Главная // Актуальные документы // ГОСТ Р (Государственный стандарт)СПРАВКА
Источник публикации
М.: Стандартинформ, 2020
Примечание к документу
Документ
введен в действие с 01.01.2021.
Название документа
"ГОСТ Р 58994-2020. Национальный стандарт Российской Федерации. Двигатели газотурбинные. Методика определения объемных остаточных напряжений в деталях газотурбинных двигателей"
(утв. и введен в действие Приказом Росстандарта от 28.08.2020 N 592-ст)
"ГОСТ Р 58994-2020. Национальный стандарт Российской Федерации. Двигатели газотурбинные. Методика определения объемных остаточных напряжений в деталях газотурбинных двигателей"
(утв. и введен в действие Приказом Росстандарта от 28.08.2020 N 592-ст)
Утвержден и введен в действие
Приказом Федерального
агентства по техническому
регулированию и метрологии
от 28 августа 2020 г. N 592-ст
НАЦИОНАЛЬНЫЙ СТАНДАРТ РОССИЙСКОЙ ФЕДЕРАЦИИ
ДВИГАТЕЛИ ГАЗОТУРБИННЫЕ
МЕТОДИКА
ОПРЕДЕЛЕНИЯ ОБЪЕМНЫХ ОСТАТОЧНЫХ НАПРЯЖЕНИЙ В ДЕТАЛЯХ
ГАЗОТУРБИННЫХ ДВИГАТЕЛЕЙ
Gas turbine engines. Method for determining the volumetric
residual stresses in parts of gas turbine engines
ГОСТ Р 58994-2020
Дата введения
1 января 2021 года
1 РАЗРАБОТАН Федеральным государственным унитарным предприятием "Центральный институт авиационного моторостроения имени П.И. Баранова" (ФГУП "ЦИАМ им. П.И. Баранова")
2 ВНЕСЕН Техническим комитетом по стандартизации ТК 323 "Авиационная техника"
3 УТВЕРЖДЕН И ВВЕДЕН В ДЕЙСТВИЕ Приказом Федерального агентства по техническому регулированию и метрологии от 28 августа 2020 г. N 592-ст
4 ВВЕДЕН ВПЕРВЫЕ
Правила применения настоящего стандарта установлены в статье 26 Федерального закона от 29 июня 2015 г. N 162-ФЗ "О стандартизации в Российской Федерации". Информация об изменениях к настоящему стандарту публикуется в ежегодном (по состоянию на 1 января текущего года) информационном указателе "Национальные стандарты", а официальный текст изменений и поправок - в ежемесячном информационном указателе "Национальные стандарты". В случае пересмотра (замены) или отмены настоящего стандарта соответствующее уведомление будет опубликовано в ближайшем выпуске ежемесячного информационного указателя "Национальные стандарты". Соответствующая информация, уведомление и тексты размещаются также в информационной системе общего пользования - на официальном сайте Федерального агентства по техническому регулированию и метрологии в сети Интернет (www.gost.ru)
Настоящий стандарт устанавливает методику определения остаточных напряжений деталей газотурбинных двигателей тензометрическим методом. Тензометрический метод определения объемных остаточных напряжений основан на измерении деформаций, происходящих в результате снятия напряжений разрезкой детали на части.
В настоящем стандарте использованы нормативные ссылки на следующие стандарты:
ГОСТ 7165 Мосты постоянного тока для измерения сопротивления
ГОСТ 10587 Смолы эпоксидно-диановые неотвержденные. Технические условия
ГОСТ 12172 Клеи фенолополивинилацетальные. Технические условия
ГОСТ 21616 Тензорезисторы. Общие технические условия
ГОСТ 22261 Средства измерений электрических и магнитных величин. Общие технические условия
ГОСТ 23737 Меры электрического сопротивления. Общие технические условия
