Главная // Актуальные документы // ГОСТ Р (Государственный стандарт)СПРАВКА
Источник публикации
М.: Стандартинформ, 2017
Примечание к документу
Документ
введен в действие с 1 мая 2018 года.
Название документа
"ГОСТ Р ИСО 17617-2017. Национальный стандарт Российской Федерации. Материалы текстильные. Методы испытаний для определения скорости высушивания"
(утв. и введен в действие Приказом Росстандарта от 08.08.2017 N 832-ст)
"ГОСТ Р ИСО 17617-2017. Национальный стандарт Российской Федерации. Материалы текстильные. Методы испытаний для определения скорости высушивания"
(утв. и введен в действие Приказом Росстандарта от 08.08.2017 N 832-ст)
Утвержден и введен в действие
по техническому регулированию
и метрологии
от 8 августа 2017 г. N 832-ст
НАЦИОНАЛЬНЫЙ СТАНДАРТ РОССИЙСКОЙ ФЕДЕРАЦИИ
МАТЕРИАЛЫ ТЕКСТИЛЬНЫЕ
МЕТОДЫ ИСПЫТАНИЙ ДЛЯ ОПРЕДЕЛЕНИЯ СКОРОСТИ ВЫСУШИВАНИЯ
Textiles. Test methods for determination
of moisture drying rate
(ISO 17617:2014,
Textiles - Determination of moisture drying rate,
IDT)
ГОСТ Р ИСО 17617-2017
Дата введения
1 мая 2018 года
1 ПОДГОТОВЛЕН Акционерным обществом "Всероссийский научно-исследовательский институт сертификации" (АО "ВНИИС") на основе собственного перевода на русский язык англоязычной версии стандарта, указанного в
пункте 4
2 ВНЕСЕН Техническим комитетом по стандартизации ТК 412 "Продукция текстильной и легкой промышленности"
3 УТВЕРЖДЕН И ВВЕДЕН В ДЕЙСТВИЕ
Приказом Федерального агентства по техническому регулированию и метрологии от 8 августа 2017 г. N 832-ст
4 Настоящий стандарт идентичен международному стандарту ИСО 17617:2014 "Материалы текстильные. Определение скорости высушивания" (ISO 17617:2014 "Textiles - Determination of moisture drying rate", IDT).
Наименование настоящего стандарта изменено относительно наименования указанного международного стандарта для увязки с наименованиями, принятыми в существующем комплексе национальных стандартов Российской Федерации.
При применении настоящего стандарта рекомендуется использовать вместо ссылочных международных стандартов соответствующие им национальные стандарты, сведения о которых приведены в дополнительном
приложении ДА
5 ВВЕДЕН ВПЕРВЫЕ
Правила применения настоящего стандарта установлены в статье 26 Федерального закона от 29 июня 2015 г. N 162-ФЗ "О стандартизации в Российской Федерации". Информация об изменениях к настоящему стандарту публикуется в ежегодном (по состоянию на 1 января текущего года) информационном указателе "Национальные стандарты", а официальный текст изменений и поправок - в ежемесячном информационном указателе "Национальные стандарты". В случае пересмотра (замены) или отмены настоящего стандарта соответствующее уведомление будет опубликовано в ближайшем выпуске ежемесячного информационного указателя "Национальные стандарты". Соответствующая информация, уведомление и тексты размещаются также в информационной системе общего пользования - на официальном сайте Федерального агентства по техническому регулированию и метрологии в сети Интернет (www.gost.ru)
Настоящий стандарт устанавливает методы испытаний для оценки характеристик сушки всех типов текстильных полотен. Данный метод не применим для определения скорости сушки текстильных материалов других видов, таких как волокна или нити.
В настоящем стандарте использованы нормативные ссылки на следующие стандарты. Для недатированных ссылок применяют самые последние издания, включая любые изменения и поправки.
ISO 139, Textiles - Standard atmospheres for conditioning and testing (Изделия текстильные. Стандартные атмосферные условия для проведения кондиционирования и испытаний)
ISO 3696, Water for analytical laboratory use - Specification and test methods (Вода для аналитического лабораторного использования. Технические требования и методы испытаний)
В настоящем стандарте применены следующие термины с соответствующими определениями:
3.1 скорость сушки [drying rate (DR)]: Период времени, необходимый для высушивания известной массы влаги из текстильного полотна.
Примечание - Указанное значение скорости выражают в процентах высушенной влаги за единицу времени.
3.2 время сушки (100%) [drying time (100%)]: Период времени, в течение которого происходит 100%-ная потеря влаги.
Смачивают испытуемый образец заданным количеством влаги и определяют вес влаги, оставшейся в образце после установленного периода времени. Скорость сушки и/или специфическую скорость сушки рассчитывают путем линейной регрессии времени относительно содержания остаточной влаги.
Приведены методы испытаний вертикальной сушки (метод A) и горизонтальной сушки (метод B).
В методе A1 образец подвешивают вертикально в рамке, присоединенной к весам снизу, тогда как в методе A2 образец помещают на весы с верхней чашкой. В этих методах условия окружающей среды воздействуют на испытуемые образцы с обеих сторон. В методе B образец кладут в тарелку на верхнюю чашку весов, и воздействие окружающей среды на образец происходит только с верхней поверхности. Результаты, полученные двумя вертикальными методами сушки (A1 и A2) сравнимы, а результаты, полученные с использованием горизонтального метода сушки (B), не подлежат сравнению с результатами, полученными каким-либо из вертикальных методов.
Примечание - Для целей данного метода испытаний используют воду, поскольку она входит в состав всех жидкостей, выделяемых человеческим телом при контакте с текстильными полотнами. К таким жидкостям относятся пот, слюна или моча.
В настоящем стандарте отдельно приведены процедуры испытаний для каждого из трех методов. Заинтересованные стороны должны договориться об использовании наиболее подходящего метода.
Для текстильных тканей с хорошо смачиваемой поверхностью или капиллярными свойствами (продольным растеканием) наилучшим образом подходит метод B.
5.1 Вода 3 класса чистоты по ИСО 3696.
Примечание - По соглашению сторон вместо воды могут быть использованы альтернативные жидкости, такие как искусственный раствор "пота". Химический состав искусственного раствора "пота" приведен в стандарте
[1].
6.1 Микропипетка, позволяющая перенести требуемый объем воды с точностью до 0,01 см
3.
6.2 Чашка Петри, изготовленная из стекла, с внутренним диаметром по крайней мере на 5 мм больше, чем диаметр образца для испытаний, и внутренней высотой (29 +/- 3) мм.
Примечание - Может быть использована другая посуда, если получено подтверждение ее пригодности.
6.3 Весы с подходящим диапазоном измерения масс и разрешением до 0,001 г. Диапазон шкалы весов должен быть таким, чтобы полная масса испытуемого узла (испытуемый образец с поддерживающей рамкой) попадала между 10% и 90% полного диапазона шкалы весов.
Для метода A1 весы должны быть оборудованы устройством, позволяющим подвешивать испытуемый узел под весами, как это показано на
рисунке 1. В случае метода A2 и метода B весы должны обеспечивать поддержку испытуемого узла или чашки Петри, расположенных сверху.
1 - образец для испытаний; 2 - весы;
3 - корпус, внутри которого помещен кронштейн с зажимами
Рисунок 1 - Испытательная аппаратура для метода A1
6.4 Испытательная аппаратура для метода A1
Схематическая диаграмма аппаратуры показана на
рисунке 1.
6.4.1 Кронштейн, оборудованный подходящими устройствами фиксации образца для испытаний (например, крючками, стержнями или зажимами) и снабженный средствами для подвешивания под весами
(6.3), как показано на
рисунке 1. Используемые материалы не должны поглощать воду.
6.4.2 Незамкнутый корпус подходящих размеров, чтобы закрывать подвешенный испытуемый узел, должен быть по крайней мере на 50 мм ниже самого низкого края подвешенного образца для испытаний.
Примечание - Корпус может быть изготовлен из любого материала, такого как стекло, акрил и т.п. Размеры будут зависеть от размеров весов
(6.3), но установлено, что наиболее подходящим размером является 300x300x300 мм.
6.5 Испытательная аппаратура для метода A2
Схематическая диаграмма аппаратуры показана на
рисунке 2.
1 - образец для испытаний; 2 - весы; 3 - подвесная рамка
Рисунок 2 - Испытательная аппаратура для метода A2
6.5.1 Кронштейн, оборудованный подходящими средствами фиксации образца для испытаний (например, крючками, стержнями или зажимами) и снабженный средствами для установки образца сверху весов
(6.3) внутри оболочки (см.
