Главная // Актуальные документы // ГОСТ Р (Государственный стандарт)СПРАВКА
Источник публикации
М.: Стандартинформ, 2019
Примечание к документу
Документ
введен в действие с 01.06.2020.
Название документа
"ГОСТ Р 58644-2019. Национальный стандарт Российской Федерации. Компрессоры и компрессорно-конденсаторные агрегаты холодильные. Методы испытаний по определению основных характеристик. Часть 2. Компрессорно-конденсаторные агрегаты холодильные"
(утв. и введен в действие Приказом Росстандарта от 30.10.2019 N 1089-ст)
"ГОСТ Р 58644-2019. Национальный стандарт Российской Федерации. Компрессоры и компрессорно-конденсаторные агрегаты холодильные. Методы испытаний по определению основных характеристик. Часть 2. Компрессорно-конденсаторные агрегаты холодильные"
(утв. и введен в действие Приказом Росстандарта от 30.10.2019 N 1089-ст)
Утвержден и введен в действие
агентства по техническому
регулированию и метрологии
от 30 октября 2019 г. N 1089-ст
НАЦИОНАЛЬНЫЙ СТАНДАРТ РОССИЙСКОЙ ФЕДЕРАЦИИ
КОМПРЕССОРЫ И КОМПРЕССОРНО-КОНДЕНСАТОРНЫЕ
АГРЕГАТЫ ХОЛОДИЛЬНЫЕ
МЕТОДЫ ИСПЫТАНИЙ ПО ОПРЕДЕЛЕНИЮ ОСНОВНЫХ ХАРАКТЕРИСТИК
ЧАСТЬ 2
КОМПРЕССОРНО-КОНДЕНСАТОРНЫЕ АГРЕГАТЫ ХОЛОДИЛЬНЫЕ
Compressors and condensing units for refrigeration.
Test methods of performance dimensions. Part 2.
Condensing units for refrigerators
ГОСТ Р 58644-2019
Дата введения
1 июня 2020 года
1 ПОДГОТОВЛЕН Некоммерческой организацией "Российский союз предприятий холодильной промышленности" (НО "Россоюзхолодпром") на основе собственного перевода на русский язык немецкоязычной версии стандарта, указанного в
пункте 4
2 ВНЕСЕН Техническим комитетом по стандартизации ТК 271 "Установки холодильные"
3 УТВЕРЖДЕН И ВВЕДЕН В ДЕЙСТВИЕ
Приказом Федерального агентства по техническому регулированию и метрологии от 30 октября 2019 г. N 1089-ст
4 Настоящий стандарт идентичен европейскому стандарту DIN EN 13771-2:2017 "Компрессоры и компрессорно-конденсаторные агрегаты холодильные. Методы испытаний по определению основных характеристик. Часть 2. Компрессорно-конденсаторные агрегаты" (DIN EN 13771-2:2017 "

und

die

-

und

- Teil 2:

", IDT).
| | ИС МЕГАНОРМ: примечание. В официальном тексте документа, видимо, допущена опечатка: имеется в виду ГОСТ Р 1.5-2012, а не ГОСТ 1.5-2012. | |
Наименование настоящего стандарта изменено относительно наименования указанного европейского стандарта для приведения в соответствие с ГОСТ 1.5-2012
(пункт 3.5).
При применении настоящего стандарта рекомендуется использовать вместо ссылочных стандартов соответствующие им межгосударственные стандарты, сведения о которых приведены в дополнительном
приложении ДА.
В настоящем стандарте все единицы измерения соответствуют Международной системе единиц (СИ)
5 ВВЕДЕН ВПЕРВЫЕ
Правила применения настоящего стандарта установлены в статье 26 Федерального закона от 29 июня 2015 г. N 162-ФЗ "О стандартизации в Российской Федерации". Информация об изменениях к настоящему стандарту публикуется в ежегодном (по состоянию на 1 января текущего года) информационном указателе "Национальные стандарты", а официальный текст изменений и поправок -
в ежемесячном информационном указателе "Национальные стандарты". В случае пересмотра (замены) или отмены настоящего стандарта соответствующее уведомление будет опубликовано в ближайшем выпуске ежемесячного информационного указателя "Национальные стандарты". Соответствующая информация, уведомление и тексты размещаются также в информационной системе общего пользования -
на официальном сайте Федерального агентства по техническому регулированию и метрологии в сети Интернет (www.gost.ru)
Стандарт EN 13771-2:2017 подготовлен Техническим Комитетом CEN/TC 113 "Тепловые насосы и кондиционеры", секретариат которого находится в ведении UNE.
Стандарту должен быть предоставлен статус национального стандарта либо путем публикации идентичного текста, либо введением его в действие до марта 2018 г., при этом любые противоречащие ему национальные стандарты должны быть отменены до марта 2018 г.
Следует обратить внимание на возможность того, что некоторые элементы стандарта могут касаться патентных прав. CEN не несет ответственности за выявление некоторых или всех патентных прав, связанных с этим.
EN 13771-2:2017 введен взамен EN 13771-2:2007.
По сравнению с предыдущим изданием европейского стандарта в настоящее издание внесены следующие основные изменения:
a) введены обозначения в соответствии с EN 13771-1;
b) введен новый
рисунок 1 "Схемы компрессорно-конденсаторных агрегатов" и изменены схемы компрессорно-конденсаторных агрегатов (
рисунки 2 -
7);
c) введен новый
раздел 4 "Погрешности измерений и условия испытаний";
d) дано подробное описание испытательного оборудования и помещения для проведения испытаний с целью снижения погрешностей испытаний в соответствии с EN 327 и EN 14511-3;
e) включены сверхкритические режимы и циклическое регулирование производительности.
EN 13771 включает следующие части с общим наименованием "Компрессоры и компрессорно-конденсаторные агрегаты холодильные. Определение основных характеристик и методы испытаний":
- Часть 1. Компрессоры холодильные;
- Часть 2. Компрессорно-конденсаторные агрегаты.
Настоящий стандарт распространяется только на холодильные компрессорно-конденсаторные агрегаты и устанавливает методы испытаний по определению их производительности. Эти методы позволяют получить достаточно точные результаты для определения холодопроизводительности, потребляемой мощности, массового расхода хладагента и холодильного коэффициента.
Настоящий стандарт применяют только при испытаниях по определению производительности на предприятии - изготовителе агрегата либо в испытательной организации в условиях, когда оборудование для проведения испытаний обеспечивает требуемую точность и стабильность получаемых результатов.
В настоящем стандарте использованы нормативные ссылки на следующие стандарты [для датированных ссылок применяют только указанное издание ссылочного стандарта, для недатированных - последнее издание (включая все изменения к нему)]:
EH 378-1, Refrigerating systems and heat pumps - Safety and environmental requirements - Part 1: Basic requirements, definitions, classification and selection criteria (Системы холодильные и тепловые насосы. Требования безопасности и охраны окружающей среды. Часть 1. Основные требования, определения, классификация и критерии выбора)
EH 378-2, Refrigerating systems and heat pumps - Safety and environmental requirements - Part 2: Design, construction, testing, marking and documentation (Холодильные системы и тепловые насосы. Требования безопасности и охраны окружающей среды. Часть 2. Проектирование, конструкция, изготовление, испытания, маркировка и документация)
ISO 817, Refrigerants - Designation and safety classification (Хладагенты. Обозначения и классификация по безопасности)
3 Термины, определения и обозначения
3.1 Термины и определения
В настоящем стандарте применены следующие термины с соответствующими определениями:
3.1.1
холодопроизводительность Q (refrigerating capacity <*>;

