Главная // Актуальные документы // ГОСТ Р (Государственный стандарт)СПРАВКА
Источник публикации
М.: Стандартинформ, 2016
Примечание к документу
Документ
введен в действие с 1 октября 2016 года.
Название документа
"ГОСТ Р 8.901-2015. Национальный стандарт Российской Федерации. Государственная система обеспечения единства измерений. Средства измерений характеристик ультрафиолетового излучения источников медицинского назначения. Методика поверки"
(утв. и введен в действие Приказом Росстандарта от 20.11.2015 N 1934-ст)
"ГОСТ Р 8.901-2015. Национальный стандарт Российской Федерации. Государственная система обеспечения единства измерений. Средства измерений характеристик ультрафиолетового излучения источников медицинского назначения. Методика поверки"
(утв. и введен в действие Приказом Росстандарта от 20.11.2015 N 1934-ст)
Утвержден и введен в действие
агентства по техническому
регулированию и метрологии
от 20 ноября 2015 г. N 1934-ст
НАЦИОНАЛЬНЫЙ СТАНДАРТ РОССИЙСКОЙ ФЕДЕРАЦИИ
ГОСУДАРСТВЕННАЯ СИСТЕМА ОБЕСПЕЧЕНИЯ ЕДИНСТВА ИЗМЕРЕНИЙ
СРЕДСТВА ИЗМЕРЕНИЙ ХАРАКТЕРИСТИК УЛЬТРАФИОЛЕТОВОГО
ИЗЛУЧЕНИЯ ИСТОЧНИКОВ МЕДИЦИНСКОГО НАЗНАЧЕНИЯ
МЕТОДИКА ПОВЕРКИ
State system for ensuring the uniformity of measurements.
Instruments of measurement of characteristic of ultraviolet
radiation for medical sources. Verification procedure
ГОСТ Р 8.901-2015
Дата введения
1 октября 2016 года
1 РАЗРАБОТАН Федеральным государственным унитарным предприятием "Всероссийский научно-исследовательский институт оптико-физических измерений" (ФГУП "ВНИИОФИ")
2 ВНЕСЕН Техническим комитетом по стандартизации ТК 386 "Основные нормы и правила по обеспечению единства измерений в области ультрафиолетовой спектрорадиометрии"
3 УТВЕРЖДЕН И ВВЕДЕН В ДЕЙСТВИЕ
Приказом Федерального агентства по техническому регулированию и метрологии от 20 ноября 2015 г. N 1934-ст
4 ВВЕДЕН ВПЕРВЫЕ
Правила применения настоящего стандарта установлены в ГОСТ Р 1.0-2012
(раздел 8). Информация об изменениях к настоящему стандарту публикуется в ежегодном (по состоянию на 1 января текущего года) информационном указателе "Национальные стандарты", а официальный текст изменений и поправок - в ежемесячном информационном указателе "Национальные стандарты". В случае пересмотра (замены) или отмены настоящего стандарта соответствующее уведомление будет опубликовано в ближайшем выпуске ежемесячного информационного указателя "Национальные стандарты". Соответствующая информация, уведомление и тексты размещаются также в информационной системе общего пользования - на официальном сайте Федерального агентства по техническому регулированию и метрологии в сети Интернет (www.gost.ru)
Настоящий стандарт распространяется на средства измерений (СИ) характеристик ультрафиолетового (УФ) излучения источников медицинского назначения - радиометры и дозиметры УФ излучения, область спектральной чувствительности которых ограничена диапазоном длин волн от 0,2 до 0,4 мкм. Медицинские УФ излучатели применяют в лечебных целях для создания малых уровней УФ освещенности с обязательным контролем характеристик УФ излучения в соответствии с существующими нормативными документами. СИ характеристик УФ излучения источников медицинского назначения обеспечивают в диапазонах длин волн УФ-A (0,315 - 0,4 мкм), УФ-B (0,28 - 0,315 мкм) и УФ-C (0,2 - 0,28 мкм) измерение энергетической освещенности (энергетической экспозиции) соответственно в динамических диапазонах 0,1 - 100 Вт/м2; 0,01 - 10 Вт/м2 и 0,001 - 1,0 Вт/м2.
Методы оценки погрешностей радиометров и дозиметров УФ излучения источников медицинского назначения, представленные в настоящем документе, соответствуют рекомендациям Международной комиссии по освещению (МКО) N 53.
Межповерочный интервал СИ характеристик ультрафиолетового УФ излучения источников медицинского назначения - один год.
В настоящем стандарте использованы нормативные ссылки на следующие стандарты:
| | ИС МЕГАНОРМ: примечание. Приказом Росстандарта от 29.12.2018 N 2817 с 30 апреля 2019 года введена в действие новая Государственная поверочная схема. | |
ГОСТ 8.197-2013 Государственная система обеспечения единства измерений. Государственная поверочная схема для средств измерений спектральной плотности энергетической яркости, спектральной плотности потока излучения, спектральной плотности энергетической освещенности, спектральной плотности силы излучения, потока и силы излучения в диапазоне длин волн 0,001 - 1,6 мкм
ГОСТ 8.552-2013 Государственная система обеспечения единства измерений. Государственная поверочная схема для средств измерений потока излучения, энергетической освещенности, спектральной плотности энергетической освещенности, в диапазоне длин волн 0,0004 - 0,400 мкм
ГОСТ Р 8.736-2011 Государственная система обеспечения единства измерений. Измерения прямые многократные. Методы обработки результатов наблюдений. Основные положения
Примечание - При пользовании настоящим стандартом целесообразно проверить действие ссылочных стандартов в информационной системе общего пользования - на официальном сайте Федерального агентства по техническому регулированию и метрологии в сети Интернет или по ежегодному информационному указателю "Национальные стандарты", который опубликован по состоянию на 1 января текущего года, и по выпускам ежемесячного информационного указателя "Национальные стандарты" за текущий год. Если заменен ссылочный стандарт, на который дана недатированная ссылка, то рекомендуется использовать действующую версию этого стандарта с учетом всех внесенных в данную версию изменений. Если заменен ссылочный стандарт, на который дана датированная ссылка, то рекомендуется использовать версию этого стандарта с указанным выше годом утверждения (принятия). Если после утверждения настоящего стандарта в ссылочный стандарт, на который дана датированная ссылка, внесено изменение, затрагивающее положение, на которое дана ссылка, то это положение рекомендуется применять без учета данного изменения. Если ссылочный стандарт отменен без замены, то положение, в котором дана ссылка на него, рекомендуется применять в части, не затрагивающей эту ссылку.
3. Операции поверки радиометров (дозиметров)
УФ излучения источников медицинского назначения
Методика поверки радиометров (дозиметров) УФ излучения источников медицинского назначения включает операции, указанные в таблице 1.
Таблица 1
Операции поверки радиометров (дозиметров)
УФ излучения источников медицинского назначения
Наименование операции | Номер пункта настоящего стандарта | Проведение операции при |
первичной поверке | периодической поверке |
1 Подготовка к поверке | | + | + |
2 Внешний осмотр | | + | + |
3 Опробование | | + | + |
4 Определение метрологических характеристик радиометров (дозиметров) УФ излучения источников медицинского назначения | | + | + |
4.1 Определение погрешности радиометров (дозиметров) УФ излучения источников медицинского назначения, возникающей из-за неидеальности коррекции спектральной чувствительности | | + | + |
4.1.1 Измерение относительной спектральной чувствительности в основном УФ диапазоне длин волн от 0,2 до 0,4 мкм | | + | - |
