Главная // Актуальные документы // ГОСТ Р (Государственный стандарт)СПРАВКА
Источник публикации
М.: Стандартинформ, 2016
Примечание к документу
Документ
введен в действие с 1 июля 2016 года.
Название документа
"ГОСТ Р 56440-2015. Национальный стандарт Российской Федерации. Оборудование спортивное универсальное свободного доступа. Требования и методы испытания с учетом безопасности"
(утв. и введен в действие Приказом Росстандарта от 15.06.2015 N 658-ст)
"ГОСТ Р 56440-2015. Национальный стандарт Российской Федерации. Оборудование спортивное универсальное свободного доступа. Требования и методы испытания с учетом безопасности"
(утв. и введен в действие Приказом Росстандарта от 15.06.2015 N 658-ст)
Утвержден и введен в действие
агентства по техническому
регулированию и метрологии
от 15 июня 2015 г. N 658-ст
НАЦИОНАЛЬНЫЙ СТАНДАРТ РОССИЙСКОЙ ФЕДЕРАЦИИ
ОБОРУДОВАНИЕ СПОРТИВНОЕ УНИВЕРСАЛЬНОЕ СВОБОДНОГО ДОСТУПА
ТРЕБОВАНИЯ И МЕТОДЫ ИСПЫТАНИЯ С УЧЕТОМ БЕЗОПАСНОСТИ
Equipment the sports universal free access.
Requirements and test methods taking into account safety
(EN 15312-2:2007+A1:2010, NEQ)
ГОСТ Р 56440-2015
Дата введения
1 июля 2016 года
1 РАЗРАБОТАН Саморегулируемой организацией Некоммерческим партнерством "Отраслевое объединение национальных производителей в сфере физической культуры и спорта "Промспорт" (СРО "Промспорт")
2 ВНЕСЕН Техническим комитетом по стандартизации ТК 444 "Спортивные и туристские изделия, оборудование, инвентарь, физкультурные и спортивные услуги"
3 УТВЕРЖДЕН И ВВЕДЕН В ДЕЙСТВИЕ
Приказом Федерального агентства по техническому регулированию и метрологии от 15 июня 2015 г. N 658-ст
4 Настоящий стандарт разработан с учетом основных нормативных положений европейского регионального стандарта ЕН 15312:2007+А1:2010 "Оборудование спортивное универсальное свободного доступа. Требования и методы испытаний с учетом безопасности" (EN 15312:2007+A1:2010 "Free access multi-sports equipment - Requirements, including safety and test methods", NEQ)
5 ВВЕДЕН ВПЕРВЫЕ
Правила применения настоящего стандарта установлены в ГОСТ Р 1.0-2012 (раздел 8). Информация об изменениях к настоящему стандарту публикуется в ежегодном (по состоянию на 1 января текущего года) информационном указателе "Национальные стандарты", а официальный текст изменений и поправок - в ежемесячном информационном указателе "Национальные стандарты". В случае пересмотра (замены) или отмены настоящего стандарта соответствующее уведомление будет опубликовано в ближайшем выпуске ежемесячного информационного указателя "Национальные стандарты". Соответствующая информация, уведомление и тексты размещаются также в информационной системе общего пользования - на официальном сайте Федерального агентства по техническому регулированию и метрологии в сети Интернет (www.gost.ru)
Настоящий стандарт распространяется на универсальное спортивное оборудование свободного доступа (далее - оборудование), предназначенное для общественного пользования, главным образом детьми старше 3 лет и подростками, совместно или индивидуально.
Стандарт устанавливает требования, в том числе безопасности, и методы испытаний оборудования.
Настоящий стандарт не распространяется на оборудование детских игровых площадок, сооружения свободного доступа для пользователей роликовым спортивным оборудованием, фитнес-маршруты, искусственные конструкции для спортивного лазания, пляжное оборудование, занятую сооружениями территорию или на местные условия окружающей среды и любые сооружения за пределами универсального спортивного оборудования.
Настоящий стандарт не содержит специальных требований для пользователей с ограниченными возможностями, кроме организации путей для подхода и выхода.
В настоящем стандарте использованы нормативные ссылки на следующие стандарты:
ГОСТ 2224-93 Коуши стальные для стальных канатов. Технические условия
ГОСТ 19191-73 Талрепы с автоматическим стопорением. Технические условия
ГОСТ 27751-88 Надежность строительных конструкций и оснований. Основные положения по расчету
ГОСТ Р 52169-2012 Оборудование и покрытия детских игровых площадок. Безопасность конструкции и методы испытаний. Общие требования
Примечание - При пользовании настоящим стандартом целесообразно проверить действие ссылочных стандартов в информационной системе общего пользования - на официальном сайте Федерального агентства по техническому регулированию и метрологии в сети Интернет или по ежегодному информационному указателю "Национальные стандарты", который опубликован по состоянию на 1 января текущего года, и по выпускам ежемесячного информационного указателя "Национальные стандарты" за текущий год. Если заменен ссылочный стандарт, на которой дана недатированная ссылка, то рекомендуется использовать действующую версию этого стандарта с учетом всех внесенных в данную версию изменений. Если заменен ссылочный стандарт, на который дана датированная ссылка, то рекомендуется использовать версию этого стандарта с указанным выше годом утверждения (принятия). Если после утверждения настоящего стандарта в ссылочный стандарт, на который дана датированная ссылка, внесено изменение, затрагивающее положение, на которое дана ссылка, то это положение рекомендуется применять без учета данного изменения. Если ссылочный стандарт отменен без замены, то положение, в котором дана ссылка на него, рекомендуется применять в части, не затрагивающей эту ссылку.
В настоящем стандарте применяют следующие термины с соответствующими определениями:
3.1 универсальное спортивное оборудование свободного доступа: Оборудование, на котором можно заниматься одним или несколькими видами спорта и доступ к которому не контролируют.
3.2 ворота: Проем, отверстие, рама или поверхность установленного размера, являющиеся целью при игре в мяч.
Примечание - Ворота могут быть оснащены сеткой.
3.3 баскетбольное оборудование: Оборудование, состоящее из баскетбольного щита, кольца, несущей фермы и приспособления, обеспечивающего его устойчивость.
Примечание - Ворота могут быть оснащены сеткой.
3.4 ограждение универсального спортивного оборудования: Элемент конструкции оборудования для ограничения перемещения пользователя и/или зоны для игры.
Примечание - Ограждением универсального спортивного оборудования является, например, забор или борт.
3.5 сетка для задержки мячей: Гибкое или жесткое сетчатое или решетчатое ограждение, препятствующее вылету мяча из игровой зоны.
Примечание - Важно учитывать особенности территории, на которую вылетает мяч. Если игровая площадка располагается вблизи улицы, ограждение для улавливания мяча может уменьшить опасность для игрока, возникающую при возвращении мяча с улицы. Равным образом важно, чтобы другие зоны (например, зона игровой площадки, искусственные конструкции для спортивного лазания) были защищены от попадания мяча.
4 Общие требования безопасности
4.1 Материалы
Применяемые материалы выбирают и применяют в соответствии с требованиями соответствующих стандартов.
Примечание - Особое внимание должно быть уделено выбору материалов для оборудования, которое будет эксплуатироваться в экстремальных климатических условиях.
Применяемые материалы:
- должны обеспечивать прочность и устойчивость оборудования с учетом климатических и погодных условий;
- не должны вызывать термических ожогов при контакте с кожей пользователя в климатических зонах с очень высокими или очень низкими температурами;
- должны утилизироваться без токсического риска для окружающей среды.
4.2 Прочность и устойчивость оборудования
4.2.1 Конструктивную прочность оборудования, включая устойчивость, оценивают посредством:
- комбинации расчетов и испытаний.
4.2.2 При выполнении расчетов по
приложению Б предельные состояния конструкции не должны быть превышены при сочетании нагрузок, указанных в
Б.2 (см. приложение Б).
4.2.3 При испытаниях по
приложению В в конструкции оборудования не должно возникать трещин, повреждений или чрезмерных остаточных деформаций.
4.2.4 Конструкции оборудования, которые нельзя проверить путем расчетов или испытаний, должны иметь несущую способность, достаточную для обеспечения восприятия действующих нагрузок.
4.2.5 Несущую способность однотипного оборудования проверяют для наиболее неблагоприятных сочетаний и мест приложения нагрузок.
4.2.6 При испытаниях конструкций оборудования по
приложению В подтверждают способность каждой конструкции воспринимать как постоянные, так и временные нагрузки, действующие на оборудование и его отдельные части.
4.2.7 Аварийные воздействия и вызванные ими нагрузки на оборудование, такие как пожар, землетрясение, столкновения транспортных средств, при расчетах и испытаниях не рассматривают.
4.2.8 Оборудование на усталость не проверяют.
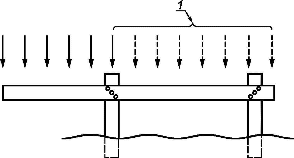
4.2.9 Проверяемые расчетами или испытуемые элементы конструкций должны воспринимать наиболее неблагоприятное сочетание прикладываемых нагрузок. Для этого необходимо рассматривать случаи, когда часть нагрузки, вызывающей благоприятное воздействие, удаляется согласно рисунку 1.
1 - удаляемая часть нагрузки
Рисунок 1 - Удаление части нагрузки
4.3 Свойства оборудования
Оборудование должно быть изготовлено из нерасщепляющейся древесины, не должно иметь на поверхности дефектов обработки (например, заусенцев, задиров, отщепов, сколов и т.п.).
Поверхности оборудования из других материалов (например, из стекловолокна) не должны иметь сколов.
Шероховатые поверхности, способные нанести травму, не допускаются.
В пределах любой досягаемой части оборудования не допускается наличие выступающих элементов (проволока, концы тросов или детали с острыми концами и кромками).
Открытые углы, кромки и края, а также выступающие более 8 мм элементы конструкции любой доступной части оборудования, расстояние от которых до конца выступающей части составляет не более 25 мм, должны быть скруглены.
Радиус закругления - не менее 3 мм.
Сварные швы должны быть гладкими.
Выступающие концы болтов в пределах любой доступной части оборудования должны быть постоянно закрыты.
Примеры защиты болтовых соединений приведены на рисунке 2.
Рисунок 2 - Защита болтовых соединений
4.4 Предотвращение застреваний
4.4.1 Подвижные и/или неподвижные элементы оборудования не должны:
- образовывать сдавливающих или режущих поверхностей;
- создавать возможность застреваний тела, частей тела или одежды ребенка (см. 4.4.2).
4.4.2 Предотвращение застревания головы и шеи