<**>) (компрессорно-конденсаторного агрегата): Произведение массового расхода хладагента через агрегат на разность между удельной энтальпией хладагента на входе в агрегат (
рисунок 1, позиция
11) и удельной энтальпией хладагента на выходе из агрегата (
рисунок 1, позиция
12)
.
--------------------------------
<*> en.
<**> de.
Примечание - Расположение точки выхода из агрегата (позиция
12) зависит от его конструкции (одноступенчатый, двухступенчатый или с внутренними теплообменниками, см.
рисунок 1 a,
b,
c и
d)
.
Рисунок 1 - Схемы компрессорно-конденсаторных агрегатов
1 - хладагент на входе в компрессор; 2 - хладагент
на выходе из компрессора; 5 - жидкий хладагент на входе
в расширительное устройство; 11 - хладагент на входе
в агрегат; 12 - хладагент на выходе из агрегата
3.1.2
удельная энтальпия (specific enthalpy
<*>; spezifische Enthalpie
<**>)
3.1.2.1
удельная энтальпия хладагента на входе в агрегат (specific enthalpy of the refrigerant at the inlet of the condensing unit
<*>; spezifische Enthalpie des

am Eintritt des
<**>): Удельная энтальпия хладагента при давлении и температуре на входе в компрессорно-конденсаторный агрегат (хладагент перегрет выше температуры точки росы до заданного значения).
3.1.2.2
удельная энтальпия хладагента на выходе из агрегата (specific enthalpy of the refrigerant fluid at the outlet of the condensing unit
<*>; spezifische Enthalpie des

