Главная // Актуальные документы // ГОСТ Р (Государственный стандарт)СПРАВКА
Источник публикации
М.: Стандартинформ, 2021
Примечание к документу
Документ
введен в действие с 01.12.2021.
Название документа
"ГОСТ Р ИСО 10328-2021. Национальный стандарт Российской Федерации. Протезы. Испытания конструкции протезов нижних конечностей. Требования и методы испытаний"
(утв. и введен в действие Приказом Росстандарта от 08.06.2021 N 526-ст)
"ГОСТ Р ИСО 10328-2021. Национальный стандарт Российской Федерации. Протезы. Испытания конструкции протезов нижних конечностей. Требования и методы испытаний"
(утв. и введен в действие Приказом Росстандарта от 08.06.2021 N 526-ст)
Утвержден и введен в действие
по техническому регулированию
и метрологии
от 8 июня 2021 г. N 526-ст
НАЦИОНАЛЬНЫЙ СТАНДАРТ РОССИЙСКОЙ ФЕДЕРАЦИИ
ПРОТЕЗЫ.
ИСПЫТАНИЯ КОНСТРУКЦИИ ПРОТЕЗОВ НИЖНИХ КОНЕЧНОСТЕЙ
ТРЕБОВАНИЯ И МЕТОДЫ ИСПЫТАНИЙ
Prostheses. Structural testing of lower-limb
prostheses. Requirements and test methods
(ISO 10328:2016 Prosthetics. Structural testing of
lower-limb prostheses. Requirements and test methods, IDT)
ГОСТ Р ИСО 10328-2021
Дата введения
1 декабря 2021 года
1 ПОДГОТОВЛЕН Федеральным государственным унитарным предприятием "Российский научно-технический центр информации по стандартизации, метрологии и оценке соответствия" (ФГУП "СТАНДАРТИНФОРМ") на основе собственного перевода на русский язык англоязычной версии стандарта, указанного в
пункте 4
2 ВНЕСЕН Техническим комитетом по стандартизации ТК 381 "Технические средства и услуги для инвалидов и других маломобильных групп населения"
3 УТВЕРЖДЕН И ВВЕДЕН В ДЕЙСТВИЕ
Приказом Федерального агентства по техническому регулированию и метрологии от 8 июня 2021 г. N 526-ст
4 Настоящий стандарт идентичен международному стандарту ИСО 10328:2016 "Протезирование. Испытания конструкции протезов нижних конечностей. Требования и методы испытаний" (ISO 10328:2016 "Prosthetics - Structural testing of lower-limb prostheses - Requirements and test methods", IDT).
| | ИС МЕГАНОРМ: примечание. В официальном тексте документа, видимо, допущена опечатка: стандарт имеет номер ГОСТ Р 1.5-2012, а не ГОСТ Р 1.5-2021. | |
Наименование настоящего стандарта изменено относительно наименования указанного международного стандарта для приведения его в соответствие с ГОСТ Р 1.5-2021
(пункт 3.5).
При применении настоящего стандарта рекомендуется использовать вместо ссылочных международных стандартов соответствующие им национальные стандарты, сведения о которых приведены в дополнительном
приложении ДА
Правила применения настоящего стандарта установлены в статье 26 Федерального закона от 29 июня 2015 г. N 162-ФЗ "О стандартизации в Российской Федерации". Информация об изменениях к настоящему стандарту публикуется в ежегодном (по состоянию на 1 января текущего года) информационном указателе "Национальные стандарты", а официальный текст изменений и поправок - в ежемесячном информационном указателе "Национальные стандарты". В случае пересмотра (замены) или отмены настоящего стандарта соответствующее уведомление будет опубликовано в ближайшем выпуске ежемесячного информационного указателя "Национальные стандарты". Соответствующая информация, уведомление и тексты размещаются также в информационной системе общего пользования - на официальном сайте Федерального агентства по техническому регулированию и метрологии в сети Интернет (www.gost.ru)
Предисловие к ИСО 10328:2016
Международная организация по стандартизации ИСО является международной организацией, которая была создана национальными организациями по стандартизации (члены ИСО). Работу по подготовке Международных стандартов обычно выполняют технические комитеты ИСО. Любой член ИСО, заинтересованный в предмете, по которому создан технический комитет, имеет право на представительство в этом комитете. Международные организации, правительственные и неправительственные, совместно с ИСО также принимают участие в работе организации. ИСО тесно сотрудничает с Международной электротехнической комиссией (МЭК) по всем вопросам стандартизации в электротехнике.
Процедура, использованная для разработки настоящего документа и документов, предназначенных для их актуализации в дальнейшем, описана в "Директивах ИСО/МЭК, Часть 1. В частности отмечено, что для утверждения документов ИСО различных типов используются различные критерии. Настоящий стандарт был разработан в соответствии с правилами редактирования "Директив ИСО/МЭК, Часть 2 (см. www.iso.org/directives).
Необходимо обратить внимание на то, что некоторые части настоящего стандарта могут являться объектами патентных прав. ИСО не обязана определять какие-либо или все части, являющиеся объектами патентных прав. Подробная информация о каких-либо выявленных в ходе разработки настоящего стандарта патентных правах будет указана во Введении и/или в Перечне ИСО полученных патентных деклараций (см. www.iso.org/patents).
Любой товарный знак, используемый в настоящем стандарте, представляет собой информацию, которая дана для удобства пользователей, и не является свидетельством в его пользу.
Для разъяснения значения специальных терминов и выражений ИСО, относящихся к оценке соответствия, а также информации, относящейся к приверженности ИСО принципам ВТО по техническим барьерам в торговле (TBT) (см. следующий URL: Foreword - Supplementary information).
За данный стандарт отвечает комитет ИСО/ТК 168 "Протезирование и ортопедия".
Настоящее второе издание аннулирует и заменяет первое издание ИСО 10328:2006, которое было переработано с технической точки зрения, и внесены следующие изменения:
a) уровни испытательного нагружения P7 и P8 были внесены в таблицу B.1, таблицу B.2, таблицу B.3, таблицу 4.1, таблицу D.1, таблицу D.2, таблицу D.3, а разделы, указывающие на эти таблицы, были обновлены. Дополнительная информация по P7 и P8 приведена в приложении B.1;
b) таблица 9 была переработана;
c) статус приложения D был изменен с "справочное" на "обязательное".
ИСО 10328:2006 разработан техническим комитетом ТК 168 ИСО "Протезирование и ортезирование".
Настоящее первое издание отменяет и заменяет восемь частей первого издания (ИСО 10328-1:1996 - ИСО 10328-8:1996), которые пересмотрены и объединены в единый документ.
В настоящем стандарте термин "протез" означает устройство, примененное снаружи и предназначенное для замещения полностью или частично, отсутствующей конечности или ее неполноценного сегмента.
Исходя из озабоченности международного сообщества необходимостью обеспечения безопасности при эксплуатации протезов, а также из понимания того, что стандарты на испытания помогут разработке усовершенствованных протезов, была проведена серия заседаний под эгидой Международного общества протезирования и ортезирования (ИСПО). Итоговое заседание было проведено в Филадельфии, США, в 1977 г. На нем было достигнуто предварительное соглашение о методах испытаний и требуемых значениях нагрузок. С 1979 г. эта работа продолжалась Техническим комитетом ИСО 168, проводившим разработку стандарта ИСО 10328:1996. Процедуры испытаний могут быть неприменимыми к протезам с механическими характеристиками, отличающимися от характеристик, принятых в соглашении.
При эксплуатации протезы подвергаются ряду воздействий нагрузок, каждая из которых изменяется индивидуально во времени. Методы испытаний, установленные в настоящем международном стандарте, используются для статических и динамических испытаний на прочность, при которых сложные нагружения воспроизводят приложением единственной испытательной силы.
Статические испытания соответствуют наибольшим нагрузкам, возникающим при проведении пользователем любых видов работы. Циклические испытания соответствуют нормальной ходьбе, при которой нагрузки регулярно возникают при каждом шаге. Настоящий международный стандарт устанавливает испытания на усталостную прочность элементов конструкции. Указанные испытания не обеспечивают достаточных данных для прогнозирования фактического срока службы протезов.
Оценка протезов нижних конечностей и их элементов предусматривает проведение контрольных полевых испытаний в дополнение к стендовым испытаниям, указанным в настоящем международном стандарте.
Стендовые и полевые испытания должны повторяться, когда вносятся существенные изменения в конструкцию несущих элементов протеза.
В идеальном варианте дополнительные стендовые испытания должны выполняться в отношении функциональных возможностей, износа, разработки новых материалов, воздействия окружающих условий и действий пользователя как части процедуры оценки. Не существует стандартов по таким испытаниям, поэтому необходимо определить соответствующие процедуры.
Настоящий стандарт пригоден для оценки соответствия протезных устройств/конструкций нижних конечностей требованиям прочности, установленным в подразделе 4.4 ИСО 22523:2006 (см.
примечание 1). Голеностопные узлы и узлы стоп пригодны для продажи, если они продемонстрировали соответствие требованиям прочности, указанным в 4.4 ИСО 22523:2006, путем прохождения соответствующих испытаний по ИСО 10328:2006, и нет необходимости их повторно испытывать в соответствии с ИСО 22675:2016.
ВНИМАНИЕ - Настоящий стандарт не пригоден для использования в качестве руководства для выбора конкретного протезного устройства/конструкции нижних конечностей при назначении такого устройства индивидуально! Игнорирование этого предупреждения может привести к риску для безопасности лица с ампутацией нижних конечностей.
В настоящем стандарте указаны процедуры статических и циклических испытаний на прочность протезов нижних конечностей (см.
примечание 2), при которых сложные нагружения, как правило, воспроизводятся приложением одиночной силы. Сложные нагружения в испытательном образце соответствуют пиковым значениям нагрузок, которые обычно возникают в различные моменты фазы опоры при ходьбе.
Испытания, приведенные в настоящем стандарте, включают в себя:
- основные статические и циклические испытания для всех элементов;
- дополнительное статическое испытание на кручение всех элементов;
- дополнительные статические и циклические испытания голеностопных узлов или фиксаторов узлов стоп и всех узлов стоп как отдельных элементов;
- дополнительное статическое испытание на предельную прочность протезных устройств при максимальном сгибании коленных узлов и связанных частей для всех коленных узлов или коленно-голенных устройств и смежных элементов, которые обеспечивают остановку сгибания в полном протезе;
- дополнительные статические и циклические испытания замков коленных узлов для всех механизмов, которые фиксируют коленный сустав в распрямленном положении коленного узла или коленно-голенного устройства.
Испытания, приведенные в настоящем международном стандарте, применяют к следующим видам протезов: протезам при вычленении голеностопного сустава (см.
примечание 2), транстибиальным (ниже колена), протезам при вычленении коленного сустава и трансфеморальным (выше колена) протезам, а также протезом дистальной (нижней) части при вычленении бедра и протеза после гемипельвэктомии (см.
примечание 3).
Примечание 1 - Испытания образцов могут быть проведены в составе полной конструкции, частичной конструкции или как отдельных элементов.
Примечание 2 - Испытания протезов при вычленении голеностопного сустава проводят на протезах, включающих в себя только серийно изготовленные голеностопные узлы.
Примечание 3 - Дистальная часть тазобедренных протезов включает в себя коленный узел, голеностопный узел и все элементы между ними. Испытания тазобедренных узлов проводят в соответствии с ИСО 15032.
В настоящем стандарте использованы нормативные ссылки на следующие стандарты. Для датированных ссылок применяют только указанное издание ссылочного стандарта, для недатированных - последнее издание (включая все изменения):
ISO 8549-1:1989, Prosthetics and orthotics - Vocabulary - Part 1: General terms for external limb prostheses and external orthoses (Протезирование и ортопедия. Словарь. Часть 1. Общие термины, относящиеся к наружным протезам конечностей и наружным ортопедическим аппаратам)
ISO 16142-1:2016, Medical devices - Recognized essential principles of safety and performance of medical devices - Part 1: General essential principles and additional specific essential principles for all non-IVD medical devices and guidance on the selection of standards (Изделия медицинские. Важнейшие принципы обеспечения безопасности и эксплуатационных характеристик медицинских изделий. Часть 1. Общие и дополнительные специфические важнейшие принципы для всех медицинских изделий, кроме изделий для диагностики in vitro, и руководство по выбору стандартов)
ISO 22523:2006, External limb prostheses and external orthoses - Requirements and test methods (Наружные протезы конечностей и ортезы. Требования и методы испытания)
ISO 22675:2016, Prosthetics - Testing of ankle-foot devices and foot units - Requirements and test methods (Протезирование. Испытание голеностопных узлов и узлов стоп протезов нижних конечностей. Требования и методы испытаний)
В настоящем стандарте применены термины по ИСО 8549-1, а также следующие термины с соответствующими определениями:
3.1
проверочная прочность (proof strength): Статическая нагрузка, возникающая при случайном серьезном событии, которую выдерживает протезное устройство/конструкция и при котором оно еще способно выполнять назначенную функцию.
3.2
предельная прочность (ultimate strength): Статическая нагрузка, возникающая при значительном единичном событии, которую выдерживает протезное устройство/конструкция, но после воздействия которой оно может стать непригодной к дальнейшему использованию.
3.3
усталостная прочность (fatigue strength): Циклическая нагрузка, которую выдерживает протезное устройство/конструкция при заданном числе циклов.
3.4
группа образцов (batch): Число испытываемых образцов протезного устройства/конструкции, представленное в испытательную лабораторию/центр на испытания для подтверждения соответствия одному или нескольким требованиям настоящего стандарта.
4 Наименования и обозначения испытательных сил и крутящих моментов
Наименования и обозначения всех испытательных сил и крутящих моментов приведены в
таблице 1.
Таблица 1
Наименование и обозначения испытательных сил
и крутящих моментов
Наименование | Обозначение |
Испытательные силы; крутящие моменты | F, F1, F2, Mu |
Проверочная испытательная сила концевых креплений | Fpa |
Стабилизирующая испытательная сила | Fstab |
Опрессовочная испытательная сила | Fset |
Статическая проверочная испытательная сила | Fsp |
Статическая проверочная испытательная сила на задний отдел стопы (далее - пятка)/передний отдел стопы (далее - носок) | F1sp, F2sp |
Статическая предельная испытательная сила | Fsu |
Статическая предельная испытательная сила на пятку/носок | F1su, F2su |
Минимальная испытательная сила | Fcmin |
Максимальная испытательная сила | Fcmax |
Диапазон циклической испытательной силы | Fcr |
Средняя испытательная сила | Fcmean |
Амплитуда циклической испытательной силы | Fca |
Циклическая испытательная сила | Fc(t) |
Заключительная статическая испытательная сила | Ffin |
Минимальная испытательная сила на пятку/носок | F1cmin, F2cmin |
Максимальная испытательная сила на пятку/носок | F1cmax, F2cmax |
Диапазон циклической испытательной силы на пятку/носок | F1cr, F2cr |
Средняя испытательная сила на пятку/носок | F1cmean, F2cmean |
Амплитуда циклической испытательной силы на пятку/носок | F1ca, F2ca |
Циклическая испытательная сила на пятку/носок | F1c(t), F2c(t) |
Заключительная статическая испытательная сила на пятку/носок | F1fin, F2fin |
Стабилизирующий крутящий момент | Mu-stab |
Опрессовочный крутящий момент | Mu-set |
Максимальный крутящий момент | Mu-max |
Примечание - Дополнительное описание указанных испытательных сил и крутящих моментов приведено в таблице 3. |
5 Прочность и соответствующие квалификационные требования и условия их применения
5.1 В соответствии с 4.4.1 ИСО 22523:2006 протезное устройство нижней конечности "...должно быть прочным и выдерживать нагрузки, возникающие при его применении лицами с ампутированными конечностями..., способом, назначенным изготовителем для такого устройства и установленным в инструкции по назначенному использованию".
Для оценки соответствия протезного устройства нижней конечности вышеуказанному требованию (см. также
"Область применения") в настоящем стандарте приведены способы определения трех видов прочности, установленных в
3.1 -
3.3, и (дополнительно) статической прочности при кручении и надежности защиты от проскальзывания фиксирующих элементов.
Виды прочности, квалификационные требования и виды испытаний для их проверки указаны в
таблице 2.
Таблица 2
Виды прочности, оценочные требования и виды испытаний
для их проверки
Вид прочности | Квалификационные требования <a> | Виды испытания для проверки |
Проверочная прочность (см. 3.1) | Конструкция должна выдерживать статическое нагружение проверочными испытательными силами заданного значения в течение заданного времени | Основное статическое проверочное испытание (16.2.1), проводимое раздельно по двум схемам нагружения; дополнительное статическое проверочное испытание голеностопных узлов и узлов стоп (17.2.3), последовательно проводимое с нагружением пятки и носка; дополнительное статическое проверочное испытание замков коленных узлов (17.4.3), проводимое по единственной схеме нагружения |
