Главная // Актуальные документы // ГОСТ Р (Государственный стандарт)СПРАВКА
Источник публикации
М.: Стандартинформ, 2020
Примечание к документу
Документ
введен в действие с 01.03.2021.
Название документа
"ГОСТ Р 59092-2020. Национальный стандарт Российской Федерации. Оборудование магнитно-резонансное для медицинской визуализации. Контроль качества изображений. Методы испытаний"
(утв. и введен в действие Приказом Росстандарта от 09.10.2020 N 786-ст)
"ГОСТ Р 59092-2020. Национальный стандарт Российской Федерации. Оборудование магнитно-резонансное для медицинской визуализации. Контроль качества изображений. Методы испытаний"
(утв. и введен в действие Приказом Росстандарта от 09.10.2020 N 786-ст)
Утвержден и введен в действие
агентства по техническому
регулированию и метрологии
от 9 октября 2020 г. N 786-ст
НАЦИОНАЛЬНЫЙ СТАНДАРТ РОССИЙСКОЙ ФЕДЕРАЦИИ
ОБОРУДОВАНИЕ МАГНИТНО-РЕЗОНАНСНОЕ ДЛЯ МЕДИЦИНСКОЙ
ВИЗУАЛИЗАЦИИ. КОНТРОЛЬ КАЧЕСТВА ИЗОБРАЖЕНИЙ
МЕТОДЫ ИСПЫТАНИЙ
Magnetic resonance equipment for medical imaging.
Quality control of images. Test methods
ГОСТ Р 59092-2020
Дата введения
1 марта 2021 года
1 РАЗРАБОТАН Федеральным государственным унитарным предприятием "Российский научно-технический центр информации по стандартизации, метрологии и оценке соответствия" (ФГУП "СТАНДАРТИНФОРМ"), Государственным бюджетным учреждением здравоохранения города Москвы "Научно-практический клинический центр диагностики и телемедицинских технологий Департамента здравоохранения города Москвы" (ГБУЗ "НПКЦ ДиТ ДЗМ") и Обществом с ограниченной ответственностью "Медтехстандарт" (ООО "Медтехстандарт"). Авторский коллектив: главный внештатный специалист в области лучевой диагностики и инструментальной диагностики Департамента здравоохранения города Москвы и Министерства здравоохранения Российской Федерации в Центральном федеральном округе доктор медицинских наук, профессор Морозов С.П., кандидат технических наук Сергунова К.А., технические эксперты Смирнов А.В., Семенов Д.С., Ахмад Е.С.
2 ВНЕСЕН Техническим комитетом по стандартизации ТК 011 "Медицинские приборы, аппараты и оборудование"
3 УТВЕРЖДЕН И ВВЕДЕН В ДЕЙСТВИЕ
Приказом Федерального агентства по техническому регулированию и метрологии от 9 октября 2020 г. N 786-ст
4 ВВЕДЕН ВПЕРВЫЕ
Правила применения настоящего стандарта установлены в статье 26 Федерального закона от 29 июня 2015 г. N 162-ФЗ "О стандартизации в Российской Федерации". Информация об изменениях к настоящему стандарту публикуется в ежегодном (по состоянию на 1 января текущего года) информационном указателе "Национальные стандарты", а официальный текст изменений и поправок - в ежемесячном информационном указателе "Национальные стандарты". В случае пересмотра (замены) или отмены настоящего стандарта соответствующее уведомление будет опубликовано в ближайшем выпуске ежемесячного информационного указателя "Национальные стандарты". Соответствующая информация, уведомление и тексты размещаются также в информационной системе общего пользования - на официальном сайте Федерального агентства по техническому регулированию и метрологии в сети Интернет (www.gost.ru)
Настоящий стандарт распространяется на магнитно-резонансное оборудование для медицинской визуализации (МР-оборудование) для обеспечения требуемой точности получаемых данных с целью повышения диагностической ценности результатов МР-исследований.
Изображения, зарегистрированные с использованием МР-оборудования, разделяются на структурные и количественные. К структурным относятся изображения, значение интенсивности сигнала в каждом пикселе которых зависит от нескольких параметров. Например, изображения, взвешенные по временам продольной или поперечной релаксации, при этом уровень сигнала зависит как от физических свойств биологических тканей, так и от параметров импульсной последовательности. К количественным относятся изображения, на которых интенсивность сигнала в области визуализируемого объекта соответствует значению одного из физических параметров биологической ткани, например одного из времен продольной, поперечной релаксации, протонной плотности, коэффициента диффузии и др.
Настоящий стандарт устанавливает методы испытаний параметров качества структурных и количественных изображений МР-оборудования.
В настоящем стандарте представлена система контроля эксплуатационных параметров магнитно-резонансного оборудования для медицинской визуализации.
Средства измерения, испытательное и вспомогательное оборудование, используемые для контроля, должны быть простыми и удобными в практическом применении. Представленные в настоящем стандарте методы испытаний не предназначены для оценки механических или электрических характеристик.
В настоящем стандарте использованы нормативные ссылки на следующие стандарты:
| | ИС МЕГАНОРМ: примечание. В официальном тексте документа, видимо, допущена опечатка: стандарт имеет номер ГОСТ Р 58450-2019, а не ГОСТ 58450. | |
ГОСТ 58450 Изделия медицинские с измерительными функциями. Контроль состояния
ГОСТ Р МЭК 60601-2-33 Изделия медицинские электрические. Часть 2-33. Частные требования безопасности с учетом основных функциональных характеристик к медицинскому диагностическому оборудованию, работающему на основе магнитного резонанса
Примечание - При пользовании настоящим стандартом целесообразно проверить действие ссылочных стандартов в информационной системе общего пользования - на официальном сайте Федерального агентства по техническому регулированию и метрологии в сети Интернет или по ежегодному информационному указателю "Национальные стандарты", который опубликован по состоянию на 1 января текущего года, и по выпускам ежемесячного информационного указателя "Национальные стандарты" за текущий год. Если заменен ссылочный стандарт, на который дана недатированная ссылка, то рекомендуется использовать действующую версию этого стандарта с учетом всех внесенных в данную версию изменений. Если заменен ссылочный стандарт, на который дана датированная ссылка, то рекомендуется использовать версию этого стандарта с указанным выше годом утверждения (принятия). Если после утверждения настоящего стандарта в ссылочный стандарт, на который дана датированная ссылка, внесено изменение, затрагивающее положение, на которое дана ссылка, то это положение рекомендуется применять без учета данного изменения. Если ссылочный стандарт отменен без замены, то положение, в котором дана ссылка на него, рекомендуется применять в части, не затрагивающей эту ссылку.
В настоящем стандарте применены следующие термины с соответствующими определениями:
3.1 артефакт (artefact): Визуальный элемент на изображении, не соответствующий структурам реального объекта, расположенным в данном месте, и не являющийся результатом характерного распределения шумов на изображении.
3.2 артефакт фазового кодирования (паразитный) (ghosting artefact): Артефакт визуализации копии целого или части существующих структур объекта в мнимом положении.
Примечание - См.
[1], пункт 3.1.9.
3.3
базовое значение: Эталонное значение функционального параметра либо: - значение параметра, полученное при первичных испытаниях на постоянство параметров, проводимых сразу после периодических испытаний; - значение параметра, установленное соответствующим частным стандартом, равное среднему значению величин, полученных в начальной серии испытаний на постоянство параметров, проводимой сразу после периодических испытаний. |
3.4 высококонтрастное пространственное разрешение (spatial resolution): Мера способности магнитно-резонансного томографа раздельно передавать на реконструированном изображении различные объекты, когда разница в интенсивности сигнала между самими объектами и фоном достаточно велика в сравнении с шумом.
3.5 изоцентр (isocenter): Центр координатной системы МР-оборудования, в котором значение пространственно-кодирующих градиентов равно нулю. Обычно это соответствует центру области наибольшей однородности магнитного поля.
Примечание - См.
[1], пункт 3.1.11.
3.6 испытания на постоянство параметров (constancy test): Серия испытаний, проводимых для подтверждения соответствия функциональных характеристик изделия установленному критерию и для раннего выявления изменения характеристик компонентов оборудования.
Примечание - См.
[1], пункт 3.1.4.
3.7 количественное магнитно-резонансное изображение; количественное МР-изображение: Изображение, полученное на МР-оборудовании, интенсивность сигнала каждого элемента матрицы которого в области визуализируемого объекта соответствует значению одного из физических параметров биологического объекта, таких как, например, время продольной, поперечной релаксации, протонная плотность, коэффициент диффузии, перенос намагниченности и др.
3.8
контроль качества: Методы и деятельность оперативного характера, используемые для удовлетворения требований к качеству. |
3.9
магнитно-резонансное оборудование; МР-оборудование (magnetic resonance equipment): Медицинское электрическое изделие, которое используется в медицинской диагностике и служит для проведения МР-исследования пациента in vivo. МР-оборудование включает в себя все части аппаратных и программных средств, начиная с источника питания и заканчивая дисплеем монитора. Примечание - МР-оборудование - это программируемая электрическая медицинская система (ПЭМС). |
3.10 медицинские изделия с измерительными функциями: Технические системы и устройства с измерительными функциями, применяемые в сфере здравоохранения, обеспечивающие:
- количественные (численные) измерения физиологического или анатомического параметров;
- измерения количества, поддающегося определению, энергии или веществ, введенных или выведенных из человеческого организма;
- выражение результатов указанных выше измерений в единицах, допускаемых к применению в Российской Федерации;
- предназначение изделия, базированное на точности измерений, заявленной прямо или косвенно, что в случае несоответствия заявленной точности может привести к существенному ухудшению здоровья и безопасности пациента.
3.11 нелинейность (geometric distortion): Отклонение пространственного положения, формы и размеров структур на изображении от действительного.
Примечание - См.
[1], пункт 3.1.8.
3.12 неоднородность (non-uniformity): Величина неравномерности распределения интенсивности сигнала на изображении однородного тест-объекта.
Примечание - См.
[1], пункт 3.1.33.
3.13
обеспечение контроля качества: Планируемые и систематически проводимые мероприятия, подтверждающие, что продукция или услуга удовлетворяют требованиям к качеству. |
3.14 область интереса: Ограниченная часть изображения, несущая необходимую и достаточную информацию для достижения поставленных диагностических целей.
Примечание - См.
[1], пункт 3.1.22.
3.15 оператор: Лицо, выполняющее работы на оборудовании.
Примечание - См.
[1], пункт 3.1.16.
3.16 отношение сигнал/шум (signal to noise ratio): Отношение уровня сигнала к уровню шума на изображении.
Примечание - См.
[1], пункт 3.1.26.
3.17
периодические испытания: Испытания, проводимые для определения правильности функционирования изделия в конкретный момент времени. |
3.18
программа контроля качества: Документ, регламентирующий конкретные меры по обеспечению контроля качества отдельных типов изделий, включая административные мероприятия и технику контроля качества. |
3.19 профиль среза (slice profile): График интенсивности сигнала в направлении, перпендикулярном к плоскости сканирования.
Примечание - См.
[1], пункт 3.1.27.
3.20 поле обзора (field of view, FOV): Размер визуализируемой области, задаваемый оператором МР-оборудования.
Примечания
2 Размер может быть задан одним или двумя линейными показателями в зависимости от формы области визуализации (квадратной или прямоугольной соответственно).
3.21 полная ширина на высоте половины максимума; ПШПМ (full width at half-maximum, FWHM): Интервал, параллельный оси абсцисс между точками на кривой, соответствующими уровню половины максимума кривой.
Примечание - См.
[1], пункт 3.1.7.
3.22 приемочные испытания (acceptance tests): Испытания, проводимые для проверки соответствия изделия требованиям поставки после установки нового изделия.
3.23 рабочий объем РЧ-катушки (RF coil specification volume): Характеристика РЧ-катушки, определяющая объем визуализации, внутри которого производитель гарантирует соответствующие параметры качества изображения.
Примечание - См.
[1], пункт 3.1.25.
3.24 рабочий объем системы (system specification volume): Характеристика системы МР-оборудования, определяющая объем визуализации, внутри которого производитель гарантирует соответствующие параметры качества изображения.
Примечания
2 Изображение или его часть вне объема визуализации могут не соответствовать заявленному качеству, но тем не менее остаются полезными для диагностики.
3 Рабочий объем системы может быть различным для разных параметров качества изображений.
3.25 рабочая плоскость РЧ-катушки (RF coil specification area): Пересечение рабочего объема РЧ-катушки и плоскости изображения.
Примечание - См.
[1], пункт 3.1.24.
3.26 радиочастотная катушка; РЧ-катушка (radio frequency coil): Катушка для передачи и/или приема радиочастотного магнитного поля.
Примечание - См.
[1], пункт 3.1.19.
3.27 структурное магнитно-резонансное изображение; МР-изображение: Изображение, полученное на МР-оборудовании, интенсивность сигнала каждого элемента матрицы которого не может быть выражена в абсолютных единицах измерения, так как зависит от большого числа и будет меняться в зависимости от параметров импульсной последовательности. К ним относятся, например, изображения, взвешенные по временам продольной или поперечной релаксации.
3.28 тест-объект (test device): Объект для проведения испытаний МР-системы и оценки качества изображений.
Примечание - См.
[1], пункт 3.1.31.
3.29 толщина среза (slice thickness): Полная ширина на высоте половины максимума профиля среза, построенного перпендикулярно к визуализируемому срезу.
Примечание - См.
[1], пункт 3.1.28.
3.30
установленные пределы: В программе обеспечения контроля качества - допускаемые отклонения результатов испытаний на постоянство параметров, подтверждающие удовлетворительность функциональной характеристики испытуемого изделия. |
3.31 фазовая передискретизация (phase oversampling): Технология сбора данных, позволяющая увеличить одновременно размер поля обзора в направлении кодирования фазы и число фазокодирующих импульсов с целью исключить алайзинговые артефакты (артефакты наложения) в направлении фазового кодирования.
Примечание - См.
[1], пункт 3.1.18.
3.32 ширина половины полосы пропускания приемника (bandwidth): Величина, обратная длительности интервала дискретизации сигнала.
Примечания
1 Могут быть использованы альтернативные показатели в зависимости от настройки производителя МР-оборудования и отображения на консоли оператора.
3.33 шум на изображении (image noise): Амплитуда случайных отклонений от действительного значения интенсивности сигнала на изображении.
Примечание - См.
[1], пункт 3.1.10.
4 Обеспечение контроля качества. Контроль качества и управление качеством
В настоящем разделе определяются методы управления качеством и мероприятия, позволяющие следить за стабильностью работы МР-оборудования.
Эти мероприятия следует выполнять после того, как пользователь убедится, что функциональные характеристики МР-оборудования являются приемлемыми (например, соответствуют условиям контракта на поставку).
По результатам первичных испытаний на постоянство параметров, проводимых в рамках приемочных испытаний МР-оборудования, определяют и фиксируют базовые значения параметров, с которыми сравнивают результаты последующих испытаний на постоянство параметров.
Результаты испытаний на постоянство параметров сравнивают с установленными пределами.
Результаты периодических испытаний сопоставляют со значением контролируемых параметров, определенных в процессе приемочных испытаний. При отсутствии протоколов с результатами приемочных испытаний рекомендуется использовать критерии в соответствии с
приложением А.
Принимая во внимание предполагаемое применение оборудования, требования сопроводительных (далее - эксплуатационных) документов или конкретного стандарта, пользователь устанавливает:
- административные мероприятия, которым необходимо следовать;
- значения функциональных параметров, которые будут использованы;
- необходимые условия для выполнения испытаний на постоянство параметров.
Установленные пределы могут изменяться в зависимости от модели испытуемого МР-оборудования.
В случае выявления несоответствий результатов испытаний установленным пределам принимают меры по их устранению.
Персонал медицинской организации, ответственный за техническое состояние МР-оборудования, осуществляет функции по обеспечению проведения контроля качества, в том числе:
- составляет и контролирует проведение испытаний по контролю технического состояния;
- обеспечивает ведение протоколов испытаний на постоянство параметров, которые должны включать результаты испытаний, записи об обнаруженных неисправностях и мерах, принятых для их устранения;
- обеспечивает ведение журнала технического обслуживания.
Уполномоченный персонал отвечает за наличие журнала, доступного для лиц, работающих с МР-оборудованием, на случай возникновения неисправности или решения вопросов, связанных с его эксплуатацией.
Журнал технического обслуживания должен содержать следующую информацию:
- контрольную дату испытания на постоянство параметров МР-оборудования (эта дата важна при решении вопроса об уточнении/изменении программы контроля качества или программы оценки стабильности параметров);
- данные о работе МР-оборудования, которые могут быть учтены при анализе результатов испытаний на постоянство параметров для решения вопроса о необходимости корректирующих действий.
4.2 Типы испытаний эксплуатационных параметров
Программа контроля качества должна быть основана на анализе эксплуатационных параметров МР-оборудования после поставки, монтажа или значительной модификации аппарата.
Оценку основных параметров качества изображений МР-оборудования проводят в процессе приемочных испытаний, периодических испытаний, а также при проведении испытаний на постоянство параметров (см.
таблицу 1). Общая схема проведения контроля качества показана на рисунке 1.
Таблица 1
Типы испытаний эксплуатационных параметров МР-оборудования
Характеристика испытаний | Приемочные испытания | Периодические испытания | Испытания на постоянство параметров |
Цель | Подтверждение эксплуатационных параметров изделия по согласованию между поставщиком и пользователем МР-оборудования | Определение технического состояния | Проверка постоянства эксплуатационных параметров |
Содержание | Оценка основных параметров | Оценка основных параметров | Оценка сокращенного списка основных параметров, сравнение с базовыми значениями (см. 4.2.3.2) |
Периодичность | При установке и после конструктивных изменений | Первоначально, после модификации или ремонта, периодически и при отклонении от постоянства | В установленные сроки и непосредственно после проведения технического обслуживания, а также при подозрении на сбой в работе |
Ответственные | Изготовитель и пользователь или его (их) представители | Пользователь или его представитель | Пользователь или его представитель |
Лица, проводящие испытания | Организации, аккредитованные в установленном порядке на данный вид деятельности | Организации, аккредитованные в установленном порядке на данный вид деятельности | Уполномоченный персонал медицинской организации (медицинский физик, инженерный персонал и/или лаборант) |