am Austritt des
<**>): Удельная энтальпия хладагента при давлении и температуре на выходе из компрессорно-конденсаторного агрегата.
3.1.3
переохлаждение 
(subcooling
<*>;
<**>): Разность между температурой кипения хладагента при давлении на выходе из агрегата и температурой жидкого хладагента, измеренной в той же точке, что и давление на выходе из агрегата.
Примечание - Применимо только для докритических давлений.
3.1.4
потребляемая мощность P (power absorbed
<*>; leistungsaufnahme
<**>): Мощность, требуемая для работы компрессорно-конденсаторного агрегата.
3.1.5
массовый расход хладагента M (the refrigerant mass flow
<*>;
<**>): Массовый расход хладагента на входе в агрегат.
3.1.6
холодильный коэффициент COPR (coefficient of performance
<*>;
<**>): Отношение холодопроизводительности к потребляемой мощности.
Примечание - Обе вышеназванные характеристики определяют для заданных условий испытания.
3.1.7
докритический режим (subcritical operation
<*>; unterkritischer Betrieb
<**>): Условия эксплуатации с уровнем давления на выходе из конденсатора ниже критического давления хладагента.
3.1.8
сверхкритический режим (supercritical operation
<*>; transkritischer Betrieb
<**>): Условия эксплуатации с уровнем давления на выходе из конденсатора выше критического давления хладагента.
3.1.9
режим частичной нагрузки (partial load operation
<*>; teillastbetrieb
<**>): Для компрессоров с механизмом регулирования производительности частичную нагрузку понимают как работу с задействованием регулятора производительности при пониженной потребности в холоде.
Примечание - Включение/выключение напряжения, питающего двигатель компрессора, не считают регулированием производительности.
3.1.10
жидкость (fluid
<*>;
<**>): Хладагент в жидкой, газовой или паровой фазе, включая состояние, близкое к критическому давлению и выше.
3.1.11
содержание масла в контуре xoil (oil content
<*>;
<**>): Отношение измеренного массового расхода масла к массовому расходу циркулирующей смеси хладагента и масла.
--------------------------------
3.1.12
компрессорно-конденсаторный агрегат (the condensing unit
<*>;
<**>): Часть холодильной установки, смонтированная в виде единого блока (агрегата), имеющая в своем составе один или несколько холодильных компрессоров, конденсаторов или охладителей газа и, если требуется, жидкостные ресиверы и прочие аксессуары, объединенные трубопроводами.
Примечание - Для сверхкритических режимов работы конденсатор действует как газовый охладитель.
3.1.13
циклическое регулирование производительности (cyclic power control
<*>; zyklische Leistungsregelung
<**>): Регулирование производительности за счет снижения расхода хладагента на всасывании на время меньше времени испытания без отключения двигателя компрессора.
--------------------------------
В настоящем стандарте использованы обозначения, указанные в таблице 1, и индексы, приведенные в
таблице 2.
Таблица 1
Обозначения
Обозначение | Параметр | Единица измерения |
c | Удельная теплоемкость | Дж/кг·К |
coil | Удельная теплоемкость масла | Дж/кг·К |
COPR | Холодильный коэффициент | - |
f | Частота электрического тока | Гц |
F | Коэффициент потерь тепла | Вт/К |
h | Удельная энтальпия | Дж/кг |
n | Число оборотов вала компрессора | 1/мин |
P | Потребляемая мощность | Вт |
Pm | Фактическая потребляемая мощность для сальниковых компрессоров | Вт |
Pel | Фактическая потребляемая мощность для бессальниковых и герметичных компрессоров | Вт |
PF | Мощность, потребляемая вентиляторами и иными потребителями, предусмотренными в составе агрегата | Вт |
Ph | Мощность, потребляемая электронагревателем | Вт |
p | Абсолютное давление | Па |
m | Массовый расход | кг/с |
V | Объемный расход | м3/с |
| Переохлаждение | К |
t | Температура | °C |
tcal | Средняя температура поверхности калориметра | °C |
ts1 | Температура нагревающей или охлаждающей жидкости на входе в теплообменник | °C |
ts2 | Температура нагревающей или охлаждающей жидкости на выходе из теплообменника | °C |
tmid | Среднее значение температуры кипения и температуры точки росы хладагента при давлении на выходе из агрегата | °C |
tbs | Температура кипения вторичной жидкости | °C |
tx | Контролируемая температура | °C |
U | Электрическое напряжение | В |
v | Удельный объем хладагента | м3/кг |
| Плотность жидкого или газообразного хладагента; для других сред символ снабжают дополнительным индексом | кг/м3 |
Qi | Тепловая нагрузка в калориметре | Вт |
Q | Холодопроизводительность | Вт |
xoil | Содержание масла в контуре хладагента, выраженное в единицах массы масла на единицу массы смеси хладагента с маслом, циркулирующей по контуру | кг/кг |
Таблица 2
Индекс | Значение |
a | Действительное значение |
amb | Окружающая среда |
1 | Значение параметра хладагента на входе в компрессор |
2 | Значение параметра хладагента на выходе из компрессора |
3 | Значение параметра хладагента на входе в конденсатор |
4 | Значение параметра хладагента на выходе из конденсатора |
5 | Значение параметра хладагента на входе в расширительное устройство |
6 | Значение параметра хладагента на выходе из испарителя или калориметра |
11 | Значение параметра хладагента на входе в агрегат |
12 | Значение параметра хладагента на выходе из агрегата |
a | Действительное значение |
A | Воздух |
amb | Окружающая среда |
cal | Поверхность калориметра |
f | Теплоноситель |
in | Вход, на входе |
M | Расходомер |
oil | Масло |
out | Выход |
s | Жидкость во вторичном контуре (рассол, вода, хладагент) |
X | Смесь масло-хладагент |
F | Вентиляторы и дополнительные компоненты |
3.3 Контур хладагента - контрольные точки
На рисунке 2 b показаны точки, характеризующие состояние хладагента в контуре, приведенном на рисунке 2 a.
1 - хладагент на входе в компрессор; 2 - хладагент на выходе
из компрессора; 3 - хладагент на входе в конденсатор;
4 - жидкий хладагент на выходе из конденсатора;
5 - жидкий хладагент на входе в расширительное устройство;
6 - хладагент на выходе из испарителя; 11 - хладагент
на входе в агрегат; 12 - хладагент на выходе из агрегата;
A - компрессор; B - конденсатор (включая жидкостной ресивер
и/или переохладитель, если имеются, которые являются частью
агрегата); C - расширительное устройство; D - испаритель
Рисунок 2 - Контур хладагента
4 Погрешности измерений и условия испытаний
4.1 Погрешности данных о производительности
Измерительные приборы должны быть выбраны и откалиброваны таким образом, чтобы конечный результат находился в пределах следующего максимального диапазона погрешностей измерения для измеренного значения:
- холодопроизводительность - +/- 2,5%;
- электрическая потребляемая мощность - +/- 1%;
- механическая потребляемая мощность - +/- 2,5%.
4.2 Погрешности измерений
Значения погрешностей должны обеспечивать нахождение измеряемого параметра в пределах 95%-ного доверительного интервала, т.е. составлять плюс-минус двукратное стандартное отклонение. Если в соответствующих разделах не указано иное, результаты измерений должны быть в пределах максимального диапазона погрешностей измерений для измеренного значения, указанных в таблице 3.
Таблица 3
Погрешности измерений для измеряемых значений
Измеряемый параметр | Единица измерения | Погрешность |
Абсолютное давление | Па | +/- 1% |
Электрические параметры: | | |
- ток | А | +/- 1% |
- частота | с-1 | +/- 1% |
- мощность (кроме вентиляторов и дополнительных компонентов) | Вт | +/- 1% |
- мощность вентиляторов и дополнительных компонентов | Вт | +/- 3% |
- напряжение | В | +/- 1% |
Расход хладагента | кг/с | +/- 1% |
Число оборотов | мин-1 | +/- 0,07% |
Масса | кг | +/- 0,2% |
Температуры: | | |
- температуры различных точек (отдельными поверенными датчиками) | °C | 0,05 К |
- разности температур (для пар датчиков) | К | +/- 1% |
- прочие температуры | °C | +/- 0,3 К |
Время | с | +/- 0,1% |
Крутящий момент | Нм | +/- 1% |
Расход воды | кг/с | +/- 1% |
Длина, ширина или высота | м | +/- 2% |
Соблюдение перечисленных пределов не означает, что требования 4.1 будут выполнены автоматически. |
Ниже приведены требования к организации испытаний. Допустимые при этом отклонения измеряемых параметров указаны в таблице 4.
Таблица 4
Допустимые отклонения параметров, измеряемых при испытаниях
Заданные условия испытаний | Допустимое отклонение во время всего периода испытаний |
Абсолютное давление <a>, вход в агрегат p11 | +/- 1,0% |
Абсолютное давление <a>, выход из агрегата p12 | +/- 1,0% |
Температура хладагента на входе в агрегат t11 | +/- 3,0 К |
Переохлаждение хладагента на выходе из конденсатора  | От 0 К до +1 К |
Номинальное число оборотов вала компрессора n | +/- 1,0% |
Номинальное электрическое напряжение U | +/- 1,5% |
Номинальная электрическая частота f | +/- 1,0% |
Температура воздуха на входе в конденсатор/газоохладитель tA | +/- 1,0 К |
Температура охлаждающей жидкости на входе в конденсатор ts1 | +/- 0,5 К |
Температура охлаждающей жидкости на выходе из конденсатора <b> ts2 | +/- 0,5 К |
Расход охлаждающей жидкости через конденсатор ms | +/- 1,5% |
Температура окружающей среды <c> tamb | +/- 3,0 К |
<a> Динамические отклонения результатов измерений, вызванные пульсацией, не учитывают. <b> Можно использовать в качестве альтернативы расходу жидкости. <c> В общем случае не равна температуре воздуха на входе в конденсатор. |
Для соответствующих заданных условий испытаний значения должны быть записаны.
Для расчета холодопроизводительности могут потребоваться дополнительные значения температуры на выходе газового охладителя во время сверхкритического режима.
При циклическом управлении производительностью отклонения по
таблице 4 относят к средним значениям для одного состояния управления.
При работе с постоянной производительностью отклонения действительны:
- для каждого записанного значения;
- для средних значений в минуту или
- для средних значений за время испытаний плюс-минус двукратное превышение стандартных отклонений измеренных значений.
Температура воздуха на входе в конденсатор tA представляет собой среднее мгновенное значение всех датчиков температуры.
5.1 Испытательное оборудование
Испытательное оборудование должно соответствовать требованиям ЕН 378-2.
5.2.1 Краткое описание
Определение холодопроизводительности компрессорно-конденсаторного агрегата в заданных условиях испытаний включает в себя:
- оценку фактического расхода хладагента на входе в агрегат (
m11) при эксплуатации в заданных условиях испытаний и допустимых отклонениях параметров в соответствии с
таблицей 4;
- коррекцию этого массового расхода до массового расхода, указанного в заданных условиях испытаний по соотношению фактического удельного объема (v11a) хладагента на входе в агрегат и удельного объема газа в заданных условиях испытаний (v11);
- произведение скорректированного массового расхода на разность между удельными энтальпиями газообразного хладагента на входе в агрегат (h11) и жидкого хладагента на выходе из агрегата (h12).
Примечание - При использовании настоящего стандарта полагают, что объемный расход при работе агрегата при отклонениях параметров в пределах, допускаемых
таблицей 4, остается постоянным.
5.2.2 Удельная энтальпия
Значения удельной энтальпии в зависимости от давления и температуры приведены в общепризнанных данных о термодинамических свойствах используемого хладагента.
5.2.3 Расход хладагента
Расход хладагента измеряют непосредственно или рассчитывают на основании измеренных значений.
5.2.4 Потребляемая мощность
В пределах диапазона перегрева +/- 3 К предполагается, что потребляемая мощность остается постоянной.
5.2.5.1 Массовый расход
Приведенный к заданным условиям испытаний массовый расход хладагента m, который проходит через компрессоры, по результатам испытаний получают из следующих уравнений:
- для агрегатов, оснащенных сальниковыми компрессорами