Остаточная деформация конструкции не должна превышать заданного значения при любом условии нагружения | Основное статическое проверочное испытание (16.2.1); дополнительное статическое проверочное испытание замков коленных узлов (17.4.3) |
Предельная прочность (см. 3.2) | Конструкция должна выдерживать статическое нагружение предельными испытательными силами заданного значения | Основное статическое испытание на предельную прочность (16.2.2), проводимое раздельно по двум схемам нагружения; дополнительное статическое испытание на предельную прочность голеностопных узлов и узлов стоп (17.2.4), проводимое раздельно с нагружением пятки и носка; дополнительное статическое испытание на предельную прочность при максимальном сгибании коленных узлов и смежных с ними элементов (17.3); дополнительное статическое испытание на предельную прочность замков коленных узлов (17.4.4), проводимое по единственной схеме нагружения |
Усталостная прочность (см. 3.3) | Конструкция должна последовательно выдерживать: 1) статическое нагружение максимальными испытательными силами заданного значения в течение заданного времени; 2) циклическое нагружение циклическими испытательными силами заданного значения в течение назначенного числа циклов; 3) заключительное статическое нагружение заключительными испытательными силами заданного значения в течение заданного времени | Основное циклическое испытание (16.3), проводимое раздельно по двум схемам нагружения; дополнительное циклическое испытание голеностопных узлов и узлов стоп (17.2.5), проводимое раздельно с нагружением пятки и носка; дополнительное циклическое испытание замков коленных узлов (17.4.5), проводимое по единственной схеме нагружения |
Статическая прочность при кручении | Конструкция должна выдерживать статическое нагружение статической испытательной силой заданного значения в течение назначенного времени | Дополнительное статическое испытание на кручение (17.1), проводимое в двух противоположных направлениях кручения |
Надежность защиты от проскальзывания фиксирующих элементов | Относительное угловое перемещение концов конструкции не должно превышать заданного значения |
<a> Квалификационные требования, относящиеся к конкретному виду прочности, установлены при полной длине образца в отдельном подразделе, следующем за подразделом, в котором установлен метод испытания для их проверки. |
5.2 Для удовлетворения общего требования
5.1 к конкретному протезному устройству нижней конечности должна быть применена следующая концепция обеспечения безопасности.
Устройство должно:
a) соответствовать требованиям настоящего стандарта (см.
9.1 -
9.3) для конкретного уровня нагрузки при испытании (см.
7.2);
b) применяться с учетом предельной массы тела лиц с ампутированными конечностями (далее - пользователи), установленной изготовителем при назначенном использовании этого устройства (см.
примечание).
Условия, приведенные в
перечислениях a) и
b), учитывают как при классификации, так и при обозначении протезных устройств/конструкций в соответствии с
разделом 20, и их маркировки в соответствии с
разделом 21.
Примечание - Заявляемая предельная масса тела, которую не должны превышать пользователи, является частью условий применения, устанавливаемых с обоснованием изготовителем в письменных инструкциях по назначенному использованию конкретного протезного устройства/конструкции нижней конечности, с учетом всех других факторов, влияющих на ожидаемые нагрузки, возникающие при использовании этого устройства/конструкции (см.
раздел B.1).
6 Системы координат и схемы нагружения
6.1.1 Для облегчения восприятия и представления установлены две схемы нагружения: одна для правостороннего применения испытываемого образца (далее - образец) и ее зеркальное отображение - для левостороннего применения. Такая мера позволяет применить единые условные обозначения соответствующих составляющих нагрузок, возникающих в несущих конструкциях правого и левого протезов или в асимметрично спроектированных элементах протеза.
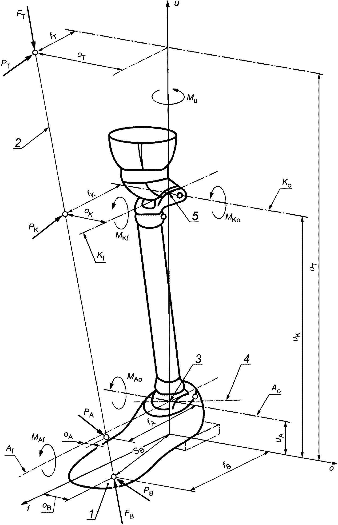
6.1.2 Каждая схема нагружения должна быть привязана к трехмерной прямоугольной системе координат с началом координат 0 (см.
рисунок 1), которая представляет собой геометрическую систему плоскостей, линий и точек (см.
рисунки 2 и
3).
6.1.3 Каждая схема нагружения устанавливает базовые параметры положения как для линии приложения испытательной силы, так и для установки образцов в системе координат.
6.2 Оси системы координат
6.2.1 Оси каждой системы координат определены в
6.2.2 -
6.2.4 для протезов, которые установлены на земле в вертикальном положении.
Если испытываемый образец устанавливают не в вертикальном положении, то оси системы координат должны быть повернуты соответствующим образом.
6.2.2 Ось
u - линия, проведенная из начала системы координат 0 (см.
рисунок 1) через действительные центры голеностопного и коленного узлов (см.
6.7.3 и
6.7.6, а также
рисунок 6). Ее положительное направление - вверх (в проксимальном направлении).
6.2.3 Ось
o - линия, проведенная из начала системы координат 0 перпендикулярно к оси
u (см.
рисунок 1) и параллельно действительной центральной линии коленного узла (см.
6.7.5 и
рисунок 6). Ее положительное направление - наружу (в латеральном направлении), влево для левого протеза и вправо для правого протеза.
6.2.4 Ось
f - линия, проведенная из начала системы координат 0 перпендикулярно к осям
o и
u (см.
рисунок 1). Ее положительное направление - вперед к носку (в переднем направлении).
1 - правая; 2 - левая; 0 - начало координат; f - вперед;
o - наружу; u - вверх
Рисунок 1 - Системы координат
для правостороннего/левостороннего применения протеза
6.3.1 Общие положения
Базовые плоскости (см.
рисунки 2 и
3) должны быть параллельны между собой и перпендикулярны оси
u. Они установлены в
6.3.2 -
6.3.5.
Примечание - Базовые плоскости, установленные в
6.3.2 -
6.3.5, содержат также базовые линии, которые соответствуют
приложению B.
1 - правая; 2 - левая; 3 - верхняя базовая плоскость T;
4 - коленная базовая плоскость K; 5 - голеностопная базовая
плоскость A; 6 - нижняя базовая плоскость B
Рисунок 2 - Системы координат, соответствующие
рисунку 1,
с базовыми плоскостями
6.3.2 Верхняя базовая плоскость T
Верхняя базовая плоскость T расположена на расстоянии
u =
uT от начала координат. Она включает в себя верхнюю точку приложения нагрузки P
T (см.
6.4).
6.3.3 Коленная базовая плоскость K
Коленная базовая плоскость K расположена на расстоянии
u =
uK от начала координат. Она включает в себя базовую точку приложения нагрузки в коленном узле P
K (см.
6.4) и действительный центр коленного узла (см.
6.7.6).
6.3.4 Голеностопная базовая плоскость A
Голеностопная базовая плоскость A расположена на расстоянии
u =
uA от начала координат. Она включает в себя базовую точку приложения нагрузки в голеностопном узле P
A (см.
6.4) и действительный центр голеностопного узла (см.
6.7.3).
6.3.5 Нижняя базовая плоскость B
Нижняя базовая плоскость B расположена на расстоянии
u =
uB от начала координат. Она включает в себя нижнюю точку приложения нагрузки P
B (см.
6.4).
Базовыми точками являются точки пересечения линии нагружения (см.
6.6) с базовыми плоскостями (см.
рисунок 3). Координаты базовых точек:
- верхняя точка приложения нагрузки PT(fT, oT, uT);
- базовая точка приложения нагрузки в коленном узле PK(fK, oK, uK);
- базовая точка приложения нагрузки в голеностопном узле PA(fA, oA, uA);
- нижняя точка приложения нагрузки PB(fB, oB, uB).
ВНИМАНИЕ - В последующих разделах настоящего стандарта координаты f и o названы смещениями (см. также 6.8.1).
1 - правый протез; 2 - левый протез; 3 - верхняя базовая
плоскость T; 4 - линия нагружения; 5 - коленная базовая
плоскость K; 6 - голеностопная базовая плоскость A;
7 - нижняя базовая плоскость B; PT - верхняя точка
приложения нагрузки; PK - базовая точка приложения нагрузки
в коленном узле; PA - базовая точка приложения нагрузки
в голеностопном узле; PB - нижняя точка приложения нагрузки
Примечание - Данный рисунок иллюстрирует типовое условие нагружения, возникающее в фазе опоры при обычной ходьбе при нагрузке на носок. Он не иллюстрирует условия нагружения при испытаниях, определенных в
7.1.2.
Рисунок 3 - Специальная схема нагружения при
uB = 0
в системе координат с базовыми плоскостями (см.
рисунки 1
и
2), базовыми линиями, базовыми точками и испытательной
силой F для право- и левостороннего применения протеза
Испытательная сила
F - это единственная сжимающая нагрузка, прикладываемая к нижней и верхней точкам приложения нагрузки P
B и P
T, установленным в
6.4.
Линией нагружения является линия приложения испытательной силы
F. Она проходит через базовые точки, установленные в
6.4.
6.7 Центральная линия узла стопы, действительные центры узлов и центральные линии
6.7.1 Общие положения
Для установки образца в соответствующей системе координат (см.
6.1 -
6.3) необходимо определить положение:
a) центральной линии узла стопы (см.
6.7.2);
b) действительного центра голеностопного узла (см.
6.7.3);
c) действительной центральной линии голеностопного узла (см.
6.7.4);
d) действительной центральной линии коленного узла (см.
6.7.5);
e) действительного центра коленного узла (см.
6.7.6).
Если положение центральной линии узла стопы или какого-либо действительного центра узла или действительной центральной линии узла не прямолинейно, то изготовитель/поставщик должен представить обоснованную схему или инструкцию, позволяющие определить их положение относительно образца.
6.7.2 Центральная линия узла стопы
Если иное не установлено изготовителем/поставщиком, то за центральную линию узла стопы принимают линию, проходящую через середину самого широкого места носка, и точку, равноотстоящую от внешней и внутренней боковых граней стопы, на расстоянии в одну четверть длины узла стопы от задней ее точки, если узел стопы расположен так, как установлено в
6.7.3.3 и показано на
рисунке 4.
Размеры в миллиметрах
1 - действительный центр голеностопного узла;
2 - действительная центральная линия голеностопного узла;
3 - центральная линия стопы, соответствующая
6.7.2;
hr - высота каблука; L - длина стопы; PB - нижняя точка
приложения нагрузки к носку (условие нагружения II
при испытаниях); SB - суммарное нижнее смещение нижней точки
приложения нагрузки PB к носку оси u
Примечание - Рекомендуемая высота каблука для устройства голеностопа или узла стопы принимается равной hr = 20 мм, если иное не установлено изготовителем/поставщиком.
Рисунок 4 - Определение центральной линии стопы (см.
6.7.2),
действительного центра голеностопного узла (см.
6.7.3),
действительной центральной линии голеностопного узла (см.
6.7.4) при условиях нагружения I и II и суммарного нижнего
смещения
SB (см.
6.8.2) при условии нагружения II
6.7.3 Действительный центр голеностопного узла
6.7.3.1 Определяют положение действительного центра голеностопного узла, как описано в
6.7.3.2 -
6.7.3.4.
Примечание - Положение механической оси при плантарфлексии и дорсифлексии (при наличии) не связано с регулировкой образца в соответствующей системе координат.
6.7.3.2 Определяют положение центральной линии узла стопы, как описано в
6.7.2 или в соответствии с инструкцией изготовителя/поставщика.
6.7.3.3 Устанавливают узел стопы на горизонтальную плоскость с подложенным под пятку бруском высотой, равной высоте каблука
hr, рекомендованной изготовителем/поставщиком (см.
рисунок 4).
6.7.3.4 Действительный центр голеностопного узла расположен:
a) в вертикальной плоскости, проходящей через центральную линию узла стопы;
b) в голеностопной базовой плоскости, расположенной на 80 мм выше нижней базовой плоскости, т.е. на 80 мм выше горизонтальной линии, проходящей через точку PB;
c) на расстоянии четверти длины узла стопы от самой задней его точки.
6.7.4 Действительная центральная линия голеностопного узла
Действительная центральная линия голеностопного узла должна быть горизонтальной прямой, проходящей через действительный центр голеностопного узла (см.
6.7.3) перпендикулярно к центральной линии узла стопы (см.
6.7.2).
6.7.5 Действительная центральная линия коленного узла
6.7.5.1 Для моноцентрического коленного узла без замка коленного узла или механизма управления опорной фазой действительная центральная линия коленного узла должна совпадать с осью вращения узла [см.
рисунок 5a), b), c)].
Это требование также должно быть применено для моноцентрического коленного узла с замком коленного узла или с механизмом управления опорной фазой, которые допускают ходьбу, когда замок или механизм управления отключены.
6.7.5.2 Для всех остальных типов коленных узлов, не указанных в
6.7.5.1, действительная центральная линия коленного узла должна быть установлена в инструкции изготовителя/поставщика по установке коленного узла [см.
рисунок 5d), e)].
1 - ориентация 1: постериорная (в направлении тыльной
стороны); 2 - ориентация 2: антериорная (в направлении
лицевой стороны)
a), b), c) примеры расположения действительной центральной
линии коленного узла, установленной в
6.7.5.1;
d), e) примеры расположения действительной центральной линии
коленного узла, установленной в
6.7.5.2.
Рисунок 5 - Расположение действительной центральной линии
коленных узлов протезов различных типов
6.7.6 Действительный центр коленного узла
6.7.6.1 Действительный центр коленного узла должен лежать на действительной центральной линии коленного узла.
6.7.6.2 Для симметричных коленных узлов действительный центр коленного узла должен быть расположен в точке на действительной центральной линии коленного узла, равноотстоящей от его внешних контуров узла.
6.7.6.3 Для асимметричных или управляемых вручную коленных узлов положение действительного центра коленного узла должно быть указано в инструкции изготовителя/поставщика по выравниванию коленного узла.
Смещения - расстояния по перпендикуляру от базовых точек, установленных в
6.4, до плоскости
o -
u и плоскости
u -
f систем координат, установленных в
6.1 и
6.2. Они представляют собой координаты
f и
o этих базовых точек соответственно.
6.8.2 Комбинированные смещения
Комбинированные смещения
SB,
SA,
SK и
ST - расстояния по перпендикуляру от базовых точек P
B, P
A, P
K и P
T, установленных в
6.4, до оси
u систем координат, установленных в
6.1 и
6.2.
6.8.3 Действительные плечи рычагов LA и LK
Действительные плечи рычагов - расстояния по перпендикуляру от линии нагружения до действительных центров узлов, где LA - длина действительного плеча рычага голеностопного узла, а LK - длина действительного плеча рычага коленного узла.
LBT - расстояние между нижней и верхней точками приложения нагрузки P
B и P
T (см.
6.4).
7 Условия нагружения и уровни нагрузки при испытаниях
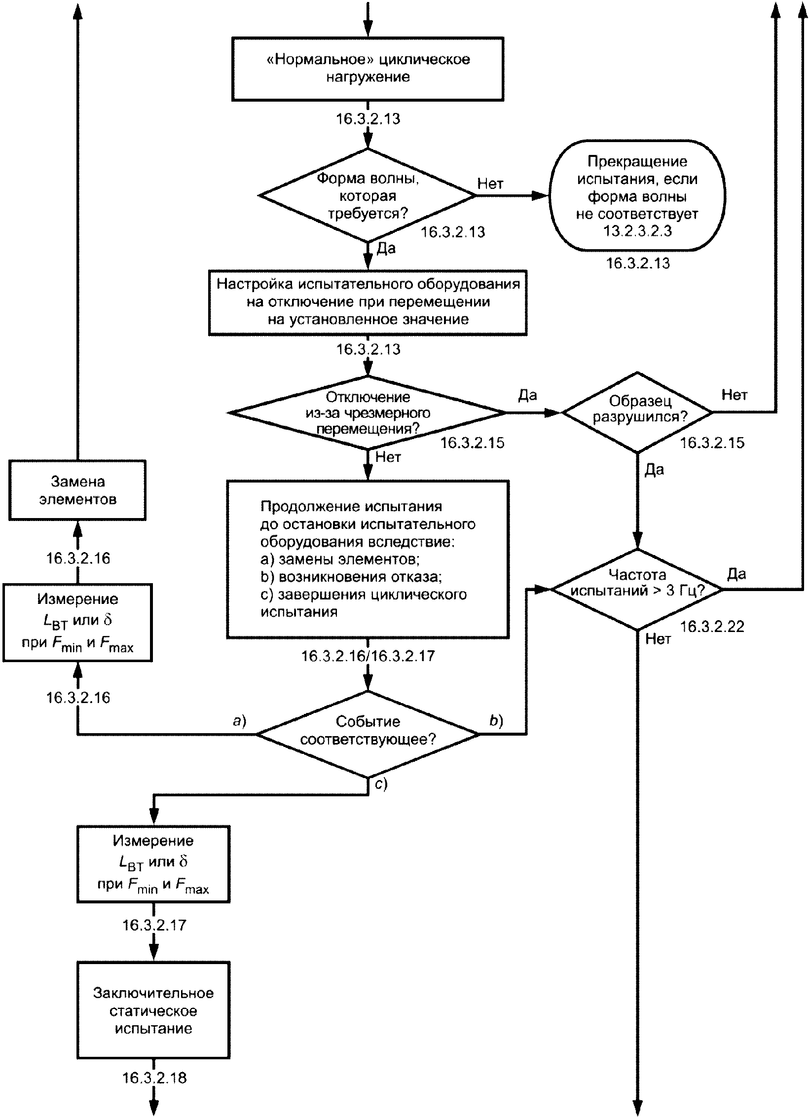
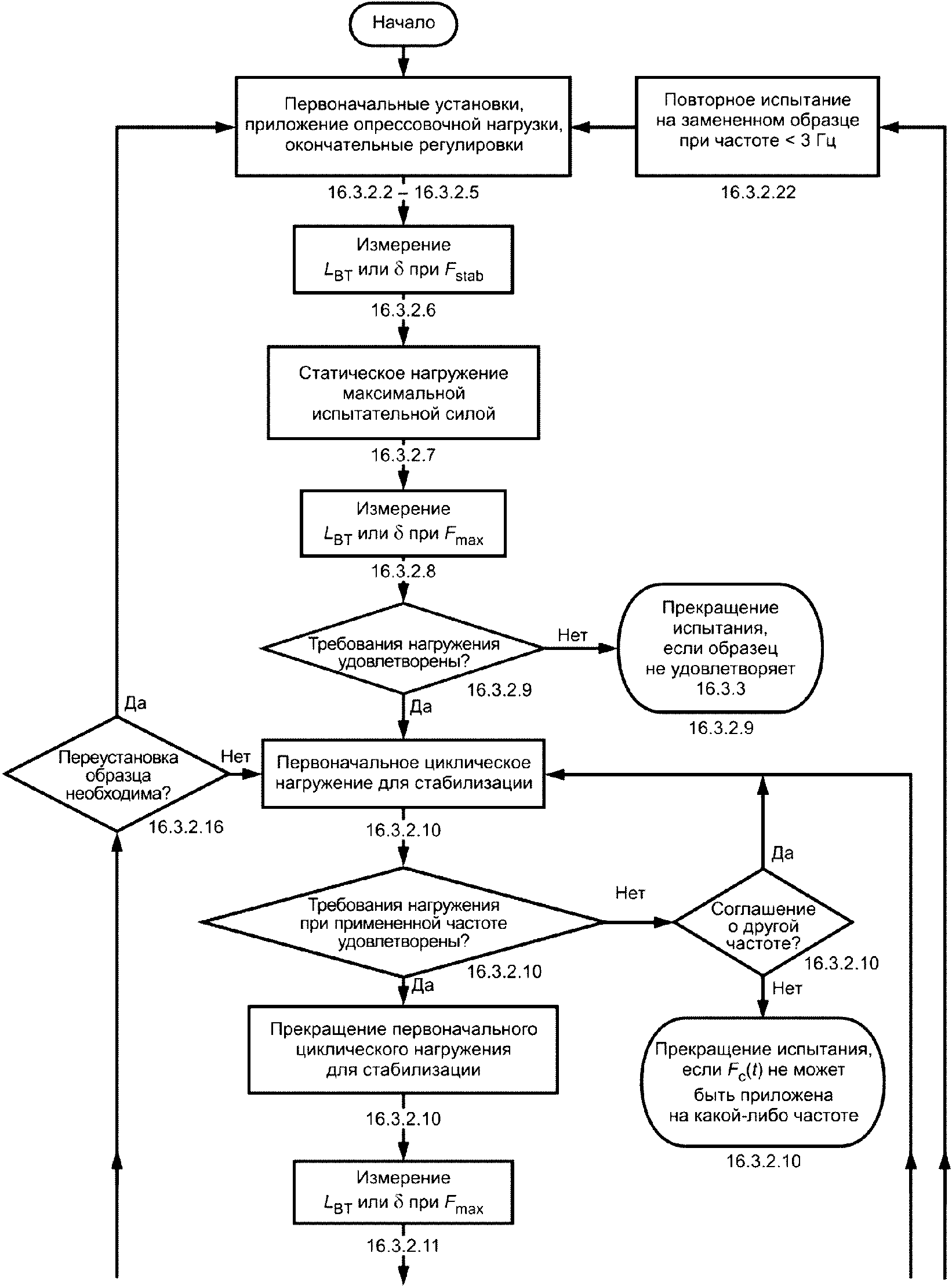
Сложные нагружения, которым фактически подвергается протез нижней конечности при использовании, не могут быть смоделированы при однократном испытании. Ввиду этого установлены статические и циклические испытания на прочность двух категорий: "Основные испытания на прочность"
(раздел 16) и "Дополнительные испытания на прочность"
(раздел 17), при этом испытания каждого вида проводят при единственном или двух различных условиях нагружения (см.
7.1.2 и
7.1.3).
Каждое условие нагружения характеризуется определенной испытательной силой, действующей вдоль или относительно установленной линии приложения силы, и создающей осевое сжатие, срезающую нагрузку, изгибающий момент и/или крутящий момент в виде единственного или сложного нагружения.
Условие (условия) нагружения при испытании каждого вида указано в
таблице 16 и установлено в соответствующих
таблицах 3 -
14. Дополнительные требования приведены в
разделах 16 и
17.
Примечание - Дополнительная информация приведена также в
приложениях A и
B.
7.1.2 Условия нагружения при основных испытаниях на прочность
Нагружение при основных статических и циклических испытаниях на прочность, установленных в
16.2 и
16.3, следует проводить при двух различных условиях нагружения I и II, соответствующих максимальной нагрузке, возникающей в различные моменты фазы опоры при нормальной ходьбе, описанных в
перечислениях a) и
b). При обоих условиях нагружения положение линии приложения силы (см.
7.1.1) в системе координат (см.
6.1 и
6.2) должно быть трехмерным (см.
рисунки 3,
6 и
11). Конкретные значения смещений, комбинированных смещений и испытательных сил при каждом условии нагружения, и каждом основном испытании на прочность установлены в
таблицах 6,
7 и
8.
a) Условие нагружения I соответствует максимальной нагрузке, возникающей в начале фазы опоры при ходьбе.
b) Условие нагружения II соответствует максимальной нагрузке, возникающей в конце фазы опоры при ходьбе.
7.1.3 Условия нагружения при дополнительных испытаниях на прочность
7.1.3.1 Условия нагружения при дополнительном статическом испытании на кручение
Нагружение при дополнительном статическом испытании на кручение, установленном в
17.1, следует проводить в виде крутящего момента относительно оси
u (см.
6.2.2) сначала в одном направлении, а затем в другом направлении. Конкретные значения крутящего момента установлены в
таблице 9.
7.1.3.2 Условия нагружения при дополнительных испытаниях голеностопных узлов и узлов стоп
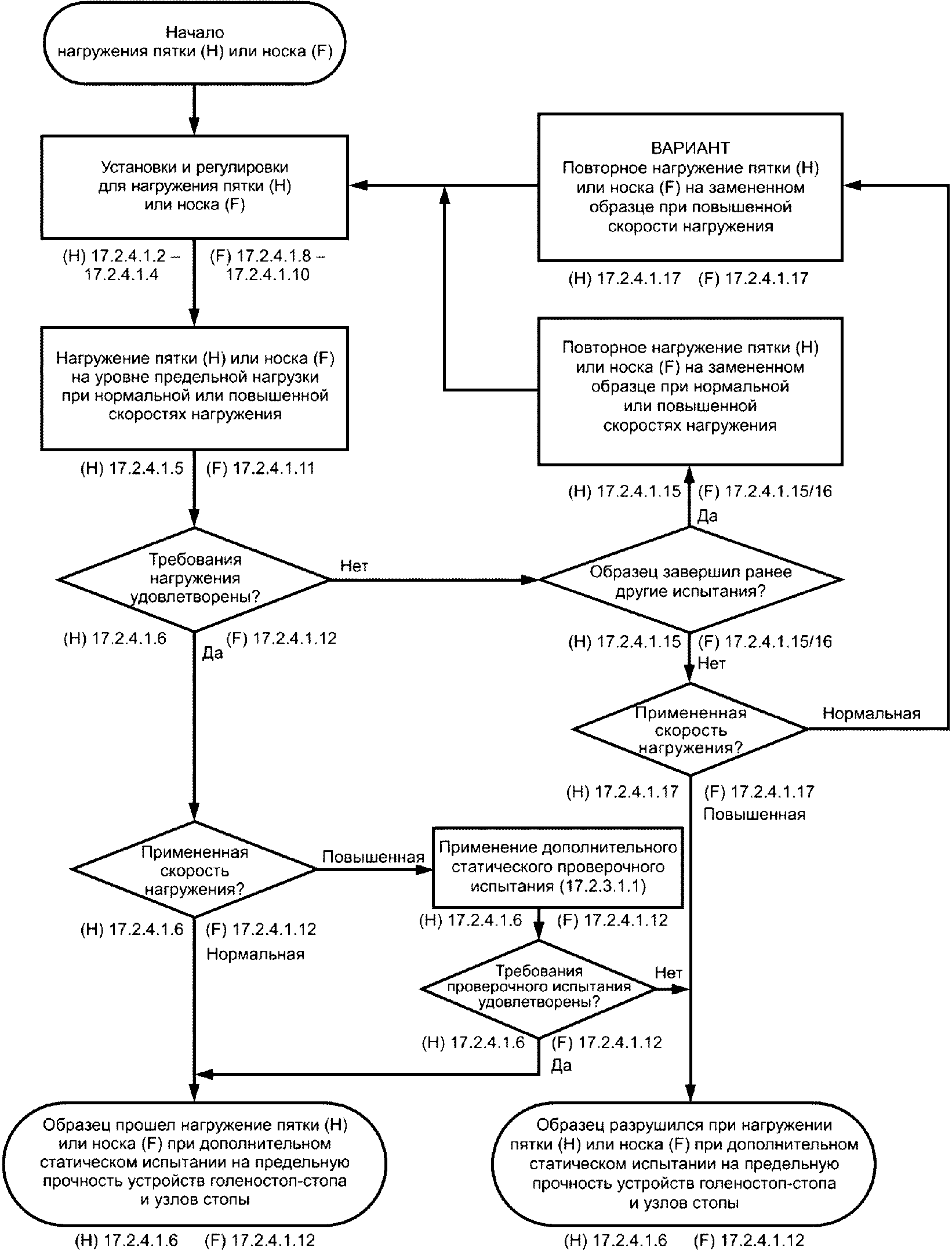
Нагружение при дополнительных статических и циклических испытаниях голеностопных узлов и узлов стоп, установленных в
17.2, должно быть проведено при двух различных условиях нагружения, имитирующих нагружение пятки в направлении, определяемом углом