Рисунок 1 - Общая схема проведения контроля качества
4.2.1 Приемочные испытания
4.2.1.1 Цель приемочных испытаний состоит в подтверждении эксплуатационных параметров МР-оборудования. Эти испытания организуются представителями изготовителя или организациями, уполномоченными изготовителем, и проводятся организациями, аккредитованными в установленном порядке на данный вид деятельности. Приемочные испытания представляют собой серию абсолютных измерений функциональных характеристик компонентов и принадлежностей, проводимых в медицинских организациях при вводе в эксплуатацию МР-оборудования, на соответствие эксплуатационной документации и/или конкурсной документации.
4.2.1.2 Документы и исходные данные для испытаний
Для проведения испытаний необходимы следующие документы и исходные данные:
- декларация о соответствии;
- регистрационное удостоверение медицинского изделия;
- эксплуатационная документация (паспорт или руководство по эксплуатации) и др.
При вводе МР-оборудования в эксплуатацию проводится также проверка наличия действующих протоколов испытаний параметров и документации на кабинет МР-томографии:
- акт ввода в эксплуатацию;
- проект на кабинет МР-томографии;
- протокол проверки вентиляции;
- протокол проверки электробезопасности, включая протокол проверки заземлителя, протокол проверки наличия цепей заземления и протокол проверки сопротивления изоляции проводов и кабелей;
- протокол проведения измерений уровней шума;
- протокол исследований электромагнитного поля.
4.2.1.3 Условия испытаний
Различают следующие виды испытаний:
- визуальный осмотр;
- функциональные испытания;
- проверка эксплуатационных характеристик системы.
Необходимые данные, такие как идентификация испытуемого МР-оборудования, используемого испытательного оборудования, условия испытаний, рабочие характеристики, результаты испытаний всех применяемых в клинической практике РЧ-катушек, экранов, пленочного термопринтера, рабочей станции врача-рентгенолога, должны быть занесены в протокол вместе с результатами испытания. Контролируется и вносится в протокол также наличие комплекта фантомов (тест-объектов) для проведения испытаний на постоянство параметров. В протоколе указывают место и дату проведения испытания, а также фамилии персонала, проводившего его.
4.2.1.4 Проверяемые характеристики
При приемочных испытаниях проверяют следующие характеристики и параметры:
- идентификацию изделия;
- документацию;
- характеристики, оцениваемые с использованием визуальных и функциональных проверок;
- работоспособность систем МР-оборудования, в том числе оценку плавности движения стола пациента и систем его блокировки/разблокировки, точности позиционирования с использованием лазерного прицела, контроль работы вентиляции и освещения в гентри магнита (при наличии), оценку систем мониторинга пациента во время проведения исследования (наличие и исправность сигнальной кнопки/груши, аудио/видеонаблюдения, беруш/наушников), функционирование консоли оператора (см.
[2],
[3]);
- работоспособность систем безопасности МР-оборудования, в том числе оценку функционирования клавиш "отмена задания", проверку работоспособности рукояток аварийного освобождения стола пациента, отключение электропитания;
- пространственное расположение линии индукции магнитного поля 5 Гаусс (см.
7.12);
- отношение сигнал/шум для всех применяемых в клинической практике РЧ-катушек (см.
7.1);
- неравномерность распределения яркости (см.
7.2);
- высококонтрастное пространственное разрешение (см.
7.3);
- пространственную нелинейность (см.
7.4);
- толщину выделяемого среза (см.
7.5);
- уровень артефакта фазового кодирования (см.
7.6);
- интегральную неоднородность статического магнитного поля (см.
7.7);
- низкоконтрастную разрешающую способность (см.
7.8);
- точность задания угла поворота вектора намагниченности (см.
7.9);
- контроль параметров качества количественных МР-изображений (см.
7.10);
- работу специализированных режимов сканирования (при наличии, см.
7.11);
- однородность статического магнитного поля;
- смещение рабочей частоты МР-оборудования;
- параметры передающей РЧ-катушки.
Примечание - Методы приемочных испытаний МР-оборудования, не рассмотренные в настоящем стандарте, устанавливаются в конкретных стандартах или (при их отсутствии) в документации производителя.
4.2.2 Периодические испытания
4.2.2.1 Периодические испытания характеризуются измерением основных параметров с целью определения функционального состояния МР-оборудования в конкретный момент времени.
Периодические испытания должны проводить организации, аккредитованные в установленном порядке на данный вид испытаний МР-оборудования.
Периодические испытания проводят в соответствии с программой контроля качества с периодичностью не реже одного раза в год, а также после модификации, регулировки, замены, ремонта функциональных блоков или при существенных изменениях параметров, выявленных в результате испытаний на постоянство параметров.
При неудовлетворительных результатах периодических испытаний проводят необходимые мероприятия (см.
раздел 5), после чего повторно выполняют периодические испытания МР-оборудования.
4.2.2.2 Документы и исходные данные для испытаний
В рамках процедуры контроля технического состояния МР-оборудования проводится проверка наличия действующих протоколов испытаний параметров, а также документации на кабинет МР-томографии:
- предыдущие протоколы проверки эксплуатационных параметров;
- договор на техническое обслуживание;
- протокол проверки вентиляции;
- протокол проверки электробезопасности, включая протокол проверки заземлителя, протокол проверки наличия цепей заземления и протокол проверки сопротивления изоляции проводов и кабелей;
- протокол проведения измерений уровней шума;
- протокол исследований электромагнитного поля.
4.2.2.3 Условия испытаний
В соответствии с указанными в
4.2.1.3.
4.2.2.4 Проверяемые характеристики
При периодических испытаниях проверяют следующие характеристики и параметры:
- идентификацию изделия;
- документацию;
- характеристики, оцениваемые визуальными и функциональными проверками;
- работоспособность систем МР-оборудования, в том числе оценку функционирования и плавности движения стола пациента и систем его блокировки/разблокировки, точности позиционирования с использованием лазерного прицела, контроль работы вентиляции и освещения в гентри магнита (при наличии), оценку систем мониторинга пациента во время проведения исследования (наличие и исправность сигнальной кнопки/груши, аудио/видеонаблюдения, беруш/наушников), функционирование консоли оператора (см.
[2],
[3]);
- работоспособность систем безопасности МР-оборудования, в том числе оценку функционирования клавиш "отмена задания", проверку работоспособности рукояток аварийного освобождения стола пациента, отключение электропитания;
- проверку работоспособности рукояток аварийного освобождения стола пациента;
- пространственное расположение линии индукции магнитного поля 5 Гаусс (см.
7.12);
- отношение сигнал/шум для всех применяемых в клинической практике РЧ-катушек (см.
7.1);
- неравномерность распределения яркости (см.
7.2);
- высококонтрастное пространственное разрешение (см.
7.3);
- пространственную нелинейность (см.
7.4);
- толщину выделяемого среза (см.
7.5);
- уровень артефакта фазового кодирования (см.
7.6);
- интегральную неоднородность статического магнитного поля (см.
7.7);
- низкоконтрастную разрешающую способность (см.
7.8);
- точность задания угла поворота вектора намагниченности (см.
7.9);
- контроль параметров качества количественных МР-изображений (см.
7.10);
- работу специализированных режимов сканирования (при наличии, см.
7.11);
- однородность статического магнитного поля;
- смещение рабочей частоты МР-оборудования;
- параметры передающей РЧ-катушки.
Примечание - Методы периодических испытаний МР-оборудования, не рассмотренные в настоящем стандарте, устанавливаются в конкретных стандартах или (при их отсутствии) в документации производителя.
4.2.3 Испытания на постоянство параметров
4.2.3.1 Непосредственно после периодических испытаний при удовлетворительном уровне эксплуатационных параметров проводят первичные испытания на постоянство параметров для определения их базовых значений. Испытания на постоянство параметров проводят с целью оперативного контроля ограниченного набора параметров и выполняют с ежедневной или еженедельной периодичностью после профилактического технического обслуживания или текущего (мелкого) ремонта, а также при подозрении на нарушение правильности функционирования МР-оборудования.
Для испытаний следует использовать измерительные приборы и испытательное оборудование, характеристики которых должны быть неизменны во время проведения испытаний на постоянство параметров. Если результаты испытаний на постоянство параметров не соответствуют установленным пределам, проводят необходимые мероприятия (см.
раздел 5).
Испытания на постоянство параметров должен проводить персонал кабинета магнитно-резонансной томографии (МРТ) или уполномоченный представитель. Обычно это выполняет инженер, медицинский физик и/или лаборант.
Выполнение испытаний на постоянство параметров подразумевает использование быстрой, простой, чувствительной, устойчивой и эффективной методики.
При поставке МР-оборудования производители в большинстве случаев предоставляют фантомы или тест-объекты для проведения испытания на постоянство параметров, а также программное обеспечение для проведения автоматического анализа изображений и оценки параметров качества, которое позволяет сократить время испытаний на постоянство параметров.
Порядок проведения испытаний на постоянство параметров определяется рекомендациями производителя МР-оборудования.
4.2.3.2 Набор оцениваемых параметров определяется используемым МР-оборудованием. В процессе испытания на постоянство параметров рекомендуется оценивать следующие параметры:
- характеристики, оцениваемые с использованием визуальных и функциональных проверок, в том числе проверки чистоты прокладок и поверхности стола пациента, проверки наличия громких шумов, пара, искр в помещении МРТ, проверки температурного режима помещения, наличия средств защиты органов слуха, проверки ведения журнала уровня гелия, наличия дефектов или повреждений, разрыва кабелей или оголенных проводов, проверки функционирования стола пациента, проверки систем мониторинга пациента во время проведения исследования (наличие и исправность сигнальной кнопки/ груши, аудио/видеонаблюдения, беруш/наушников), проверки работоспособности рукояток аварийного освобождения стола пациента;
- рабочая частота;
- параметры усиления передатчика РЧ-катушки;
- отношение сигнал/шум;
- пространственная нелинейность;
- неоднородность распределения яркости;
- наличие артефактов;
- параметры качества количественных МР-изображений.
Примечание - Методы испытаний на постоянство параметров МР-оборудования, не рассмотренные в настоящем стандарте, устанавливаются в конкретных стандартах или (при их отсутствии) в документации производителя.
Обработка результатов определяется рекомендациями производителя МР-оборудования.
Результаты испытаний на постоянство параметров фиксируются численно в протоколе для наблюдения тренда изменения параметров качества изображений во времени. О проведении испытаний на постоянство параметров и периодических испытаний делается отметка в журнале технического обслуживания.
Перечень основных проверяемых параметров, рассмотренных в настоящем стандарте, и перечень дополнительных проверяемых параметров для каждого типа испытаний приведены в таблицах 2 и
3.
Таблица 2
Перечень основных проверяемых параметров, рассмотренных
в настоящем стандарте, для каждого типа испытаний
Параметр, показатель | Приемочные испытания | Периодические испытания | Испытания на постоянство параметров |
Пространственное расположение линии индукции магнитного поля 5 Гаусс (см. 7.12) | X | X | |
Отношение сигнал/шум (см. 7.1) | X | X | X |
Неравномерность распределения яркости (см. 7.2) | X | X | X |
Высококонтрастное пространственное разрешение (см. 7.3) | X | X | |
Пространственная нелинейность (см. 7.4) | X | X | X |
Толщина выделяемого среза (см. 7.5) | X | X | |
Артефакт фазового кодирования (см. 7.6) | X | X | X |
Интегральная неоднородность статического магнитного поля (см. 7.7) | X | X | |
Низкоконтрастная разрешающая способность (см. 7.8) | X | X | |
Контроль параметров качества количественных МР-изображений (см. 7.10) | X | X | X |
Работа специализированных режимов сканирования (см. 7.11) | X | X | |
Таблица 3
Перечень дополнительных проверяемых параметров
для каждого типа испытаний
Параметр, показатель | Приемочные испытания | Периодические испытания | Испытания на постоянство параметров |
Работоспособность систем МР-оборудования: | |
- проверка чистоты прокладок и поверхности стола пациента | X | X | X |
- проверка температурного режима помещения | X | X | X |
- проверка наличия громких шумов, пара, искр в помещении МРТ | X | X | X |
- наличие средств защиты органов слуха | X | X | X |
- проверка ведения журнала уровня гелия | X | X | X |
- наличие дефектов или повреждений, разрыва кабелей или оголения проводов | X | X | X |
- проверка функционирования стола пациента, в том числе оценка плавности его движения | X | X | X |
- проверка точности позиционирования с использованием лазерного прицела | X | X | |
- проверка систем мониторинга пациента во время проведения исследования (наличие и исправность сигнальной кнопки/груши, аудио/видеонаблюдения, беруш/наушников) | X | X | X |
- контроль работы вентиляции и освещения в гентри магнита (при наличии) | X | X | X |
- функционирование консоли оператора | X | X | X |
Работоспособность систем безопасности МР-оборудования: | |
- функционирование клавиши отмены задания | X | X | X |
- проверка работоспособности рукояток аварийного освобождения стола пациента | X | X | X |
- проверка работоспособности системы отключения электропитания МР-оборудования, кроме питания сверхпроводящей катушки | X | | |
Однородность статического магнитного поля | X | X | |
Точность задания угла поворота вектора намагниченности (см. 7.9) | X | X | |
Смещение рабочей частоты МР-оборудования | X | X | |
Параметры передающей РЧ-катушки | X | X | |
5 Необходимые мероприятия
Если результаты испытания не соответствуют нормируемым параметрам или выходят за установленные пределы, необходимо:
- информировать руководство медицинского учреждения о выявленных несоответствиях МР-оборудования требованиям и прекратить его эксплуатацию;
- рассмотреть вопрос о несоответствии организации и/или специалиста, обслуживающих МР-оборудование;
- рассмотреть своевременность и необходимость проведения технического обслуживания МР-оборудования: по графику проведения или немедленно;
- при необходимости организовать проведение внеплановых периодических испытаний;
- пользователю или его представителю, а также организации, аккредитованной в установленном порядке на проведение испытаний, направить уведомление о неблагоприятном событии в соответствии с действующим законодательством Российской Федерации;
- рассмотреть вопрос о дальнейшем клиническом использовании МР-оборудования.
6 Общие требования к испытаниям эксплуатационных параметров
6.1 Требования к оборудованию МР-томографа
Перед проведением испытаний необходимо убедиться в том, что были осуществлены все рекомендуемые производителем калибровки и настройки.
6.2 Общие требования к условиям испытаний и оборудованию
В процессе испытаний необходимо использовать тест-объекты фантомы, соответствующие требованиям, которые предъявляются для контроля конкретных параметров. Общие требования к испытательному оборудованию приведены ниже.
Фантом должен представлять собой емкость (например, из полипропилена или органического стекла), подходящую по форме и размеру для помещения в приемные РЧ-катушки. Он должен быть заполнен МР-контрастным веществом (например, водой, силиконовым маслом или гелем).
МР-контрастное вещество должно обладать свойствами релаксации, схожими с телом пациента [типичные значения: продольное (спин-решетчатое) время релаксации
T1 < 1200 мс, поперечное (спин-спиновое) время релаксации
T2 > 50 мс, протонная плотность

