК 60601-1-3, 3.62 |
ВРЕМЯ НАГРУЗКИ | МЭК 60601-1-3, 3.37 |
ВРЕМЯ ОБЛУЧЕНИЯ | МЭК 60601-1-3, 3.32 |
ВРЕМЯ ЦИКЛА | МЭК 60613, 3.12 |
ГЕНЕРАТОР РЕНТГЕНОВСКИЙ | МЭК 60601-1-3, 3.79 |
ДАННЫЕ ИСХОДНЫЕ (ИД) | |
ДАННЫЕ НЕОБРАБОТАННЫЕ | |
ДЕТЕКТОР ИЗЛУЧЕНИЯ | МЭК 60601-1-3, 3.57 |
ДИАФРАГМА | МЭК 60601-1-3, 3.17 |
ДОЗА ПОГЛОЩЕННАЯ СРЕДНЯЯ (СПД) | |
ДОКУМЕНТ ЭКСПЛУАТАЦИОННЫЙ | МЭК 60601-1, 3.4 |
ЗАЗЕМЛЕНИЕ ЗАЩИТНОЕ | МЭК 60601-1, 3.93 |
ЗАЩИТА РАДИАЦИОННАЯ | МЭК 60601-1-3, 3.59 |
ЗАЩИТНОЕ СРЕДСТВО ПЕРВИЧНОЕ | МЭК 60601-1-3, 3.47 |
ЗНАЧЕНИЕ ИЗМЕРЕННОЕ | МЭК 60601-1-3, 3.38 |
ЗНАЧЕНИЕ НОМИНАЛЬНОЕ | МЭК 60601-1, 3.69 |
ЗНАЧЕНИЕ ПРИБОРНОЕ | МЭК/ТО 60788, rm-73-10 |
ЗНАЧЕНИЕ ФОКУСНОГО ПЯТНА НОМИНАЛЬНОЕ | МЭК/ТО 60788, rm-20-14 |
ЗОНА ЗАХВАТА | МЭК 60601-1, 3.131 |
ЗОНА ПРЕРЫВАНИЯ ОСОБАЯ | МЭК 60601-1-3, 3.74 |
ИЗГОТОВИТЕЛЬ | МЭК 60601-1, 3.55 |
ИЗДЕЛИЕ МЕДИЦИНСКОЕ ЭЛЕКТРИЧЕСКОЕ (МЭ ИЗДЕЛИЕ) | МЭК 60601-1, 3.63 |
ИЗДЕЛИЕ ПЕРЕДВИЖНОЕ | МЭК 60601-1, 3.65 |
ИЗДЕЛИЕ С ВНУТРЕННИМ ИСТОЧНИКОМ ПИТАНИЯ | МЭК 60601-1, 3.46 |
ИЗДЕЛИЕ С ПОСТОЯННЫМ ПРИСОЕДИНЕНИЕМ К ПИТАЮЩЕЙ СЕТИ | МЭК 60601-1, 3.84 |
ИЗЛУЧАТЕЛЬ РЕНТГЕНОВСКИЙ | МЭК 60601-1-3, 3.84 |
ИЗЛУЧЕНИЕ НЕИСПОЛЬЗУЕМОЕ | МЭК 60601-1-3, 3.75 |
ИЗЛУЧЕНИЕ ОСТАТОЧНОЕ | МЭК 60601-1-3, 3.72 |
ИЗЛУЧЕНИЕ РАССЕЯННОЕ | МЭК 60601-1-3, 3.73 |
ИЗЛУЧЕНИЕ РЕНТГЕНОВСКОЕ | МЭК 60601-1-3, 3.53 |
ИЗОБРАЖЕНИЕ РЕНТГЕНОВСКОЕ | МЭК 60601-1-3, 3.82 |
КАЧЕСТВО ИЗЛУЧЕНИЯ | МЭК 60601-1-3, 3.60 |
КЕРМА ВОЗДУШНАЯ | МЭК 60601-1-3, 3.4 |
КЛАСС I | МЭК 60601-1, 3.13 |
КОРПУС | МЭК 60601-1, 3.26 |
МЕНЕДЖМЕНТ РИСКА | МЭК 60601-1, 3.107 |
МИШЕНЬ | МЭК/ТО 607883, rm-20-08 |
МОЩНОСТЬ ВОЗДУШНОЙ КЕРМЫ | МЭК 60601-1-3, 3.5 |
НАГРУЗКА | МЭК 60601-1-3, 3.34 |
НАГРУЗКА РЕНТГЕНОВСКОЙ ТРУБКИ | МЭК 60601-1-3, 3.87 |