4.1.2 Измерение относительной спектральной чувствительности в дополнительном видимом и инфракрасном (ИК) диапазоне длин волн от 0,4 до 1,1 мкм | | + | - |
4.2 Определение погрешности радиометров (дозиметров) УФ излучения источников медицинского назначения, возникающей из-за неидеальности коррекции спектральной чувствительности в УФ, видимом и ИК диапазоне длин волн 0,2 - 1,1 мкм с использованием контрольных источников излучения | | + | + |
4.3 Измерение абсолютной чувствительности радиометров (дозиметров) УФ излучения источников медицинского назначения в диапазонах длин волн УФ-A, УФ-B и УФ-C | | + | + |
4.4 Определение погрешности радиометров (дозиметров) УФ излучения источников медицинского назначения, возникающей из-за отклонений коэффициента линейности от единицы. Определение границ диапазона измерений энергетической освещенности | | + | + |
4.5 Определение погрешности радиометров (дозиметров) УФ излучения источников медицинского назначения, возникающей из-за неидеальной коррекции угловой зависимости чувствительности | | + | + |
4.6 Обработка результатов поверки радиометров (дозиметров) УФ излучения | | + | + |
5 Оформление результатов поверки радиометров УФ излучения | | + | + |
4. Средства поверки радиометров (дозиметров)
УФ излучения источников медицинского назначения
При проведении поверки используют основные и вспомогательные средства, перечень которых приведен в таблице 2.
Таблица 2
Средства поверки радиометров (дозиметров)
УФ излучения источников медицинского назначения
Номер пункта настоящего стандарта | Средства поверки |
| Установка для измерений спектральной чувствительности приемников излучения в диапазоне длин волн от 0,2 до 1,1 мкм, в составе рабочего эталона энергетической освещенности и потока излучения (РЭ ЭО и ПИ) по ГОСТ 8.552. Установка включает источники излучения лампы типов ЛД(Д), ДКсШ-120, КГМ-12-100 (или аналогичные), монохроматор типа МДР-23 (или аналогичный), фотоприемники типов Ф-34, ФПД-1, ФД-288К (или аналогичные). Среднеквадратическое отклонение (СКО)  - 1,5% |
| Установка для измерений абсолютной чувствительности в диапазоне длин волн от 0,2 до 0,4 мкм в составе РЭ ЭО и ПИ по ГОСТ 8.197. СКО  - 1,5%. Установка включает комплект источников излучения - лампы типов ДБ-30, ДРТ-250, ЛУФ-40, ЛЭ-30, КГМ-12-100, ДКсШ-120 или аналогичные, многоканальный радиометр УФ излучения (ТУ 4381-001-05842749-99) |
| Установка для измерений коэффициента линейности чувствительности радиометров (дозиметров) УФ излучения в составе РЭ ЭО и ПИ по ГОСТ 8.552. Установка включает источники излучения лампы типов ДРШ-250 (или аналогичные), СКО  - 1% |
| Установка для измерений угловой зависимости чувствительности радиометров (дозиметров) УФ излучения в составе РЭ ЭО и ПИ по ГОСТ 8.552, включающая гониометр ГС-5 (или аналогичный), СКО  - 1% |
5. Требования к квалификации поверителей
К поверке радиометров (дозиметров) УФ излучения источников медицинского назначения допускают лиц, освоивших работу с радиометрами (дозиметрами) и используемыми эталонами, изучивших настоящий стандарт, прошедших аттестацию в соответствии с
[1].
6. Требования безопасности
При поверке радиометров (дозиметров) УФ излучения источников медицинского назначения соблюдают правила электробезопасности. Измерения должны проводить два оператора, имеющие группу по электробезопасности не ниже III, прошедшие инструктаж на рабочем месте по безопасности труда при эксплуатации электрических установок. При работе с источниками УФ излучения необходимо использовать средства защиты персонала от УФ излучения: защитные очки, щитки, перчатки и т.п.
В помещении, в котором эксплуатируются источники УФ излучения, должна быть предусмотрена приточно-вытяжная вентиляция или возможность проветривания помещения для исключения вредного воздействия озона на людей.
При проведении поверки следует соблюдать следующие условия:
- температура окружающей среды ........................ (20 +/- 5) °C;
- относительная влажность воздуха ..................... (65 +/- 15)%;
- атмосферное давление ................................ (84 - 104) кПа;
- напряжение питающей сети ............................ (220 +/- 4) В;
- частота питающей сети ............................... (50 +/- 1) Гц.
8. Подготовка и проведение поверки
Методика поверки радиометров (дозиметров) УФ излучения источников медицинского назначения включает подготовку к проведению поверки, внешний осмотр, опробование и определение метрологических характеристик.
8.1 При подготовке к поверке необходимо включить все приборы в соответствии с их инструкциями по эксплуатации.
8.2 При внешнем осмотре должно быть установлено:
- соответствие комплектности радиометров (дозиметров) паспортным данным;
- отсутствие механических повреждений блоков радиометров (дозиметров);
- сохранность соединительных кабелей и сетевых разъемов;
- четкость надписей на панели прибора;
- наличие маркировки (тип и заводской номер прибора);
- отсутствие сколов, царапин и загрязнений на оптических деталях прибора.
8.3 При опробовании должно быть установлено:
- наличие показаний радиометра (дозиметра) при его освещении УФ излучением;
- правильное функционирование переключателей пределов измерений, режимов работы радиометра (дозиметра).
8.4 Определение метрологических характеристик радиометров (дозиметров) УФ излучения источников медицинского назначения.
8.4.1 Определение погрешности радиометров (дозиметров) УФ излучения источников медицинского назначения, возникающей из-за неидеальности коррекции спектральной чувствительности, проводят при первичной поверке по результатам измерений отклонений реальной относительной спектральной чувствительности (ОСЧ) поверяемого радиометра (дозиметра) от идеальной. ОСЧ поверяемого радиометра (дозиметра) УФ излучения источников медицинского назначения сравнивают с известной спектральной чувствительностью эталонного приемника УФ излучения, поверенного в ранге РЭ ЭО и ПИ по
ГОСТ 8.552 в диапазоне длин волн от 0,2 до 1,1 мкм. Дополнительные измерения относительной спектральной чувствительности поверяемого радиометра (дозиметра) в видимой и ИК областях спектра необходимы для исключения грубых погрешностей, возникающих при измерении радиометром ЭО УФ излучения на фоне интенсивного длинноволнового излучения люминесцентных и накальных ламп, а также естественного света.
8.4.1.1 При измерении относительной спектральной чувствительности радиометров (дозиметров) УФ излучения источников медицинского назначения в основном диапазоне длин волн от 0,2 до 0,4 мкм используют излучатель на основе дейтериевой лампы типа ЛД(Д) с кварцевым окном, имеющий непрерывный спектр излучения в диапазоне длин волн от 0,2 до 0,315 мкм, излучатель на основе ксеноновой лампы типа ДКсШ-120 в диапазоне длин волн 0,315 - 0,4 мкм, монохроматор типа МДР-23 (или аналогичный) со спектральным разрешением не более 2 нм и эталонный приемник УФ излучения - фотодиод типа ФПД-1.
Эталонный приемник УФ излучения и поверяемый прибор поочередно устанавливают за выходной щелью монохроматора таким образом, чтобы поток монохроматического излучения не выходил за пределы апертурной диафрагмы. Измерения сигналов эталонного приемника

