Главная // Актуальные документы // ГОСТ Р (Государственный стандарт)СПРАВКА
Источник публикации
М.: Стандартинформ, 2015
Примечание к документу
Документ
введен в действие с 1 июня 2016 года.
Название документа
"ГОСТ Р 8.889-2015. Национальный стандарт Российской Федерации. Государственная система обеспечения единства измерений. Спектрофлуориметры сканирующие. Методика поверки"
(утв. и введен в действие Приказом Росстандарта от 13.08.2015 N 1156-ст)
"ГОСТ Р 8.889-2015. Национальный стандарт Российской Федерации. Государственная система обеспечения единства измерений. Спектрофлуориметры сканирующие. Методика поверки"
(утв. и введен в действие Приказом Росстандарта от 13.08.2015 N 1156-ст)
Утвержден и введен в действие
агентства по техническому
регулированию и метрологии
от 13 августа 2015 г. N 1156-ст
НАЦИОНАЛЬНЫЙ СТАНДАРТ РОССИЙСКОЙ ФЕДЕРАЦИИ
ГОСУДАРСТВЕННАЯ СИСТЕМА ОБЕСПЕЧЕНИЯ ЕДИНСТВА ИЗМЕРЕНИЙ
СПЕКТРОФЛУОРИМЕТРЫ СКАНИРУЮЩИЕ
МЕТОДИКА ПОВЕРКИ
State system for ensuring the uniformity of measurements.
Scanning spectrofluorimeters. Verification procedure
ГОСТ Р 8.889-2015
Дата введения
1 июня 2016 года
1 РАЗРАБОТАН Федеральным государственным унитарным предприятием "Всероссийский научно-исследовательский институт оптико-физических измерений" (ФГУП "ВНИИОФИ")
2 ВНЕСЕН Техническим комитетом по стандартизации ТК 206 "Эталоны и поверочные схемы"
3 УТВЕРЖДЕН И ВВЕДЕН В ДЕЙСТВИЕ
Приказом Федерального агентства по техническому регулированию и метрологии от 13 августа 2015 г. N 1156-ст
5 ВВЕДЕН ВПЕРВЫЕ
Правила применения настоящего стандарта установлены в ГОСТ Р 1.0-2012 (раздел 8). Информация об изменениях к настоящему стандарту публикуется в ежегодном (по состоянию на 1 января текущего года) информационном указателе "Национальные стандарты", а официальный текст изменений и поправок - в ежемесячном информационном указателе "Национальные стандарты". В случае пересмотра (замены) или отмены настоящего стандарта соответствующее уведомление будет опубликовано в ближайшем выпуске ежемесячного информационного указателя "Национальные стандарты". Соответствующая информация, уведомления и тексты размещаются также в информационной системе общего пользования - на официальном сайте Федерального агентства по техническому регулированию и метрологии в сети Интернет (www.gost.ru)
Настоящий стандарт распространяется на спектрофлуориметры, использующие для возбуждения флуоресценции некогерентные источники света со спектром в оптическом диапазоне длин волн (далее - спектрофлуориметры), и устанавливает методику их первичной и периодической поверок.
При утверждении методик поверки на конкретные средства измерений, исходя из их специфики, отдельные процедуры поверки, рекомендованные настоящим стандартом, могут быть исключены или заменены другими процедурами.
Межповерочный интервал - не более одного года.
В настоящем стандарте использованы нормативные ссылки на следующие документы:
ГОСТ 12.1.005-88 Система стандартов безопасности труда. Общие санитарно-гигиенические требования к воздуху рабочей зоны
ГОСТ OIML R 111-1-2009 Государственная система обеспечения единства измерений. Гири классов точности E (индекса 1), E (индекса 2), F (индекса 1), F (индекса 2), M (индекса 1), M (индекса 1-2), M (индекса 2), M (индекса 2-3) и M (индекса 3). Часть 1. Метрологические и технические требования
ГОСТ 1770-74 (ИСО 1042-83, ИСО 4788-90) Посуда мерная лабораторная стеклянная. Цилиндры, мензурки, колбы, пробирки. Общие технические условия
ГОСТ 25336-82 Посуда и оборудование лабораторные стеклянные. Типы, основные параметры и размеры
ГОСТ 29169-91 (ИСО 648-77) Посуда лабораторная стеклянная. Пипетки с одной отметкой
ГОСТ Р 52501-2005 (ИСО 3696:1987) Вода для лабораторного анализа. Технические условия
ГОСТ Р 53228-2008 Весы неавтоматического действия. Часть 1. Метрологические и технические требования. Испытания
Примечание - При пользовании настоящим стандартом целесообразно проверить действие ссылочных стандартов в информационной системе общего пользования - на официальном сайте Федерального агентства по техническому регулированию и метрологии в сети Интернет или по ежегодно издаваемому информационному указателю "Национальные стандарты", который опубликован по состоянию на 1 января текущего года, и по выпускам ежемесячно издаваемого информационного указателя "Национальные стандарты" за текущий год. Если заменен ссылочный стандарт (документ), на который дана недатированная ссылка, то рекомендуется использовать действующую версию этого стандарта (документа) с учетом всех внесенных в данную версию изменений. Если заменен ссылочный стандарт (документ), на который дана датированная ссылка, то рекомендуется использовать версию этого стандарта (документа) с указанным выше годом утверждения (принятия). Если после утверждения настоящего стандарта в ссылочный документ, на который дана датированная ссылка, внесено изменение, затрагивающее положение, на которое дана ссылка, то это положение рекомендуется применять без учета данного изменения. Если ссылочный стандарт (документ) отменен без замены, то положение, в котором дана ссылка на него, рекомендуется применять в части, не затрагивающей эту ссылку.
3 Операции и средства поверки
3.1 При проведении поверки выполняют операции и применяют средства поверки, указанные в таблице 1.
Таблица 1
Операции и средства поверки
Наименование операции | Подраздел | Наименование и тип основного или вспомогательного средства поверки; обозначение нормативного документа, устанавливающего технические требования и (или) метрологические и основные технические характеристики средства поверки |