4.4.2.1 Не допускается застревания головы или шеи ребенка при движении головой вперед или при движении ногами вперед:
- в полностью замкнутых отверстиях, в которые может попасть пользователь головой или ногами вперед;
- частично замкнутых отверстиях и V-образных зазорах или щелях;
- в других отверстиях, подвижных отверстиях, зазорах и щелях.
4.4.2.2 Проверка полностью замкнутых отверстий
Доступные полностью замкнутые отверстия, нижняя кромка которых расположена на высоте более чем 600 мм над землей, следует проверять в соответствии с
Г.3.1 (см. приложение Г).
Малые тестовые образцы N 1 и N 2 не должны проходить через тестируемое отверстие, кроме тех случаев, когда через отверстие также проходит большой тестовый образец головы N 3.
Нежесткие части (например, тросы) не должны образовывать отверстия, которые не соответствуют вышеуказанному требованию.
4.4.2.3 Частично замкнутые и V-образные отверстия
| | ИС МЕГАНОРМ: примечание. В официальном тексте документа, видимо, допущена опечатка: рисунок Г.6 а отсутствует. Возможно, имеется в виду рисунок Г.6. | |
Частично замкнутые и
V-образные отверстия с входом на высоте не менее 600 мм над землей должны быть сконструированы таким образом, чтобы отверстие не было доступно при испытаниях согласно
пункту Г.3.2. Если отверстие доступно при испытаниях согласно
пункту Г.3.2 при положении на высоте не менее 600 мм над землей, оно должно соответствовать в зависимости от угловой ориентации зоны отверстия (см.
рисунок Г.6 а) следующему:
- зона 1: (центральная линия тестового образца с отклонением +45° от вертикали) голова тестового образца касается дна отверстия, и глубина отверстия меньше, чем длина тестового образца до нижней поверхности участка плеча;
- зона 2: (центральная линия тестового шаблона с отклонением +45° от горизонтали) если верхний конец тестового шаблона касается дна отверстия, глубина отверстия должна быть меньше, чем часть "А" тестового шаблона. Если глубина отверстия больше, чем часть "А" тестового шаблона, через отверстие также должны проходить все части выше части "А", включая участок плеча тестового шаблона, или тестовый образец N 3;
- зона 3: требования по проверке с использованием тестового образца отсутствуют.
4.4.2.4 Предотвращение застревания пальцев
Оборудование должно исключать застревания пальцев:
- в зазорах, когда тело пользователя находится в движении;
- трубах с открытыми концами;
- переменных зазорах (за исключением цепей).
Отверстия, нижняя кромка которых расположена на высоте более 1000 мм над игровой поверхностью, должны соответствовать при испытаниях согласно
Г.2 (см. приложение Г) следующим требованиям:
- круглый стержень диаметром 8 мм, приведенный на
рисунке Г.1 (см. приложение Г), не должен проходить через минимальное поперечное сечения отверстие, и профиль отверстия должен быть таким, чтобы круглый стержень не мог застрять ни в каком положении, если он находится в движении, как показано в
Г.2.2 (см. приложение Г); или
- если круглый стержень диаметром 8 мм проходит через отверстие, должен проходить также круглый стержень диаметром 25 мм, приведенный на
рисунке Г.2 (см. приложение Г), при условии, что отверстие не делает возможным доступ к другим местам застревания пальца.
Концы труб должны быть закрыты, чтобы предотвратить опасность застревания пальцев.
Крышки оборудования не должны сниматься без использования инструмента.
Зазоры, размеры которых изменяются во время использования оборудования, должны иметь размер не менее 18 мм в любом положении.
4.5 Защита от травм при движении
Пространство внутри оборудования, на оборудовании или вокруг оборудования, которое может быть занято пользователем, не должно иметь препятствий, неожиданных для пользователя, из-за которых он может получить травму, если ударяется о них (см. рисунок 3).
Рисунок 3 - Примеры неожиданных препятствий
Примеры ожидаемых препятствий, например нерегулярно расположенные штанги (которые могут быть удалены, для того чтобы доступ на площадку стал возможным для инвалидных колясок), исключены из этого требования (см. рисунок 4).
1 - штанга против велосипедов; 2 - ограждение
универсального спортивного оборудования
Рисунок 4 - Примеры ожидаемых препятствий
4.6 Соединения элементов конструкции
Соединения элементов конструкции должны быть защищены таким образом, чтобы они не могли самостоятельно разъединиться, если только они специально не выполнены с такой целью.
Соединения должны быть защищены таким образом, чтобы их невозможно было разъединить без использования инструмента.
4.7 Изнашивающиеся детали конструкции
Изнашивающиеся детали конструкции или такие детали, замена которых предусмотрена в течение срока службы оборудования, например подшипники, должны быть съемными.
Съемные детали должны быть защищены от несанкционированного доступа и не требовать ухода.
Выступающие смазочные материалы не должны загрязнять оборудование или оказывать влияние на его безопасное использование.
4.8 Стальные тросы
4.8.1 Стальные тросы должны соответствовать следующим требованиям:
- быть изготовлены из оцинкованной или коррозийно-стойкой проволоки;
- концы стального каната в опрессованных петлях должны совпадать с краем опрессовки;
- концы стального каната в петлях с зажимами, концы резьбы зажимов должны иметь травмобезопасную защиту;
- талреп каната должен быть изготовлен из коррозионно-стойкого материала, иметь опрессованные петли или петли с коушем и зажимами, талреп не должен допускать возможность демонтажа без применения инструмента.
4.8.2 Доступные зажимы троса, из которых концы резьбы выступают более чем на 8 мм, могут применять только за пределами игровой зоны или должны быть закрыты подходящими средствами.
4.8.3 Коуши должны соответствовать требованиям
ГОСТ 2224, а талрепы - ГОСТ 19191.
4.8.4 Петля с опрессовкой, талреп и петля с коушем и зажимами приведены на рисунке 5.
1 - петля с опрессовкой; 2 - талреп;
3 - петля с коушем и зажимами
Рисунок 5 - Опрессованная петля,
талреп, петля с коушем и зажимами
4.9 Цепи
Цепи должны иметь в любом направлении отверстие не более 8,6 мм, кроме тех мест соединения, в которых отверстие должно быть более 18 мм или менее 8,6 мм.
4.10 Фундаменты
Фундаменты должны быть сконструированы таким образом, чтобы из-за них не возникало никакой опасности (возможности споткнуться, удариться). Должно быть гарантировано, что фундаменты не будут открыты для воздействия эрозии.
Фундаменты сооружают в соответствии с требованиями
[1].
4.11 Доступность
Каждая часть оборудования, которая легко доступна пользователю на поверхности, расположенной на высоте более 1000 мм, считается игровой конструкцией и должна соответствовать требованиям, установленным в
4.3.22,
4.3.23,
4.3.23.11,
4.3.25,
4.3.26,
4.3.27 ГОСТ Р 52169.
Если к спортивной площадке примыкает поднятая над поверхностью грунта трибуна или площадка для зрителей, в пределах зоны спортивной площадки не требуется амортизирующее покрытие, если спортивная площадка отделена от трибуны или площадки для зрителей ограждением высотой не менее 2000 мм.
Амортизирующее покрытие устраивают с других сторон трибуны или площадки для зрителей.
Примечание - Ограждение препятствует доступу пользователей к зоне спортивной площадки.
4.12 Съемные элементы
Если оборудование содержит элементы, которые могут быть сняты (например, стойки, сменные части оборудования), все полости и отверстия, которые остаются в поверхности, должны быть закрыты соответствующим способом - так, чтобы была обеспечена непрерывность игровой поверхности.
5 Требования безопасности для отдельных категорий оборудования
5.1 Общие требования безопасности
Оборудование должно соответствовать общим требованиям
раздела 4, если они не изменены в данном разделе.
5.2 Баскетбольное оборудование
5.2.1 Классификация баскетбольного оборудования
Баскетбольное оборудование классифицируют по типам и классам.
5.2.1.1 Классификация баскетбольного оборудования по типам приведена в таблице 1.
Таблица 1
Классификация баскетбольного оборудования по типам
Тип | Рисунок | Описание оборудования |
1 | | Баскетбольное оборудование, неподвижно закрепленное на вертикальной поверхности |
2 | | Подвижное оборудование с установочными гильзами |
3 | | Оборудование, жестко смонтированное на поверхности площадки |
4 | | Баскетбольное оборудование, комбинированное с другим оборудованием |
5.2.1.2 Классификация баскетбольного оборудования по классам приведена в таблице 2.
Таблица 2
Классификация баскетбольного оборудования по классам
Класс | Ширина свободного пространства под щитом l, мм |
A | Не менее 3250 |
B | Не менее 2250 |
C | Не менее 1650 |
D | Не менее 1200 |
E | 600 - 1200 |
5.2.2 Требования безопасности
5.2.2.1 Конструкция оборудования должна отвечать общим требованиям безопасности настоящего стандарта.
5.2.2.2 Примеры свободного пространства для простого и комбинированного оборудования представлены на рисунке 6.
1 - ворота
Рисунок 6 - Пример свободного пространства
для простого и комбинированного оборудования
5.2.2.3 Высота установки корзины представлена на
рисунке 7 и в таблице 3.
Таблица 3
Высота установки корзины для баскетбольного
оборудования классов A - D
Тип баскетбольного оборудования | Номинальный размер, мм | h1, мм, +/- 6 | h2, мм, +/- 6 |
1 - 3 | 3050 | 3050 | 3050 (2750) <*> |
<*> При высоте баскетбольного щита 1200 мм. |
5.2.2.4 Размеры баскетбольного щита и маркировки приведены в
таблице 4 и на рисунке 8.
Рекомендуемые размеры баскетбольного щита и размеры маркировки приведены на рисунке 8 и в
таблице 4.
Рисунок 7 - Высота установки корзины
для баскетбольного оборудования классов A - D
Примечание - Верхняя сторона кольца находится на уровне верхней краевой линии малого квадрата.
Рисунок 8 - Рекомендуемые размеры
баскетбольного щита и размеры маркировки
Таблица 4
Рекомендуемые размеры баскетбольного щита и маркировки
Размеры щита | Размеры маркировки |
l1, мм | h1, мм | l2, мм | h2, мм | h3, мм | h4, мм | l3, мм |
1800+30 | 1050+20 | 590+20 | 450+8 | 150-2 | 50 |
Все другие | - |
5.2.2.5 Размеры баскетбольного кольца приведены на рисунке 9.
1 - пластина крепления кольца
Рисунок 9 - Размеры баскетбольного кольца
5.2.2.6 Применяемые материалы и окраска
Баскетбольный щит изготавливают из следующих материалов:
- синтетический или смешанный материал;
- фанера, устойчивая к атмосферным воздействиям;
- металл.
5.2.2.7 Кольцо и баскетбольный щит должны быть окрашены в контрастные цвета.