Примечание - При пользовании настоящим стандартом целесообразно проверить действие ссылочных стандартов в информационной системе общего пользования - на официальном сайте Федерального органа по техническому регулированию и метрологии в сети Интернет или по ежегодному информационному указателю "Национальные стандарты", который опубликован по состоянию на 1 января текущего года, и по выпускам ежемесячного информационного указателя "Национальные стандарты" за текущий год. Если заменен ссылочный стандарт, на который дана недатированная ссылка, то рекомендуется использовать действующую версию этого стандарта с учетом всех внесенных в данную версию изменений. Если заменен ссылочный стандарт, на который дана датированная ссылка, то рекомендуется использовать версию этого стандарта с указанным выше годом утверждения (принятия). Если после утверждения настоящего стандарта в ссылочный стандарт, на который дана датированная ссылка, внесено изменение, затрагивающее положение, на которое дана ссылка, то это положение рекомендуется применять без учета данного изменения. Если ссылочный стандарт отменен без замены, то положение, в котором дана ссылка на него, рекомендуется применять в части, не затрагивающей эту ссылку.
3 Термины, определения и сокращения
3.1 В настоящем стандарте применен следующий термин с соответствующим определением:
3.1.1 объемные остаточные напряжения: Напряжения, равномерно распределенные по толщине детали или в пределах слоя детали, из которого вырезают образец.
Примечания
1 Такие напряжения образуются после технологических операций или в эксплуатационных условиях, когда воздействию (силовому, температурному, изменению структуры) подвергается весь исследуемый элемент детали, например: после заготовительных операций (литья, штамповки, сварки и т.д.), термомеханической обработки, газостатирования, работы в поле центробежных сил.
2 Остаточное напряженное состояние в вырезаемом образце принимается плоским и постоянным по длине и ширине.
3.2 В настоящем стандарте применены следующие сокращения:
ГТД - газотурбинный двигатель;
РЭ - руководство по эксплуатации;
ЦТМ-3, ЦТМ-5 - цифровые тензометрические мосты.
4.1 Методика определения остаточных напряжений деталей ГТД предназначена для установления объемных остаточных напряжений в деталях методом полного освобождения, заключающегося в вырезке из детали образца (прямоугольной пластины или оболочки малой кривизны), и измерения с помощью тензорезисторов компонентов деформаций, возникающих в результате вырезки.
4.2 Исследованию подвергают детали (лопатки, диски, валы, корпусы и др.), из которых могут быть вырезаны образцы - прямоугольные пластины длиной и шириной более 10 мм или оболочки малой кривизны (отношение радиуса кривизны к толщине более 5).
4.3 Определение остаточных напряжений проводят с целью:
- контроля стабильности технологического процесса изготовления детали;
- отработки нового технологического процесса;
- выявления причин растрескивания или разрушения детали при изготовлении, доводке или эксплуатации;
- оценки прочности детали и повышения надежности ГТД.
5 Технические требования к подготовке исследований
5.1 При подготовке исследований деталей ГТД предъявляют следующие требования:
- выбирают схемы, места наклейки тензорезисторов и разрезки для каждой из групп исследуемых деталей;
- определяют количество исследуемых деталей;
- устанавливают тензодатчики;
- учитывают особенности проведения исследований.
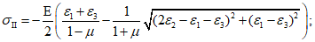
5.2 В общем случае для оценки объемных остаточных напряжений в вырезаемом образце деформации необходимо измерить в трех направлениях. Для этого, если позволяют габариты детали, на исследуемый участок детали следует установить (наклеить) розетку из трех тензорезисторов, как показано на рисунке 1.
а - тензорезисторы расположены под углом 45° | б - тензорезисторы расположены под углом 60° |
| |
I, II - главные направления остаточных напряжений;
1,
2,
3 - номера тензорезисторов относительно угла