и исследуемого прибора

проводят поочередно пять раз на каждой длине волны с шагом 10 нм. Затем за выходной щелью монохроматора устанавливают светофильтр типа ЖС-16 толщиной 2 мм, непрозрачный в диапазоне длин волн от 0,2 до 0,4 мкм, и измеряют сигналы эталонного приемника

и поверяемого прибора

, соответствующие рассеянному излучению в монохроматоре. Результат
i-го измерения ОСЧ поверяемого прибора

рассчитывают по известным значениям ОСЧ

эталонного приемника и отношению измеренных сигналов по формуле

(1)
Для каждой длины волны определяют среднее значение ОСЧ

.
Оценку относительного СКО S0 результатов измерений для n независимых измерений определяют по формуле

(2)
где n - число независимых измерений (n = 5).
Граница относительной неисключенной систематической погрешности результата измерений ОСЧ

определена погрешностью РЭ ПИ и ЭО по
ГОСТ 8.552. Суммарное относительное СКО результата измерения ОСЧ

определяют по формуле

(3)
Значение суммарного СКО результата измерений ОСЧ для каждой длины волны в диапазоне от 0,2 до 0,4 мкм не должно превышать 4% - для диапазонов УФ-A, УФ-B и 5% - для диапазона УФ-C.
8.4.1.2 При измерении относительной спектральной чувствительности радиометра (дозиметра) при первичной поверке в дополнительном видимом и ИК диапазонах спектра от 0,4 до 1,1 мкм спектральное разрешение монохроматора должно быть не более 10 нм. В качестве источника излучения используют лампу накаливания типа КГМ-12-100, в качестве эталонного приемника излучения - кремниевый фотодиод типа ФД-288К. Измерения проводят с шагом 10 нм, как указано в
8.4.1.1. Значение суммарного СКО результата измерений ОСЧ для каждой длины волны в диапазоне от 0,4 до 1,1 мкм не должно превышать 4%.
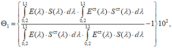
По результатам измерений ОСЧ радиометра (дозиметра) определяют погрешность спектральной коррекции. Погрешность спектральной коррекции радиометра

, вызванная отклонением относительной спектральной чувствительности

поверяемого радиометра (дозиметра) от стандартной

[

- в рабочем диапазоне длин волн, например для УФ-A (0,315 - 0,4 мкм);

- вне рабочего диапазона длин волн], определяют по формуле

(4)
где

- относительная спектральная плотность энергетической освещенности контрольных источников УФ излучения;

- относительная спектральная плотность энергетической освещенности стандартных источников УФ излучения.
Табулированные значения

и

приведены в
таблицах 3 -
9. Для определения применения поверяемого прибора в качестве радиометра (дозиметра) УФ излучения источников медицинского назначения в диапазонах длин волн УФ-A, УФ-B, УФ-C установлен перечень контрольных и стандартных источников излучения. Значение погрешности спектральной коррекции

радиометра (дозиметра) УФ излучения источника медицинского назначения для каждого контрольного источника не должно превышать 5% - для диапазонов УФ-A и УФ-B, 6% - для диапазона УФ-C.
Таблица 3
Значения

для стандартного источника -
ртутной лампы среднего давления
Длина волны, нм | | Длина волны, нм | | Длина волны, нм | |
200 | 5,55·10-2 | 385 | 7,87·10-3 | 570 | 6,27·10-3 |
205 | 8,19·10-2 | 390 | 2,27·10-2 | 575 | 9,48·10-3 |
210 | 1,04·10-1 | 395 | 5,82·10-3 | 580 | 7,04·10-1 |
215 | 1,04·10-1 | 400 | 7,40·10-3 | 585 | 5,47·10-3 |
220 | 1,23·10-1 | 405 | 3,30·10-1 | 590 | 5,07·10-3 |
225 | 1,29·10-1 | 410 | 7,52·10-2 | 595 | 5,05·10-3 |
230 | 1,18·10-1 | 415 | 8,64·10-3 | 600 | 5,02·10-3 |
235 | 1,02·10-1 | 420 | 8,36·10-3 | 605 | 4,98·10-3 |
240 | 8,64·10-2 | 425 | 9,92·10-3 | 610 | 4,99·10-3 |
245 | 4,87·10-2 | 430 | 1,39·10-2 | 615 | 4,92·10-3 |
250 | 9,05·10-2 | 435 | 6,38·10-1 | 620 | 4,97·10-3 |
255 | 4,42·10-1 | 440 | 2,37·10-2 | 625 | 4,94·10-3 |
260 | 1,75·10-1 | 445 | 1,20·10-2 | 630 | 4,92·10-3 |
265 | 2,93·10-1 | 450 | 7,58·10-3 | 635 | 4,95·10-3 |
270 | 1,01·10-1 | 455 | 6,42·10-3 | 640 | 4,99·10-3 |
275 | 6,52·10-2 | 460 | 5,43·10-3 | 645 | 5,02·10-3 |
280 | 1,78·10-1 | 465 | 5,19·10-3 | 650 | 5,07·10-3 |
285 | 2,15·10-2 | 470 | 5,57·10-3 | 655 | 5,16·10-3 |
290 | 8,08·10-2 | 475 | 5,65·10-3 | 660 | 5,25·10-3 |
295 | 1,21·10-1 | 480 | 5,38·10-3 | 665 | 5,27·10-3 |
300 | 1,48·10-1 | 485 | 6,13·10-3 | 670 | 6,07·10-3 |
305 | 3,67·10-1 | 490 | 1,79·10-2 | 675 | 5,22·10-3 |
310 | 1,20·10-1 | 495 | 7,15·10-3 | 680 | 5,21·10-3 |
315 | 6,09·10-1 | 500 | 4,26·10-3 | 685 | 5,23·10-3 |
320 | 1,50·10-2 | 505 | 4,49·10-3 | 690 | 5,82·10-3 |
325 | 1,19·10-2 | 510 | 4,63·10-3 | 695 | 5,27·10-3 |
330 | 1,13·10-2 | 515 | 4,70·10-3 | 700 | 5,25·10-3 |
335 | 1,03·10-1 | 520 | 4,65·10-3 | 705 | 5,34·10-3 |
340 | 9,48·10-3 | 525 | 4,69·10-3 | 710 | 7,11·10-3 |
345 | 7,87·10-3 | 530 | 4,74·10-3 | 715 | 5,05·10-3 |
350 | 6,71·10-3 | 535 | 9,77·10-3 | 720 | 5,01·10-3 |
355 | 9,12·10-3 | 540 | 6,49·10-3 | 725 | 4,94·10-3 |
360 | 9,51·10-3 | 545 | 7,18·10-1 | 730 | 4,89·10-3 |
365 | 1,000 | 550 | 5,61·10-3 | 735 | 4,90·10-3 |
370 | 2,68·10-2 | 555 | 5,50·10-3 | 740 | 4,93·10-3 |
375 | 1,01·10-2 | 560 | 5,40·10-3 | 745 | 4,92·10-3 |
380 | 1,03·10-2 | 565 | 5,51·10-3 | 750 | 4,94·10-3 |
Окончание таблицы 3
Длина волны, нм | | Длина волны, нм | | Длина волны, нм | |
755 | 4,98·10-3 | 875 | 5,43·10-3 | 990 | 6,07·10-3 |
760 | 4,97·10-3 | 880 | 5,45·10-3 | 995 | 6,08·10-3 |
765 | 4,99·10-3 | 885 | 5,48·10-3 | 1000 | 6,09·10-3 |
770 | 5,01·10-3 | 890 | 5,52·10-3 | 1005 | 6,09·10-3 |
775 | 5,04·10-3 | 895 | 5,55·10-3 | 1010 | 6,23·10-3 |
780 | 5,05·10-3 | 900 | 5,58·10-3 | 1015 | 7,66·10-2 |
785 | 5,11·10-3 | 905 | 5,62·10-3 | 1020 | 6,18·10-3 |
790 | 5,09·10-3 | 910 | 5,65·10-3 | 1025 | 6,09·10-3 |
795 | 5,11·10-3 | 915 | 5,70·10-3 | 1030 | 6,08·10-3 |
800 | 5,14·10-3 | 920 | 5,72·10-3 | 1035 | 6,06·10-3 |
805 | 5,16·10-3 | 925 | 5,76·10-3 | 1040 | 6,04·10-3 |
810 | 5,16·10-3 | 930 | 5,79·10-3 | 1045 | 6,01·10-3 |
815 | 5,16·10-3 | 935 | 5,82·10-3 | 1050 | 5,96·10-3 |
820 | 5,18·10-3 | 940 | 5,84·10-3 | 1055 | 5,93·10-3 |
825 | 5,18·10-3 | 945 | 5,87·10-3 | 1060 | 5,89·10-3 |
830 | 5,19·10-3 | 950 | 5,89·10-3 | 1065 | 5,86·10-3 |
835 | 5,22·10-3 | 955 | 5,92·10-3 | 1070 | 5,82·10-3 |
840 | 5,25·10-3 | 960 | 5,96·10-3 | 1075 | 5,79·10-3 |
845 | 5,28·10-3 | 965 | 5,98·10-3 | 1080 | 5,75·10-3 |
850 | 5,31·10-3 | 970 | 6,01·10-3 | 1085 | 5,72·10-3 |
855 | 5,33·10-3 | 975 | 6,04·10-3 | 1090 | 5,69·10-3 |
860 | 5,36·10-3 | 980 | 6,05·10-3 | 1095 | 5,66·10-3 |
865 | 5,38·10-3 | 985 | 6,05·10-3 | 1100 | 5,69·10-3 |
870 | 5,41·10-3 | | | | |
Таблица 4
Значения