, и нагружение носка в направлении, определяемом углом

. При обоих условиях нагружения положение линии приложения силы (см.
7.1.1) в системе координат (см.
6.1 и
6.2) должно быть двухмерным (см.
рисунок 7). Конкретные значения углов и сил для каждого условия нагружения и каждого испытания установлены в
таблицах 10 и
11.
7.1.3.3 Условие нагружения при дополнительных статических испытаниях на предельную прочность при максимальном сгибании коленных узлов и смежных с ними элементов
Нагружение при дополнительном статическом испытании на предельную прочность при максимальном сгибании коленных узлов и смежных с ними элементов, установленном в
17.3, должно быть проведено при единственном условии нагружения, имитирующем стояние на коленях или сидение на корточках (глубокое сгибание коленного узла). Положение линии приложения силы (см.
7.1.1) в системе координат (см.
6.1 и
6.2) должно быть двухмерным (см.
рисунок 8). Конкретные значения длины и испытательной силы установлены в
таблице 12.
7.1.3.4 Условие нагружения при дополнительных испытаниях замков коленных узлов
Нагружение при дополнительных статических и циклических испытаниях замков коленных узлов, установленных в
17.4, должно быть проведено при единственном условии нагружения, имитирующем ситуацию, при которой нагружение пятки имеет тенденцию к сгибанию коленного узла, когда он зафиксирован в положении полного растяжения. Положение линии приложения силы (см.
7.1.1) в системе координат (см.
6.1 и
6.2) должно быть двухмерным. Конкретные значения смещений и испытательных сил установлены для каждого испытания в
таблицах 13 и
14.
7.2.1 Воздействия нагрузки, указанной в
первом абзаце 7.1.1, зависят от индивидуальных физических параметров, локомоторных характеристик пользователя и других факторов. В связи с этим необходимы различные категории протезов и, следовательно, необходимы различные уровни нагрузки, каждый из которых устанавливает индивидуальные значения размеров и нагрузок.
Уровни нагрузки P, обозначенные как указано в
7.2.3, должны быть применены к протезам нижних конечностей для взрослых.
Примечание - Дополнительная информация приведена также в
приложении B.
7.2.2 Требования к условиям нагружения для каждого из уровней нагрузки, перечисленных в
7.2.3, определены концепцией обеспечения безопасности, характеризуемой следующим образом (см. также
таблицы 3 и
8):
- значения испытательной силы
Fcr при основном циклическом испытании, соответствующем
16.3.2, устанавливают на уровне, который охватывает полный диапазон воздействий нагрузок, определяемых локомоторными данными, полученными от группы пользователей, представляющих соответствующий уровень нагрузки (см.
приложение B). Аналогично устанавливают значения испытательных сил
F1cr и
F2cr при дополнительном циклическом испытании голеностопных узлов и узлов стоп, соответствующем
17.2.5, и испытательной силы
Fcr при дополнительном циклическом испытании замков коленных узлов, соответствующем
17.4.5;
- значения испытательных сил
Fsp и
Fsu при основных статических испытаниях, соответствующих
16.2.1 и
16.2.2, испытательных сил
F1sp/
F2sp и
F1su/
F2su при дополнительных статических испытаниях голеностопных узлов и узлов стоп, соответствующих
17.2.3 и
17.2.4, испытательных сил
Fsp и
Fsu при дополнительных статических испытаниях замков коленных узлов, соответствующих
17.4.3 и
17.4.4, рассчитывают с применением коэффициентов, установленных в
таблице 3. Аналогично устанавливают значения крутящего момента
Mu-max при дополнительном статическом испытании на кручение, соответствующем
17.1, и испытательной силы
Fsu при дополнительном статическом испытании на предельную прочность при максимальном сгибании коленного узла, соответствующем
17.3;
- требования ко всем испытательным силам принимают с учетом записей об отказах элементов протезов нижних конечностей, зафиксированных при клиническом и техническом обслуживании.
7.2.3 Обозначения уровней нагрузки для взрослых приведены ниже.
Уровни нагрузки: P3, P4, P5, P6, P7, P8.
Примечание 1 - Опыт полевых испытаний показывает, что для протезов нижних конечностей, которые выдерживают нагрузки выше уровня нагрузки P5, существует необходимость в более высоком уровне нагрузки. Чтобы позволить провести испытание конструкции таких протезов на единой основе, были разработаны уровни нагрузки P6, P7 и P8 в отношении основных конструктивных испытаний, а также дополнительных конструктивных испытаний по устройствам для голеностопного узла и узла стопы (см.
приложение D).
Примечание 2 - Значения размеров и нагрузок при уровнях нагрузки P3, P4 и P5 установлены в отдельных таблицах
раздела 8. В качестве временной меры на период валидации уровней нагрузки P7 и P8 предлагается все значения размеров и нагрузок, установленные в
D.3 и
D.4, а также в
таблицах D.2 и
D.3, принимать как соответствующие уровню нагрузки P6. При необходимости будут определены дополнительные уровни нагрузки.
8 Значения испытательных нагрузок, размеров и циклов
Рассматриваются силы и крутящие моменты, длины сегментов, смещения и углы, а также назначенное число циклов.
- испытательных сил и крутящих моментов;
- размеров, например длин сегментов, смещений и углов;
- циклов (назначенное число циклов нагружения).
Таблица 3
Испытательные нагрузки и соответствующие ссылки
Испытательная сила <a> или момент | Ссылки на |
раздел | таблицу | |
Проверочная испытательная сила концевых крепления | Fpa = 1,2 Fsu, upper level | | | |
Стабилизирующая испытательная сила | Fstab | | | |
Опрессовочная испытательная сила | Fset = 0,8 Fcr | | | |
Статическая проверочная испытательная сила | Fsp = 1,75 Fcr | | | |
Статическая проверочная испытательная сила на пятку | F1sp = 1,75 F1cr | | | |
Статическая проверочная испытательная сила на носок | F2sp = 1,75 F2cr |
Статическая предельная испытательная сила - нижний уровень; - верхний уровень | Fsu, lower level = 1,5 Fsp | | | |
Fsu, upper level = 2,0 Fsp |
Статическая предельная испытательная сила | Fsu | | | |
Fsu = 2,0 Fsp | | |
Статическая предельная испытательная сила на пятку - нижнего уровня; - верхнего уровня | F1su, lower level = 1,5 F1sp F1su, upper level = 2,0 F1sp | | | |
Статическая предельная испытательная сила на носок - нижний уровень; - верхний уровень | F2su, lower level = 1,5 F2sp F2su, upper level = 2,0 F2sp |
Минимальная испытательная сила | Fcmin | | | |
Максимальная испытательная сила | Fcmax |
Диапазон циклической испытательной силы | Fcr |
Средняя испытательная сила | Fcmean = 0,5(Fcmin + Fcmax) | |
Амплитуда циклической испытательной силы | Fca = 0,5 Fcr |
Циклическая испытательная сила | Fc(t) | | |
Заключительная статическая испытательная сила | Ffin = Fsp | | |
Минимальная испытательная сила на пятку/носок | F1cmin, F2cmin | | | |
Максимальная испытательная сила на пятку/носок | F1cmax, F2cmax |
Диапазон циклической испытательной силы на пятку/носок | F1cr, F2cr |
Средняя испытательная сила на пятку/носок | F1cmean, F2cmean | |
Амплитуда циклической испытательной силы на пятку/носок | F1ca, F2ca |
Циклическая испытательная сила на пятку/носок | F1c(t), F2c(t) | | |
Заключительная статическая испытательная сила на пятку/носок | F1fin, F2fin | | |
Стабилизирующий крутящий момент | Mu-stab | | | |
Опрессовочный крутящий момент | Mu-set |
Максимальный крутящий момент | Mu-max |
<a> Испытательные силы Fset, Fpa, Fsp и Fsu определяют с применением соответствующих коэффициентов. A - Проверочное испытание концевых креплений (приспособлений) 1 - Основное статическое проверочное испытание 2 - Основное статическое испытание на предельную прочность 3 - Основное циклическое испытание 4 - Дополнительное статическое испытание на кручение 5 - Дополнительное статическое проверочное испытание голеностопных узлов и узлов стоп 6 - Дополнительное статическое испытание на предельную прочность голеностопных узлов и узлов стопы 7 - Дополнительное циклическое испытание голеностопных узлов и узлов стоп 8 - Дополнительное статическое испытание на прочность при максимальном сгибании коленного узла 9 - Дополнительное статическое проверочное испытание замков коленных узлов 10 - Дополнительное статическое испытание на предельную прочность замков коленных узлов 11 - Дополнительное циклическое испытание замков коленных узлов Примечание - Для упрощения применения настоящего стандарта все соответствующие испытательные нагрузки приведены в данной таблице с указанием ссылок на конкретные разделы, таблицы и испытания. |
Таблица 4
Значения испытательных сил при проверочном испытании
концевых креплений для уровней нагрузки P5, P4 и P3
Концевые крепления для | Испытательная сила F, Н |
вида испытания | уровня нагрузки | условия нагружения | Стабилизирующая сила, Fstab | Опрессовочная сила, Fset | Проверочная сила, Fpa |
Основные испытания на прочность <a> | P5 | I | 50 | 1024 | 5376 |
II | 920 | 4830 |
P4 | I | 944 | 4956 |
| P4 | II | | 828 | 4348 |
P3 | I | 736 | 3864 |
II | 638 | 3348 |
Дополнительные испытания замков коленных узлов | P5, P4, P3 | | 50 | 800 | 4200 |
<a> Концевые крепления, удовлетворяющие требованиям жесткости при проверочном испытании концевых креплений проверочной испытательной силой Fpa = 1,2 Fsu, upper level на конкретном уровне нагрузки, установленном в данной таблице, пригодны для всех статических и циклических испытаний по настоящему стандарту, проводимых на этом конкретном уровне нагрузки и на всех более низких уровнях. Для комплектов концевых креплений, индивидуально разработанных для специальных условий нагружения при статических и циклических испытаниях по настоящему стандарту и/или для проверки определяемых требований к протезному устройству/конструкции, представленному на испытания, применяют рекомендацию по 13.2.1.2.1. Примечание - Для дополнительных уровней нагрузки P6, P7 и P8 испытательные силы указаны в таблице D.1. |
Таблица 5
Значения общей длины и длин сегментов образцов различных
типов при основных испытаниях и дополнительных испытаниях
замков коленных узлов для всех условий нагружения и уровней
Размеры в миллиметрах
Уровень базовой плоскости | Типовая комбинация длин сегментов испытываемых образцов <a>, <b> |
| | |
uT | - | - | - |
| | | |
uK | - | - | (uT - uA) = 570 |
| (uK - uA) = 420 | | |
uA | - | (uK - uB) = 500 | - |
| (uA - uB) = 80 | | (uA - uB) = 80 |
uB | - | - | - |
Общая длина ( uT - uB) <a>, <b> | 650 | 650 | 650 |
<a> Общая длина 650 мм может быть получена путем различных комбинаций длин сегментов. Примеры комбинаций длин сегментов, установленных в графах A, B и C, типичных для различных типов испытываемых образцов, приведены ниже: - полная конструкция: A; - частичная конструкция: A, B, C; - любая другая конструкция: A, B, C. <b> Для испытаний образцов протезных конструкций, включая протезы при вычленении колена или трансфеморальные (выше колена) приемные гильзы (см. 10.3.3), значение 150 мм, установленное в графах A и B для длины сегмента ( uT - uK), и значение 570 мм, установленное в графе C для длины сегмента ( uT - uA), слишком малы и их необходимо заменить новыми значениями до требуемых путем увеличения общей длины ( uT - uB). В этом случае значения смещений fT и oT, установленные в таблице 6, изменяют, адаптируя к увеличенной общей длине ( uT - uB), и определяют по формулам рисунка 12 (см. также сноску <b> в таблице 6). Примечание - Общую длину и длины сегментов применяют также для дополнительных уровней нагрузки P6, P7 и P8, установленных в приложении D [см. D.3 a)]. |
Таблица 6
Значения смещений при основных испытаниях (см.
16.2 и
16.3)
Базовая плоскость | Смещение <a> для уровня нагрузки |
Направление и положение <b> | Численная величина, мм |
Условие нагружения |
P5 | P4 | P3 |
I | II | I | II | I | II |
| fT | 82 | 55 | 89 | 51 | 81 | 51 |
oT | -79 | -40 | -74 | -44 | -85 | -49 |
Коленная | fK | 52 | 72 | 56 | 68 | 49 | 68 |
oK | -50 | -35 | -48 | -39 | -57 | -43 |
Голеностопная | fA | -32 | 120 | -35 | 115 | -41 | 115 |
oA | 30 | -22 | 25 | -24 | 24 | -26 |
| fB | -48 | 129 | -52 | 124 | -58 | 124 |
oB | 45 | -19 | 39 | -22 | 39 | -23 |
<b> Для отдельных значений общей длины ( uT - uB), отклоняющихся от значений, установленных в таблице 5, значения смещений fT и oT, приведенные в данной таблице, нуждаются в адаптации с использованием формул на рисунке 12 [см. также сноску <b> в таблице 5]. <c> Только для руководства при установке испытываемых образцов. Примечание - Значения смещений, установленные для P5, также применяют для дополнительных уровней нагрузки P6, P7 и P8, установленных в приложении D [см. D.3 b)]. |
Таблица 7
Значения комбинированных смещений, связанных со значениями
Базовая плоскость | Комбинированные смещения <a> для уровня нагрузки |
Численная величина, мм |
Размер и расположение <b> | Условие нагружения |
P5 | P4 | P3 |
I | II | I | II | I | II |
Верхняя | ST | 114 | 68 | 116 | 67 | 117 | 71 |
Коленная | SK | 72 | 80 | 74 | 78 | 75 | 81 |
Голеностопная | SA | 44 | 122 | 43 | 118 | 48 | 118 |
Нижняя | SB | 66 | 130 | 65 | 126 | 70 | 126 |
<a> Для определения длины стопы протеза и регулировки длины нагрузочных рычагов могут потребоваться конкретные значения комбинированных смещений (см. 6.8.2). Таблица устанавливает значения комбинированных смещений, соответствующих значениям смещений, указанным в таблице 6. <b> Для отдельных значений общей длины ( uT - uB), отклоняющихся от значения, установленного в таблице 5, значение комбинированного смещения ST, установленное в данной таблице, необходимо адаптировать с использованием формулы, приведенной в головке настоящей таблицы [см. также сноску <b> в таблице 5]. Примечание - Значения комбинированных смещений, установленные для P5, также применяют для дополнительных уровней нагрузки P6, P7 и P8, установленных в приложении D. |
Таблица 8
Значения испытательных сил при основных испытаниях
и назначенное число циклов при циклическом испытании
для уровней нагрузки P5, P4 и P3 (см.
16.2 и
16.3)
Размеры в миллиметрах
Вид испытания и испытательная нагрузка | Единица измерения | Уровень нагрузки Px и условия нагружения (I; II) |
P5 | P4 | P3 |
I | II | I | II | I | II |
Статические и циклические испытания | Стабилизирующая испытательная сила | Fstab | Н | 50 |
Опрессовочная испытательная сила | Fset | Н | 1024 | 920 | 944 | 828 | 736 | 638 |
Статические испытания | Проверочная испытательная сила | Fsp | Н | 2240 | 2013 | 2065 | 1811 | 1610 | 1395 |
Статическая предельная испытательная сила | Fsu, lower level | Н | 3360 | 3019 | 3098 | 2717 | 2415 | 2092 |
Fsu, upper level | Н | 4480 | 4025 | 4130 | 3623 | 3220 | 2790 |
Циклические испытания | Минимальная испытательная сила | Fcmin | Н | 50 |
Циклический диапазон | Fcr | Н | 1280 | 1150 | 1180 | 1035 | 920 | 797 |
Максимальная испытательная сила | Fcmax Fcmax = Fcmin + Fcr | Н | 1330 | 1200 | 1230 | 1085 | 970 | 847 |
Циклические испытания | Средняя испытательная сила | Fcmean Fcmean = 0,5(Fcmin + Fcmax) | Н | 690 | 625 | 640 | 568 | 510 | 449 |
Циклическая амплитуда | Fca Fca = 0,5 Fcr | Н | 640 | 575 | 590 | 518 | 460 | 399 |
Циклические испытания | Заключительная статическая испытательная сила | Ffin Ffin = Fsp | Н | 2240 | 2013 | 2065 | 1811 | 1610 | 1395 |
Назначенное число циклов | Цикл | 3x106 |
Примечание - Для дополнительных уровней нагрузки P6, P7 и P8 значения испытательных сил и назначенное число циклов установлены в таблице D.2. |
Таблица 9
Значения крутящих моментов при дополнительном статическом
испытании на кручение (см.
17.1)
Уровень нагрузки | Статическая испытательная нагрузка, Н·м |
Опрессовочный крутящий момент, Mu-set | Стабилизирующий крутящий момент, Mu-stab | Максимальный крутящий момент, Mu-max |
P5, P4, P3 | 3 | 1 | 50 |
Примечание - Указанные испытательные нагрузки применяют также для дополнительных уровней нагрузки P6, P7 и P8, установленных в приложении D. |
Таблица 10
Направление нагружения при всех дополнительных испытаниях
голеностопных узлов и узлов стоп для уровней нагрузки P5, P4
Обозначение угла | Значение угла, градус |
| 15 |
| 20 |
| 7 |
Примечание - Установленные направления нагружения также применяют для дополнительных уровней нагрузки P6, P7 и P8, установленных в приложении D. |
Таблица 11
Значения испытательных сил при всех дополнительных
испытаниях голеностопных узлов и узлов стоп и назначенное
число циклов при циклическом испытании для уровней
нагрузки P5, P4 и P3 (см.
17.2)
Вид испытания и испытательная нагрузка | Единица измерения | Уровень нагрузки (Px) и условие нагружения (F1x; F2x) |
P5 | P4 | P3 |
пятки, F1x | носка, F2x | пятки, F1x | носка, F2x | пятки, F1x | носка, F2x |
Статические испытания | Проверочная испытательная сила | F1sp, F2sp | Н | 2240 | 2240 | 2065 | 2065 | 1610 | 1610 |
Предельная статическая испытательная сила | F1su lower level, F2su, lower level | Н | 3360 | 3360 | 3098 | 3098 | 2415 | 2415 |
F1su, upper level, F2su, upper level | Н | 4480 | 4480 | 4130 | 4130 | 3220 | 3220 |
Циклические испытания | Минимальная испытательная сила | F1cmin, F2cmin | Н | 50 |
Циклический диапазон | F1cr, F2cr | Н | 1280 | 1280 | 1180 | 1180 | 920 | 920 |
Максимальная испытательная сила | F1cmax, F2cmax Fxcmax = Fxcmin + Fxcr | Н | 1330 | 1330 | 1230 | 1230 | 970 | 970 |
Средняя испытательная сила | F1cmean, F2cmean Fxcmean = 0,5 (Fxcmin + Fxcmax) | Н | 690 | 690 | 640 | 640 | 510 | 510 |
Циклическая амплитуда | F1ca, F2ca Fxca = 0,5 Fxcr | Н | 640 | 640 | 590 | 590 | 460 | 460 |
Заключительная статическая сила | F1fin, F2fin Fxfin = Fxsp | Н | 2240 | 2240 | 2065 | 2065 | 1610 | 1610 |
Назначенное число циклов | Цикл | 2 x 106 |
Примечание - Для дополнительных уровней нагрузки P6, P7 и P8 значения испытательных сил и назначенное число циклов установлены в таблице D.3. |
Таблица 12
Параметры нагружения при дополнительном статическом
испытании на предельную прочность при максимальном сгибании
коленных узлов и смежных с ними элементов (см.
17.3
Уровень нагрузки | Длина, Le, мм | Предельная статическая испытательная сила Fsu, Н |
P5, P4, P3 | 400 | 1 750 |
Примечание - Установленные параметры нагружения применяют также для дополнительных уровней нагрузки P6, P7 и P8, установленных в приложении D. |
Таблица 13
Значения смещений при всех дополнительных испытаниях замков
коленных узлов для уровней нагрузки P5, P4 и P3 (см.
17.4)
Базовая плоскость | |
Направление | Численная величина, мм |
Коленная | fK | -50 |
oK | 0 |
Голеностопная | fA | -50 |
oA | 0 |
Примечание - Установленные значения смещения применяют также для дополнительных уровней нагрузки P6, P7 и P8, установленных в приложении D. |
Таблица 14
Значения испытательных сил при всех дополнительных
испытаниях замков коленных узлов и назначенное число циклов
при циклических испытаниях (см.
17.4)
Вид испытания и испытательная нагрузка | Единица измерения | Уровень нагрузки (Px) P5, P4, P3 |
Статические и циклические испытания | Стабилизирующая испытательная сила | Fstab | Н | 50 |
Опрессовочная испытательная сила | Fset | Н | 800 |
Статические испытания | Проверочная испытательная сила | Fsp | Н | 1750 |
Статическая предельная испытательная сила | Fsu | Н | 3500 |
Циклические испытания | Минимальная испытательная сила | Fcmin | Н | 50 |
Циклический диапазон | Fcr | Н | 1000 |
Максимальная испытательная сила | Fcmax Fcmax = Fcmin + Fcr | Н | 1050 |
Средняя испытательная сила | Fcmean Fcmean = 0,5 (Fcmin + Fcmax) | Н | 550 |
Циклическая амплитуда | Fca Fca = 0,5 Fcr | Н | 500 |
Заключительная статическая сила | Ffin Ffin = Fsp | Н | 1750 |
Назначенное число циклов | Цикл | 1·106 |
Примечание - Установленные значения испытательных сил и назначенное число циклов применяют также для дополнительных уровней нагрузки P6, P7 и P8, установленных в приложении D. |
Для подтверждения соответствия настоящему стандарту протезного устройства/конструкции, представленного на испытание, назначенное количество испытываемых образцов данной конструкции из допущенной группы, установленное в
таблице 16, должно удовлетворять соответствующим требованиям разделов 9,
10,
16 и
17 и соответствующим условиям нагружения и уровням нагрузки
разделов 7 и
8. При любом подтверждении соответствия должен констатироваться уровень нагрузки, при котором проводились испытания.
Соответствие протезного устройства/конструкции, представленного на испытание, оценочным требованиям конкретного испытания по настоящему стандарту (см.
9.2) должно быть подтверждено испытательной лабораторией/центром только для данной сборки протеза и ее установки, имитируемой на группе испытываемых образцов протезного устройства/конструкции, которая подвергается этому испытанию (см.
9.4).
Примечание - Изготовитель/поставщик может также заявить о соответствии других сборок протезов и/или их установок, в которых протезное устройство/конструкция, представленное на испытания, может быть использовано, если может быть подтверждено, что протезное устройство/конструкция, представленное на испытания, находится в условиях, защищенных от нагрузок, имитирующих наиболее неблагоприятный вариант сборки и наихудшее положение образца при его установке.
9.2 Выбор испытаний, требуемых для подтверждения соответствия настоящему международному стандарту
Различные сочетания основных и дополнительных испытаний на прочность образцов конструкции протезов, представляющих собой полные конструкции, частичные конструкции или отдельные элементы (см.
раздел 10), требуемых для подтверждения их соответствия требованиям настоящего международного стандарта, приведены в
таблице 15.
9.3 Соглашения по испытаниям образцов конструкции протезов, включающих голеностопные узлы или узлы стоп, которые требуются для подтверждения соответствия настоящему международному стандарту
9.3.1 Общие положения
Подтверждение соответствия настоящему стандарту представленных на испытание групп образцов конструкций протезов, включающих голеностопный узел или узел стопы, требует, чтобы такое устройство или узел удовлетворяли требованиям дополнительных испытаний, установленных в
17.2, независимо от других испытаний, требуемых для подтверждения соответствия настоящему стандарту, которым может быть также подвергнут голеностопный узел или узел стопы.
9.3.2 Частные соглашения, касающиеся голеностопного узла или узла стопы
Порядок подтверждения соответствия настоящему стандарту представленной на испытание конструкции протезов, включающей съемные голеностопный узел или узел стопы:
- образцы такого голеностопного узла или узла стопы из допущенной группы (см.
таблицу 16) должны быть подвергнуты только дополнительным испытаниям, установленным в
17.2, тогда как
- образцы другой конструкции протеза должны быть подвергнуты основным испытаниям на прочность, установленным в
16.2 и
16.3, с нижним нагрузочным рычагом, заменяющим голеностопный узел или узел стопы.
9.3.3 Частные соглашения и требования, касающиеся элемента, требуемого для соединения голеностопного узла или узла стопы с остальной конструкцией протеза
9.3.3.1 Для подтверждения соответствия настоящему стандарту конструкции протеза, представленной на испытания и включающей съемные голеностопный узел или узел стопы, группу элементов, требуемых для присоединения голеностопного узла или узла стопы к остальной конструкции протеза, например к голеностопному узлу, к элементу его крепления, юстировочному устройству или несущему узлу, необходимо испытать любым из методов, установленных в
9.3.3.2 и
9.3.3.3.
9.3.3.2 Если изготовитель/поставщик намеревается подтвердить соответствие специальной сборки соединительного элемента и голеностопного узла или узла стопы, или специальных сборок соединительного элемента и голеностопного узла, или узла стопы нескольких типов требованиям настоящего международного стандарта, то группы образцов каждой специальной сборки должны быть подвергнуты дополнительным испытаниям в соответствии с
17.2.
9.3.3.3 Если изготовитель/поставщик намеревается подтвердить соответствие сборок соединительного элемента и голеностопного узла или узла стопы любого типа в соответствии с
примечанием к 9.1 требованиям настоящего международного стандарта, то группы образцов этого элемента должны быть подвергнуты основным испытаниям на прочность в соответствии с
16.2 и
16.3 при компоновке образца, в котором узел стопы заменяют нижним нагрузочным рычагом с действительным плечом рычага наибольшего значения согласно
10.3.4.
9.4 Количество испытаний и образцов, требуемых для подтверждения соответствия настоящему международному стандарту
Минимальное количество испытаний, требуемых для каждого вида испытаний при назначенных условиях нагружения, для подтверждения соответствия настоящему стандарту приведено в
таблице 16.
Испытания должны быть проведены на группе образцов, установленной в
таблице 16 для каждого вида испытания.
Минимальное количество показывает, сколько образцов протезного устройства/конструкции, представленных на испытания, должно завершить испытания без разрушения.
Все испытания должны быть проведены в наихудшем положении образцов при их установке (см.
10.6) и, если эти образцы представляют собой частичные конструкции, соответствующие
10.2.2, которые могут быть использованы в различных сборках протезов, то в наиболее неблагоприятном варианте сборки протеза из возможных (см.
10.3.4).
Примечание - Общее количество образцов, действительно необходимых для проведения выбора конкретных видов испытаний, относящихся к протезному устройству/конструкции, представленному на испытание, может отличаться от общего количества, рассчитанного с учетом дополнительного числа образцов, установленного в
таблице 16 для каждого вида выбранных испытаний, т.к. количество необходимых для замены образцов может изменяться, а образцы, прошедшие конкретное испытание без разрушения, могут быть использованы для проведения другого испытания (см.
9.5,
16.2.1.1.2,
16.2.2.1.2,
17.2.3.1.2,
17.2.4.1.2,
17.4.3.1.2 и
17.4.4.1.2).
9.5 Многократное использование образцов для испытаний
Образцы, соответствие которых оценочным требованиям любого испытания, установленного настоящим стандартом, подтверждено, могут быть подвергнуты другим испытаниям по настоящему стандарту, за исключением испытаний, указанных в
9.5.2.
Решение о многократном использовании образцов должно быть основано на соответствующем указании в сопроводительном документе на испытания (см.
раздел 12) и/или соглашении между изготовителем/поставщиком и испытательной лабораторией/центром.
Как правило, при любом отказе, возникающем при испытании образца, который ранее подвергался другому испытанию, повторяют испытания, при которых произошел отказ, на замененном образце (см.
таблицу 16).
Примечание - Многократное использование образцов конкретно указывают при основных статических испытаниях (
16.2.1 и
16.2.2), дополнительных статических испытаниях голеностопных узлов и узлов стоп (
17.2.3 и
17.2.4) и дополнительных статических испытаниях замков коленных узлов (
17.4.3 и
17.4.4) (см. также ссылки в
примечании к 9.4).
Если иное не указано в сопроводительном документе на испытания и/или не согласовано изготовителем/поставщиком с испытательной лабораторией/центром, то настоящий международный стандарт не требует проведения испытаний, необходимых для подтверждения соответствия протезного устройства/конструкции, в особом порядке, за исключением ограничения, установленного в
9.5.2.
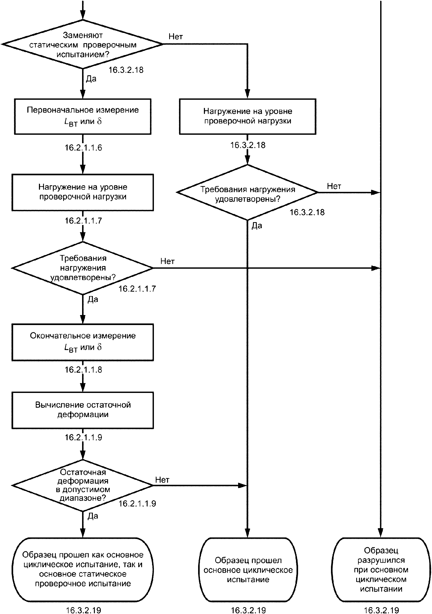
Соответствие образца оценочным требованиям циклических испытаний не может быть подтверждено, если образец ранее подвергался статическим испытаниям на предельную прочность по настоящему стандарту.
9.6 Проведение испытаний с частными уровнями нагрузки, не установленными настоящим международным стандартом
По разным причинам предназначенное использование индивидуальной конструкции протезного устройства/конструкции может потребовать проведение испытаний по настоящему стандарту с конкретным уровнем нагрузки, который не установлен в настоящем международном стандарте, а получен на основе ближайшего нижнего нормированного уровня нагрузки по настоящему стандарту за счет увеличения испытательных нагрузок на x%.
В этом случае соответствие настоящему стандарту на этом частном уровне нагрузки не может быть подтверждено.
Однако соответствие настоящему стандарту может быть подтверждено для ближайшего нижнего нормированного уровня нагрузки, из которого был получен этот частный уровень нагрузки.
Ссылка на настоящий стандарт также может быть приведена при констатации того, что назначенная группа (или группы) образцов протезного устройства/конструкции, представленная на испытание, испытана (испытаны):
a) в соответствии с настоящим стандартом или специальным методом;
b) путем проведения испытаний по настоящему стандарту при испытательных нагрузках выше установленного уровня нагрузки Py на x%.
Таблица 15
Испытания, требуемые для подтверждения соответствия
настоящему стандарту конструкций протезов, представляющих
собой полные конструкции, частичные конструкции
или отдельные элементы
Примеры конструкций протезов, представленных на испытания <a> | Основные испытания на прочность <b> | Дополнительные испытания на прочность |
Испытания на кручение <c> | Испытания голеностопных узлов и узлов стоп <d> | Испытания при максимальном сгибании коленного узла <e> | Испытания замков коленных узлов <f> |
Полная конструкция трансфеморального протеза/при вычленении колена или дистальной части протеза при вычленении бедра с узлом стопы | x | x | x | x | x |
Полная конструкция трансфеморального протеза/при вычленении колена или дистальной части протеза при вычленении бедра без узла стопы | x | x | | x | x |
Полная конструкция транстибиальных протезов с узлом стопы | x | x | x | | |
Полная конструкция транстибиальных протезов без узла стопы | x | x | | | |
Частичная конструкция, включающая коленный узел и голеностопный узел или узел стопы | | x | | x | x |
Частичная конструкция, включающая коленный узел, но без голеностопного узла или узла стопы | x | x | | x | x |
Частичная конструкция, включающая голеностопный узел или узел стопы, но без коленного узла | x | x | x | | |
Частичная конструкция, без коленного узла и без голеностопного узла или узла стопы | x | x | | | |
Только голеностопный узел или узел стопы (например, протез при вычленении голеностопа) | | x | x | | |
<a> Примеры различных типов образцов конструкций протезов, представленных на испытания, установлены в 10.2. <b> Испытания, требуемые для образцов всех конструкций протезов, кроме образцов отдельных голеностопных узлов или узлов стоп. <c> Испытания, требуемые для образцов всех конструкций протезов. <d> Испытания, требуемые для образцов конструкций протезов, включающих голеностопный узел или узел стопы, независимо от других испытаний, требуемых для подтверждения соответствия настоящему стандарту, которым также могут быть подвергнуты голеностопный узел или узел стопы. <e> Испытания, требуемые для образцов конструкций протезов, включающих коленный узел, который в реальных условиях использования протеза нижней конечности, должен нагружаться в условиях максимального сгибания коленного узла этого протеза (такая необходимость возникает не в каждом случае, т.к. положение максимального сгибания коленного узла может определяться другими элементами протеза, которые первыми входят в контакт). <f> Испытания, требуемые для образцов конструкций протезов, включающих коленный узел, который может быть зафиксирован в растянутом положении. |
Таблица 16
Количество испытаний и образцов, требуемых для подтверждения
соответствия настоящему стандарту
Вид испытания | Условия нагружения и способ применения | Минимальное <a> число требуемых испытаний <a> | Группа <b> образцов, допущенных для каждого вида испытания |
Нормальные образцы | Образцы для возможной замены |
| |
Основные испытания на прочность |
Статическое проверочное испытание (см. 16.2.1.1) | | 2 | 2 | 1 | |
|
Статическое испытание на предельную прочность (см. 16.2.2.1) | | 2 | 2 | 1 | |
|
| | 2 | 2 | 1 | |
|
Дополнительное испытание на кручение |
Статическое проверочное испытание (см. 17.1.3) | Последовательное нагружение каждого образца в двух противоположных направлениях (7.1.3.1) | 2 | 2 | - | - |
Дополнительные испытания голеностопного узла и узлов стоп |
Статическое проверочное испытание (см. 17.2.3.1) | Направление нагружения при угле  и направление нагружения при угле  , последовательно применяемых к каждому образцу (7.1.3.2) | 2 | 2 | 1 | |
Статическое испытание на предельную прочность (см. 17.2.4.1) | Направление нагружения при угле  и направление нагружения при угле (7.1.3.2) | 2 | 2 | 1 | |
| Направление нагружения при угле  и направление нагружения при угле  , соответственно применяемого к каждому образцу (7.1.3.2) | 2 | 2 | - | - |
Дополнительное статическое испытание на предельную прочность при максимальном сгибании коленных узлов и смежных с ними элементов |
Статическое испытание (см. 17.3.4) | | 2 | 2 | - | - |
Дополнительные испытания замков коленных узлов |
Статическое проверочное испытание (см. 17.4.3.1) | | 2 | 2 | 1 | |
Статическое испытание на предельную прочность (см. 17.4.4.1) | | 2 | 2 | 1 | |
| | 2 | 2 | 1 | |
<a> Термин "минимальное" указывает на то, что повторные испытания на допущенных замененных образцах могут оказаться необходимыми для удовлетворения условиям соответствия. <b> Определение "группы" см. в 3.4. <c> Количество образцов для возможной замены относится к каждому случаю, при котором применяют любое из условий соответствующих подразделов, перечисленных в графе "Ссылка". <d> Все циклические испытания проводят после заключительных статических испытаний, проводимых при тех же условиях нагружения (направлениях нагружения). |
Образцы протезных устройств/конструкций, предназначенные для испытаний, должны быть отобраны из серийной продукции. Подробное описание отбора образцов должно быть включено в сопроводительный документ на испытания (см.
раздел 12). Если изготовитель/поставщик представляет документ, подтверждающий, что образец отобран из серийной продукции, то этот документ должен быть включен в сопроводительный документ на испытания вместе с подробным описанием метода отбора.
Примечание - Образцы протезных устройств/конструкций также могут быть представлены для конкретных испытаний любой заинтересованной стороной.
10.1.2 Отбор голеностопных узлов и узлов стопы, соответствующих размеру стопы
10.1.2.1 Для основных испытаний на прочность образцов протезов с неразъемной конструкцией голеностопного узла или узла стопы (см.
9.3), размер отобранного узла стопы должен позволять приложение нагрузки и обеспечивать суммарное нижнее смещение
SB, установленное для испытания (см.
6.8.2,
таблицу 7 и
рисунки 4 и
6) и определяемое по формуле

