Главная // Актуальные документы // ГОСТ Р (Государственный стандарт)СПРАВКА
Источник публикации
М.: Стандартинформ, 2016
Примечание к документу
Документ
введен в действие с 01.01.2017.
Название документа
"ГОСТ Р 56762-2015. Национальный стандарт Российской Федерации. Композиты полимерные. Метод определения влагопоглощения и равновесного состояния"
(утв. и введен в действие Приказом Росстандарта от 24.11.2015 N 1964-ст)
"ГОСТ Р 56762-2015. Национальный стандарт Российской Федерации. Композиты полимерные. Метод определения влагопоглощения и равновесного состояния"
(утв. и введен в действие Приказом Росстандарта от 24.11.2015 N 1964-ст)
Утвержден и введен в действие
Приказом Федерального
агентства по техническому
регулированию и метрологии
от 24 ноября 2015 г. N 1964-ст
НАЦИОНАЛЬНЫЙ СТАНДАРТ РОССИЙСКОЙ ФЕДЕРАЦИИ
КОМПОЗИТЫ ПОЛИМЕРНЫЕ
МЕТОД ОПРЕДЕЛЕНИЯ ВЛАГОПОГЛОЩЕНИЯ И РАВНОВЕСНОГО СОСТОЯНИЯ
Polymer composites. Method for determination of moisture
absorption and equilibrium conditioning
ГОСТ Р 56762-2015
Дата введения
1 января 2017 года
1 ПОДГОТОВЛЕН Федеральным государственным унитарным предприятием "Всероссийский научно-исследовательский институт стандартизации материалов и технологии" (ФГУП "ВНИИ СМТ") совместно с ОАО "НПО "Стеклопластик" при участии Объединения юридических лиц "Союз производителей композитов" на основе аутентичного перевода на русский язык указанного в
пункте 4 стандарта АСТМ, который выполнен ТК 497
2 ВНЕСЕН Техническим комитетом по стандартизации ТК 497 "Композиты, конструкции и изделия из них"
3 УТВЕРЖДЕН И ВВЕДЕН В ДЕЙСТВИЕ Приказом Федерального агентства по техническому регулированию и метрологии от 24 ноября 2015 г. N 1964-ст
4 Настоящий стандарт является модифицированным по отношению к стандарту АСТМ Д5229/Д5229 М-12 "Стандартный метод испытания свойств влагопоглощения и равновесного состояния композитных материалов с полимерной матрицей" (ASTM D5229/D5229 M-12 "Standard test method for moisture absorption properties and equilibrium conditioning of polymer matrix composite materials"). При этом дополнительные слова, фразы, ссылки, включенные в текст настоящего стандарта для учета потребностей национальной экономики Российской Федерации, выделены курсивом.
Наименование настоящего стандарта изменено относительно наименования указанного стандарта АСТМ для приведения в соответствие с ГОСТ Р 1.5-2012
(подраздел 3.5).
Из пункта 5.6 исключена ссылка на стандарт MIL-B-131, устанавливающий требования к водонепроницаемому материалу, в связи с тем, что данные технические условия не находят применения на территории РФ, данная ссылка носит справочный характер
5 ВВЕДЕН ВПЕРВЫЕ
Правила применения настоящего стандарта установлены в ГОСТ Р 1.0-2012 (раздел 8). Информация об изменениях к настоящему стандарту публикуется в ежегодном (по состоянию на 1 января текущего года) информационном указателе "Национальные стандарты", а официальный текст изменений и поправок - в ежемесячном информационном указателе "Национальные стандарты". В случае пересмотра (замены) или отмены настоящего стандарта соответствующее уведомление будет опубликовано в ближайшем выпуске ежемесячного информационного указателя "Национальные стандарты". Соответствующая информация, уведомление и тексты размещаются также в информационной системе общего пользования - на официальном сайте Федерального агентства по техническому регулированию и метрологии (www.gost.ru)
Значимая оценка и сопоставление данных о реакции полимерной матрицы композита на влагопоглощение может производиться только тогда, когда профиль влажности материала приводится к равномерному значению по толщине. В настоящем стандарте приведен метод, применяемый для кондиционирования с целью достижения равновесного состояния, который, в отличие от других методов, может быть применен в случае наличия влаги, которая формируется жидкостью, отличной от воды, и который, помимо того, может предусматривать свойства влагопоглощения, которые необходимы для анализа однофазной диффузии влаги по закону Фика в отношении таких материалов.
1.1 Настоящий стандарт устанавливает метод определения влагопоглощения или свойств десорбции в направлении "сквозь толщину" полимерных композитов с учетом однофазной диффузии по закону Фика для твердых материалов в виде образцов плоской и искривленной формы. Также настоящий стандарт устанавливает метод проведения кондиционирования образцов для испытаний другими методами, заключающийся в доведении до состояния, преимущественно свободного от влаги, или до равновесного состояния влажности в стандартной атмосфере, или в условиях, отличных от лабораторных. Также настоящий стандарт устанавливает методы определения потерь влаги при испытании в условиях повышенных температур и потерь влаги при тепловом воздействии после удаления из условий, в которых поддерживается температурно-влажностный режим, например в ходе операций присоединения тензометрических датчиков.
Настоящие методы применимы для слоистых материалов с полимерной матрицей и других материалов, которые соответствуют положениям
1.2.
1.2 Вычисление константы диффузионной способности влаги по толщине материала в
методе A (7.4) основано на модели однофазной диффузии по закону Фика применительно к материалу с характеристикой влагопоглощения постоянного по толщине образца. Состоятельность уравнений, которые используют в
методе A для оценки константы диффузионной способности влаги для материала, для которого динамика влагопоглощения не известна до начала испытаний, не важна, так как результаты испытаний сами показывают соответствие материала модели диффузии однофазного типа по закону Фика. Требованиям модели однофазного закона Фика соответствует армированный полимерный композит при температуре ниже температуры стеклования. В то время как двухфазные матрицы, к примеру, ударопрочные эпоксипласты, могут соответствовать модели влагопоглощения на основе нескольких фаз. Таким образом, методы испытаний могут быть использованы для многофазных материалов, но расчеты, проводимые с целью определения константы диффузионной способности влаги для
метода A, применимы только к однофазным материалам.
Далее, в
разделе 6, представлено описание иных примеров материалов и условий для испытаний, которые могут не соответствовать данным требованиям.
1.3 Оценка равновесного состояния в материале по
методу A не подразумевает соответствия модели однофазной диффузии и может быть применена для других материалов.
1.4 Методы, установленные в настоящем стандарте, и итоговая обработка данных могут быть выполнены с помощью автоматизированной аппаратуры.
1.5 В настоящем стандарте не предусмотрено рассмотрение в полном объеме всех вопросов обеспечения техники безопасности, связанных с его применением. Пользователь данного стандарта несет ответственность за обеспечение соответствующих мер техники безопасности и охраны труда, а также определяет целесообразность применения законодательных ограничений перед его применением.
В настоящем стандарте использованы нормативные ссылки на следующие стандарты:
ГОСТ 15139-69 Пластмассы. Методы определения плотности (объемной массы)
ГОСТ 24888-81 Пластмассы, полимеры и синтетические смолы. Химические наименования, термины и определения
ГОСТ 29127-91 (ИСО 7111-87) Пластмассы. Термогравиметрический анализ полимеров. Метод сканирования по температуре
ГОСТ Р 56679-2015 Композиты полимерные. Метод определения пустот
ГОСТ Р 56682-2015 Композиты полимерные. Методы определения объема матрицы, армирующего наполнителя и пустот
Примечание - При пользовании настоящим стандартом целесообразно проверить действие ссылочных стандартов в информационной системе общего пользования - на официальном сайте Федерального агентства по техническому регулированию и метрологии в сети Интернет или по ежегодному информационному указателю "Национальные стандарты", который опубликован по состоянию на 1 января текущего года, и по выпускам ежемесячного информационного указателя "Национальные стандарты" за текущий год. Если ссылочный стандарт заменен (изменен), то при пользовании настоящим стандартом следует руководствоваться заменяющим (измененным) стандартом. Если ссылочный стандарт отменен без замены, то положение, в котором дана ссылка на него, применяется в части, не затрагивающей эту ссылку.
В настоящем стандарте применены термины по ГОСТ 24888, ГОСТ 32794 и следующие термины с соответствующими определениями:
Примечание - В случае расхождения в терминах,
ГОСТ 32794 имеет приоритет перед другими документами.
3.1 критерий точности n: Наибольшее изменение среднего влагосодержания в образце за определенный промежуток контрольного периода, который является допустимым для установления действующего равновесного состояния влажности (также см. среднее влагосодержание, равновесное состояние влажности и контрольный период).
3.2 среднее влагосодержание M, %: Средний объем поглощенной материалом влаги принимают как соотношение массы влаги имеющейся в материале, к массе материала после сушки в печи, выраженное в процентах

(1)
где Wi - текущее значение массы образца, г;
W0 - масса образца после сушки в печи, г.
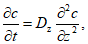
3.3 диффузия по закону Фика: Модель влагопоглощения материала и его десорбция, которая соответствует второму закону Фика, выраженному в формуле