(1)
- для агрегатов с бессальниковыми и герметичными компрессорами

(2)
Холодопроизводительность агрегатов, как определено в
3.1.1, рассчитывают с использованием следующего уравнения:
Q = m(h11 - h12). (3)
Потребляемую мощность агрегата, как определено в
3.1.4, получают преобразованием измеренного потребления энергии в потребление энергии для заданных условий испытания, используя следующее уравнение:

(4)
где P - потребляемая мощность агрегата для заданных условий испытания;
Pa - потребляемая мощность для агрегата с бессальниковыми и герметичными компрессорами, т.е. Pel;
Pa - потребляемая мощность для агрегата с сальниковыми компрессорами, т.е. Pm;
PF - потребляемая мощность вентиляторов и/или дополнительных компонентов.
Таким образом, потребляемую мощность для агрегатов с сальниковыми компрессорами получают из следующего уравнения:

(5)
где P - потребляемая мощность агрегата для заданных условий испытания;
PF - потребляемая мощность вентиляторов и/или дополнительных компонентов;
Pm - потребляемая мощность компрессора в реальных условиях испытаний;
n - измеренное число оборотов вала компрессоров.
Потребляемую мощность для агрегатов с бессальниковыми и герметичными компрессорами получают из следующего уравнения:

(6)
где P - потребляемая мощность агрегата для заданных условий испытания;
PF - потребляемая мощность вентиляторов и/или дополнительных компонентов;
Pel - потребляемая электрическая мощность компрессоров в реальных условиях испытаний;
f - измеренная частота тока электропитания приводных двигателей компрессоров.
Примечание - Значение PF не требует корректировки в зависимости от частоты, так как возможное изменение PF незначительно по сравнению с P.
Холодильный коэффициент
COPR, как определено в
3.1.6, рассчитывают с использованием следующего уравнения:

(7)
5.3 Требования к выбору методов испытаний
5.3.1 Общие положения
Для определения массового расхода при испытаниях, как правило, одновременно используют два разных метода, как указано в
разделе 6. Результаты двух методов должны отличаться не более чем на 4%. Результатом является среднее из двух результатов.
В соответствии с
6.2 для определения расхода допустимо комбинировать различные методы.
5.3.2 Одновременное второе испытание
Если испытательное оборудование находится в постоянном использовании и соответствует ЕН ИСО 9001 при условии периодической поверки, одновременное второе испытание не требуется.
5.4 Продолжительность испытания
5.4.1 Общие положения
Описанные ниже испытания относятся исключительно к агрегату, который работает непрерывно в условиях, когда изменения всех параметров, влияющих на результаты испытаний, остаются в определенных пределах в течение заданного периода времени и не показывают четкой тенденции к выходу за эти пределы. Эти условия считают стационарными, а допустимые пределы изменений параметров установлены в
4.3.
5.4.2 Установившееся состояние
После запуска агрегата перед проведением испытания необходимо внести изменения в настройки во время выхода агрегата на режим до тех пор, пока результаты измерений не будут находиться в пределах допусков, приведенных в
таблице 4.
В зависимости от выбранного метода испытания решающими для результатов испытаний являются дополнительные параметры (см.
таблицу 5). Эти параметры должны быть стабильными в той мере, в какой их возможные колебания могут повлиять на увеличение погрешности измерения результатов испытаний. Линейные изменения их значений вверх или вниз более чем на 50% допустимых отклонений в течение испытательного периода могут свидетельствовать о нестационарности процессов. Инерционные характеристики компрессоров (время выхода на режим) должны соответствовать требованиям производителя.
Таблица 5
Дополнительные контролируемые значения
Параметр, получаемый по результатам испытаний | Метод испытания |
A | B | C | D | E |
Тепловая нагрузка на калориметр | Qi | x | x | | | |
Коэффициент теплоотдачи | F | x | x | | | |
Температура окружающей среды | tamb | x | x | x | | |
Давление жидкого хладагента на входе в расширительное устройство | p5 | x | x | | | |
Температура жидкого хладагента на входе в расширительное устройство | t5 | x | x | | | |
Давление газообразного хладагента на выходе из испарителя (или калориметра) | p6 | x | x | | | |
Температура газообразного хладагента на выходе из испарителя (или калориметра) | t6 | x | x | | | |
При нагреве или охлаждении вторичной жидкостью: | | | | | | |
удельная теплоемкость | c | x | x | x | | |
температура нагревающей или охлаждающей жидкости на входе | ts1 | x | x | x | | |
температура нагревающей или охлаждающей жидкости на выходе | ts2 | x | x | x | | |
Массовый расход нагревающей или охлаждающей жидкости | mf | x | x | x | | |
Температура кипения вторичной жидкости | tbs | x | | | | |
Средняя температура поверхности калориметра в заданных условиях испытаний | tcal | | x | | | |
При электрическом нагреве: | | | | | | |
потребляемая мощность нагревателя | Ph | x | x | | | |
Давление газообразного хладагента на входе в конденсатор | p3 | | | x | | |
Температура газообразного хладагента на входе в конденсатор | t3 | | | x | | |
Давление жидкого хладагента на выходе из конденсатора | p4 | | | x | | |
Температура жидкого хладагента на выходе из конденсатора | t4 | | | x | | |
Среднее значение температуры кипения и точки росы хладагента | tmid | | | x | | |
Для объемных расходомеров: | | | | | | |
объемный расход смеси масло-хладагент через расходомер | Vx | | | | x | |
Массовый расход смеси хладагент-масло через расходомер | mx | | | | | x |
5.4.3 Запись измеренных данных
После достижения установившегося состояния измеряемые параметры должны регистрироваться средствами измерений. Каждую минуту необходимо регистрировать как минимум один полный измерительный цикл для всех измеряемых параметров. Продолжительность испытания должна составлять не менее 15 мин, и должно быть сформировано среднее значение всех измеренных значений.
При использовании циклического управления производительностью должно быть сделано не менее 15 полных измерений для каждого цикла управления. Период испытания может включать только полные циклы управления, число которых должно быть не менее 10. Кроме того, необходимо рассчитать среднее значение всех значений параметров, измеренных за один цикл.
5.5 Точки измерения давления и температуры
Давление и температуру на входе в агрегат измеряют в одном и том же месте. Точки для установки соответствующих датчиков размещают на расстоянии не менее четырех диаметров соответствующей прямой трубы от запорных клапанов или входов (выходов) агрегата, но не менее 150 мм от запорных клапанов на входе (выходе) агрегата.
Диаметры подходящих к агрегату трубопроводов должны соответствовать диаметру трубопроводов агрегата на длине не менее восьми диаметров трубы.
Точно так же измеряют давление и температуру на выходе из агрегата.
После испытания определяют содержание масла в контуре.
Смесь хладагент-масло удаляют из контура хладагента в жидкой фазе, далее эту смесь заливают в подходящий сосуд и определяют долю масла в смеси.
При повторных испытаниях агрегатов, где содержание масла известно, достаточно одного измерения. Для определения доли масла в смеси можно использовать различные методы при условии их одинаковой точности.
Сосуд для масла должен быть выполнен в соответствии с ЕН 378-2.
Состав всех хладагентов, используемых при испытаниях, должен соответствовать ИСО 817.
Примечание - Зеотропные хладагенты имеют определенный состав при определенных условиях. Изменения температуры и давления могут привести к изменению концентрации различных компонентов в используемом хладагенте. Это может быть усугублено неблагоприятным распределением хладагента в контуре, негерметичностью системы и разной растворимостью масла. Термодинамические свойства также изменяются, что приводит к неточности при получении данных о производительности.
5.8 Калибровка и требования к погрешности измерений
5.8.1 Калибровка калориметров для методов испытаний A, B и C
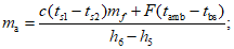
Калориметры для методов испытаний A, B и C должны быть откалиброваны путем определения коэффициента потерь тепла, который определяет теплообмен между калориметром и окружающей средой. Этот коэффициент вычисляют по формуле