, (1)
где fB и oB - смещения f и o нижней точки приложения нагрузки PB.
Выбор размера узла стопы и испытательной силы должны быть проведены в следующей последовательности:
a) выбирают размер, который обеспечивает точное суммарное нижнее смещение SB;
b) если выбранный размер узла стопы недостижим, то используют следующий больший размер;
c) если имеющийся в наличии узел стопы короче требуемого, то увеличивают значение прикладываемой испытательной силы F до значения F':

, (2)
где SBspec - установленное суммарное смещение;
SBact - фактическое суммарное нижнее смещение.
10.1.2.2 Для дополнительных испытаний на прочность голеностопных узлов и узлов стопы образцов протезов, включающих съемные голеностопный узел или узел стопы, или образцов, включающих голеностопный узел или узел стопы как одиночный элемент, размер отобранного узла стопы должен обеспечить наихудшее условие нагружения пятки и носка (см.
примечание), возможное для узла стопы данного типа, установленное для испытания (см.
таблицы 10 и
11).
Размер узла стопы, обеспечивающий наихудшее условие нагружения, должен быть определен изготовителем/поставщиком (см.
примечание) и установлен с обоснованием в сопроводительном документе на испытания (см.
раздел 12).
Примечание - Определение размера узла стопы, обеспечивающего наихудшее условие нагружения, может быть основано на свойствах конструкции, данных менеджмента рисков и/или результатах соответствующих предварительных испытаний, проведенных на узлах стоп разного размера.
Соответствующей мерой нагружения при наихудшем условии нагружения являются направление и значение изгибающего момента (A - P) в голеностопном узле (см.
приложение A), создаваемого испытательными силами, приложенными к пятке и носку голеностопного узла или узла стопы, и определяемого длинами действительных плеч рычагов, на которых эти испытательные силы действуют.
Несмотря на очевидную связь длин действительных плеч рычагов и размера узла стопы, нет необходимости в каждом случае проводить испытания для наихудшего условия нагружения с узлом стопы наибольшего размера при уровне нагрузки, подлежащем применению, но необходимость в проведении такого нагружения может зависеть от других параметров конструкции.
10.2 Типы образцов для испытаний
10.2.1 Полная конструкция
10.2.1.1 Для протезов при вычленении в коленном суставе или трансфеморальных ампутациях (выше колена) полная конструкция состоит из коленного и голеностопного узлов или его узла крепления со всеми элементами между ними. Она может также включать элементы, расположенные выше коленного узла, включая приемную гильзу (см.
10.2.1.4), и ниже голеностопного узла или его узла крепления, включая узел стопы.
10.2.1.2 Для дистального элемента протезов при вычленении бедра (или части таза) полная конструкция состоит из коленного и голеностопного узлов или его узла крепления со всеми элементами между ними. Она может также включать элементы ниже голеностопного узла или его узла крепления, включая узел стопы.
Примечание - Испытания элементов протезов при вычленении бедра (или части таза), расположенных выше уровня коленного узла, установлены в ISO 15032.
10.2.1.3 Для транстибиальных (ниже колена) протезов полная конструкция состоит из голеностопного узла или его узла крепления и крепления приемной гильзы со всеми элементами между ними. Она может также включать элементы, расположенные выше крепления приемной гильзы, включая гильзу (см.
10.2.1.4), и ниже голеностопного узла или его узла крепления, включая узел стопы.
10.2.1.4 Механическое соединение между транстибиальной (ниже колена) при вычленении в коленном суставе или трансфеморальной (выше колена) приемной гильзой и креплением приемной гильзы дистальной частью приемной гильзы голени или приемной гильзы колена является критической областью конструкции протеза.
Для подтверждения того, что данное соединение обладает требуемой прочностью для выдерживания нагрузок, ожидаемых при использовании протеза пользователями назначенным способом, изготовители должны представить на испытания полные конструкции, включающие приемную гильзу или макет гильзы в соответствии с требованиями настоящего международного стандарта.
10.2.1.5 Пример полной конструкции левых трансфеморальных (выше колена) протезов и их установки в системе координат показан на
рисунке 6.
1 - левый протез; 2 - линия нагружения; 3 - действительный
центр коленного узла; 4 - действительная центральная линия
коленного узла; 5 - действительный центр голеностопного
узла; 6 - действительная центральная линия голеностопного
узла; PK - базовая точка приложения нагрузки в коленном
узле; PA - базовая точка приложения нагрузки в голеностопном
узле; PB - нижняя точка приложения нагрузки; PT - верхняя
точка приложения нагрузки
Примечание - Рисунок иллюстрирует типовое условие нагружения, возникающее в фазе опоры при нормальной ходьбе при нагрузке на носок. Он соответствует условию нагружения II, определенному в
7.1.2, перечисление b).
Рисунок 6 - Специальная схема нагружения при
uB = 0
для левостороннего образца, указанная в
10.2.1
10.2.2 Частичная конструкция
Для протезов любого типа частичная конструкция меньше полной конструкции и может состоять из одиночного элемента, такого как, например, коленный узел или голеностопный узел.
Конкретным примером частичной конструкции является образец узла стопы или элемент конструкции узла стопы, применяемые в конкретных типах протезов при вычленении голеностопного сустава.
При испытаниях частичной конструкции концевые крепления должны иметь механические характеристики, аналогичные характеристикам смежных элементов протеза, если иное не установлено в настоящем международном стандарте.
10.2.3 Любая другая конструкция
Если конструкция протеза не позволяет испытывать ее в качестве образца, соответствующего
10.2.1 или
10.2.2, то для испытания может быть использован специальный образец. Примером такого протеза может служить цельная гибкая эластичная конструкция, включающая стопу.
Если изготовитель/поставщик в сопроводительном документе на испытания (см.
раздел 12) и испытательная лаборатория/центр в отчете об испытаниях (см.
раздел 19) подтверждают соответствие действительной схемы нагружения образца и условий нагружения требованиям
разделов 7,
8 и
16 или
17, то испытание может быть проведено, а отчет об испытаниях оформляют в соответствии с
разделом 19 со специальным указанием в нем о таком соответствии.
Если образец удовлетворяет требованиям соответствующих разделов настоящего стандарта, то соответствие требованиям этих разделов может быть подтверждено. При этом должно быть четко указано, что образец соответствует 10.2.3.
Если схема нагружения образца не может быть удостоверена таким образом, то соответствие требованиям этих разделов не может быть заявлено.
10.3.1 Образцы должны включать все элементы, изготовленные серийно.
10.3.2 Любые косметические элементы, не влияющие на прочность конструкции, должны быть сняты с образца.
10.3.3 Если образец включает приемную гильзу или ее макет, то для подготовки образца должны быть выполнены мероприятия, указанные в
перечислениях a) -
c):
a) дистальный участок приемной гильзы или ее макета, который растягивается устройством крепления дистальной части гильзы, должен быть или пустым или заполненным пенопластом или мягким материалом для того, чтобы обеспечить этому участку возможность свободно деформироваться под нагрузкой;
b) остающийся проксимальный участок приемной гильзы или ее макета должен быть жестко присоединен к верхнему концевому креплению, состоящему из требуемого удлинителя и верхнего нагрузочного рычага.
Допускается применение оправки в качестве удлинителя, закрепленной в гильзе или ее макете посредством жесткого пенопласта;
c) для транстибиальной (ниже колена) приемной гильзы или ее макета, положение действительного центра коленного узла и направление действительной центральной линии коленного узла должны быть определены на основании анатомических характеристик, полученных из формы приемной гильзы. Это необходимо для установки гильзы в соответствии с требованиями (см.
10.5 и
10.6).
В качестве обозначения действительной центральной линии коленного узла могут служить отверстия, просверленные в медиальной и латеральной стенках гильзы в направлении действительной центральной линии коленного узла и служащие направляющими для установочных штифтов приспособления.
10.3.4 Если образец, включенный в частичную конструкцию, соответствующую
10.2.2, может быть использован в различных сборках протезов, то подготовка образца должна быть проведена в соответствии с
перечислениями a) и
b) и сопроводительным документом на испытания (см.
раздел 12):
a) если частичная конструкция предназначена для широкого использования в любой сборке протеза, то подготовка образца должна соответствовать наиболее неблагоприятному варианту сборки протеза из возможных;
b) если частичная конструкция предназначена для ограниченного использования в специальных сборках протезов, то подготовка образца должна представлять все указанные варианты сборки протеза.
10.3.5 Если образец включает концевые крепления, то он должен быть собран в соответствии с
разделом 11 и сопроводительным документом на испытания.
10.3.6 Для основных испытаний на прочность (см.
раздел 16) и дополнительных испытаний на прочность замков коленных узлов (см.
17.4) образцы всех типов, соответствующие
10.2, должны иметь фиксированную общую длину, обеспечиваемую концевыми креплениями, состоящими из удлинителей и нагрузочных рычагов.
Фиксированная общая длина должна определяться размером
uT -
uB и быть получена выбором или одной из комбинаций длин сегментов, установленных в
таблице 5, для образцов различных типов (см.
10.2) или любой другой соответствующей комбинации. Комбинация выбранных длин сегментов должна быть зарегистрирована.
10.3.7 Голеностопные узлы и узлы стопы для дополнительных испытаний, отобранные в соответствии с
10.1.2, должны быть представлены изготовителем/поставщиком собранными с элементами присоединения с остальной частью протеза, такими как голеностопный узел, юстировочное устройство, несущий узел, гибкая или экзоскелетная конструкция. Тип и обозначение элемента присоединения должны быть зарегистрированы.
10.3.8 Для дополнительного статического испытания на предельную прочность при максимальном сгибании коленных узлов и смежных с ними элементов (см.
17.3.4) образец должен состоять из сборки коленного узла, снабженного стопором сгибания в полном протезе, и смежных с ним элементов, включая:
- сборки коленных узлов и смежные элементы, требуемые для их крепления к проксимальной и дистальной части протезов и/или для их установки в протезах, или
- узлы "колено - голень" и смежные элементы, требуемые для их крепления к проксимальной и дистальной части протезов и/или для их установки в протезах.
Элементы, не входящие в конкретную сборку, могут быть заменены. Форма конкретной сборки и данные о всех заменах должны быть зарегистрированы.
Если конкретный коленный узел или узел "колено - голень" могут быть использованы совместно с различными элементами крепления/регулировки, то установка образца должна представлять собой сборку, в которой ось стопора сгибания коленного узла является ближайшей к оси вращения (моноцентрическая конструкция) или ближайшей к мгновенному центру вращения (полицентрическая конструкция) коленного узла или узла "колено - голень" при максимальном сгибании коленного узла (это соответствует
10.3.4).
10.3.9 Для дополнительного статического испытания на предельную прочность при максимальном сгибании коленных узлов и смежных с ними элементов все образцы должны иметь удлинители, прикрепленные выше и ниже коленного узла для представления полностью или частично бедра и голени (подробное описание см. в
10.5.3.1). Длина таких удлинителей должна быть зарегистрирована.
10.4 Обозначение образцов
Испытательная лаборатория/центр должна присвоить каждому образцу несмываемое, неповторяющееся и отслеживаемое обозначение.
10.5 Центрирование образцов
10.5.1 Образцы для основных испытаний и дополнительных испытаний замков коленных узлов
10.5.2 Образцы для дополнительных испытаний голеностопных узлов и узлов стоп
Центральная линия стопы (см.
6.7.2) должна быть повернута на угол