НАПРЯЖЕНИЕ АНОДНОЕ | МЭК 60601-1-3, 3.88 |
НАПРЯЖЕНИЕ СЕТЕВОЕ | МЭК 60601-1, 3.54 |
ОБЛУЧЕНИЕ | МЭК 60601-1-3, 3.30 |
ОБОЗНАЧЕНИЕ МОДЕЛИ ИЛИ ТИПА | МЭК 60601-1, 3.66 |
ОПАСНОСТЬ | МЭК 60601-1, 3.39 |
ОПАСНОСТЬ МЕХАНИЧЕСКАЯ | МЭК 60601-1, 3.61 |
ОПЕРАТОР | МЭК 60601-1, 3.73 |
ОРГАНИЗАЦИЯ ОТВЕТСТВЕННАЯ | МЭК 60601-1, 3.101 |
ОСЛАБЛЕНИЕ | МЭК 60601-1-3, 3.7 |
ОСЬ ОПОРНАЯ | МЭК/ТО 607883, rm-37-03 |
ОТНОШЕНИЕ КОНТРАСТ/ШУМ | МЭК 61223-3-2, 3.8 |
ПАРАМЕТР НАГРУЗКИ | МЭК 60601-1-3, 3.35 |
ПАЦИЕНТ | МЭК 60601-1, 3.76 |
ПИКСЕЛЬ | МЭК/ТО 60788, rm-32-60 |
ПОВЕРХНОСТЬ ВХОДНАЯ | МЭК 60601-1-3, 3.21 |
ПОВЕРХНОСТЬ ДОСТУПНАЯ | МЭК 60601-1-3, 3.1 |
ПОВЕРХНОСТЬ ПРИЕМНИКА ИЗОБРАЖЕНИЯ | МЭК 60601-1-3, 3.28 |
ПОВЕРХНОСТЬ ПРИЕМНИКА ИЗОБРАЖЕНИЯ ЭФФЕКТИВНАЯ | МЭК 60601-1-3, 3.20 |
ПОЛЕ РЕНТГЕНОВСКОГО ИЗЛУЧЕНИЯ | МЭК 60601-1-3, 3.58 |
ПОЛЕ СВЕТОВОЕ | МЭК/ТО 60788, rm-37-09 |
ПРИЕМНИК РЕНТГЕНОВСКОГО ИЗОБРАЖЕНИЯ | МЭК 60601-1-3, 3.81 |
ПРИМЕНЕНИЕ ПРЕДУСМОТРЕННОЕ | МЭК 60601-1, 3.44 |
ПРИНАДЛЕЖНОСТЬ | МЭК 60601-1, 3.3 |
ПРОИЗВЕДЕНИЕ ТОК-ВРЕМЯ | МЭК 60601-1-3, 3.16 |
ПРОЦЕНТЫ ПУЛЬСАЦИИ | МЭК 60601-1-3, 3.44 |
ПРОЦЕСС | МЭК 60601-1, 3.89 |
ПУЛЬТ УПРАВЛЕНИЯ | МЭК 60601-1-3, 3.14 |
ПУЧОК РЕНТГЕНОВСКОГО ИЗЛУЧЕНИЯ | МЭК 60601-1-3, 3.55 |
ПЯТНО ФОКУСНОЕ | МЭК/ТО 60788, rm-20-13s |
РАЗЪЕМ ВЫСОКОВОЛЬТНЫЙ КАБЕЛЬНЫЙ | МЭК/ТО 60788, rm-20-18 |
РАССТОЯНИЕ ФОКУС-КОЖА | МЭК 60601-1-3, 3.26 |
РАССТОЯНИЕ ФОКУСНОЕ ПРЯМОЕ | |
РАСТР ОТСЕИВАЮЩИЙ | МЭК/ТО 60788, rm-32-06 |
РЕЖИМ РАБОТЫ | МЭК 60601-1-3, 3.40 |
РЕНТГЕНОГРАФИЯ | МЭК 60601-1-3, 3.64 |
РИСК | МЭК 60601-1, 3.102 |
СЕТЬ ПИТАЮЩАЯ | МЭК 60601-1, 3.120 |
СИСТЕМА АВТОМАТИЧЕСКОГО УПРАВЛЕНИЯ | МЭК 60601-1-3, 3.9 |
СИСТЕМА МЕДИЦИНСКАЯ ЭЛЕКТРИЧЕСКАЯ (МЭ СИСТЕМА) | МЭК 60601-1, 3.64 |