(8)
Контролируемая температура tx зависит от типа калориметра, который определяет теплообмен с окружающей средой. Это может быть:
a) температура кипения tbs вторичной жидкости (например, метод A рекомендуется при использовании однокомпонентного хладагента);
b) средняя температура поверхности калориметра tcal (например, метод B);
c) средняя температура кипения хладагента и температуры точки росы tmid при давлении на выходе из калориметра (например, метод C).
Для определения коэффициента потерь тепла используют следующую процедуру.
Перед испытанием температуру окружающей среды tamb поддерживают постоянной, а подвод тепла Qi должен быть таким, чтобы поддерживать контролируемую температуру tx примерно на 15 К выше температуры окружающей среды.
Отсчет параметров проводят через один час после достижения теплового равновесия. Тепловое равновесие достигается, когда четыре последовательных показания соответствуют следующим условиям:
a) температура окружающей среды tamb, которая меняется не более чем на +/- 1 К;
b) контролируемая температура tx, которая изменяется не более чем на +/- 0,5 К;
c) при использовании прерывистого электрического нагрева или нагрева жидкостью показания тепловой нагрузки изменяются не более чем на +/- 5%. Когда для нагрева используют жидкость, ее массовый расход mf должен быть установлен таким образом, чтобы падение температуры составляло не менее 5 К.
Тепловой поток на калориметре выглядит следующим образом:
a) для нагрева потоком жидкости:
Qi = c(ts1 - ts2)mf; (9)
b) для электрического нагрева: тепловой поток Qi равен потреблению электрической энергии нагревателя Ph.
5.8.2 Определение холодопроизводительности агрегата
Фактическая холодопроизводительность должна быть определена с погрешностью не более +/- 4% независимо от отдельных погрешностей измерений по
4.2.
5.8.3 Определение потребляемой мощности агрегата
Средства измерений должны быть выбраны и поверены таким образом, чтобы потребляемую мощность можно было бы определять с погрешностью не более +/- 1% для агрегатов с бессальниковыми и герметичными компрессорами и не более +/- 2,5% - для агрегатов с сальниковыми компрессорами.
5.9 Источник данных о хладагенте
Источник данных о термодинамических свойствах хладагента должен быть приведен в отчете об испытаниях.
5.10 Оборудование для испытания компрессорно-конденсаторных агрегатов с воздушным охлаждением
5.10.1 Температура воздуха на входе в конденсатор
Температуру воздуха на входе в конденсатор измеряют в центре участков плоскости, параллельной плоскости поверхности конденсатора, через которую проходит поток охлаждающего воздуха. Эти участки должны быть по возможности квадратной формы и площадью не более 0,2 м2. Таких участков должно быть не менее 6. Датчики температуры должны быть защищены от воздействия лучистого и других форм теплообмена, которые могут оказать влияние на точность измерения.
Датчики температуры размещают на расстоянии не более 0,25 м от плоскости воздухозаборника конденсатора.
Если воздухозаборник ориентирован вертикально, то с целью проверки отсутствия значительного гравитационного расслоения температурного поля на его нижней и верхней сторонах располагают дополнительные датчики температуры.
5.10.2 Помещение для проведения испытаний
Оборудование для проведения испытаний должно обеспечивать поддержание стационарных условий испытания в соответствии с требованиями настоящего стандарта.
Оборудование для проведения испытаний должно быть спроектировано таким образом, чтобы испытуемый конденсатор/газовый охладитель работал в условиях, максимально приближенных к условиям штатной эксплуатации у потребителя холода. В частности, необходимо обращать внимание на следующие моменты:
- поток воздуха через конденсатор/охладитель газа, подлежащий испытанию, не должен изменяться;
- воздушный поток в окрестностях конденсатора/охладителя газа не должен быть подвержен воздействию извне. Считают нормальным, если в процессе испытаний возникает обратный поток воздуха, который не вызван внешними воздействиями и не может быть предотвращен.
Конденсатор/газовый охладитель должен быть размещен в помещении для проведения испытаний следующим образом (A и B - размеры воздухозаборника конденсатора/газового охладителя):
a) не должно быть никаких препятствий для воздушного потока на расстоянии

от плоскости выхода воздушного потока из конденсатора/газового охладителя;
b) не должно быть никаких препятствий для воздушного потока на расстоянии