, как показано на
рисунке 7 и установлено в
таблице 10, для того, чтобы обеспечить положение голеностопного узла и узла стопы "носок наружу".
a - продольная ось стопы, соответствующая
6.7.2
Примечание - Механизм испытательного оборудования, используемый для приложения сил F1 и F2, должен обеспечить движение во всех тангенциальных направлениях с низким трением, обеспечиваемым, например, коническими шарикоподшипниками.
Рисунок 7 - Положение стопы в испытательном оборудовании
10.5.3 Образцы для дополнительных статических испытаний на предельную прочность при максимальном сгибании коленных узлов и смежных с ними элементов
10.5.3.1 При первоначальной установке образца с полностью раскрытым коленным узлом удлинители, прикрепленные выше и ниже коленного узла для представления полностью или частично бедра и голени, должны быть установлены по оси
u перпендикулярно действительной центральной линии коленного узла и обеспечить длину
Le, равную 400 мм и измеряемую от действительного центра коленного узла в соответствии с
6.2.2,
6.7.5,
6.7.6,
10.3.9,
14.3 перечисления, a) и
b),
таблицей 12 и
рисунком 8.
Le - длина сегмента бедра и голени; a - действительный центр
коленного узла
Рисунок 8 - Схема нагружения для дополнительного
статического испытания на предельную прочность
при максимальном сгибании коленных узлов и смежных с ними
10.5.3.2 Если установка образца регулируется, то он должен быть установлен в наихудшее положение образца при его установке в соответствии с
10.6.
10.5.4 Образцы для дополнительных испытаний замков коленных узлов
Если положение замка регулируется или при регулировке установки образца замок перемещается относительно центра вращения, то образец должен быть установлен таким образом, чтобы замок располагался как можно ближе к действительному центру коленного узла (см.
6.7.6)
10.6 Наихудшее положение образца при его установке
10.6.1 Все испытания должны быть проведены при наихудшем положении выравнивания образца при его установке, которое определяется критериями, указанными в
10.6.2 -
10.6.4.
10.6.2 Конструктивно наихудшее положение образца при его установке должно быть, если возможно, определено изготовителем/поставщиком в сопроводительном документе на испытания (см.
раздел 12). Оно должно находиться в пределах ограничений, установленных в инструкциях изготовителя/поставщика на установку протеза, которые поставляются с каждым видом его элемента.
10.6.3 Если конструктивно наихудшее положение не может быть определено в соответствии с
10.6.2, то образец должен быть отрегулирован так, чтобы он переместился на расстояние, составляющее 90% предельного значения диапазона регулировки от нейтрального положения. Регулировка должна быть осуществлена в направлении удаления от линии нагружения с тем, чтобы увеличить действительное плечо рычага (см.
6.8.3).
10.6.4 Для образцов, предназначенных для дополнительного статического испытания на предельную прочность при максимальном сгибании коленных узлов и смежных с ними элементов, наихудшее положение выравнивания образца соответствует положению, когда расстояние по перпендикуляру от оси вращения (моноцентрическая конструкция) или от мгновенного центра вращения (полицентрическая конструкция) коленного узла до линии нагружения при максимальном сгибании сборки коленного узла достигает своего максимального значения (см.
примечание).
Для обеспечения достижения образцом наибольшего возможного значения сгибания коленного узла, которое может иметь место в серийных протезах, конструкции, представляющие сегмент бедра и голени (включая удлинители), должны быть рассчитаны и/или размещены так, чтобы их постериорный контур/форма и растяжение сохранялись в пределах "базового" контура/формы, определяемого наименьшими размерами, которые возможны в соответствии с инструкциями изготовителя по назначенному использованию коленного узла или сборки "колено - голень" с учетом:
- типа (типов) протезов (при вычленении в коленном суставе, трансфеморальных или протезов при вычленении бедра);
- крепления этих сборок к проксимальному и дистальному элементам протезов;
- установки коленного узла в протезах;
- назначенного использования этих сборок в полных протезах предполагаемой группой (группами) пользователей.
Примечание - Для увеличения свободного пространства на постериорной стороне образца с целью достижения максимального значения сгибания коленного узла может быть целесообразным или необходимым начать регулировку установки с коленного узла, находящегося в положении постериорного смещения относительно продольной оси конструкции, представляющей сегмент бедра и голени, который может оказывать противоположное воздействие на расстояние, указанное в
первом абзаце пункта 10.6.4, а затем повторно отрегулировать установку способом, который перемещает коленный узел из положения постериорного смещения в антериорном направлении с тем, чтобы увеличить это расстояние.
11 Ответственность за подготовку испытаний
11.1 Изготовитель/поставщик должен отвечать за отбор и сборку элементов, подлежащих испытаниям, включая уставки моментов затяжки резьбовых соединений в соответствии с инструкциями изготовителя по сборке элементов, поставляемыми с каждым видом элемента.
Правильная уставка моментов затяжки является особенно важной для болтов крепления соединений, обеспечивающих защиту от проскальзывания, которое проверяют при дополнительном статическом испытании на кручение (см.
17.1.3.1).
11.3 Изготовитель/поставщик должен отвечать за подготовку сопроводительного документа на испытания в соответствии с
разделом 12.
11.4 Изготовитель/поставщик или испытательная лаборатория/центр должны отвечать за присоединение концевых креплений, требуемых для основных испытаний на прочность и дополнительных испытаний замков коленных узлов (см.
13.2.1 и
13.6.1), и удлинителей, требуемых для дополнительного статического испытания на предельную прочность при максимальном сгибании коленных узлов и смежных с ними элементов (см.
13.5.1).
Тот, кто их собирает, должен отвечать за их статическую центровку в соответствии:
- с
10.5.1 для основных испытаний на прочность;
-
10.5.3 для дополнительного статического испытания на предельную прочность при максимальном сгибании коленных узлов и смежных с ними элементов;
-
10.5.1 и
10.5.4 для дополнительных испытаний замков коленных узлов.
11.5 Испытательная лаборатория/центр должна отвечать за верификацию того, чтобы образец был собран в соответствии с
разделом 10, сопроводительным документом на испытания (см.
раздел 12) и инструкциями изготовителя/поставщика, поставляемыми с элементом каждого типа.
Если образец собран неправильно, то испытательная лаборатория/центр должна по согласованию с изготовителем/поставщиком применить специальную схему нагружения.
11.6 Испытательная лаборатория/центр должна отвечать за регулировку при установке точных значений смещений и действительных плеч рычагов в процессе испытаний, в соответствии:
-
10.5.3 - для дополнительного статического испытания на предельную прочность при максимальном сгибании коленных узлов и смежных с ними элементов (см. также
17.3.4.1);
12 Сопроводительный документ на испытания
12.1.1 Изготовитель/поставщик должен подготовить сопроводительный документ на испытания со всей необходимой информацией и представить, как минимум, одну его копию с группой образцов каждого протезного устройства/конструкции, представленного на испытание.
12.1.2 Изготовитель/поставщик в сопроводительном документе на испытания должен определить какие измерения и регистрации смещений голеностопного и коленного узлов
fA,
fK,
oA и
oK и/или действительных плеч рычагов
LA и
LK на различных этапах основных испытаний на прочность (см.
16.2 и
16.3) и дополнительных испытаний на прочность замков коленных узлов (см.
17.4) должны быть выполнены.
Примечание - Хотя эти данные могут представлять интересную и полезную информацию, особенно о деформации образца под нагрузкой, они не имеют отношения к оценочным требованиям, которые должны быть удовлетворены для выполнения условий соответствия для каждого из этих испытаний. По этой причине указанные измерения и их регистрации должны быть выполнены только по требованию изготовителя/поставщика.
12.1.3 Изготовитель/поставщик должен при необходимости определить в сопроводительном документе на испытания, какую информацию из журнала испытаний, подлежащую записи в нем в соответствии с настоящим стандартом, необходимо включить в отчет об испытаниях дополнительно к информации, требуемой для включения в соответствии с
разделом 19.
12.1.4 Изготовитель/поставщик должен четко указать свое наименование и адрес для контакта. Соответственно, необходимо привести данные об изготовителе оригинального оборудования.
12.1.5 Изготовитель/поставщик должен присвоить неповторяемое и отслеживаемое обозначение сопроводительному документу на испытания, которое также наносят на образец несмываемым способом. Изготовитель/поставщик обязан сохранить регистрацию этого обозначения.
12.1.6 Изготовитель/поставщик должен четко указать испытательную лабораторию/центр, требуемую для проведения испытания.
12.1.7 Изготовитель/поставщик обязан четко указать дату представления или отправки в испытательную лабораторию/центр.
12.2 Требуемая информация об образцах для испытаний
В сопроводительный документ на испытания должна быть включена следующая информация, касающаяся полностью отслеживаемого обозначения каждого испытываемого образца:
a) наименование изготовителя и обозначение образца и/или номер или другие средства его идентификации;
c) любой документ изготовителя, подтверждающий, что образец отобран из серийной продукции, и подробно описывающий метод отбора в соответствии с
10.1.1;
d) любые специальные инструкции по сборке образца и/или креплений в соответствии с
10.3;
e) при отсутствии обозначения непосредственно на образце, описание положения действительных центров (
6.7.3 и
6.7.6) и/или действительных центральных линий (
6.7.4 и
6.7.5) в соответствии с
10.5;
f) описание наихудшего положения образца при его установке в соответствии с
10.6;
g) значения моментов затяжки болтов в соответствии с
11.1;
h) запись о поставке всех элементов для замены, подлежащих поставке в соответствии с
11.2;
i) запись о всех концевых креплениях и/или удлинителях и их статической центровке в соответствии
10.3,
10.5 (и
11.3).
12.2.2 Образцы для испытаний голеностопных узлов и узлов стоп
Изготовитель/поставщик должен включить в сопроводительный документ на испытания:
a) запись о каждом соглашении по определению положения центральной линии стопы в соответствии с
6.7.2;
b) информацию, касающуюся соглашений по испытаниям образцов конструкций протезов, включающих голеностопные узлы и узлы стоп, указанных в
9.3;
c) указание с обоснованием размера стопы, который обеспечивает наихудшее условие нагружения в соответствии с
10.1.2.2.
12.2.3 Образцы для статических испытаний на предельную прочность при максимальном сгибании коленных узлов и смежных с ними элементов
Изготовитель/поставщик должен включить в сопроводительный документ на испытания описание расположения/положения стопора сгибания коленного узла на протезах каждого типа, для которых может быть применен коленный узел или сборка узел "колено - голень" в соответствии с назначенным использованием, и обозначение смежных с ним элементов, которыми снабжается стопор сгибания коленного узла, в соответствии с
10.3.4 и
10.3.8.
12.3 Информация, требуемая для испытания
12.3.1 Общие требования
В сопроводительный документ на испытания должна быть включена для каждого образца следующая информация, указанная в
12.3.2 -
12.3.7.
12.3.2 Для всех испытаний:
b) значения размеров и сил для проведения испытаний
(раздел 8);
c) наиболее неблагоприятный вариант сборки образца и наихудшее центрирование образца при его установке (
10.3.4 и
10.6).
12.3.3 Для статических испытаний на кручение голеностопных узлов и узлов стоп
Требование проведения испытания во втором направлении нагружения в случае отказа при проведении испытания в первом направлении нагружения в соответствии с
17.1.3.7,
17.2.3.1.5 и
17.2.4.1.6.
12.3.4 Для статических испытаний на предельную прочность:
a) при необходимости - запрос на продолжение испытания до фактического отказа в соответствии с
16.2.2.1.6 и/или
17.2.4.1.5,
17.2.4.1.11 и/или
17.4.4.1.6 и регистрации значения нагрузки при отказе и любые дополнительные инструкции, касающиеся документации о результатах испытаний;
12.3.5 Для циклических испытаний:
| | ИС МЕГАНОРМ: примечание. В официальном тексте документа, видимо, допущена опечатка: имеется в виду перечисление c) п. 17.2.5.1.2, а не п. 16.2.5.1.2. | |
e) только для основных циклических испытаний и дополнительных циклических испытаний замков коленных узлов: при необходимости указание частоты нагружения менее 3 Гц, которая должна прикладываться к образцу, замененному при повторном испытании в случае отказа при частоте 3 Гц или выше в соответствии с
16.3.2.22 и/или
17.4.5.1.22.
12.3.6 Для испытаний на кручение
Описание средних положений всех регулируемых элементов в соответствии с
17.1.3.2.
12.3.7 Для испытаний голеностопных узлов и узлов стоп
Информация, касающаяся компоновок для испытаний образцов конструкций протезов, включающих голеностопный узел и узлы стоп, указанных в
9.3.
Различные виды испытаний, перечисленные в
таблицах 15 и
16 и указанные в
разделах 16 и
17, требуют применения испытательного оборудования различных видов.
Испытательное оборудование должно обеспечивать достаточную свободу перемещений образца, допускающую и не ограничивающую его деформацию под нагрузкой в заданном диапазоне.
Дополнительным оборудованием являются:
- концевые крепления, требуемые для специальной установки образцов;
- рекомендуемое специальное приспособление, которое может быть использовано для облегчения установки, регулировки и/или измерений длин сегментов и смещений образцов;
- любые устройства, применяемые для измерения нагрузок и размеров.
13.2 Оборудование для основных испытаний, указанных в 16.2 и 16.3
13.2.1 Концевые крепления
13.2.1.1 Общие положения
Для обеспечения условий нагружения I и II при основных испытаниях на прочность установка образца требует применения концевых креплений, состоящих из нагрузочных рычагов и удлинителей.
Концевые крепления не должны увеличивать или уменьшать напряжение, возникающее в конструкции, подвергаемой испытанию, при установленных испытательных нагрузках.
Концевые крепления должны удовлетворять требованиям, установленным в
13.2.1.2.
13.2.1.2 Проверочное испытание концевых креплений
13.2.1.2.1 Испытание должно быть проведено на концевых креплениях, требуемых для обеспечения условий нагружения I и II при основных испытаниях на прочность, указанных в
16.2 и
16.3.
Проверочное испытание концевых креплений можно в принципе применить также к концевым креплениям, требуемым для обеспечения схемы нагружения при дополнительных испытаниях на прочность замков коленных узлов, указанных в
17.4 (см.
13.6.1). В этом случае, соответственно, должны быть выполнены шаги
13.2.1.2.3 -
13.2.1.2.11.
Концевые крепления, удовлетворяющие требованиям жесткости проверочного испытания концевых креплений испытательными силами
Fpa = 1,2
Fsu,upper level на соответствующем уровне нагрузки (см.
таблицы 3,
8 и
D.2), пригодны для всех основных статических и циклических испытаний, предусмотренных настоящим стандартом, проводимых на этом уровне и на всех более низких уровнях нагрузки.
Рекомендация - При намерении использовать различные комплекты концевых креплений, индивидуально разработанных для специальных условий нагружения при основных статических и циклических испытаниях по настоящему стандарту (см.
пример) и/или для проверки определяемых требований к протезным устройствам/конструкциям, представленным на испытания, должно быть проведено проверочное испытание каждого из этих комплектов. В этом случае каждый комплект должен удовлетворять требованиям жесткости проверочного испытания при испытательной силе
Fpa, установленной в
таблице 17 соответствующей наибольшему значению испытательной силы
Fsu,
Fsp или
Fcmax (см.
таблицы 3,
8 и
D.2), подлежащей приложению во время испытания, для которого этот комплект разработан.
Пример - Причиной применения комплекта специальных концевых креплений (облегченного) для циклического испытания может быть снижение воздействия массы универсальных концевых креплений (тяжелых), пригодных для всех испытаний.
Таблица 17
Рекомендация для специальных концевых креплений
Назначение концевых креплений | Испытательная сила |
Для статического испытания на предельную прочность | Fpa = 1,2 Fsu, upper level |
Для статического проверочного испытания | Fpa = 1,2 Fsp |
Для циклического испытания | Fpa = 1,2 Fsp = 2,1 Fcmax <a> |
<a> Значение испытательной силы, прикладываемой к концевым креплениям, предназначенным для циклических испытаний, учитывает, что каждый образец, проходящий циклическое испытание, подвергается заключительному статическому испытанию без предварительной переустановки. Последнее условие может быть с трудом удовлетворено, если испытание требует замены концевых креплений, которая может быть в случае, если установка образца для циклического испытания включает специальные концевые крепления, разработанные только для циклических испытаний. |
Повторное проверочное испытание концевых креплений не проводят, если имеются в наличии и пригодны ранее полученные результаты испытания соответствующих комбинаций концевых креплений.
13.2.1.2.2 Проводят проверочное испытание концевых креплений, состоящих из нагрузочных рычагов и удлинителей, путем измерения жесткости креплений методом, установленным в
13.2.1.2.3 -
13.2.1.2.11.
Собирают элементы, используемые в образце, для обеспечения условий нагружения при основных испытаниях на прочность. Устанавливают нижний и верхний нагрузочные рычаги в одной плоскости с точками приложения нагрузки в одном направлении.
Если используемые удлинители имеют средства регулировки, то они должны быть установлены в наихудшее положение образца при его установке в соответствии с
10.6, т.е. регулировку необходимо выполнить в направлении удаления от линии нагружения с тем, чтобы увеличить действительное плечо рычага.
При необходимости применения дополнительных элементов для обеспечения сборки концевых креплений жесткость этих элементов должна быть не менее жесткости других элементов, собранных в положение для испытания.
Регистрируют особенности сборки концевых креплений.
13.2.1.2.3 В диапазоне регулировки, требуемом для обеспечения соответствующих условий (условия) нагружения и уровня (уровней) нагрузки, устанавливают нижнюю точку приложения нагрузки P
B на нижнем нагрузочном рычаге, а верхнюю точку приложения нагрузки P
T на верхнем нагрузочном рычаге (в том же направлении) на максимальном расстоянии от линии, соответствующей оси
u образца в положении для испытаний.
Если нагрузочные рычаги используют для обеспечения нескольких условий нагружения и/или уровней нагрузки, то диапазон регулировки каждого рычага должен позволять установку точки приложения нагрузки на максимальном расстоянии, требуемом для обеспечения условия нагружения и/или уровня нагрузки с наибольшим значением суммарного смещения в этой точке (см.
6.8.2 и
таблицу 7).
Если, например, нагрузочные рычаги используют для обеспечения условий нагружения I и II при основных испытаниях на прочность на всех заданных уровнях нагрузки, то нижняя точка приложения нагрузки PB должна быть установлена на максимальном расстоянии в пределах диапазона регулировки, требуемом для обеспечения условий нагружения II на уровне нагрузки P5, а верхняя точка приложения нагрузки PT - на максимальном расстоянии в пределах диапазона регулировки, требуемом для обеспечения условий нагружения I на уровне нагрузки P3.
Регистрируют особенности регулировки нижней и верхней точек приложения нагрузки PB и PT.
13.2.1.2.4 Устанавливают сборки в испытательное оборудование или соответствующее устройство.
Регистрируют условие нагружения и уровень нагрузки, подлежащие применению, и соответствующие значения испытательных сил.
13.2.1.2.5 Прикладывают к нижней и верхней точкам приложения нагрузки сборки опрессовочную силу
Fset, значение которой при соответствующих условии нагружения и уровне нагрузки установлено в
таблицах 4 или
D.1.
Удерживают эту силу Fset при заданном значении в течение (30 +/- 3) с, а затем снимают ее.
13.2.1.2.6 Прикладывают к нижней и верхней точкам приложения нагрузки сборки стабилизирующую силу
Fstab, значение которой установлено в
таблицах 4 или
D.1, и удерживают ее до окончания измерения, указанного ниже.
Измеряют и регистрируют расстояние
LBT (см.
6.8.4) как
L1 или перемещение

точки приложения нагрузки из исходного положения в испытательном оборудовании как

.
13.2.1.2.7 Плавно увеличивают испытательную силу
F со скоростью от 100 до 250 Н/с до достижения проверочной силы
Fpa, значение которой при соответствующих условии нагружения и уровне нагрузки, указанном в
таблицах 4, или
D.1, и удерживают ее до окончания измерения, указанного ниже.
Измеряют и регистрируют расстояние
LBT как
L2 или перемещение

точки приложения нагрузки из исходного положения в испытательном оборудовании, как

.
13.2.1.2.8 Уменьшают испытательную силу
F до
Fstab и удерживают ее до окончания измерения, указанного ниже.
Измеряют и регистрируют расстояние
LBT как
L3 или перемещение

точки приложения нагрузки из исходного положения в испытательном оборудовании, как

.
13.2.1.2.9 Вычисляют и регистрируют значение прогиба
D1 при
Fpa и остаточной деформации
D2 при
Fstab по формулам:
D1 =
L1 -
L2 или

; (3)
D2 =
L1 -
L3 или

. (4)
13.2.1.2.10 Не используют концевое крепление, если вычисленные значения превышают следующие предельные значения:
- максимальный прогиб при Fpa | D1 = 2 мм; |
- максимальная остаточная деформация при Fstab | D2 = 1 мм. |
13.2.1.2.11 Регистрируют результаты испытания.
13.2.2 Приспособление (рекомендуемое)
Приспособление может быть использовано для облегчения установки, регулировки и/или измерения длин сегментов и смещений образцов при основных испытаниях на прочность и дополнительных испытаниях на прочность замков коленных узлов. Оно должно позволять прикладывать стабилизирующую испытательную силу Fstab.
13.2.3 Испытательное оборудование
13.2.3.1 Испытательное оборудование для статического нагружения на сжатие (машиной для испытания на сжатие или другим оборудованием)
Испытательное оборудование должно производить статические испытательные силы со скоростью нагружения от 100 до 250 Н/с (см.
примечание) до достижения значений, установленных в
таблицах 4 или
D.1 и
таблицах 8 или
D.2 для соответствующих вида испытания, условия нагружения и уровня нагрузки, прикладываемые по схемам нагружения, показанным на
рисунках A.1 и
A.2, при смещениях, установленных в
таблицах 6 и
7.
Примечание - Для альтернативного основного статического испытания на предельную прочность в соответствии с
приложением C считаются приемлемыми повышенные скорости нагружения от 1 до 5 кН/с.
13.2.3.2 Испытательное оборудование для циклического нагружения на сжатие (машиной для испытания на сжатие или другим оборудованием)
13.2.3.2.1 Испытательное оборудование должно создавать циклические испытательные силы, значения которых установлены в
таблицах 8 или
D.2 для соответствующих условия нагружения и уровня нагрузки, прикладываемые по схемам нагружения, показанным на
рисунках A.1 и
A.2, при комбинациях длин сегментов испытываемых образцов и смещениях, значения которых установлены в
таблицах 5 и
6.
13.2.3.2.2 Испытательное оборудование должно создавать циклическую силу
Fc(
t), как показано на
рисунке 9.
13.2.3.2.3 Форма волны циклической испытательной силы
Fc(
t), генерируемой испытательным оборудованием, должна быть синусоидальной (см.
рисунок 9). Если установлено, что синусоидальная форма невозможна, то форма волны циклической испытательной силы
Fc(
t) должна быть плавной, без завышенных пиков и характеризоваться кривой, соответствующей описанию, приведенному в
13.2.3.2.5.
13.2.3.2.4 Испытательная сила
Fc(
t), соответствующая
13.2.3.2.2,
13.2.3.2.3 и
рисунку 9, должна быть описана/установлена посредством соответствующего выбора следующих элементов/параметров:
- минимальная испытательная сила Fcmin;
- диапазон циклической испытательной силы (циклический диапазон) Fcr;
- максимальная испытательная сила Fcmax;
- средняя испытательная сила Fcmean;
- амплитуда циклической испытательной силы (циклическая амплитуда) Fca.
X - время; Fcr - циклический диапазон испытательной силы;
Y - испытательная сила; Fca - циклическая амплитуда
испытательной силы; Fcmax - максимальная испытательная сила;
Fcmean - средняя испытательная сила; Fcmin - минимальная
испытательная сила
Рисунок 9 - Параметры нагружения при основном циклическом
испытании
13.2.3.2.5 Для получения испытательных сил, значения которых указаны в
таблице 8, и выполнения некоторых требований
16.3.2 испытательная сила
Fc(
t) должна быть описана как единственная циклическая сила, изменяющаяся в диапазоне
Fcr от минимальной испытательной силы
Fcmin до достижения максимальной испытательной силы
Fcmax, где:
Fcmax = Fcmin + Fcr. (5)
13.2.3.2.6 В целях настройки или программирования испытательного оборудования для создания циклической испытательной силы Fc(t) в виде синусоидальной волны обычно требуется введение средних значений испытательной силы Fcmean и значений циклической амплитуды Fca, при этом испытательная сила Fc(t) должна быть описана функциональной зависимостью
при Fcmean = 0,5(Fcmin + Fcmax) и Fca = 0,5Fcr, (6)
где

описывает синусоидальную волну с частотой

, Гц.
13.2.3.2.7 Испытательное оборудование должно отключаться, если циклическая испытательная сила
Fc(
t) превышает допуски, установленные в
14.3 f) и
g), за исключением допусков, установленных в
13.2.3.2.8.
13.2.3.2.8 Если механизму управления испытательным оборудованием, используемому для получения циклической испытательной силы
Fc(
t), требуется несколько циклов для достижения формы волны, соответствующей
13.2.3.2.3, то в течение этого периода форма волны испытательной силы должна быть плавной, без завышенных пиков, а наибольшее значение прикладываемой силы не должно превышать максимальное значение испытательной силы
Fcmax более чем на 10%.
Примечание - Опыт показывает, что повторное нагружение при значениях, превышающих максимальное значение испытательной силы Fcmax более чем на 10%, может вызвать преждевременное повреждение образца.
13.2.3.2.9 Испытательное оборудование должно отключаться, если в процессе его работы при назначенной нагрузке с заданной формой волны расстояние
LBT (6.8.4) между нижней и верхней точками приложения нагрузки P
B и P
T при
Fcmax или перемещение