для контрольного источника
для диапазона УФ-A - ртутной лампы с люминофором типа ЛУФ
Длина волны, нм | | Длина волны, нм | |
280 | 2,07·10-6 | 415 | 9,85·10-3 |
285 | 1,18·10-5 | 420 | 6,38·10-3 |
290 | 1,58·10-4 | 425 | 4,11·10-3 |
295 | 8,78·10-4 | 430 | 2,84·10-3 |
300 | 1,81·10-3 | 435 | 1,55·10-1 |
305 | 6,06·10-3 | 440 | 1,83·10-3 |
310 | 1,86·10-2 | 445 | 1,17·10-3 |
315 | 6,33·10-1 | 450 | 9,48·10-4 |
320 | 1,09·10-1 | 455 | 7,95·10-4 |
325 | 2,23·10-1 | 460 | 6,36·10-4 |
330 | 3,85·10-1 | 465 | 5,53·10-4 |
335 | 5,83·10-1 | 470 | 5,09·10-4 |
340 | 7,57·10-1 | 475 | 4,63·10-4 |
345 | 9,19·10-1 | 480 | 4,24·10-4 |
350 | 1,000 | 485 | 3,92·10-4 |
355 | 9,75·10-1 | 490 | 2,67·10-3 |
360 | 8,63·10-1 | 495 | 3,61·10-4 |
365 | 8,74·10-1 | 500 | 3,31·10-4 |
370 | 5,58·10-1 | 505 | 3,20·10-4 |
375 | 3,98·10-1 | 510 | 2,94·10-4 |
380 | 2,70·10-1 | 515 | 3,10·10-4 |
385 | 1,78·10-1 | 520 | 2,50·10-4 |
390 | 1,14·10-1 | 525 | 2,67·10-4 |
395 | 6,99·10-2 | 530 | 2,36·10-4 |
400 | 4,26·10-2 | 535 | 2,35·10-4 |
405 | 3,28·10-1 | 540 | 1,92·10-4 |
410 | 6,31·10-2 | 545 | 3,74·10-1 |
Окончание таблицы 4
Длина волны, нм | | Длина волны, нм | |
550 | 5,27·10-4 | 575 | 9,95·10-5 |
555 | 1,51·10-4 | 580 | 3,52·10-1 |
560 | 1,47·10-4 | 585 | 1,49·10-4 |
565 | 1,23·10-4 | 590 | 8,67·10-5 |
570 | 1,13·10-4 | 595 | 7,24·10-5 |
| | 600 | 6,96·10-5 |
Таблица 5
Значения