]. Этого можно достичь, например, добавляя соответствующие модификаторы релаксации (парамагнитные ионы). Сведения о подборе времени релаксации в зависимости от концентрации ионов приведены в
приложении Б. Температура фантома должна соответствовать температуре в комнате сканирования - от 20 °C до 23 °C. При несоответствии температуры необходимо выдержать фантом в комнате сканирования до ее стабилизации.
Тест-объекты, подробно описанные в
7.1 -
7.11, могут располагаться внутри одного корпуса (фантома).
Условия выполнения испытаний:
- выполнение измерений необходимо проводить на магнитно-резонансном томографе с индукцией магнитного поля до 8 Тл;
- необходимо обеспечить параметры окружающей среды, которые не противоречат действующей нормативной базе:
температура - от 20 °C до 23 °C;
относительная влажность воздуха - до 60%;
атмосферное давление - от 60 до 106 кПа.
6.3 Общие требования к подготовке испытаний
Необходимо проверить герметичность и исправность фантома (тест-объекта). При наличии пузырей воздуха внутри фантома следует долить соответствующую МР-контрастную жидкость.
Перед проведением процедуры сканирования следует установить РЧ-катушку на деке стола пациента и обеспечить ее надежное и безопасное соединение.
Внутри РЧ-катушки необходимо разместить и центрировать фантом (тест-объект) относительно нее с помощью нанесенных на поверхность фантома вспомогательных меток. Рекомендуется фиксировать расположение фантома с использованием подставки или других материалов.
После этого необходимо добиться совпадения центра приемной РЧ-катушки с изоцентром МРТ путем совмещения меток с лазерным прицелом.
После установки фантома в изоцентр томографа необходимо подождать некоторое время (примерно 15 мин) для успокоения колебаний жидкости в фантоме. Если фантом заполнен гелеобразным веществом, то возможно сокращение указанного времени.
6.4 Общие требования к сканированию и последующей обработке
Непосредственно после установки тест-объекта в РЧ-катушку и центрирования необходимо провести рекомендуемое производителем предварительное сканирование, включающее настройку частоты, настройку уровня усиления передающей катушки, градиентный шимминг (компенсация неоднородности магнитного поля в соответствии с объемными характеристиками исследуемого объекта) и построение локалайзера для планирования расположения области срезов.
Оценку показателей параметров и характеристик качества изображения можно осуществлять с использованием специализированного программного обеспечения. Это может быть стандартная программа для визуализации изображений и проведения измерений геометрических размеров, оценки уровня сигнала и арифметических действий с изображениями. Также возможно использование программного обеспечения, позволяющего автоматически анализировать изображения и обрабатывать результаты с целью формирования протокола испытаний контроля качества. Алгоритм работы программы должен позволять контролировать вычисления, установку областей интересов и выбранного среза для анализа.
При контроле параметров необходимо выставлять следующие режимы МР-сканирования (см.
приложение В):
- 2D односрезовая последовательность спиновое эхо (SE - Spin Echo) - односрезовая последовательность с центрированием в изоцентре +/- 30 мм;
- время повторения TR = 1000 мс или не менее 3T1 (времени релаксации T1 материала, создающего сигнал);
- время регистрации эхо-сигнала TE = 30 мс или не более 1/3T2 (времени релаксации T2 материала, создающего сигнал);
- устанавливается значение ширины полосы пропускания приемника на пиксель, соответствующее применяемому в клинической практике;
- толщина среза 5 мм.
При реконструкции изображений необходимо использовать стандартные алгоритмы. Все фильтры, которые могут быть установлены оператором, должны быть отключены. К таким фильтрам относятся, например, коррекция искажений, фильтры сглаживания и подчеркивания краев. Если по какой-либо причине это невозможно осуществить, необходимо дать информацию о применяемых фильтрах в протоколе испытаний.
6.5 Оформление протокола испытаний
Результаты испытаний оформляют в виде протокола испытаний, в котором приводят параметры, указанные в
приложении Г. Также в протокол включают
таблицы 4 -
8 раздела 7.
6.6 Требования техники безопасности
Работники, осуществляющие испытания, допускаются к работе с МР-томографом после ознакомления с основными правилами безопасности в кабинете МР-томографа.
Все действия, связанные с установкой фантома и настройкой режимов сканирования, должен проводить персонал, допущенный к работе с данным видом оборудования.
6.7 Требования к квалификации обслуживающего персонала
К проведению измерений допускаются работники, ознакомленные с руководством по эксплуатации МР-оборудования, фантомов и тест-объектов, а также имеющие практический опыт работы с МР-оборудованием.
Значение отношения сигнал/шум изображения связано с диагностической значимостью МР-оборудования и является комплексным показателем качества систем МР-оборудования. Например, наличие изменений в калибровке системы, настройках катушек, радиочастотной защиты и т.п. может внести вклад в оценку данного параметра.
При настройке последовательности сканирования для таких параметров, как отношение сигнал/шум, толщина среза и пространственное разрешение, необходимо задавать идентичные режимы сканирования для контроля взаимосвязи между данными параметрами.
Оценку соответствия отношения сигнал/шум для конкретного МР-оборудования проводят по данным, предоставленным производителем. Производителем должны быть указаны предельные значения данного параметра, определенные при проведении испытаний в соответствии с методами, указанными в настоящем подразделе.
В зависимости от технической возможности проведения оценки параметра отношение сигнал/шум возможно применение одного из трех методов. Выбор зависит от наличия доступа к специализированным настройкам МР-системы, программному обеспечению обработки изображений, а также временных ограничений.
7.1.1 Отношение сигнал/шум по разностному изображению
7.1.1.1 Назначение
Оценку отношения сигнал/шум в соответствии с данным методом осуществляют по разностному изображению.
7.1.1.2 Требования к оборудованию
При выполнении испытаний по оценке отношения сигнал/шум применяют фантомы размеров, соответствующих используемым РЧ-катушкам. Общие требования к оборудованию приведены в
6.2.
Фантом, имитирующий по размеру голову (для проведения испытаний на РЧ-катушке головы) должен иметь минимальный диаметр поперечного сечения не менее 150 мм.
Фантом, имитирующий по размеру тело (для проведения испытаний на абдоминальной РЧ-катушке), должен иметь минимальный диаметр поперечного сечения не менее 200 мм.
Фантом может представлять собой цилиндр, сферу или эллипсоид и должен быть заполнен МР-контрастной жидкостью.
Фантом должен создавать электрическую нагрузку для приемной РЧ-катушки, эквивалентную человеку весом от 50 до 90 кг.
7.1.1.3 Порядок проведения испытаний
Перед проведением процедуры сканирования устанавливают РЧ-катушку на деке стола пациента и обеспечивают ее электрическое питание согласно
6.3.
Настраивают общие параметры режима сканирования согласно
6.4. Дополнительные параметры для контроля параметра отношение сигнал/шум устанавливают следующие:
- плоскость сканирования: аксиальная, сагиттальная, корональная (попеременно);
- размер поля обзора должен быть достаточным для покрытия всего размера фантома;
- количество усреднений - 1;
- алгоритмы фазовой передискретизации должны быть отключены.
Осуществляют разметку области сканирования. Сканируемый срез должен быть расположен в изоцентре и включать наибольшую рабочую зону (specification volume).
Выполняют два сканирования одного и того же среза с разницей во времени не менее 5 мин между окончанием первого сканирования и началом второго. Между сканированиями не следует проводить калибровки и какие-либо регулировки.
7.1.1.4 Обработка, анализ и оценка результатов
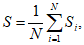
Процедура определения величины отношения сигнал/шум состоит из следующих этапов:
а) на одном из полученных изображений выделяют область интереса, включающую не менее 85% изображения фантома (см.
рисунок 2);
б) рассчитывают среднее значение яркости пикселей внутри области интереса.
Рисунок 2 - МР-изображение для оценки уровня сигнала
Полученное значение представляет собой оценку сигнала S:

(1)
где N - количество пикселей внутри области интереса;
Si - яркость i-го пикселя внутри области интереса;
в) путем попиксельного вычитания второго изображения из первого по следующей формуле получают разностное изображение (см.
рисунок 3):
Fраз(p, q) = F1(p, q) - F2(p, q), (2)
где Fраз(p, q), F1(p, q), F2(p, q) - яркость пикселя с координатами (p, q) на разностном, первом и втором изображениях соответственно;
p = 1,2 ... P;
q = 1,2 ... Q;
P x Q - размер изображений;
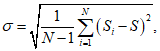
г) на разностном изображении выделяют область интереса;
д) рассчитывают среднеквадратичное отклонение (СКО)

яркости пикселей внутри области интереса на разностном изображении по формуле

(3)
где N - суммарное число пикселей внутри области интереса;
Si - яркость i-го пикселя внутри области интереса;
S - среднее значение яркости пикселей внутри области интереса;
е) при определении величины отношения сигнал/шум вводят поправочный коэффициент, учитывающий изменение значения СКО при вычитании двух изображений. Формула для вычисления значения отношения сигнал/шум (ОСШ) принимает следующий вид:

(4)
Рисунок 3 - Разностное МР-изображение для оценки уровня шума
Для многоканальной катушки необходимо использовать соответствующие поправочные коэффициенты для среднего значения (
ks) и значения шума

(см.
приложение Д):

(5)
ж) полученное значение отношения сигнал/шум сопоставляют со значением, указанным в технической документации на аппарат, и с базовыми значениями.
7.1.1.5 Результаты испытаний
Результаты испытаний оформляют в виде протокола испытаний, в котором приводят параметры, указанные в
6.5 и
приложении Г. По результатам испытания отношения сигнал/шум в протокол необходимо включить также таблицу 4.
Параметр | Единицы измерения |
Ориентация плоскости сканирования | - |
Направление кодирования фазы | - |
Форма области интереса | - |
Размер области интереса | мм2 |
Среднее значение S | - |
Стандартное отклонение шума | - |
Отношение сигнал/шум | - |
7.1.2 Отношение сигнал/шум без подачи РЧ-импульсов
7.1.2.1 Назначение
Представленная в настоящем пункте методика испытаний является альтернативной методике по
7.1.1. Процедура определения отношения сигнал/шум включает измерение шума по изображению с минимальной характеристикой TR, т.е. без включения РЧ-импульсов. TR может быть уменьшено до минимума без какого-либо влияния на результаты измерения шума.
Этот альтернативный метод является более быстрым. Таким образом, он, возможно, менее чувствителен к любому дрейфу системы, который производит значительные участки сигнала на изображении "различия изображений". Однако альтернативный метод более восприимчив к незначительным фоновым артефактам, которые могут быть не видны.
Данный метод нельзя использовать, если стандартное программное обеспечение для реконструкции клинических изображений подавляет или иным образом изменяет характеристики областей за пределами объектов на изображении. Алгоритмы коррекции пространственной нелинейности потенциально нарушают это требование, но исключаются, если измерения проводятся вблизи изоцентра, где поправки считаются минимальными.
7.1.2.2 Требования к оборудованию
Общие требования к оборудованию приведены в
6.2. Дополнительные требования идентичны приведенным в
7.1.1.2.
7.1.2.3 Порядок проведения испытаний
Перед проведением процедуры сканирования устанавливают РЧ-катушку на деке стола пациента и обеспечивают ее электрическое питание согласно
6.3.
Настраивают общие параметры режима сканирования согласно
6.4. Дополнительные параметры для контроля параметра отношение сигнал/шум идентичны приведенным в
7.1.1.3.
Необходимо настроить также протокол сканирования с параметрами, аналогичными приведенным выше, без подачи РЧ-импульсов для получения изображения шума.
Выполняют два сканирования одного среза с подачей РЧ-импульсов и без них.
7.1.2.4 Обработка, анализ и оценка результатов
Процедура определения величины отношения сигнал/шум состоит из следующих этапов:
а) на полученном изображении выделяют область интереса и рассчитывают среднее значение яркости пикселей
S в соответствии с
7.1.1.4;
б) рассчитывают СКО