Внешний осмотр | | - |
Опробование | | Комплект мер флуоресценции КМФ N 56936-14 по Госреестру средств измерений |
Определение спектрального разрешения | | Лампа дуговая ртутно-гелиевая спектральная ДРГС-12, ОДО.337.185 ТУ |
Определение систематической погрешности и доверительной границы случайной погрешности установки длины волны монохроматора излучения флуоресценции | | Лампа дуговая ртутно-гелиевая спектральная ДРГС-12, ОДО.337.185 ТУ |
Определение систематической погрешности и доверительной границы случайной погрешности установки длины волны монохроматора возбуждающего излучения | | Диффузно-рассеивающий образец из комплекта принадлежностей спектрофлуориметра или коллоидный раствор латекса с массовой концентрацией 20 - 30 мг/л, либо раствор гликозема концентрацией 1 г/л |
Определение отношения сигнал/шум для спектральной полосы комбинационного (рамановского) рассеяния дистиллированной воды | | Вода для лабораторного анализа, двойной перегонки (бидистиллят), степень чистоты 1 по ГОСТ Р 52501-2005 |
Наименование операции | Подраздел | Наименование и тип основного или вспомогательного средства поверки; обозначение нормативного документа, устанавливающего технические требования и (или) метрологические и основные технические характеристики средства поверки |
| | ИС МЕГАНОРМ: примечание. В официальном тексте документа, видимо, допущена опечатка: имеется в виду приложение Б, а не приложение В. | |
|
Определение диапазона линейности фотометрической шкалы спектрофлуориметра | | Аттестованные смеси сульфата хинина дигидрата с массовой концентрацией, 1, 10, 100 мкг/дм 3, 1, 10, 100 мг/дм 3 (приложение В) |
3.2 Допускается применение других аналогичных средств поверки, обеспечивающих определение (контроль) метрологических характеристик поверяемого спектрофлуориметра с требуемой точностью.
4 Требования безопасности
При проведении поверки должны быть соблюдены требования безопасности, предусмотренные в соответствующих разделах эксплуатационных документов на применяемые средства поверки и поверяемый спектрофлуориметр.
5 Требования к квалификации поверителей
К проведению поверки допускают лиц:
- изучивших настоящую методику поверки и руководство по эксплуатации на спектрофлуориметры;
- имеющих опыт работы со спектральными приборами;
- прошедших инструктаж по технике безопасности при работе в данной лаборатории;
- аттестованных в качестве поверителей в соответствии с
правилами по метрологии
[1].
- имеющих квалификационную группу не ниже III в соответствии с
[2].
6 Условия поверки и подготовка к ней
6.1 При проведении поверки соблюдают следующие условия:
- температура окружающего воздуха, °C ........................20 +/- 5;
- относительная влажность воздуха, % ........................60 +/- 10;
- атмосферное давление, кПа ..................................84 - 107;
- напряжение сети электрического питания, В ................220 +/- 22;
- частота сети электрического питания, Гц ..................50 +/- 0,5.
6.2 Концентрация агрессивных газов и паров в атмосфере помещения, где находятся спектрофлуориметры, не должна превышать санитарных норм для рабочей зоны, установленных
ГОСТ 12.1.005.
6.3 Механические воздействия, внешние электрические и магнитные поля, влияющие на метрологические характеристики спектрофлуориметров, должны быть исключены.
6.4 Спектрофлуориметр должен быть заземлен.
6.5 Средства поверки готовят к работе в соответствии с эксплуатационными документами.
7.1.1 При внешне осмотре устанавливают:
- отсутствие видимых механических повреждений;
- соответствие комплекта прибора его паспортным данным,
- наличие заземления;
- наличие и прочность органов управления и коммутации,
- четкость фиксации их положения;
- чистоту гнезд, разъемов и клемм;
- состояние и четкость маркировок;
- состояние соединительных кабелей и подключение приборов к электрической сети и компьютеру с помощью соответствующих кабелей.
7.1.2 Спектрофлуориметр считается прошедшим внешний осмотр, если корпус, внешние элементы, органы управления не повреждены, отсутствуют механические повреждения и ослабления элементов конструкции.
7.2.1 Подготавливают спектрофлуориметр к работе в соответствии с руководством по эксплуатации.
7.2.2 Заполняют флуориметрическую кювету раствором флуоресцеина из комплекта мер флуоресценции КМФ, устанавливают кювету в спектрофлуориметр (допускается использовать любой из образцов, входящих в комплект мер флуоресценции КМФ).
7.2.3 Записывают спектр флуоресценции установленного образца при следующих параметрах настройки спектрофлуориметра:
- длина волны возбуждающего излучения от 345 до 420 нм;
- спектральная ширина щели сканирующего монохроматора 5 нм;
- диапазон сканирования от 470 до 670 нм.
7.2.4. Спектрофлуориметры считают прошедшими опробование, если положение пика флуоресценции в полученном спектре находится в пределах 512 - 516 нм, а значение ширины пика на его полувысоте составляет 30 - 45 нм.
7.3 Определение разрешающей способности
7.3.1 Спектральную лампу ДРГС-12 помещают в кюветное отделение спектрофлуориметра и включают ее.
7.3.2. При минимальном для данного спектрофлуориметра значении спектральной ширины щели сканирующего монохроматора записывают с минимальным шагом сканирования спектр излучения лампы в диапазоне от 355 до 375 нм. Полученный спектр представляет собой пик с максимумом на длине волны атомной линии ртути 365 нм и воспроизводит форму аппаратной функции монохроматора спектрофлуориметра.
7.3.3. Спектральное разрешение спектрофлуориметра определяют как ширину