от боковых, верхней и нижней сторон конденсатора/газового охладителя;
c) указанные расстояния соответствуют минимальным требованиям инструкций производителя по монтажу, в частности требованиям к расстояниям между воздухозаборником конденсатора/газового охладителя и полом или ближайшей стеной.
Размер помещения для проведения испытаний должен быть выбран таким образом, чтобы не препятствовать подаче воздуха на входе в конденсатор/охладитель газа и отводу воздуха на выходе из конденсатора/газового охладителя. В целях предотвращения байпасного режима перетекания воздуха между входом и выходом воздушного потока на конденсаторе/газовом охладителе скорость воздушного потока в этих двух плоскостях при выключенном испытуемом объекте не должна превышать 1,5 м/с. Скорость воздушного потока в помещении для испытаний также не должна превышать среднюю скорость на входе в конденсатор/охладитель газа. Если иное не указано изготовителем, плоскости входа и выхода воздуха должны быть расположены на расстоянии не менее 1 м от стен помещения для испытаний.
Необходимо избегать прямого теплового воздействия от нагревательных приборов в испытательном помещении на агрегат или датчики измерения температуры.
Воздушный поток (скорость воздушного потока), проходящий через испытуемый агрегат, может оказывать влияние на воздух, поступающий в помещение для испытаний. Среднюю скорость воздушного потока на входе в агрегат измеряют при работающем вентиляторе конденсатора/газового охладителя как с поступлением воздуха в помещение для испытаний, так и без поступления. Скорость измеряют в плоскости воздухозаборника конденсатора в точках, где расположены датчики температуры. Погрешность измерения скорости воздуха в помещении для проведения испытаний не должна превышать 7%.
5.10.3 Заправка хладагентом
Заправку агрегата хладагентом, как указано в данных о производительности, осуществляют в таком количестве, чтобы достичь требуемого переохлаждения (см.
3.1.3) с учетом допустимых отклонений (см.
таблицу 4), при этом величину переохлаждения измеряют в точке 12.
В настоящем стандарте описан ряд общепринятых методов испытаний. Вместе с тем допускается использовать и иные методы, если они удовлетворяют требованиям, указанным в
пунктах 5.8.2 и
5.8.3.
Все нижеследующие схемы и диаграммы давление-энтальпия показаны только для одноступенчатых агрегатов при докритических режимах работы. Однако все описанные методы испытаний применимы к двухступенчатым агрегатам, агрегатам с подогревателями или внутренними теплообменниками, а также для сверхкритических режимов работы.
6.2 Перечень методов испытаний
6.2.1 Метод калориметра
6.2.1.1 Калориметр в испарителе
Метод A. Калориметр с теплоносителем на стороне всасывания (см.
6.3).
Метод B. Сухой калориметр с хладагентом на стороне всасывания (см.
6.4).
6.2.1.2 Калориметр в конденсаторе
Метод C. Калориметр в конденсаторе с водяным охлаждением на стороне высокого давления (см.
6.5).
Примечание - Применяют только для агрегатов с жидкостным охлаждением конденсатора.
6.2.2 Методы с измерением расхода хладагента
Метод D. Расходомер газообразного хладагента на стороне всасывания (см.
6.6).
Метод E. Расходомер жидкого хладагента в жидкостной магистрали (см.
6.7).
6.3 Метод A. Калориметр с теплоносителем на стороне всасывания
6.3.1 Описание
В состав калориметра с теплоносителем (см.
рисунок 3) входит испаритель, который состоит из змеевика или нескольких параллельных змеевиков с расширительным устройством. Этот испаритель расположен в верхней части герметичного и теплоизолированного сосуда. Нижнюю часть сосуда заполняют летучим теплоносителем, в который полностью погружают нагреватель. Расход хладагента регулируют либо вручную, либо регулятором давления, который располагают как можно ближе к калориметру. Расширительное устройство и трубопровод, подающий хладагент к калориметру, должны быть теплоизолированными, чтобы свести к минимуму притоки тепла.
1 - хладагент на входе в компрессор; 2 - хладагент
на выходе из компрессора; 5 - жидкий хладагент на входе
в расширительное устройство; 6 - хладагент на выходе
из испарителя; 11 - газообразный хладагент на входе
в агрегат; 12 - жидкий хладагент на выходе из агрегата;
A - компрессор; B - конденсатор/газовый охладитель;
C - расширительное устройство; E - нагреватель;
F - калориметр
Рисунок 3 - Калориметр с теплоносителем
Калориметр должен быть теплоизолирован таким образом, чтобы потери тепла (теплопритоки) не превышали 5% холодопроизводительности агрегата.
Необходимо обеспечить измерение температуры теплоносителя.
6.3.2 Калибровка
Коэффициент тепловых потерь определяют в соответствии с
5.8.1. Температуру кипения вторичного теплоносителя
tbs используют в качестве контролируемой температуры
tx.
6.3.3 Процедура испытания
6.3.3.1 Общие положения
Давление и температуру газообразного хладагента на входе в агрегат регулируют с использованием расширительного устройства и изменения мощности нагревателя летучей (вторичной) жидкости, передающей тепло испарителю. Подачу хладагента в конденсатор организуют таким образом, чтобы обеспечить постоянство его расхода через конденсатор. Расход хладагента через конденсатор должен соответствовать заданным условиям испытаний и
таблице 4.
6.3.3.2 Агрегаты с водяным охлаждением конденсатора
Температура охлаждающей воды на входе в конденсатор и выходе из него должна соответствовать заданным условиям испытаний.
6.3.3.3 Агрегаты с воздушным охлаждением конденсатора
Температура воздуха на входе в конденсатор должна соответствовать заданным условиям испытаний.
6.3.4 Требования
При непрерывном нагреве колебания теплового потока на входе во время испытания не должны превышать 1% расчетной холодопроизводительности агрегата.
При прерывистом нагреве колебания температуры насыщения, соответствующей давлению вторичного теплоносителя, должны составлять не более чем +/- 0,5 К.
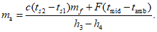
6.3.5 Определение массового расхода хладагента
Массовый расход хладагента, реализованный при испытании, определяют по следующим уравнениям:
- при нагреве теплоносителем

(10)
- при электрическом нагреве

(11)
6.4 Метод B. Сухой калориметр с хладагентом на стороне всасывания
6.4.1 Описание
Сухой калориметр с хладагентом (см.
рисунок 4) представляет собой испаритель, состоящий из труб или трубчатых элементов соответствующей длины и соответствующего диаметра для кипения в них хладагента, подаваемого агрегатом. Внешнюю поверхность испарителя либо нагревают жидкостью, циркулирующей снаружи в концентрической трубе или в межтрубном пространстве, либо электрообогревателем. В качестве альтернативы в испарителе допускается использовать соответствующий нагреватель.
1 - хладагент на входе в компрессор; 2 - хладагент
на выходе из компрессора; 5 - жидкий хладагент на входе
в расширительное устройство; 6 - хладагент на выходе
из испарителя; 11 - газообразный хладагент на входе
в агрегат; 12 - жидкий хладагент на выходе из агрегата;
A - компрессор; B - конденсатор/газовый охладитель;
C - расширительное устройство; E - нагреватель;
F - калориметр (испаритель)
Рисунок 4 - Сухой калориметр с хладагентом
Расширительное устройство и магистраль подачи хладагента к калориметру теплоизолируют для снижения интенсивности теплообмена с окружающей средой.
Калориметр теплоизолируют таким образом, чтобы потери тепла не превышали 5% холодопроизводительности агрегата.
6.4.2 Калибровка
Коэффициент тепловых потерь определяют в соответствии с
5.8.1. В качестве контролируемой температуры
tx используют среднюю температуру поверхности калориметра
tcal.
6.4.3 Процедура испытания
Давление и температуру газообразного хладагента на входе в агрегат регулируют расширительным устройством и изменением количества теплоты, поступающей в испаритель. Подачу хладагента в конденсатор организуют таким образом, чтобы обеспечить постоянство его расхода через конденсатор. Расход хладагента через конденсатор должен соответствовать заданным условиям испытаний и
таблице 4.
6.4.4 Требования
Если для нагрева используют жидкость, температура жидкости на входе должна быть постоянной, допустимые колебания температуры должны быть в пределах +/- 0,3 К, а расход нагревающей жидкости подбирают таким образом, чтобы падение ее температуры между входом в калориметр и выходом из него составляло не менее 6 К. Массовый расход нагревающей жидкости поддерживают постоянным в пределах +/- 0,5%.
Изменение теплопритока во время испытания не должно превышать 1% расчетной холодопроизводительности компрессора.
6.4.5 Определение массового расхода хладагента
Массовый расход хладагента, реализованный при испытании, определяют по следующим уравнениям:
- при нагреве теплоносителем