Рисунок 1 - Схемы установки тензорезисторов
на поверхности детали
5.3 Если известно направление действия главных напряжений (при наличии геометрической симметрии или конструкции детали и силовой симметрии для силовых факторов, ответственных за образование остаточных напряжений), то измерение параметров деформаций можно производить в двух взаимно перпендикулярных направлениях, т.е. наклеивать два тензорезистора: один - в направлении оси симметрии, а другой - перпендикулярно к ней.
5.4 При проведении сравнительных исследований остаточных напряжений в деталях, изготовленных по различным технологическим вариантам, или при образовании на деталях после изготовления или в процессе эксплуатации трещин допускается наклейка одного тензорезистора в направлении действия максимальных рабочих напряжений или в направлении, перпендикулярном трещине.
5.5 Оценка распределения остаточных напряжений
5.5.1 При отсутствии достаточного опыта по доводке детали при ее изготовлении или в процессе эксплуатации (неизвестные дефекты, наиболее нагруженные участки и т.д.), следует определять остаточные напряжения по поверхности детали путем наклейки тензорезисторов на различные участки детали и ее разрезки на соответствующее количество образцов.
5.5.2 Разрезку деталей на образцы целесообразно производить поэтапно, отдельными резами, фиксируя показания тензорезисторов после каждого реза, что позволяет оценить влияние различных участков и конструктивных элементов детали на остаточные напряжения на исследуемом участке.
5.5.3 Примеры установки тензорезисторов и разрезки деталей при оценке объемных остаточных напряжений по профильной части литой охлаждаемой лопатки турбины и поверхности литого диска турбины приведены в
приложении А.
5.5.4 При наличии достаточного опыта по доводке детали при ее изготовлении и эксплуатации допускается наклейка тензорезисторов только на отдельных, наиболее нагруженных участках, на которых появлялись дефекты с учетом изменения схемы разрезки и наклейки, а также увеличения количества исследуемых образцов.
5.5.5 Пример установки тензорезисторов и разрезки литой охлаждаемой лопатки при оценке распределения объемных остаточных напряжений в местах появления дефекта приведен в
приложении А.
5.6 Определение остаточных напряжений на внутренних или труднодоступных поверхностях
5.6.1 При необходимости оценки остаточных напряжений на внутренних или труднодоступных поверхностях деталей сложной формы следует наклеить тензорезисторы на наружную поверхность и снять их показания.
5.6.2 Напротив исследуемой поверхности необходимо вырезать окно или удалить затрудняющие к ней доступ части детали и оценить влияние этой операции на показания ранее наклеенных тензорезисторов, а следовательно, и на изменение остаточного напряженного состояния детали.
5.6.3 Следует наклеить тензорезисторы на исследуемую поверхность и далее провести определение остаточных напряжений по стандартной схеме.
После наклейки тензорезисторов на исследуемую поверхность необходимо снять нулевые показания наклеенных тензорезисторов.
5.6.4 Пример установки тензорезисторов и разрезки литой охлаждаемой лопатки турбины при определении объемных остаточных напряжений на наружной и внутренней поверхностях профильной части приведен на
рисунке А.4 приложения А.
5.7 Выбор числа исследуемых деталей
5.7.1 Определение объемных остаточных напряжений следует проводить не менее чем на шести деталях.
5.7.2 При наличии в детали нескольких одинаковых участков, на которых проводят исследование объемных остаточных напряжений, количество исследуемых деталей может быть снижено до двух или трех.
6 Технические требования к проведению исследований
При проведении исследований предъявляют следующие требования:
- на начальном этапе исследования регистрируют первичные показания;
- проводят разрезку согласно установленным схемам;
- регистрируют промежуточные и конечные показания.
6.1 Приводится порядок измерения параметров деформаций и разрезки деталей на образцы для определения остаточных напряжений в местах появления дефектов на литой охлаждаемой лопатке турбины.
6.2 Установку тензорезисторов проводят согласно положениям, приведенным в
приложении Б.
6.3 Подготовку к измерению показаний тензорезисторов осуществляют согласно
приложению В. Подключение тензорезисторов к прибору для проведения измерений следует выполнять согласно РЭ и инструкции к прибору.
6.4 Тензорезисторы подсоединяют к измерительному прибору и производят отсчет показаний измерительного прибора для каждого тензорезистора до разрезки детали