на полувысоте пика полученной аппаратной функции, при этом оно не должно превышать значения, указанного в паспорте (формуляре) на спектрофлуориметр.
7.4 Определение систематической погрешности и доверительной границы случайной погрешности установки длины волны монохроматора излучения флуоресценции
7.4.1 Регистрируют спектры излучения дуговой ртутно-гелиевой спектральной лампы ДРГС-12 на указанных в таблице 2 спектральных интервалах сканирования при минимальных значениях спектральной ширины щели монохроматора и шага сканирования.
Таблица 2
Спектральные интервалы сканирования
Химический элемент, номинальное значение длины волны атомной спектральной линии излучения  , нм | Спектральный интервал сканирования, нм |
Hg, 226,2 | 221 - 231 |
Hg, 253,7 | 249 - 259 |
Hg, 302,2 | 297 - 307 |
Hg, 365,0 | 360 - 370 |
Hg, 404,7 | 400 - 410 |
He, 447,1 | 442 - 452 |
He, 501,6 | 497 - 507 |
Hg, 546,1 | 541 - 551 |
Hg, 577,0 | 572 - 582 |
He, 597,6 | 593 - 603 |
He, 667,8 | 563 - 673 |
Hg, 708,2 | 703 - 713 |
7.4.2 В каждом из приведенных в
таблице 2 спектральных интервалов сканирования записывают пять повторных спектров. В каждом из полученных спектров определяют значение длины волны