6.5.2), как показано на
рисунке 2. Используемые материалы не должны поглощать воду.
6.5.2 Корпус, изготовленный из любого подходящего, не поглощающего воду, материала и подходящих размеров, позволяющий закрывать весы и испытуемый узел. Высота корпуса должна быть по крайней мере на 50 мм больше, чем общая высота испытуемого узла, когда он помещен сверху весов. Корпус должен быть открыт с двух противоположных сторон и со стороны, находящейся непосредственно над образцом для испытаний.
Примечание - Многие коммерчески доступные весы уже снабжены корпусами, которые имеют соответствующие удаляемые панели.
6.6 Испытательная аппаратура для метода B
Схематическая диаграмма аппаратуры показана на
рисунке 3.
1 - образец для испытаний; 2 - влага;
3 - чашка Петри; 4 - весы
Рисунок 3 - Испытательная аппаратура для метода B
6.6.1 Корпус, изготовленный из любого подходящего материала, включающий четыре стенки и не имеющий верхней крышки. Корпус должен иметь достаточные размеры, чтобы закрывать весы
(6.3), и высоту по крайней мере на 50 мм выше, чем плоскость верхней поверхности чашки Петри, куда помещают образец для испытаний.
6.7 Анемометр, позволяющий измерять скорость воздуха с точностью до 0,01 м/с.
6.8 Таймер с точностью +/- 1 с.
6.9 Рамка для увлажнения, включающая устройства для фиксации образца полотна в горизонтальной плоскости над поддерживающей поверхностью и оставляющая центральную часть испытуемого образца диаметром приблизительно 100 мм под воздействием окружающих условий.
Примечание - Установлено, что могут быть использованы контактные ободки, такие как кольца для вышивания (пяльцы), прямоугольные пластины с центральным отверстием, снабженные зажимами или стержнями. В качестве альтернативы образцы можно поддерживать руками, но в этом случае особого внимания требует необходимость избегать переноса влаги или загрязнений на или с поверхности кожи.
6.10 Перчатки из пластика.
7.1 Атмосферные условия для кондиционирования и испытаний
Образцы для испытаний кондиционируют в стандартных атмосферных условиях при температуре 20 °C и относительной влажности 65%, как установлено в ИСО 139, в течение не менее 24 ч.
Испытания проводят в кондиционированных условиях, указанных выше, и место проведения испытаний должно быть в значительной степени без сквозняков (т.е. скорость потока воздуха через открытую(ые) поверхность(и) образца, используемая в испытании, не должна превышать 0,1 м/с).
Скорость потока воздуха измеряют непосредственно перед началом каждой серии испытаний с использованием анемометра
(6.7).
7.2 Подготовка образца для испытаний
7.2.1 Отбор проб
7.2.2 Количество и размер образцов для испытаний
Подготавливают один образец для проверочного испытания и три дополнительных образца для испытаний скорости сушки. Размеры образцов для испытаний должны быть такими, какие указаны в
таблице 1.
Таблица 1
Типичный размер образца для испытаний
Метод испытаний | Метод A (размеры, мм) | Метод B (размеры, мм) |
Метод A1: подвешивание | Метод A2: сверху |
Размер | Образец для испытания высушивания | Квадрат (200 +/- 2) x (200 +/- 2) | Квадрат (100 +/- 2) x (100 +/- 2) | Круг: 85 +/- 2 |
Всякий раз, когда необходимо прикасаться к образцам руками, рекомендуется надевать не адсорбирующие воду перчатки, чтобы избежать любого непреднамеренного переноса или потери влаги или передачи загрязнения между образцом для испытаний и поверхностью кожи.
Разрешается использовать образцы для испытаний альтернативного размера в том случае, если какое-либо затекание не распространяется в пределах 10 мм от любого края испытуемого образца.
7.2.3 Кондиционирование образцов
Перед испытанием образцы должны быть кондиционированы в атмосферных условиях
(7.1) в течение как минимум 24 ч.
7.2.4 Кондиционирование воды
Воду следует хранить в условиях испытаний
(7.1) не менее 24 ч. Вода, используемая для испытаний, должна иметь температуру (20 +/- 2) °C.
Перед началом основного проводят проверочное испытание в соответствии с
приложением A. Время абсорбции проб должно быть не более 60 с. Пробы со временем абсорбции более 60 с не подходят для испытаний, использующих методы, изложенные в настоящем стандарте. Полученное среднее время абсорбции указывают в протоколе испытаний.
9 Порядок проведения испытаний
9.1 Метод A
Метод A представляет собой вертикальный метод сушки, использующий две конфигурации: метод A1 - метод подвешивания (см.
6.4 и
рисунок 1) или метод A2 - метод расположения сверху (см.
6.5 и
рисунок 2).
9.1.1 Для метода A подготавливают кронштейны для подвешивания
(6.4) или подвесные рамки
(6.5).
9.1.2 Прикрепляют образец для испытаний
(6.4) к кронштейну для подвешивания (метод A1) или к подвесной рамке (метод A2).
9.1.3 В методе A1 кронштейн для подвешивания вместе с образцом для испытаний присоединяют к крючку весов. В методе A2 помещают поддерживающую рамку вместе с образцом для испытаний в чашку сверху весов. Взвешивают испытуемый узел с точностью до 0,001 г и записывают массу как массу до подачи воды Mw.
9.1.4 Удаляют кронштейн для подвешивания (метод A1) или поддерживающую рамку (метод A2) из весов перед снятием испытуемого образца с кронштейна или рамки.
9.1.5 Кладут испытуемый образец горизонтально на рамку для увлажнения
(6.9) таким образом, чтобы центральная часть нижней стороны образца не контактировала с какой-либо поверхностью и испытуемая поверхность находилась наверху.
9.1.6 В методе A1 с помощью микропипетки
(6.1) наносят (0,30 +/- 0,01) мл кондиционированной воды приблизительно по центру подвергающейся увлажнению верхней поверхности испытуемого образца.
Если происходит просачивание, фиксируют это в протоколе испытаний. При этом эффективность испытания должна быть оценена заинтересованными сторонами.
9.1.7 В методе A2 с помощью микропипетки
(6.1) наносят (0,08 +/- 0,01) мл кондиционированной воды приблизительно по центру подвергающейся увлажнению верхней поверхности образца для испытаний. Если происходит просачивание, фиксируют это в протоколе испытаний. При этом эффективность испытания должна быть оценена заинтересованными сторонами.
9.1.8 Вынимают образец для испытаний из рамки для увлажнения
(6.9) и прикрепляют его к кронштейну для подвешивания (метод A1) или подвесной рамке (метод A2), возвращая испытуемый узел на весы. Абсорбция воды поверхностью образца для испытаний должна быть завершена в пределах 60 с. Взвешивают испытуемый узел с точностью до 0,001 г и сразу же включают таймер
(6.8). Записывают массу узла как
M0.
9.1.9 Повторяют измерение массы испытуемого узла с интервалами 5 мин +/- 15 с до тех пор, пока не пройдет в целом 60 мин или пока масса оставшейся воды не уменьшится до 10% от ее первоначальной массы. Записывают массу испытуемого узла после каждого интервала времени t как Mt, где t - прошедшее время в минутах.
9.1.10 Повторяют испытание на двух оставшихся образцах.
Разрешается проводить параллельные испытания на всех трех образцах при условии, что для каждого испытуемого образца будут использованы отдельные кронштейны для подвешивания или подвесные рамки.
9.1.11 Рассчитывают скорость сушки в соответствии с
разделом 10.
9.1.12 Определяют среднюю скорость сушки по результатам трех отдельных испытаний, полученных в
9.1.11.
9.2 Метод B: Горизонтальная сушка
Данный метод использует аппаратуру, перечисленную в
6.6 и изображенную на
рисунке 3.
9.2.1 Образец для испытаний кладут на дно чашки Петри
(6.2) таким образом, чтобы он лежал на плоскости. Испытуемый узел помещают на весы и измеряют массу с точностью до 0,001 г. Записывают эту массу как массу сборки до испытания
Mw.
9.2.2 Удаляют узел из чашки Петри. Наносят с помощью микропипетки в центр дна чашки Петри (0,1 +/- 0,01) см
3 воды и кладут испытуемый образец обратно изучаемой поверхностью вниз, чтобы она контактировала с водой. Сразу же включают таймер
(6.8) и повторно взвешивают испытуемый узел с точностью до 0,001 г, записывая эту массу как
M0.