, где
i - номер тензорезистора.
6.5 Тензорезисторы отсоединяют от прибора.
6.6 Лопатку разрезают по корыту и спинке одновременно (см.
рисунок А.3 приложения А, рез I).
Повреждения тензорезисторов при разрезке не допускаются. Не разрешается оставлять неразрезанные участки и доламывать их механическим способом.
Примечание - Разрезку деталей рекомендуется производить на электроэрозионном станке проволочным электродом по "мягким" режимам. Например, разрезка деталей из литых жаропрочных сплавов на станке с программным управлением может быть проведена при следующих показаниях:
электрическая емкость ........................ 0,75 мкФ;
электрическое напряжение ..................... (130 +/- 1) В;
сила тока .................................... (11 +/- 0,5) А;
диаметр проволоки ............................ не более 0,3 мм;
среда ........................................ керосин КО-30.
6.7 Тензорезисторы подсоединяют к измерительному прибору, фиксируют показания

после первой разрезки. Тензорезисторы отсоединяют от прибора.
6.8 Образцы разрезаются по штырькам (см.
рисунок А.3 приложения А, рез II) и фиксируют показания

прибора после второй разрезки для каждого тензорезистора.
6.9 Допускается проводить измерения показателей тензорезисторов один раз до разрезки и один раз после разрезки лопаток ГТД на темплеты.
7 Технические требования к обработке результатов исследований
7.1 Относительные деформации рассчитывают по формулам в следующей последовательности:
- определяют разницу показаний прибора

после каждой разрезки:

(1)

или
где 1, 2, ..., n - порядковые номера разрезки;
- определяют относительные деформации:

(2)
где Kпр - коэффициент чувствительности, на который рассчитан измерительный прибор (для ЦТМ-3 и ЦТМ-5 Kпр = 2);
Kт - коэффициент чувствительности тензорезистора;
J - цена деления измерительного прибора.
7.2 При наклейке на исследуемом участке одного тензорезистора остаточные напряжения

рассчитывают по формуле

(3)
где E - модуль упругости материала детали;

- относительная деформация.
7.3 При наклейке двух взаимно перпендикулярных тензорезисторов и определении деформации в направлениях I и II (см.
рисунок А.3 приложения А) главные напряжения рассчитывают по следующим формулам:

(4)

(5)
где

- коэффициент Пуассона.
7.4 При наклейке розетки тензорезисторов I, II,
1,
2 и
3 в направлениях под углом 45° (см.
рисунок 1 а) главные напряжения и угол между главным направлением I и направлением тензорезистора
1 рассчитывают по следующим формулам:

(6)

(7)
7.5 При наклейке розетки тензорезистров I, II,
1,
2 и 3 в направлениях под углом 60° (см.
рисунок 1 б) главные напряжения и угол между направлением I и направлением тензорезистора
1 рассчитывают по следующим формулам:

(8)

(9)
8 Требования к оформлению результатов
8.1 При оформлении протокола результатов определения объемных остаточных напряжений в деталях должны быть приведены:
- наименование исследуемой детали;
- характеристики исследуемой детали;
- марка материала;
- статический модуль упругости E;
- коэффициент Пуассона

;
- сведения по эксплуатации;
- схема установки тензорезисторов и разрезки детали;
- режимы разрезки;
- характеристики тензорезисторов:
- тип и база тензорезисторов, мм,
- коэффициент чувствительности тензорезистора

,
- среднее квадратичное отклонение чувствительности тензорезистора

,
- электрическое сопротивление R, Ом,
- часовая ползучесть тензорезистора при нормальной температуре П, %;
- характеристики вспомогательных материалов:
- марка клея для наклейки тензорезисторов,
- марка и площадь сечения выводных проводников от тензорезисторов,
мм2,
- состав для гидроизоляции тензорезисторов;
- характеристики схемы измерения:
- тип измерительного прибора,
- коэффициент чувствительного прибора

,
- цена деления измерительного прибора J,
- тип магазина сопротивлений;
- результаты измерений:
- показания измерительного прибора