для контрольного источника
для диапазонов УФ-A, УФ-B - источника типа A
Длина волны, нм | | Длина волны, нм | | Длина волны, нм | |
270 | 7,83·10-4 | 460 | 1,39·10-1 | 650 | 6,14·10-1 |
275 | 1,03·10-3 | 465 | 1,48·10-1 | 655 | 6,27·10-1 |
280 | 1,33·10-3 | 470 | 1,58·10-1 | 660 | 6,39·10-1 |
285 | 1,68·10-3 | 475 | 1,68·10-1 | 665 | 6,52·10-1 |
290 | 2,09·10-3 | 480 | 1,78·10-1 | 670 | 6,64·10-1 |
295 | 2,57·10-3 | 485 | 1,88·10-1 | 675 | 6,76·10-1 |
300 | 3,13·10-3 | 490 | 1,99·10-1 | 680 | 6,88·10-1 |
305 | 3,75·10-3 | 495 | 2,10·10-1 | 685 | 7,00·10-1 |
310 | 4,49·10-3 | 500 | 2,22·10-1 | 690 | 7,12·10-1 |
315 | 5,37·10-3 | 505 | 2,33·10-1 | 695 | 7,24·10-1 |
320 | 6,38·10-3 | 510 | 2,45·10-1 | 700 | 7,35·10-1 |
325 | 7,55·10-3 | 515 | 2,57·10-1 | 705 | 7,46·10-1 |
330 | 8,94·10-3 | 520 | 2,69·10-1 | 710 | 7,57·10-1 |
335 | 1,04·10-2 | 525 | 2,81·10-1 | 715 | 7,68·10-1 |
340 | 1,21·10-2 | 530 | 2,94·10-1 | 720 | 7,78·10-1 |
345 | 1,42·10-2 | 535 | 3,07·10-1 | 725 | 7,88·10-1 |
350 | 1,62·10-2 | 540 | 3,20·10-1 | 730 | 7,98·10-1 |
355 | 1,85·10-2 | 545 | 3,33·10-1 | 735 | 8,07·10-1 |
360 | 2,12·10-2 | 550 | 3,46·10-1 | 740 | 8,16·10-1 |
365 | 2,39·10-2 | 555 | 3,59·10-1 | 745 | 8,25·10-1 |
370 | 2,70·10-2 | 560 | 3,72·10-1 | 750 | 8,34·10-1 |
375 | 3,05·10-2 | 565 | 3,86·10-1 | 755 | 8,42·10-1 |
380 | 3,44·10-2 | 570 | 3,99·10-1 | 760 | 8,51·10-1 |
385 | 3,84·10-2 | 575 | 4,12·10-1 | 765 | 8,59·10-1 |
390 | 4,27·10-2 | 580 | 4,26·10-1 | 770 | 8,67·10-1 |
395 | 4,72·10-2 | 585 | 4,39·10-1 | 775 | 8,75·10-1 |
400 | 5,21·10-2 | 590 | 4,52·10-1 | 780 | 8,83·10-1 |
405 | 5,74·10-2 | 595 | 4,66·10-1 | 785 | 8,90·10-1 |
410 | 6,33·10-2 | 600 | 4,79·10-1 | 790 | 8,97·10-1 |
415 | 6,90·10-2 | 605 | 4,93·10-1 | 795 | 9,04·10-1 |
420 | 7,56·10-2 | 610 | 5,07·10-1 | 800 | 9,11·10-1 |
425 | 8,20·10-2 | 615 | 5,21·10-1 | 805 | 9,18·10-1 |
430 | 8,90·10-2 | 620 | 5,34·10-1 | 810 | 9,24·10-1 |
435 | 9,68·10-2 | 625 | 5,48·10-1 | 815 | 9,30·10-1 |
440 | 1,05·10-1 | 630 | 5,61·10-1 | 820 | 9,35·10-1 |
445 | 1,13·10-1 | 635 | 5,75·10-1 | 825 | 9,40·10-1 |
450 | 1,21·10-1 | 640 | 5,88·10-1 | 830 | 9,45·10-1 |
455 | 1,30·10-1 | 645 | 6,01·10-1 | 835 | 9,50·10-1 |
Окончание таблицы 5
Длина волны, нм | | Длина волны, нм | | Длина волны, нм | |
840 | 9,54·10-1 | 930 | 9,98·10-1 | 1020 | 9,88·10-1 |
845 | 9,59·10-1 | 935 | 9,99·10-1 | 1025 | 9,86·10-1 |
850 | 9,63·10-1 | 940 | 9,99·10-1 | 1030 | 9,83·10-1 |
855 | 9,67·10-1 | 945 | 1,000 | 1035 | 9,81·10-1 |
860 | 9,70·10-1 | 950 | 1,000 | 1040 | 9,79·10-1 |
865 | 9,74·10-1 | 955 | 1,000 | 1045 | 9,77·10-1 |
870 | 9,77·10-1 | 960 | 9,99·10-1 | 1050 | 9,74·10-1 |
875 | 9,80·10-1 | 965 | 9,99·10-1 | 1055 | 9,71·10-1 |
880 | 9,82·10-1 | 970 | 9,98·10-1 | 1060 | 9,68·10-1 |
885 | 9,85·10-1 | 975 | 9,98·10-1 | 1065 | 9,65·10-1 |
890 | 9,87·10-1 | 980 | 9,97·10-1 | 1070 | 9,62·10-1 |
895 | 9,89·10-1 | 985 | 9,96·10-1 | 1075 | 9,59·10-1 |
900 | 9,91·10-1 | 990 | 9,96·10-1 | 1080 | 9,56·10-1 |
905 | 9,93·10-1 | 995 | 9,95·10-1 | 1085 | 9,53·10-1 |
910 | 9,95·10-1 | 1000 | 9,94·10-1 | 1090 | 9,50·10-1 |
915 | 9,96·10-1 | 1005 | 9,93·10-1 | 1095 | 9,47·10-1 |
920 | 9,97·10-1 | 1010 | 9,91·10-1 | 1100 | 9,43·10-1 |
925 | 9,98·10-1 | 1015 | 9,89·10-1 | | |
Таблица 6
Значения

для контрольного источника для диапазона
УФ-B - ртутной лампы с люминофором типа ЛЭ
Длина волны, нм | | Длина волны, нм | |
250 | 1,07·10-6 | 425 | 5,97·10-3 |
255 | 2,85·10-4 | 430 | 5,68·10-3 |
260 | 5,18·10-6 | 435 | 1,32·10-1 |
265 | 7,09·10-5 | 440 | 5,13·10-3 |
270 | 1,60·10-3 | 445 | 4,79·10-3 |
275 | 1,81·10-2 | 450 | 4,43·10-3 |
280 | 5,22·10-2 | 455 | 3,52·10-3 |
285 | 1,53·10-1 | 460 | 2,56·10-3 |
290 | 3,41·10-1 | 465 | 1,03·10-3 |
295 | 5,90·10-1 | 470 | 6,62·10-4 |
300 | 8,55·10-1 | 475 | 4,08·10-4 |
305 | 1,000 | 480 | 4,73·10-4 |
310 | 9,94·10-1 | 485 | 8,24·10-4 |
315 | 9,05·10-1 | 490 | 1,92·10-3 |
320 | 8,10·10-1 | 495 | 5,05·10-4 |
325 | 6,60·10-1 | 500 | 8,72·10-4 |
330 | 5,07·10-1 | 505 | 7,01·10-4 |
335 | 3,44·10-1 | 510 | 5,88·10-4 |
340 | 2,33·10-1 | 515 | 5,21·10-4 |
345 | 1,51·10-1 | 520 | 4,48·10-4 |
350 | 9,80·10-2 | 525 | 4,17·10-4 |
355 | 6,83·10-2 | 530 | 3,85·10-4 |
360 | 4,71·10-2 | 535 | 3,54·10-4 |
365 | 2,70·10-1 | 540 | 1,27·10-3 |
370 | 2,36·10-2 | 545 | 6,09·10-4 |
375 | 1,84·10-2 | 550 | 2,87·10-4 |
380 | 1,41·10-2 | 555 | 2,77·10-4 |
385 | 1,22·10-2 | 560 | 1,80·10-4 |
390 | 9,38·10-3 | 565 | 1,17·10-4 |
395 | 6,11·10-3 | 570 | 8,19·10-5 |
400 | 3,84·10-3 | 575 | 7,24·10-5 |
405 | 1,53·10-1 | 580 | 7,35·10-4 |
410 | 2,47·10-2 | 585 | 7,46·10-5 |
415 | 6,24·10-3 | 590 | 6,57·10-5 |
420 | 6,20·10-3 | 595 | 5,68·10-5 |
| | 600 | 4,98·10-5 |
Таблица 7
Значения