В процессе нанесения воды желательно не удалять чашку Петри с весов.
9.2.3 Если нанесенная вода растечется ближе чем 10 мм от края испытуемого образца, то испытание следует считать недействительным, и его повторяют с образцом большего размера. Если это невозможно, то делают вывод о том, что проведение испытания данным методом не представляется возможным.
9.2.4 Повторяют измерение массы испытуемого узла с интервалами 5 мин +/- 15 с до тех пор, пока не пройдет 60 мин или пока масса оставшейся воды не уменьшится до 10% от первоначальной массы воды. Записывают массу испытуемого узла после каждого интервала t как Mt, где t - прошедшее время в минутах.
9.2.5 Повторяют испытание на двух оставшихся образцах.
Разрешается проводить параллельные испытания при условии, что для каждого образца используют отдельные чашки Петри и каждый образец для испытаний содержится в условиях, исключающих сквозняки (см.
7.1).
9.2.6 Рассчитывают скорость сушки в соответствии с
разделом 10.
9.2.7 Определяют среднюю скорость сушки по трем результатам отдельных испытаний, полученных в
9.2.6.
10.1 Остаточная массовая потеря воды Wt
Сводят в таблицу массовую потерю воды, остающуюся в образце для испытаний Wt относительно прошедшего времени t для каждого интервала, в котором было проведено измерение по формуле
Wt = M0 - Mt, (1)
где M0 - масса испытуемого узла при t = 0;
Mt - масса испытуемого узла в период времени t.
Затем процентное содержание высушенной массы Lt рассчитывают по формуле

, (2)
где Wt - остаточная потеря массы воды в период времени t;
Mw - масса испытуемого узла непосредственно перед нанесением воды.
10.2 Формула линейной аппроксимации
10.2.1 Определяют потерю массы воды в %, используя расчетные данные в
10.1 и учитывая наклон
a кривой скорости сушки, %/мин. Наклон
a кривой скорости сушки определяют с использованием среднеквадратичной дифференциальной регрессии (см.
приложение B). Для построения кривой зависимости устанавливают ось
x кривой как прошедшее время и ось
y - как потерю массы воды. Рассчитывают потерю массы воды по формуле
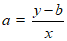
y = ax + b, (3)
где y - потеря массы воды, %;
a - наклон, скорость сушки DR, %/мин;
x - фактическое время сушки t, мин;
b - константа.
10.2.2 Рассчитывают скорость сушки DR по формулам
DR = a, (4)

. (5)
10.2.3 Рассчитывают время сушки для 100%-ной сушки или, если необходимо, время сушки для конкретных %, как указано ниже:
для 100%-ной сушки по формуле
Время сушки (100%) = (100 - b)/a; (6)
для конкретных % сушки по формуле
Время сушки (y%) = (y - b)/a. (7)
Протокол испытания должен содержать следующую информацию:
a) ссылку на настоящий стандарт;
b) подробные сведения об испытуемой пробе;
c) используемый метод испытаний (метод A1, метод A2 или метод B);
d) проверочный результат для определения абсорбции в зависимости от времени;
e) номинальную массу наносимой воды (0,3, 0,08 или 0,1 г);
f) скорость сушки (%/мин) или время 100%-ной сушки (мин);
g) время сушки для конкретного процента сушки, если необходимо, мин;
h) любое отклонение от настоящего стандарта.
(обязательное)
ПРОВЕРОЧНОЕ ИСПЫТАНИЕ ДЛЯ ИЗМЕРЕНИЙ ПОГЛОЩЕНИЯ ВОДЫ
A.1 Общие положения
Это проверочное испытание предназначено быть средством дифференциации между пробами, которые поглощают воду и которые ее не поглощают. Пробы, которые не поглощают воду, не могут быть испытаны методами, изложенными в настоящем стандарте.
A.2 Аппаратура
A.2.1 Микропипетка, позволяющая переносить 0,03 см3 с допустимой погрешностью +/- 0,01 см3.
A.2.2 Таймер.
A.2.3 Держатель образца, изготовленный из непроницаемого для воды материала и способный поддерживать образец для испытаний горизонтально над поверхностью, на которой размещен держатель. Центральная часть держателя должна быть не менее 150 мм в диаметре.
Примечание - Вполне пригодными являются вышивальные кольца (пяльцы) подходящих размеров, удовлетворяющие этим требованиям. Как вариант, могут быть использованы рамки со стержнями или зажимами по всему периметру при условии, что рамка обеспечивает требования к увлажняемой центральной части.
A.3 Размер образца для испытаний (200 +/- 2) x (200 +/- 2) мм.
A.4 Процедура испытания
A.4.1 Устанавливают взаимное расположение освещения, испытуемого образца и оператора таким образом, чтобы оператор мог наблюдать зеркальное отражение капли воды на поверхности образца.
A.4.2 Размещают проверочный образец для испытаний на поддерживающей рамке образца (см.
рисунок A.1).
1 - поддерживающая образец внутренняя рамка;
2 - поддерживающая образец наружная рамка; 3 и 4 - толщина
рамки: около 2 мм; 5 и 6 - высота рамки: около 15 мм
Рисунок A.1 - Рамка, поддерживающая образец
A.4.3 Наносят с помощью микропипетки одну каплю воды (0,03 +/- 0,01) см3 сверху образца с расстояния приблизительно 1 см.
A.4.4 Сразу же нажимают на кнопку включения таймера.
A.4.5 Наблюдают за влажной поверхностью и нажимают кнопку выключения таймера, когда исчезает зеркальное отражение воды.
Поскольку осветительный прибор помогает наблюдателю при определении момента, когда капля будет поглощена, освещение и наблюдатель должны быть на противоположных сторонах капли и под углом 45° к плоскости образца для испытаний.
A.4.6 Записывают время поглощения капли воды.
A.4.7 Повторяют испытание, используя еще четыре места на испытуемом образце, принимая во внимание необходимость позиционирования каждого испытания в достаточной удаленности от места предыдущего испытания, чтобы избежать влияния поглощения ранее смоченных участков образца. При необходимости могут быть использованы отдельные или дополнительные образцы для испытаний.
После нескольких испытаний, если на образце из-за высокой смачиваемости не остается сухой поверхности, количество испытаний уменьшают.
A.4.8 Определяют среднее значение по пяти результатам измерений с точностью до 1 с и записывают его как время поглощения.
(обязательное)
ПРИМЕР РАСЧЕТА СКОРОСТИ СУШКИ
B.1 Расчет скорости сушки
B.1.1 Используемый метод испытаний
Вертикальный метод сушки A1, использующий номинальное нанесение воды 0,3 см3.
B.1.2 Результат испытания
Таблица B.1 показывает результаты испытаний для одного образца.
Таблица B.1
Пример расчета скорости сушки
Время сушки t, мин | Масса образца с держателем | Масса увлажненного образца | Масса воды | Потеря массы |
Mt, г | Mt - FM, г | Mt - DM, г | Wt, г | Lt, % |
0 | 54,047 | 1,297 | 0,297 | 0,000 | 0 |
5 | 54,009 | 1,259 | 0,259 | 0,038 | 12,8 |
10 | 53,958 | 1,208 | 0,208 | 0,089 | 30,0 |
15 | 53,912 | 1,162 | 0,162 | 0,135 | 45,5 |
20 | 53,867 | 1,117 | 0,117 | 0,180 | 60,6 |
25 | 53,826 | 1,076 | 0,076 | 0,221 | 74,4 |
30 | 53,785 | 1,035 | 0,035 | 0,262 | 88,2 |
| 53,756 | 1,006 | 0,006 | 0,291 | 98,0 |
| - | - | - | - | - |
| - | - | - | - | - |
| - | - | - | - | - |
| - | - | - | - | - |
| - | - | - | - | - |
<a> Данные с Lt выше 90% отбрасывались. |
Масса подвесной рамки (FM): 52,750 г.
Масса подвесной рамки вместе с сухим образом для испытаний (DM): 53,750 г.
Масса воды (при t = 0 мин) = M0 - DM = 54,047 - 53,750 = 0,297.
Масса увлажненного образца для испытаний (при t = 0 мин) = M0 - FM = (54,047 - 52,750) = 1,297.
График потерь массы воды
Lt, %, относительно времени
t, мин, приведен на
рисунке B.1.
Рисунок B.1 - Пример графика потери массы воды
в процентах (%) относительно времени
Время 100%-ной сушки = (100 + 0,329)/2,989 = 33,6 мин.
По мере того, как объем наносимой воды начинает превышать 90% применяемого объема воды, коррекция времени сушки не требуется.