(2)
где c - концентрация влаги;
Dz - константа диффузионной способности влагопоглощения;
t - время, ч или день;
z - глубина диффузии влаги, мм.
3.4 температура стеклования, Tg
: Приблизительное значение в диапазоне температур, при котором происходит обратимое изменение из высокоэластичного или вязкотекучего состояния на состояние относительно хрупкого твердого тела, в аморфном полимере или на аморфных участках частично кристаллического полимера.
Примечание - Температура стеклования многих композитов с полимерной матрицей снижается в присутствии абсорбированной влаги.
3.5 влага: Жидкая среда (вода, авиационный керосин, морская вода или любая другая жидкость), которая или в относительно малом количестве диффундирует и рассеивается в виде газовой или паровой фазы, конденсируется на поверхности в виде заметной невооруженным взглядом росы, или же которая присутствует в достаточном количестве для погружения.
Примечание - Словарное определение влаги в отношении данного метода испытаний более широко и охватывает не только пары жидкости и конденсат, но и саму жидкость в больших объемах, например, при погружении.
3.6 концентрация влаги, c: Абсолютное значение поглощенной материалом влаги, которое определяется в виде отношения массы влаги к удельному объему.
3.7 коэффициент диффузии влаги, Dz: Свойство материала, которое характеризует темп, при котором в материале происходит поглощение или десорбция влаги.
Примечание - В материалах, подчиняющихся закону Фика, данное свойство имеет относительную независимость от степени воздействия влаги. Коэффициент диффузии влаги в значительной степени зависит от температуры.
Диффузия влаги может быть анизотропного типа; символом z в подстрочном регистре указывается значение направления "сквозь толщину" для динамики анизотропной диффузии.
3.8 равновесное состояние влажности: Условие, которое достигается материалом при отсутствии в дальнейшем какого бы то ни было значительного изменения содержания влаги при изменении условий окружающей среды.
Равновесное состояние влажности разделяют на абсолютное и действующее.
Абсолютное равновесное состояние влажности подразумевает отсутствие измеряемых изменений влагосодержания, при этом действующее равновесное состояние влажности подразумевает возможность незначительного изменения в среднем влагосодержании материала (критерий точности) за указанный временной промежуток (контрольный период) (также см. критерий точности, среднее влагосодержание и контрольный период).
Примечание - Значения действующего равновесного состояния влажности достаточно для большинства случаев конструирования. Если не указано иное, то при наличии ссылок на равновесное состояние влажности в настоящем стандарте имеется в виду действующее равновесное состояние влажности, количественное определение которого приведено в
7.2. Кроме того, равновесное состояние влажности может также подразделяться на статичное, когда полностью отсутствует влагоперенос по поверхностям, или на динамичное, когда имеется влагоперенос, но итоговая сумма для конкретного материала является нулевой. В настоящем стандарте не предусматривается возможность проведения различия между указанными двумя типами равновесного состояния влажности.
3.9 равновесное содержание влаги (равновесное влагосодержание) Mm, %: Максимальное содержание поглощенной влаги, которое может содержать материал при условии равновесного состояния влажности в отношении конкретного уровня воздействия влажности, выражаемое в виде процентного соотношения к массе сухого материала (также см. насыщенность влагой).
Примечание - В полимерных композитах данное свойство имеет относительную независимость от температуры (и следовательно от коэффициента диффузии влаги), но зависит от уровня воздействия влажности. В целях настоящего стандарта равновесное содержание влаги Mm принимают равным среднему влагосодержанию при действующем равновесном состоянии влажности Mf.
3.10 уровень воздействия влажности: Мера или характеристика степени для условий кондиционирования относительно объема имеющейся жидкости или пара (также см.
влага и
относительный уровень пара).
3.11 насыщенность влагой: Равновесное содержание влаги при максимально возможном уровне воздействия влажности, при котором в материале содержится наибольшее возможное количество поглощенной влаги (также см.
3.9).
3.12 просушенность в печи: Состояние материала, который был подвергнут сушке в соответствии с
методом D настоящего стандарта, пока не было получено равновесное состояние влажности.
3.13 контрольный период: Промежуток времени для измерения массы, который применяется для того, чтобы установить действующее равновесное состояние влажности в материале (также см.
3.1,
3.2 и
3.9).
Примечание - Незначительное изменение среднего влагосодержания (критерий точности) материала в течение контрольного периода демонстрирует наличие действующего равновесного состояния влажности.
3.14 относительный уровень пара (паров), %: Соотношение имеющегося давления пара к давлению насыщенного пара в условиях одинаковых температур. Применяют только для газовой фазы текучей среды. Если идет речь о парах воды, данный термин эквивалентен термину относительная влажность (также см.
3.10).
3.15 стандартная атмосфера: Условия окружающей среды с температурой (23 +/- 2) °C и относительной влажностью (50 +/- 10)%.
3.16 стандартно кондиционированный образец: Состояние образца, при котором достигнуто действующее равновесное состояние влажности при номинальной относительной влажности 50% (относительная влажность стандартной атмосферы) в соответствии с
методом C настоящего стандарта.
3.17 температура испытаний: Температура окружающей среды, используемая в
методах A -
E,
Y,
Z.
Примечание - В целях настоящего стандарта данное положение отличается от температуры окружающей среды, которую используют в ходе дальнейших испытаний материалов для оценки их свойств.
3.18 дублер образца (технологический образец): Образец, аналогичный образцу, который требуется испытать, имеющий одинаковый материал и толщину, а также - соответствующий размер (но без креплений), который используют при кондиционировании для расчета содержания влаги для конфигурации образца (например, уже закрепленная деталь механизма, или же образец, который не соответствует требованиям по массе), который не может быть корректно измерен иным образом в соответствии с настоящим стандартом.
4.1 Настоящий метод испытаний предполагает гравиметрический способ анализа, при котором при помощи измерения общего изменения массы контролируют с течением времени изменение среднего влагосодержания образца, подвергаемого с обеих сторон установленным условиям среды. Настоящий стандарт содержит описание ряда методов для испытаний.
4.1.1
Метод A устанавливает определение двух свойств материала по отношению к диффузии влаги по закону Фика - коэффициент диффузии влаги и равновесное содержание влаги. Остальные методы описывают кондиционирование материала до приведения его к конкретным условиям среды.
4.1.2
Метод B устанавливает кондиционирование образцов в условиях влажности, отличных от условий окружающей среды, при заранее указанном постоянстве условий кондиционирования до начала других типов испытаний. Для указания условий кондиционирования, продолжительности кондиционирования, а также методов контроля изменения массы используют деление на методы и применение для них шифров-обозначений.
4.1.3
Метод C устанавливает кондиционирование образцов в условиях окружающей среды до достижения уровня номинальной относительной влажности 50%, до начала других типов испытаний.
4.1.4
Метод D устанавливает кондиционирование (сушку) образцов материалов с доведением до состояния, преимущественно свободного от влаги.
4.1.5
Метод E устанавливает кондиционирование в два и более последовательных этапа при помощи
метода B.
4.1.6
Метод Y устанавливает определение количества потерь влаги в образцах, которые после кондиционирования были подвергнуты другим условиям (например нагреванию для крепления тензодатчиков).
4.1.7
Метод Z устанавливает определение количества потерь влаги в образцах, которые прошли кондиционирование, при нагреве до температуры проведения механического испытания и поддержания на уровне температуры испытания на период механического испытания.
4.2 В
методе A контролируют повышение влажности в массовых процентах образца(ов) с небольшой толщиной в зависимости от времени, образцы поддерживают в стабильной атмосфере при известных значениях температуры и уровня воздействия влаги, до того момента, пока тонкие образцы не достигнут действующего равновесного состояния влажности, а толстые образцы не пройдут интервал линейного увеличения влажности. На основании данных, полученных на основе двух образцов различной толщины, определяют равновесное содержание влаги
Mm, а также устанавливают скорость абсорбции влаги (в одном направлении) и рассчитывают коэффициент диффузии влаги по толщине материала
Dz.
4.3 В
методе B образец (необязательно образец, испытанный по
методу A) кондиционируют аналогично
методу A в стабильной атмосфере при заданной температуре и уровне воздействия влаги до достижения действующего равновесного состояния влажности.
4.4 В
методе C образец выдерживают в стабильной атмосфере при заданной температуре и относительной влажности 50% до достижения действующего равновесного состояния влажности.
4.5 В
методе D образец выдерживают в печи с циркуляцией воздуха на уровне заданной повышенной температуры до достижения действующего равновесного состояния влажности.
4.6 В
методе E образец кондиционируют в два или несколько последовательных этапа в стабильной атмосфере, с условиями, отличными от окружающих.
4.7 В
методе Y образец кондиционируют сначала до равновесного состояния влажности при помощи
метода B, а затем подвергают воздействию температуры окружающей среды, после чего происходит ее повышение на заданное время, затем образец вновь кондиционируют до равновесного состояния влажности.
4.8 В
методе Z образец сначала кондиционируют до равновесного состояния влажности при помощи
метода B, а затем подвергают воздействию условиями, аналогичными условиям, которым подвергают образцы, предназначенные для испытаний (номинальное линейное увеличение и время выдержки, а также дополнительное время удержания для имитации длительности испытания).
4.9 Влияющие факторы
4.9.1 Расчет коэффициента диффузии влаги по толщине материала по
методу A предполагает соответствие диффузии влаги в материале образца модели однофазной диффузии по закону Фика. Состоятельность уравнений, которые используют в
методе A для оценки коэффициента диффузии влаги, для материала, для которого динамика влагопоглощения не известна до начала испытаний, не важна, так как результаты испытаний сами показывают соответствие материала модели диффузии однофазного типа по закону Фика. Как указывается в исследованиях, диффузия, которую можно четко классифицировать как диффузию по закону Фика, должна удовлетворять трем нижеследующим условиям:
4.9.2 Кривые поглощения и десорбции должны быть преимущественно линейны до 60% равновесного содержания влаги.
4.9.3 За пределами изначального линейного участка кривые поглощения и десорбции должны быть вогнуты по отношению к оси абсцисс до достижения равновесного состояния влажности.
4.9.4 Для одинаковых типов и уровней воздействия условий окружающей среды кривые поглощения образцов различной толщины, изготовленных из одного материала, должны преимущественно совпадать при наложении, если каждая кривая будет нанесена на график в форме нормализованной кривой поглощения, при которой ось абсцисс имеет размерность