в области, свободной от артефактов, по изображению шума, полученного при сканировании без подачи РЧ-импульсов. Возможно использование области интереса больше, чем на изображении сигнала для повышения точности;
в) для одноканальной катушки при расчете отношения сигнал/шум используют следующий поправочный коэффициент:

(6)
При вычислении

в случае визуализации действительной части комплексной матрицы изображения с учетом знака поправочный коэффициент не вводится.
Для многоканальной катушки необходимо использовать соответствующие поправочные коэффициенты для среднего значения (
ks) и значения шума

(см.
приложение Д):

(7)
Полученное значение отношения сигнал/шум сопоставляют со значением, указанным в технической документации на аппарат, и с базовыми значениями.
7.1.2.5 Результаты испытаний
Результаты испытаний оформляют в виде протокола испытаний в соответствии с
7.1.1.5.
7.1.3 Отношение сигнал/шум по одному изображению
7.1.3.1 Назначение
Описанная в настоящем пункте методика испытаний является упрощенным вариантом методики по
7.1.1 с оценкой отношения сигнал/шум только по одному МР-изображению.
Преимущество этого метода заключается в том, что требуется только одно получение изображения. Этот альтернативный метод, следовательно, быстрее, чем метод, описанный в
7.1.1, и менее чувствителен к возникновению дрейфа системы, который приводит к значительным изменениям сигнала на разностном изображении. Однако данный альтернативный метод более чувствителен к любому шумовому загрязнению на фоне изображения.
7.1.3.2 Требования к оборудованию
Общие требования к оборудованию приведены в
6.2. Дополнительные требования идентичны приведенным в
7.1.1.2.
7.1.3.3 Порядок проведения испытаний
Перед проведением процедуры сканирования устанавливают РЧ-катушку на деке стола пациента и обеспечивают ее электрическое питание согласно
6.3.
Настраивают общие параметры режима сканирования согласно
6.4. Дополнительные параметры для контроля параметра отношение сигнал/шум идентичны приведенным в
7.1.1.3.
Выполняют сканирование одного среза.
7.1.3.4 Обработка, анализ и оценка результатов
Процедура определения величины отношения сигнал/шум состоит из следующих этапов:
а) на полученном изображении выделяют область интереса и рассчитывают среднее значение яркости пикселей
S в соответствии с
7.1.1.4;
б) рассчитывают СКО

по изображению одного среза внутри аналогичной области интереса, по которой была определена интенсивность сигнала
S.
Для одноканальной катушки при расчете отношения сигнал/шум используют следующий поправочный коэффициент:

(8)
При вычислении

в случае визуализации действительной части комплексной матрицы изображения с учетом знака поправочный коэффициент не вводится.
Для многоканальной катушки необходимо использовать соответствующие поправочные коэффициенты для среднего значения (
ks) и значения шума

(см.
приложение Д):

(9)
в) полученную величину отношения сигнал/шум сопоставляют со значением, указанным в технической документации на аппарат, и с базовыми значениями.
7.1.3.5 Результаты испытаний
Результаты испытаний оформляют в виде протокола испытаний в соответствии с
7.1.1.5.
7.2 Неравномерность распределения яркости поля изображения
7.2.1 Неравномерность распределения яркости поля изображения. Основной метод
7.2.1.1 Назначение
Измерение величины неравномерности распределения яркости поля изображения (неоднородности) проводят с целью контроля однородности электромагнитного поля приемных и передающей катушек, а также оценки влияния совокупности остальных факторов на неравномерность яркости изображений. Оценка неравномерности должна быть проведена для всех типов РЧ-катушек данного МР-томографа.
7.2.1.2 Требования к оборудованию
Общие требования к оборудованию приведены в
6.2. Фантом для оценки неоднородности должен иметь такие размер и форму, чтобы охватывать минимум рабочую зону исследуемой катушки. Фантом должен иметь свободную от МР-неконтрастных вставок область размерами, сопоставимыми минимум с рабочей зоной РЧ-катушки.
7.2.1.3 Порядок проведения испытаний
Установку РЧ-катушки и фантома внутри нее, центрирование внутри МР-оборудования осуществляют в соответствии с
6.3.
Настраивают общие параметры режима сканирования согласно
6.4. Дополнительные параметры для контроля неравномерности распределения яркости устанавливают следующие:
- плоскость сканирования: аксиальная, сагиттальная, корональная (попеременно);
- размер поля обзора должен быть достаточным для покрытия всего фантома;
- допускается применение функции усреднения (количество усреднений более 1) и алгоритма фазовой передискретизации.
Плоскость изображения должна проходить через изоцентр магнита для охвата наибольшей площади рабочей зоны, предпочтительно вдоль или перпендикулярно к оси симметрии катушки.
Запускают процедуру сканирования.
Для объемных катушек одно изображение должно быть получено для каждой плоскости, например аксиальной, корональной и сагиттальной, т.е. в процессе испытаний регистрируют по три изображения для каждой объемной катушки.
7.2.1.4 Обработка, анализ и оценка результатов
Для каждой проверяемой РЧ-катушки неоднородность должна быть рассчитана размещением области интереса на МР-изображение фантома. Она должна включать 85% области сигнала рабочей плоскости РЧ-катушки. На изображении область сигнала должна превосходить область спецификации для исключения артефактов. Рассчитывают среднее значение сигнала S.
Среднее абсолютное отклонение сигнала в области интереса определяют по формуле

(10)
где Si - значения i-го пикселя в области интереса;
S - среднее значение всех пикселей в области интереса;
N - общее число пикселей в области интереса.
Рассчитывают неоднородность делением среднего абсолютного отклонения сигнала на среднее значение сигнала в области интереса:

(11)
7.2.1.5 Результаты испытаний
Результаты испытаний оформляют в виде протокола испытаний, в котором приводят параметры, указанные в
6.5 и
приложении Г. По результатам испытания неравномерности распределения яркости поля изображения в протокол необходимо включить также таблицу 5.
Таблица 5
Параметр | Единицы измерения |
Ориентация плоскости сканирования | - |
Направление кодирования фазы | - |
Форма области интереса | - |
Размер области интереса | мм2 |
Доля размера области интереса в рабочей плоскости | - |
Неоднородность U | - |
7.3 Высококонтрастное пространственное разрешение
7.3.1 Назначение
Проведение контроля высококонтрастного пространственного разрешения позволит оценить различимость объектов на МР-изображениях. Измерение высококонтрастного пространственного разрешения необходимо провести для двух осей плоскости изображения X и Y.
7.3.2 Требования к оборудованию
Общие требования к оборудованию приведены в
6.2. При выполнении испытаний высококонтрастного пространственного разрешения необходимо использовать тест-объекты, содержащие миры с отверстиями разного диаметра или периодическую структуру, направленные вдоль двух осей
X и
Y. Периодическая структура может быть сформирована параллелепипедами или цилиндрами из МР-неконтрастного материала и зазорами между ними, заполненными МР-контрастной жидкостью.
7.3.3 Порядок проведения испытаний
Установку РЧ-катушки и фантома внутри нее, центрирование внутри МР-оборудования осуществляют в соответствии с
6.3.
Настраивают общие параметры режима сканирования согласно
6.4. Дополнительные параметры для контроля высококонтрастного пространственного разрешения устанавливают следующие:
- плоскость сканирования: аксиальная, сагиттальная, корональная (попеременно);
- допустимо использование усреднения сигнала и алгоритмов фазовой передискретизации;
- должны быть отключены сглаживающие и улучшающие качество изображения фильтры.
Осуществляют разметку области сканирования. Плоскость изображения должна быть параллельна плоскости XY фантома.
Запускают процедуру сканирования.
Минимальное отношение сигнал/шум должно быть не менее 50. Для обеспечения данного условия допустимо увеличение числа усреднений для улучшения отношения сигнал/шум.
7.3.4 Обработка, анализ и оценка результатов
Рисунок 4 - Тест-объект для контроля высококонтрастной
разрешающей способности
Рисунок 5 - Профиль границы периодической структуры фантома
Далее определяют коэффициент высококонтрастного пространственного разрешения (Kпр):

(12)
где Mmax - среднее значение максимумов яркостей пикселей профиля границ периодической структуры;
Mmin - среднее значение минимумов яркостей пикселей профиля границ периодической структуры;
Mс - среднее значение яркостей пикселей сигнала внутри фантома за пределами вставки с периодической структурой.
Ряд с минимальным размером элемента миры H, для которого полученное расчетное значение коэффициента Kпр превышает 50%, определяет величину пространственной разрешающей способности.
Полученная величина высококонтрастного пространственного разрешения, которая представляет собой измеренный в миллиметрах размер наименьшей детали изображения, не должна быть больше значения, указанного в технической документации.
7.3.5 Результаты испытаний
Результаты испытаний оформляют в виде протокола испытаний, в котором приводят параметры, указанные в
6.5 и
приложении Г. По результатам испытания высококонтрастного пространственного разрешения в протокол необходимо включить также таблицу 6.
Таблица 6
Параметр | Единицы измерения |
Значение коэффициента Kпр | - |
Среднее значение яркости Mс | - |
Величина шума  | - |
Отношение сигнал/шум изображения | - |
Высококонтрастное пространственное разрешение | мм |
7.4 Пространственная нелинейность
7.4.1 Назначение
Данная методика позволяет определить величину пространственной нелинейности на МР-изображении.
7.4.2 Требования к оборудованию
Общие требования к оборудованию приведены в
6.2. Фантом для оценки пространственной нелинейности должен иметь структуры, расположенные на равном расстоянии друг от друга. Структуры могут быть выполнены из МР-неконтрастного материала, окруженного МР-контрастной жидкостью. Возможна обратная ситуация - фантом может иметь форму цилиндра или сферы.
Размеры фантома должны охватывать при измерении пространственной нелинейности не менее чем 85% рабочей зоны.
Периметр области интереса должен быть окружностью для сферической рабочей зоны и эллипсом для эллиптической рабочей зоны.
Положение точек для измерения пространственной нелинейности определяется границей МР-контрастная жидкость/МР-неконтрастный материал. Фантом может содержать структуру из равноудаленных отверстий, шипов, виал. Другим вариантом исполнения могут быть объекты, распределенные по периметру с максимальным угловым отклонением 22,5°. В этом случае в центре фантома должен располагаться один из объектов (отверстие, шип или др.), размер которого должен составлять 1 - 2 мм для уменьшения ошибок идентификации центра (см.
рисунок 6).
Рисунок 6 - Пример тест-объекта для оценки пространственной
нелинейности с обозначением измерения Li
Если центральный объект отсутствует, то центр фантома можно определить геометрическими методами. Для эллиптической рабочей зоны необходимо наличие двух центральных объектов, расположенных в фокусах эллипса.
Фантом должен быть по ширине не менее чем в два раза больше заданной толщины среза для минимизации влияния кривизны среза.
7.4.3 Порядок проведения испытаний
Установку РЧ-катушки и фантома внутри нее, центрирование внутри МР-оборудования осуществляют в соответствии с
6.3.
Фантом должен быть расположен так, чтобы центральная структура тест-объекта совпадала с изоцентром магнита в трех ортогональных проекциях: аксиальной, сагиттальной и корональной (последовательно).
Настраивают общие параметры режима сканирования согласно
6.4. Дополнительные параметры для контроля параметра нелинейности устанавливают следующие:
- плоскость сканирования: аксиальная, сагиттальная, корональная (попеременно);
- размеры матрицы и поля обзора должны быть выбраны таким образом, чтобы размеры пикселя были равны и достаточно небольшие для точного определения границ и/или точек для измерения нелинейности [например, при размере точки (структуры) 2 мм устанавливают размер пикселя 1 мм]. Границы тест-объекта должны полностью охватываться полем обзора;
- допустимо использование усреднения сигнала и алгоритмов фазовой передискретизации;
- допустимо использовать фильтр пространственной нелинейности для данного измерения. Другие фильтры должны быть отключены.
Осуществляют разметку области сканирования. Центр сканируемого среза должен располагаться в изоцентре по трем ортогональным направлениям: аксиальному, сагиттальному и корональному (попеременно).
Запускают процедуру сканирования.
7.4.4 Обработка, анализ и оценка результатов
На полученном изображении измеряют расстояние между центральным объектом и одним из объектов, расположенных на периметре области интереса. Измерения повторяют для N точек.
Рассчитывают среднее значение радиусов для
N точек

.
Нелинейность

определяют следующим образом:

(13)
где Lд - действительное значение радиуса, на котором располагаются объекты.
Рассчитывают отклонение нелинейности по следующей формуле:

(14)
Рассчитывают максимальное значение нелинейности:
Lmax = max{Li}. (15)
Если

и

, то имеет место модуляция радиуса или пространственная нелинейность. Если

и

- это вариация масштаба.
7.4.5 Результаты испытаний
Результаты испытаний оформляют в виде протокола испытаний, в котором приводят параметры, указанные в
6.5 и
приложении Г. По результатам испытания пространственной нелинейности в протокол необходимо включить также таблицу 7.
Таблица 7
Параметр | Единицы измерения |
Ориентация плоскости сканирования | - |
Направление кодирования фазы | - |
Форма области интереса | - |
Размер области интереса (периметр) | мм |
Доля области интереса в рабочей плоскости РЧ-катушки | - |
Число измерений N | - |
Пространственная нелинейность  | - |
Отклонение нелинейности  | - |
Максимальное измеренное значение Lmax | мм |
Используемые ширина и уровень окна отображения изображения | - |
7.5 Толщина выделяемого среза
7.5.1 Назначение
Данная методика определяет порядок измерения толщины выделяемого среза. На установку толщины среза оказывают влияние работа градиентных катушек, форма РЧ-импульса, однородность РЧ-поля и другие параметры.
7.5.2 Требования к оборудованию
Общие требования к оборудованию приведены в
6.2. Фантом для измерения толщины среза должен иметь две противоположно направленные наклонные поверхности (например, угол наклона может быть в диапазоне от 8° до 12°). Пластины выполняют из МР-неконтрастного материала, окруженные МР-контрастным веществом (или наоборот).
На точность измерения оказывают влияние: низкое значение отношения сигнал/шум, размер пикселя, ошибка определения угла наклона пластин, неравномерность распределения яркости.
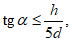
Поверхности обоих клиньев (пластин) располагаются под углом