для контрольного источника
для диапазона УФ-C - ртутной лампы низкого давления
Длина волны, нм | | Длина волны, нм | | Длина волны, нм | |
200 | 7,86·10-4 | 335 | 1,21·10-3 | 470 | 5,22·10-5 |
205 | 7,03·10-4 | 340 | 1,42·10-4 | 475 | 4,25·10-5 |
210 | 6,09·10-4 | 345 | 1,17·10-4 | 480 | 3,90·10-5 |
215 | 6,11·10-4 | 350 | 1,01·10-4 | 485 | 4,28·10-5 |
220 | 5,87·10-4 | 355 | 1,16·10-4 | 490 | 1,39·10-4 |
225 | 7,15·10-4 | 360 | 1,32·10-4 | 495 | 3,28·10-5 |
230 | 4,99·10-4 | 365 | 1,61·10-2 | 500 | 3,46·10-5 |
235 | 9,91·10-4 | 370 | 2,13·10-4 | 505 | 3,95·10-5 |
240 | 1,47·10-4 | 375 | 1,34·10-4 | 510 | 3,76·10-5 |
245 | 2,03·10-3 | 380 | 1,50·10-4 | 515 | 2,87·10-5 |
250 | 3,91·10-3 | 385 | 1,25·10-4 | 520 | 2,85·10-5 |
255 | 1,000 | 390 | 1,53·10-4 | 525 | 2,80·10-5 |
260 | 4,10·10-3 | 395 | 1,47·10-4 | 530 | 2,77·10-5 |
265 | 3,51·10-3 | 400 | 1,64·10-4 | 535 | 1,80·10-5 |
270 | 1,84·10-3 | 405 | 1,70·10-2 | 540 | 1,17·10-5 |
275 | 1,46·10-3 | 410 | 1,77·10-3 | 545 | 1,19·10-5 |
280 | 1,22·10-3 | 415 | 1,50·10-4 | 550 | 9,24·10-6 |
285 | 5,91·10-4 | 420 | 1,24·10-4 | 555 | 7,35·10-6 |
290 | 1,51·10-3 | 425 | 1,30·10-4 | 560 | 7,46·10-6 |
295 | 3,90·10-4 | 430 | 1,63·10-4 | 565 | 6,57·10-6 |
300 | 3,83·10-4 | 435 | 3,61·10-2 | 570 | 5,68·10-6 |
305 | 2,55·10-3 | 440 | 2,85·10-4 | 575 | 4,98·10-5 |
310 | 1,04·10-2 | 445 | 1,22·10-4 | 580 | 3,80·10-2 |
315 | 3,24·10-3 | 450 | 9,79·10-5 | 585 | 5,11·10-5 |
320 | 1,19·10-4 | 455 | 8,87·10-5 | 590 | 4,65·10-6 |
325 | 1,53·10-4 | 460 | 6,21·10-5 | 595 | 3,68·10-6 |
330 | 1,52·10-4 | 465 | 5,68·10-5 | 600 | 3,59·10-6 |
Таблица 8
Значения

для контрольного источника для диапазонов
УФ-A, УФ-B - ксеноновой лампы высокого давления
Длина волны, нм | | Длина волны, нм | |
200 | 8,03·10-4 | 300 | 4,13·10-1 |
205 | 6,22·10-3 | 305 | 4,49·10-1 |
210 | 2,30·10-2 | 310 | 4,88·10-1 |
215 | 4,15·10-2 | 315 | 5,22·10-1 |
220 | 9,01·10-2 | 320 | 5,59·10-1 |
225 | 1,20·10-1 | 325 | 5,86·10-1 |
230 | 1,68·10-1 | 330 | 6,15·10-1 |
235 | 1,75·10-1 | 335 | 6,44·10-1 |
240 | 1,83·10-1 | 340 | 6,74·10-1 |
245 | 1,99·10-1 | 345 | 7,01·10-1 |
250 | 2,17·10-1 | 350 | 7,30·10-1 |
255 | 2,38·10-1 | 355 | 7,63·10-1 |
260 | 2,61·10-1 | 360 | 7,98·10-1 |
265 | 2,79·10-1 | 365 | 8,33·10-1 |
270 | 2,98·10-1 | 370 | 8,70·10-1 |
275 | 3,16·10-1 | 375 | 8,76·10-1 |
280 | 3,35·10-1 | 380 | 8,82·10-1 |
285 | 3,59·10-1 | 385 | 9,07·10-1 |
290 | 3,78·10-1 | 390 | 9,32·10-1 |
295 | 3,99·10-1 | 395 | 1,000 |
| | 400 | 8,08·10-1 |
Таблица 9
Значения