, а не

.
4.9.5 Данные условия должны выполняться неукоснительно, и существует вероятность того, что многие конструкционные материалы могут не удовлетворять им в полной мере. Может быть затруднительно подтвердить экспериментальным путем выполнение данных условий в отношении конкретных материалов, и решение относительно того, насколько строго рассматривать данные условия в отношении конкретного материала испытаний, должен принимать сам пользователь. К примеру, в сложных условиях цикла полной сорбции/десорбции может происходить повреждение материала, при этом имеет место растрескивание и появление диффузии, не соответствующей закону Фика, тем самым оценка таких условий становится невозможной.
4.9.6 Тем не менее, существует ряд материалов или условий испытаний, которые, как известно, имеют возможность нарушения одного или нескольких предположений, которые использованы в настоящем методе испытаний, или которые потенциально вызывают поведение материала, отличное от закона Фика. В их число входят:
- материалы с волокнами, распределенными в трех измерениях и влияющие на механизм диффузии влаги посредством, например, капиллярного затекания вдоль линии сопряжения волокна с матрицей, как-то: материалы со швом, проходящим по их толщине, или некоторые материалы, изготовленные литьем под давлением;
- материалы, имеющие значительный объем образования поверхностных трещин;
- системы материалов, которые продемонстрировали динамику, отличную от модели по закону Фика, или системы, которые имеют механизмы многофазной диффузии влаги;
- системы материалов, которые продемонстрировали наличие коэффициента диффузии влаги, который в значительной степени зависит от концентрации влаги;
- системы материалов, которые продемонстрировали наличие коэффициента диффузии влаги, который в значительной степени зависит от времени;
- системы материалов, которые продемонстрировали наличие коэффициента диффузии влаги, который в значительной степени зависит от величины напряжения, а также системы, которые используют материалы, имеющие слои, и характеризующиеся большими значениями остаточного напряжения;
- системы материалов, которые содержат большое количество пустот (пористость) или имеющие неравномерное распределение пустот; влага (в жидкой или газообразной форме) может заполнить пустоты, приводя при этом к некорректным измерениям объема влаги, который поглотил материал, и тем самым - к изъятию образцов из кондиционируемой среды раньше намеченного срока;
- применение испытательного оборудования, из-за которого существует значительный градиент температуры в образце либо по толщине, либо по поверхности образца, поскольку коэффициент диффузии влаги, как правило, зависит от температуры;
- проведение испытаний с температурой, выше температуры стеклования любого компонента материала или фазового компонента в композитном материале, приведет к получению динамики диффузии влаги по модели многофазного типа или по типу, отличному от закона Фика, или же все вместе;
- материалы, испытывающие потерю влаги при кондиционировании (например, материалы, в состав которых входят водо- или жидкорастворимые компоненты);
- материалы, отверждение которых усиливается в течение времени воздействия воды или водяного пара (например, некоторые фенопласты).
4.9.7 Для материалов, которые имеют значительную скорость диффузии влаги или малое значение равновесного содержания влаги (или оба фактора), временные интервалы для периодических взвешиваний могут быть очень короткими (порядка минуты или часа), по этой причине уделяют чрезвычайно пристальное внимание при взвешивании калибровке и регулировке климатических камер во избежание получения измерений с большой погрешностью. Наиболее удобным способом снижения чувствительности метода испытаний по отношению к данному фактору является увеличение толщины образца.
4.9.8 Определение действующего равновесного содержания влаги предусматривает небольшой прирост во влагопоглощении по окончании испытаний.
Вследствие этого содержание влаги в образцах, прошедших кондиционирование, не может являться исключительно репрезентативным фактором для оценки воздействия в течение длительного периода. Среди тех материалов, которые могут показать значительный повторяющийся прирост во влаге после достижения действующего равновесия, материалы, которые имеют излишнюю пористость, концентрированные смолистые включения, а также складчатые волокна. Если в конкретном случае важно рассмотреть достаточно длительный период воздействия, рекомендуется выполнять кондиционирование в течение времени, сопоставимого с временем воздействия при эксплуатации изделия, или же по меньше мере - учитывать исследования влагопоглощения материала образца на длительный срок после достижения действующего равновесия, как указано в настоящем стандарте.
Весы аналитические, обеспечивающие точность измерений, указанную в
таблице 1.
Примечание - Требования к точности взяты из определения о действующем равновесном содержании влаги
[уравнение (7)] и массы образца, согласно
А.2.10 приложения А.
Таблица 1
Масса образца, г | Требования к точности весов, мг |
Более или равно 5, но менее 50 | 0,1 |
Более или равно 50 | 1,0 |
5.2 Печь или камера вакуумной сушки
Для печи с циркуляцией воздуха необходимо наличие возможности поддержания требуемых температур в пределах +/- 3 °C. Также разрешается использование камеры вакуумной сушки или вакуумной печи.
5.3 Камера кондиционирования
5.3.1 Используют камеры кондиционирования, поддерживающие требуемые температуры в пределах +/- 3 °C. Камеры контролируют либо постоянно с использованием автоматики, вручную с периодическими интервалами.
5.3.2 Для поглощения путем воздействия паров требуется наличие паровой камеры, которая обеспечивает возможность регулировки температуры и уровня пара и поддержания требуемого относительного уровня пара до +/- 3%.
5.3.3 Для поглощения путем погружения в жидкость требуется жидкая ванна с возможностью регулировки температуры.
Примечания
1 Несмотря на то, что во многих новых моделях предусмотрены блоки управления на основе полупроводников, подавляющее большинство камер кондиционирования регулируют влажность внутри камеры при помощи "сухого термометра" (фактическая температура) и "смоченного термометра" (температура с пониженной влажностью), показания которых пересчитывают в эквивалентную относительную влажность с помощью таблицы или алгоритма, который предоставляет предприятие-изготовитель. Способность данных камер кондиционирования регулировать относительную влажность зависит от точности показаний термометра. В особенности важно в таких камерах кондиционирования проводить регулярную чистку водного бака, заменять смазочный фитиль, а также сохранять надлежащий контакт между фитилем и термометром со смоченным шариком. Камеры кондиционирования, которые регулируют влажность внутри камеры при помощи температуры "сухого термометра", а также "дифференциальное значение" разницы между значением температуры "сухого термометра" и температуры "смоченного термометра", как правило, имеют усовершенствованное управление относительной влажностью в камере кондиционирования по сравнению с теми, которые регулируют влажность внутри камеры при помощи "сухого термометра" и "смоченного термометра".
2 В результате перебоя в водоснабжении происходит смена условий кондиционирования в сторону уменьшения уровня воздействия влажности, и зачастую это приводит к значительной задержке достижения требуемых условий кондиционирования, поэтому рекомендуется использовать систему мониторинга энерго- и водоснабжения в режиме реального времени, а также систему сигнализации. Система сигнализации должна предусматривать возможность связи с персоналом лаборатории, который находится вне площадки, на случай нарушения нормального функционирования. Еще одна рекомендация включает в себя использование системы прекращения нагрева в камере, если обнаруживается сбой в водоснабжении или нарушение режима влажности.
5.4 Микрометры
Для измерения толщины образца используют двухшариковые микрометры с номинальным диаметром шарика 5 мм и погрешностью измерений не более 0,1% толщины образца. Для типовых размеров образцов требуется погрешность измерений не более 2,5 мкм. Для измерения длины и ширины образца используют микрометры с плоскими измерительными поверхностями или калибр с погрешностью измерений до 25 мкм.
5.5 Десикатор
Используют чистый сухой десикатор для доведения образцов после сушки в печи до температуры в лаборатории.
5.6 Пакет для образцов
Герметично закрываемый гибкий влагонепроницаемый пакет (или другая подходящая герметично закрываемая упаковка), изготовленная из материала, подходящего для хранения образцов, которые были извлечены из камеры кондиционирования для охлаждения перед началом взвешивания.
5.7 Гигроскопическая ткань
Чистая немочалящаяся гигроскопическая ткань для протирки выделившейся на поверхности или сконденсированной из образцов влаги.
5.8 Перчатки чистые немочалящиеся для использования во время работы с образцами.
5.9 Все применяемые средства измерений должны быть поверены.
6 Подготовка к проведению испытаний
6.1.1 По
методу A проводят испытания не менее одного образца с "малой" и одного образца с "большой" толщиной. Для получения достаточного количества информации рекомендуется по возможности проводить три параллельных испытания.
6.1.2
Методы B -
E используют при одновременном кондиционировании группы образцов, изготовленных из одного материала и имеющих одинаковую толщину, в целях последующей оценки образцов и при периодическом взвешивании образцов. При этом требуются оба условия, взвешивают не менее трех образцов или дублеров образцов из группы. Если группа образцов для испытаний не проходила "сушку" до их кондиционирования, то изначальное содержание влаги до кондиционирования можно установить:
а) при сушке дублеров образцов после кондиционирования в соответствии с
методом D;
б) при сушке в соответствии с
методом D дополнительных трех образцов;
в) если установлено значение коэффициента диффузии влаги и действующего равновесного содержания влаги, используют методы, приведенные в
приложении А.3.
Примечание - В некоторых случаях "сухая" масса до кондиционирования до равновесного состояния влажности может не быть равной "сухой" массе после кондиционирования и сушки (см.
раздел 6), в этом случае
перечисления а) и
б) могут быть неэквивалентны. Если ожидают такую ситуацию, то необходимо установить точное изначальное содержание влаги, в таком случае рекомендуется проводить испытания с использованием обоих методов.
6.1.3
Метод Y применяют в тех случаях, когда требуется вынуть образцы из камеры кондиционирования до начала испытаний [к примеру, тогда, когда испытание в условиях повышенных температур требует применения горячего отверждения (при температуре 190 °C) для того, чтобы приклеить тензометр, или во время фиксации датчиков деформаций после кондиционирования до равновесного состояния влажности]. Потерю влаги в течение периода нахождения образца вне камеры кондиционирования оценивают количественно на основании результатов, полученных на не менее чем трех образцах, которые представляют каждую конкретную толщину слоя и материала. Образцы, используемые для механических испытаний, подлежат повторному кондиционированию на срок, который устанавливают исходя из оценки потери влаги.
6.1.4
Метод Z используют при количественной оценке потери влаги в ходе испытаний в условиях повышенных температур на основании результатов, полученных на не менее чем трех образцах. Каждый образец по отдельности представляет один из факторов: материал, толщину слоя материала, геометрические параметры горячего/влажного образца (ширину и длину), а также температуру испытаний. Требуются отдельные образцы для оценки потерь влаги закрепленных и незакрепленных образцов, имеющих одинаковые размеры. Для испытания образцов на потерю влаги не требуется наличие креплений или отверстий для креплений, даже если они представляют закрепленные образцы. При моделировании закрепленных образцов допускается использовать имитацию креплений в целях предотвращения повреждения образцов и имитации теплообмена с креплениями.
6.2 Геометрические параметры образца
6.2.1 Общие сведения
Таблица 2
Сводная информация о требованиях к геометрическим
параметрам образца
Метод A - образец с "большой" толщиной | |
Известен контрольный период t | Известна толщина образца h |
1) Максимальную толщину h вычисляют по формуле Если требуется большая толщина образца, то изменяют контрольный период, t. Данное уравнение действует для критериев изменения влаги на уровне 0,02%, указанных в подразделе 7.2; при условии использования другого значения для изменения действующего равновесного состояния влажности см. пп. 7.1.8 и приложение А.2 | 1) Определяют контрольный период. Если данное положение недопустимо, то изменяют толщину образца |
2) Устанавливают размер пластины (листа) при помощи уравнения 3 (негерметизированные края) | 2) Рассчитывают массу образца из плотности материала известной толщины и его формы. Масса образца должна быть больше или равна 5 г. Если расчетная масса слишком мала или образец имеет зафиксированные крепления или иные детали, которые нарушают положения данной методики испытаний, используют дублер образца |
3) Массу образца m, г, вычисляют по формуле где  - плотность материала. Масса образца должна быть больше или равна 5 г. Если расчетная масса слишком мала, то увеличивают размер пластины (листа) (или наращивают толщину образца и увеличивают контрольный период, соответственно) |
Известна толщина образца h |
1) Определяют контрольный период. При условии недопустимости значения, которое найдено данным способом, изменяют толщину образца |
2) Устанавливают размер пластины (листа) при помощи уравнения 2 (негерметизированные края) |
3) Массу образца, m, г, вычисляют по формуле Масса образца должна быть больше или равна 5 г. Если расчетная масса слишком мала, то увеличивают размер пластины (листа) (или наращивают толщину образца и увеличивают контрольный период, соответственно) |
6.2.2 Требование к массе образца
Образцы (в том числе дублеры образцов) должны иметь массу не менее 5,0 г (см.
А.2.10 приложения А).
Масса образца влияет на требования к точности весов в соответствии с
5.1.
6.2.3 Толщина образца
Толщина образца вдоль его поверхности не должна изменяться более чем на 5% и должна удовлетворять
уравнению (3).
Примечание - Требований по минимальной толщине образца нет. Тем не менее, толщина образца имеет огромное влияние на общее время, требуемое для достижения равновесия, и на контрольный период. Кроме того при разработке образца уделяют внимание макроструктуре композита по направлению его толщины. Если образец имеет толщину гораздо больше, чем материал в конечной форме применения, предусматривают достаточное количество волокон по толщине так, чтобы абсорбционные свойства образца материала могли расцениваться равными абсорбционным свойствам образца, используемого для испытаний. Слоистый материал с небольшой толщиной (даже однослойный) при условии армирования большим количеством волокон, которые имеют малый диаметр по отношению к толщине, может считаться допустимым, если он удовлетворяет другим требованиям к геометрическим параметрам образца. Тем не менее не допускается использовать слоистый материал, армированный волокнами с диаметром, сопоставимым с толщиной слоев. Минимальная рекомендуемая толщина слоистого материала должна быть в 10 раз больше номинального диаметра волокна.
6.2.4 Размер и форма образца для метода A
6.2.4.1 Образец с "малой" толщиной. Так как назначение "тонкого" образца для испытаний заключается только в определении равновесного содержания влаги, не предъявляют никаких требований к размеру образца, кроме требований к массе, установленных в
6.2.2.
6.2.4.2 Образец с "большой" толщиной. Ввиду того, что в материалах, которые имеют неизотропные коэффициенты диффузии влаги, для точного определения коэффициента диффузии влаги по толщине требуется свести к минимуму краевые эффекты. "Толстый" образец для испытаний должен состоять из элементов, указанных далее в
перечислениях а) и
б). "Большая" толщина образца для определения коэффициента диффузии влаги должна быть достаточной для того, чтобы достичь влагосодержания на уровне приблизительно 70% равновесного содержания влаги. Одинаковые условия воздействия требуют, как минимум, 35 сут выдержки (если требуется меньшее время, рекомендуется повторить испытания с использованием образца, имеющего большую толщину).
Элементы образца с "большой" толщиной:
а) квадратная пластина или криволинейная панель, которые имеют размеры, удовлетворяющие соотношению:

(3)
где w - номинальная длина одной стороны, мм;
h - номинальная толщина, мм;
б) квадратная пластина со стороной (100 +/- 10) мм с фольгой из нержавеющей стали, которую приклеивают к краям таким образом, чтобы можно было в значительной мере избежать влагопоглощения по краям. При приготовлении образца уделяют внимание взвешиванию образца как до, так и после приклеивания фольги для того, чтобы получить разницу массы, показывающую массу фольги и клеящего материала. Применяемый клеящий материал не должен иметь значительное влагопоглощение, которое повлияло бы на результаты испытаний.
Примечание - Типовой образец с "малой" толщиной для углерод/эпоксидного материала, описание которого приведено в
А.2.2, с толщиной 1 мм и стороной квадрата 100 мм, будет иметь массу, приблизительно равную 18 г. В условиях кондиционирования при температуре 74 °C и относительной влажности 90% применение
уравнения (А.1.7) (с использованием критериев точности 0,02% и максимальной разности между равновесным содержанием влаги
Mm и содержанием влаги после кондиционирования
Mf равной 0,02%) прогнозирует тот факт, что образец может достичь равновесия примерно через 57 сут. Минимальный контрольный период, используемый для испытания равновесия, устанавливается по большему значению из 0,04
h2/
Dz (что равно 44 ч) или 1 сут; при округлении до целесообразной четной цифры получаем контрольный период, равный двум суткам. Типовой образец с "большой" толщиной для углерод/эпоксидного материала, описание которого приведено в
А.2.2, имеет толщину 3,0 мм и сторону квадрата 100 мм с герметизированными краями. В условиях кондиционирования при температуре 74 °C и относительной влажности 90% применение
уравнения (А.1.7) (с использованием тех же критериев) прогнозирует тот факт, что образец может достичь влажности 70% действующего равновесия по влаге приблизительно через 38 сут.
Требования к размеру и форме образца для
метода A (6.2.4) отличаются от требований методов кондиционирования (
B -
Z). Размер и форма образцов для
методов B -
Z и последующей оценки материала после кондиционирования должны соответствовать требованиям к массе и толщине, указанным в
6.2.2.
Если образец имеет геометрические размеры, при которых изменение влагосодержания в материале нельзя корректно определить взвешиванием самого образца, для определения равновесного содержания влаги используют дублер образца, изготовленный из того же материала, той же толщины и размера (но не имеющие креплений, при необходимости). Испытания, проводимые для оценки материала, в которых требуется использование дублеров образцов, включают механические испытания закрепленных образцов, образцов с установленными датчиками деформаций, а также испытания образцов, которые не соответствуют минимальным требованиям к массе для данного метода испытаний (например, методу термомеханического анализа).
6.2.6 Подготовка
При вырезании образцов из пластин (листов) принимают меры для недопущения надрезов, шероховатых или неровных поверхностей или расслоения из-за использования несоответствующих методов механической обработки. Окончательные размеры получают путем точной фрезеровки с водяной смазкой или зашлифовки, или используя оба метода, или с помощью циркулярной пилы с алмазным напылением.
6.2.7 Маркировка
Образцы маркируют таким образом, чтобы их можно было отличать друг от друга и прослеживать их происхождение от оригинального листа, и так, чтобы маркировка не повреждалась и не изменялась в ходе испытаний. Взвешивают образец до прикрепления маркировки (см.
7.3.5) при использовании способа маркировки, которая прибавляет массу образца.
Среди разных методов маркировки: шифры на проволочной обмотке, а также маркировка по краям.
Примечание - Шифры на проволочной обмотке - это шифры, прикрепленные к образцу при помощи проволоки, которая обматывает образец. Вокруг образца обматывается достаточное количество проволоки, чтобы избежать ее открепления, но не так много, чтобы не оказывать негативное воздействие на процесс влагопоглощения. Шифры прикрепляют различными способами: ярлычками, узлами или цветной маркировкой.
7.1 Параметры, которые необходимо указывать до проведения испытаний, приведены в
7.1.1 -
7.1.10.
7.1.1 Метод, который планируется к использованию (
A -
Z); коды метода Bxxx, если используют
метод B (приведены в
таблице 4); последующие коды метода
метода B, если используют
метод E; требуется ли сушка образцов при использовании
метода D до начала кондиционирования по режиму влажности. Коды метода
метода B для некоторых широко применяемых методов кондиционирования приведены в
таблице 3. Если
метод B указан без кода метода, то кондиционирование выполняют в соответствии с кодом BHEE.
Примечание - Если предусмотрен этап сушки либо как изначальный этап до кондиционирования, либо в составе испытаний после сушки в печи, требуется уделять внимание недопущению чрезвычайно высоких температур сушки и высоких амплитуд колебания температур, которые могут вызвать тепловое растрескивание, окисление или потери массы, или же комбинацию указанных трех факторов.
Таблица 3
Коды методов
метода B для широко используемых
методов кондиционирования
Код метода | Метод кондиционирования |
BHEP | Кондиционирование при условиях, отличных от условий окружающей среды при заданных постоянных условиях, до получения равновесного состояния влажности; проводят периодическое взвешивание образца. Типовым значением температурно-влажностного режима является температура 70 °C и относительная влажность 85% |
E (BHVP + BHEP) | Кондиционирование при условиях, отличных от условий окружающей среды, в два этапа; на первом этапе кондиционирование продолжают до момента достижения заданного процента равновесного состояния влажности, а затем на втором этапе - до достижения равновесного состояния влажности; проводят периодическое взвешивание образца. Типовым значением температурно-влажностного режима является температура 70 °C и относительная влажность 95% для первого этапа, и температура 70 °C и относительная влажность 85% для второго этапа |
BHEE | Кондиционирование при условиях, отличных от условий окружающей среды, при заданных постоянных условиях, до получения равновесного состояния влажности; периодическое взвешивание образца не проводят. Типовым значением температурно-влажностного режима является температура 70 °C и относительная влажность 85% |
BWEP | Кондиционирование внутри емкости для погружения в воду при условиях, отличных от условий окружающей среды, при заданной температуре до получения равновесного состояния влажности; производят периодическое взвешивание образца. Типовым значением температурного режима является 70 °C |
BWFF | Кондиционирование внутри емкости для погружения в воду при условиях, отличных от условий окружающей среды, при заданной температуре в течение фиксированного временного промежутка. Типовым значением температурного режима является 70 °C |
BBFF | Кондиционирование при условиях, отличных от условий окружающей среды, с погружением в емкость с кипящей водой в течение фиксированного временного промежутка |
BFEP | Кондиционирование в текучей среде (не в воде) с погружением в емкость при условиях, отличных от условий окружающей среды, при заданной температуре до получения равновесного состояния влажности; проводят периодическое взвешивание образца |
BFFF | Кондиционирование в текучей среде (не в воде) с погружением в емкость при условиях, отличных от условий окружающей среды, при заданной температуре в течение фиксированного временного промежутка |
BGFF | Кондиционирование при условиях, отличных от условий окружающей среды, в атмосфере с заданным составом газа(ов) в течение фиксированного временного промежутка |
Таблица 4
Коды методов
метода B: B(среда)(время)(контроль)
Среда | Время | Контроль |
H - влажность | E - до действующего равновесия | E - изначальный + три конечных взвешивания |
W - вода | F - фиксированное | F - изначальный + конечные взвешивания |
B - кипящая вода | V - переменное | P - периодический контроль взвешиванием |
F - текучая среда, отличная от воды | | |
G - газ | | |
7.1.2 Метод отбора образцов для определения плотности и объема волокон (требуется только для
метода A), геометрические параметры образцов, а также метод их определения.
Примечание - Для многих композитов с полимерной матрицей объем армирующего наполнителя определяют одним из методов в соответствии с
ГОСТ Р 56682, или для определенных армирующих наполнителей, к примеру - стекла и керамики, методом выжигания матрицы в соответствии с
ГОСТ 29127. Методы, необходимые для определения содержания пустот в композите, установлены в
ГОСТ Р 56679.
7.1.3 Метод отбора образцов для определения влагопоглощения, тип и геометрические параметры образцов (а также дублеров образцов, при необходимости), в соответствии с
6.1.
7.1.4 Погрешность измерений весов 1,0 или 0,1 мг, в соответствии с
5.1.
7.1.5 Температура испытаний внутри камеры кондиционирования (как для изначального этапа осушки, если требуется, так и для этапа(ов) кондиционирования по режиму влажности).
Примечание - Для всех методов рекомендованы максимальные значения температур испытаний, указанные в
таблице 5. Поддерживают температуру испытаний для любого материала, не указанного в таблице, на уровне, ниже влажной температуры стеклования материала
Tg не менее чем на 25 °C.
Таблица 5
Рекомендованные максимальные значения температур испытаний
Материал полимерной матрицы | Рекомендованное максимальное значение температуры испытаний |
Отверждение эпоксипластов при 121 °C | 70 °C |
Отверждение эпоксипластов при 177 °C | 80 °C |
Прочее | На 25 °C менее влажной температуры стеклования Tg |
7.1.6 Тип влаги (водяные пары, вода в жидкой фазе, указанные жидкая среда или газ), а также уровень воздействия влажности (в пересчете на относительную влажность в отношении воздействия водяных паров). В части воздействия газов компоненты газов, концентрации и уровень давления газов в камере кондиционирования.
Примечание - Есть информация, что в авиационной промышленности самыми негативными условиями предполагают воздействие водяных паров на уровне относительной влажности 85%. В целях сокращения длительности кондиционирования используют двухстадийные схемы ускоренного кондиционирования уровня воздействия от 95% до 98% относительной влажности в течение определенного промежутка времени после дополнительного периода воздействия при меньшей относительной влажности. Кроме того, следует отметить, что воздействие под влиянием погружения в жидкость не всегда является эквивалентным воздействию условий окружающей среды со 100% относительной влажностью.
7.1.7 Временной интервал между взвешиваниями. Для определения коэффициента диффузии влаги в соответствии с
методом A проводят взвешивание, соблюдая временной интервал с точностью не меньше 1% номинального временного интервала. По методу
BxxP требуется проведение периодического взвешивания при заданных интервалах. По методам
BxxE,
BxxP,
C,
D,
Y, а также
Z требуется три взвешивания после кондиционирования с интервалом, равным контрольному периоду. Метод
BxxF требует только одно конечное взвешивание.
Устанавливают контрольный период на основании данных, указанных в
таблице 6. Если известно значение коэффициента диффузии влаги
Dz, или если его значение можно вычислить на основании проведенного испытания, или на основании информации из литературных источников или доступной информации, то минимальную продолжительность контрольного периода устанавливают на использовании значения "ДА" по
таблице 6. Если
Dz не установлено, то используют значение "НЕТ" по
таблице 6. Если требуемый контрольный период не совпадает с целесообразным графиком взвешиваний, которые выполняет сам человек, то возможно ввести более короткий интервал между измерениями массы, при этом требование к изменению массы (менее 0,02% изменения массы за контрольный период в соответствии с
7.2) должно быть пропорционально скорректированному временному интервалу. К примеру, если требуемый контрольный период для равновесия определен как 115 000 с (32 ч), то разрешается взвешивать образцы каждые сутки или каждые двое суток, при этом требование к изменению массы скорректировано с 0,020% до 0,015% (24/32 x 0,020) либо 0,030% (48/32 x 0,020), соответственно.
Таблица 6
Схема определения и фиксация контрольного периода
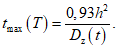
Установлено ли значение Dz? | Контрольный период |
ДА | (0,04h2/Dz) с, |
большее значение из |
| {или |
| 86 400 с (1 сут) |
где Dz - коэффициент диффузии влаги по толщине, мм2/с, h - толщина, мм |
НЕТ | 604 000 с (7 сут) |
7.1.8 Процентное выражение изменения среднего влагосодержания для действующего равновесного содержания, если оно отлично от стандартного значения 0,020%, указанного в
7.1.2. При указании иного значения производят пересчет коэффициента в первой строке
таблиц 2 и
6 в соответствии с
А.2.4 -
А.2.7.
7.1.9 Для
метода Y условия, которым подвергают образец, после извлечения из камеры кондиционирования (в случае наклеивания тензометров указывают время выдержки при комнатной температуре, время схватывания клеящего материала при повышенных температурах, а также температуру отверждения клеящего материала тензометра). Кроме того, указывают один из методов
Bxxx,
C или
E в качестве этапа, предшествующего кондиционированию.
7.1.10 В
методе Z время линейного увеличения влажности, время выдержки, длительность испытания, а также температура проведения испытаний на механические свойства материала в условиях повышенных температур. Кроме того, указывают один из методов
Bxxx,
C или
E в качестве этапа, предшествующего кондиционированию.
7.2 Определение действующего равновесного состояния влажности
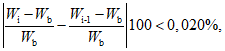
Если иное не установлено в нормативном документе или технической документации на продукцию, считают, что материал достиг действующего равновесного состояния влажности, если изменение среднего влагосодержания за каждый из двух последовательных контрольных периодов составляет менее чем 0,020%, а также при условии, что график зависимости содержания влаги от квадратного корня от времени также показывает равновесное состояние влажности. Данный критерий изменения влагосодержания в течение определенного контрольного периода может быть выражен формулами
|Mi - Mi-1| < 0,020%, (4)