Время сушки двух других образцов для испытаний составило 36,1 мин и 36,6 мин.
Стандартное отклонение равно 1,73 мин, а коэффициент вариации - 4,9%.
(справочное)
РЕЗУЛЬТАТЫ КРУГОВЫХ ИСПЫТАНИЙ
C.1 Испытуемая проба:
- проба 1: Сетчатая футболка: 100% полиэфир. Трикотажное полотно;
- проба 2: Сорочка: 40% полиэфир, 60% хлопок. Ткань;
- проба 3: Белая сорочка: 60% полиэфир, 40% хлопок. Ткань;
- проба 4: Футболка: 23% полиэфир, 77% хлопок. Трикотажное полотно;
- проба 5: 50% полиэфир, 50% хлопок. Трикотажное полотно. 178,6 г/м2;
- проба 6: 70% полиэфир, 30% хлопок. Трикотажное полотно. 197,8 г/м2;
- проба 7: 100% полиэфир. Трикотажное полотно. 170,0 г/м2.
C.2 Использованный метод испытания:
- метод A1;
- метод B;
- метод A2.
C.3 Результат испытаний
C.3.1 Результаты испытаний вертикальным методом A.1
Испытательные станции (TH) A, B и C используют метод A1. Формула линейной аппроксимации опущена.
Результаты испытаний проб при использовании метода A1 показаны в
таблицах C.1 -
C.4.
Примечание - Для линейной аппроксимации было использовано прикладное программное обеспечение и проведены расчеты до трех или четырех десятичных знаков с округлением до трех значащих цифр.
Таблица C.1
Результаты испытаний сушки методом A1 для пробы 1
Время, мин: x | Испытательная станция (TH): потеря массы воды Lt, %: y |
A | B | C |
0 | 0,0 | 0,0 | 0,0 | 0,0 | 0,0 | 0,0 | 0,0 | 0,0 | 0,0 |
5 | 13,5 | 12,7 | 13,8 | 12,9 | 10,0 | 6,7 | 10,3 | 10,3 | 10,7 |
10 | 29,6 | 29,0 | 30,2 | 22,6 | 20,0 | 20,0 | 22,0 | 22,0 | 21,8 |
15 | 46,1 | 45,3 | 47,0 | 35,5 | 30,0 | 33,3 | 33,3 | 34,7 | 33,9 |
20 | 62,6 | 61,7 | 63,1 | 45,2 | 43,3 | 46,7 | 44,7 | 46,3 | 45,0 |
25 | 78,8 | 77,7 | 79,5 | 58,1 | 53,3 | 56,7 | 55,7 | 58,3 | 56,7 |
30 | 92,9 | 91,7 | 91,9 | 67,7 | 63,3 | 66,7 | 66,7 | 69,7 | 67,8 |
35 | - | 99,3 | 99,3 | 77,4 | 76,7 | 80,0 | 77,0 | 79,7 | 78,2 |
40 | - | 99,7 | - | 87,1 | 86,7 | 86,7 | 86,0 | 88,3 | 87,6 |
45 | - | - | - | 93,5 | 93,3 | 96,7 | 93,0 | 94,3 | 94,3 |
50 | - | - | - | - | - | - | 97,3 | 98,0 | 99,0 |
55 | - | - | - | - | - | - | 99,0 | 98,3 | 99,7 |
60 | - | - | - | - | - | - | 99,0 | 98,3 | 99,7 |
DR (наклон, a), %/мин | 3,19 | 3,15 | 3,21 | 2,29 | 2,15 | 2,38 | 2,24 | 2,36 | 2,28 |
Константа, b | -1,41 | -1,68 | -1,25 | +0,45 | -2,54 | -1,48 | -3,8 | -0,84 | -0,43 |
Время сушки (100%), мин | 31,8 | 32,3 | 31,5 | 43,5 | 46,8 | 43,1 | 44,7 | 42,8 | 44,1 |
Среднее время сушки в отдельной испытательной станции (TH), мин | 31,9 | 44,5 | 43,9 |
Стандартное отклонение (STD) в отдельной станции (TH) | 0,38 | 2,05 | 0,99 |
Коэффициент вариации (CV) в отдельной станции (TH), % | 1,20 | 4,62 | 2,25 |
Среднее время сушки по всем трем станциям (TH), мин | 40,1 |
Стандартное отклонение (STD) по всем трем станциям (TH) | 7,12 |
Коэффициент вариации (CV) по всем трем станциям (TH), % | 17,8 |
Таблица C.2
Результаты испытаний сушки методом A1 для пробы 2
Время, мин: x | Испытательная станция (TH): потеря массы воды Lt, %: y |
A | B | C |
0 | 0,0 | 0,0 | 0,0 | 0,0 | 0,0 | 0,0 | 0,0 | 0,0 | 0,0 |
5 | 11,5 | 11,6 | 12,0 | 10,3 | 13,3 | 10,0 | 9,0 | 9,1 | 8,3 |
10 | 25,3 | 25,9 | 27,5 | 24,1 | 23,3 | 20,0 | 19,0 | 19,5 | 17,6 |
15 | 39,8 | 40,9 | 44,4 | 34,5 | 33,3 | 33,3 | 29,0 | 29,9 | 27,2 |
20 | 54,6 | 55,1 | 60,9 | 44,8 | 43,3 | 43,3 | 39,3 | 39,9 | 36,9 |
25 | 69,4 | 70,1 | 76,4 | 58,6 | 56,7 | 53,3 | 48,7 | 49,0 | 47,2 |
30 | 82,6 | 83,7 | 89,8 | 72,4 | 66,7 | 66,7 | 58,7 | 59,7 | 56,8 |
35 | - | 94,0 | 98,2 | 79,3 | 76,7 | 76,7 | 68,3 | 68,8 | 66,1 |
40 | - | 100,0 | - | 89,7 | 86,7 | 86,7 | 76,7 | 77,5 | 74,8 |
45 | - | - | - | 96,6 | 96,7 | 93,3 | 84,0 | 84,6 | 82,7 |
50 | - | - | - | - | - | - | 90,3 | 91,3 | 89,4 |
55 | - | - | - | - | - | - | 94,7 | 95,3 | 94,0 |
60 | - | - | - | - | - | - | 97,0 | 97,0 | 97,0 |
DR (наклон, a), %/мин | 2,81 | 2,84 | 3,08 | 2,29 | 2,16 | 2,20 | 1,91 | 1,92 | 1,84 |
Константа, b | -1,62 | -1,52 | -1,84 | 0,23 | 1,33 | -0,67 | 0,32 | 0,55 | 0,02 |
Время сушки (100%), мин | 36,2 | 35,8 | 33,0 | 43,6 | 45,8 | 45,8 | 52,2 | 51,7 | 54,3 |
Среднее время сушки в отдельной испытательной станции (TH), мин | 35,0 | 45,0 | 52,7 |
Стандартное отклонение (STD) в отдельной станции (TH) | 1,73 | 1,24 | 1,33 |
Коэффициент вариации (CV) в отдельной станции (TH), % | 4,94 | 2,75 | 2,53 |
Среднее время сушки по всем трем станциям (TH), мин | 44,3 |
Стандартное отклонение (STD) по всем трем станциям (TH) | 8,89 |
Коэффициент вариации (CV) по всем трем станциям (TH), % | 20,1 |
Таблица C.3
Результаты испытаний сушки методом A1 для пробы 3
Время, мин: x | Испытательная станция (TH): потеря массы воды Lt, %: y |
A | B | C |
0 | 0,0 | 0,0 | 0,0 | 0,0 | 0,0 | 0,0 | 0,0 | 0,0 | 0,0 |
5 | 22,4 | 22,1 | 23,5 | 13,8 | 13,3 | 13,3 | 16,9 | 16,5 | 16,5 |
10 | 45,8 | 46,8 | 48,5 | 31,0 | 30,0 | 30,0 | 32,8 | 32,7 | 33,0 |
15 | 70,2 | 70,2 | 72,7 | 44,8 | 43,3 | 43,3 | 49,7 | 48,8 | 49,8 |
20 | 91,2 | 90,0 | 92,2 | 62,1 | 60,0 | 60,0 | 65,2 | 63,6 | 65,7 |
25 | - | - | - | 75,9 | 73,3 | 73,3 | 79,8 | 78,5 | 79,5 |
30 | - | - | - | 89,7 | 83,3 | 83,3 | 90,7 | 89,9 | 90,1 |
35 | - | - | - | 96,6 | 93,3 | 93,3 | 95,4 | 95,3 | 95,7 |