5.2.2.8 Рекомендуемые цвета для баскетбольных щитов приведены в таблице 5.
Таблица 5
Рекомендуемые цвета для баскетбольных щитов
Материал щита | Передняя сторона щита | Маркировка щита |
Синтетический или смешанный материал | Белый цвет | Черный цвет |
Прозрачный синтетический материал | Не окрашено | Белый цвет |
Металл | Белый цвет | Черный цвет |
5.2.2.9 Кольцо должно быть закреплено на ферме таким образом, чтобы никакое усилие, которое передается от кольца, не воздействовало непосредственно на баскетбольный щит.
5.2.2.10 Пластина для крепления кольца должна быть сконструирована таким образом, чтобы она не выступала за нижний край баскетбольного щита.
5.2.2.11 Кольца с амортизаторами должны соответствовать следующим требованиям:
- между скобой и кольцом не должно быть зазоров, которые могут стать местами, в которых возможно застревание;
- механизм амортизации должен срабатывать только тогда, когда статическая нагрузка 1050 Н прикладывается к верхней стороне кольца в самой удаленной от баскетбольного щита точке;
- при срабатывании механизма амортизации не должно появляться никаких зазоров размерами более 8 мм между корпусом механизма амортизации и приспособлением для крепления;
- при срабатывании механизма амортизации кольцо не должно отклоняться вниз от исходного горизонтального положения более чем на 30°.
5.2.2.12 Крепление сетки к кольцу должно быть выполнено таким образом, чтобы палец игрока не мог застрять. Зазоры должны быть не более 8 мм.
5.2.2.13 При использовании цепей зазоры должны быть не более 8,6 мм.
5.2.2.14 Испытания кольца с амортизатором
При визуальном осмотре кольца должно быть установлено, что кольцо закреплено на ферме таким образом, чтобы никакое усилие, которое передается от кольца, не воздействовало непосредственно на баскетбольный щит в соответствии с
Д.3 (см. приложение Д).
При испытаниях одной нагрузкой после прекращения действия нагрузки кольцо должно автоматически и немедленно возвращаться в исходное положение в соответствии с
Д.2.1.1 (см. приложение Д).
5.2.2.15 При испытаниях двумя нагрузками после прекращения действия нагрузок кольцо не должно разрушаться и иметь остаточную деформацию более 10 мм в соответствии с
Д.2.1.2 (см. приложение Д).
5.2.2.16 При испытаниях жестко закрепленного кольца по
Д.3 (см. приложение Д) кольцо не должно разрушаться и иметь остаточную деформацию более 10 мм.
5.2.2.17 При испытаниях на прочность по
Д.4 (см. приложение Д):
- с усилием 900 Н после снятия испытательного усилия остаточное горизонтальное отклонение готовой к эксплуатации фермы от нулевого положения должно составлять не более 10 мм;
- с усилием 1000 Н после снятия испытательного усилия остаточное горизонтальное отклонение готовой к эксплуатации фермы от нулевого положения должно составлять не более 10 мм.
5.2.2.18 При испытаниях на устойчивость по
Д.5 (см. приложение Д) с усилием F
2 после снятия испытательного усилия остаточное вертикальное отклонение готовой к эксплуатации фермы от нулевого положения должно составлять не более 10 мм.
5.3 Ворота
5.3.1 Ворота устанавливают отдельно или в комбинации с другим оборудованием, например с баскетбольным щитом (см.
рисунок 10).
5.3.2 Устойчивость и прочность конструкции
Перекладины ворот должны соответствовать требованиям
4.2.
Горизонтальная нагрузка от пользователя должна соответствовать
А.2.2.4.
5.4 Сетки и элементы крепления сеток
5.4.1 Сетки
Если ворота или другие элементы высотой до 3 м оснащены сеткой, то, чтобы пользователь не смог залезть на сетку:
- размер квадратных ячеек сетки по горизонтали не должен превышать 50 мм;
- размер ромбических ячеек сетки не должен превышать 100 мм, если измерять расстояние между центральными точками ячеек;
- сетки с другими типами ячеек должны соответствовать требованиям
пункта 4.4.2 при испытании на основе тестовых образцов 1 и 2
приложения Г.
Верхняя зона сетки должна иметь такую форму, чтобы пользователи не могли садиться в этой зоне.
Сетки должны соответствовать следующим требованиям по нагрузке:
- максимальная растягивающая нагрузка на ячейки сетки - не менее 1080 Н;
- максимальная растягивающая нагрузка на шнур натяжения сетки - не менее 7000 Н.
5.4.2 Элементы крепления сетки
Элементы крепления сетки должны быть разработаны таким образом, чтобы исключить травмы игроков.
Примечание - Требование выполняется, если, например, внешние отверстия или зазоры (то есть отверстия или зазоры, расположенные на окружности профиля штанг и перекладины ворот) имеют размер не более 8 мм или не менее 25 мм.
Элементы крепления сетки не должны выступать в пространство, занимаемое пользователем во время игры или при получении доступа к оборудованию.
Для крепления сетки не должны использовать открытые крючки из металла.
Если в качестве элементов крепления сетки или для присоединения троса используют карабинные крюки, допускаются только такие, которые оснащены колпачковыми гайками.
5.5 Ограждение универсального спортивного оборудования и сетка для задержки мячей
5.5.1 Ограждение спортивной площадки
5.5.1.1 Общие положения
Ограждение должно иметь высоту не менее 900 мм.
При высоте более 1 м ограждение должно иметь такую форму, чтобы пользователь не мог на него сесть либо встать или если ограждение оснащено заполняющими элементами, чтобы он не мог залезть на ограждение.
5.5.1.2 Ударная стойкость ограждения
5.5.1.2.1 Стойкость к многократным ударам футбольного мяча
Ограждение подвергается многократным прямым сильным ударам футбольного мяча вблизи ворот и многократным касательным сильным ударам по бокам футбольного поля.
Ограждение не должно иметь трещин, поломок или остаточных деформаций величиной более 1,5% от минимального размера рамы ограждения (длина и высота) после испытаний по
Е.1 (см. приложение Е).
Примечание - Требование действительно по всей ширине до высоты ограждения 2000 мм или до его полной высоты, если высота ограждения меньше, чем 2000 мм.
Рекомендуется, чтобы ограждение высотой до 3000 мм (или по всей высоте ограждения, если оно составляет меньше чем 3000 мм) выдерживало многократные удары мячом.
5.5.1.2.2 Ударная стойкость ограждения к ударам игроков ногами
Ограждение должно выдерживать очень сильные удары игроков ногами, которые сильнее, чем удары мячом.
Ограждение не должно иметь трещин, поломок при испытаниях по
Е.2 (см. приложение Е).
Примечание - Требование действительно по всей ширине до высоты ограждения 1000 мм или до полной высоты ограждения, если его высота составляет меньше чем 1000 мм.
5.5.1.3 Доступ и выход спортивной площадки
Полностью замкнутое ограждение спортивной площадки должно иметь как минимум один проем шириной не менее 900 мм.
Он может быть размещен за воротами.
Примечание - Если для доступа требуется изменение направления движения при входе и выходе, то необходимо обеспечить, чтобы инвалидная коляска могла беспрепятственно повернуться или развернуться.
5.5.2 Сетка для задержки мячей
Если с ограждением комбинируется жесткая сетка или решетка для задержки мячей, требования
4.2 должны соблюдаться до высоты 1,5 м.
Если сетка для задержки мячей является упругой и комбинируется с ограждением, требования
4.2 должны соблюдаться только для ограждения и для элементов крепления сетки до высоты 1,5 м.
Для жестких сеток или решеток для задержки мячей, на которые нельзя залезть, при расчете конструктивной прочности согласно требованию
4.2 следует учитывать только собственный вес и ветровую нагрузку.
5.6 Многофункциональные игровые сетки и стойки
На спортивных площадках могут применяться многофункциональные игровые сетки и стойки (например, для тенниса, волейбола).
5.7 Столы для настольного тенниса
5.7.1 Конструкция стола для настольного тенниса должна отвечать общим требованиям безопасности, приведенным в
разделе 4.
5.7.2 Столы для настольного тенниса должны быть прочно закреплены в земле, или их смещение должно предотвращаться собственным весом либо анкерным креплением.
5.7.3 При испытаниях на устойчивость по
приложению Ж стол должен выдерживать без смещения или опрокидывания горизонтальную распределенную нагрузку 1,5 кН/м, прикладываемую к самой высокой части конструкции (исключая сетку) как в направлении длины, так и ширины стола.
6 Методы испытаний оборудования
6.1 Требования безопасности в соответствии с
разделами 4 и
5 проверяют органолептическими или инструментальными методами.
6.6 Испытания баскетбольного оборудования - по
приложению Д.
6.7 Испытания ограждений площадок на ударную прочность - по
приложению Е.
6.8 Испытания столов для настольного тенниса - по
приложению Ж.
6.9 По результатам испытаний оформляют отчет или протокол.
7 Указания для пользователей
На видном месте должна быть четко нанесена следующая информация:
- "Оборудование не предназначено для детей в возрасте младше 3 лет";
- "Запрещается влезать на ферму или сетку" (при наличии);
- "Запрещается висеть на кольце" (при наличии);
- "Запрещается пользоваться оборудованием при наличии украшений, колец на пальцах и т.п., так как они могут стать причиной травмы";
- ФИО и контактные данные персонала по техническому обслуживанию;
- телефонный номер экстренного вызова при несчастном случае.
На оборудование должна быть нанесена четкая маркировка, устойчивая к истиранию. Маркировка должна содержать:
- наименование и адрес изготовителя;
- обозначение и год изготовления оборудования;
- обозначение и наименование настоящего стандарта.
(обязательное)
Нормативные нагрузки на конструкции оборудования применяют при расчетах и испытаниях оборудования.
А.1.1 К постоянным нагрузкам относят:
- массу конструкции в сборе;
- усилия в предварительно напряженных элементах;
- объем воды, если в состав оборудования включены водные резервуары.
А.1.2 Масса конструкции в сборе
Массу конструкции в сборе определяют на основании конструкторской документации.
А.1.3 Нагрузки в предварительно напряженных элементах
При расчете нагрузок в предварительно напряженных элементах рассматривают их максимальные и минимальные значения.
А.1.4 Нагрузки от воды
При расчетах нагрузок от воды учитывают возможные верхний и нижний уровни воды в резервуаре.
А.2 Временные нагрузки
А.2.1 К временным нагрузкам относят:
- нагрузки от пользователей;
- нагрузки от снега;
- нагрузки от ветра;
- температурные нагрузки;
- особые нагрузки (характерные для определенного типа оборудования).
А.2.2 Нагрузки от пользователей
А.2.2.1 Масса пользователей
Общую массу пользователей Gn, кг, вычисляют по формуле