к плоскости среза (см.
рисунок 7). Величина угла должна удовлетворять следующему неравенству:

(16)
где h - толщина выделяемого среза;
d - размер пикселей изображения.
Рисунок 7 - Внешний вид тест-объекта
с двумя наклонными клиньями
Для измерения слоя малой толщины рекомендуется использование фантомов с клиньями во избежание влияния погрешности из-за резких перепадов профиля яркостей выделяемого среза.
7.5.3 Порядок проведения испытаний
Установку РЧ-катушки и фантома внутри нее, центрирование внутри МР-оборудования осуществляют в соответствии с
6.3.
Настраивают общие параметры режима сканирования согласно
6.4. При контроле параметров и характеристик качества изображения МР-оборудования необходимо руководствоваться следующими основными положениями:
- плоскость сканирования: аксиальная, сагиттальная, корональная (попеременно);
- поле обзора должно быть выбрано таким образом, чтобы выполнялось следующее условие:

(17)
- матрица - 256 x 256;
- расстояние между центрами срезов - 10 мм;
- допустимо использование усреднения сигнала и алгоритмов фазовой передискретизации.
Например, используя фантом с углом

, необходимо задать значения поля обзора 320 мм для 5 мм среза и 190 мм для 3 мм среза при матрице 256 x 256 пикселей.
Идентичные параметры сканирования и реконструкции необходимо использовать для измерения толщины среза и пространственного разрешения, кроме количества усреднений.
Для получения достоверных результатов отношение среднего значения на уровне максимума среза интенсивности к стандартному отклонению интенсивности сигнала внутри фантома за пределами тест-объекта должно быть больше 20.
Осуществляют разметку области сканирования. Плоскость изображения должна охватывать наибольшую область спецификации.
В процессе необходимо оценить точность установки фантома относительно плоскости сканирования.
7.5.4 Обработка, анализ и оценка результатов
На полученном МР-изображении задают направление оси
Y как границы резкого перепада яркости пикселей внутри фантома (см.
рисунок 8). Перпендикулярно к оси
Y проводится отрезок AB (его направление совпадает с осью
X) так, чтобы он пересекал переходную область с плавным увеличением яркости пикселей изображения клина (наклонной плоскости).
Рисунок 8 - Зарегистрированное изображение
для оценки толщины среза
Вдоль указанного отрезка AB строят профиль среза (см.
рисунок 9).
Рисунок 9 - Профиль среза для фантома с клиньями
По полученной кривой (см.
рисунок 9) измеряют ширину профиля среза (
W).
При использовании клиньев величина
W представляет собой ширину области изменения яркости сигнала (см.
рисунок 9) (переходная область в диапазоне 5% - 95% максимального значения). Если в качестве тест-объекта используют наклонные пластины, то ширину профиля среза
W оценивают на уровне половины максимального значения (ПШПМ).
Данный параметр оценивают для двух клиньев или двух наклонных пластин, при этом получают два значения ширины профиля среза (W1 и W2 соответственно).
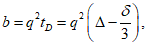
Далее с учетом угла наклона

рассчитывают толщину среза
h по следующей формуле:

(18)
7.5.5 Результаты испытаний
Результаты испытаний оформляют в виде протокола испытаний, в котором приводят параметры, указанные в
6.5 и
приложении Г. По результатам испытания толщины среза в протокол необходимо включить также таблицу 8.
Параметр | Единицы измерения |
Ориентация плоскости сканирования | - |
Направление кодирования фазы | - |
Угол наклона пластин или клиньев  | - |
Толщина пластины или клиньев | мм |
Отношение сигнал/шум или профиль среза плато интенсивности | - |
Заданная толщина среза htrue | мм |
Измеренная толщина среза h | мм |
Относительная ошибка  | % |
7.6 Артефакт фазового кодирования
7.6.1 Назначение
Артефакт фазового кодирования проявляется в виде появления ложного сигнала в направлении кодирования фазы, который вызван искажением данных k-пространства.
7.6.2 Требования к оборудованию
Общие требования к оборудованию приведены в
6.2. Фантом для оценки артефакта фазового кодирования должен быть однородным сферической или цилиндрической формы (возможна однородная секция фантома). При настройке сканирования поле обзора в направлении кодирования фазы должно быть в 2 раза больше диаметра фантома, а в направлении кодирования частоты - не менее чем на 20% больше диаметра фантома.
7.6.3 Порядок проведения испытаний
Установку РЧ-катушки и фантома внутри нее, центрирование внутри МР-оборудования осуществляют в соответствии с
6.3.
Настраивают общие параметры режима сканирования согласно
6.4. Дополнительные параметры для контроля артефакта фазового кодирования устанавливают следующие:
- последовательность - двумерное градиентное эхо;
- один срез, центрированный в изоцентре, +/- 30 мм;
- плоскость сканирования: аксиальная, сагиттальная, корональная (попеременно);
- TR = 603 мс;
- TE = 25 мс;
- квадратное поле обзора;
- размер матрицы - 192 x 192 или больше;
- не допустимо использование функций усреднения сигнала и алгоритмов фазовой передискретизации. Время сканирования должно быть равно приблизительно произведению числа строк в направлении кодирования фазы и TR;
- должны быть отключены фильтры, сглаживающие и улучшающие качество изображения.
Запускают процедуру сканирования.
Для объемных катушек одно изображение должно быть получено для каждой плоскости, например аксиальной, корональной и сагиттальной. Рекомендуется проводить оценку артефактов для головной приемной катушки и встроенной в гентри томографа передающей катушки. Сигнал/шум на изображении должен быть не менее 100 для проведения точной оценки влияния артефакта.
7.6.4 Обработка, анализ и оценка результатов
На полученном изображении выделяют три области интереса, включающие минимум 25 пикселей.
Рассчитывают показатели яркостей пикселей внутри следующих областей интереса (см.
рисунок 10):
- l1 - среднее значение внутри области появления ложного сигнала от фантома;
- l2 - среднее значение внутри области сигнала, соответствующей истинному положению фантома;
- l3 - уровень шума в области отсутствия сигнала от объекта и видимых артефактов.
Рисунок 10 - Оценка артефакта фазового кодирования
Уровень шума l3 определяют по формуле

(19)
где

- поправочный коэффициент для величины шума при сканировании с использованием многоканальной катушки (см.
приложение Д). Для одноканальной катушки данный коэффициент равен 0,655.
Рассчитывают отношение ложного и истинного сигналов = l1/l2.
Рассчитывают отношение ложного сигнала к величине шума = l1/l3.
Рассчитывают значение отношения сигнал/шум = l2/l3.
7.6.5 Результаты испытаний
Результаты испытаний оформляют в виде протокола испытаний, в котором приводят параметры, указанные в
6.5 и
приложении Г. По результатам испытания артефакта фазового кодирования в протокол необходимо включить также таблицу 9.
Параметр | Единицы измерения |
Форма области интереса | - |
Размер области интереса | мм |
Среднее значение интенсивности истинного сигнала l2 | - |
Среднее значение интенсивности ложного сигнала l1 | - |
Среднее значение в области отсутствия сигнала l3 | - |
l1/l2 | - |
l1/l3 | - |
l2/l3 | - |
7.7 Интегральная неоднородность статического магнитного поля
7.7.1 Назначение
Данная методика предназначена для определения неоднородности статического магнитного поля внутри рабочего объема системы МР-томографа (см.
[3],
[6]).
Рабочий объем системы представляет собой эллипсоид с центром в изоцентре МР-системы, длины малой и большой полуосей которого не менее 50 мм.
Данный метод основан на том факте, что пространственные искажения зависят от однородности статического магнитного поля и амплитуды градиентных полей. Поскольку при заданном поле обзора в направлении кодирования частоты (FOVx) амплитуда градиентных полей Gx связана с шириной полосы пропускания приемной РЧ-катушки, существует возможность оценить неоднородность поля путем сравнения расстояния между объектами при одинаковом FOVx для узкой и широкой полос пропускания.
Так как изменение ширины полосы пропускания частот может привести к искажению только в направлении частотного кодирования, данную процедуру необходимо повторить шесть раз (по два раза для каждой плоскости: аксиальной, корональной, сагиттальной) с взаимным переключением направления фазового и частотного кодирований.
Стоит отметить, что на некоторых МР-томографах невозможно задавать ширину полосы пропускания при сканировании, например на Excelart Vantage Atlas (Canon Medical System). В таком случае проводят оценку согласно рекомендациям производителя.
При наличии технической возможности обработки изображений и сбора данных рекомендуется проводить более полную проверку интегральной неоднородности статического магнитного поля в соответствии с
приложением Е.
7.7.2 Требования к оборудованию
При выполнении измерений неоднородности статического магнитного поля используется однородный сферический или цилиндрический фантом, заполненный МР-контрастной жидкостью, диаметром, сопоставимым с размером рабочего объема.
7.7.3 Порядок проведения испытаний
Для получения изображений тест-объекта (фантома) в рамках оценки неоднородности магнитного поля рекомендуется использовать простую импульсную последовательность градиентного эха (spoiled GRE). Возможно применение последовательности спинового эха для увеличения отношения сигнал/шум, но она потребует большей длительности сканирования. При выборе матрицы необходимо задать максимально возможный размер в направлении кодирования частоты (например, 512). Установить количество срезов - 1. Установить значение узкой полосы пропускания BW1.
Следует осуществить разметку области сканирования. Сканируемый срез должен располагаться в изоцентре и включать большую часть рабочего объема системы.
Следует провести три сканирования с изменением направления кодирования частоты и ориентации срезов таким образом, чтобы были задействованы три ортогональные плоскости для получения набора изображений с узкой полосой пропускания BW1.
Необходимо осуществить повторное сканирование для получения набора изображений с широкой полосой пропускания BW2 при трех ортогональных направлениях кодирования частоты. В процессе проведения процедуры необходимо руководствоваться следующими положениями:
- при настройке изменяется только параметр полосы пропускания, остальные параметры сканирования соответствуют параметрам, использованным для получения первого изображения;
- предпочтительным является соотношение между значениями ширины полосы пропускания BW1 и BW2 от 1:5 до 1:20;
- пространственное положение фантома не меняется;
- задаются последовательно три направления кодирования частоты, расположенные ортогонально.
На полученных изображениях измеряют расстояния между равноудаленными от изоцентра фантома отверстиями, находящимися на одной прямой, проходящей через изоцентр (см.
рисунок 11). Расстояния
d1 и
d2, полученные по изображениям фантома с полосами пропускания
BW1 и
BW2 соответственно, должны максимально соответствовать диаметру рабочего объема системы, но не превосходить ее.
Рисунок 11 - МР-изображение для оценки интегральной
неоднородности статического магнитного поля
7.7.4 Обработка, анализ и оценка результатов
Вычисления величины неоднородности статического магнитного поля

при сканировании в
j-й плоскости (сагиттальной, корональной и аксиальной) проводят по следующей формуле:

(20)
где j - индекс плоскости сканирования (сагиттальной, корональной и аксиальной), j = 0, 1, 2;
BW1 и BW2 - ширина полосы пропускания для первого и второго изображений соответственно, Гц;
d1 и d2 - расстояния между равноудаленными от изоцентра фантома отверстиями для первого и второго изображений соответственно, мм;

- гиромагнитное отношение для ядер водорода, Гц/Тл;
B0 - индукция магнитного поля, Тл;
FOVx - размер поля обзора в направлении кодирования частоты, мм.
Необходимо повторить расчет по формуле для трех ортогональных плоскостей. Полученные значения

усредняют по трем направлениям, и среднее значение сопоставляют с данными, указанными в технической документации на аппарат.
Значение

представляют в миллионных долях (ppm) для соответствующего диаметра рабочего объема системы.
7.7.5 Результаты испытаний
Результаты испытаний оформляют в виде протокола испытаний, в котором приводят параметры, указанные в
7.5 и
приложении Г. По результатам испытания интегральной неоднородности статического магнитного поля в протокол необходимо включить также значение

.
7.8 Низкоконтрастная разрешающая способность
7.8.1 Назначение
Данное испытание предназначено для оценки возможности различения на изображении низкоконтрастного объекта малого размера. Определение низкоконтрастной разрешающей способности томографа заключается в подсчете видимых объектов на изображении, выбранном как наиболее чувствительное к изменениям МР-оборудования. Методика проведения испытаний основана на рекомендациях ACR (см.
[3]).
7.8.2 Требование к оборудованию
При выполнении испытаний по оценке низкоконтрастной разрешающей способности применяют фантомы размеров, соответствующих используемым РЧ-катушкам. Общие требования к оборудованию приведены в
6.2.
Низкоконтрастные объекты должны быть представлены тест-объектами произвольной формы, имеющими различную контрастность на МР-изображении по отношению друг к другу.
7.8.3 Порядок проведения испытания
Перед проведением процедуры сканирования устанавливают РЧ-катушку на деке стола пациента и обеспечивают ее подключение согласно
6.3. Настраивают общие параметры режима сканирования согласно
6.4.
Дополнительные параметры для контроля параметра отношение сигнал/шум устанавливают следующие:
- плоскость сканирования: аксиальная, сагиттальная, корональная (попеременно);
- размер поля обзора должен быть достаточным для покрытия всего размера фантома.
Для контроля низкоконтрастной разрешающей способности необходимо использовать параметры сканирования и реконструкции, идентичные параметрам для измерения толщины среза и пространственного разрешения.
На изображении, выбранном в качестве наиболее чувствительного к изменениям МР-оборудования, выставляют уровень и ширину яркости (window level, window width) для наилучшей визуализации низкоконтрастных объектов. Уровень и ширина яркости должны быть идентичными при проведении испытаний для хорошей воспроизводимости результатов.
На изображении подсчитывают число видимых низкоконтрастных объектов. Необходимо начинать счет с кругов наибольшего диаметра и продолжать до тех пор, пока объекты не будут отличимыми от области фантома, заполненной МР-контрастной жидкостью.
7.8.4 Обработка, анализ и оценка результатов
В протоколе испытаний отражают число видимых низкоконтрастных объектов. Если число объектов менее допустимого предела, необходимо провести повторные испытания после проверки положения и центрирования фантома. Наклон фантома относительно вертикальной оси может внести значительные погрешности в подсчет. Также на визуализацию указанных объектов может повлиять точность положения среза.
7.8.5 Результаты испытаний
Результаты испытаний оформляют в виде протокола испытаний, в котором приводят параметры, указанные в
6.5 и
приложении Г. По результатам испытания низкоконтрастной разрешающей способности в протокол необходимо включить также число видимых объектов.
7.9 Точность задания угла поворота вектора намагниченности
7.9.1 Назначение
Данная методика предназначена для контроля точности задания угла поворота вектора намагниченности. Для этого строятся карты амплитуды магнитного поля
B1 (см.
[6]). Существует несколько методов построения данных карт: сатурированный метод двойного угла (Saturated double-angle, см.
[7]), метод визуализации действительного угла поворота (Actual flip-angle imaging, см.
[8]) или метод эхо-планарной последовательности (см.
[9]). Рекомендуется выбрать метод, который возможно использовать на конкретном МР-оборудовании.
7.9.2 Требования к оборудованию
Общие требования к оборудованию приведены в
6.2. Фантом для построения карты
B1 должен быть однородным, желательно сферической формы.
7.9.3 Порядок проведения испытаний
Установку РЧ-катушки и фантома внутри нее, центрирование внутри МР-оборудования осуществляют в соответствии с
6.3.
Настраивают параметры режима сканирования согласно выбранному методу.
7.9.4 Обработка, анализ и оценка результатов
На построенной карте поля B1 рассчитывают попиксельно значения угла поворота вектора намагниченности.
Например, для метода эхо-планарной последовательности с применением двойного угла карта амплитуды поля B1 зависит от значения действительного угла поворота вектора намагниченности и определяется как