40 | - | - | - | - | 96,7 | 96,7 | 96,4 | 96,6 | 97,0 |
45 | - | - | - | - | - | - | 96,7 | 97,0 | 97,4 |
50 | - | - | - | - | - | - | 96,7 | 97,0 | 97,7 |
55 | - | - | - | - | - | - | 96,7 | 97,0 | 97,7 |
60 | - | - | - | - | - | - | 97,0 | 97,0 | 98,0 |
DR (наклон, a), %/мин | 4,68 | 4,71 | 4,86 | 3,03 | 2,93 | 2,93 | 3,21 | 3,03 | 3,21 |
Константа, b | -0,51 | 0,54 | -0,27 | -0,34 | -0,33 | -0,33 | 0,66 | 1,65 | 0,61 |
Время сушки (100%), мин | 21,5 | 21,1 | 20,6 | 33,1 | 34,2 | 34,2 | 31,0 | 32,4 | 30,9 |
Среднее время сушки в отдельной испытательной станции (TH), мин | 21,1 | 33,8 | 31,5 |
Стандартное отклонение (STD) в отдельной станции (TH) | 0,43 | 0,66 | 0,84 |
Коэффициент вариации (CV) в отдельной станции (TH), % | 2,03 | 1,94 | 2,68 |
Среднее время сушки по всем трем станциям (TH), мин | 28,8 |
Стандартное отклонение (STD) по всем трем станциям (TH) | 6,78 |
Коэффициент вариации (CV) по всем трем станциям (TH), % | 23,5 |
Таблица C.4
Результаты испытаний сушки методом A1 для пробы 4
Время, мин: x | Испытательная станция (TH): потеря массы воды Lt, %: y |
A | B | C |
0 | 0,0 | 0,0 | 0,0 | 0,0 | 0,0 | 0,0 | 0,0 | 0,0 | 0,0 |
5 | 12,8 | 12,1 | 13,2 | 6,7 | 10,0 | 6,7 | 9,8 | 8,6 | 7,3 |
10 | 30,0 | 27,2 | 26,6 | 13,3 | 16,7 | 13,3 | 18,9 | 18,2 | 16,6 |
15 | 45,5 | 41,3 | 41,1 | 23,3 | 23,3 | 23,3 | 27,9 | 27,7 | 25,8 |
20 | 60,6 | 56,0 | 55,9 | 30,0 | 33,3 | 30,0 | 36,7 | 37,6 | 35,4 |
25 | 74,4 | 70,1 | 68,4 | 40,0 | 40,0 | 36,7 | 45,8 | 46,9 | 44,0 |
30 | 88,2 | 82,2 | 80,6 | 46,7 | 50,0 | 46,7 | 54,5 | 56,4 | 53,0 |
35 | - | 93,0 | 90,5 | 56,7 | 56,7 | 56,7 | 62,6 | 65,3 | 61,6 |
40 | - | 100,0 | - | 63,3 | 66,7 | 63,3 | 70,4 | 73,3 | 69,9 |
45 | - | - | - | 73,3 | 76,7 | 73,3 | 77,4 | 80,2 | 77,8 |
50 | - | - | - | - | - | - | 83,8 | 86,1 | 84,1 |
55 | - | - | - | - | - | - | 88,9 | 91,1 | 89,7 |
60 | - | - | - | - | - | - | 92,6 | 94,1 | 93,0 |
DR (наклон, a), %/мин | 2,99 | 2,80 | 2,73 | 1,64 | 1,66 | 1,64 | 1,65 | 1,78 | 1,69 |
Константа, b | -0,35 | -0,68 | -0,05 | -1,58 | -0,12 | -1,82 | 2,81 | 1,10 | 0,66 |
Время сушки (100%), мин | 33,6 | 36,0 | 36,7 | 61,9 | 60,1 | 62,2 | 59,1 | 55,7 | 58,8 |
Среднее время сушки в отдельной испытательной станции (TH), мин | 35,4 | 61,4 | 57,9 |
Стандартное отклонение (STD) в отдельной станции (TH) | 1,65 | 1,12 | 1,87 |
Коэффициент вариации (CV) в отдельной станции (TH), % | 4,64 | 1,82 | 3,24 |
Среднее время сушки по всем трем станциям (TH), мин | 51,6 |
Стандартное отклонение (STD) по всем трем станциям (TH) | 14,10 |
Коэффициент вариации (CV) по всем трем станциям (TH), % | 27,3 |
C.3.2 Испытание сушки методом B
В этом круговом испытании участвовали шесть испытательных станций из Японии.
Результаты испытаний проб при использовании метода B показаны в
таблицах C.5 -
C.8.
Таблица C.5
Результаты испытаний сушки методом B для пробы 1
Время, мин: x | Испытательная станция (TH): потеря массы воды Lt, %: y |
A | B | C | D | E | F |
0 | 0,0 | 0,0 | 0,0 | 0,0 | 0,0 | 0,0 | 0,0 | 0,0 | 0,0 | 0,0 | 0,0 | 0,0 | 0,0 | 0,0 | 0,0 | 0,0 | 0,0 | 0,0 |
5 | 10,0 | 10,3 | 9,1 | 29,1 | 31,7 | 32,7 | 11,0 | 12,9 | 12,0 | 11,0 | 11,2 | 11,1 | 12,7 | 12,6 | 12,6 | 14,9 | 8,3 | 16,0 |
10 | 19,0 | 22,7 | 18,2 | 42,7 | 46,2 | 48,1 | 24,0 | 27,7 | 25,0 | 23,0 | 23,5 | 22,2 | 25,5 | 21,4 | 22,3 | 30,7 | 20,8 | 32,0 |
15 | - | - | - | 56,3 | 60,6 | 62,5 | 36,0 | 41,6 | 39,0 | 33,0 | 32,7 | 32,3 | 31,4 | 27,2 | 35,0 | - | - | - |
20 | 39,0 | 39,2 | 35,4 | 68,9 | 76,0 | 76,9 | 48,0 | 55,4 | 51,0 | 42,0 | 41,8 | 40,4 | 52,9 | 34,0 | 45,6 | 59,4 | 52,1 | 63,0 |
25 | - | - | - | 81,6 | 88,5 | 89,4 | 60,0 | 69,3 | 63,0 | 53,0 | 53,1 | 51,5 | 64,7 | 42,7 | 58,3 | - | - | - |
30 | 56,0 | 58,8 | 53,5 | 92,2 | 98,1 | 97,1 | 71,0 | 78,2 | 76,0 | 65,0 | 64,3 | 64,6 | 76,5 | 53,4 | 67,0 | 86,1 | 82,3 | 85,0 |
35 | - | - | - | 99,0 | 99,0 | 99,0 | 81,0 | 90,1 | 87,0 | 74,0 | 74,5 | 73,7 | 85,3 | 64,1 | 78,6 | - | - | - |
40 | - | 78,4 | - | 99,0 | 99,0 | 98,1 | 90,0 | 95,0 | 95,0 | 82,0 | 81,6 | 80,8 | 95,1 | 71,8 | 88,3 | 99,0 | 99,0 | - |
45 | - | - | - | - | 99,0 | 98,1 | 97,0 | 98,0 | 99,0 | 88,0 | 87,8 | 86,9 | - | - | - | - | - | - |
50 | - | - | - | - | - | - | - | 96,0 | 99,0 | 95,0 | 94,9 | 94,9 | - | - | - | - | - | - |
55 | - | - | - | - | - | - | - | 96,0 | - | 98,0 | 99,0 | 99,0 | - | - | - | - | - | - |
60 | - | - | - | - | - | - | - | 96,0 | - | - | - | - | - | - | - | - | - | - |
DR (наклон, a), %/мин | 1,88 | 1,93 | 1,78 | 3,09 | 3,37 | 3,40 | 2,35 | 2,68 | 2,51 | 2,00 | 1,99 | 1,98 | 2,51 | 1,74 | 2,21 | 2,88 | 2,82 | 2,87 |
Константа, b | 0,41 | 1,04 | 0,14 | 7,81 | 8,38 | 9,16 | 0,25 | 0,53 | 0,17 | 2,07 | 2,21 | 1,76 | - | 1,60 | 1,04 | 0,80 | - | 1,95 |
Время сушки (100%), мин | 53,1 | 51,2 | 56,2 | 29,8 | 27,2 | 26,8 | 42,4 | 37,1 | 39,7 | 48,9 | 49,1 | 49,6 | 39,9 | 56,6 | 44,7 | 34,5 | 36,9 | 34,2 |
Среднее время сушки в отдельной испытательной станции (TH), мин | 53,5 | 27,9 | 39,8 | 49,2 | 47,1 | 35,2 |
Стандартное отклонение (STD) в отдельной станции (TH) | 2,54 | 1,66 | 2,67 | 0,33 | 8,59 | 1,47 |
Коэффициент вариации (CV) в отдельной станции (TH), % | 4,76 | 5,95 | 6,71 | 0,67 | 18,24 | 4,18 |