(5)

(6)

(7)
где Mi - среднее влагосодержание образца в текущий момент времени, %;
Mi-1 - среднее влагосодержание образца в предшествовавший момент времени, %;
Wi - масса образца в текущий момент времени, г;
Wb - начальная масса образца, г;
Wi-1 - значение массы образца в предшествовавший момент времени, г.
Примечание - Указанный выше критерий доказал свою допустимость при кондиционировании для многих полимерных композитов со значениями равновесного состояния влажности не менее 0,5%. Для материалов, имеющих меньшие значения равновесного состояния влажности, могут потребоваться более строгие критерии для изменения влагосодержания, и более точные измерения массы для того, чтобы получить точные данные и данные с высокой повторяемостью для кондиционирования.
7.3 Общие указания
7.3.1 Заносят в протокол любые случайные отступления от данного метода.
7.3.2 Защищают весы от сквозняков и изолируют их, предусмотрев защиту от вибраций, которые могут сказаться на их точности.
7.3.3 При работе с образцами используют чистые немочалящиеся перчатки.
7.3.4 Выдерживают обе поверхности образца в условиях испытания. Размещают образцы с определенным шагом друг от друга для обеспечения надлежащей циркуляции воздуха или паров при сушке или воздействии паров, а также при соответствующем уровне циркуляции жидкости в емкости для погружения.
7.3.5 Следует учитывать массу любого добавленного материала, например, маркировки с использованием шифров на проволочной обмотке, вычитая ее массу из массы образца при любом интервале между взвешиваниями.
7.4 Метод A. Определение свойств влагопоглощения
7.4.1 Предварительное кондиционирование образца
7.4.1.1 В качестве этапа предварительного кондиционирования выполняют действия по
методу D для образцов с "малой" толщиной, которые используют для установления содержания равновесия по влаге. Сушка образцов с "большой" толщиной, используемых для определения коэффициента диффузии влаги, не требуется; тем не менее, если есть сомнение в том, что образец был изначально с высоким содержанием влаги, то рекомендуется сушка.
7.4.1.2 Определяют плотность материала образца и объем волокон в материале образца.
7.4.1.3 Измеряют толщину образца не менее чем в трех точках и вносят в протокол среднеарифметическое значение с погрешностью не более 1% толщины. Для типовых размеров образца измерения проводят с точностью до 0,01 мм. Замеряют номинальные размеры стороны пластины с точностью до 1,0 мм и вносят в протокол как измерения размеров, выполненные в "сухом" состоянии.
7.4.2 Влагопоглощение
7.4.2.1 Фиксируют массу "тонкого" образца после сушки как начальную массу образца Wbn в отношении влагопоглощения. Вносят в протокол исходную массу Wbk "толстого" образца. Помещают образец в камеру кондиционирования, в которой уже установлены заданные условия среды, температура и влажность.
7.4.2.2 В конце каждого заданного временного интервала измерений массы извлекают образцы из камеры кондиционирования и помещают их в пакет для образцов. Если иное не установлено в нормативном документе или технической документации на продукцию временной интервал измерения массы составляет 24 ч. Герметично закрывают пакет для образцов, и выдерживают образцы в пакете до момента снижения их температуры до приемлемой для лабораторных операций с образцами. Вынимают образцы из пакета (герметично закрывают пакет для образцов, если какие-либо образцы не были извлечены), протирают образцы, удаляя влагу с поверхности при помощи гигроскопичной ткани. Сразу же взвешивают с требуемой точностью все образцы. Фиксируют каждое значение измерений как Wi, соответствующие значения общего прошедшего времени и времени с момента предыдущего взвешивания. Помещают образцы обратно либо в пакет для образцов, либо в камеру кондиционирования. Образец не должен находиться вне камеры кондиционирования более 30 мин за операцию взвешивания и не должен извлекаться из пакета для образцов на время более 5 мин за операцию взвешивания.
Примечание - Для того, чтобы построить ровную и точную кривую влагопоглощения на графике, необходимо сводить к минимуму время нахождения образца вне камеры кондиционирования, а в особенности - время вне пакета для образцов. Для многих образцов может потребоваться сократить указанное максимально допустимое время нахождения образцов вне камеры кондиционирования и вне пакета для образцов.
7.4.2.3 Рассчитывают и фиксируют изменение массы в процентах в каждый временной интервал согласно
уравнению (8). Для образцов с "малой" толщиной контролируют поглощение влаги до момента достижения действующего равновесного состояния влажности в соответствии с
7.2 и с учетом контрольного периода (см.
7.1.7). Фиксируют последнее значение изменения массы в процентах в виде равновесного содержания влаги
Mm. Для образцов с "большой" толщиной контролируют поглощение влаги до момента достижения не менее 70% действующего равновесного состояния влажности.
Примечание - Рекомендуется оставлять образцы в камере кондиционирования на гораздо больший период по факту достижения действующего равновесного состояния влажности для того, чтобы проверить соответствие влагопоглощения материала модели однофазной диффузии по закону Фика и убедиться в близости действующего равновесного состояния влажности к абсолютному равновесному состоянию влажности.
7.4.2.4 Повторно измеряют и фиксируют в протоколе значение толщины и размеры сторон пластины после кондиционирования.
7.4.3 Выделение влаги при влагопоглощении
7.4.3.1 Если было установлено или ожидают, что материал содержит значительное количество компонентов, растворимых во влажных условиях, то для образца с "малой" толщиной выполняют сушку в печи (после влагопоглощения) в соответствии с
методом D для того, чтобы достичь состояния преимущественно, свободного от влаги. Данная процедура может быть выполнена для других образцов с целью оценки характеристики материала в отношении десорбции влаги.
7.4.3.2 Если масса после кондиционирования и сушки меньше, чем масса после предварительного кондиционирования (см.
7.4.1), то их разница представляет собой потери вещества, растворенного в ходе испытаний, см.
уравнение (10). Для подобных материалов равновесное содержание влажности рассчитывают путем прибавления потерь растворимого вещества к массе образца при установившемся действующем равновесном состоянии влажности. Скорректированное значение массы образца используют в
уравнении (8) для расчета процентного изменения массы, и при расчете среднего содержания влаги при достижении равновесного состояния влажности влаги
Me.
Примечание - Погрешность при расчетах может быть также вызвана потерей массы образца из-за изменения свойств растворителя (разложения) или из-за физических методов обработки образца.
7.4.3.3 Повторно измеряют и фиксируют в протоколе значение толщины и размеры сторон пластины.
7.5 Метод B. Кондиционирование образца в условиях, отличных от условий окружающей среды
7.5.1 Предварительное кондиционирование образца не требуется, но может быть указано для методов
BHxx,
BWxx,
BBxx, и является обязательным для метода
BFxx и
BGxx. При необходимости в качестве этапа предварительного кондиционирования выполняют действия в соответствии с
методом D.
Примечание - В случае отсутствия предварительного кондиционирования в соответствии с
методом D полученное при кондиционировании увеличение содержания влаги, как правило, не будет равно действующему равновесному содержанию влаги из-за наличия изначального содержания влаги. Изначальное содержание влаги в образце до кондиционирования устанавливают либо (а) при сушке дублеров образцов в соответствии с
методом D после завершения кондиционирования по влажности, (б) при сушке в соответствии с
методом D дополнительных дублеров образцов или (в), если установлено значение коэффициента диффузии влаги и действующее равновесное содержание влаги влажности, используют методы, указанные в
приложении А.3.
7.5.2 Фиксируют в протоколе исходную массу образца (после каждого этапа предварительного кондиционирования), записывают в протоколе как начальную массу образца Wb.
7.5.3 Помещают образец в одни из указанных в
7.5.3.1 -
7.5.3.5 условия кондиционирования.
7.5.3.1 Метод
BHx. Кондиционирование при повышенной влажности.
Помещают образец в камеру кондиционирования, в которой уже получены заданные условия среды. При отсутствии указания температуры кондиционирования выполняют кондиционирование при температуре 70 °C. При отсутствии указания относительной влажности кондиционирования выполняют кондиционирование при 85% относительной влажности.
7.5.3.2 Метод BWxx. Погружение в воду
Помещают образец в емкость, заполненную водой, в которой уже получены заданные условия. При отсутствии указания температуры кондиционирования выполняют кондиционирование при температуре 70 °C.
7.5.3.3 Метод BBxx. Погружение в кипящую воду
Помещают образец в емкость, заполненную кипящей водой. Фиксируют температуру воды.
7.5.3.4 Метод BFxx. Погружения в текучую среду, отличную от воды
Помещают образец в емкость, заполненную заданной жидкостью, в которой уже достигнута указанная температура.
7.5.3.5 Метод BGxx. Условия газовой среды
Помещают образец в камеру, в которой имеются заданные концентрации газа(ов) и давление.
7.5.4 Взвешивание
В конце каждого временного интервала между взвешиваниями вынимают образцы из камеры кондиционирования или из емкости с жидкостью и помещают их в пакет для образцов. Герметично закрывают пакет для образцов, и выдерживают образцы в пакете до момента снижения их температуры до приемлемой для лабораторных операций с образцами. Вынимают каждый образец из пакета (герметично закрывают пакет для образцов, если какие-либо образцы не были извлечены), протирают образцы, удаляя влагу с поверхности при помощи гигроскопичной ткани. Сразу же взвешивают с требуемой точностью все образцы. Фиксируют каждое значение измерений как Wi, соответствующие значения общего прошедшего времени и времени с момента предыдущего взвешивания. Помещают образцы обратно либо в пакет для образцов, либо в камеру кондиционирования или баню жидкости. Образец не должен находиться вне камеры кондиционирования или емкости, наполненной жидкостью, больше 30 мин за операцию взвешивания и не должен извлекаться из пакета для образцов на время более 5 мин за операцию взвешивания.
7.5.5 Изменение массы
Рассчитывают изменение массы в процентном отношении за каждый временной интервал по
уравнению (8).
7.5.6 Длительность кондиционирования
Проводят кондиционирование образца(ов) в течение времени, которое соответствует одному из условий
7.5.6.1 -
7.5.6.3.
7.5.6.1 Метод BxEx. Действующее равновесное состояние влажности
Контролируют образец до момента достижения действующего равновесного состояния влажности в соответствии с
7.2 и с учетом контрольного периода (см.
7.1.7). Фиксируют последнее значение изменения массы в процентах как содержание влаги при равновесном состоянии влажности
Me. Для подтверждения достижения действующего равновесного состояния влажности выполняют не менее четырех взвешиваний; взвешивают до начала испытания, а затем - подряд три окончательных взвешивания.
Тем не менее, может потребоваться дополнительное время кондиционирования и дополнительное взвешивание до достижения действующего равновесного состояния влажности. Исходя из полученного опыта (например, графики зависимости времени достижения равновесного состояния влажности от толщины образца) или исходя из вычислительных методов, к примеру, методов, описанных в приложениях к настоящему стандарту, и данных, полученных по
методу A, можно оценить требуемое время кондиционирования и, таким образом, свести к минимуму необходимое количество взвешиваний.
Если образцы были подвергнуты предварительному кондиционированию путем сушки, фиксируют в протоколе последнее значение изменения массы в процентах как общее равновесное содержания влаги Met, или, если образцы не подвергались предварительному кондиционированию, как промежуточное равновесное содержания влаги Med.
7.5.6.2 Метод BxFx. Фиксированное время кондиционирования
Проводят кондиционирование в течение заданного фиксированного времени. Фиксируют значение изменения массы в процентах как конечное (неравновесное) влагосодержание Mf.
7.5.6.3 Метод
BxVx. Изменяемое время кондиционирования
Контролируют поглощение влаги до того момента, пока не будет достигнут заданный уровень влагосодержания. Фиксируют значение изменения массы в процентах как конечного (неравновесного) влагосодержания Mf.
7.5.7 Контроль кондиционирования
Контролируют изменение массы образца при помощи одного из методов, указанных в
7.5.7.1 -
7.5.7.3
7.5.7.1 Метод
BxxE. Изначальное взвешивание и три окончательных взвешивания
После кондиционирования в течение определенного времени или расчетного времени до достижения действующего равновесного состояния влажности выполняют три взвешивания образца с интервалом, равным контрольному периоду (см.
7.1.7). Данный метод, как правило, используют при кондиционировании до достижения равновесного состояния (метод
BxEx). При достижении действующего равновесного состояния влажности в соответствии с
7.2 прекращают кондиционирование образца; если действующее равновесное состояние влажности не достигнуто - продолжают кондиционирование и взвешивания с установленными временными интервалами.
7.5.7.2 Метод BxxF. Изначальное и окончательное взвешивание
Выполняют окончательное взвешивание образца после кондиционирования в течение заданного времени. Данный метод, как правило, используют при кондиционировании в течение фиксированного времени (метод BxFx).
7.5.7.3 Метод
BxxP. Периодическое взвешивание
Выполняют периодическое взвешивание образца через установленный временной интервал или контрольный период (см.
7.1.7). Данный метод, как правило, используют при методах, основанных на переменном времени кондиционирования/времени кондиционирования до достижения равновесного состояния влажности (BxEx/BxVx). Кондиционирование и взвешивание продолжают до момента достижения действующего равновесного состояния влажности (BxEx) или заданного влагосодержания (BxVx).
7.6 Метод C. Кондиционирование образца при относительной влажности 50%
7.6.1 Взвешивают образец с требуемой точностью и фиксируют результат в качестве начальной массы образца Wb.
Помещают образец в камеру кондиционирования с установившейся заданной температурой и уровнем относительной влажности 50%. При отсутствии указания температуры кондиционирования выполняют кондиционирование при температуре 70 °C.
7.6.2 В конце каждого указанного интервала взвешивания вынимают образец из камеры кондиционирования и помещают его в пакет для образцов. Герметично закрывают пакет для образцов, и выдерживают образцы в пакете до момента снижения их температуры до приемлемой для лабораторных операций с образцами. Вынимают образцы из пакета (герметично закрывают пакет для образцов, если какие-либо образцы не были извлечены), протирают образцы, удаляя влагу с поверхности при помощи гигроскопичной ткани. Образец сразу же взвешивают с требуемой точностью. Фиксируют каждое значение измерений как Wi, соответствующие значения общего прошедшего времени и времени с момента предыдущего взвешивания. Помещают образцы обратно либо в пакет для образцов, либо в камеру кондиционирования. Образец не должен находиться вне камеры для кондиционирования больше 30 мин за операцию взвешивания и не должен извлекаться из пакета для образцов на время более 5 мин за операцию взвешивания.
7.6.3 Рассчитывают и фиксируют изменение массы в процентном выражении за каждый временной интервал при помощи
уравнения (8). Контролируют массу образца до момента достижения действующего равновесного содержания влаги в соответствии с
7.2. Фиксируют значение изменения массы в процентах как промежуточное равновесное содержание влаги
Med. Периодическое взвешивание образца не требуется. Для подтверждения достижения действующего равновесного состояния влажности выполняют не менее четырех взвешиваний; взвешивают до начала испытания, а затем - подряд три окончательных взвешивания. Тем не менее, может потребоваться дополнительное время кондиционирования и дополнительное взвешивание до достижения действующего равновесного состояния влажности.
7.6.4 После того как установлено равновесное состояние влажности, материал хранят в стандартной атмосфере до момента, пока он не потребуется для последующего испытания.
7.7 Метод D. Сушки в печи
7.7.1 Перед сушкой в печи взвешивают образец с требуемой точностью и фиксируют результат в качестве начальной массы образца Wb.
Помещают образец в печь, которую в целях контроля влажности размещают в стандартной атмосфере.
Примечание - Можно использовать камеру вакуумной сушки или вакуумную печь. Подобное оборудование может дать существенное сокращение времени, требуемого для достижения равновесия.
7.7.2 В конце каждого заданного временного интервала взвешивания извлекают образец из печи и помещают в десикатор для охлаждения до температуры в лаборатории. После охлаждения образца до температуры, приемлемой для лабораторных операций с образцами, извлекают образец из десикатора и протирают образец, удаляя влагу с поверхности при помощи гигроскопичной ткани. Образец сразу же взвешивают с требуемой точностью. Фиксируют каждое значение измерений как Wi, соответствующие значения общего прошедшего времени и времени с момента предыдущего взвешивания. Помещают образец обратно либо в печь, либо в десикатор. Образец не должен находиться вне печи в течение общего времени св. 30 мин за операцию взвешивания и не должен извлекаться из десикатора в общей сложности на время более 5 мин за операцию взвешивания.
7.7.3 Рассчитывают и фиксируют изменение массы в процентах в каждый временной интервал согласно
уравнению (8). Контролируют снижение влажности до момента достижения действующего равновесного состояния влажности в соответствии с
7.2. Рассчитывают и фиксируют исходное содержание влаги
Mb согласно
уравнению (9).
7.7.4 После достижения равновесного содержания влажности после сушки образца в печи, охлаждают образец в десикаторе и хранят его в десикаторе до момента его конечного использования.
7.8 Метод E. Многостадийное кондиционирование
7.8.1 Предварительное кондиционирование образца не является обязательным, но при наличии указания может быть проведено. При необходимости в качестве этапа предварительного кондиционирования выполняют действия в соответствии с
методом D.
7.8.2 Кондиционирование
Данный метод используют для уменьшения времени кондиционирования образца.
7.8.2.1 Начальная стадия. Проводят кондиционирование в соответствии с методом BxVP, используя условия и конечный уровень содержания влаги, заданные для первой стадии. Если иное не установлено в нормативном документе или технической документации на продукцию, проводят кондиционирование до (80 +/- 5)% заданного конечного действующего равновесного содержания влаги.
Примечание - В некоторых случаях уровень равновесного содержания влаги 80% может быть слишком большим и может привести к длительному кондиционированию на последующей стадии. Для определения оптимальной длительности кондиционирования на начальной стадии используют имеющиеся данные о диффузии и содержании влаги.
7.8.2.2 Промежуточная стадия (необязательная). Проводят кондиционирование в соответствии с методом BxVP, используя заданные условия и конечный уровень содержания влаги. Повторяют действия, используя условия и конечный уровень содержания влаги, заданные для промежуточных стадий.
7.8.3 Окончательная стадия. Проводят кондиционирование в соответствии с методом BxEP, используя условия, заданные для окончательной стадии до достижения действующего равновесного состояния влажности.
Примечание - Применение двухстадийных методов кондиционирования, к примеру, применение начальной стадии кондиционирования с высоким уровнем влажности (95% относительной влажности) и последующее кондиционирование до достижения равновесного состояния влажности для целей ускорения кондиционирования требует осторожности. Условия среды, используемые для ускоренного кондиционирования, могут привести к изменению материала и, следовательно, свойств влагопоглощения. При длительном воздействии высоких температур и влажности материал может подвергнуться химическим изменениям. Применение начальной стадии кондиционирования с высоким уровнем влажности может быть приемлемо, но применение экстремальных условий, таких как воздействие сжатым паром и погружение в горячую или кипящую воду, является недопустимым. Было доказано, что такие условия дают различные результаты по сравнению с кондиционированием при 100% относительной влажности.
7.9 Метод Y. Потеря влаги при нахождении образца вне среды кондиционирования
7.9.1 В качестве этапа предварительного кондиционирования выполняют действия в соответствии с
методом B,
C или
E.
7.9.2 Извлекают образец из камеры кондиционирования и помещают его в условия окружающей среды (не накрывают и не кладут в пакет для образцов). По истечении заданного времени выдержки при комнатной температуре (например время выдержки при комнатной температуре может соответствовать длительности подготовки образца к испытаниям), помещают образец в печь с заданной температурой (например заданная температура может соответствовать температуре отверждения клеящего материала, применяемого для крепления тензодатчиков) на заданное время. Вынимают образцы из печи и дают охладиться до комнатной температуры.
Сразу же взвешивают все образцы с требуемой точностью.
Фиксируют значение измерения в виде Wi. Рассчитывают и фиксируют изменение массы (потерю массы) в процентном выражении ML относительно содержания влаги в равновесном состоянии влажности.
7.9.3 Повторно выполняют действия в соответствии с
методом B,
C или
E для того, чтобы образец вновь приобрел равновесное состояние влажности. Фиксируют время, необходимое для того, чтобы восстановить равновесное состояние влажности. Данное время соответствует времени повторного кондиционирования образцов для механических испытаний, которые после кондиционирования были подвергнуты другим условиям (например, нагреванию для крепления тензодатчиков).
7.10 Метод Z. Потеря влаги в течение испытаний
7.10.1 В качестве этапа предварительного кондиционирования выполняют действия в соответствии с
методом B,
C или
E.
7.10.2 Извлекают образец из камеры кондиционирования и помещают его в машину для испытания. Устанавливают образец тем же способом, что и образцы для механических испытаний, которые он представляет, в том числе, если это необходимо, устанавливают крепления. Нагревают образец и крепления, в соответствии с температурой, скоростью нагрева и времени выдержки, которые будут применяться по отношению к образцам для механических испытаний. После нагрева дополнительно выдерживают образец для того, чтобы сымитировать длительность проведения испытаний. После завершения процедуры нагрева вновь доводят образец до комнатной температуры. Сразу же взвешивают все образцы с требуемой точностью и фиксируют значение измерения как Wi. Рассчитывают и фиксируют изменение массы (потерю массы) в процентах ML.
8.1 Влагопоглощение
Влагопоглощение полимерных композитов характеризуют при помощи кривой влагопоглощения, графика зависимости содержания влаги от квадратного корня от времени кондиционирования.
Для всех методов, где выполняют периодические операции взвешивания, содержания влаги