,

, ...,

;
- результаты расчета:
- разницы показаний прибора

, ...,

,

,
- относительных деформаций

, ...,

,

,
- остаточных напряжений

,

.
8.2 Пример оформления результатов определения остаточных напряжений в охлаждаемой лопатке турбины приведен в
приложении Г.
8.3 Допускается оформлять результаты контроля по формам предприятия.
(обязательное)
ПРИМЕРЫ УСТАНОВКИ ТЕНЗОРЕЗИСТОРОВ И РАЗРЕЗКИ ДЕТАЛЕЙ
ПРИ ОЦЕНКЕ ОБЪЕМНЫХ ОСТАТОЧНЫХ НАПРЯЖЕНИЙ
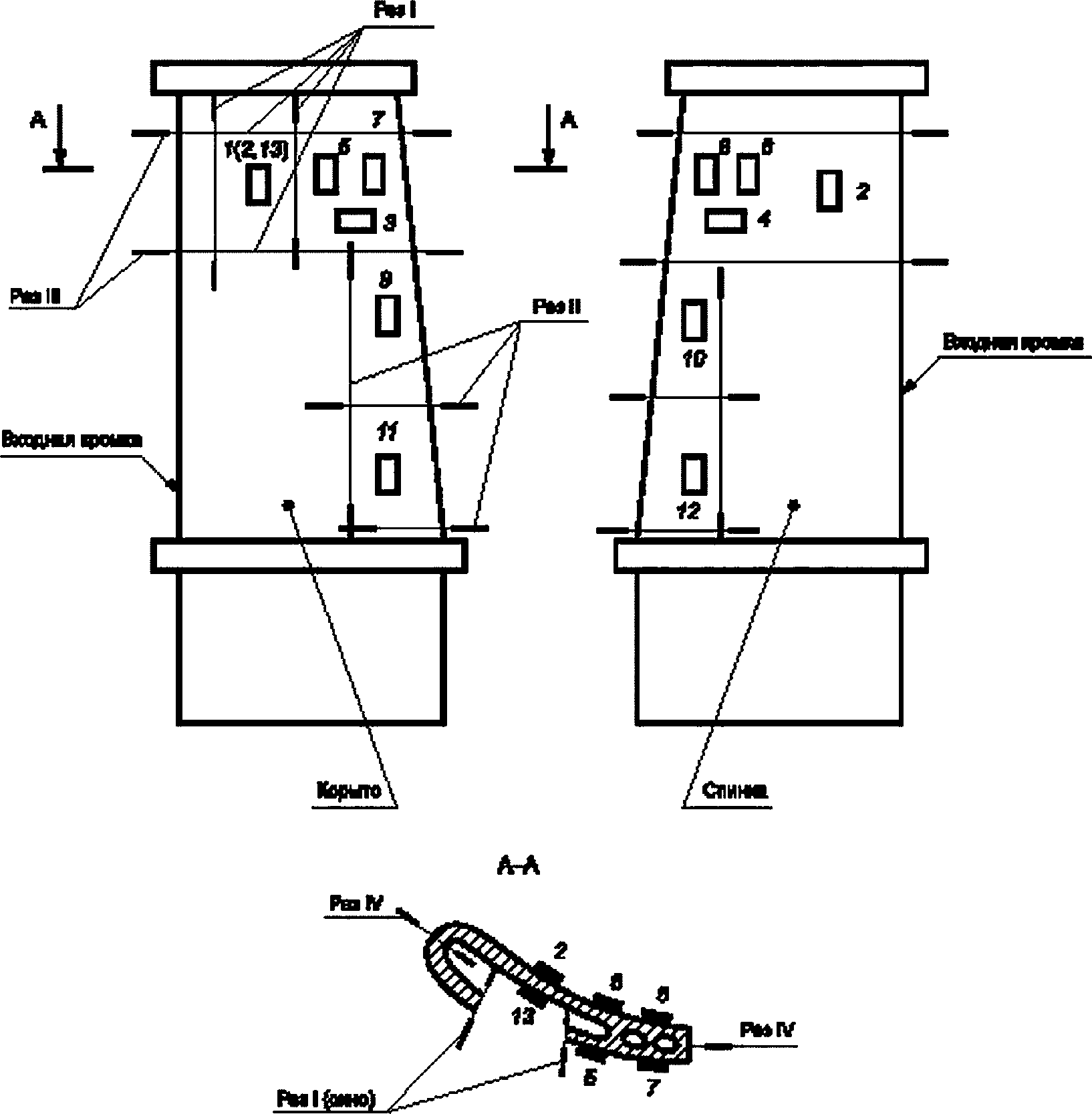
А.1 Пример установки тензорезисторов (
1 -
24) и разрезки профильной части литой охлаждаемой лопатки приведен на
рисунке А.1.
I, II, III - место разреза; 1, 3, 5, 7, 9, 11, 13, 15, 17,
19, 21, 23 - номер тензорезистора, расположенного на спинке
лопатки; 2, 4, 6, 8, 10, 12, 14, 16, 18, 20, 22,
24 - симметрично расположенные номера тензорезисторов
относительно спинки лопатки
А.2 Пример установки тензорезисторов (
1 -
27) и разрезки профильной части литого диска приведен на
рисунке А.2.
I - VIII - места разрезов; 1 - 27 - места установки
(наклейки) тензорезисторов
А.3 Пример установки тензорезисторов (
1 -
8) и разрезки профильной части литой охлаждаемой лопатки приведен на
рисунке А.3.
А.4 Пример установки тензорезисторов (
1 -
13) и разрезки профильной части литой охлаждаемой лопатки приведен на
рисунке А.4.
(обязательное)
УСТАНОВКА ТЕНЗОРЕЗИСТОРОВ
Б.1 Исследование остаточных напряжений рекомендуется проводить при помощи серийно изготавливаемых фольговых тензорезисторов с базой от 0,5 до 3 мм, с электрическим сопротивлением от 100 до 350 Ом, например: тензорезисторов типов 2 ФКПА ТУ 25.06.1382-78, КФ5 ТУ 25.06.2002-80 и др.
Б.2 Для исследования остаточных напряжений в детали (или группе однотипных деталей) рекомендуется применять терморезисторы, отобранные из одной партии.
Разброс электрических сопротивлений отобранных тензорезисторов не должен превышать +/- 0,2 Ом.
Б.3 Установку (наклейку) тензорезисторов на исследуемую деталь необходимо производить в соответствии с инструкцией предприятия - изготовителя тензорезисторов.
Примечание - Отклонение от технологии наклейки тензорезисторов (например, применение другого клея или изменение режима термообработки наклеенных тензорезисторов) допустимо только после определения их характеристик, установленных на градуировочную балку по измененной технологии.
Б.4 Определение характеристик тензорезисторов необходимо производить в соответствии с
ГОСТ 21616.
Б.5 Место подпайки выводных проводников к тензорезистору следует располагать как можно ближе к его чувствительному элементу. Рекомендуемая длина выводных проводников - от 100 до 150 мм.
В качестве выводных проводников рекомендуется использовать провод марки МГТФ ТУ 16-505-185-71 с площадью сечения от 0,035 до 0,070 мм2.
Места пайки необходимо закрепить полосками обезжиренной стеклоткани при помощи клея БФ-2 по
ГОСТ 12172.
Б.6 Наклеенные тензорезисторы необходимо гидроизолировать клеем холодного отвердения, эпоксидной смолой ЭД-20 по
ГОСТ 10587 и др.