(где
k - номер спектрального интервала,
i - номер спектра), соответствующее максимуму (пику). Для каждой серии из пяти измерений вычисляют средние значения

по формуле

, (1)
где

- длина волны (
i - номер измерения,
k - номер спектрального интервала);
N - число измерений (N = 5).
Затем рассчитывают средние квадратичные отклонения Sk случайной погрешности по формуле

. (2)
Предел доверительной границы случайной погрешности

установки длины волны монохроматора излучения флуоресценции определяют по формуле

, (3)
где 2,776 - коэффициент Стьюдента для пятикратных измерений (число степеней свободы равно 4) при доверительной вероятности P = 0,95;
СКО - наибольшее из значений
Sk, полученных для представленных в
таблице 2 спектральных интервалов.
7.4.3 Для каждой из представленных в
таблице 2 атомных спектральных линий определяют разность между номинальным и измеренным значениям длины волны

по формуле

, (4)
где

- номинальное значение длины волны, согласно
таблице 2;

- среднее значение длины волны, вычисленное по
формуле (1).
Предел систематической погрешности установки длины волны монохроматора излучения флуоресценции

определяют как наибольшую из определенных по
формуле (4) разностей между номинальными и измеренными значениями длин волн, соответствующих пикам спектральных линий.
7.4.4 Спектрофлуориметр признают прошедшим поверку, если полученные значения пределов доверительной границы случайной погрешности и пределов систематической погрешности установки длины волны монохроматора излучения флуоресценции не превышают значений, указанных в паспорте (формуляре) на спектрофлуориметр.
7.5 Определение систематической погрешности и доверительной границы случайной погрешности установки длины волны монохроматора возбуждающего излучения
7.5.1 Сравнивают значения длин волн, заданных для монохроматора возбуждающего излучения, и значения длин волн, соответствующих максимумам пиков спектров эмиссии, полученных с помощью диффузно-рассеивающего образца. Одновременно проверяют совпадение шкалы длин волн монохроматора, возбуждающего излучения, со шкалой длин волн монохроматора излучения флуоресценции, предварительно испытанного с помощью источника излучения атомных спектральных линий (дуговой ртутно-гелиевой спектральной лампы ДРГС-12). Измерения проводят при минимальном шаге сканирования спектров и минимальных значениях спектральной ширины щелей монохроматоров излучения флуоресценции и возбуждающего излучения.
Значения длин волн и спектральных интервалов сканирования для проверки совпадения шкал длин волн монохроматоров излучения флуоресценции и возбуждающего излучения приведены в таблице 3.
Таблица 3
Значения длин волн и спектральных интервалов сканирования
Длина волны монохроматора возбуждающего излучения  , нм | Спектральный интервал сканирования, нм |
250 | 245 - 255 |
300 | 295 - 305 |
400 | 395 - 405 |
500 | 495 - 505 |
600 | 595 - 605 |
700 | 695 - 705 |
7.5.2 Диффузно-рассеивающий образец из комплекта принадлежностей прибора или коллоидный раствор латекса с массовой концентрацией 20 - 30 мг/л помещают в кюветное отделение спектрофлуориметра.
7.5.3 Для каждого из приведенных в
таблице 3 спектральных интервалов сканирования задают соответствующую длину волны возбуждающего излучения и записывают пять повторных спектров. В каждом из полученных спектров определяют значение длины волны

(где
k - номер спектрального интервала,
i - номер спектра), соответствующее максимуму (пику). Для каждой серии из пяти измерений находят средние значения

по
формуле (1), рассчитывают средние квадратичные отклонения
Sk случайной погрешности по
формуле 2 и определяют наибольшее из полученных значений
Sk.
Доверительную границу случайной погрешности

установки длины волны монохроматора возбуждающего излучения определяют по
формуле (3).
7.5.4 Для каждого из спектральных интервалов вычисляют систематическую погрешность

по формуле

, (5)
где

- систематическая погрешность установки длины волны монохроматора излучения флуоресценции, определенная по
7.4.3;

- среднее значение длины волны, найденное для положения пика в спектральном интервале с индексом
k;

- длина волны монохроматора возбуждающего излучения в спектральном интервале с индексом
k.
Доверительную границу систематической погрешности установки длины волны монохроматора возбуждающего излучения определяют, как наибольшее из значений