Среднее время сушки по всем трем станциям (TH), мин | 42,1 |
Стандартное отклонение (STD) по всем трем станциям (TH) | 9,58 |
Коэффициент вариации (CV) по всем трем станциям (TH), % | 22,8 |
Таблица C.6
Результаты испытаний сушки методом B для пробы 2
Время, мин: x | Испытательная станция (TH): потеря массы воды Lt, %: y |
A | B | C | D | E | F |
0 | 0,0 | 0,0 | 0,0 | 0,0 | 0,0 | 0,0 | 0,0 | 0,0 | 0,0 | 0,0 | 0,0 | 0,0 | 0,0 | 0,0 | 0,0 | 0,0 | 0,0 | 0,0 |
5 | 11,2 | 8,1 | 7,2 | 13,6 | 20,2 | 13,6 | 10,0 | 8,9 | 8,9 | 7,1 | 7,1 | 6,1 | 12,0 | 14,6 | 10,7 | 10,0 | 10,0 | 10,0 |
10 | 22,4 | 21,2 | 19,6 | 21,4 | 29,8 | 21,4 | 24,0 | 22,8 | 19,8 | 17,3 | 16,2 | 16,2 | 18,0 | 21,4 | 19,4 | 22,0 | 22,0 | 22,0 |
15 | - | - | - | 29,1 | 41,3 | 30,1 | 36,0 | 34,7 | 31,7 | 27,6 | 27,3 | 26,3 | 31,0 | 34,0 | 36,9 | - | - | - |
20 | 46,9 | 46,5 | 42,3 | 36,9 | 50,0 | 37,9 | 49,0 | 47,5 | 44,6 | 37,8 | 36,4 | 35,4 | 45,0 | 47,6 | 44,7 | 50,0 | 47,0 | 47,0 |
25 | - | - | - | 44,7 | 61,5 | 46,6 | 60,0 | 58,4 | 54,5 | 45,9 | 45,5 | 43,4 | 52,0 | 59,2 | 57,3 | - | - | - |
30 | 72,4 | 70,7 | 66,0 | 53,4 | 70,2 | 54,4 | 71,0 | 70,3 | 66,3 | 56,1 | 55,6 | 53,5 | 68,0 | 68,9 | 68,9 | 73,0 | 70,0 | 71,0 |
35 | - | - | - | 61,2 | 78,8 | 62,1 | 80,0 | 81,2 | 75,2 | 67,3 | 66,7 | 64,6 | 76,0 | 82,5 | 78,6 | - | - | - |
40 | - | 89,9 | - | 68,0 | 86,5 | 69,9 | 90,0 | 87,1 | 83,2 | 76,5 | 75,8 | 74,7 | 84,0 | 90,3 | 84,5 | 92,0 | 90,0 | - |
45 | - | - | - | - | 93,3 | 76,7 | 93,0 | 93,1 | 91,1 | 84,7 | 83,8 | 80,8 | - | - | - | - | - | - |
50 | - | - | - | - | - | - | - | 97,0 | 97,0 | 90,8 | 90,9 | 86,9 | - | - | - | - | - | - |
55 | - | - | - | - | - | - | - | 97,0 | - | 95,9 | 96,0 | 92,9 | - | - | - | - | - | - |
60 | - | - | - | - | - | - | - | 98,0 | - | - | - | - | - | - | - | - | - | - |
DR (наклон, a), %/мин | 2,42 | 2,33 | 2,24 | 1,65 | 2,08 | 1,66 | 2,35 | 2,28 | 2,16 | 1,93 | 1,92 | 1,83 | 2,16 | 2,33 | 2,20 | 2,49 | 2,37 | 2,40 |
Константа, b | - | - | - | 3,52 | 7,18 | 3,90 | 0,17 | 0,00 | 0,48 | -1,37 | - | - | - | 0,32 | 0,47 | - | - | - |
Время сушки (100%), мин | 41,7 | 43,6 | 45,5 | 58,6 | 44,7 | 57,9 | 42,5 | 43,8 | 46,1 | 52,5 | 53,1 | 55,5 | 46,4 | 42,9 | 45,2 | 40,7 | 42,7 | 42,2 |
Среднее время сушки в отдельной испытательной станции (TH), мин | 43,6 | 53,7 | 44,2 | 53,7 | 44,8 | 41,9 |
Стандартное отклонение (STD) в отдельной станции (TH) | 1,93 | 7,82 | 1,81 | 1,57 | 1,79 | 1,03 |
Коэффициент вариации (CV) в отдельной станции (TH), % | 4,42 | 14,6 | 4,10 | 2,93 | 4,01 | 2,45 |
Среднее время сушки по всем трем станциям (TH), мин | 47,0 |
Стандартное отклонение (STD) по всем трем станциям | 5,31 |
Коэффициент вариации (CV) по всем трем станциям (TH), % | 11,3 |
Таблица C.7
Результаты испытаний сушки методом B для пробы 3
Время, мин: x | Испытательная станция (TH): потеря массы воды Lt, %: y |
A | B | C | D | E | F |
0 | 0,0 | 0,0 | 0,0 | 0,0 | 0,0 | 0,0 | 0,0 | 0,0 | 0,0 | 0,0 | 0,0 | 0,0 | 0,0 | 0,0 | 0,0 | 0,0 | 0,0 | 0,0 |
5 | 15,0 | 14,9 | 18,6 | 17,3 | 26,0 | - | - | 18,8 | - | - | 13,0 | 14,0 | 17,6 | 21,8 | 17,5 | - | 18,0 | - |
10 | 33,0 | 32,7 | 35,3 | 26,9 | 37,5 | - | - | 34,7 | - | - | 27,0 | 28,0 | 36,3 | 39,6 | 38,8 | - | 37,0 | - |
15 | - | - | - | 36,5 | 50,0 | - | - | 51,5 | - | - | 40,0 | 41,0 | 53,9 | 60,4 | 59,2 | - | - | - |
20 | 67,0 | 64,4 | 67,6 | 45,2 | 60,6 | - | - | 65,3 | - | - | 50,0 | 50,0 | 73,5 | 78,2 | 79,6 | - | 72,0 | - |
25 | - | - | - | 54,8 | 71,2 | - | - | 81,2 | - | - | 62,0 | 62,0 | 84,3 | 91,1 | 91,3 | - | - | - |
30 | 90,0 | 88,1 | 91,2 | 63,5 | 80,8 | - | - | 90,1 | - | - | 75,0 | 76,0 | 92,2 | 96,0 | 96,1 | - | 95,0 | - |
35 | - | - | - | 71,2 | 87,5 | - | - | 94,1 | - | - | 86,0 | 86,0 | 95,1 | 97,0 | 98,1 | - | - | - |
40 | - | 97,0 | - | 78,8 | 91,3 | - | - | 95,0 | - | - | 91,0 | 91,0 | - | - | - | - | 99,0 | - |
45 | - | - | - | - | 96,2 | - | - | 96,0 | - | - | 95,0 | 94,0 | - | - | - | - | - | - |
50 | - | - | - | - | - | - | - | 97,0 | - | - | 95,0 | 94,0 | - | - | - | - | - | - |
55 | - | - | - | - | - | - | - | 97,0 | - | - | 96,0 | 97,0 | - | - | - | - | - | - |
60 | - | - | - | - | - | - | - | 98,0 | - | - | - | - | - | - | - | - | - | - |
DR (наклон, a), %/мин | 3,38 | 2,99 | 3,36 | 1,89 | 2,38 | - | - | 3,21 | - | - | 2,45 | 2,44 | 3,47 | 3,90 | 4,02 | - | 3,61 | - |
Константа, b | - | 1,19 | 0,98 | 5,92 | - | - | - | 1,74 | - | - | 1,33 | 2,00 | 0,93 | 0,99 | - | - | 0,20 | - |
Время сушки (100%), мин | 29,8 | 33,1 | 29,5 | 49,7 | 37,8 | - | - | 30,6 | - | - | 40,4 | 40,2 | 28,6 | 25,4 | 25,2 | - | 27,7 | - |
Среднее время сушки в отдельной испытательной станции (TH), мин | 30,8 | 43,9 | 32,9 | 40,5 | 26,4 | 28,0 |
Стандартное отклонение (STD) в отдельной станции (TH) | 2,00 | 5,92 | 2,12 | 0,40 | 1,90 | 1,27 |
Коэффициент вариации (CV) в отдельной станции (TH), % | 6,48 | 13,5 | 6,43 | 1,00 | 7,22 | 4,54 |
Среднее время сушки по всем трем станциям (TH), мин | 33,7 |
Стандартное отклонение (STD) по всем трем станциям | 7,01 |
Коэффициент вариации (CV) по всем трем станциям (TH), % | 20,8 |
Таблица C.8
Результаты испытаний сушки методом B для пробы 4