(21)
где
l1,
l2 - интенсивность сигнала вокселя при угле поворота намагниченности

и

.
Для оценки ошибки передаваемой мощности РЧ-сигнала рассчитывают отношение измеренного угла по карте к действительному значению и выражают в процентах.
7.9.5 Результаты испытаний
Результаты испытаний оформляют в виде протокола испытаний, в котором приводят параметры, указанные в
6.5 и
приложении Г. По результатам испытания точности задания угла поворота вектора намагниченности в протокол необходимо включить среднее измеренное значение угла поворота вектора намагниченности, а также относительную ошибку.
7.10 Контроль параметров качества количественных МР-изображений
7.10.1 Назначение
В современное МР-оборудование внедряются технологии, позволяющие оценить количественные характеристики, такие как, например, измеряемый коэффициент диффузии (диффузионно-взвешенный режим магнитно-резонансной томографии), объем мозгового кровотока (перфузионный режим магнитно-резонансной томографии), линейная и объемная скорости (фазоконтрастная магнитно-резонансная ангиография), T1 и T2 релаксация и др. В процессе формирования заключения врачи отделения (кабинета) МРТ используют в том числе указанные количественные оценки, проводимые по МР-изображениям. Для обеспечения диагностической значимости количественных оценок проводят контроль с использованием соответствующих тест-объектов.
Настоящий пункт определяет общие требования к методикам испытания параметров качества количественных МР-изображений.
7.10.2 Требования к оборудованию
Тест-объекты и при необходимости их составные части и материалы, входящие в состав, используемые для оценки соответствующих количественных МР-изображений, должны быть отнесены к испытательному оборудованию.
Установление характеристик данных тест-объектов при аттестации испытательного оборудования следует проводить на основании информации, зафиксированной в технической и эксплуатационной документации производителя тест-объектов. В эксплуатационной документации производителя тест-объектов должна быть указана информация об установленных значениях и их отклонениях, при этом рекомендуется значение отклонения не более +/- 5%.
| | ИС МЕГАНОРМ: примечание. В официальном тексте документа, видимо, допущена опечатка: имеется в виду ГОСТ Р 58450-2019, а не ГОСТ 58450. | |
В случае отнесения испытуемого МР-оборудования к медицинским изделиям с измерительными функциями для проведения испытаний рекомендуется применять образцы состава или свойств веществ с подтвержденными метрологическими характеристиками в целях выполнения программы контроля качества, предусмотренного
ГОСТ 58450.
7.10.3 Порядок проведения испытаний
Испытание проводят согласно соответствующей методике оценки количественных параметров.
Необходимо соблюдение условий испытаний соответствующих количественных оценок. Например, при испытании измеряемого коэффициента диффузии контролируют и фиксируют температуру тест-объекта. Пример проведения испытания измеряемого коэффициента диффузии приведен в
приложении Ж.
7.10.4 Обработка и представление результатов
Обработку и анализ результатов проводят согласно соответствующей методике.
В процессе обработки результатов испытаний количественных параметров также важно рассчитывать коэффициенты вариации и доверительный интервал для оценки прослеживаемости измерений, выполняемых на МР-оборудовании.
В протокол по результатам испытаний включают параметры последовательности сканирования, условия испытаний, характеристики применяемых тест-объектов и фантомов, а также параметры точности и пр.
7.11 Оценка специализированных режимов сканирования
7.11.1 Назначение
Для ускоренных режимов важно обеспечение стабильности сигнала. Кроме того, для эхо-планарных импульсных последовательностей (single-shot) характерно наличие артефакта фазового кодирования или артефакта Найквиста, возникающего в результате непостоянной разности фаз между четными и нечетными строками k-пространства (см.
[2]). К ускоренным режимам, например, относятся эхо-планарные импульсные последовательности, которые наиболее широко применяются в диффузионной, функциональной и перфузионной МР-томографии.
Для эхо-планарных импульсных последовательностей оценивают величину артефакта фазового кодирования, пространственной нелинейности и стабильности.
7.11.2 Требования к оборудованию
Эхо-планарная импульсная последовательность чувствительна к возникновению эффектов восприимчивости, поэтому рекомендуется использовать однородный сферический фантом согласно требованиям
6.2.
7.11.3 Порядок проведения испытаний
Установку РЧ-катушки и фантома внутри нее, центрирование внутри МР-оборудования осуществляют в соответствии с
6.3.
Настраивают параметры режима сканирования:
- single-shot эхо-планарная импульсная последовательность на основе спинового эха;
- размер поля обзора - 240 x 240 мм (при диаметре фантома не более 12 см);
- толщина среза - 5 мм;
- матрица - 128 x 128;
- эффективная ширина половины полосы пропускания - примерно 100 кГц.
Проводят сканирование.
7.11.4 Обработка и представление результатов
7.11.4.1 Артефакт фазового кодирования
По зарегистрированному изображению оценивают артефакт фазового кодирования в соответствии с
7.6.
Данный параметр не должен превышать 3% при параметрах сканирования, указанных в
7.11.3.
7.11.4.2 Пространственная нелинейность
Для оценки пространственной нелинейности проводят сравнение истинных размеров фантома и размеров, измеренных на изображении. Форма визуализации фантома на изображении может подвергаться нескольким видам искажений: сдвиговое искажение (
ls), сжатие/растяжение (
lc) и сдвиг

.
На рисунке 12 отмечено измерение линейного размера фантома lx в направлении частотного кодирования.
Рисунок 12 - Измерения размеров фантома для оценки
пространственной нелинейности
Оценка пространственной нелинейности происходит по методу, указанному в
7.4.
Значение пространственной нелинейности не должно превышать 3% при параметрах сканирования, указанных в
7.11.3.
7.11.4.3 Стабильность
В случае, если на проверяемом МР-оборудовании в клинической практике широко используются режимы перфузии и функциональной МР-томографии, основанные на эхо-планарной импульсной последовательности, необходимо оценить стабильность на время исследования таких показателей качества, как интенсивность сигнала, артефакт фазового кодирования и уровень шума. Время сканирования должно быть установлено наибольшим для конкретного сканера (например, 10 мин) для сбора данных для серии изображений функциональной МР-томографии.
Допустимо изменение интенсивности сигнала на изображениях функциональной МР-томографии от 1% до 4%, коэффициент вариации при этом должен быть меньше 0,25%.
7.11.5 Контроль качества магнитно-резонансной спектрометрии
Магнитно-резонансная спектрометрия предназначена для получения информации о биохимической информации вещества ткани внутри выделенных областей интересов. Наиболее широко применяемые импульсные последовательности используют режим PRESS (point resolved spectroscopy) и STEAM (stimulated echo acquisition mode) (см.
[2]).
В процессе испытаний оценивают точность положения объемной области интереса (VOI) с использованием однородного фантома, а также точность построения спектра в режиме МР-спектроскопии с использованием фантомов с веществами, имитирующими ткани тела человека.
7.12 Контроль пространственного расположения линии индукции магнитного поля 5 Гаусс
7.12.1 Назначение
Необходимость проверки границ области контролируемого доступа вызвана прежде всего обеспечением мер безопасности пациентов и медицинского персонала и ограничением их нахождения в области, внутри которой индукция магнитного поля превышает 5 Гаусс (0,5 мТл) в соответствии с
ГОСТ Р МЭК 60601-2-33.
7.12.2 Требования к оборудованию
Данные испытания проводят с использованием следующего оборудования: миллитесламетра и измерителя линейных размеров до 5 м.
Рекомендуемыми параметрами миллитесламетра являются: измерение индукции постоянного магнитного поля (диапазон измерений должен охватывать значения измеряемой индукции магнитного поля 0,1 - 5 мТл), разрешение (должно составлять не более +/- 200 мкТл) и погрешность измерений (не более +/- 10% или не более +/- 40 мкТл).
7.12.3 Порядок проведения испытаний
Измерения проводят для четырех плоскостей: XY, XZ, YZ и плоскости перекрытия, на котором располагается МР-оборудование, параллельного XY. Измерения следует проводить при отсутствии напряжения на градиентных катушках без посторонних предметов в гентри томографа. Расположение линии, вдоль которой проводят измерения, выбирают по результатам анализа документации поставщика, ориентируясь на карту изолиний индукции магнитного поля для конкретного МР-оборудования.
Для каждой из плоскостей определяют круговую диаграмму с центром, расположенным в изоцентре магнита, отражающую удаленность измерителя магнитного поля при измеренной напряженности 5 Гаусс от изоцентра магнита. Измерения индукции магнитного поля проводят не менее 12 раз вокруг изоцентра томографа для каждой из плоскостей. Измерения проводят в соответствии с эксплуатационной документацией производителя миллитесламетра.
Определение точек, принадлежащих линии 0,5 мТл (5 Гаусс), проводят вдоль трех основных направлений (для томографа закрытого типа: вперед и назад относительно изоцентра по оси Z, вправо и влево по оси Y, вверх по оси X). Следует использовать принятую систему координат с нулем в изоцентре, осью X, направленной вертикально, осями Y и Z - взаимно перпендикулярными в горизонтальной плоскости, причем ось Z совпадает с главной осью гентри томографа и направлена вдоль стола пациента при конфигурации томографа закрытого типа.
В случае проведения испытаний для томографа открытого типа необходимо скорректировать измерения в соответствии с направлением вектора статического магнитного поля.
7.12.4 Анализ результатов
Полученные для всех плоскостей, в которых проводили измерения, координаты точек с уровнем индукции 0,5 мТл (5 Гаусс) отображаются в графическом формате.
7.12.5 Результаты испытаний
Контроль соблюдения области контролируемого доступа заключается в проверке соответствия пространственного положения измеренной линии 0,5 мТл (5 Гаусс) области, указанной в технической документации на конкретное МР-оборудование.
При выходе данной линии за пределы процедурной (комнаты сканирования) кабинета МР-томографии необходимо наличие предупреждающих знаков и средств ограничения свободного доступа. При выявлении несоответствий по результатам измерений приводят рекомендации по их устранению, например путем размещения предупреждающих знаков и ограждений, если линия 5 Гаусс выходит за пределы процедурной (комнаты сканирования).
Контроль пространственного положения линии 5 Гаусс следует выполнять при приемочных испытаниях, указав в протоколе результаты измерений. В процессе периодических испытаний необходимо проверять соблюдение всех необходимых мер ограничения доступа в область контролируемого доступа.
(справочное)
РЕКОМЕНДУЕМЫЕ КРИТЕРИИ ДЛЯ РЕЗУЛЬТАТОВ ИСПЫТАНИЙ
А.1 Интегральная неоднородность статического магнитного поля
Для диаметра рабочего объема системы 35 см (см.
[2]) интегральная неоднородность статического магнитного поля, оцененная по методам, приведенным в
приложении Е, следующая:
- среднеквадратичное значение неоднородности (root-mean square) < 0,5 ppm - для МР-оборудования, на котором проводят рутинные исследования;
- среднеквадратичное значение неоднородности (root-mean square) < 0,1 ppm - для МР-оборудования, на котором проводят исследования в ультрабыстрых (например, эхо-планарные) режимах сканирования и МР-спектроскопию.
А.2 Точность установления толщины выделяемого среза
Для импульсной последовательности спиновое эхо допустимое отклонение для установленного значения 5 мм составляет +/- 10% (см.
[2]).
А.3 Высококонтрастная разрешающая способность
Должны быть различимы объекты с размерами, соответствующими заданным размерам пикселя (см.
[2],
[3]).
А.4 Пространственная нелинейность
Пространственная нелинейность не должна превышать 2% (см.
[2]).
А.5 Низкоконтрастная разрешающая способность
Минимальное различимое число низкоконтрастных объектов для МР-оборудования зависит от параметров фантома и определяется его эксплуатационной документацией в соответствии с индукцией магнитного поля проверяемого МР-оборудования.
А.6 Отношение сигнал/шум
Значение отношения сигнал/шум зависит от многих факторов, поэтому предельные отклонения могут устанавливаться либо при проведении приемочных испытаний, как +/- стандартное отклонение от базового значения, либо согласно параметрам производителя.
А.7 Неоднородность распределения яркости
Для головной РЧ-катушки МРТ 1,5 Тл значения неоднородности распределения яркости должны быть менее 100% - 87,5% = 12,5%; для 3,0 Тл - 100% - 82% = 18% (см.
[3]).
А.8 Артефакт фазового кодирования
Для головной РЧ-катушки при использовании импульсной последовательности
T1-взвешенного спинового эха уровень артефакта должен быть не более 2,5% (см.
[3]), а при приемочных испытаниях - не более 1% (см.
[2]).
А.9 Контроль качества ускоренных импульсных последовательностей (см. [2])
Уровень артефакта фазового кодирования для импульсных последовательностей эхо-планарной визуализации single-shot спиновое эхо должен быть не более 3%.
Пространственная нелинейность для импульсных последовательностей эхо-планарной визуализации спиновое эхо и градиентное эхо должна быть не более 3%.
Для режимов функциональной МРТ при значении магнитной индукции 1,5 Тл изменение уровня сигнала во времени не должно превышать 4%, а коэффициент вариации не должен быть более 0,25%.
(справочное)
СВОЙСТВА РАСТВОРОВ ДЛЯ ОБОРУДОВАНИЯ
Б.1 Связь параметров времен релаксации с концентрацией парамагнитных солей в водном растворе
Для обеспечения соответствия релаксационных свойств (времена релаксации T1, T2) применяемых растворов требованиям к оборудованию используют парамагнитные соли.
Зависимость времен релаксации T1 и T2 от концентрации парамагнитных солей определяют из следующих соотношений:

(Б.1)
и

(Б.2)
где T1 - продольное время релаксации;
T2 - поперечное время релаксации;
T10 - значение T1 воды при температуре T0 = 25 °C;
T20 - значение T2 воды при температуре T0 = 25 °C;
T - температура водного раствора парамагнитной соли;
Ea - коэффициент, Ea = 3,088·10-20 Дж;
k - постоянная Больцмана (1,38·10-23 Дж/К);
N - число ионов в единице объема (6,023·10-23 молей/л);
C1N, C2N - константы парамагнитной соли.
Например, для ионов меди константы: C1 = 8,67·1020 с/л, C2 = 8,07·1020 с/л. Зависимость времен релаксации от концентрации CuSO4·5H2O в водном растворе представлена на рисунке Б.1.
Рисунок Б.1 - Времена релаксации T1 и T2 в зависимости
от концентрации CuSO4·5H2O
(обязательное)
ПАРАМЕТРЫ ПРОТОКОЛОВ СКАНИРОВАНИЯ ПРИ ПРОВЕДЕНИИ ИСПЫТАНИЙ
Таблица В.1
Параметр сканирования | Характеристика, единица измерения | Испытание |
Отношение сигнал/шум | Неоднородность | Толщина среза | Нелинейность | Разрешение | Артефакт |
Укладка пациента | Головой или ногами по направлению к апертуре магнита | Головой по направлению к апертуре магнита | Головой по направлению к апертуре магнита | Головой по направлению к апертуре магнита | Головой по направлению к апертуре магнита | Головой по направлению к апертуре магнита | Головой по направлению к апертуре магнита |
Позиция пациента | Лежа на спине | Лежа на спине | Лежа на спине | Лежа на спине | Лежа на спине | Лежа на спине | Лежа на спине |
Вес пациента | кг | | | | | | |
Формат сканирования | 2D или 3D | 2D | 2D | 2D | 2D | 2D | 2D |
Импульсная последовательность | SE или GRE | SE | SE | SE | SE | SE | SE |
Плоскость | Аксиальная, сагиттальная, корональная | Все три плоскости | Все три плоскости | Все три плоскости | Все три плоскости | Все три плоскости | Все три плоскости |
Размер поля обзора в направлении кодирования фазы | мм | | | | | | |
Размер поля обзора в направлении кодирования частоты | мм | | | | | | |
Число срезов | | 1 | 1 | 3 | 1 | 1 | 1 |
Толщина среза | мм | 5 | 5 | 5 | 5 | 5 | |
Расстояние между центрами срезов | мм | Не определено | Не определено | 10 | Не определено | Не определено | Не определено |
Координаты центра поля обзора | мм | | | | | | |
Позиция центра среза | мм | +/- 30 мм | +/- 30 мм | +/- 30 мм | +/- 30 мм | +/- 30 мм | +/- 30 мм |
Направление кодирования фазы | Коронал: S/I; Аксиал: L/R; Сагиттал: A/P | | | | | Все варианты для каждой плоскости | Аксиал: L/R Сагиттал: A/P Коронал: S/I |
TR | мс | > 3T1 | > 3T1 | > 3T1 | > 3T1 | > 3T1 | 603 |
TE | мс | 30 или < 1/3T2 | 30 или < 1/3T2 | 30 или < 1/3T2 | 30 или < 1/3T2 | 30 или < 1/3T2 | 25 |
Число эхо-сигналов | | 1 | 1 | 1 | 1 | 1 | 1 |
Угол поворота (flip angle) | градусы | Не определен | Не определен | Не определен | Не определен | Не определен | |
Размер матрицы в направлении кодирования частоты | мм | 256 | 256 | 256 | | | |
Размер матрицы в направлении кодирования фазы | мм | 256 | 256 | 256 | | | |
Число усреднений | | 1 | >= 1 | >= 1 | >= 1 | >= 1 | 1 |
Ширина полосы пропускания приемника/пиксель | Гц/пиксель | Применяемая в клинической практике | Применяемая в клинической практике | Применяемая в клинической практике | Применяемая в клинической практике | Применяемая в клинической практике | Применяемая в клинической практике |
Коррекция геометрических искажений | Вкл./выкл. Тип (2D, 3D) | | | | | | |
Фильтры сглаживания и усиливания границ | Вкл./выкл. | | | | | | |
Коррекция неоднородности/артефактов | Вкл./выкл. | | | | | | |
Дополнительные фильтры | Вкл./выкл. | | | | | | |
(справочное)
ПРИМЕР СОДЕРЖАНИЯ ПРОТОКОЛА ПО РЕЗУЛЬТАТАМ ИСПЫТАНИЙ
ОСНОВНЫХ ПАРАМЕТРОВ КАЧЕСТВА ИЗОБРАЖЕНИЙ МР-ОБОРУДОВАНИЯ
Протокол по результатам испытаний может содержать следующие пункты:
Г.1 Основные сведения о расположении МР-оборудования (наименование учреждения, адрес, корпус, этаж, кабинет).
Г.2 Основные сведения об МР-оборудовании [наименование, тип, заводской (инвентарный) номер, наименование предприятия-изготовителя, год выпуска/год ввода в эксплуатацию].
Г.3 Дата проведения испытаний.
Г.4 Проверяемые характеристики МР-оборудования:
- характеристики воспроизведения условий испытаний;
- характеристики контроля параметров испытуемой продукции (при наличии).
Г.5 Сведения о программном обеспечении МР-оборудования.
Г.6 Условия проведения испытаний: температура, влажность, давление и т.п.
Г.7 Документы, используемые для испытаний: техническая документация, в том числе технические условия, программа испытаний и методики испытаний и т.п.
Г.8 Сведения о средствах измерения и вспомогательном оборудовании, которые используются для проведения испытаний МР-оборудования (согласно таблице Г.1).
Параметр | Значение, единица измерения |
Общие |
Модель и производитель томографа | - |
Версия программного обеспечения | - |
Магнитная индукция постоянного магнитного поля томографа | Тл |
Рабочий объем |
Форма | Сфера, эллипсоид и др. |
Размер | мм |
Положение центра | мм |
Рабочая область |
Форма | Круг, эллипс и др. |
Размер | мм |
Положение центра | мм |
Передающая РЧ-катушка |
Тип | - |
Наименование | - |
Количество передающих каналов | - |
Размер катушки | мм |
Режим работы передачи | Линейный, поляризованный и др. |
Приемная РЧ-катушка |
Тип | - |
Наименование | - |
Количество приемных каналов | - |
Размер | мм |
Тест-объект |
МР-контрастный материал фантома: | |
- T1 (продольное время релаксации) | мс |
- T2 (поперечное время релаксации) | мс |
- наименование парамагнитных солей | - |
- концентрация парамагнитных солей | г/см3 |
- форма и размер тест-объекта | - |
- отклонение фантома от положения изоцентра | мм |
Г.9 Результаты испытаний МР-оборудования
Г.9.1 Результаты внешнего осмотра (комплектность, отсутствие повреждений, функционирование узлов, агрегатов, наличие калибровки входящих в состав МР-оборудования компонентов) с выводами о соответствии или несоответствии технической документации.
Г.9.2 Полученные значения характеристик МР-оборудования по каждому пункту методики испытаний с выводами о соответствии или несоответствии заявленным значениям, включая
таблицы 4 -
9 настоящего стандарта.
Г.10 Заключение о соответствии или несоответствии МР-оборудования требованиям нормативных документов на МР-оборудование.
Г.11 Рекомендации
Примечание - При отрицательных результатах первичной (периодической) аттестации указывают предложения по устранению выявленных несоответствий.
(обязательное)
ПОПРАВОЧНЫЕ КОЭФФИЦИЕНТЫ ДЛЯ РАСЧЕТА ПАРАМЕТРА
ОТНОШЕНИЕ СИГНАЛ/ШУМ В ЗАВИСИМОСТИ ОТ ЧИСЛА КАНАЛОВ
ПРИЕМНОЙ РЧ-КАТУШКИ (СМ. [1])
Таблица Д.1
| | ИС МЕГАНОРМ: примечание. Текст дан в соответствии с официальным текстом документа. | |
Число каналов приемной РЧ-катушки | Поправочный коэффициент для коррекции среднего | Поправочный коэффициент для коррекции стандартного отклонения |
1 | 1,25 | 0,66 |
2 | 1,88 | 0,68 |
3 | 2,35 | 0,69 |
4 | 2,74 | 0,70 |
5 | 3,08 | 0,70 |
6 | 3,39 | 0,70 |
7 | 3,68 | 0,70 |
8 | 3,94 | 0,70 |
9 | 4,18 | 0,70 |
10 | 4,42 | 0,70 |
11 | 4,64 | 0,70 |
12 | 4,85 | 0,70 |
13 | 5,05 | 0,70 |
14 | 5,24 | 0,70 |
15 | 5,43 | 0,70 |
16 | 5,61 | 0,70 |
17 | 5,79 | 0,70 |
18 | 5,96 | 0,70 |
19 | 6,12 | 0,70 |
20 | 6,29 | 0,70 |
21 | 6,44 | 0,71 |
22 | 6,60 | 0,71 |
23 | 6,75 | 0,71 |
24 | 6,89 | 0,71 |
25 | 7,04 | 0,71 |
26 | 7,18 | 0,71 |
27 | 7,31 | 0,71 |
28 | 7,45 | 0,71 |
29 | 7,58 | 0,71 |
30 | 7,71 | 0,71 |
31 | 7,84 | 0,71 |
32 | 7,97 | 0,71 |
33 | 8,09 | 0,71 |
34 | 8,22 | 0,71 |
35 | 8,34 | 0,71 |
36 | 8,46 | 0,71 |
37 | 8,57 | 0,71 |
38 | 8,69 | 0,71 |
39 | 8,80 | 0,71 |
40 | 8,92 | 0,71 |
41 | 9,03 | 0,71 |
42 | 9,14 | 0,71 |
43 | 9,25 | 0,71 |
44 | 9,35 | 0,71 |
45 | 9,46 | 0,71 |
46 | 9,57 | 0,71 |
47 | 9,67 | 0,71 |
48 | 9,77 | 0,71 |
49 | 9,87 | 0,71 |
50 | 9,98 | 0,71 |
51 | 10,07 | 0,71 |
52 | 10,17 | 0,71 |
53 | 10,27 | 0,71 |
54 | 10,37 | 0,71 |
55 | 10,46 | 0,71 |
56 | 10,56 | 0,71 |
57 | 10,65 | 0,71 |
58 | 10,75 | 0,71 |
59 | 10,84 | 0,71 |
60 | 10,93 | 0,71 |
61 | 11,02 | 0,71 |
62 | 11,11 | 0,71 |
63 | 11,20 | 0,71 |
64 | 11,29 | 0,71 |
65 | 11,38 | 0,71 |
66 | 11,47 | 0,71 |
67 | 11,55 | 0,71 |
68 | 11,64 | 0,71 |
69 | 11,73 | 0,71 |
70 | 11,81 | 0,71 |
71 | 11,90 | 0,71 |
72 | 11,98 | 0,71 |
73 | 12,06 | 0,71 |
74 | 12,15 | 0,71 |
75 | 12,23 | 0,71 |
76 | 12,31 | 0,71 |
77 | 12,39 | 0,71 |
78 | 12,47 | 0,71 |
79 | 12,55 | 0,71 |
80 | 12,63 | 0,71 |
81 | 12,71 | 0,71 |
82 | 12,79 | 0,71 |
83 | 12,86 | 0,71 |
84 | 12,94 | 0,71 |
85 | 13,02 | 0,71 |
86 | 13,10 | 0,71 |
87 | 13,17 | 0,71 |
88 | 13,25 | 0,71 |
89 | 13,32 | 0,71 |
90 | 13,40 | 0,71 |
91 | 13,47 | 0,71 |
92 | 13,55 | 0,71 |
93 | 13,62 | 0,71 |
94 | 13,69 | 0,71 |
95 | 13,77 | 0,71 |
96 | 13,84 | 0,71 |
97 | 13,91 | 0,71 |
98 | 13,98 | 0,71 |
99 | 14,05 | 0,71 |
100 | 14,12 | 0,71 |
101 | 14,20 | 0,71 |
102 | 14,27 | 0,71 |
103 | 14,34 | 0,71 |
104 | 14,40 | 0,71 |
105 | 14,47 | 0,71 |
106 | 14,54 | 0,71 |
107 | 14,61 | 0,71 |
108 | 14,68 | 0,71 |
109 | 14,75 | 0,71 |
110 | 14,82 | 0,71 |
111 | 14,88 | 0,71 |
112 | 14,95 | 0,71 |
113 | 15,02 | 0,71 |
114 | 15,08 | 0,71 |
115 | 15,15 | 0,71 |
116 | 15,22 | 0,71 |
117 | 15,28 | 0,71 |
118 | 15,35 | 0,71 |
119 | 15,41 | 0,71 |
120 | 15,48 | 0,71 |
121 | 15,54 | 0,71 |
122 | 15,60 | 0,71 |
123 | 15,67 | 0,71 |
124 | 15,73 | 0,71 |
125 | 15,80 | 0,71 |
126 | 15,86 | 0,71 |
127 | 15,92 | 0,71 |
128 | 15,98 | 0,71 |
(справочное)
ИНТЕГРАЛЬНАЯ НЕОДНОРОДНОСТЬ СТАТИЧЕСКОГО МАГНИТНОГО ПОЛЯ.
АЛЬТЕРНАТИВНЫЕ МЕТОДЫ
Е.1 Построение карты статического магнитного поля (B0-картирование)
Е.1.1 Назначение
Интегральная неоднородность магнитного поля определяется как изменение магнитного поля (ppm) внутри рабочего объема системы.
Наиболее точным и быстрым методом оценки неоднородности статического магнитного поля является построение карты разности фаз, которая пропорциональна распределению магнитного поля (см.
[10]). При равномерном распределении магнитного поля внутри рабочего объема системы все спины прецессируют с одинаковой частотой, однако при наличии какой-либо неоднородности частота прецессии спинов будет больше или меньше рабочей частоты системы (Ларморовой), что приведет к фиксации разности фаз при времени эха.
С целью построения карт разности фаз обычно используют импульсную последовательность градиентного эха, т.к. она отличается малым временем сканирования, легкостью последующей обработки и наличием большей чувствительности к смещению поля B0, чем стандартное спиновое эхо.