(А.1)
где
n - число пользователей на оборудовании по
А.3;
m - средняя масса пользователя в рассматриваемой возрастной группе, кг;

- среднеквадратическое отклонение массы пользователей в рассматриваемой возрастной группе, кг.
А.2.2.2 Коэффициент динамичности
При расчетах нагрузок используют коэффициент динамичности Cdyn, учитывающий дополнительную нагрузку, вызванную перемещением пользователей (бег, игра и т.д.).
Коэффициент динамичности Cdyn вычисляют по формуле

(А.2)
А.2.2.3 Общая вертикальная нагрузка от пользователей
Вертикальную нагрузку от пользователей Ftot,v, Н, определяют по формуле
Ftot,v = gGnCdyn, (А.3)
где g - ускорение свободного падения (~= 10 м·с-2);
Gn - общая масса пользователей;
Cdyn - коэффициент динамичности.
Общие вертикальные нагрузки от пользователей для игровых и физкультурно-оздоровительных площадок, предназначенных для пользователей всех возрастов, приведены в таблице А.1.
Таблица А.1
Общие вертикальные нагрузки от пользователей
Число пользователей n | Общая масса пользователей Gn, кг | Коэффициент динамичности Cdyn | Общая вертикальная нагрузка от пользователей Ftot,v, Н | Вертикальная нагрузка от одного пользователя F1,v, Н |
1 | 69,5 | 2,00 | 1391 | 1391 |
2 | 130,0 | 1,50 | 1948 | 974 |
3 | 189,0 | 1,33 | 2516 | 839 |
5 | 304,0 | 1,20 | 3648 | 730 |
10 | 588,0 | 1,10 | 6468 | 647 |
15 | 868,0 | 1,07 | 9259 | 617 |
20 | 1146,0 | 1,05 | 12033 | 602 |
25 | 1424,0 | 1,04 | 14810 | 592 |
30 | 1700,0 | 1,3 | 17567 | 586 |
40 | 2252,0 | 1,025 | 23083 | 577 |
50 | 2801,0 | 1,02 | 28570 | 571 |
60 | 3350,0 | 1,017 | 34058 | 568 |
| - | 1,00 | - | 538 <*> |
<*> При  вертикальная нагрузка от одного пользователя равна средней массе. |
А.2.2.4 Общая горизонтальная нагрузка от пользователей
Общую горизонтальную нагрузку от пользователей Ftot,h определяют по формуле
Ftot,h = 0,1Ftot,v, (А.4)
где Ftot,v - вертикальная нагрузка от пользователей.
Примечание - Эта нагрузка учитывает движение игроков и случайное наклонное положение оборудования.
А.2.2.5 Распределенные нагрузки от пользователей
Принимается, что нагрузка от пользователей распределена равномерно по элементу конструкции.
Точечные сосредоточенные нагрузки
Точечную сосредоточенную нагрузку F, Н, вычисляют по формуле
F = Ftot, (А.5)
где F - сосредоточенная нагрузка, действующая на площадке размерами 0,1 x 0,1 м2.
Линейные нагрузки
Линейные нагрузки q, Н/м, вычисляют по формуле