для контрольного источника
для диапазона УФ-C - ртутно-вольфрамовой лампы
Длина волны, нм | | Длина волны, нм | | Длина волны, нм | |
250 | 2,25·10-4 | 540 | 3,20·10-1 | 830 | 9,45·10-1 |
255 | 9,52·10-2 | 545 | 3,33·10-1 | 835 | 9,50·10-1 |
260 | 6,08·10-3 | 550 | 3,46·10-1 | 840 | 9,54·10-1 |
265 | 1,53·10-2 | 555 | 3,59·10-1 | 845 | 9,59·10-1 |
270 | 4,09·10-3 | 560 | 3,72·10-1 | 850 | 9,63·10-1 |
275 | 1,02·10-2 | 565 | 3,85·10-1 | 855 | 9,67·10-1 |
280 | 3,98·10-2 | 570 | 3,99·10-1 | 860 | 9,70·10-1 |
285 | 1,15·10-3 | 575 | 4,12·10-1 | 865 | 9,74·10-1 |
290 | 2,54·10-2 | 580 | 7,57·10-1 | 870 | 9,77·10-1 |
295 | 8,89·10-3 | 585 | 4,39·10-1 | 875 | 9,80·10-1 |
300 | 7,82·10-2 | 590 | 4,52·10-1 | 880 | 9,82·10-1 |
305 | 1,53·10-1 | 595 | 4,66·10-1 | 885 | 9,85·10-1 |
310 | 4,10·10-3 | 600 | 4,79·10-1 | 890 | 9,87·10-1 |
315 | 3,22·10-1 | 605 | 4,93·10-1 | 895 | 9,89·10-1 |
320 | 6,45·10-3 | 610 | 5,07·10-1 | 900 | 9,91·10-1 |
325 | 7,19·10-3 | 615 | 5,21·10-1 | 905 | 9,93·10-1 |
330 | 8,83·10-3 | 620 | 5,34·10-1 | 910 | 9,95·10-1 |
335 | 8,49·10-2 | 625 | 5,48·10-1 | 915 | 9,96·10-1 |
340 | 1,18·10-2 | 630 | 5,61·10-1 | 920 | 9,97·10-1 |
345 | 1,37·10-2 | 635 | 5,75·10-1 | 925 | 9,98·10-1 |
350 | 1,56·10-2 | 640 | 5,88·10-1 | 930 | 9,98·10-1 |
355 | 1,77·10-2 | 645 | 6,01·10-1 | 935 | 9,99·10-1 |
360 | 2,06·10-2 | 650 | 6,14·10-1 | 940 | 9,99·10-1 |
365 | 6,81·10-1 | 655 | 6,27·10-1 | 945 | 1,000 |
370 | 2,68·10-2 | 660 | 6,39·10-1 | 950 | 1,000 |
375 | 3,01·10-2 | 665 | 6,52·10-1 | 955 | 1,000 |
380 | 3,41·10-2 | 670 | 6,64·10-1 | 960 | 9,99·10-1 |
385 | 3,84·10-2 | 675 | 6,76·10-1 | 965 | 9,99·10-1 |
390 | 4,31·10-2 | 680 | 6,88·10-1 | 970 | 9,98·10-1 |
395 | 4,74·10-2 | 685 | 7,00·10-1 | 975 | 9,98·10-1 |
400 | 5,20·10-2 | 690 | 7,12·10-1 | 980 | 9,97·10-1 |
405 | 2,89·10-1 | 695 | 7,24·10-1 | 985 | 9,96·10-1 |
410 | 1,11·10-1 | 700 | 7,35·10-1 | 990 | 9,96·10-1 |
415 | 7,08·10-2 | 705 | 7,46·10-1 | 995 | 9,95·10-1 |
420 | 7,60·10-2 | 710 | 7,57·10-1 | 1000 | 9,94·10-1 |
425 | 8,22·10-2 | 715 | 7,68·10-1 | 1005 | 9,93·10-1 |
430 | 8,90·10-2 | 720 | 7,78·10-1 | 1010 | 9,91·10-1 |
435 | 4,83·10-1 | 725 | 7,88·10-1 | 1015 | 9,89·10-1 |
440 | 1,05·10-1 | 730 | 7,98·10-1 | 1020 | 9,88·10-1 |
445 | 1,13·10-1 | 735 | 8,07·10-1 | 1025 | 9,86·10-1 |
450 | 1,21·10-1 | 740 | 8,16·10-1 | 1030 | 9,83·10-1 |
455 | 1,30·10-1 | 745 | 8,25·10-1 | 1035 | 9,81·10-1 |
460 | 1,39·10-1 | 750 | 8,34·10-1 | 1040 | 9,79·10-1 |
465 | 1,48·10-1 | 755 | 8,42·10-1 | 1045 | 9,77·10-1 |
470 | 1,58·10-1 | 760 | 8,51·10-1 | 1050 | 9,74·10-1 |
475 | 1,68·10-3 | 765 | 8,59·10-1 | 1055 | 9,71·10-1 |
480 | 1,78·10-1 | 770 | 8,67·10-1 | 1060 | 9,68·10-1 |
485 | 1,88·10-1 | 775 | 8,75·10-1 | 1065 | 9,65·10-1 |
490 | 1,99·10-1 | 780 | 8,83·10-1 | 1070 | 9,62·10-1 |
495 | 2,10·10-1 | 785 | 8,90·10-1 | 1075 | 9,59·10-1 |
500 | 2,22-10-1 | 790 | 8,97·10-1 | 1080 | 9,56·10-1 |
505 | 2,33·10-1 | 795 | 9,04·10-1 | 1085 | 9,53·10-1 |
510 | 2,45·10-1 | 800 | 9,11·10-1 | 1090 | 9,50·10-1 |
515 | 2,57·10-1 | 805 | 9,18·10-1 | 1095 | 9,47·10-1 |
520 | 2,69·10-1 | 810 | 9,24·10-1 | 1100 | 9,43·10-1 |
525 | 2,81·10-1 | 815 | 9,30·10-1 | | |
530 | 2,94·10-1 | 820 | 9,35·10-1 | | |
535 | 7,68·10-1 | 825 | 9,40·10-1 | | |
8.4.2 Определение погрешности радиометров (дозиметров) УФ излучения источников медицинского назначения, возникающей из-за неидеальности коррекции спектральной чувствительности в УФ, видимом и ИК диапазонах длин волн от 0,2 до 1,1 мкм проводят при периодической поверке с использованием контрольных источников излучения.
В основном УФ диапазоне длин волн от 0,2 до 0,4 мкм измерения проводят с использованием в качестве контрольных источников излучения - ламп типов: ДРТ-250 - в диапазонах УФ-A, УФ-B, УФ-C; ДБ-30 - в диапазоне УФ-C; ЛУФ-40 - в диапазоне УФ-A; ЛЭ-30 - в диапазоне УФ-B; ДКсШ-120 - в диапазонах УФ-A, УФ-B, УФ-C; КГМ-12-100 - в диапазоне УФ-A. При этом эталонный и поверяемый УФ радиометры (дозиметры) поочередно устанавливают на оптической скамье на расстоянии 1 м от каждого из источников излучения и юстируют по углу для достижения максимального сигнала. Измерения сигналов поверяемого и эталонного радиометров (дозиметров)
Ic и
Ic0 проводят пять раз для каждого контрольного источника и определяют среднеарифметическое значение разности сигналов и СКО результатов измерений. Различие показаний поверяемого и эталонного радиометров (дозиметров)

- для каждого контрольного источника не должна превышать

при погрешности спектральной коррекции эталонного радиометра 3% - в диапазонах УФ-A и УФ-B и 4% - в диапазоне УФ-C.
| | ИС МЕГАНОРМ: примечание. Приказом Росстандарта от 29.12.2018 N 2817 с 30 апреля 2019 года введена в действие новая Государственная поверочная схема. | |
В видимом и ИК диапазонах длин волн от 0,4 до 1,1 мкм измерения проводят с использованием в качестве РЭ СПЭО по ГОСТ 8.197 лампы накаливания типа КГМ-12-100 с дополнительным светофильтром типа ЖС-16 толщиной 1 мм. Расстояние от источника излучения до поверяемого УФ радиометра (дозиметра) составляет 0,3 м. Еvir - значение энергетической освещенности излучателя в диапазоне длин волн 0,4 - 1,1 мкм. Регистрация сигнала поверяемого радиометра (дозиметра) Iuv указывает на наличие дополнительной нескорригированной чувствительности в видимом и ИК диапазонах длин волн Svir, которая определяется отношением Svir = Iuv/Evir. Допускаются к применению радиометры (дозиметры), для которых значение Svir не превышает 1·10-3 - в диапазоне УФ-A, 1·10-4 - в диапазоне УФ-B и 5·10-5 - в диапазоне УФ-C.
8.4.3 При измерении абсолютной чувствительности радиометров (дозиметров) УФ излучения источников медицинского назначения в диапазоне длин волн УФ-A используют ртутную лампу с люминофором типа ЛУФ-40, в диапазоне длин волн УФ-B - ртутную лампу с люминофором типа ЛЭ-30, в диапазоне длин волн УФ-C - ртутную лампу типа ДБ-30.
На расстоянии 1 м от лампы на оптической скамье поочередно устанавливают эталонный радиометр и поверяемый прибор. Измерения сигналов эталонного радиометра I° и поверяемого прибора I проводят поочередно пять раз. Значение абсолютной чувствительности S поверяемого прибора рассчитывают по формуле
S = S°I/I°, (5)
где S° - абсолютная чувствительность эталонного радиометра.
Определяют среднеарифметическое значение абсолютной чувствительности поверяемого прибора, суммарное СКО результата измерений с учетом предельной погрешности эталонного радиометра (дозиметра). Предельная погрешность определения абсолютной чувствительности