Время, мин: x | Испытательная станция (TH): потеря массы воды Lt, %: y |
A | B | C | D | E | F |
0 | 0,0 | 0,0 | 0,0 | 0,0 | 0,0 | 0,0 | 0,0 | 0,0 | 0,0 | 0,0 | 0,0 | 0,0 | 0,0 | 0,0 | 0,0 | 0,0 | 0,0 | 0,0 |
5 | 8,9 | 6,1 | 9,9 | 22,9 | 22,1 | 15,5 | 8,9 | 8,0 | 7,9 | 6,0 | 7,2 | 8,1 | 6,9 | 8,3 | - | 7,4 | - | 9,0 |
10 | 20,8 | 17,3 | 17,8 | 34,3 | 31,7 | 23,3 | 19,8 | 16,0 | 17,8 | 16,0 | 16,5 | 16,2 | 19,8 | 18,8 | 20,4 | 16,8 | - | 18,0 |
15 | - | - | - | 44,8 | 41,3 | 30,1 | 30,7 | 26,0 | 27,7 | 22,0 | 22,7 | 23,2 | 29,7 | 29,2 | 31,1 | - | - | - |
20 | 40,6 | 35,7 | 39,6 | 55,2 | 51,9 | 38,8 | 41,6 | 35,0 | 36,6 | 29,0 | 28,9 | 30,3 | 38,6 | 38,5 | - | - | - | 38,0 |
25 | - | - | - | 65,7 | 62,5 | 46,6 | 52,5 | 44,0 | 45,5 | 37,0 | 37,1 | 39,4 | 48,5 | 49,0 | - | - | - | - |
30 | 60,4 | 55,1 | 58,4 | 76,2 | 73,1 | 53,4 | 62,4 | 54,0 | 55,4 | 46,0 | 45,4 | 47,5 | 59,4 | 56,3 | 59,2 | 55,8 | - | 58,0 |
35 | - | - | - | 86,7 | 82,7 | 62,1 | 72,3 | 61,0 | 63,4 | 53,0 | 52,6 | 54,5 | 68,3 | 65,6 | 68,9 | - | - | - |
40 | - | 73,5 | - | 94,3 | 92,3 | 69,9 | 79,2 | 71,0 | 70,3 | 59,0 | 58,8 | 61,6 | 76,2 | 75,0 | 77,7 | 74,7 | - | - |
45 | - | - | - | - | 98,1 | 77,7 | 85,1 | 78,0 | 78,2 | 66,0 | 64,9 | 66,7 | - | - | - | - | - | - |
50 | - | - | - | - | - | - | - | 83,0 | 85,1 | 73,0 | 73,2 | 74,7 | - | - | - | - | - | - |
55 | - | - | - | - | - | - | - | 90,0 | - | 80,0 | 79,4 | 80,8 | - | - | - | - | - | - |
60 | - | - | - | - | - | - | - | 93,0 | - | - | - | - | - | - | - | - | - | - |
DR (наклон, a), %/мин | 2,03 | 1,87 | 1,96 | 2,33 | 2,23 | 1,64 | 1,97 | 1,73 | 1,74 | 1,47 | 1,44 | 1,48 | 1,96 | 1,89 | 1,92 | 1,90 | - | 1,94 |
Константа, b | - | - | - | 7,46 | 6,65 | 4,89 | 0,88 | 0,14 | 0,99 | 0,22 | 0,82 | 1,24 | 0,53 | 0,07 | - | - | - | 0,64 |
Время сушки (100%), мин | 49,4 | 54,2 | 51,2 | 39,7 | 41,9 | 58,1 | 50,3 | 57,9 | 57,1 | 68,0 | 68,7 | 66,8 | 50,8 | 52,9 | 51,5 | 53,4 | - | 51,2 |
Среднее время сушки в отдельной испытательной станции (TH) | 51,6 | 46,6 | 55,1 | 67,8 | 51,7 | 51,0 |
Стандартное отклонение (STD) в отдельной станции (TH) | 2,42 | 10,0 | 4,18 | 0,95 | 1,06 | 2,42 |
Коэффициент вариации (CV) в отдельной станции (TH), % | 4,69 | 21,5 | 7,58 | 1,41 | 2,06 | 4,75 |
Среднее время сушки по всем трем станциям (TH), мин | 54,0 |
Стандартное отклонение (STD) по всем трем станциям | 7,30 |
Коэффициент вариации (CV) по всем трем станциям (TH), % | 13,5 |
C.3.3 Испытание с использованием метода A2
В этом круговом испытании принимали участие четыре испытательные станции из Японии.
Результаты испытаний проб, использующие метод A2, показаны в
таблицах C.9 -
C.11.
Таблица C.9
Результаты испытаний пробы 5 методом A2
Время, мин: x | Испытательная станция (TH): потеря массы воды Lt, %: y |
A | B | C | D |
0 | 0,0 | 0,0 | 0,0 | 0,0 | 0,0 | 0,0 | 0,0 | 0,0 | 0,0 | 0,0 | 0,0 | 0,0 |
5 | 15,0 | 6,5 | 13,6 | 15,0 | 12,7 | 17,9 | 16,0 | 13,8 | 15,9 | 16,0 | 14,8 | 13,8 |
10 | 33,8 | 28,6 | 28,4 | 31,3 | 26,6 | 33,3 | 32,1 | 33,8 | 35,4 | 34,6 | 33,3 | 30,0 |
15 | 47,5 | 42,9 | 42,0 | 43,8 | 48,1 | 47,4 | 48,1 | 48,8 | 52,4 | 51,9 | 49,4 | 47,5 |
20 | 62,5 | 58,4 | 58,0 | 63,8 | 59,5 | 66,7 | 65,4 | 66,3 | 67,1 | 67,9 | 66,7 | 65,0 |
25 | 77,5 | 74,0 | 70,4 | 77,5 | 67,1 | 76,9 | 80,2 | 81,3 | 81,7 | 82,7 | 81,5 | 80,0 |
30 | 88,8 | 83,1 | 82,7 | 93,8 | 84,8 | 87,2 | 90,1 | 91,3 | 92,7 | 93,8 | 93,8 | 91,3 |
35 | 95,0 | 90,9 | 92,5 | - | 94,9 | 94,9 | 97,5 | - | - | - | - | - |
40 | - | - | - | - | - | - | - | - | - | - | - | - |
45 | - | - | - | - | - | - | - | - | - | - | - | - |
50 | - | - | - | - | - | - | - | - | - | - | - | - |
55 | - | - | - | - | - | - | - | - | - | - | - | - |
60 | - | - | - | - | - | - | - | - | - | - | - | - |
DR (наклон, a), %/мин | 2,97 | 2,90 | 2,79 | 3,12 | 2,83 | 2,95 | 3,23 | 3,31 | 3,31 | 3,35 | 3,31 | 3,26 |
Константа, b | 1,34 | -2,43 | 0,27 | -0,48 | 0,23 | 2,84 | 0,06 | -0,71 | 0,70 | 0,22 | -0,41 | -1,43 |
Время сушки (100%), мин | 33,2 | 35,3 | 35,7 | 32,2 | 35,3 | 33,0 | 30,9 | 30,5 | 30,0 | 29,8 | 30,3 | 31,1 |
Среднее время сушки в отдельной испытательной станции (TH) | 34,7 | 33,5 | 30,5 | 30,4 |
Стандартное отклонение (STD) в отдельной станции (TH) | 1,37 | 1,60 | 0,47 | 0,65 |
Коэффициент вариации (CV) в отдельной станции (TH), % | 3,93 | 4,77 | 1,53 | 2,14 |
Среднее время сушки по всем трем станциям (TH), мин | 32,3 |
Стандартное отклонение (STD) по всем трем станциям | 2,18 |
Коэффициент вариации (CV) по всем трем станциям (TH), % | 6,8 |
Таблица C.10
Результаты испытаний пробы 6 методом A2
Время, мин: x | Испытательная станция (TH): потеря массы воды Lt, %: y |
A | B | C | D |
0 | 0,0 | 0,0 | 0,0 | 0,0 | 0,0 | 0,0 | 0,0 | 0,0 | 0,0 | 0,0 | 0,0 | 0,0 |
5 | 15,0 | 16,3 | 18,8 | 18,8 | 18,8 | 19,0 | 17,5 | 19,0 | 19,8 | 16,7 | 23,2 | 17,7 |
10 | 35,0 | 35,0 | 37,5 | 41,3 | 41,3 | 41,8 | 40,0 | 43,0 | 43,2 | 42,3 | 43,9 | 41,8 |
15 | 55,0 | 63,8 | 57,5 | 62,5 | 62,5 | 60,8 | 61,3 | 65,8 | 64,2 | 64,1 | 67,1 | 64,6 |
20 | 72,5 | 76,3 | 75,0 | 80,0 | 80,0 | 79,7 | 80,0 | 87,3 | 81,5 | 83,3 | 85,4 | 84,8 |