движущейся точки приложения нагрузки из исходного положения в испытательном оборудовании при
Fcmax изменяется более чем на 5 мм от своего значения при
Fcmax, измеренного и зарегистрированного в первоначальном или предшествующем случае включения (
16.3.2.10,
16.3.2.12).
13.3 Оборудование для дополнительного статического испытания на кручение, указанного в 17.1
13.3.1 Испытательное оборудование
13.3.1.1 Испытательное оборудование для статического нагружения на кручение
Испытательное оборудование должно производить крутящий момент в переднем и обратном направлении при скорости нагружения, не превышающей 4 Н·м/с, до значения, установленного в
таблице 9.
13.3.1.2 Измерительное устройство
Устройство должно обеспечивать измерение угловых положений идентифицированных элементов относительно оси приложения крутящего момента.
13.4 Оборудование для дополнительных испытаний голеностопных узлов и узлов стоп, указанных в 17.2
13.4.1 Испытательное оборудование
13.4.1.1 Испытательное оборудование для статического нагружения пятки и носка
13.4.1.1.1 Испытательное оборудование должно производить статические испытательные силы со скоростью нагружения от 100 до 250 Н/с (см.
примечание) до достижения значений, установленных в
таблицах 11 или
D.3 для соответствующих вида испытания, условия нагружения и уровня нагрузки, прикладываемые в направлениях нагружения, как показано на
рисунке 7, определенных углами

и

, установленными в
таблице 10.
Примечание - Для альтернативного статического испытания на предельную прочность в соответствии с
приложением C считаются приемлемыми повышенные скорости нагружения от 1 до 5 кН/с.
13.4.1.1.2 Статические испытательные силы должны передаваться пятке и носку с помощью платформы нагружения (платформ нагружения), которая может быть отрегулирована перпендикулярно направлению нагружения, определяемому углом

для нагружения пятки, и перпендикулярно направлению нагружения, определяемому углом

для нагружения носка.
Платформа (платформы) нагружения должна иметь встроенные средства, которые минимизируют передачу поперечных сил (см.
рисунок 7).
13.4.1.1.3 Платформа (платформы) нагружения испытательного оборудования должна иметь длину, достаточную для того, чтобы обеспечить одновременный контакт пятки и носка на одной и той же платформе.
13.4.1.1.4 Испытательное оборудование с двумя приводами должно обеспечить размещение:
a) платформы нагружения пятки так, чтобы она поддерживала носок, если нагружение пятки деформирует образец до такой степени растяжения, при которой поддержка носка необходима во избежание нереальных условий нагружения;
b) платформы нагружения носка так, чтобы она поддерживала пятку, если нагружение носка деформирует образец до такой степени растяжения, при которой поддержка пятки необходима во избежание нереальных условий нагружения.
13.4.1.1.5 Как следствие
13.4.1.1.4, испытательное оборудование с двумя приводами должно обеспечить:
a) чтобы во время испытания при нагружении пятки носок не контактировал с платформой нагружения носка;
b) во время испытания при нагружении носка пятка не контактировала с платформой нагружения пятки.
13.4.1.2 Испытательное оборудование для циклического нагружения пятки и носка
13.4.1.2.1 Испытательное оборудование должно производить циклические испытательные силы значения, которых установлены в
таблицах 11 или
D.3 для соответствующих вида испытания, условия нагружения и уровня нагрузки, прикладываемые в направлениях нагружения, как показано на
рисунке 7, определенных углами

и

, указанными в
таблице 10.
13.4.1.2.2 Циклические испытательные силы должны передаваться пятке и носку с помощью платформы нагружения (платформ нагружения), которая может быть отрегулирована перпендикулярно направлению нагружения, определяемому углом

для нагружения пятки, и перпендикулярно направлению нагружения, определяемому углом

для нагружения носка.
Платформа (платформы) нагружения должна иметь встроенные средства, которые минимизируют передачу поперечных сил (см.
рисунок 7).
13.4.1.2.3 Испытательное оборудование должно создавать две циклические испытательные силы
F1c(
t) и
F2c(
t), как показано на
рисунке 10.
X - время; Y - испытательная сила; 1 - нагрузка пятки;
2 - нагрузка носка
Примечание - Исходная информация о различных профилях нагружения, показанных в
a -
d, приведена в
приложении F.
Рисунок 10 - Параметры нагружения при дополнительном
циклическом испытании голеностопных узлов и узлов стоп
13.4.1.2.4 Форма волны циклических испытательных сил
F1c(
t) и
F2c(
t), создаваемых испытательным оборудованием, должна быть синусоидальной (см.
рисунок 10a -
c). Если установлено, что синусоидальная форма невозможна, то форма волны циклических испытательных сил
F1c(
t) и
F2c(
t) должна быть плавной, без завышенных пиков и характеризоваться кривой, соответствующей описанию, приведенному в
13.4.1.2.6.
13.4.1.2.5 Испытательные силы
F1c(
t) и
F2c(
t), соответствующие
13.4.1.2.3,
13.4.1.2.4 и
рисунку 10a -
c, должны быть описаны/установлены посредством соответствующего выбора следующих элементов/параметров:
- минимальные испытательные силы F1cmin, F2cmin;
- диапазоны циклических испытательных сил (циклические диапазоны) F1cr, F2cr;
- максимальные испытательные силы F1cmax, F2cmax;
- средние испытательные силы F1cmean, F2cmean;
- амплитуды циклических испытательных сил (циклические амплитуды) F1ca, F2ca
13.4.1.2.6 Для получения испытательных сил, значения которых указаны в
таблице 11, и выполнения некоторых требований
17.2.5.1 испытательные силы
F1c(
t) и
F2c(
t) должны быть описаны как единственные циклические силы, изменяющиеся в диапазонах
F1cr и
F2cr от минимальных испытательных сил
F1cmin и
F2cmin до достижения максимальных испытательных сил
F1cmax и
F2cmax, где:
F1cmax = F1cmin + F1cr; (7)
F2cmax = F2cmin + F2cr. (8)
13.4.1.2.7 В целях настройки или программирования испытательного оборудования для создания циклических испытательных сил F1c(t) и F2c(t) в виде синусоидальных волн или их участков обычно требуется введение средних значений испытательных сил F1cmean и F2cmean и значений циклических амплитуд F1ca и F2ca, при этом испытательные силы F1c(t) и F2c(t) должны быть описаны функциональными зависимостями:
при F1cmean = 0,5(F1cmin + F1cmax) и F1ca = 0,5F1cr, (9)
при F2cmean = 0,5(F2cmin + F2cmax) и F2ca = 0,5F2cr, (10)
где

описывает синусоидальную волну с частотой

, а

показывает, что
F2c(
t) создается со сдвигом фазы, который соответствует половине периода синусоидальной волны при
n = 1 (
рисунки 10a,
c) и полному периоду синусоидальной волны при
n = 2
(рисунок 10b).
13.4.1.2.8 Испытательное оборудование должно отключаться, если циклические испытательные силы
F1c(
t) и
F2c(
t) превышают допуски, установленные в
14.3, перечисления f) и
g), за исключением допусков, установленных в
13.4.1.2.9.
13.4.1.2.9 Если механизму управления испытательным оборудованием, используемым для образования циклических испытательных сил
F1c(
t) и
F2c(
t), требуется несколько циклов для достижения формы волны, соответствующей
13.4.1.2.4, то в течение этого периода форма волны должна быть плавной, без завышенных пиков, а наибольшее значение силы, прикладываемой к пятке или носку, не должно превышать максимальное значение испытательной силы
F1cmax или
F2cmax более чем на 10%.
Примечание - Опыт показывает, что повторное нагружение при значениях, превышающих максимальное значение испытательной силы F1cmax или F2cmax более чем на 10% может вызывать преждевременное повреждение образца.
13.5 Оборудование для дополнительного статического испытания на предельную прочность при максимальном сгибании коленных узлов и смежных с ними элементов, указанного в 17.3
Для проведения дополнительного статического испытания на предельную прочность при максимальном сгибании коленных узлов и смежных с ними элементов все образцы должны иметь удлинители, прикрепленные выше и ниже коленного узла, для представления в целом или частично сегмента бедра и голени.
Постериорная форма удлинителей должна иметь по возможности наименьшие размеры в соответствии с инструкциями изготовителя для того, чтобы образец достигал наибольшего возможного значения сгибания коленного узла, имеющего место в серийном протезе (см.
10.6.4).
Жесткость удлинителей должна быть не менее жесткости сегмента бедра и голени серийного протеза, который они представляют в целом или частично.
13.5.2 Испытательное оборудование для статического нагружения на сжатие (машина для испытания на сжатие или другое оборудование)
Испытательное оборудование должно производить статические испытательные силы со скоростью нагружения в интервале 100 - 250 Н/с до значения, указанного в
таблице 12, прикладываемые по схеме нагружения, указанной в
таблице 12 и показанной на
рисунке 8.
13.6 Оборудование для дополнительных испытаний замков коленных узлов, указанных в 17.4
13.6.1 Концевые крепления
Для обеспечения условия нагружения при дополнительных испытаниях на прочность замков коленных узлов установка образца требует применения концевых креплений, состоящих из нагрузочных рычагов и удлинителей.
Концевые крепления не должны увеличивать или уменьшать напряжение, возникающее в конструкции, подвергаемой испытанию при установленных испытательных нагрузках.
Концевые крепления должны удовлетворять требованиям, установленным в
13.2.1.2.
13.6.2 Приспособление (рекомендуемое)
13.6.3 Испытательное оборудование
13.6.3.1 Испытательное оборудование для статического нагружения на сжатие (машина для испытания на сжатие или другое оборудование)
Испытательное оборудование должно производить статические испытательные силы со скоростью нагружения в интервале 100 - 250 Н/с до достижения значений, указанных в
таблицах 4 и
14 для соответствующего вида испытания, при комбинациях длин сегментов испытываемых образцов и смещениях, значения которых указаны в
таблицах 5 и
13.
| | ИС МЕГАНОРМ: примечание. Нумерация пунктов дана в соответствии с официальным текстом документа. | |
13.6.3.2.1 Испытательное оборудование для циклического нагружения на сжатие (машина для испытания на сжатие или другое оборудование)
Испытательное оборудование должно производить циклические испытательные силы, значения которых установлены в
таблице 14 для соответствующего вида испытания, при комбинациях длин сегментов испытываемых образцов и смещениях, значения которых установлены в
таблицах 5 и
13.
13.6.3.2.2 Циклические испытательные силы должны удовлетворять требованиям
13.2.3.2.2 -
13.2.3.2.9 с учетом следующих изменений:
a) испытательная сила
Fc(
t), заданная в
13.2.3.2.5, должна соответствовать значениям, установленным в
таблице 14, и некоторым требованиям
17.4.5.1;
| | ИС МЕГАНОРМ: примечание. В официальном тексте документа, видимо, допущена опечатка: имеется в виду п. 17.4.5.1.13, а не 17.4.5.13. | |
b) предел изменения расстояния
LBT (6.8.4) между нижней и верхней точками приложения нагрузки P
B и P
T при
Fcmax или перемещения

движущейся точки приложения нагрузки из исходного положения в испытательном оборудовании при
Fcmax, указанный в требовании об отключении
13.2.3.2.9, следует измерять и регистрировать в первоначальном или предшествующем случае включения в соответствии с
17.4.5.1.11,
17.4.5.13.
Методы, используемые для определения погрешности измерения, должны быть зарегистрированы и подробно описаны.
Испытательное оборудование, все приспособления и устройства, используемые для установки и/или измерения нагрузок и размеров, должны калиброваться, как минимум, ежегодно и при любой замене какого-либо элемента. Записи о калибровке должны храниться.
14.2 Точность оборудования
Для обеспечения измерений с погрешностью, установленной в
14.3, испытательное оборудование, все приспособления и устройства, используемые для регулировки образцов и измерения нагрузок и размеров, должны обладать следующей точностью при измерениях:
a) линейных размеров с точностью +/- 0,2 мм;
b) угловых размеров с точностью +/- 0,2°;
c) испытательных сил и моментов с точностью +/- 1% от наибольшего значения, требуемого при испытании;
d) частоты нагружения при циклических испытаниях с точностью +/- 1% от значения примененной частоты нагружения.
14.3 Погрешность измерения:
a) линейных размеров, за исключением длин сегментов, - не более +/- 1 мм;
b) длин сегментов - не более +/- 2 мм;
c) угловых размеров, за исключением углового положения "носком наружу" стоп протезов, - не более +/- 1%;
d) углового положения "носком наружу" стоп протезов - не более +/- 3°;
e) статических испытательных сил и моментов - не более +/- 2% от наибольшего значения, назначенного для испытания.
Примечание - Приемлемая и достаточная точность выявлена при использовании груза массой 5 кг для получения стабилизирующей испытательной силы Fstab в любом приспособлении, применяемом для регулировки и/или измерения смещений при Fstab в вертикальном положении образца;
f) циклическая испытательная сила должна быть приложена таким образом, чтобы погрешность измерения
Fcmin составляла не более +/- 25 Н, а
Fcmax - не более +/- 3% от значения, назначенного для
Fcmax;
g) частоты нагружения при циклических испытаниях - не более +/- 10% от значения примененной частоты нагружения;
h) расстояния
LBT между точками приложения нагрузки или перемещения

движущейся точки приложения нагрузки - не более +/- 1 мм.
15.1 Основные положения
Методы испытаний, установленные настоящим международным стандартом, применяют при статических и циклических испытаниях на прочность, при которых сложные нагружения обычно воспроизводят посредством приложения единственной испытательной силы.
Статические испытания имитируют наибольшие нагрузки, возникающие при какой-либо деятельности. Циклические испытания соответствуют нормальной ходьбе, при которой нагрузки регулярно возникают при каждом шаге.
15.2 Статические испытания
Статические испытания (например,
16.2) состоят из проверочных испытаний
(16.2.1) и испытаний на предельную прочность
(16.2.2). Эти испытания проводят для определения характеристик несущих конструкций в условиях типового жесткого нагружения, которые в редких единичных случаях могут иметь место при эксплуатации.
15.3 Циклические испытания
Циклические испытания (например,
16.3) представляют собой приложение к образцу повторяющейся заданной нагрузки, имитирующей условия, типичные для нормальной ходьбы, за которыми следует заключительное статическое испытание
(16.3.1.3), при котором применяют нагружение и разгружение соответствующего статического проверочного испытания
(16.2.1).
16 Основные испытания на прочность
16.1 Требования к нагружению
16.1.1 Подготовка к нагружению
Подготовку к нагружению осуществляют следующим образом:
a) образец собирают до фиксированной длины с использованием концевых креплений, состоящих из требуемых удлинителей и нагрузочных рычагов (см.
10.2,
10.3 и
таблицу 5);
b) для установления положения линии приложения испытательной силы, описанной в
7.1.2, образец устанавливают в испытательное оборудование с нижним и верхним нагрузочными рычагами, обеспечивающими сочетания смещений вперед/назад и наружу/внутрь (см.
10.5 и
таблицу 6).
Рисунок 11 иллюстрирует нагружение левостороннего образца, а на
рисунке 12 приведены обозначения смещений на высоте
u =
ux и формулы для вычисления смещений.
Примечание 1 - Подготовку нагружения, описанного в
перечислениях a) и
b), проводят также для дополнительных испытаний замков коленных узлов (см.
17.4).
Примечание 2 - Для некоторых конструкций протезов невозможно установить образец в соответствии с этими требованиями. Тогда в определенных случаях могут быть применены специальные схемы испытаний образцов (см. также
10.2.3).
a - вид сбоку
b - вид сверху
1 - линия нагружения
Рисунок 11 - Иллюстрация нагружения при основном испытании
коленного узла с креплениями для левостороннего образца
1 - верхняя базовая плоскость, T; 2 - коленная базовая
плоскость, K; 3 - плоскость на любой высоте u = ux;
4 - голеностопная базовая плоскость, A; 5 - нижняя
базовая плоскость, B

, (11)

. (12)
Рисунок 12 - Обозначение смещений на высоте
u =
ux
и формулы для их вычисления (см.
16.1.1)
16.1.2 Применение нагружения
Повторные регулировки нагрузочных рычагов не должны проводиться, если смещения в коленном или голеностопном узлах при отклонении образца достигают значений, соответствующих этим условиям нагружения.
Примечание - Второе требование применяют также к удлинителям при дополнительном статическом испытании на предельную прочность при максимальном сгибании коленных узлов и смежных с ними элементов (см.
17.3) и к удлинителям при дополнительных испытаниях замков коленных узлов (см.
17.4).
16.2 Основные статические испытания
16.2.1 Основное статическое проверочное испытание
16.2.1.1.1 В соответствии с требованиями сопроводительного документа на испытания [(см.
12.3.5, перечисление d)], или соглашением между изготовителем/поставщиком и испытательной лабораторией/центром основное статическое проверочное испытание может быть заменено заключительным статическим испытанием, применяемым к образцу, который завершил основное циклическое испытание без разрушения (см.
16.3.1.3 и
16.3.2.17). Для этого необходимо провести заключительное статическое испытание методом, установленным в
16.2.1.1.6 -
16.2.1.1.9.
Основное статическое проверочное испытание также может быть проведено как часть альтернативного статического испытания на предельную прочность, установленного в приложении C [см. также
16.2.2.1,
разделы C.1 и
C.2 c)].
Установка, регулировка и/или измерение длин сегментов и/или смещений [см.
16.2.1.1.2,
16.2.1.1.5 и
16.2.1.1.8, перечисление b)] должны быть проведены на образце, установленном или в испытательное оборудование, или в специальное приспособление, обеспечивающее приложение стабилизирующей силы
Fstab (см.
13.2.2).
Примечание - Блок-схема этого испытания приведена на
рисунке 13.
Рисунок 13 - Блок-схема основного статического
проверочного испытания, установленного в
16.2.1.1
Если для данного испытания согласно
9.5.1 используют образец, который завершил основное циклическое испытание (включая заключительное статическое испытание) без разрушения, то его повторно устанавливают в соответствии с
разделами 10 и
11,
12.2.1 и
16.1.1 и
таблицами 5 и
6 (см. также
16.2.1.1.12). Регистрируют повторное применение образца.
Регистрируют условие нагружения и уровень нагрузки, подлежащие применению, и соответствующие значения смещений и испытательных сил. Делают специальную запись, если подлежат применению дополнительные уровни нагрузки P6, P7 и P8, установленные в
приложении D.
При нулевой нагрузке устанавливают (или проверяют и при необходимости корректируют) длины сегментов образца (
uA -
uB,
uK -
uA и
uT -
uK или любую другую конкретную комбинацию) (см.
10.3.6) в соответствии со значениями, установленными в
таблице 5.
Регистрируют комбинацию и значения установленных длин сегментов.
При нулевой нагрузке первоначально устанавливают (или проверяют и при необходимости корректируют) нижний и верхний нагрузочные рычаги до получения значений смещений голеностопного и коленного узлов (
fA,
fK,
oA и
oK) (см.
6.8.1), указанных в
таблице 6 при соответствующих условии нагружения и уровне нагрузки.
Регистрируют первоначальные значения установленных смещений.
Если установку длин сегментов и смещений при нулевой нагрузке выполняют на образце, помещенном в специальное приспособление, то перед проведением работ в соответствии с
16.2.1.1.3 образец из приспособления перемещают в испытательное оборудование.
Регистрируют, применялось ли специальное приспособление.
16.2.1.1.3 Прикладывают к образцу опрессовочную испытательную силу
Fset, значения которой при соответствующих условии нагружения и уровне нагрузки установлены в
таблицах 8 или
D.2.
Удерживают силу Fset при заданном значении не менее 10 и не более 30 с, а затем снимают ее. Регистрируют затраченное время.
Дают образцу выдержку при нулевой нагрузке не менее 10 и не более 20 мин до проведения работ в соответствии с
16.2.1.1.4. Регистрируют время выдержки.
16.2.1.1.4 Прикладывают к образцу и удерживают во время проведения регулировок согласно
16.2.1.1.5, измерений и регистрации согласно
16.2.1.1.6 стабилизирующую испытательную силу
Fstab, значение которой установлено в
таблицах 8, или
D.2.
Если регулировки согласно
16.2.1.1.5 выполняют на образце, помещенном в специальное приспособление, то после завершения работ согласно
16.2.1.1.3 образец перемещают из испытательного оборудования в приспособление и стабилизирующую силу
Fstab прикладывают с помощью приспособления. Затем силу
Fstab снимают и повторно прикладывают ее с помощью испытательного оборудования после перемещения образца из приспособления в испытательное оборудование перед проведением работ согласно
16.2.1.1.6.
Регистрируют, применялось ли специальное приспособление.
16.2.1.1.5 Окончательно регулируют нижний и верхний нагрузочные рычаги до получения значений смещений голеностопного и коленного узлов (
fA,
fK,
oA и
oK), установленных в
таблице 6 при соответствующих условии нагружения и уровне нагрузки, при стабилизирующей испытательной силе
Fstab.
Регистрируют окончательные значения установленных смещений.
16.2.1.1.6 Выполняют следующее:
a) измеряют и регистрируют расстояние
LBT (см.
6.8.4) как
L4 или перемещение

движущейся точки приложения нагрузки из своего исходного положения в испытательном оборудовании как

;
b) по требованию изготовителя/поставщика измеряют и регистрируют действительные плечи рычагов
LA и
LK (см.
6.8.3).
Обратите внимание на то, что полученные данные не имеют отношения к оценочным требованиям
16.2.1.2, хотя могут предоставлять интересную и полезную информацию в сочетании с данными, полученными на основе
16.2.1.1.8, перечисление b), особенно о деформации образца под нагрузкой. По этой причине измерения и регистрации выполняют только по требованию изготовителя/поставщика.
16.2.1.1.7 Плавно, со скоростью в интервале от 100 до 250 Н/с увеличивают испытательную силу
F до проверочной испытательной силы
Fsp, значение которой при соответствующих условии нагружения и уровне нагрузки установлено в
таблицах 8 или
D.2.
Удерживают силу Fsp при заданном значении в течение (30 +/- 3) с.
Уменьшают испытательную силу F до Fstab.
Если образец выдерживает статическое нагружение
Fsp в течение заданного времени, то регистрируют этот факт и продолжают испытание по
16.2.1.1.8.
Если образец не выдерживает статическое нагружение
Fsp в течение заданного времени и разрушается, то регистрируют этот факт и наибольшее достигнутое значение испытательной силы или время, в течение которого удерживалось заданное значение проверочной испытательной силы
Fsp, и затем прекращают испытание (см.
16.2.1.1.12).
16.2.1.1.8 Удерживают (или, если используют специальное приспособление, прикладывают и удерживают) стабилизирующую испытательную силу
Fstab до завершения измерений и регистраций по
перечислению a) [и
перечислению b)] следующим образом:
a) измеряют и регистрируют расстояние
LBT как
L5 или перемещение

движущейся точки приложения нагрузки из своего исходного положения в испытательном оборудовании как