, %, для каждого измеренного значения массы образца вычисляют по формуле

(8)
где Wi - текущее значение массы образца, г;
Wb - начальная масса образца, г.
На основе вычисленных значений строят график влагопоглощения, пример графика приведен на
рисунке 1.
Рисунок 1 - Пример графика влагопоглощения
углерод/эпоксидных (0,45 - 45,0)s слоистых материалов
из восьми слоев при температуре 48,9 °C
(8)
Примечание - График влагопоглощения строят и изучают до принятия решения о достижении образцом действующего равновесного состояния влажности. Зачастую критерии изменения массы, приведенные в
7.2, могут указывать на достижение действующего равновесного состояния влажности, когда график очевидным образом демонстрирует о недостижении действующего равновесного состояния влажности. Установление достижения действующего равновесного состояния влажности требует проведение анализа графика влагопоглощения и в общих случаях - определенных знаний о динамике влагопоглощения материала; испытательным лабораториям не следует принимать решение относительно достижения действующего равновесного состояния влажности без согласования с заказчиком испытаний.
8.2 Начальное влагосодержание Mb, %, вычисляют по формуле

(9)
где War - масса образца непосредственно после получения, г;
Wod - масса образца после сушки в печи, г.
Результат записывают с точностью до трех знаков после запятой.
8.3 Потери вещества, растворенного в ходе испытаний
MLS, %, (см.
7.4.3.2) вычисляют по формуле

(10)
где Wab - масса образца после предварительного кондиционирования, г;
Wp - масса образца после кондиционирования и сушки, г.
Результат записывают с точностью до трех знаков после запятой.
8.4 Равновесное содержание влаги
Mm, %, определяют как последнее значение изменения массы в процентах при испытании в соответствии с методом A образца с "малой" толщиной (см.
7.4.2.3).
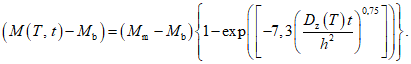
8.5 Коэффициент диффузии влаги Dz, мм2/с, вычисляют с использованием данных, полученных при испытании в соответствии с методом A образца с "большой" толщиной по формуле

(11)
где
h - средняя толщина образца в соответствии с
7.4.1.3, мм;
Mm - действующее равновесное содержание влаги, %;
M2 - M1 - уклон на графике влагопоглощения на начальном участке;