, рассчитанных по
формуле (5).
7.5.5 Спектрофлуориметр признают прошедшим поверку, если полученные значения доверительной границы случайной погрешности и систематической погрешности установки длины волны монохроматора возбуждающего излучения не превышают значений указанных в паспорте (формуляре) на спектрофлуориметр.
7.6 Определение отношения сигнал/шум для спектральной полосы комбинационного (рамановского) рассеяния дистиллированной воды
7.6.1 Возбуждение спектральной полосы комбинационного рассеяния (КР) осуществляется в спектральном диапазоне от 350 до 365 нм. Измеряют излучение эмиссии дистиллированной воды в максимуме спектральной полосы КР и его фоновый уровень на длине волны 450 нм. Рассчитывают средние квадратичные отклонения (СКО) для излучения эмиссии в максимуме спектральной полосы КР и на длине волны 450 нм, которые характеризуют уровень шума при измерении слабых сигналов излучения эмиссии. Находят два значения отношения сигнал/шум (С/Ш) как частные от деления среднего значения излучения эмиссии в максимуме спектральной полосы КР к полученным значениям СКО. Первое отношение С/Ш, найденное для максимума спектральной полосы КР, характеризует чувствительность спектрофлуориметра при измерении соизмеримого по уровню излучения. Второе отношение С/Ш, найденное для шумов фоновой эмиссии, характеризует предельную чувствительность прибора.
7.6.2 Задают значения длины волны возбуждающего излучения и излучения флуоресценции (эмиссии), указанные в документации на спектрофлуориметр. Для приборов, в которых источником излучения служит ксеноновая лампа, выбор длин волн возбуждения и эмиссии зависит от типа применяемой лампы. При использовании ксеноновых ламп, работающих в непрерывном режиме, для длины волны возбуждения, как правило, задают значение 350 нм, а для длины волны эмиссии - 397 нм. При использовании ксеноновых ламп, работающих в импульсном режиме, возбуждение спектра КР как правило осуществляется на пике излучения лампы с длиной волны 361 нм, а эмиссия - в максимуме спектра КР при длине волны 411 нм.
7.6.3 Кварцевую кювету, заполненную свежеприготовленной дважды перегнанной дистиллированной водой, устанавливают в кюветное отделение спектрофлуориметра
7.6.4 Задают значения спектральной ширины щелей 5 нм для монохроматоров возбуждающего излучения и излучения флуоресценции. Задают время усреднения t = 2 с или (для приборов с импульсной спектральной лампой) указывают число n усредняемых импульсов, последовательность которых укладывается во временной интервал, равный 2 с.
7.6.5 Проводят 10 параллельных измерений излучения эмиссии
Fэм.i в максимуме спектральной полосы КР и 10 параллельных измерений излучения эмиссии
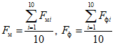
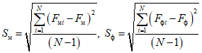
Fфi на длине волны 450 нм. По полученным данным вычисляют для этих длин волн средние значения
Fэм и
Fф по формулам (6) и средние квадратичные отклонения
Sм и
Sф по
формулам (7):

; (6)

, (7)
где N - число измерений (N = 10).
7.6.6 Отношения (С/Ш)м для максимума спектральной полосы КР и (С/Ш)ф для шумов фоновой эмиссии находятся по формулам:

. (8)
7.6.7 В паспорте (формуляре) спектрофлуориметра могут быть указаны, как оба значения отношения сигнал/шум, так и одно из них - (С/Ш)м или (С/Ш)фон. Спектрофлуориметр признают прошедшим поверку, если полученные значения отношения сигнал/шум не превышают значений, указанных в паспорте (формуляре) на спектрофлуориметр.
7.7 Определение диапазона линейности фотометрической шкалы спектрофлуориметра
7.7.1 Диапазон линейности фотометрической шкалы определяют как верхнюю и нижнюю границы концентраций серии растворов сульфата хинина, для которых значения скорректированной на фон флуоресценции пропорциональны заданным значениям концентрации, в соответствии с рекомендациями
[3].
7.7.2 Измерения проводят при следующих значениях рабочих параметров спектрофлуориметра:
- длина волны возбуждающего излучения - 350 нм, спектральная ширина щели - 5 нм;
- длина волны излучения флуоресценции - 450 нм, спектральная ширина щели - 5 нм;
- время усреднения сигнала флуоресценции - 2 с.
Допускается проводить измерения на других значениях спектральной ширины щели и времени усреднения, если они указаны в методике поверки конкретного спектрофлуориметра.
7.7.3 Аттестованные смеси (растворы) с концентрациями сульфата хинина 100, 10, 1 мг/дм
3, 100, 10 и 1 мкг/дм
3, а также фоновый раствор готовят по
методике, приведенной в приложении Б, и используют в течение суток.
7.7.4 Измеряют флуоресценцию растворов сульфата хинина в порядке возрастания концентрации, начиная с фонового раствора, получают для каждого из растворов пять параллельных результатов измерений. При проведении измерений используют одну и ту же кювету, которую перед каждым заполнением дважды споласкивают испытуемым раствором.
По данным, полученным для всех растворов, строят в логарифмических координатах график зависимости интенсивности скорректированной на фон флуоресценции от концентрации.
7.7.4.1 Определяют фоновый уровень флуоресценции F0, как среднее арифметическое по результатам пяти измерений F0k (образца с фоновым раствором по формуле