. Завершают измерение в течение 5 мин (см.
примечание);
b) по требованию изготовителя/поставщика измеряют и регистрируют смещения
fA,
fK,
oA и o
K и/или действительные плечи рычагов
LA и
LK. Завершают измерения в течение 15 мин (см.
примечание).
Обратите внимание на то, что полученные данные не имеют отношения к оценочным требованиям
16.2.1.2, хотя могут предоставлять интересную и полезную информацию в сочетании с данными, полученными в соответствии с
16.2.1.1.6, перечисление b), особенно о деформации образца под нагрузкой. По этой причине измерения и регистрации выполняют только по требованию изготовителя/поставщика.
Если измерения по
перечислению b) выполняют на образце, помещенном в специальное приспособление, то снимают стабилизирующую силу
Fstab и повторно прикладывают ее после перемещения образца из испытательного оборудования в приспособление после завершения работ по
перечислению a).
После уменьшения испытательной силы с
F до
Fstab (16.2.1.1.7) отмечают и регистрируют время, в течение которого проводилось каждое из измерений по
перечислениям a) и
b).
Регистрируют, применялось ли специальное приспособление.
Примечание - Ограничения по времени устанавливают для того, чтобы ограничить воздействие возврата на остаточную деформацию
(16.2.1.1.9), смещения голеностопного и коленного узлов и действительных плеч рычагов. Различные значения ограничения времени, приведенные для измерений по
перечислениям a) и
b), учитывают разное время, требуемое для измерения и регистрации.
16.2.1.1.9 Вычисляют и регистрируют остаточную деформацию
D3 между нижней и верхней точками приложения нагрузки:
D3 =
L4 -
L5 или

. (13)
| | ИС МЕГАНОРМ: примечание. В официальном тексте документа, видимо, допущена опечатка: имеется в виду п. 16.2.1.1.9, а не 16.2.1.9. | |
16.2.1.1.10 Основываясь на оценочных требованиях согласно
16.2.1.2, принимают решение и регистрируют, прошел ли образец испытание, установленное в
16.2.1.1.2 -
16.2.1.1.9, или разрушился, при этом проверяя результаты, полученные на этапах
16.2.1.1.7 и
16.2.1.9.
16.2.1.1.11 Если образец разрушается, не выполнив любого из оценочных требований
16.2.1.2, то инспектируют его для выявления характера и (по возможности) места повреждения и регистрируют результаты.
16.2.1.1.12 Если образец, который уже завершил без разрушения основное циклическое испытание (см.
16.2.1.1.2), разрушается до удовлетворения любого из оценочных требований
16.2.1.2, то проводят повторное испытание на замененном образце и регистрируют отказ образца и повторное испытание, включая все требуемые специальные записи.
16.2.1.2 Оценочные требования
Для того, чтобы пройти основное статическое проверочное испытание, образец должен удовлетворять следующим оценочным требованиям:
a) образец должен выдержать статическое нагружение проверочной испытательной силой
Fsp при заданном значении в течение (30 +/- 3) с;
b) значение остаточной деформации
D3 образца не должно превышать:
- 5 мм при общей длине образца (uT - uB)specified = 650 мм, или
- 5 мм, умноженных на отношение [(
uT -
uB)
actual/(
uT -
uB)
specified], при значениях общей длины образца, превышающих 650 мм (см.
сноску <b>) таблицы 5).
Если какой-либо отдельный элемент протеза разрушается до выполнения любого из требований, установленных в
перечислениях a) и
b), то этот отказ относится только к данной протезной сборке и центрированию, воспроизводящих условия установки испытываемого образца.
16.2.1.3 Условия соответствия
Для подтверждения соответствия протезного устройства/конструкции, представленного на испытание согласно
9.1 -
9.4, оценочным требованиям основного статического проверочного испытания по
16.2.1.2 настоящего стандарта при установленном уровне нагрузки, испытания данного вида должны быть проведены (в значении
16.2.1.2) для каждого из условий нагружения I и II на двух образцах из назначенной группы, включая замененный образец, допущенный
16.2.1.1.12 (см.
9.4 и
таблицу 16).
Соответствие требованиям основного статического проверочного испытания можно также считать подтвержденным, если заключительное статическое испытание (
16.3.1.3,
16.3.2.17) как часть основного циклического испытания
(16.3) проводят методом, установленным в
16.2.1.1.6 -
16.2.1.1.9 (см. также
16.3.3 и
16.3.4).
16.2.2 Основное статическое испытание на предельную прочность
16.2.2.1.1 Установка и/или регулировка длин сегментов и/или смещений (см.
16.2.2.1.2 и
16.2.2.1.5) должны быть выполнены на образце, установленном или в испытательное оборудование, или в специальное приспособление, обеспечивающее приложение стабилизирующей испытательной силы
Fstab (см.
13.2.2).
Для образцов протезов нижних конечностей со свойствами материалов и/или особенностями конструкции, из-за которых они становятся неспособными выдерживать требуемую предельную испытательную силу со скоростью нагружения от 100 до 250 Н/с, установленную в
16.2.2.1.6, в
приложении C приведены указания по применению альтернативного статического испытания на предельную прочность с применением повышенной скорости нагружения.
Повышенная скорость нагружения должна быть или установлена в сопроводительном документе на испытания [см.
12.3.4, перечисление b)] изготовителем/поставщиком образца, или согласована между изготовителем/поставщиком и испытательной лабораторией/центром (см. также
16.2.2.1.6), и может быть применена для первоначального образца или для замененного образца, если первоначальный образец разрушился при скорости нагружения от 100 до 250 Н/с (см.
16.2.2.1.10).
Примечание - Блок-схема данного испытания приведена на
рисунке 14.
Рисунок 14 - Блок-схема основного статического испытания
на предельную прочность, установленного в
16.2.2.1
Если для данного испытания согласно
9.5.1 используют образец, который завершил основное статическое проверочное испытание без разрушения, то его повторно устанавливают в соответствии с
разделами 10 и
11,
12.2.1 и
16.1.1 и
таблицами 5 и
6 (см. также
16.2.2.1.9). Регистрируют повторное использование образца.
Если для данного испытания согласно
9.5.1 используют образец, который завершил основное циклическое испытание (включая заключительное статическое испытание) без разрушения, то его повторно устанавливают в соответствии с
разделами 10 и
11,
12.2.1 и
16.1.1 и
таблицами 5 и
6 (см. также
16.2.2.1.9). Регистрируют повторное использование образца.
Регистрируют условие нагружения и уровень нагрузки, подлежащие применению, и соответствующие значения смещений и испытательных сил. Делают специальную запись, если подлежат применению дополнительные уровни нагрузки P6, P7 или P8, установленные в
приложении D.
При нулевой нагрузке устанавливают (или проверяют и при необходимости корректируют) длины сегментов образца (
uA -
uB,
uK -
uA и
uT -
uK или любую другую конкретную комбинацию) (см.
10.3.6) в соответствии с значениями, установленными в
таблице 5.
Регистрируют комбинацию и значения установленных длин сегментов.
При нулевой нагрузке первоначально устанавливают (или проверяют и при необходимости корректируют) нижний и верхний нагрузочные рычаги до получения значений смещений голеностопного и коленного узлов (
fA,
fK,
oA и
oK) (см.
6.8.1), установленных в
таблице 6 при соответствующих условии нагружения и уровне нагрузки.
Регистрируют первоначальные значения установленных смещений.
Если установку длин сегментов и смещений при нулевой нагрузке выполняют на образце, помещенном в специальное приспособление, то перемещают образец из приспособления в испытательное оборудование перед проведением работ по
16.2.2.1.3.
Регистрируют, применялось ли специальное приспособление.
16.2.2.1.3 Прикладывают к образцу опрессовочную испытательную силу
Fset, значение которой при соответствующих условии нагружения и уровне нагрузки, установлены в
таблице 8 или
разделе D.2.
Удерживают эту силу Fset при заданном значении не менее 10 и не более 30 с, а затем снимают ее. Регистрируют затраченное время.
Дают образцу выдержку при нулевой нагрузке не менее 10 и не более 20 мин перед проведением работ по
16.2.2.1.4. Регистрируют время выдержки.
16.2.2.1.4 Прикладывают к образцу и удерживают во время проведения регулировок по
16.2.2.1.5 стабилизирующую испытательную силу
Fstab, значение которой установлено в
таблицах 8 или
D.2.
Если регулировки по
16.2.2.1.5 выполняют на образце, помещенном в специальное приспособление, то после завершения работ по
16.2.2.1.3 образец перемещают из испытательного оборудования в приспособление и прикладывают стабилизирующую силу
Fstab с помощью приспособления. Затем снимают силу
Fstab и повторно прикладывают ее с помощью испытательного оборудования после перемещения образца из приспособления в испытательное оборудование перед проведением работ по
16.2.2.1.6.
Регистрируют, применялось ли специальное приспособление.
16.2.2.1.5 Окончательно регулируют нижний и верхний нагрузочные рычаги до получения значений смещений голеностопного и коленного узлов (
fA,
fK,
oA и
oK), установленных в
таблице 6 при соответствующих условии нагружения и уровне нагрузки, при стабилизирующей испытательной силе
Fstab.
Регистрируют окончательные значения установленных смещений.
16.2.2.1.6 Плавно увеличивают испытательную силу
F со скоростью от 250 Н/с до разрушения образца или до достижения предельной испытательной силы
Fsu, upper level, значение которой при соответствующих условии нагружения и уровне нагрузки установлены в
таблицах 8 или
D.2, без отказа образца.
При необходимости прикладывают испытательную силу
F с повышенной скоростью нагружения, установленной или согласованной с изготовителем/поставщиком в соответствии с
приложением C (см.
16.2.2.1.1)
Регистрируют наибольшее значение испытательной силы F, достигнутое при испытании, и произошел ли отказ образца. Делают специальную запись, если испытательная сила F была приложена с повышенной скоростью нагружения.
По специальному требованию изготовителя/поставщика или требованию в сопроводительном документе на испытания [см.
12.3.4, перечисление a)] продолжают основное статическое испытание на предельную прочность после того, как образец выдержал предельную испытательную силу
Fsu, upper level до достижения фактического отказа, и регистрируют значение нагрузки при отказе.
| | ИС МЕГАНОРМ: примечание. В официальном тексте документа, видимо, допущена опечатка: имеется в виду п. 13.2.1.2.10, а не 11.2.1.2.10. | |
Обратите внимание, что в этом случае применяемые концевые крепления должны иметь более высокое значение жесткости, и их прогиб и остаточная деформация не должны превышать предельных значений, установленных в
11.2.1.2.10, при более высокой проверочной нагрузке, чем установленная в
таблицах 4 или
D.1, для уровня нагрузки, подлежащего применению.
16.2.2.1.7 Основываясь на оценочных требованиях по
16.2.2.2, принимают решение и регистрируют, прошел ли образец испытание, установленное в
16.2.2.1 -
16.2.2.1.6, или разрушился, проверяя результаты, полученные на этапе
16.2.2.1.6.
Обратите внимание на то, что согласно
C.2, перечисление c), образец, прошедший испытание, установленное в
16.2.2.1.2 -
16.2.2.1.6, с этапом
16.2.2.1.6, выполненным при повышенной скорости нагружения в соответствии с альтернативным статическим испытанием на предельную прочность, установленным в
приложении C (см. также
16.2.2.1.1), затем должен пройти основное статическое проверочное испытание, установленное в
16.2.1.1, при соответствующих условии нагружения и уровне нагрузки для удовлетворения требованиям альтернативного статического испытания на предельную прочность (см. также
16.2.2.3).
16.2.2.1.8 Если образец разрушается, не выполнив любого из оценочных требований согласно
16.2.2.2, то его осматривают с целью выявления характера и (по возможности) места повреждения, и затем регистрируют результаты.
16.2.2.1.9 Если образец, который уже прошел основное статическое проверочное испытание и/или основное циклическое испытание без разрушения (см.
16.2.2.1.2), разрушается до удовлетворения любого из оценочных требований по
16.2.2.2, то повторяют испытание на замененном образце и регистрируют отказ и повторное испытание, включая все требуемые специальные записи.
16.2.2.1.10 (Рекомендуемый) Если образец разрушается при этом испытании со скоростью нагружения от 100 до 250 Н/с, установленной в
16.2.2.1.6, то испытание может быть повторено на замененном образце при повышенной скорости нагружения в соответствии с
приложением C, установленной в сопроводительном документе на испытания [см.
12.3.4, перечисление b)] изготовителем/поставщиком или по согласованию изготовителя/поставщика с испытательной лабораторией/центром. Отказ и повторное испытание должны быть зарегистрированы, включая все требуемые специальные записи.
16.2.2.2 Оценочные требования
Для того чтобы пройти основное статическое испытание на предельную прочность, образец должен удовлетворять одному из следующих оценочных требований:
a) образец должен выдержать статическое нагружение предельной испытательной силой
Fsu при заданном значении для
Fsu, upper level без разрушения или,
b) если механические характеристики образца препятствуют удовлетворению требования
перечисления a), то максимальное значение предельной испытательной силы
Fsu, выдерживаемой образцом без потери целостности его конструкции, должно быть равным или превышающим заданное значение
Fsu, lower level.
Если какой-либо отдельный элемент протеза разрушается до удовлетворения любого из требований, установленных в
перечислениях a) и
b), то этот отказ относится только к данной протезной сборке и регулировке, воспроизводящих условия установки испытываемого образца.
16.2.2.3 Условия соответствия
Для подтверждения соответствия протезного устройства/конструкции, представленного на испытание согласно
9.1 -
9.4, оценочным требованиям основного статического испытания на предельную прочность по
16.2.2.2 при установленном уровне нагрузки должно быть выполнено следующее:
a) если испытательную силу
F прикладывают со скоростью от 100 до 250 Н/с, то испытания данного вида должны быть проведены (в значении
16.2.2.2) при каждом из условий нагружения I и II на двух образцах из назначенной группы, включая замененный образец, допущенный согласно
16.2.2.1.9 (а также
16.2.2.1.10, в качестве варианта) (см.
9.4 и
таблицу 16);
b) если испытательную силу
F прикладывают с повышенной скоростью нагружения в соответствии с альтернативным статическим испытанием на предельную прочность, установленным в
приложении C (см.
16.2.2.1 и
16.2.2.1.6), то условие соответствия
перечисления a) следует применять при условии, что те же самые образцы также проходят (в значении
16.2.1.2) основное статическое проверочное испытание по настоящему стандарту при соответствующих условии нагружения и уровне нагрузки (см.
16.2.2.1.7 и
приложение C).
16.3 Основное циклическое испытание
16.3.1 Общие требования
16.3.1.1 Если выбранная частота нагружения выше 1 Гц, то максимальная частота должна быть ниже уровня, при котором начинают проявляться динамическое влияние массы или влияние специфических характеристик материалов (например, ползучесть при повышенных температурах или релаксация) на максимальное значение нагрузки или форму волны.
16.3.1.2 В ходе циклического испытания определенные элементы должны быть заменены, когда число циклов достигнет значения, при котором такая замена предусмотрена в инструкциях изготовителя/поставщика по обслуживанию и/или сопроводительном документе на испытания [см.
12.3.5, перечисление b)]. Данные о всех заменах должны быть зарегистрированы.
16.3.1.3 Образец, который завершает циклическое испытание без разрушения, должен быть подвергнут заключительному статическому нагружению испытательной силой
Ffin, прикладываемой со скоростью от 100 до 250 Н/с и удерживаемой в течение (30 +/- 3) с.
В соответствии с требованием сопроводительного документа на испытания [см.
12.3.5, перечисление d)] или по согласованию между изготовителем/поставщиком и испытательной лабораторией/центром заключительное статическое испытание также может заменять основное статическое проверочное испытание, если его проводят без повторной установки образца методом, установленным в
16.2.1.1.6 -
16.2.1.1.9.
16.3.1.4 По требованию изготовителя/поставщика образец, который разрушается, и/или образец, который завершает циклическое испытание без разрушения, должен быть визуально исследован под увеличением, установленным в сопроводительном документе на испытания [см.
12.3.5, перечисление c)], а наличие, расположение и характер любых разрывов и/или трещин и примененное значение увеличения зарегистрировано.
16.3.2.1 Установка, регулировка и/или измерение длин сегментов и/или смещений [см.
16.3.2.2,
16.3.2.5, (
16.3.2.16 и
16.3.2.17)] должны быть выполнены на образце, установленном или в испытательное оборудование, или в специальное приспособление, обеспечивающее приложение стабилизирующей испытательной силы
Fstab (см.
13.2.2).
Примечание - Блок-схема данного испытания приведена на
рисунках 15 -
17.
Рисунок 15 - Блок-схема основного циклического испытания,
Рисунок 16 - Блок-схема основного циклического
испытания, установленного в
16.3.2. Продолжение
Рисунок 17 - Блок-схема основного циклического
Регистрируют условие нагружения и уровень нагрузки, подлежащие применению, и соответствующие значения смещений, испытательных сил и назначенного числа циклов. Делают специальную запись, если подлежат применению дополнительные уровни нагрузки P6, P7 и P8, установленные в
приложении D.
При нулевой нагрузке регулируют (проверяют и при необходимости корректируют) длины сегментов образца (
uA -
uB,
uK -
uA и
uT -
uK или любую другую конкретную комбинацию) (см.
10.3.6) в соответствии со значениями, указанными в
таблице 5.
Регистрируют комбинацию и значения установленных длин сегментов.
При нулевой нагрузке первоначально устанавливают (или проверяют и при необходимости корректируют) нижний и верхний нагрузочные рычаги до получения значений смещений голеностопного и коленных узлов (
fA,
fK,
oA и
oK) (см.
6.8.1), установленных в
таблице 6 при соответствующих условии нагружения и уровне нагрузки.
Регистрируют первоначальные значения установленных смещений.
Если установку длин сегментов и смещений выполняют при нулевой нагрузке на образце, помещенном в специальное приспособление, то перемещают образец из приспособления в испытательное оборудование перед проведением работ по
16.3.2.3.
Регистрируют, применялось ли приспособление.
16.3.2.3 Прикладывают к образцу опрессовочную испытательную силу
Fset, значение которой для соответствующих условия нагружения и уровня нагрузки установлено в
таблицах 8 или
D.2.
Удерживают эту силу Fset при заданном значении не менее 10 и не более 30 с, а затем снимают ее. Регистрируют затраченное время.
Дают образцу выдержку при нулевой нагрузке не менее 10 и не более 20 мин перед проведением работ по
16.3.2.4. Регистрируют время выдержки.
16.3.2.4 Прикладывают к образцу и удерживают во время регулировок по
16.3.2.5, измерений и регистрации по
16.3.2.6 стабилизирующую силу
Fstab, значение которой установлено в
таблицах 8 или
D.2.
Если регулировки по
16.3.2.5 выполняют на образце, помещенном в специальное приспособление, то прикладывают к нему стабилизирующую испытательную силу
Fstab с помощью приспособления после перемещения образца из испытательного оборудования в приспособление после завершения работ по
16.3.2.3, а затем снимают
Fstab и повторно прикладывают ее посредством испытательного оборудования после перемещения образца из приспособления в испытательное оборудование перед проведением работ по
16.3.2.6.
Регистрируют, применялось ли специальное приспособление.
16.3.2.5 Окончательно регулируют нижний и верхний нагрузочные рычаги до получения значений смещений голеностопного и коленного узлов (
fA,
fK,
oA и
oK), установленных в
таблице 6 при соответствующих условии нагружения и уровне нагрузки, при стабилизирующей испытательной силе
Fstab.
Регистрируют окончательные значения установленных смещений.
16.3.2.6 Выполняют следующее:
a) измеряют и регистрируют расстояние
LBT (см.
6.8.4) как
L6 или перемещение

движущейся точки приложения нагрузки из своего исходного положения в испытательном оборудовании как

;
b) по требованию изготовителя/поставщика измеряют и регистрируют действительные плечи рычагов
LA и
LK (см.
6.8.3).
Обратите внимание на то, что полученные данные не имеют отношения к оценочным требованиям
16.3.3, хотя могут предоставлять интересную и полезную информацию в сочетании с данными, полученными в соответствии
16.3.2.8, перечисление b),
16.3.2.16 и
16.3.2.17, особенно о деформации образца под нагрузкой. По этой причине измерения и регистрации выполняют только по требованию изготовителя/поставщика.
16.3.2.7 Прикладывают к образцу максимальную испытательную силу
Fcmax, значения которой при соответствующих условии нагружения и уровне нагрузки установлены в
таблицах 8 или
D.2.
Удерживают эту силу
Fcmax до завершения этапа
16.3.2.8.
16.3.2.8 Выполняют следующее:
a) измеряют и регистрируют расстояние
LBT как
L7 или перемещение

движущейся точки приложения нагрузки из своего исходного положения в испытательном оборудовании, как

;
b) по требованию изготовителя/поставщика измеряют и регистрируют смещения
fA,
fK,
oA и
oK и/или действительные плечи рычагов
LA и
LK.
Обратите внимание на то, что полученные данные не имеют отношения к оценочным требованиям
16.3.3, хотя могут предоставлять интересную и полезную информацию в сочетании с данными, полученными в соответствии с
16.3.2.6, перечисление b),
16.3.2.16 и
16.3.2.17, особенно о деформации образца под нагрузкой. По этой причине измерения и регистрации выполняют только по требованию изготовителя/поставщика.
16.3.2.9 Уменьшают испытательную силу
F до минимальной испытательной силы
Fcmin, значение которой установлено в
таблицах 8 или
D.2.
Если образец выдерживает статическое нагружение
Fcmax по этапу
16.3.2.8, то продолжают работу по
16.3.2.10.
Если образец разрушается до завершения этапа
16.3.2.8 при статическом нагружении
Fcmax, то регистрируют этот факт и наибольшее достигнутое значение испытательной силы или время, в течение которого удерживалось заданное значение максимальной испытательной силы
Fcmax, и прекращают испытание.
16.3.2.10 Прикладывают к образцу циклическую испытательную силу
Fc(
t) в соответствии с требованиями
13.2.3.2 и
16.3.1.1 и значениями, установленными при соответствующих условии нагружения и уровне нагрузки в
таблице 6, при частоте, предусмотренной в сопроводительном документе на испытания [см.
12.3.5, перечисление a)] для серии циклов, дающих возможность образцу и испытательному оборудованию стабилизироваться (см.
примечание 1).
Примечание 1 - Число циклов, требуемое для стабилизации, зависит от вида образца и механизма управления испытательного оборудования.
Следят за тем, чтобы в течение стабилизации наибольшее значение испытательной силы, приложенной к образцу, не превышало максимального значения испытательной силы
Fcmax более чем на 10% (см.
13.2.3.2.8 и
примечание 2).
Примечание 2 - Опыт показывает, что повторное нагружение при значениях, превышающих максимальное значение испытательной силы
Fcmax более чем на 10%, может вызывать преждевременное повреждение образца.
Не приступают к работе по
16.3.2.11 до тех пор, пока образец и испытательное оборудование не стабилизируются и циклическая испытательная сила
Fc(
t) не достигнет формы волны, установленной в
13.2.3.2.3, и не будет удерживаться в пределах допусков, установленных в
14.3, перечисления f) и
g).
Останавливают испытательное оборудование и регистрируют частоту и число циклов, требуемые для стабилизации, и прикладывалась ли циклическая испытательная сила
Fc(
t) в соответствии с
13.2.3.2.3 и
14.3, перечисления f) и
g).
Если требуемая частота не может быть достигнута или циклическая испытательная сила
Fc(
t) не может быть приложена как задано, то повторяют этапы, предшествующие
16.3.2.10, при другой частоте, согласованной между испытательной лабораторией/центром и изготовителем/поставщиком.
Регистрируют любое соглашение по частоте, отличной от требуемого значения.
Если циклическая испытательная сила Fc(t) не может быть приложена при частоте, согласованной между испытательной лабораторией/центром и изготовителем/поставщиком, то регистрируют это и прекращают испытание.
16.3.2.11 Прикладывают к образцу максимальную испытательную силу
Fcmax.
Измеряют и регистрируют первоначальное значение расстояния
LBT как
L8 или перемещения