- линейная часть кривой,

.
Примечания
1 Единицы измерения времени преобразовывают из тех единиц, которые использовались во время испытаний, в единицы, которые являются предпочтительными для коэффициента диффузии влаги (например, сутки преобразовывают в секунды).
2 При отсутствии линейного участка на начальном этапе графика влагопоглощения допущение относительно модели диффузии однофазного типа по закону Фика (и расчетной коэффициента диффузии влаги) может быть несостоятельным.
9.1 В протокол вносят ссылки, содержащие требуемую информацию, или непосредственно следующие данные:
- ссылку на настоящий стандарт;
- дату(ы) и местоположение(я) испытания;
- фамилию, имя и отчество лиц(а), проводивших(его) испытания;
- любые изменения данного метода испытаний, нештатные случаи, которые зафиксированы во время проведения испытаний или проблемы с оборудованием, которые имеют место во время испытаний;
- идентификацию испытуемого материала, включая: тип, источник, номер партии или серии изготовителя, предыстория, диаметр волокна, число жгутов или нитей волокон, а также скрутки, размерность, форма или переплетения, масса волокон на единицу площади, тип полимерной матрицы, содержание исходного полимерного материала, а также содержание летучих веществ в препреге;
- описание способа изготовления, который применялся в подготовке материала, в том числе: цикл отверждения, метод консолидации, а также описание используемого оборудования;
- схему укладки с ориентацией волокон в слое для слоистого материала;
- плотность, объем армирующего наполнителя и пустот, а также среднюю толщину слоя материала, для
метода A;
- результаты испытаний методом неразрушающего контроля;
- способ подготовки образца;
- даты и методы проведения калибровки применительно ко всем средствам измерений и оборудованию для испытаний;
- результаты предварительного кондиционирования;
- размеры образца после предварительного кондиционирования и до кондиционирования по режиму влажности, а также завершение метода испытания, для
метода A;
- тип используемой камеры для испытаний, уровень влаги, применяемый для испытания, значение номинальной и фактической температур испытания, уровни воздействия влажности, а также временной интервал измерений;
- относительную влажность и температуру в лаборатории испытаний;
- массу образца за каждый временной интервал;
- графики влагопоглощения, с указанием изменения массы с точностью до трех знаков после запятой;
- действующее равновесное содержание влаги для материала или конечное влагосодержание или потерю массы в зависимости от применяемого метода, при этом отражают в протоколе влагосодержание или потери с точностью до трех знаков после запятой;
- потери вещества, растворенного в ходе испытаний в соответствии с
уравнением (9);
- любые наблюдения за нештатным ходом испытания, например, деформация, растрескивание или изменение внешнего вида или сочетание указанных дефектов;
- среднеарифметическое значение, стандартное значение отклонения, а также коэффициент вариации свойств влажности для совокупности образцов при испытании более трех и более образцов (у которых одинаковое номинальное содержание армирующего заполнителя и которые подвергаются одинаковым условиям кондиционирования);
- данные о десорбции влаги контролируют тем же способом, что и данные о влагопоглощении.
9.2 Для проведения испытаний образцов, которые прошли или не прошли кондиционирование в соответствии с одним из методов настоящего стандарта, указывают в протоколе кондиционирования образца(ов), категорию образцов в соответствии с
9.2.1 -
9.2.5.
9.2.1 Образцы заводской поставки и прошедшие осушку в десикаторе, образцы условия хранения после изготовления и условия между стадиями подготовки для испытаний которых дают основание считать, что влагосодержание данных образцов незначительно.
9.2.2 Образцы с неустановленным содержанием влаги, образцы, для которых содержание влаги не установлено, в протоколе в качестве содержания влаги указывают "неизвестно". В эту категорию попадают образцы заводской поставки или образцы, хранимые в условиях окружающей среды, о которых нет дополнительных сведений. Кроме того, к данной категории относят образцы, прошедшие кондиционирование в течение фиксированного временного промежутка, но без контроля изменения массы образца (в таком случае указывают условия кондиционирования до начала испытания, а также продолжительность воздействия).
9.2.3 Образцы с содержанием влаги, не соответствующим равновесному состоянию влажности, образцы для которых есть данные о кондиционировании, результатом которого является известное содержание влаги. Процедура кондиционирования должна быть задокументирована, чтобы обеспечить возможность воспроизведения кондиционирования, которое может сделать независимый наблюдатель.
9.2.4 Образцы с профилем влажности, не предполагающим наличия равновесия, образцы, для которых есть данные о кондиционировании, результатом которого является известное содержание влаги и профиль влажности по толщине материала, определенный аналитически. Процедура кондиционирования должна быть задокументирована, чтобы обеспечить возможность воспроизведения кондиционирования, которое может сделать независимый наблюдатель.
9.2.5 Образцы с действующим равновесным содержанием влаги. Образцы, равновесное содержание влаги которых определено при помощи метода настоящего стандарта, определенное данной методикой испытаний. Указывают содержание влаги до испытания при указанной относительной влажности (или погружении) и температуре.
9.2.6 Содержание влаги, указанное в соответствии с
9.2.3 -
9.2.5, в протоколе отражают как общее равновесное содержание влаги
Met, если образец подвергается сушке до кондиционирования, или же - как промежуточное равновесное содержание влаги
Med, если изначальное содержание влаги до кондиционирования не определяли. В последнем случае в протоколе может быть указано изначальное содержание влаги до кондиционирования, вычисленное в соответствии с Приложением А,
А.3.
(рекомендуемое)
ПРОГНОЗИРОВАНИЕ ВЛАГОСОДЕРЖАНИЯ И ОСНОВЫ ДЛЯ ОПРЕДЕЛЕНИЯ
ПАРАМЕТРОВ ИСПЫТАНИЙ
А.1 Прогнозирование влагосодержания
А.1.1 В настоящем приложении представлены уравнения из справочной литературы, которые могут быть полезны для прогнозирования поведения материала при кондиционировании. Существующие ограничения применения данных уравнений приведены в
А.1.1.1 -
А.1.1.5:
А.1.1.1 Материал соответствует модели однофазной диффузии по закону Фика

(А.1.1)
где c - концентрация влаги в образце, г/мм3;
t - время, с;
- временное соотношение изменения концентрации влаги, г/мм
3/с;
Dz - коэффициент диффузии влаги по толщине материала по закону Фика, мм2/с;
z - направление насквозь (по толщине), мм.
А.1.1.2 Пограничные и исходные условия являются следующими:
c = ci; 0 < z < h; t <= 0, (А.1.2);
c = ca; x = 0; h = 0; t > 0. (А.1.3)
А.1.1.3 Диффузия влаги и диффузия по температуре не взаимосвязана (существуют данные, что между скоростями диффузий, как правило, разница в шесть порядков).
А.1.1.4 По всей толщине материала не наблюдается изменение в свойствах диффузии влаги.
А.1.1.5 Рассматривается диффузия влаги только по одному направлению.
А.1.2 С учетом ограничений содержание влаги в конкретном материале при определенных условиях может быть определено по формуле
M(
T,
t) =
Mb +
G(
T,
t)(
Mm -
Mb), (А.1.4)
где T - температура, °C;
M(T, t) - зависимость содержания влаги от времени и температуры, % от массы;
Mb - исходное содержание влаги, % от массы;
Mm - равновесное содержание влаги, % от массы;
h - толщина материала для условий воздействия с двух сторон, мм;
G(T, t) - функция влагопоглощения (безразмерная характеристика) и может быть представлена в следующем виде

(А.1.5)
А.1.3 Функцию
уравнения А.1.5 рассчитывают используя по аппроксимации по формуле

(А.1.6)
А.1.4 Равновесное содержание влаги Mm зависит только от уровня воздействия влажности окружающей среды (к примеру, относительной влажности). Тем не менее, скорость, при которой достигается данное равновесное состояние влажности, зависит от температуры окружающей среды, так как коэффициент диффузии влаги зависит от температуры. Промежуток времени, требуемый для достижения конкретного содержания влаги на основе фиксированной температуры и влажности, вычисляют по формуле

(А.1.7)
А.1.5 Следовательно, приблизительный промежуток времени, требуемый для достижения образцом, находящимся в полностью осушенном состоянии после печи, 99,9% равновесной влажности при заданной температуре, вне зависимости от уровня воздействия влажности вычисляют по формуле

(А.1.8)
А.2 Обоснование определения параметров испытаний
А.2.1 Основные параметры испытаний для оценки свойств влажности материала связаны весьма тесно. Параметры испытаний, приведенные в настоящем стандарте, будут выдавать допустимые результаты для рассматриваемых конструкционных материалов. Далее будет приведено логическое обоснование для определения параметров испытаний и их рассмотрение на примере широко применяемого полимерного композита.
К параметрам испытания относят:
- материал:
- скорость поглощения (диффузии);
- равновесное содержание влаги;
- размер образца:
- соотношение ширины к высоте;
- толщина;
- масса;
- определение действующего равновесного содержания:
- контрольный период;
- критерий точности;
- оборудование:
- точность по балансу;
- метод;
- точность взвешивания.
А.2.2 В материалах, используемых в авиакосмической промышленности, используют направленные углеродные волокна и эпоксидную матрицу.
В справочных данных указывают, что диффузионная способность углерод/эпоксидного материала Dz при температуре 74 °C равна 2,6 x 10-7 мм2/с и равновесное содержание влаги при относительной влажности 90% составляет 1,5%. Данный материал рассмотрен в настоящем стандарте в качестве примера.
А.2.3 Толщина типового образца может быть равна 2,5 мм, хотя более тонкий образец с примерным значением 1,0 мм достигнет равновесного состояния влажности за гораздо меньший промежуток времени. Для более толстого образца может потребоваться больше времени до момента приведения к равновесной влажности, что недопустимо.
Таблица А.2.1
Прогнозируемые значения
Mf для различных
параметров влагопоглощения
Толщина, мм | Время, ч | Dzt/h2 | G | Критерий точности, % |
0,05% | 0,01% | 0,005% |
Прогнозируемое значение Mf |
0,25 | 24 | 0,359 | 0,966246 | 1,498 | 1,500 | 1,500 |
1,0 | 24 | 0,0224 | 0,345303 | 1,405 | 1,481 | 1,491 |
1,5 | 24 | 0,010 | 0,205919 | 1,307 | 1,461 | 1,481 |
2,0 | 24 | 0,0056 | 0,139085 | 1,191 | 1,438 | 1,469 |
2,5 | 24 | 0,0036 | 0,101617 | 1,058 | 1,412 | 1,456 |
25,0 | 24 | 0,000036 | 0,032258 | 0,000 | 0,000 | 0,000 |
0,25 | 48 | 0,719 | 0,996651 | 1,500 | 1,500 | 1,500 |
1,0 | 48 | 0,0449 | 0,509524 | 1,452 | 1,490 | 1,495 |
1,5 | 48 | 0,0200 | 0,321431 | 1,394 | 1,479 | 1,489 |
2,0 | 48 | 0,0112 | 0,222649 | 1,325 | 1,465 | 1,483 |
2,5 | 48 | 0,0072 | 0,164913 | 1,247 | 1,449 | 1,475 |
25,0 | 48 | 0,000072 | 0,032258 | 0,000 | 0,000 | 0,000 |
0,25 | 168 | 2,51 | 0,999999 | 1,500 | 1,500 | 1,500 |
1,0 | 168 | 0,157 | 0,838442 | 1,490 | 1,498 | 1,499 |
1,5 | 168 | 0,069 | 0,629261 | 1,471 | 1,494 | 1,497 |
2,0 | 168 | 0,0393 | 0,475070 | 1,445 | 1,489 | 1,494 |
2,5 | 168 | 0,251 | 0,369448 | 1,415 | 1,483 | 1,491 |
25,0 | 168 | 0,00025 | 0,032258 | 0,000 | 0,000 | 0,000 |
Таблица А.2.2
Зависимость погрешности от соотношения длины и высоты
w/h | Dz/Da | Погрешность, % |
10 | 0,694 | 44,1 |
25 | 0,857 | 16,7 |
40 | 0,907 | 10,3 |
100 | 0,961 | 4,1 |
200 | 0,980 | 2,0 |
1000 | 0,998 | 0,2 |
А.2.4 Действующее равновесное состояние влажности определяют при помощи критерия точности и контрольного периода и при увеличении критерия точности и контрольного периода действующее равновесное состояние влажности приближается к абсолютному равновесному состоянию влажности. Данный метод испытаний фиксированно устанавливает критерий точности и позволяет пользователю выбрать контрольный период, который варьируется в зависимости от материала, а также оцениваемой толщины образца. Ввиду того, что заметное изменение массы между двумя последовательными взвешиваниями составляет 0,02% (значение основано на точности взвешивания и минимальной массы образца), значение 0,02% применяют в качестве критерия точности в определении действующего равновесия по влаге, указанного в
7.2.
А.2.5 Масса образца для окончательных двух операций взвешивания опыта на влагопоглощение может быть спрогнозирована при помощи
уравнений (А.1.4) и
(А.1.6). Среднее влагосодержание при окончательном взвешивании составляет
Me, а среднее влагосодержание при предыдущем -
Me-1.
Me в общем виде отлично от
Mm, абсолютного равновесного содержания влаги, так как материал все еще поглощает влагу при завершении испытания. При условии соответствующего контрольного периода разность между
Mm и
Me (абсолютный допуск) целесообразно ограничить. В настоящем стандарте принята разность больше или равная 0,02%.
А.2.6 Переформулировав
уравнение (А.1.4) с применением двух окончательных операций взвешивания возможно рассчитать значение
G(
T,
t), с учетом принятого критерия точности
Me = Me-1 + G(T, t)(Mm - Me-1), (А.2.1)
или