(12)
- при электрическом нагреве

(13)
6.5 Метод C. Калориметр в конденсаторе с водяным охлаждением на стороне высокого давления
6.5.1 Описание
Этот метод испытаний применим только для одноступенчатых агрегатов, так как он не позволяет определять массовый расход хладагента на стороне всасывания.
Конденсатор с водяным охлаждением (см. рисунок 5), который является частью агрегата, должен быть оснащен соответствующими измерительными устройствами для измерения температуры, давления и расхода охлаждающей воды с погрешностями измерений, указанными в
4.2, чтобы его можно было использовать в качестве калориметра.
1 - хладагент на входе в компрессор; 2 - хладагент
на выходе из компрессора; 3 - хладагент на входе
в конденсатор; 4 - жидкий хладагент на выходе
из конденсатора; 5 - жидкий хладагент на входе
в расширительное устройство; 6 - хладагент на выходе
из испарителя; 11 - газообразный хладагент на входе
в агрегат; 12 - жидкий хладагент на выходе из агрегата;
A - компрессор; B - конденсатор; C - расширительное
устройство; D - испаритель
Рисунок 5 - Конденсатор с водяным охлаждением
Калориметр конденсатора должен быть теплоизолирован таким образом, чтобы потери тепла (теплопритоки) не превышали 5% производительности конденсатора.
Необходимо обеспечить измерение температуры охлаждающей жидкости и предусмотреть меры, гарантирующие, что давление в устройстве не превысит допустимых пределов.
6.5.2 Калибровка
Коэффициент тепловых потерь определяют в соответствии с
5.8.1.
6.5.3 Процедура испытания
Давление и температуру газообразного хладагента на входе в агрегат регулируют расширительным устройством и изменением количества теплоты, поступающей в испаритель. Подачу хладагента в конденсатор организуют таким образом, чтобы обеспечить постоянство его расхода через конденсатор.
6.5.4 Требования
Температура охлаждающей жидкости на входе в конденсатор должна быть постоянной, допустимые колебания температуры должны быть в пределах +/- 0,3 К, а расход охлаждающей жидкости подбирают таким образом, чтобы рост ее температуры между входом в конденсатор и выходом из него составлял не менее 6 К. Массовый расход охлаждающей жидкости поддерживают постоянным в пределах +/- 0,5%.
6.5.5 Определение массового расхода хладагента
Массовый расход хладагента, реализованный при испытании, определяют по следующему уравнению:

(14)
6.6 Метод D. Расходомер газообразного хладагента на стороне всасывания
6.6.1 Описание
Расходомер газообразного хладагента устанавливают на всасывающей магистрали (см. рисунок 6). Контур хладагента включает в себя компрессорно-конденсаторный агрегат, расширительное устройство и испаритель.
1 - хладагент на входе в компрессор; 2 - хладагент
на выходе из компрессора; 5 - жидкий хладагент на входе
в расширительное устройство; 11 - газообразный хладагент
на входе в агрегат; 12 - жидкий хладагент на выходе
из агрегата; A - компрессор; B - конденсатор;
C - расширительное устройство; D - испаритель;
G - газовый расходомер
Рисунок 6 - Расходомер газообразного хладагента
на стороне всасывания
6.6.2 Процедура испытания
Давление и температуру хладагента на входе в компрессор регулируют расширительным устройством и изменением тепловой нагрузки на испарителе. Подачу хладагента в конденсатор организуют таким образом, чтобы обеспечить постоянство его расхода через конденсатор. Расход хладагента через конденсатор должен соответствовать заданным условиям испытаний и
таблице 4.
6.6.3 Требования
Необходимо принять меры для того, чтобы пар хладагента в точке измерения был перегретым, однородным и полностью свободным от капель жидкого хладагента, которые могут содержаться в потоке.
В случае возникновения пульсаций в трубопроводе для уменьшения или устранения волн сжатия/разрежения следует принять необходимые меры, например путем установки соответствующего демпфирующего устройства.
6.6.4 Определение массового расхода хладагента
6.6.4.1 Измерение с использованием массового расходомера
Если массовый расход хладагента ma измеряют непосредственно
ma = mx. (15)
Если содержание масла в смеси хладагент-масло превышает 1,5% масс., значение массового расхода должно быть скорректировано следующим образом:
ma = (1 - xoil)mx. (16)
6.6.4.2 Измерение с использованием объемного расходомера
Массовый расход хладагента ma рассчитывают исходя из измеренного объемного расхода и плотности хладагента

(17)
Если содержание масла в смеси хладагент-масло превышает 1,5% масс., значение массового расхода должно быть скорректировано следующим образом:

(18)
6.7 Метод E. Расходомер жидкого хладагента на жидкостной магистрали
6.7.1 Описание
Расход хладагента (см. рисунок 7) определяют либо объемным, либо массовым расходомером, устанавливаемым на жидкостной магистрали. Расходомер размещают на жидкостной магистрали между выходом из агрегата и расширительным устройством.
1 - хладагент на входе в компрессор; 2 - хладагент
на выходе из компрессора; 4 - жидкий хладагент на выходе
из конденсатора; 5 - жидкий хладагент на входе
в расширительное устройство; 11 - газообразный хладагент
на входе в агрегат; 12 - жидкий хладагент на выходе
из агрегата; A - компрессор; B - конденсатор;
C - расширительное устройство; D - испаритель;
H - жидкостный расходомер; K - переохладитель
Рисунок 7 - Расходомер хладагента
6.7.2 Процедура испытания
Давление и температуру хладагента на входе в агрегат регулируют расширительным устройством и изменением тепловой нагрузки на испаритель. Подачу хладагента в конденсатор организуют таким образом, чтобы обеспечить постоянство его расхода через конденсатор. Расход хладагента через конденсатор должен соответствовать заданным условиям испытаний и
таблице 4.
6.7.3 Требования
Во время испытаний поток жидкого хладагента на выходе из расходомера должен быть однородным и иметь переохлаждение не менее 3 К, что может потребовать установки дополнительного переохладителя жидкости перед расходомером.
Дополнительное переохлаждение, которое достигается внешним переохладителем, не должно учитываться при расчете холодопроизводительности агрегата
Q (см.
3.1.1).
Необходимо определять содержание масла в хладагенте.
6.7.4 Определение массового расхода хладагента
Массовый расход хладагента в процессе испытания находят из следующих уравнений:
- при использовании массового расходомера
ma = (1 - xoil)mx; (19)
- при использовании объемного расходомера