СЛОЙ ПОЛОВИННОГО ОСЛАБЛЕНИЯ | МЭК 60601-1-3, 3.27 |
СОПРОТИВЛЕНИЕ ПИТАЮЩЕЙ СЕТИ ДОПУСТИМОЕ | |
СОСТОЯНИЕ ГОТОВНОСТИ | МЭК/ТО 60788, rm-84-05 |
СОСТОЯНИЕ НАГРУЗОЧНОЕ | МЭК 60601-1-3, 3.36 |
СОСТОЯНИЕ НОРМАЛЬНОЕ | МЭК 60601-1, 3.70 |
ТЕСТ-ОБЪЕКТ | МЭК/ТО 60788, rm-71-04 |
ТОК АНОДНЫЙ | МЭК 60601-1-3, 3.85 |
ТОК УТЕЧКИ | МЭК 60601-1, 3.47 |
ТОК УТЕЧКИ НА ЗЕМЛЮ | МЭК 60601-1, 3.25 |
ТРУБКА РЕНТГЕНОВСКАЯ | МЭК 60601-1-3, 3.83 |
УКАЗАТЕЛЬ ПОЛЯ СВЕТОВОЙ | МЭК/ТО 60788, rm-37-31 |
УПРАВЛЕНИЕ ЭКСПОЗИЦИОННОЙ ДОЗОЙ АВТОМАТИЧЕСКОЕ | МЭК 60601-1-3, 3.10 |
УСЛОВИЕ ЕДИНИЧНОГО НАРУШЕНИЯ | МЭК 60601-1, 3.116 |
УСЛОВИЯ РЕНТГЕНОГРАФИИ ПАСПОРТНЫЕ | МЭК 60601-1-3, 3.63 |
УСЛОВИЯ УЗКОГО ПУЧКА | МЭК 60601-1-3, 3.41 |
УСТРОЙСТВО ДЛЯ КОМПРЕССИИ МОЛОЧНОЙ ЖЕЛЕЗЫ | |
УСТРОЙСТВО ДЛЯ СТЕРЕОТАКСИСА МАММОГРАФИЧЕСКОЕ | |
УСТРОЙСТВО РЕНТГЕНОВСКОЕ ПИТАЮЩЕЕ | МЭК/ТО 60788, rm-21-01 |
УСТРОЙСТВО ФОРМИРОВАНИЯ ПУЧКА | МЭК 60601-1-3, 3.11 |
ФАЙЛ МЕНЕДЖМЕНТА РИСКА | МЭК 60601-1, 3.108 |
ФАНТОМ | МЭК 60601-1-3, 3.46 |
ФИЛЬТР | МЭК 60601-3, 3.23 |
ФИЛЬТР ДОПОЛНИТЕЛЬНЫЙ | МЭК 60601-1-3, 3.2 |
ФИЛЬТР КРАЕВОЙ | МЭК 60601-1-3, 3.19 |
ФИЛЬТРАЦИЯ | МЭК 60601-1-3, 3.24 |
ФИЛЬТРАЦИЯ ДОПОЛНИТЕЛЬНАЯ | МЭК 60601-1-3, 3.3 |
ФИЛЬТРАЦИЯ ОБЩАЯ | МЭК 60601-1-3, 3.77 |
ФИЛЬТРАЦИЯ ПОСТОЯННАЯ | МЭК 60601-1-3, 3.45 |
ФИЛЬТРАЦИЯ ЭКВИВАЛЕНТНАЯ ПО КАЧЕСТВУ | МЭК 60601-1-3, 3.52 |
ФУНКЦИОНАЛЬНЫЕ ХАРАКТЕРИСТИКИ ОСНОВНЫЕ | МЭК 60601-1, 3.27 |
ЧАСТЬ ДОСТУПНАЯ | МЭК 60601-1, 3.2 |
ЧАСТЬ РАБОЧАЯ | МЭК 60601-1, 3.8 |
ШИРМА ЗАЩИТНАЯ | МЭК 60601-1-3, 3.49 |
ШТАТИВ (СТОЛ) ДЛЯ ПАЦИЕНТА | МЭК/ТО 60788, rm-30-02 |
ШУМ | МЭК 62220-1-2, 3.9 |
ЭКВИВАЛЕНТ ПО ОСЛАБЛЕНИЮ | МЭК 60601-1-3, 3.8 |
ЭКСПЛУАТАЦИЯ НОРМАЛЬНАЯ | МЭК 60601-1, 3.71 |
ЭЛЕМЕНТ ДЕТЕКТОРА ДЕФЕКТНЫЙ | |