не должна превышать 4% - для диапазонов УФ-A, УФ-B и 5% - для диапазона УФ-C.
8.4.4 Погрешности радиометра (дозиметра) УФ излучения источников медицинского назначения, возникающая из-за отклонения коэффициента линейности от единицы, проводят для определения границ диапазона измерений ЭО (ЭЭ). Коэффициент линейности определяют как отклонение чувствительности радиометра (дозиметра) от постоянного значения в рабочем диапазоне измеряемой величины.
На оптической скамье устанавливают два источника УФ излучения - лампы типа ДРШ-250. Расстояние между поверяемым радиометром (дозиметром) и источниками излучения выбирают таким образом, чтобы показания радиометра (дозиметра) соответствовали нижней границе диапазона измерений ЭО (ЭЭ), указанной в паспорте поверяемого прибора и составляющей для радиометра УФ излучения источников медицинского назначения не более 0,01 Вт/м
2 - в диапазоне УФ-A, 0,01 Вт/м
2 - в диапазоне УФ-B и 0,001 мВт/м
2 - в диапазоне УФ-C. Измеряют сигналы поверяемого радиометра (дозиметра) отдельно от каждого из двух излучателей
I1 и
I2 и суммарный сигнал

от двух излучателей. Измерения проводят пять раз с использованием экранирующих заслонок. Определяют среднеарифметическое значения измеренных сигналов, СКО -
S0, суммарное СКО результатов измерений, рассчитывают коэффициент линейности
K, равный отношению

, и погрешность радиометра (дозиметра)

, вызванную отклонением чувствительности радиометра (дозиметра) по формуле

(6)
При определении границ рабочего диапазона измерений ЭО (ЭЭ) поверяемого радиометра (дозиметра) расстояние от источников излучения до радиометра (дозиметра) уменьшают таким образом, чтобы значение энергетической освещенности от каждого источника излучения увеличилось на порядок. Измеряют сигналы
i1,
i2,

и рассчитывают соответствующее значение погрешности

. Измерения повторяют каждый раз с увеличением значения энергетической освещенности на порядок до достижения верхней границы рабочего диапазона измерений энергетической освещенности радиометра (дозиметра), которая составляет не менее 200 Вт/м
2 - в диапазоне УФ-A, 20 Вт/м
2 - в диапазоне УФ-B и 20 Вт/м
2 - в диапазоне УФ-C. По результатам измерений определяют границы рабочего диапазона энергетической освещенности поверяемого радиометра (дозиметра) УФ излучения источников медицинского назначения, в пределах которого значение погрешности

не превышает 2% для диапазонов УФ-A, УФ-B и 3% - для диапазона УФ-C.
8.4.5 При измерении угловой зависимости чувствительности радиометра (дозиметра) УФ излучения источников медицинского назначения от угла падения потока излучения радиометр (дозиметр) устанавливают на неподвижное плечо гониометра типа ГС-5, на подвижное плечо гониометра устанавливают источник излучения - лампу типа ДРШ-200. Измеряют сигналы поверяемого радиометра (дозиметра)

в зависимости от угла падения потока излучения от 0° до 85° с шагом 5°. Значения угловой зависимости сигналов радиометра (дозиметра), нормированных на значение сигнала радиометра (дозиметра) при нормальном падении потока излучения, позволяют рассчитать угловую зависимость

отклонения относительной чувствительности радиометра (дозиметра) от функции

по формуле

(7)
Косинусную погрешность радиометра (дозиметра)

рассчитывают по формуле

(8)
Значение

рассчитывают с использованием компьютерных программ. Значение

не должно превышать 3% - для диапазонов УФ-A, УФ-B и 4% - для диапазона УФ-C.
Допускается ограничивать угол зрения радиометра УФ излучения источников медицинского назначения с указанием в паспорте радиометра (дозиметра) значений угла зрения

и поправочных коэффициентов

, учитывающих угловые размеры излучателя:

(9)
8.4.6 Обработку результатов измерений характеристик УФ радиометров (дозиметров) УФ излучения источников медицинского назначения проводят в соответствии с
ГОСТ Р 8.736.
8.4.6.1 Оценку относительного СКО результатов измерений S0 для n независимых измерений определяют по формуле

(10)
где Ii - результат i-го независимого измерения;

- среднеарифметическое
n измерений.
| | ИС МЕГАНОРМ: примечание. В официальном тексте документа, видимо, допущена опечатка: пункт 8.3.4 отсутствует. | |
СКО результатов измерений S0 определяют в соответствии с 8.3.4, они не должны превышать 1% в диапазоне от 0,1 до 100 Вт/м2 (УФ-A), в диапазоне 0,01 - 10 Вт/м2 (УФ-B), в диапазоне 0,001 - 1 Вт/м2 (УФ-C) для средств измерений энергетической освещенности УФ излучения источников медицинского назначения.
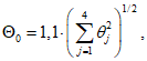
8.4.6.2 Границу относительной неисключенной систематической погрешности

определяют по формуле

(11)
где

- составляющие неисключенной систематической погрешности.
Источниками неисключенной систематической погрешности являются:

- погрешность спектральной коррекции (

- для диапазонов УФ-A, УФ-B и 6% - для диапазона УФ-C в соответствии с
8.4.1 и
8.4.2);

- погрешность измерений абсолютной чувствительности (

- для диапазонов УФ-A, УФ-B и 5% - для диапазона УФ-C в соответствии с 8.4.3);

- погрешность, определяемая коэффициентом линейности (

- для диапазонов УФ-A, УФ-B и 3% - для диапазона УФ-C в соответствии с
8.4.4);

- погрешность, вносимая нестандартной угловой характеристикой радиометра или дозиметра (

- для диапазонов УФ-A, УФ-B и 4% - для диапазона УФ-C в соответствии с
8.4.5).
Граница относительной неисключенной систематической погрешности средств измерений энергетической освещенности УФ излучения источников медицинского назначения не должна превышать 8% - для диапазонов УФ-A, УФ-B и 10% - для диапазона УФ-C.
8.4.6.3 Предел допускаемой основной относительной погрешности рассчитывают по формуле

(12)
где K - коэффициент, определяемый соотношением случайной и неисключенной систематической погрешностей;

- суммарное СКО.
Если для радиометра (дозиметра) УФ излучения источников медицинского назначения

, то случайной погрешностью по сравнению с систематической пренебрегают и принимают

.
8.5 Результаты поверки СИ ЭО УФ излучения источников медицинского назначения считают положительными, если предел допускаемой основной относительной погрешности не превышает 8% - для диапазонов УФ-A, УФ-B и 10% - для диапазона УФ-C.
9. Оформление результатов поверки
9.1 При положительных результатах поверки оформляют свидетельство о государственной поверке в соответствии с
[2] и радиометр (дозиметр) допускается к применению в качестве СИ характеристик УФ излучения источников медицинского назначения в соответствии с настоящим стандартом.
9.2 При отрицательных результатах поверки свидетельство о предыдущей поверке аннулируют и выдают извещение о непригодности в соответствии с
[2].
| Правила по метрологии | Государственная система обеспечения единства измерений. Порядок аттестации поверителей средств измерений |
| | Порядок проведения поверки средств измерений, требования к знаку поверки и содержанию свидетельства о поверке. Утвержден Приказом Минпромторга России от 02 июля 2015 г. N 1815 |