. (11)
7.7.4.2 По результатам измерений флуоресценции образцов с заданной концентрацией сульфата хинина определяют значения скорректированной на фон флуоресценции Фik и их десятичные логарифмы Yik
Фik = Fik - F0; Yik = lg(Фik), (12)
где i - номер образца в порядке возрастания концентрации (i = 1 - 7);
k - номер параллельного определения (k = 1 - 5);
Fik - результат измерения флуоресценции.
Вычисляют средние значения логарифмов скорректированной на фон флуоресценции

.
7.7.4.3 Вычисляют значения логарифмов концентраций Xi = lg(Ci)
7.7.4.4 Наносят на график точки с координатами [
Xi,
Yi] и проводят через них гладкую или кусочно-линейную кривую.
7.7.5 По данным, полученным для трех растворов с концентрациями сульфата хинина 1 мг/дм
3, 100, 10 мкг/дм
3, методом наименьших квадратов строят линейную зависимость
Y от
X, наносят ее на график, построенный по
7.7.4, и экстраполируют прямую в обе стороны вплоть до минимальных и максимальных значений концентрации. Эта прямая отображает в логарифмических координатах линейную зависимость интенсивности флуоресценции от концентрации.
7.7.6 Сопоставляя кривую, построенную по
7.7.4.4 (по данным для всех растворов), и прямую, построенную по
7.7.5 (по данным для трех растворов из области заведомой линейности), определяют следующее:
- концентрацию, выше которой отклонение значений интенсивности флуоресценции от линейной зависимости превышает 5%. Значение этой концентрации принимают за верхнюю границу диапазона линейности фотометрической шкалы спектрофлуориметра (по сульфату хинина);
- концентрацию, ниже которой отклонение значений интенсивности флуоресценции от линейной зависимости превышает 2%. Значение этой концентрации принимают за нижнюю границу диапазона линейности фотометрической шкалы спектрофлуориметра (по сульфату хинина);
Примечание - Построение и сопоставление зависимостей по
7.7.4,
7.7.5 и 7.7.6 рекомендуется проводить с использованием компьютерной программы, поддерживающей работу с графиками (типа Excel, MathCad, Matlab, Origin и т.п.).
7.7.7 Спектрофлуориметр признают прошедшим поверку, если диапазон линейности фотометрической шкалы полностью охватывает интервал концентраций, приведенный в паспорте (формуляре) на спектрофлуориметр, или более широкий интервал концентраций.
8 Оформление результатов поверки
8.1 Результаты поверки спектрофлуориметров оформляют протоколом,
форма которого приведена в приложении В.
8.2 При положительных результатах первичной поверки делают запись в паспорте и наносят оттиск поверительного клейма в соответствии с правилами по метрологии
[4].
8.3 При положительных результатах периодической поверки оформляют свидетельство о поверке в соответствии с правилами по метрологии
[4].
8.4 При отрицательных результатах поверки спектрофлуориметры к дальнейшему применению не допускают, поверительное клеймо гасят, свидетельство о поверке аннулируют и выдают извещение о непригодности с указанием причин по
[4].
(справочное)
ЛАМПА ДУГОВАЯ РТУТНО-ГЕЛИЕВАЯ СПЕКТРАЛЬНАЯ ДРГС-12
А.1 Общие сведения
Лампа ДРГС-12 дуговая ртутно-гелиевая спектральная предназначена для применения в качестве источника излучения линейчатого спектра в диапазоне длин волн от 226,2 до 1083,0 нм.
Вид климатического исполнения - УХЛ 4.2.
Соединение электродов с выводами:
- катод - выводы 2, 3, 4, 5;
- анод - выводы 7, 8.
А.2 Основные технические данные
А.2.1 Электрические параметры и параметры излучения
- напряжение зажигания, В, не менее ...............................350;
- напряжение на лампе, В ......................................30 - 90;
- ширина щели спектрофотометра при измерении спектральных
линий, нм, не менее ....................................................0,2
- быстрые колебания интенсивности излучения, %, не менее ..........0,1;
- медленные колебания интенсивности излучения, %, не менее ........0,3.
А.2.2 Предельно допустимые режимы эксплуатации
- ток накала, А, не более .........................................2,5;
- напряжение на лампе, В, не более .................................90;
- минимальная наработка, ч ........................................200.
А.2.3 Габаритные размеры
- длина, мм, не более .............................................124;
- ширина, мм, не более .............................................43.
А.3 Указания по эксплуатации
А.3.1 Перед установкой лампы увиолевое окно рекомендуется протереть ватой, смоченной спиртом.
А.3.2 После установки лампы включить ток накала, который в момент включения должен быть минимальным, а затем доведен до 3,0 - 3,5 А.