(А.6)
где L - длина элемента, м.
Плоскостные нагрузки
Нагрузки на площадку p, Н/м2, вычисляют по формуле

(А.7)
где A - площадь, м2.
Объемные нагрузки
Объемные нагрузки вычисляют как линейные нагрузки по
формуле (А.6) или как плоскостные нагрузки по
формуле (А.7) в зависимости от вида детали, которая образует объемную конструкцию.
А.2.3 Нагрузки от снега, ветра, а также температурные и климатические воздействия рассчитывают по
[2].
А.2.4 Нагрузки на сиденья
Нагрузку от пользователей на одно сиденье оценивают следующим образом:
- для одного пользователя рассматривают как сосредоточенную нагрузку (см.
А.3.1);
- более одного пользователя рассматривают как равномерно распределенную нагрузку (см.
А.3.2).
А.3 Число пользователей, размещающихся на оборудовании
А.3.1 Число пользователей, размещающихся на оборудовании, рассчитывают для каждого элемента конструкции.
Полученный результат округляют в большую сторону до целого.
А.3.2 Число пользователей, размещающихся на ограниченной поверхности (в одной точке)
Число пользователей n, размещающихся на ограниченной поверхности, равно единице (n = 1).
Любой элемент оборудования, предназначенный для ходьбы, подъема или для стоящих пользователей, шириной более 0,1 м, с углом наклона менее 30°, должен выдерживать нагрузку от одного пользователя.
Это положение действительно также для перекладин, поручней и ступеней.
А.3.3 Число пользователей, размещающихся на элементе линейного типа
Число пользователей n, размещающихся на элементе линейного типа, вычисляют по формулам:
- для линейных элементов с углом наклона до 60°

(А.8)
где Lpr - длина проекции линейного элемента на горизонтальную плоскость, м;
- для линейных элементов с углом наклона более 60°

(А.9)
где L - длина линейного элемента, м.
К элементам линейного типа относят, например, ступени лестниц, перекладины стремянок, шесты, канаты и т.п.
А.3.4 Число пользователей, размещающихся на площадке
Число пользователей n, размещаемых на площадке, вычисляют по формулам:
- для площадки с углом наклона не более 60°

(А.10)
где Аpr - площадь проекции площадки на горизонтальную плоскость, м2;
- для площадки с углом наклона более 60°

(А.11)
где A - площадь, м2.
К площадкам относят платформы, решетчатые платформы, трапы и сетки.
Ширина площадки должна быть более 0,6 м.
Площадку шириной не более 0,6 м рассматривают как элемент линейного типа.
Для оборудования с поверхностями на двух противоположных сторонах (например, сетка, решетка и т.п.) число пользователей n, размещающихся на игровой поверхности оборудования, рассчитывают только для одной стороны.
(обязательное)
РАСЧЕТЫ НЕСУЩЕЙ СПОСОБНОСТИ
Б.1 Общие положения
Б.1.1 Каждую конструкцию и элемент конструкции оборудования (соединения, фундаменты, опоры) рассчитывают с учетом сочетания нагрузок согласно
Б.4.
Б.1.2 Расчет должен быть основан на общих принципах и определениях метода предельных состояний согласно
ГОСТ 27751.
Б.1.3 Расчет следует проводить согласно
[3] и
[4], а также другими методами при условии обеспечения уровня безопасности оборудования не ниже, чем при использовании метода предельных состояний.
Б.1.4 В общем виде расчет по предельным состояниям описывают зависимостью

(Б.1)
где

- коэффициент надежности по нагрузке;

- коэффициент надежности по материалу;
S - силовое воздействие от нормативных нагрузок;
R - расчетное сопротивление конструкции.
Б.2 Первое предельное состояние
Оборудование детских спортивных площадок рассчитывают по первому предельному состоянию, которое характеризуется разрушением, потерей устойчивости формы (необратимыми чрезмерными деформациями), потерей устойчивости положения (опрокидыванием, смещением).
Б.3 Второе предельное состояние
Второе предельное состояние, характеризующееся потерей эксплуатационной надежности из-за деформаций (прогибов, перемещений элементов конструкций), при расчете оборудования детских игровых площадок не рассматривают.
Б.4 Сочетания нагрузок для статических расчетов
Б.4.1 При расчетах применяют следующее сочетание нагрузок:

(Б.2)
где
G - постоянная нагрузка в соответствии с
А.1 (см. приложение А);
Qi - одна из временных нагрузок, определенных в
А.2.2 -
А.2.4 (см. приложение А);

- коэффициент надежности по постоянной нагрузке;

- коэффициент надежности по временной нагрузке.
Б.4.2 При расчетах применяют значения коэффициентов, приведенные в таблице Б.1.
Таблица Б.1
Наименование показателя | Благоприятные условия | Неблагоприятные условия |
Коэффициент надежности по постоянной нагрузке  | 1,00 | 1,35 |
Коэффициент надежности по временной нагрузке  |
Б.4.3 При испытаниях учтено сочетание взаимосвязанных нагрузок, действующих в различных направлениях, таких как вертикальные и горизонтальные нагрузки от пользователей.
Б.4.4 При испытаниях не учитывают сочетание независимых временных нагрузок (например, от ветра и от пользователей).
Б.5 Пример расчета нагрузки от пользователей для ограждения (без учета коэффициента надежности)
Для ограждения линейного элемента исследуют два варианта нагрузки: нагрузка от пользователя и нагрузка от ограждения.
Количество пользователей
n для одного ограждения рассчитывают по
формуле (А.8) (см. приложение А):
Округляем до n = 2.
Общая вертикальная нагрузка
Ftot,v по
таблице А.1 составляет
Ftot,v = 1948 Н.
Вертикальная рассредоточенная нагрузка на ограждение составляет
Горизонтальная нагрузка на ограждение составляет
qn = 0,1qv = 195 Н/м.
Горизонтальную нагрузку, действующую на верхнюю часть ограждений, принимают равной 750 Н/м.
Действующую нагрузку 195 Н/м не учитывают.
(обязательное)
НАТУРНЫЕ ИСПЫТАНИЯ НЕСУЩЕЙ СПОСОБНОСТИ
В.1 Испытания
В.1.1 Испытуемый объект (оборудование) должен(но) выдерживать приложенную испытательную нагрузку в соответствии с
Б.2 в течение 5 мин.
В.1.2 После испытаний на испытуемом объекте не должно быть повреждений, в том числе трещин, поломок, чрезмерных остаточных деформаций, ослабления соединений и связей.
В.1.3 Остаточные деформации считают недопустимыми, если они приводят к нарушению любого требования настоящего стандарта.
В.2 Испытательные нагрузки
В.2.1 Сочетания нагрузок
При испытаниях несущей способности применяют следующие сочетания нагрузок:

(В.1)
где
G - постоянная нормативная нагрузка по
А.1 (см. приложение А);
Qi - одна из временных нормативных нагрузок по
А.2.2,
А.2.3 (см. приложение А);

- коэффициент надежности по постоянной нагрузке, используемой при испытаниях.
Примечание -

во всех случаях;

- коэффициент надежности по временной нагрузке по
В.2.2 (см. приложение В).
Постоянные нагрузки, действующие в течение всего процесса испытаний, как правило, малы по сравнению с временными нагрузками и применять повышенные коэффициенты надежности по постоянной нагрузке

нет необходимости.
Допускается не учитывать одновременное действие независимых временных нагрузок, например нагрузки от ветра и нагрузки от пользователей.
Необходимо учитывать взаимосвязанные нагрузки, действующие в различных направлениях, например вертикальные и горизонтальные нагрузки от пользователей.
В.2.2 Коэффициенты надежности по временным нагрузкам

приведены в таблице В.1.
Таблица В.1
Коэффициенты надежности по временным нагрузкам

Наименование показателя | Испытание серийных изделий | Испытание уникальных изделий <*> |
Нормальные условия эксплуатации | Неблагоприятные условия эксплуатации | Нормальные условия эксплуатации | Неблагоприятные условия эксплуатации |
Коэффициент надежности по временным нагрузкам  | 1,0 | 2,0 | 1,0 | 1,35 |
<*> Также при необходимости испытания каждой конструкции. |
В.3 Условия приложения нагрузок
В.3.1 Сосредоточенные нагрузки
Размеры области приложения сосредоточенных нагрузок:
- длина области нагружения линейного элемента, м, L <= 0,1;
- площадь области нагружения поверхности, м2, A <= 0,1·0,1.
При моделировании нагрузки, создаваемой одним пользователем, нагрузку следует прикладывать на длине не более 0,1 м.
В.3.2 Распределенные нагрузки на линейных элементах
Распределенные нагрузки на линейных элементах могут быть представлены как равномерно распределенные сосредоточенные нагрузки, прикладываемые к конструкции на расстоянии не более 0,6 м друг от друга.
Длина элемента, нагружаемая сосредоточенными нагрузками, может составлять до 0,6 м.
В.3.3 Нагрузки, распределенные по поверхности
Нагрузки, распределенные по поверхности, могут быть представлены сосредоточенными нагрузками, равномерно распределенными по поверхности в виде сетки размерами ячеек не более 0,6 x 0,6 м.
Площадь, на которой прикладывают точечные нагрузки, должна составлять менее 0,6 x 0,6 м2.
(обязательное)
Г.1 Допустимые отклонения размеров щупов
Допустимые отклонения размеров щупов:
+/- 1 мм - линейных;
+/- 1° - угловых.
Г.2 Испытания на застревание пальцев
Г.2.1 Аппаратура
Стержни-пальцы, применяемые при испытаниях, - в соответствии с рисунками Г.1 и
Г.2.
R - радиус сферы
Рисунок Г.1 - Стержень-палец А (малый)
R - радиус сферы
Рисунок Г.2 - Стержень-палец Б (большой)
Г.2.2 Проведение испытаний
Прикладывают стержень-палец А (малый) к отверстию в испытуемом оборудовании и, если стержень не проходит в отверстие, вращают его, не прилагая усилия, по конической образующей в соответствии с рисунком Г.3.
Рисунок Г.3 - Схема вращения стержня-пальца
Если стержень-палец А проходит в отверстие в испытуемом оборудовании, то используют стержень-палец Б (большой), вращая его, не прилагая усилий, по конической образующей в соответствии с
рисунком Г.3, стержень-палец Б также не должен проходить.
Г.2.2.1 Результаты испытаний заносят в протокол испытаний.
Г.3 Испытания на застревание головы или шеи
Г.3.1 Испытания на застревание в отверстиях оборудования
Г.3.1.1 Аппаратура
Щупы, применяемые при испытаниях, - в соответствии с рисунками Г.4 и
Г.5.
1 - рукоятка
Рисунок Г.4 - Щупы (малые) для определения застревания
головы или шеи пользователя в отверстиях
1 - рукоятка
Рисунок Г.5 - Щуп В (большой) для определения застревания
головы или шеи пользователя в отверстиях
Г.3.1.2 Проведение испытаний
Проверке подлежат все отверстия в твердых элементах конструкций, нижний край которых расположен на высоте более 600 мм от поверхности детской спортивной площадки.
Для проверки возможности застревания головы или шеи пользователя щупы А, Б или В вставляют последовательно в каждое отверстие испытуемого оборудования и фиксируют, какой из щупов проходит в отверстие.
Если щуп свободно не проходит в отверстие, прикладывают силу (222 +/- 5) Н.
Если щупы А и Б проходят в отверстие, то щуп В должен также проходить в отверстие. В противном случае существует риск застревания головы и шеи.
Г.3.1.3 Результаты испытаний записывают в протокол.
Г.3.2 Испытания на застревание в прямоугольных и V-образных зазорах
Г.3.2.1 Аппаратура
Шаблон, применяемый при испытаниях, - в соответствии с рисунком Г.6.
А - зона А шаблона; Б - зона Б шаблона; Б1 - плечи шаблона
Рисунок Г.6 - Шаблон для определения застреваний головы
или шеи в прямоугольных и V-образных зазорах
Г.3.2.2 Проведение испытаний
Испытание V-образных и прямоугольных зазоров с использованием зоны Б шаблона
Помещают зону Б шаблона в зазор перпендикулярно к плоскости зазора в соответствии с рисунками Г.7 и
Г.8.
Рисунок Г.7 - Испытания V-образных зазоров
с использованием зоны Б шаблона
Рисунок Г.8 - Испытания прямоугольных зазоров
с использованием зоны Б шаблона
При этом следует установить и зафиксировать в отчете, проходит ли шаблон между краями отверстия или его невозможно ввести по всей толщине.
Если шаблон можно ввести на большую глубину, чем толщина шаблона (45 мм), используют зону А шаблона, причем его центральная линия ориентируется таким образом, чтобы проверить конечные точки и центральную линию отверстия.
Зазор считают допустимым:
- если зона Б шаблона не проходит в зазор;
- если зона Б шаблона проходит в зазор на глубину менее 45 мм (толщина шаблона).
Если шаблон можно вставить в V-образный зазор на глубину большую, чем толщина шаблона (45 мм), то проводят испытание с использованием зоны А шаблона.
Испытание зазоров с использованием зоны А шаблона
Помещают зону А шаблона в зазор до его соприкосновения со стенками зазора таким образом, чтобы продольная ось шаблона совпадала с продольной осью зазора, и определяют и регистрируют угол, на который отклоняется шаблон в зазоре согласно рисунку Г.9.
1 - зона 1; 2 - зона 2; 3 - зона 3
a - угол ввода зоны А шаблона; b - ось шаблона;
c - проверка всех углов ввода
Рисунок Г.9 - Испытание зазоров
с использованием зоны А шаблона
Следует обеспечить, чтобы поверхность тестового шаблона была расположена параллельно и согласованно с отверстием, как показано на
рисунке Г.9 а).
Шаблон вводят вдоль отверстия, пока его движение не остановится из-за соприкосновения с краями отверстия.
Проверяют два возможных варианта возникновения опасных ситуаций, как показано на
рисунке Г.9 б) (расположение зон по отношению к вертикальной и горизонтальной осям).
Вариант 1 - отверстия расположены под углом до 45° от вертикальной оси зоны 1 [см.
рисунок Г.9 б)]. Тестирование показано на
рисунке Г.10.
Рисунок Г.10 - Примеры размещения зоны А шаблона
при испытаниях зазоров, вариант 1
Вариант 2 - отверстия расположены под углом от 45° до 90° от вертикальной оси зоны 2 [см.
рисунок Г.9 б)]. Тестирование показано на
рисунке Г.11.
а) Допустимо
1 - шаблон
Рисунок Г.11 - Примеры размещения шаблона
при испытаниях зазоров, вариант 2
Зазор считают допустимым:
- если вершина зоны А шаблона достигает дна зазора [см.
рисунок Г.10 а) 1)];
- если зона А шаблона боковыми гранями соприкасается со стенками зазора, находящегося на высоте менее 600 мм от поверхности игровой площадки [см.
рисунок Г.10 а) 2)].
Зазор считают недопустимым, если зона А шаблона не проходит в зазор, вершина зоны А шаблона не достигает дна зазора [
рисунки Г.10 б) и
Г.11 б)].
(обязательное)
МЕТОДЫ ИСПЫТАНИЙ БАСКЕТБОЛЬНОГО ОБОРУДОВАНИЯ
Д.1 Визуальный осмотр кольца