25 | 85,0 | 90,0 | 86,3 | 92,5 | 93,8 | 92,4 | 91,3 | 94,9 | 93,8 | 97,4 | 96,3 | 96,2 |
30 | 93,8 | 96,3 | 95,0 | - | - | - | - | - | - | - | - | - |
35 | - | - | - | - | - | - | - | - | - | - | - | - |
40 | - | - | - | - | - | - | - | - | - | - | - | - |
45 | - | - | - | - | - | - | | - | - | - | - | - |
50 | - | - | - | - | - | - | - | - | - | - | - | - |
55 | - | - | - | - | - | - | - | - | - | - | - | - |
60 | - | - | - | - | - | - | - | - | - | - | - | - |
DR (наклон, a), %/мин | 3,67 | 3,84 | 3,75 | 4,08 | 4,08 | 4,03 | 4,08 | 4,43 | 4,15 | 4,28 | 4,29 | 4,33 |
Константа, b | - | - | 0,00 | -0,25 | -0,25 | 0,00 | -1,00 | -1,27 | 0,25 | -1,54 | 0,98 | -1,52 |
Время сушки (100%), мин | 27,6 | 26,5 | 26,7 | 24,6 | 24,6 | 24,8 | 24,8 | 22,9 | 24,0 | 23,7 | 23,1 | 23,5 |
Среднее время сушки в отдельной испытательной станции (TH) | 26,9 | 24,7 | 23,9 | 23,4 |
Стандартное отклонение (STD) в отдельной станции (TH) | 0,63 | 0,14 | 0,97 | 0,32 |
Коэффициент вариации (CV) в отдельной станции (TH), % | 2,33 | 0,57 | 4,07 | 1,38 |
Среднее время сушки по всем трем станциям (TH), мин | 24,7 |
Стандартное отклонение (STD) по всем трем станциям | 1,56 |
Коэффициент вариации (CV) по всем трем станциям (TH), % | 6,3 |
Таблица C.11
Результаты испытаний пробы 7 методом A2
Время, мин: x | Испытательная станция (TH): потеря массы воды Lt, %: y |
A | B | C |
0 | 0,0 | 0,0 | 0,0 | 0,0 | 0,0 | 0,0 | 0,0 | 0,0 | 0,0 |
5 | 23,5 | 31,3 | 21,0 | 13,9 | 16,7 | 17,5 | 12,8 | 16,7 | 14,1 |
10 | 42,0 | 47,5 | 39,5 | 32,9 | 34,6 | 37,5 | 34,6 | 33,3 | 32,1 |
15 | 60,5 | 70,0 | 63,0 | 53,2 | 55,1 | 56,3 | 57,7 | 50,0 | 51,3 |
20 | 80,2 | 86,3 | 72,8 | 72,2 | 74,4 | 75,0 | 73,1 | 66,7 | 67,9 |
25 | 97,5 | - | 91,4 | 88,6 | 89,7 | 91,3 | 89,7 | 83,3 | 87,2 |
30 | - | - | - | 98,7 | 98,7 | - | 94,9 | 94,9 | 92,3 |
35 | - | - | - | - | - | - | - | - | - |
40 | - | - | - | - | - | - | - | - | - |
45 | - | - | - | - | - | - | - | - | - |
50 | - | - | - | - | - | - | - | - | - |
55 | - | - | - | - | - | - | - | - | - |
60 | - | - | - | - | - | - | - | - | - |
DR (наклон, a), %/мин | 3,96 | 4,17 | 3,61 | 3,65 | 3,67 | 3,78 | 3,73 | 3,33 | 3,52 |
Константа, b | 1,73 | 4,75 | 1,73 | -2,11 | -0,79 | -0,50 | -1,95 | 0,00 | -1,95 |
Время сушки (100%), мин | 24,8 | 22,8 | 27,2 | 28,0 | 27,5 | 26,6 | 27,3 | 30,0 | 28,9 |
Среднее время сушки в отдельной испытательной станции (TH) | 24,9 | 27,4 | 28,8 |
Стандартное отклонение (STD) в отдельной станции (TH) | 2,19 | 0,70 | 1,34 |
Коэффициент вариации (CV) в отдельной станции (TH), % | 8,78 | 2,55 | 4,65 |
Среднее время сушки по всем трем станциям (TH), мин | 27,0 |
Стандартное отклонение (STD) по всем трем станциям | 1,93 |
Коэффициент вариации (CV) по всем трем станциям (TH), % | 7,1 |
(справочное)
ПРИМЕР ИНТЕРПРЕТАЦИИ РЕЗУЛЬТАТА ИСПЫТАНИЙ
Рассматриваемые текстильные полотна должны иметь хорошие характеристики высушивания, установленные в результате длительного изучения в Японии, как показано в
таблице D.1. Оценку следует выполнять для текстильных материалов, обладающих хорошими абсорбционными свойствами, определяемыми согласно
приложению A.
Здесь приведен только один пример. Значения требований должны быть выбраны заинтересованными сторонами.
Таблица D.1
Пример интерпретации результатов испытаний
для 100%-ной сушки воды
Метод | A1 | A2 | B |
Волокнистый материал | Время для 100%-ной сушки (мин/100%) | Время для 100%-ной сушки (мин/100%) | Время для 100%-ной сушки (мин/100%) |
Ткань | Трикотаж | Ткань | Трикотаж | Ткань | Трикотаж |
Синтетические волокна 100% | <= 70 | <= 75 | <= 30 | <= 35 | <= 40 | <= 45 |
Синтетические волокна/Целлюлозные волокна (50%/50% смесь) | <= 75 | <= 80 | <= 35 | <= 40 | <= 50 | <= 55 |
Целлюлозные волокна 100% | <= 80 | <= 85 | <= 40 | <= 45 | <= 60 | <= 65 |
Примечание 1 - Если 90%-ная сушка или сушка для других величин процентов, стандартные значения рассчитывают по пропорции. Примечание 2 - Если требуются стандартные значения для смеси текстильных материалов, их также рассчитывают по пропорции. |
(справочное)
СВЕДЕНИЯ О СООТВЕТСТВИИ ССЫЛОЧНЫХ МЕЖДУНАРОДНЫХ СТАНДАРТОВ
НАЦИОНАЛЬНЫМ СТАНДАРТАМ
Таблица ДА.1
Обозначение ссылочного международного стандарта | Степень соответствия | Обозначение и наименование соответствующего национального стандарта |
ISO 139 | IDT | ГОСТ Р ИСО 139-2007 "Изделия текстильные. Стандартные атмосферные условия для кондиционирования и проведения испытаний" |
ISO 3696 | MOD | ГОСТ Р 52501-2005 (ИСО 3696:1987) "Вода для лабораторного анализа. Технические условия" |
Примечание - В настоящей таблице использованы следующие условные обозначения степени соответствия стандартов: - IDT - идентичные стандарты; - MOD - модифицированные стандарты. |
| Текстильные материалы. Испытания прочности окраски. Часть E04: Устойчивость окраски к поту <*> |
--------------------------------
<*> На основе ISO 105-E04:2013 "Материалы текстильные. Определение устойчивости окраски. Часть E04. Метод определения устойчивости окраски к поту" подготовлен и введен в действие с 01.01.2016 г.
ГОСТ Р ИСО 105-E04-2014 "Материалы текстильные. Определение устойчивости окраски. Часть E04. Метод определения устойчивости окраски к поту".