А.3.3 Через 1 мин после включения накала включить анодное напряжение. После возникновения дугового разряда немедленно уменьшить ток накала до 2 А.
А.3.4 После разгорания разряда (не более 1 мин) установить значение анодного тока 0,3 А.
А.3.5 Для выключения лампы необходимо выключить анодное напряжение, после чего, уменьшив до предела ток накала, выключить его.
А.3.6 Не рекомендуется вынимать горячую лампу из осветителя.
А.3.7 При работе с включенной лампой следует надевать стеклянные очки для защиты глаз от ультрафиолетового излучения.
А.3.8 Лампа требует осторожного обращения - рекомендуется брать ее только за цоколь.
(справочное)
ПРИГОТОВЛЕНИЯ АТТЕСТОВАННЫХ СМЕСЕЙ СУЛЬФАТА ХИНИНА
Б.1 Назначение и область применения методики
Методика регламентирует приготовление аттестованных смесей сульфата хинина, представляющих собой набор из семи растворов дигидрата сульфата хинина в 0,05 молярной серной кислоте, аттестованных на массовую концентрацию дигидрата сульфата хинина. Аттестованные смеси предназначены для контроля метрологических характеристик спектрофлуориметров.
Б.2 Метрологические характеристики
Аттестованные значения - массовая концентрация дигидрата сульфата хинина составляет, 1, 10, 100, 1000 мкг/дм3, 10, 100 мг/дм3.
Характеристика погрешности - относительное значение погрешности аттестованного значения с вероятностью P = 0,95 не превышает 2%.
Б.3 Средства измерений, вспомогательные устройства, реактивы и материалы
Б.3.1 Средства измерений
Весы лабораторные, класса точности II по
ГОСТ Р 53228, с верхним пределом взвешивания 200 г.
Колбы мерные наливные 2-100-2, 2-1000-2 по
ГОСТ 1770;
Б.3.2 Реактивы
Вода для лабораторного анализа, двойной перегонки (бидистиллят), степень чистоты 1 по
ГОСТ Р 52501.
Хинина сульфат дигидрат, молекулярная формула
(C20 H24 O2 N2)2·H2SO4·2H2O, относительная молекулярная масса 783,0, содержание основного вещества не менее 99%;
Синтетическое моющее средство для мытья лабораторной посуды (2 г СМС растворяют в 1 дм3 воды).
Допускается применение других аналогичных средств измерения, оборудования и реактивов по метрологическим, техническим характеристикам и качеству не хуже указанных в настоящей методике.
Б.4 Подготовка лабораторной посуды
Лабораторную посуду после мойки в растворе СМС промывают проточной водопроводной водой и три раза ополаскивают дистиллированной водой. Непосредственно перед использованием посуду ополаскивают раствором серной кислоты (1:350) по объему.
Б.5 Процедура приготовления
Б.5.1 Приготовление фонового раствора
В мерную колбу вместимостью 1000 см3, заполненную до половины объема бидистиллятом, вносят 2,8 см3 концентрированной серной кислоты, доводят объем раствора в колбе до метки бидистиллятом и перемешивают.
Б.5.2 Приготовление раствора дигидрата сульфата хинина с массовой концентрацией 1000 мг/дм3
0,1 г сульфата хинина дигидрата, взвешенного с точностью до четвертого знака после запятой, растворяют в 50 см
3 фонового раствора (см.
Б 5.1), переносят полученный раствор в мерную колбу, вместимостью 100 см
3, дважды ополаскивают стакан, в котором были выполнены взвешивание и растворение, 20 см
3 фонового раствора (см.
Б 5.1), перенося содержимое стакана в ту же мерную колбу. Доводят объем колбы до метки фоновым раствором (см.
Б.5.1) и перемешивают.
Б.5.3 Приготовление аттестованных смесей
Б.5.3.1 Приготовление раствора дигидрата сульфата хинина с массовой концентрацией 100 мг/дм3
| | ИС МЕГАНОРМ: примечание. В официальном тексте документа, видимо, допущена опечатка: имеется в виду пункт Б.5.2, а не пункт 5.2. | |
10 см
3 раствора с массовой концентрацией 1000 мг/дм
3, приготовленного по
5.2, помещают в мерную колбу вместимостью 100 см
3, доводят объем колбы до метки фоновым раствором (см.
Б.5.1) и перемешивают.
Б.5.3.2 Приготовление растворов дигидрата сульфата хинина с массовой концентрацией 10 мг/дм3, 1000, 100, 10 и 1 мкг/дм3.
Каждый из растворов готовят из предыдущего разбавлением его аликвоты 10 см
3 фоновым раствором (см.
Б.5.1) в колбе вместимостью 100 см
3.
Б.6. Расчет метрологических характеристик
Б.6.1 Аттестованные значения
Аттестованным смесям N 1 - N 6 приписывают аттестованные значения массовой концентрации дигидрата сульфата хинина 1, 10, 100 мкг/дм3, 1, 10 и 100 мг/дм3.
Б.6.2 Расчет характеристик погрешности
Характеристику погрешности аттестованного значения молярной концентрации сульфата хинина в аттестованной смеси рассчитывают по формуле