Д.1.1 Сущность метода
Путем визуальной проверки кольца определяется, воздействует ли передаваемое от кольца усилие непосредственно на баскетбольный щит.
В результате осмотра должно быть установлено, что кольцо закреплено на ферме таким образом, чтобы никакое усилие, передаваемое от кольца, не воздействовало непосредственно на баскетбольный щит.
Д.2 Испытания кольца с амортизатором
Д.2.1 Сущность метода
Д.2.1.1 Испытание 1 - одной нагрузкой
При испытании 1 прикладывают статическую нагрузку (1500 +/- 50) Н к переднему краю кольца в течение (5 +/- 1) с.
В состоянии нагружения кольца регистрируют:
- наличие зазоров между корпусом устройства амортизации и приспособлением для крепления кольца размерами более 8 мм;
- отклонение кольца на угол более 30°.
После снятия нагрузки регистрируют возвращение кольца в исходное положение.
Д.2.1.2 Испытание 2 - двумя нагрузками
При испытании 2 прикладывают статическую нагрузку (1050 +/- 50) Н к переднему краю кольца.
В состоянии нагружения кольца (после отклонения) прикладывают дополнительную нагрузку (2400 +/- 50) Н в течение (60 +/- 1) с.
После снятия нагрузки регистрируют все поломки и остаточную деформацию более 10 мм.
Д.2.2 Аппаратура
Устройство нагружения для испытания 1 должно обеспечивать сосредоточенную вертикальную нагрузку (1500 +/- 50) Н в течение (5 +/- 1) с.
Устройство нагружения для испытания 2 должно обеспечивать сосредоточенную вертикальную нагрузку (1050 +/- 50) Н, а затем после отклонения кольца сосредоточенную вертикальную нагрузку (2400 +/- 50) Н в течение (60 +/- 1) с к переднему краю кольца.
Схема приложения нагрузки приведена на рисунке Д.1.
Рисунок Д.1 - Схема приложения нагрузки
к кольцу с амортизатором
Д.2.3 Процедура
Д.2.3.1 Испытание 1
Прикладывают статическую нагрузку (1500 +/- 50) Н к переднему краю кольца в течение (5 +/- 1) с.
В состоянии нагружения кольца регистрируют:
- наличие зазоров между корпусом устройства амортизации и приспособлением для крепления кольца размерами более 8 мм;
- отклонение кольца на угол более 30°.
Д.2.3.2 После снятия нагрузки регистрируют возвращение кольца в исходное положение.
Д.2.3.3 Испытание 2
Прикладывают статическую нагрузку (1050 +/- 50) Н к переднему краю кольца.
В состоянии нагружения кольца (после отклонения) прикладывают дополнительную нагрузку (2400 +/- 50) Н в течение (60 +/- 1) с.
Д.2.3.4 После снятия нагрузки регистрируют все поломки и остаточную деформацию более 10 мм.
Д.3 Испытания жестко закрепленного кольца
Д.3.1 Сущность метода
При испытании жестко закрепленного кольца прикладывают статическую нагрузку (2400 +/- 50) Н к переднему краю кольца в течение (60 +/- 1) с.
После снятия нагрузки регистрируют все поломки и остаточную деформацию более 10 мм.
Д.3.2 Аппаратура
Устройство нагружения должно обеспечивать сосредоточенную вертикальную нагрузку (2400 +/- 50) Н в течение (60 +/- 1) с, прикладываемую к переднему краю кольца.
Схема приложения нагрузки приведена на рисунке Д.2.
Рисунок Д.2 - Схема приложения нагрузки
к жестко закрепленному кольцу
Д.3.3 Процедура
При испытании жестко закрепленного кольца прикладывают статическую нагрузку (2400 +/- 50) Н в течение (60 +/- 1) с.
Д.3.4 После снятия нагрузки регистрируют все поломки и остаточную деформацию более 10 мм.
Д.4 Испытания на прочность
Д.4.1 Сущность метода
При испытаниях прикладывают сосредоточенную горизонтальную нагрузку (см. таблицу Д.1):
- к щиту - величиной (900 +/- 50) Н в течение (65 +/- 5) с;
- к корзине - величиной (1000 +/- 50) Н в течение (65 +/- 5) с.
Таблица Д.1
Прикладываемые нагрузки в зависимости
от типа баскетбольного оборудования
Тип | Усилие F1 | Усилие F3 |
1 | X | - |
2 | X |
3 |
4 |
После снятия нагрузки осматривают щит и корзину и регистрируют все остаточные деформации.
На оборудовании не должно быть повреждений, в том числе трещин, поломок, чрезмерных остаточных деформаций, ослабления соединений и связей.
Д.4.2 Аппаратура
Д.4.2.1 Устройство нагружения
Устройство нагружения должно обеспечивать:
- сосредоточенную горизонтальную нагрузку F1 (900 +/- 50) Н, прикладываемую к щиту в течение (65 +/- 5) с;
- сосредоточенную горизонтальную нагрузку F3 (1000 +/- 50) Н, прикладываемую к корзине в течение (65 +/- 5) с.
Нагружение при испытаниях на прочность приведено на рисунке Д.3.
Рисунок Д.3 - Нагружение при испытаниях на прочность
Д.4.3 Процедура
Д.4.3.1 При испытаниях прикладывают сосредоточенную горизонтальную нагрузку:
- к щиту - (900 +/- 50) Н в течение (65 +/- 5) с;
- к корзине - (1000 +/- 50) Н в течение (65 +/- 5) с.
После снятия нагрузки осматривают щит и корзину и регистрируют все остаточные деформации.
Д.4.4 На оборудовании не должно быть повреждений, в том числе трещин, поломок, чрезмерных остаточных деформаций, ослабления соединений и связей.
Д.5 Испытания на устойчивость
Д.5.1 Сущность метода
При испытаниях на устойчивость к середине щита баскетбольного оборудования всех типов прикладывают сосредоточенную вертикальную нагрузку (3200 +/- 50) Н в течение (65 +/- 5) с.
В процессе испытаний регистрируют все остаточные деформации.
После испытаний на конструкции не должно быть повреждений, в том числе трещин, поломок, чрезмерных остаточных деформаций, ослабления соединений и связей.
Д.5.2 Аппаратура
Д.5.2.1 Устройство нагружения
Устройство нагружения должно обеспечивать сосредоточенную вертикальную нагрузку F2 (3200 +/- 50) Н в течение (65 +/- 5) с, прикладываемую к середине щита в соответствии с рисунком Д.4.
Рисунок Д.4 - Нагружение при испытаниях на устойчивость
Д.5.3 Процедура
К середине щита баскетбольного оборудования всех типов прикладывают сосредоточенную вертикальную нагрузку (3200 +/- 50) Н в течение (65 +/- 5) с.
В процессе испытаний регистрируют все остаточные деформации.
Д.5.4 После испытаний на конструкции не должно быть повреждений, в том числе трещин, поломок, чрезмерных остаточных деформаций, ослабления соединений и связей.
Д.6 Испытания сетки
Испытания разрывного усилия нитей сетки проводят с использованием разрывной нагрузки не менее 1700 Н.
Испытания по определению растягивающего усилия ячеек сетки проводят с использованием растягивающей нагрузки ячеек сетки не менее 2040 Н.
(обязательное)
МЕТОДЫ ИСПЫТАНИЙ ОГРАЖДЕНИЙ ПЛОЩАДОК НА УДАРНУЮ ПРОЧНОСТЬ
Е.1 Испытания на многократные ударные нагрузки от футбольного мяча и ударов корпуса игрока
Ограждение монтируют горизонтально на раме с двумя прочными элементами крепления.
Груз массой (50 +/- 0,5) кг, как показано на рисунке Е.1, подвешивают на высоте 0,35 м над серединой самой большой рамы ограждения, и его многократно свободно бросают на испытуемую поверхность.
1 - вершина из кожи; 2 - восемь веретенообразных
элементов обшивки из полотна; 3 - низ из кожи
Рисунок Е.1 - Испытательный груз
Испытания прекращают:
- когда остаточная деформация превышает 1,5% от наименьшего размера (длина или ширина) ограждения;
- когда деформация становится очевидной;
- через 1000 ударных циклов, если нет признаков деформации.
Е.2 Испытания на ударную стойкость к сильным ударам
Ограждение монтируют горизонтально на раме с помощью прочных элементов крепления.
Груз массой (50 +/- 0,5) кг, как показано на
рисунке Е.1, подвешивают на высоте 0,5 м над серединой самой большой рамы ограждения.
Если при этих условиях точка удара располагается на высоте более 1 м над нижним уровнем ограждения, точка удара должна быть самой неблагоприятной точкой в пределах первого метра от нижнего уровня ограждения. Груз падает только один раз.
Эти испытания можно проводить на том же элементе ограждения, что и испытания на многократные ударные нагрузки.
В этом случае испытания проводят после завершения испытаний на многократные ударные нагрузки.
(обязательное)