(20)
7 Определение потребляемой мощности компрессорно-конденсаторного агрегата
7.1.1 Введение
Измерение энергопотребления компрессорно-конденсаторного агрегата осуществляют одновременно с измерениями согласно
разделу 6.
Потребляемая мощность агрегата (P) состоит из потребляемой мощности компрессора (Pm или Pel) и потребляемой мощности вентиляторов и других обычно используемых дополнительных компонентов (PF).
7.1.2 Измерение энергопотребления для агрегатов, оснащенных сальниковыми компрессорами, для которых приводной двигатель не входит в состав компрессорно-конденсаторного агрегата
Фактическую потребляемую мощность компрессора (Pm), если приводной двигатель не входит в состав компрессорно-конденсаторного агрегата, определяют по среднему крутящему моменту на валу компрессора. В качестве альтернативы для привода компрессора можно использовать калиброванный электродвигатель с известными характеристиками. При использовании в качестве передаточного механизма клиноременной передачи необходимо учитывать потери на клиновых ремнях.
7.1.3 Измерение энергопотребления для агрегатов, оснащенных бессальниковыми и герметичными компрессорами
Фактическую потребляемую мощность компрессора (Pel) для агрегатов, оснащенных бессальниковыми и герметичными компрессорами, определяют по потреблению электроэнергии на клеммах приводного двигателя или, в случае компрессоров, оснащенных частотными преобразователями с целью регулирования производительности (частичная нагрузка), в том числе установленными на предприятии, - по потреблению электроэнергии на входных клеммах преобразователя.
7.1.4 Измерение энергопотребления дополнительных компонентов и вентиляторов
Фактическая потребляемая мощность вентиляторов - это:
- потребление электроэнергии на клеммах двигателя вентиляторов или
- для двигателей вентиляторов с регулируемой скоростью вращения, в том числе оснащенных регуляторами, установленными на предприятии, - электрическая мощность на входных клеммах привода.
Фактическую потребляемую мощность дополнительных компонентов определяют исходя из потребления электроэнергии на клеммах этих дополнительных компонентов.
Общая потребляемая мощность компрессорно-конденсаторного агрегата представляет собой сумму потребляемых мощностей компрессоров, вентиляторов и принадлежностей, необходимых для работы агрегата, таких, например, как масляный насос. Потребляемую мощность компрессорно-конденсаторного агрегата в заданных условиях испытаний рассчитывают согласно
уравнению (4).
Отчет об испытаниях должен содержать:
a) дату испытания;
b) наименование испытательной организации;
c) место проведения испытаний;
d) описание испытательного оборудования:
1) используемый метод испытаний;
2) дату последней поверки средств измерений;
3) используемый хладагент;
4) источник данных о хладагенте;
5) используемое масло;
e) Информацию об испытуемом объекте "компрессорно-конденсаторный агрегат":
1) тип;
2) серийный номер;
3) наименование производителя;
4) обозначения вентилятора и дополнительных компонентов, если таковые имеются;
5) маслоотделитель, при наличии;
f) Информацию об испытуемом объекте "компрессор":
1) тип;
2) серийный номер;
3) наименование производителя;
4) информацию о дополнительных устройствах для охлаждения компрессора, если таковые имеются, и их расположение;
5) информацию о регулировании производительности, если таковая имеется;
g) Информацию об испытуемом объекте "конденсатор":
1) тип;
2) серийный номер;
3) наименование производителя.
Должны быть предоставлены следующие исходные данные:
a) заданные условия испытаний согласно
таблице 4;
b) фактические измеренные значения;
c) атмосферное давление.
Заданные условия испытаний и фактические значения параметров следует сравнивать в таблице. Испытатель или испытательная организация несут ответственность за достоверность результатов испытаний.
В соответствии с требованиями
5.2.5 должны быть определены следующие показатели:
- разность энтальпий, связанных с параметрами циклов;
- массовый расход хладагента в заданных условиях испытаний m;
- разность энтальпий (на входе в агрегат и выходе из него);
- холодопроизводительность компрессорно-конденсаторного агрегата в заданных условиях испытания Q;
- потребляемая мощность компрессорно-конденсаторного агрегата в заданных условиях испытания P;
- холодильный коэффициент COPR;
- погрешность измеренных (рассчитанных) значений параметров при уровне доверительной вероятности 95%;
- массовая доля масла в смеси масло-хладагент (xoil).
8.4 Перечень данных по результатам испытаний
При расчете характеристик компрессорно-конденсаторного агрегата по результатам испытаний в зависимости от метода испытаний используют значения параметров, приведенные в
таблице 5.
(справочное)
СВЕДЕНИЯ О СООТВЕТСТВИИ ССЫЛОЧНЫХ СТАНДАРТОВ
НАЦИОНАЛЬНЫМ И МЕЖГОСУДАРСТВЕННЫМ СТАНДАРТАМ
Таблица ДА.1
Обозначение ссылочного стандарта | Степень соответствия | Обозначение и наименование соответствующего национального, межгосударственного стандарта |
EN 378-1 | IDT | ГОСТ EN 378-1-2014 (EN 378-1:2008+A2:2012) "Системы холодильные и тепловые насосы. Требования безопасности и охраны окружающей среды. Часть 1. Основные требования, определения, классификация и критерии выбора" |
EN 378-2 | IDT | ГОСТ EN 378-2-2014 (EN 378-2:2008+A2:2012) "Системы холодильные и тепловые насосы. Требования безопасности и охраны окружающей среды. Часть 2. Проектирование, конструкция, изготовление, испытания, маркировка и документация" |
ISO 817 | IDT | |
Примечание - В настоящей таблице использовано следующее условное обозначение степени соответствия стандартов: - IDT - идентичные стандарты. |
[1] | EN 13771-1, Compressors and condensing units for refrigeration - Performance testing and test methods - Part 1: Refrigerant compressors (Компрессоры и компрессорно-конденсаторные агрегаты холодильные. Методы испытаний по определению основных характеристик. Часть 1. Компрессоры холодильные) |
[2] | EN ISO 5167-1, Measurement of fluid flow by means of pressure differential devices inserted in circular cross-section conduits running full - Part 1: General principles and requirements (Измерение расхода жидкостей и газов с помощью дросселирующих устройств, помещенных в полностью заполненные трубопроводы круглого сечения. Часть 1. Общие принципы и требования) |
[3] | EN ISO 9001, Quality management systems - Requirements (Системы менеджмента качества. Требования) |
[4] | ISO 5168, Measurement of fluid flow - Procedures for the evaluation of uncertainties (Измерение потока текучей среды. Методы оценки погрешностей) <*> |
[5] | BIPM, OIML, IUPAC, IEC, IFCC, ISO, Guide to the Expression of Uncertainty in Measurement (Руководство по представлению погрешностей измерений) |
--------------------------------
<*> Официальный перевод этого стандарта находится в Федеральном информационном фонде стандартов.
УДК 621.574:006.354 | | |
Ключевые слова: холодильные компрессорно-конденсаторные агрегаты, условия испытаний, основные характеристики, представление данных, допуски, холодопроизводительность, потребляемая мощность, холодильный коэффициент, массовый расход, рабочий диапазон, переохлаждение, переохладитель, температурные режимы, поправочные коэффициенты |