(Е.1)
где

- разница частоты, Гц;

- разница времен эха, мс (обычно выбирают

).
При отсутствии технической возможности проведения оценки интегральной неоднородности статического магнитного поля по данной методике можно провести упрощенную оценку по одному или двум фазовым изображениям (см.
[3]).
Е.1.2 Требования к оборудованию
Для проведения испытания указанного параметра необходимо использовать однородный сферический фантом, заполненный жидкостью. Диаметр фантома должен охватывать весь рабочий объем системы. Также допустимо использование цилиндрического фантома, но в таком случае его необходимо будет ориентировать в соответствии со сканируемым направлением.
Е.1.3 Порядок проведения испытаний
Фантом располагают на подставке, которая входит в комплект с фантомом, и центрируют в катушке согласно
6.3 настоящего стандарта.
Используют импульсные последовательности градиентного эха (GRE двумерные или объемные).
Для 3D GRE (spoiled gradient-recalled, SPGR) последовательности рекомендованными параметрами сканирования являются: TR 40 - 50 мс, TE1 10 - 20 мс, TE2 = TE1 + 2,5 ... 10 мс, угол поворота 30° - 40°, размер матрицы 128 x 128 x 64. Размер поля сканирования (FOV) выбирают на 10% - 25% больше, чем диаметр фантома.
Для 2D GRE (SPGR) последовательности рекомендованными параметрами сканирования являются: TR 200 мс, TE1 10 - 30 мс, TE2 = TE1 + 2,5 ... 10 мс, угол поворота 30° - 40°, размер матрицы 128 x 128 или 128 x 64, толщина среза 5 мм (высокое поле) или 10 мм (низкое поле). Размер поля сканирования (FOV) выбирают на 10% - 25% больше, чем диаметр фантома.
Для этого теста фантом тела поочередно ориентируется в корональной, сагиттальной и аксиальной плоскостях на подставке, идущей в комплекте с фантомом. Дают фантому отстояться не менее 20 мин после каждого его перемещения.
Е.1.4 Обработка и анализ результатов
Построение карт разности фаз происходит по данным действительных (R) и мнимых (I) изображений:

(Е.2)
где 1, 2 - изображения, собранные при времени эха

и

соответственно.
Фиксируют значение f0, определенное сканером на подготовительном этапе сбора данных (во время предварительного сканирования).
Карта разности фаз преобразуется к изменению B0, выраженному в значениях миллионных долей (ppm):

(Е.3)
На карте выделяют область интереса, включающую 85% размера рабочей зоны системы.
Определяют среднее значение B0(r)ppm внутри области интереса.
Рассчитывают среднее значение по трем плоскостям, которое записывают в протоколе испытаний.
Е.1.5 Протокол испытаний
В протоколе испытаний указывают среднее значение измерений по трем плоскостям.
Е.2 Спектральный метод
Е.2.1 Измерение величины неоднородности статического магнитного поля спектральным методом осуществляется с использованием однородного фантома, наполненного МР-контрастной жидкостью. Геометрические размеры фантома должны превосходить область рабочего объема системы.
Е.2.2 Перед проведением процедуры сканирования следует установить РЧ-катушку на деке стола пациента и обеспечить ее подключение. Внутри РЧ-катушки размещается фантом и центрируется относительно нее с помощью нанесенных на поверхность фантома вспомогательных меток. После этого необходимо добиться совпадения центра приемной РЧ-катушки с изоцентром МРТ путем совмещения меток с лазерным лучом.
Е.2.3 С использованием штатного программного обеспечения получают спектральную линию (см.
рисунок Е.1). Величину неоднородности статического магнитного поля
S оценивают как ширину спектрального пика на уровне половины максимального значения (ПШПМ). Далее полученное значение неоднородности статического магнитного поля (Гц) пересчитывают в млн
-1 (ppm).

(Е.4)
где ПШПМ - ширина спектрального пика на уровне половины максимального значения, Гц;

- гиромагнитное отношение для ядер водорода, Гц/Тл;
B0 - индукция магнитного поля, Тл.
Рисунок Е.1 - Спектральная линия для определения величины
неоднородности статического магнитного поля
(справочное)
ОЦЕНКИ КОЭФФИЦИЕНТА ДИФФУЗИИ ПРИ ВЫПОЛНЕНИИ
ДИФФУЗИОННО-ВЗВЕШЕННОЙ МАГНИТНО-РЕЗОНАНСНОЙ ТОМОГРАФИИ
Ж.1 Общие положения
Ж.1.1 Назначение
Данная методика предназначена для применения в ходе испытаний параметров качества изображений магнитно-резонансного томографа, а именно при оценке такого количественного параметра, как измеряемый коэффициент диффузии (ИКД). Данный параметр может быть оценен по картам ИКД или по результатам расчетов при наличии нескольких (как правило, двух) изображений магнитно-резонансной томографии (МР-изображения), полученных при разных параметрах подачи диффузионных градиентных импульсов.
Ж.1.2 Требования техники безопасности
Работники, осуществляющие испытания, допускаются к работе с МР-томографом после ознакомления с основными правилами безопасности в кабинете МР-томографа.
Все действия, связанные с установкой фантома и настройкой режимов сканирования, должен проводить персонал, допущенный к работе с данным видом оборудования.
Ж.1.3 Требования к квалификации обслуживающего персонала
К проведению измерений допускаются работники, ознакомленные с руководством по эксплуатации МР-оборудования, фантомов и тест-объектов, а также имеющие практический опыт работы с МР-оборудованием.
Ж.2 Оцениваемые характеристики и расчетные соотношения
В некоторых системах МРТ расчет ИКД осуществляют по моно-экспоненциальной формуле, учитывающей два МР-изображения, получаемые при различных значениях b-фактора. При таком случае оценку ИКД проводят по формуле

(Ж.1)
где

,

- интенсивности на диффузионно-взвешенных МР-изображениях, полученные при параметрах
b-фактора
b1 и
b2 соответственно.
В современных томографах расчет может происходить путем аппроксимации функции затухания сигнала, представленного в выражении, при нескольких параметрах b-фактора:
Ib = I0e(-b·икд). (Ж.2)
Под
b-фактором понимают интегральный коэффициент, зависящий от следующих параметров: амплитуды
G и длительности

, а также времени между подачей двух кодирующих градиентных импульсов

. Согласно формуле варьирование показателя
b возможно за счет изменения одного из указанных параметров. Однако, как правило, на МР-оборудовании, предназначенном для решения клинических задач, допускается выбор только интегрального показателя, т.е.
b-фактора (при этом возможно изменение любого из трех параметров: G,

,

).

(Ж.3)
где tD - время диффузии.
Параметр q2 характеризует градиентные импульсы и зависит от их амплитуды и длительности. В частном случае при форме импульсов, близких к прямоугольным,

(Ж.4)
где

- гиромагнитное отношение водорода;
G,

и

- амплитуда, длительность диффузионных градиентных импульсов и временной промежуток между ними соответственно.
Ж.3 Требование к оборудованию
Оборудование для испытаний должно соответствовать общим требованиям
7.10.2 настоящего стандарта. Для проведения испытаний диффузионно-взвешенного режима МР-томографии необходимо использовать тест-объекты или фантомы, включающие материалы с установленными характеристиками коэффициента диффузии. Фантом должен представлять собой емкость (например, из полипропилена или органического стекла), подходящую по форме и размеру для помещения в приемную РЧ-катушку. Свободный от емкостей с образцами объем фантома должен быть заполнен МР-контрастным веществом (например, водой или силиконовым маслом) с небольшими значениями диэлектрической константы и проводимости для исключения феномена стоячей волны.
Образцы могут быть представлены водными растворами с концентрацией полимера (например, поливинилпирролидона) от 10% до 70% или другими веществами с известными характеристиками диффузии молекул воды. Данные образцы являются моделями затрудненной изотропной диффузии молекул воды, параметр которой - коэффициент диффузии - связан с концентрацией полимеров в растворе. Рекомендуется использовать образцы с коэффициентом диффузии в диапазоне от 0,5 до 2,5 мм2/с.
Условия выполнения испытания:
- выполнение измерений необходимо проводить на магнитно-резонансном томографе с индукцией магнитного поля до 4 Тл;
- необходимо обеспечить следующие параметры окружающей среды:
температура - от 20 °C до 23 °C;
относительная влажность воздуха - до 60%;
атмосферное давление - от 60 до 106 кПа.
Ж.4 Порядок проведения испытания
В процессе подготовки фантома к испытанию необходимо оставить фантом в комнате сканирования для температурной стабилизации. Время зависит от разности температур в комнате сканирования и самого фантома. Необходимо проведение контроля измерения температуры спиртовым термометром и фиксирование измерения в протоколе испытаний.
Перед проведением процедуры сканирования следует установить РЧ-катушку на деке стола пациента и обеспечить ее электрическое подсоединение.
Внутри РЧ-катушки следует разместить и центрировать фантом относительно нее с использованием нанесенных на поверхность фантома вспомогательных меток.
После этого необходимо добиться совпадения центра приемной РЧ-катушки с изоцентром МР-оборудования путем совмещения меток с лазерным прицелом.
После установки фантома в изоцентр томографа необходимо подождать некоторое время (примерно 15 мин) для успокоения колебаний жидкости в фантоме.
Непосредственно после установки тест-объекта в РЧ-катушку и центрирования требуется провести рекомендуемое производителем предварительное сканирование, включающее настройку частоты, градиентный шимминг (компенсация неоднородности магнитного поля в соответствии с объемными характеристиками исследуемого объекта) и построение локалайзера для планирования расположения области срезов.
Следует настроить стандартизированный протокол диффузионно-взвешенного режима магнитно-резонансной томографии. Пример протокола для МР-оборудования фирмы Toshiba приведен в
таблице Ж.1. При возможности следует настроить автоматическое построение карты ИКД с использованием программного обеспечения МР-оборудования. Для этого необходимо настроить параметр
b-фактор с двумя или более неравными значениями: нулем и отличным от нуля, например 0 с/мм
2 и 200 с/мм
2, 0 с/мм
2 и 400 с/мм
2 и т.п.
Следует провести исследование по приведенной методике. По окончании исследования необходимо зафиксировать температуру в комнате сканирования и непосредственно фантома.
Таблица Ж.1
Возможные параметры сканирования (модель
магнитно-резонансного томографа: Canon Medical Systems,
Excelart Avantage, 1.5\Тл)
Наименование параметра | Значение |
Время повторения TR, мс | 5300 |
Время регистрации эхо-сигнала TE, мс | 100 |
Угол поворота (flip angle) | 90° |
Размер поля обзора, мм | 260 x 260 |
Матрица сканирования | 128 x 128 |
Толщина среза, мм | 4 |
Размер пикселя, мм | 2,03 x 2,03 |
Ширина полосы пропускания приемника, Гц | 1302 |
Количество усреднений | 1 |
b-фактор, с/мм2 | 200/400/600/800/1000 |
Функция жироподавления | Fat saturation |
Ж.5 Обработка, анализ и оценка результатов
Процедура оценки ИКД состоит из следующих этапов:
а) на изображении внутри всех емкостей с веществами (см.
рисунок Ж.1) осуществляют выделение области интереса ROI
j для каждого
j-го вещества (примерно 80% площади сечения виал),
j = 1, 2 ..., и регистрируют значение ИКД
Di,j для каждого
i-го пикселя, находящегося внутри ROI
j;
б) проводят расчет среднего значения

и среднеквадратичного отклонения

по выборке
Di,j,
i = 1, 2 ...
Nj, где
Nj - количество пикселей внутри ROI
j;
в) из полученной выборки исключают пиксели с интенсивностью сигнала, соответствующей "грубым" промахам

. Пересчитывают среднее значение и среднеквадратичное отклонение.
Рисунок Ж.1 - Пример изображения карты ИКД фантома
с выделенной областью интереса ROI внутри емкости
с веществом
Если условия измерений при испытаниях ИКД при диффузионно-взвешенном режиме МР-томографии не соответствуют условиям проведения испытаний, при которых были определены характеристики веществ, но соответствуют допускаемым условиям применения в соответствии с нормативными документами, то необходимо провести их коррекцию.
Расчет показателей неопределенности оценки ИКД:
а) оценку неопределенности типа А (
uА) осуществляют в ходе расчета среднеквадратичного отклонения случайной погрешности оценки центра распределения ИКД

для каждого
j-го вещества

(Ж.5)
Неопределенность uА соответствует стандартному отклонению среднего;
б) оценку неопределенности типа Б (uБ) осуществляют с учетом вклада всех показателей используемого испытательного оборудования;
в) стандартную неопределенность (uС) рассчитывают по формуле

(Ж.6)
г) расширенную неопределенность U определяют путем умножения на uС коэффициента охвата k = 2 при уровне доверительной вероятности 0,95.
Ж.6 Протокол испытаний
В качестве результата оценки ИКД при диффузионно-взвешенном режиме магнитно-резонансной томографии приводят следующие характеристики для каждого тест-объекта с заданными коэффициентами диффузии:
- среднее значение Dj;
- систематическое смещение S полученного значения параметра от заданного номинального значения или поправку, которую необходимо вносить в задаваемое значение параметра, равную (-S);
- расширенную неопределенность U.
Также в протокол испытаний необходимо включить следующие условия выполнения испытаний и параметры последовательности:
- температуру в комнате сканирования и температуру внутри фантома до проведения испытания и после него;
- характеристики тест-объекта (заданные характеристики и методы их испытаний);
- параметры последовательности.
| МЭК 62464-1:2018 | Оборудование магнитно-резонансное для медицинской визуализации. Часть 1. Определение основных параметров качества изображения |
| (IEC 62464-1:2018) | (Magnetic resonance equipment for medical imaging - Part 1: Determination of essential image quality parameters) |
| AAPM REPORT NO. 100 Acceptance Testing and Quality Assurance Procedures for Magnetic Resonance Imaging Facilities. 2010 |
| Price R. [и др.]. 2015 American College of Radiology MRI Quality Control Manual/R. Price, J. Allison, G. Clarke, M. Dennis, R.E. Hendrick [и др.]., 2015. 120 с. |
| Методические рекомендации Департамента здравоохранения города Москвы N 17, 2011 | Методика контроля параметров и характеристик магнитно-резонансных томографов в условиях эксплуатации |
| Методические рекомендации Департамента здравоохранения города Москвы N 31, 2014 | Методика контроля параметров и характеристик магнитно-резонансных томографов для проведения исследования конечностей |
| Tijssen R.H.M., Philippensa M.E.P., Paulson E.S. et al. MRI commissioning of 1.5T MR-linac systems - a multi-institutional study. Radiotherapy and Oncology. 2019; 132:114 - 120 |
| Cunningham C.H., Pauly J.M., Nayak K.S. Saturated double-angle method for rapid B1+ mapping. Magnetic Resonance in Medicine. 2006; 55:1326 - 1333 |
| Yarnykh V.L. Actual flip-angle imaging in the pulsed steady state: a method for rapid three-dimensional mapping of the transmitted radiofrequency field. Magnetic Resonance in Medicine. 2007; 57:192 - 200 |
| Boudreau M., Tardif C.L., Stikov N., Sled J.G., Lee W., Pike G.B. B1 mapping for bias-correction in quantitative T1 imaging of the brain at 3T using standard pulse sequences. J. Magn. Reson. Imaging. 2017; 46:1673 - 1682 |
| New Developments in NMR No. 7. Magnetic Resonance Technology: Hardware and System Component Design. Edited by Andrew G Webb. The Royal Society of Chemistry 2016 |
УДК 615.841:006.354 | |
Ключевые слова: магнитно-резонансное оборудование, медицинская визуализация, контроль качества изображений, параметры, требования, безопасность, испытания |