(А.2.2)
или

(А.2.3)
А.2.7
G(
T,
t) - коэффициент, показывающий разницу между содержанием влаги в начале испытания и при достижении равновесного состояния влажности. При использовании
G(
T,
t) = 0,50 для
уравнения (А.1.6) на выходе имеем значение параметра
Dzt/
h2, которое удовлетворяет данным требованиям. Значение
Dzt/
h2, равное 0,0433, дает состояние действующего равновесия влажности, соответствующее критерию точности (с абсолютной допустимой погрешностью 0,02% истинного значения равновесного влагосодержания). На основе значения
Dzt/
h2, коэффициента диффузии влаги и толщины образца может быть установлен контрольный период, обеспечивающий нахождение параметра
Me в пределах не более 0,02%
Mm. Данный параметр
Dzt/
h2 также используют как отправную точку для выбора толщины образца для конкретного или более предпочтительного контрольного периода равновесия.

(А.2.4)
Данное уравнение применяют для прогнозирования влияния толщины образца, контрольного периода, а также критерия точности на результаты испытаний. Результаты, приведенные в
таблице А.2.1, прогнозируют значения
Me для углерод/эпоксидного материала при температуре 74 °C и относительной влажности 90% в отношении различных толщин образцов, различных контрольных периодов и критериев точности.
А.2.9 Размер образца для измерения свойств влагопоглощения на образцах без герметизированных краев устанавливают исходя из отношения высоты и ширины 100:1, требуемого для квадратного образца.
Логическое обоснование для соотношения высоты и ширины, равного 100:1, берет начало от деривации Springer (из одномерной теории) поправочных коэффициентов с учетом попадания влаги через область краев прямоугольного образца. В то время, как учет поправочного коэффициента представляется чрезвычайно сложным для анизотропных слоистых материалов, его сущность иллюстрируют путем оценивания соотношения ширины к толщине применительно к квадратному образцу в сопоставлении с погрешностью краевого эффекта для номинально изотропного материала. Для данного случая коэффициент диффузии влаги, Dz, мм2/с, с учетом поправочного коэффициента вычисляют по формуле

(А.2.5)
где Da - наблюдаемый коэффициент диффузии влаги по толщине, мм2/с, согласно измерениям в данной методике испытаний.
Итоговое прогнозное значение погрешности в процентах приведено в таблице в сопоставлении с соотношением высоты и ширины образца по
таблице А.2.2. В данной таблице указывается на то, что определение диффузионной способности в пределах допустимой инженерной погрешности на образцах без использования герметизированных краев требует соотношения высоты и ширины образца на уровне 100:1.
А.2.10 Минимальное требование к массе образца установлено из точности взвешивания +/- 0,1 мг (+/- 0,0001 г), критерия точности равновесия 0,02%, а также использование весов в десять раз точнее, чем требуется.
Исходя из этого наименьшая масса образца вычислена по формуле

(А.2.6)
А.3 Прогнозирование начального содержания влаги
А.3.1 Относительное содержание влаги как зависимость времени из конкретного условия воздействия оценивают при помощи следующего уравнения (полученного комбинированием
уравнений (А.1.4) и
(А.1.6))

(А.3.1)
А.3.2 На основе начального содержания влаги
Mb, известного значения толщины образца
h, коэффициента диффузии влаги
Dz, а также значения равновесного содержания влаги
Mm, возможно построение кривой влагопоглощения. С учетом значений, указанных в
А.2.2, построен ряд кривых с различными значениями начального содержания влаги, для толщины слоистого материала 3,76 мм (см.
рисунок А.3.1). На график также нанесены результаты испытаний для одного образца, не прошедшего предварительное кондиционирование; интерполяция между кривыми, начальным содержанием влаги для данного образца оценивается как 0,3%.
Рисунок А.3.1 - Прогноз влагосодержания для различных
уровней начального содержания влаги
(справочное)
ОРИГИНАЛЬНЫЙ ТЕКСТ НЕ ВКЛЮЧЕННЫХ СТРУКТУРНЫХ ЭЛЕМЕНТОВ
5 Значимость и применение
5.1
Метод A предназначен для воспроизведения данных о свойстве материала в плане диффузии влаги, которые используют следующим образом.
5.1.1 Для определения приблизительных периодов воздействия в отношении кондиционирования образца в
методах B -
E,
Y,
Z.
5.1.2 В качестве исходных данных для компьютерных кодов, применяемых в расчетах прогнозирования влаги.
5.1.3 Для решения вопросов отбора материалов или их эксплуатационных параметров в условиях воздействия окружающей среды на различные формы влагопроявления.
5.2
Методы B -
E предназначены для кондиционирования образцов для испытаний с приведением к заданным условиям окружающей среды или до состояния равновесия перед тем, как будут предприняты прочие испытания свойств материалов (в том числе, механические испытания).
5.3
Методы Y -
Z предназначены для определения потерь содержания влаги ввиду изъятия образца для испытаний из камеры кондиционирования (к примеру, в отношении операций присоединения тензометрических датчиков) или по причине нагрева образца для испытаний до и в ходе механического нагружения.
5.4 Одна пара испытаний на образцах с малой и большой толщиной при использовании
метода A предполагает константу диффузионной способности по влаге
Dz, а также равновесное содержание влаги
Mm, при конкретном уровне воздействия влаги и при определенной температуре. Для установления зависимости параметра
Dz от температуры проводят несколько испытаний при различных температурах. Для установления зависимости параметра
Mm от уровня воздействия влаги проводят несколько испытаний при различных уровнях воздействия влаги.
Примечание - Для многих композитов с полимерной матрицей диффузионная способность по влаге, как правило, лишь незначительно соотносима с относительной влажностью, и зачастую принимается в виде функции только температуры, за которой обычно следует экспоненциальная зависимость по закону Аррениуса с обратно пропорциональной абсолютной температурой. Для многих таких материалов равновесное содержание влаги лишь незначительно соотносимо с температурой и, как правило, его принимают в виде функции только относительной влажности.
5.5 Для кондиционирования образца, когда под условием окружающей среды понимают наличие пара, к примеру - влажного воздуха, используют испытания на воздействие пара. Погружение в ванну с жидкостью производят для того, чтобы смоделировать воздействие паров только тогда, когда в отношении количественных целей предпочтительными являются "наблюдаемые" абсорбционные свойства. Те свойства, определение которых происходит согласно последнему способу, протоколируют как "наблюдаемые" свойства.
Примечание - Для многих композитов с полимерной матрицей свойства влагопоглощения при влажных атмосферных условиях, как правило, не являются эквивалентными воздействию влаги или же погружению в жидкость, или же при подаче пара под давлением. Последние условия окружающей среды могут иметь различные свойства диффузии материала.
(справочное)
СОПОСТАВЛЕНИЕ СТРУКТУРЫ НАСТОЯЩЕГО СТАНДАРТА СО СТРУКТУРОЙ
ПРИМЕНЕННОГО В НЕМ СТАНДАРТА АСТМ
Таблица ДВ.1
Структура настоящего стандарта | Структура стандарта АСТМ Ц581-03 |
| 1 Область применения |
| 2 Ссылочные документы |
| 3 Значение и применение <**> |
4 Аппаратура и реактивы (4, 5) | 4 Аппаратура |
5 Подготовка к проведению испытаний (6) | 5 Реагенты |
6 Проведение испытания (7) | 6 Образцы для испытаний |
7 Обработка результатов (8, 9) | 7 Процедура |
8 Протокол испытаний (10) | 8 Обработка результатов |
Приложение ДА Оригинальный текст невключенных структурных элементов | 9 Интерпретация результатов |
Приложение ДБ Сопоставление структуры настоящего стандарта со структурой примененного стандарта | 10 Протокол |
Приложение ДВ Сведения о соответствии ссылочных национальных и межгосударственных стандартов международным стандартам, использованным в качестве ссылочных в примененном международном стандарте | 11 Точность и систематическая погрешность <***> |
| |
| | ИС МЕГАНОРМ: примечание. В официальном тексте документа, видимо, допущена опечатка: имеется в виду ГОСТ Р 1.5-2012, а не ГОСТ 1.5-2012. | |
|
<*> Данный раздел включен для приведения в соответствие с ГОСТ 1.5-2012. <**> Данный раздел исключен, так как носит поясняющий характер. <***> Данный раздел исключен, так как носит справочный характер. <****> Данный раздел исключен, ключевые слова приведены в библиографических данных. |
(справочное)
СВЕДЕНИЯ О СООТВЕТСТВИИ ССЫЛОЧНЫХ НАЦИОНАЛЬНЫХ
И МЕЖГОСУДАРСТВЕННЫХ СТАНДАРТОВ МЕЖДУНАРОДНЫМ СТАНДАРТАМ,
ИСПОЛЬЗОВАННЫМ В КАЧЕСТВЕ ССЫЛОЧНЫХ В ПРИМЕНЕННОМ
МЕЖДУНАРОДНОМ СТАНДАРТЕ
Таблица ДБ.1
Обозначение ссылочного национального, межгосударственного стандарта | Степень соответствия | Обозначение и наименование ссылочного международного стандарта |
| NEQ | ASTM D792 Стандартный метод определения плотности и удельного веса (относительной плотности пластиковых масс по объему вытесненной жидкости) |
| NEQ | ASTM D883 "Пластмассы. Термины" |
(ИСО 7111-87) | NEQ | ASTM D2584 Стандартный метод определения потерь при прокаливании отвержденных армированных смол |
| NEQ | ASTM D3878 "Композитные материалы. Термины" |
ГОСТ Р 56682-2015 | MOD | ASTM D3171 Стандартная методика испытаний. Содержание компонентов композитных материалов |
ГОСТ Р 56679-2015 | MOD | ASTM D2734 Стандартная методика испытаний. Содержание пустот в армированных пластмассах |
Примечание - В настоящей таблице использованы следующие условные обозначения степени соответствия стандартов: - MOD - модифицированные стандарты; - NEQ - неэквивалентные стандарты. |
УДК 678.5:006.354 | |
Ключевые слова: кондиционирование; влагопоглощение; десорбция влаги; диффузионная способность влаги; равновесное содержание влаги; композитные материалы с полимерной матрицей |