МЕТОДЫ ИСПЫТАНИЙ СТОЛОВ ДЛЯ НАСТОЛЬНОГО ТЕННИСА
Ж.1 Оценка устойчивости стола для настольного тенниса при горизонтальном нагружении
Ж.1.1 Сущность метода
При испытаниях к верхней части боковой стороны стола для настольного тенниса поочередно прикладывают распределенную горизонтальную нагрузку величиной 1,5 кН/м и выдерживают в течение 5 мин.
Стол должен выдерживать прикладываемую нагрузку без смещений или опрокидывания.
После испытаний на конструкции стола не должно быть повреждений, в том числе трещин, поломок, чрезмерных остаточных деформаций, ослабления соединений и связей.
Ж.1.2 Аппаратура
Устройство нагружения должно обеспечивать распределенную горизонтальную нагрузку величиной 1,5 кН/м, прикладываемую к верхней части боковой стороны стола в течение 5 мин согласно рисунку Ж.1.
Рисунок Ж.1 - Схема приложения нагрузок при испытаниях
Ж.1.3 Процедура
Прикладывают поочередно распределенную горизонтальную нагрузку величиной 1,5 кН/м к боковым сторонам стола и выдерживают в течение 5 мин.
Стол должен выдерживать прикладываемую нагрузку без смещений или опрокидывания.
Ж.1.4 После снятия нагрузки осматривают конструкцию стола.
После испытаний на конструкции стола не должно быть повреждений, в том числе трещин, поломок, чрезмерных остаточных деформаций, ослабления соединений и связей.
(обязательное)
ИНФОРМАЦИЯ,
КОТОРАЯ ДОЛЖНА БЫТЬ ПРЕДОСТАВЛЕНА ИЗГОТОВИТЕЛЕМ/ПРОДАВЦОМ
И.1 Информация изготовителя оборудования
И.1.1 Общая информация об изделии
Изготовитель/продавец должен предоставить инструкцию по установке и эксплуатации оборудования на языке производителя и/или языках той страны, где это оборудование будут устанавливать и использовать.
Инструкция должна соответствовать следующим требованиям:
- указания в инструкции должны быть понятными и простыми;
- по возможности следует использовать рисунки.
Инструкция должна содержать следующую информацию:
- подробные сведения по установке, эксплуатации, проверке и о техническом обслуживании оборудования;
- раздел или примечание для оператора относительно того, что при интенсивной эксплуатации оборудования требуется более часто проводить проверку и/или техническое обслуживание;
- указание избегать особых опасностей для тех пользователей, когда оборудование не полностью смонтировано, частично разобрано или на нем проводят работы по техническому обслуживанию.
Изготовитель/продавец по требованию покупателя должен предоставить копию протокола испытаний или документа, подтверждающего безопасность оборудования.
И.1.2 Предварительная информация
Изготовитель/продавец еще до принятия заказа должен предоставить информацию по эксплуатационной безопасности оборудования.
Эта информация должна включать следующее:
- минимальное пространство, требуемое для оборудования;
- габаритные размеры самых больших частей;
- вес самых тяжелых частей/узлов, кг;
- требование о доступности запасных частей;
- документ, подтверждающий безопасность.
И.1.3 Информация для установки
Изготовитель/продавец должен предоставить комплектовочную ведомость.
Изготовитель/продавец вместе с поставляемым оборудованием должен предоставить инструкцию по установке с указанием надлежащих сведений для установки, монтажа и размещения оборудования.
Эта инструкция должна содержать следующее:
- требования к минимальному пространству и безопасным расстояниям;
- перечень деталей оборудования и частей;
- последовательность монтажа (указания по сборке и подробности относительно установки);
- в случае необходимости вспомогательные сведения для монтажа, например маркировки на определенных частях, включая соответствующие указания;
- указания относительно требующихся специальных инструментов, грузоподъемных средств, шаблонов или других вспомогательных средств для монтажа и, возможно, требуемых мер предосторожности. В случае необходимости следует указать крутящие моменты затягивания винтов;
- требуемое место для установки оборудования;
- сведения о фундаментах в обычных условиях, анкерном креплении к земле, а также конструктивной форме и размещении фундамента (с примечанием, что следует обращать внимание на особые условия);
- необходимость каких-либо работ по окраске или иной обработке;
- требование удаления вспомогательных монтажных средств перед использованием оборудования.
На чертежах и схемах должны быть однозначно указаны основные размеры оборудования и требуемые для установки объем, высота и площадь.
Изготовитель/продавец должен предоставить требования по приемке универсального спортивного оборудования свободного доступа перед началом использования.
И.1.4 Информация для проверки и технического обслуживания
И.1.4.1 Изготовитель/продавец должен предоставить инструкцию по техническому обслуживанию (со ссылкой на настоящий стандарт), в которой должно быть указано, что периодичность проверки определяется видом оборудования, например: в случае оборудования, устойчивость которого зависит от стоек, или в зависимости от используемых материалов и других факторов, таких как слишком большая нагрузка, вандализм, расположение вблизи морского побережья, загрязненный воздух, возраст оборудования.
Чертежи и схемы, которые требуются для технического обслуживания, контроля и проверки правильности функционирования, а также, при необходимости, для ремонта оборудования.
И.1.4.2 Инструкции должны включать сведения относительно периодичности контроля или технического обслуживания оборудования либо его частей и при необходимости указания относительно следующего:
- плановой визуальной проверки.
Примечания
1 В случае универсального спортивного оборудования свободного доступа, которое сильно нагружается, или если имеется опасность вандализма, может потребоваться ежедневная проверка.
2 Примером визуальной и оперативной проверки является проверка чистоты, расстояния между оборудованием и землей, поверхности земли, открытых фундаментов, острых кромок, отсутствующих частей, чрезмерного износа (подвижных частей) и конструктивной прочности;
- оперативной проверки.
Примечания
1 Такие проверки проводят с периодичностью 1 - 3 мес или по указанию изготовителя.
2 Особое внимание следует уделять частям, срок службы которых подходит к концу, а также оборудованию, устойчивость которого зависит от стоек;
- ежегодной проверки.
Примечания
1 Особое внимание следует уделять частям, срок службы которых подходит к концу, а также оборудованию, устойчивость которого зависит от стоек.
2 При ежегодной общей проверке может потребоваться извлечение или освобождение определенных частей.
И.1.4.3 Инструкции также должны устанавливать следующее:
- при необходимости места и способы технического обслуживания, например смазки, затягивания винтов, подтягивания канатов;
- указание на то, что запасные детали должны соответствовать спецификациям изготовителя;
- сведения относительно специальных мер по утилизации, требующихся для некоторых частей оборудования;
- сведения о запасных частях;
- сведения относительно всех дополнительных мер, которые требуются в период приработки, например затягивание креплений, подтягивание тросов;
- указание на необходимость очищать сливные отверстия (при наличии);
- синтетические материалы с армированием стекловолокном следует заменять или ремонтировать до того, как стекловолокно обнажится из-за износа или повреждения. Особенно это относится к баскетбольным щитам.
| Строительные нормы и правила Российской Федерации | Основания зданий и сооружений |
| Строительные нормы и правила Российской Федерации | Нагрузки и воздействия |
| Строительные нормы и правила Российской Федерации | Стальные конструкции. Нормы проектирования |
| Строительные нормы и правила Российской Федерации | Деревянные конструкции. Нормы проектирования |