Б.7 Измерять сопротивление наклеенных тензорезисторов следует с помощью измерительного прибора класса точности 0,1, например мостом постоянного тока МО-62 по
ГОСТ 7165. Изменение сопротивления тензорезистора относительно начального не должно превышать 0,5%.
Б.8 Измерять электрическое сопротивление изоляции тензорезисторов следует прибором типа Е6-13А по
ГОСТ 22261. Сопротивление изоляции тензорезисторов должно быть не менее 100 МОм.
Б.9 Маркировку тензорезисторов проводят согласно схеме наклейки.
Б.10 Конкретные типы тензорезисторов, выводных проводников, приборов для измерения сопротивления, тензорезисторов и приборов для измерения электрического сопротивления изоляции тензорезисторов, марки клеев приведены в настоящем приложении в качество примеров. Возможно применение других типов тензорезисторов, выводных проводников, приборов и марок клеев, если они отвечают общим требованиям, изложенным в
Б.1 -
Б.8.
(обязательное)
ПОДГОТОВКА К ИЗМЕРЕНИЮ ПОКАЗАНИЙ ТЕНЗОРЕЗИСТОРОВ
В.1 Измерение параметров остаточных деформаций рекомендуется производить приборами, предназначенными для измерения статических деформаций, с ценой деления не более 1·10-5 и основной погрешностью измерения не более 3·10-5, например, цифровыми измерительными усилителями, тензометрическими станциями, обеспечивающими измерения деформаций в режиме 1/4 моста по 4- либо 3-проводной схеме.
В.2 Тензорезистор, установленный на исследуемую деталь, подключают к прибору согласно РЭ используемого прибора.
В.3 Электрическая схема подключения тензорезистора к прибору приведена на рисунке В.1.
1 - тензорезистор; 2 - клеммная колодка; 3 - магазин
сопротивлений; 4 - измерительный прибор; Aа - клемма
активного плеча; A0 - нулевая клемма; Aк - клемма
компенсационного плеча
Рисунок В.1 - Электрическая схема подключения тензорезистора
В.4 В компенсационное плечо измерительного полумоста следует включить магазин сопротивлений класса точности не ниже 0,05. Для уменьшения погрешности измерений за счет переходных контактов присоединение выводных проводников тензорезисторов к клеммной колодке рекомендуется выполнить пайкой или зажатием посеребренными клеммами.
В.5 Не допускается демонтаж соединительных линий от измерительного прибора до магазина сопротивлений и клеммной колодки в течение всего эксперимента.
В.6 Перед измерением схема должна быть прогрета в соответствии с требованиями, изложенными в инструкции по эксплуатации измерительных приборов.
Если подсоединение выводных проводников тензорезисторов выполнено пайкой, то фиксацию показаний тензорезисторов проводят не менее чем через 5 мин после пайки.
В.7 Температура окружающего воздуха при 1-м отсчете показаний прибора (до разрезки детали) и при последующих отсчетах (после разрезки детали) не должна отличаться более чем на +/- 5 °C.
В.8 Перед началом и в конце серии измерений необходимо включить в активное и компенсационное плечи измерительного прибора образцовые катушки сопротивления Rа = Rк = 100 Ом. При этом разность показаний измерительного прибора не должна превышать его допустимой погрешности.
В.9 Погрешность системы измерения остаточных деформаций