, (Б.1)
где

- характеристика погрешности установления массовой доли основного вещества,

;

- характеристика погрешности взвешивания;

;

- характеристика погрешности установления объема
V1 пипетки вместимостью 10 мл,

;

- характеристика погрешности установления объема
V2 колбы вместимостью 100 мл,

;
N - число разбавлений, выполненных при приготовлении аттестованной смеси. Максимальное значение N равно 6 для аттестованной смеси с массовой концентрацией 1 мкг/дм3.
Относительное значение погрешности аттестованного значения массовой концентрации аттестованных смесей не превышает 2%.
(обязательное)
Протокол N ______________ от "__" ____________ 20__ г.
поверки спектрофлуориметра ________________________________________________
наименование предприятия-изготовителя
принадлежащего ____________________________________________________________
1 Тип ________________________ N
2 Условия поверки _____________________________________________________
3 Средства поверки ____________________________________________________
тип и номер набора эталонных средств, погрешность аттестации
4 Внешний осмотр ______________________________________________________
5 Результаты опробования ______________________________________________
6 Значение спектрального разрешения __________________________________.
7 Значения пределов систематической погрешности и пределов
доверительной границы случайной погрешности установки длины волны:
Поверяемый монохроматор | Доверительная граница случайной погрешности, нм | Систематическая погрешность, нм |
Монохроматор возбуждающего излучения | | |
Монохроматор излучения флуоресценции | | |
8 Значения отношения сигнал/шум для спектральной полосы комбинационного
(рамановского) рассеяния дистиллированной воды:
8.1 Значение отношения (С/Ш)м для максимума спектральной полосы КР ____
8.2 Значение отношения (С/Ш)ф для шумов фоновой эмиссии _______________
9 Значения границ диапазона линейности фотометрической шкалы
спектрофлуориметра по сульфату хинина:
9.1 Значения нижней границы диапазона линейности фотометрической шкалы,
мкг/л ____________________________________________________________________.
9.2 Значения верхней границы диапазона линейности фотометрической
шкалы, мг/л ______________________________________________________________.
Заключение по результатам поверки: спектрофотометр признан пригодным
(непригодным) к применению
_______________________________________________________________________
указать причину
Выдано свидетельство N ____________ от "__" ____________ 20__ г.
Поверку провел ________________ _________________________
личная подпись инициалы, фамилия
| Правила по метрологии | Государственная система обеспечения единства измерений. Порядок аттестации поверителей средств измерений |
| РД 153-34.0-03.150-00 | Межотраслевые правила по охране труда (правила безопасности) при эксплуатации электроустановок, утвержденные Министерством энергетики Российской Федерации приказом от 27 декабря 2000 г. N 163 |
| АСТМ 578 Е-07 | Стандартный метод испытания для линейности измерения флуоресценции систем (ASTM E 578-07 Standard Test Method for Linearity of Fluorescence Measuring Systems) |
| Правила по метрологии | Государственная система обеспечения единства измерений. Порядок проведения поверки средств измерений |