с вероятностью
P = 0,95 рассчитывают по формуле

(В.1)
где Пт - ползучесть тензорезистора при нормальной температуре, %;

- относительная деформация;
Sк - среднее квадратичное отклонение чувствительности тензорезистора;
Kт - чувствительность тензорезистора;

- толерантный множитель. При вероятности
P = 0,95 для выборки из 10 - 16 тензорезисторов

;

- погрешность измерительного прибора.
(обязательное)
ПРИМЕР ОФОРМЛЕНИЯ РЕЗУЛЬТАТОВ ОПРЕДЕЛЕНИЯ ОБЪЕМНЫХ
ОСТАТОЧНЫХ НАПРЯЖЕНИЙ
Г.1 Наименование исследуемой детали:
- охлаждаемая лопатка 1-й ступени турбины.
Г.2 Характеристики исследуемой детали:
- E = 2,17·105 МПа;
-

.
Г.3 Схема установки тензорезисторов и разрезки лопатки:
- в соответствии с настоящим стандартом.
Г.4 Режим разрезки:
- в соответствии с настоящим стандартом.
Г.5 Характеристики тензорезисторов:
- тензорезисторы фольговые типа 2ФКПА-3-100ХВ; база 3 мм;
- Kт = 2,27;
- Sк = 0,93;
- R = 85 Ом;
- П = 0,3%.
Г.6 Характеристики вспомогательных материалов - лак ВЛ-931:
- провод МГТФ с площадью сечения 0,07 мм2;
- клей холодного отвердения.
Г.7 Характеристики схемы измерения:
- измерительный прибор ЦТМ-3;
- Kт = 2;
- l = 1·105;
- магазин сопротивлений МСР-63 по ПОСТ 23737.
Г.8 Результаты измерений

,

,

, а также результаты подсчета разности показаний прибора

,

,

и значения относительных деформаций

,

,

восьми радиальных и окружных тензорезисторов, полученные по
формулам (1),
(2), приведены в таблице Г.1.
Таблица Г.1
Обозначение параметра | Результат измерений и обработка показаний тензорезисторов, расположенных |
на спинке (верх) | на корыте (верх) | на спинке (низ) | на корыте (низ) |
Радиальный | Окружной | Радиальный | Окружной | Радиальный | Окружной | Радиальный | Окружной |
| 660 | 765 | 570 | 672 | 584 | 680 | 729 | 610 |
| 695 | 760 | 578 | 670 | 626 | 673 | 737 | 617 |
| 718 | 780 | 606 | 688 | 649 | 686 | 746 | 637 |
| 35 | -5 | 8 | -2 | 42 | -7 | 8 | 2 |
| 23 | 20 | 23 | 18 | 23 | 13 | 9 | 17 |
| 58 | 13 | 36 | 16 | 65 | 6 | 17 | 19 |
| 30 | -5 | 7 | -2 | 37 | -8 | 7 | 2 |
| 20 | 18 | 25 | 16 | 20 | 11 | 8 | 15 |
| 50 | 13 | 32 | 14 | 57 | 3 | 15 | 17 |
Г.9 Результаты расчета объемных остаточных напряжений в радиальном и окружном направлениях после первой

, второй

и суммарных

разрезок приведены в таблице Г.2.
Таблица Г.2
Обозначение напряжений по этапам разрезки | Объемное остаточное напряжение |
Спинка (верх) | Корыто (верх) | Спинка (низ) | Корыто (низ) |
Радиальное | Окружное | Радиальное | Окружное | Радиальное | Окружное | Радиальное | Окружное |
| -68 | -10 | -13 | 0 | -84 | -12 | -18 | -10 |
| -60 | -57 | -71 | -56 | -53 | -40 | -30 | -40 |
| -128 | -67 | -86 | -56 | -139 | -52 | -48 | -30 |
УДК 658.513.5:006.354 | |
Ключевые слова: двигатели газотурбинные, методика, объемные остаточные напряжения |