движущейся точки приложения нагрузки от своего исходного положения в испытательном оборудовании как

.
16.3.2.12 Уменьшают испытательную силу
F до минимальной испытательной силы
Fcmin.
16.3.2.13 Прикладывают к образцу циклическую испытательную силу
Fc(
t) в соответствии с требованиями
13.2.3.2 и
16.3.1.1 и значениями, установленными при соответствующих условии нагружения и уровне нагрузки в
таблице 8, при частоте, предусмотренной в сопроводительном документе на испытания [см.
12.3.5, перечисление a)], или при другой частоте, согласованной между испытательной лабораторией/центром и изготовителем/поставщиком (см.
16.3.2.10) для назначенного числа циклов, установленного в
таблицах 8 или
D.2.
Проверяют форму волны приложенной циклической испытательной силы
Fc(
t). Прекращают испытание, если форма волны не соответствует
13.2.3.2.3.
Регистрируют примененную частоту и результаты проверки формы волны и решение о продолжении испытания.
Настраивают испытательное оборудование таким образом, чтобы оно отключалось при перемещении на 5 мм ниже первоначального значения расстояния
L8 при
Fcmax или на 5 мм выше первоначального значения перемещения

при
Fcmax, определенных в
16.3.2.11.
16.3.2.14 Регистрируют все случаи отключения оборудования и число циклов нагрузки, приложенной к этому времени, продолжительность и причины отключения.
16.3.2.15 Исследуют образец на повреждения, если испытательное оборудование отключалось из-за чрезмерного перемещения и:
a) если отсутствуют признаки разрушения образца, возобновляют испытание с
16.3.2.10 и прикладывают назначенное число циклов, уменьшенное на число циклов, завершенных до отключения испытательного оборудования. Регистрируют возобновление испытания;
b) если образец разрушился, регистрируют этот факт и число циклов на момент отключения испытательного оборудования и прекращают испытание (см.
16.3.2.22).
16.3.2.16 В ходе циклического испытания заменяют элементы, которые должны быть заменены при нормальном обслуживании. Проводят следующие работы.
Останавливают испытательное оборудование, когда число циклов нагружения достигает значения, при котором обмен/замена этих элементов предусмотрен в инструкциях изготовителя/поставщика по обслуживанию и/или сопроводительном документе на испытания [см.
12.3.5, перечисление b) и
16.3.1.2)]. Регистрируют число циклов на момент отключения оборудования.
Измеряют и регистрируют расстояние
LBT или перемещение

и, по требованию изготовителя/поставщика [см. дополнительные указания
16.3.2.6, перечисление b) и
16.3.2.8, перечисление b)], смещения
fA,
fK,
oA и
oK и/или действительные плечи рычагов
LA и
LK при приложенной испытательной силе
Fcmin, а затем при приложенной испытательной силе
Fcmax.
Обменивают/заменяют указанные элементы в соответствии с инструкциями изготовителя/поставщика по обслуживанию и/или сопроводительным документом на испытания.
Возобновляют испытание с
16.3.2.2,
16.3.2.3 или
16.3.2.10 в зависимости от механических характеристик этих элементов и сложности разборки и повторной сборки образца, необходимой для их обмена/замены.
Регистрируют подробное описание обмена/замены и условия возобновления испытания с указанием соответствующего раздела.
16.3.2.17 Продолжают испытание до возникновения отказа или до достижения назначенного числа циклов, установленного в
таблицах 8 или
D.2.
Если происходит отказ, регистрируют этот факт, число циклов на момент отключения испытательного оборудования и прекращают испытание (но, см.
16.3.2.22).
Если назначенное число циклов проведено, то останавливают испытательное оборудование, измеряют и регистрируют расстояние
LBT или перемещение

и, по требованию изготовителя/поставщика [см. дополнительные указания
16.3.2.6, перечисление b) и
16.3.2.8, перечисление b)], смещения
fA,
fK,
oA и
oK и/или действительные плечи рычагов
LA и
LK при приложенной испытательной силе
Fcmin, а затем при приложенной испытательной силе
Fcmax. Регистрируют число циклов в момент отключения.
16.3.2.18 Прикладывают к образцу, который завершает циклическое испытание без разрушения, заключительную статическую испытательную силу
Ffin, значение которой установлено в
таблицах 8 или
D.2 при соответствующих условии нагружения и уровне нагрузки, со скоростью нагружения от 100 до 250 Н/с и удерживают силу в течение (30 +/- 3) с (см.
16.3.1.3), регистрируют результаты.
Если образец не выдерживает заключительное статическое нагружение Ffin в течение заданного времени и разрушается, то регистрируют этот факт и наибольшее достигнутое значение испытательной силы или время, в течение которого удерживалось заданное значение заключительной статической испытательной силы Ffin.
Если заключительное статическое испытание предназначено также для замены основного статического проверочного испытания, установленного в
16.2.1.1.1 (см.
16.3.1.3), то следует руководствоваться указаниями, приведенными в
16.2.1.1.6 -
16.2.1.1.9.
16.3.2.20 Если образец разрушается до удовлетворения любого из оценочных требований по
16.3.3, то осматривают его для определения характера и (по возможности) места любого повреждения и регистрируют результаты.
16.3.2.21 По требованию изготовителя/поставщика визуально исследуют образец, который разрушается, и/или образец, который завершает основное циклическое испытание и заключительное статическое испытание без разрушения, для определения наличия, места и характера любых разрывов и/или трещин (см.
16.3.1.4).
Выполняют исследование под увеличением, установленным в сопроводительном документе на испытания [см.
12.3.5, перечисление c)], или на условиях, согласованных с изготовителем/поставщиком.
Регистрируют примененное значение увеличения и полученные данные с учетом указаний изготовителя/поставщика по включению необходимой информации в документацию о результатах испытания [см.
12.3.5, перечисление c)].
16.3.2.22 Если образец, испытанный на частоте 3 Гц или выше, разрушается до удовлетворения любого из оценочных требований
16.3.3, то повторяют испытание на заменяемом образце на частоте менее 3 Гц, установленной в сопроводительном документе на испытания [см.
12.3.5, перечисление e)] или по согласованию между испытательной лабораторией/центром и изготовителем/поставщиком. Регистрируют отказ и повторное испытание, включая все требуемые специальные записи.
16.3.3 Оценочные требования
16.3.3.1 Для того чтобы пройти основное циклическое испытание, образец должен удовлетворять следующим оценочным требованиям:
a) образец должен выдержать статическое нагружение максимальной испытательной силой
Fcmax в течение заданного времени, требуемого для измерения и регистрации по
16.3.2.8;
b) образец должен выдержать нагружение циклической испытательной силой Fc(t) при заданном уровне нагрузки и назначенном числе циклов;
c) образец должен выдержать статическое нагружение заключительной статической испытательной силой
Ffin заданного значения в течение (30 +/- 3) с.
значение остаточной деформации D3 образца не должно превышать:
- 5 мм для общей длины образца (uT - uB)specified = 650 мм или
- 5 мм, умноженные на отношение [(
uT -
uB)
actual/(
uT -
uB)
specified] для значений общей длины образца, превышающих 650 мм (см.
сноску <b> к таблице 5).
Если образец удовлетворяет оценочному требованию
16.3.3.1, перечисление c), но разрушается до удовлетворения оценочного требования 16.3.3.2, то основное статическое проверочное испытание должно быть проведено в соответствии с
16.2.1.1.1.
16.3.3.3 Если какой-либо отдельный элемент протеза разрушается до удовлетворения любого из требований, установленных в
16.3.3.1 и
16.3.3.2, то этот отказ относится только к данной протезной сборке и регулировке, воспроизводящих условия установки испытываемого образца.
16.3.4 Условия соответствия
16.3.4.1 Для подтверждения соответствия протезного устройства/конструкции, представленного на испытание согласно
9.1 -
9.4, оценочным требованиям основного циклического испытания согласно
16.3.3.1 при установленном уровне нагружения, испытания данного вида должны быть проведены (в значении
16.3.3.1) при каждом из условий нагружения I и II на двух образцах из назначенной группы, включая замененный образец, допущенный
16.3.2.22 (см.
9.4 и
таблицу 16).
16.3.4.2 Для подтверждения соответствия протезного устройства/конструкции, представленного на испытание согласно
9.1 -
9.4, а также условиям соответствия основного статического проверочного испытания согласно
16.2.1.3, требование
16.3.4.1 должно быть применено при условии, что образцы также удовлетворяют оценочному требованию
16.3.3.2.
17 Дополнительные испытания на прочность
17.1 Дополнительное статическое испытание на кручение
17.1.1 Общие положения
Требования настоящего подраздела должны быть применены к образцам всех протезных устройств/конструкций, представленных на испытания (см.
таблицу 15).
17.1.2 Цель испытания
Пользователи могут создавать крутящие нагрузки на свои протезы, которые превышают значения крутящих моментов, образующихся в условиях нагружения основных испытаний на прочность, установленных в настоящем стандарте. Для обеспечения прочности при скручивании конструкции протеза и надежности ее фиксации при проскальзывании прикладывают только статическую нагрузку на кручение.
Примечание - Блок-схема данного испытания приведена на
рисунке 18.
Рисунок 18 - Блок-схема дополнительного статического
испытания на кручение, установленного в
17.1.3
17.1.3.1 Подготавливают (или проверяют и при необходимости корректируют) сборку образца из группы, установленной в
таблице 16 для данного испытания, в соответствии с инструкциями изготовителя по сборке и
9.5,
разделом 10,
11.4,
11.5 и
12.2.1.
Регистрируют значения момента (моментов) затяжки болтов крепления соединений, установленные в сопроводительном документе на испытания (см.
11.1 и
12.2.1), и приложенных крутящих моментов.
17.1.3.2 Устанавливают образец с полностью раскрытым коленным узлом, обеспечив среднее положение всех регулируемых элементов в соответствии с сопроводительным документом на испытания (см.
12.3.6).
Если невозможно установить это положение ни из сопроводительного документа на испытания, ни после обследования образца, то применяют письменные рекомендации изготовителя по установке протеза в среднее положение.
Регистрируют установку, включая отрегулированные средние положения.
17.1.3.3 Устанавливают образец в испытательное оборудование, разместив действительные центры голеностопного узла (см.
6.7.3) и коленного узла (см.
6.7.6) на оси приложения крутящего момента для получения кручения относительно оси
u (см.
6.2.2).
17.1.3.4 Закрепляют один конец образца, а к другому прикладывают относительно оси
u опрессовочный крутящий момент
Mu-set, значение которого установлено в
таблице 9, в выбранном направлении кручения, обозначенном как положительное.
Удерживают момент Mu-set при заданном значении в течение не менее 10 и не более 30 с и затем снимают его.
Выдерживают образец при нулевой нагрузке в течение не менее 10 и не более 20 мин перед проведением работ по
17.1.3.5.
Регистрируют время, в течение которого удерживали опрессовочный крутящий момент Mu-set при заданном значении, и время, в течение которого образец выдерживали при нулевой нагрузке.
17.1.3.5 Прикладывают к образцу относительно оси
u в положительном направлении кручения стабилизирующий крутящий момент
Mu-stab, значение которого установлено в
таблице 9, и удерживают его до завершения маркировки и регистрации показаний согласно
17.1.3.6.
17.1.3.6 Отмечают первоначальные относительные угловые положения в стыках всех элементов.
Измеряют и регистрируют первоначальные угловые положения нижнего и верхнего элементов образца

и

соответственно, скручиваемых относительно оси
u.
17.1.3.7 Плавно увеличивают крутящий момент
Mu относительно оси
u в положительном направлении кручения со скоростью, не превышающей 4 Н·м/с, до создания максимального крутящего момента
Mu-max, значение которого указано в
таблице 9.
Удерживают этот момент Mu-max при заданном значении в течение (30 +/- 3) с.
Уменьшают крутящий момент Mu до значения стабилизирующего крутящего момента Mu-stab.
Если образец выдерживает статическое нагружение при
Mu-max в течение заданного времени, то регистрируют этот факт и продолжают работу по
17.1.3.8.
Если образец не выдерживает статическое нагружение при Mu-max в течение заданного времени и разрушается, то регистрируют этот факт и наибольшее достигнутое значение крутящего момента или время, в течение которого заданное значение максимального крутящего момента Mu-max удерживалось, и принимают решение о продолжении испытания с учетом положения, приведенного ниже. Регистрируют принятое решение.
Возникновение отказа при испытании в одном направлении кручения прекращает подтверждение соответствия испытываемого образца оценочным требованиям этого испытания (см.
17.1.5). По этой причине испытание должно быть прекращено, если иное не установлено в сопроводительном документе на испытания или не согласовано между испытательной лабораторией/центром и изготовителем/поставщиком (см.
12.3.3).
17.1.3.8 Удерживают стабилизирующий крутящий момент
Mu-stab до завершения измерений, установленных ниже. Завершают измерения в пределах 10 мин для ограничения влияния восстановления на относительное угловое перемещение (см.
17.1.3.9).
Измеряют и регистрируют окончательные угловые положения нижнего и верхнего элементов образца

и

соответственно, скручиваемых относительно оси
u.
Определяют и регистрируют время, затраченное на измерения.
17.1.3.9 Вычисляют и регистрируют относительное угловое перемещение

концов образца относительно оси
u по формуле

. (14)
Если полученное значение относительного углового перемещения

превышает 3°, то принимают решение о продолжении испытания с учетом положения, приведенного в
последнем абзаце 17.1.3.7, и регистрируют принятое решение.
17.1.3.10 Основываясь на оценочных требованиях по
17.1.4, проверяют результаты, полученные на этапах
17.1.3.7 и
17.1.3.9, и регистрируют полученные данные.
Если образец прошел испытание в положительном направлении кручения, то продолжают работу с
17.1.3.12.
Если образец разрушился при этом испытании, то принимают решение о продолжении испытания с учетом положения, приведенного в
последнем абзаце 17.1.3.7, и регистрируют принятое решение.
17.1.3.11 Если образец разрушается до удовлетворения одного из оценочных требований
17.1.4, то осматривают его для выявления какого-либо проскальзывания крепежных соединений и/или характера и (по возможности) места любого повреждения и регистрируют результаты.
Соответственно, используют маркировки первоначальных угловых положений в стыках всех элементов, измеренных в
17.1.3.6, для определения, где и какого значения проскальзывание имело место.
Регистрируют результаты осмотра образца.
17.1.3.12 Выполняют испытания, установленные в
17.1.3.4 -
17.1.3.9, в отрицательном направлении кручения.
Обозначают углы для этого направления кручения следующим образом:
a) первоначальные угловые положения
(17.1.3.6) как

и

;
b) окончательные угловые положения
(17.1.3.8) как

и

;
c) относительное угловое перемещение
(17.1.3.9) как

, вычисляемое по формуле

. (15)
Регистрируют применение испытания в отрицательном направлении кручения и все требуемые специальные записи.
17.1.3.13 Основываясь на оценочных требованиях по
17.1.4, проверяют результаты, полученные на этапах
17.1.3.7 и
17.1.3.9 испытания в отрицательном направлении кручения, и регистрируют полученные данные.
17.1.3.14 Если образец разрушается до удовлетворения одному из оценочных требований
17.1.4 испытания в отрицательном направлении кручения, то осматривают его для выявления какого-либо проскальзывания крепежных соединений и/или характера и (по возможности) места любого повреждения.
Соответственно, используют маркировки первоначальных угловых положений в стыках всех элементов, измеренных в
17.1.3.6,
17.1.3.12, перечисление a), для определения, где и какое значение проскальзывания имело место.
Регистрируют результаты осмотра образца.
17.1.3.15 Принимают решение и регистрируют, прошел или нет образец испытание, установленное в
17.1.3.4 -
17.1.3.9, в обоих направлениях кручения с учетом данных по
17.1.3.10 и
17.1.3.13.
17.1.4 Оценочные требования
Для того чтобы пройти дополнительное статическое испытание на кручение, образец должен удовлетворять следующим оценочным требованиям:
a) образец должен выдержать статическое нагружение в каждом из двух направлений кручения максимальным крутящим моментом
Mu-max при заданном значении в течение (30 +/- 3) с;
b) значения относительных угловых перемещений концов образца

и

, происходящих в двух направлениях кручения, не должны превышать 3°.
Если какой-либо отдельный элемент протеза разрушается до удовлетворения любого из требований, установленных в
перечислениях a) и
b), то этот отказ относится только к данной протезной сборке и регулировке, воспроизводящих условия установки испытываемого образца.
17.1.5 Условия соответствия
Для подтверждения соответствия протезного устройства/конструкции, представленного на испытание согласно
9.1 -
9.4, оценочным требованиям дополнительного статического испытания на кручение по
17.1.4, испытания данного вида, каждое из которых последовательно применяют в двух направлениях кручения к одному и тому же образцу, должны быть проведены (в значении
17.1.4) на двух образцах из назначенной группы (см.
9.4 и
таблицу 16).
17.2 Дополнительные испытания голеностопных узлов и узлов стоп
17.2.1 Общие положения
Испытания, установленные в настоящем подразделе, относятся к голеностопным узлам и узлам стопы и их соединениям с остальной частью протеза. Любой отчет, касающийся данных испытаний, следует относить только к конкретному голеностопному узлу или узлу стопы в сочетании с представленными конкретными соединениями.
Примечание - Новые статические и циклические испытания голеностопных узлов и узлов стоп установлены в ИСО 22675. Дополнительные особенности см. в
последнем абзаце введения.
17.2.2 Цель испытаний
Хотя голеностопные узлы и узлы стоп, представляющие собой часть образца или одиночный элемент, соответствующие
10.2.1,
10.2.2 или
10.2.3, могут быть подвергнуты основным испытаниям на прочность
раздела 16 в схемах нагружения
раздела 6, при условиях нагружения и уровнях нагрузки
раздела 7, в настоящем подразделе установлены специальные статическое и циклическое испытания на прочность голеностопных узлов и узлов стоп, при которых пятку и носок или наоборот нагружают последовательно или поочередно.
Для соответствия требованиям настоящего стандарта группа образцов голеностопных узлов и узлов стоп должна удовлетворять оценочным требованиям, установленным в
17.2.3.2,
17.2.4.2 и
17.2.5.2.
17.2.3 Дополнительное статическое проверочное испытание голеностопных узлов и узлов стоп
17.2.3.1.1 Дополнительное статическое проверочное испытание голеностопных узлов и узлов стоп должно быть проведено вначале с приложением испытательной силы
F1 к пятке, а затем - приложением испытательной силы
F2 к носку того же образца или наоборот, как описано в
17.2.3.1.2 -
17.2.3.1.10.
Дополнительное статическое проверочное испытание голеностопных узлов и узлов стоп может быть проведено как часть альтернативного статического испытания на предельную прочность, установленного в приложении C [см. также
17.2.4.1,
разделы C.1 и
C.2, перечисление c)].
Примечание - Блок-схема этого испытания приведена на
рисунке 19.
Рисунок 19 - Блок-схема дополнительного статического
проверочного испытания голеностопных узлов
Если образец, который завершил дополнительное циклическое испытание (включая заключительное статическое испытание) голеностопных узлов и узлов стоп без разрушения, используют для данного испытания согласно с
9.5.1, то его повторно устанавливают в соответствии с
разделами 10,
11,
12.2.1 и
12.2.2 и
таблицей 10 (см. также
17.2.3.1.11). Регистрируют повторное использование образца.
Регистрируют уровень нагрузки, подлежащий применению, и соответствующие значения углов

и

, и испытательных сил
F1 и
F2, определяющие направления и значения нагружения пятки и носка. Делают специальную запись, если подлежат применению дополнительные уровни нагрузки P6, P7 и P8, установленные в
приложении D.
17.2.3.1.3 Для испытания с нагружением пятки устанавливают угол

линии приложения испытательной силы
F1, указанный в
таблице 10, и устанавливают платформу нагружения (пятки) перпендикулярно линии приложения силы.
Располагают платформу нагружения (пятки) так, чтобы она поддерживала носок в случае, если нагружение пятки деформирует образец до такой степени растяжения, при которой поддержка носка необходима во избежание нереальных условий нагружения.
Если испытательное оборудование имеет два привода, то обеспечивают условие, чтобы носок не контактировал с его платформой нагружения во время нагружения пятки.
17.2.3.1.4 Устанавливают образец в испытательное оборудование, как показано на
рисунке 7.
17.2.3.1.5 Прикладывают к пятке образца испытательную силу
F1 и плавно увеличивают ее со скоростью от 100 до 250 Н/с до проверочной испытательной силы
F1sp, значение которой при соответствующем уровне нагрузки установлено в
таблицах 11 или
D.3.
Удерживают эту силу F1sp при заданном значении в течение (30 +/- 3) с и затем уменьшают испытательную силу F1 до нуля.
Если образец выдерживает статическое нагружение пятки
F1sp в течение заданного времени, то регистрируют этот факт и продолжают работу с
17.2.3.1.7.
Если образец не выдерживает статическое нагружение пятки
F1sp в течение заданного времени и разрушается, то регистрируют этот факт и наибольшее достигнутое значение испытательной силы или время, в течение которого заданное значение проверочной силы
F1sp удерживалось, и принимают решение о продолжении испытания с учетом положения, приведенного ниже (см.
17.2.3.1.11). Регистрируют принятое решение.
Возникновение отказа при испытании в одном из направлений нагружения прекращает подтверждение соответствия испытываемого образца оценочному требованию данного испытания (см.
17.2.3.3). По этой причине испытание должно быть прекращено, если иное не установлено в сопроводительном документе на испытания или не согласовано между испытательной лабораторией/центром и изготовителем/поставщиком (см.
12.3.3).
17.2.3.1.6 Если образец разрушается до выполнения оценочного требования
17.2.3.2 при испытании с нагружением пятки, то осматривают его для определения характера и (по возможности) места повреждения и регистрируют результаты.
17.2.3.1.7 Для испытания с нагружением носка устанавливают угол

линии приложения испытательной силы
F2, установленный в
таблице 10, и регулируют платформу нагружения (носка) перпендикулярно линии приложения силы.
Соответственно, удаляют образец из испытательного оборудования на время установки и расположения платформы (платформ) нагружения, а затем повторно устанавливают его.
Располагают платформу нагружения (носка) так, чтобы она поддерживала пятку в случае, если нагружение носка деформирует образец до такой степени растяжения, при которой поддержка пятки необходима во избежание нереальных условий нагружения.
Если испытательное оборудование имеет два привода, то обеспечивают условие, чтобы пятка не контактировала с ее платформой нагружения во время нагружения носка.
17.2.3.1.8 Прикладывают к носку образца, который завершил испытание нагружения пятки без разрушения (см.
17.2.3.1.5), испытательную силу
F2 и плавно увеличивают ее со скоростью от 100 до 250 Н/с до проверочной испытательной силы
F2sp, значение которой при соответствующем уровне нагрузки установлено в
таблицах 11 или
D.3.
Удерживают эту силу F2sp при заданном значении в течение (30 +/- 3) с и затем уменьшают испытательную силу F2 до нуля.
Если образец выдерживает статическое нагружение носка F2sp в течение заданного времени, то регистрируют этот факт.
Если образец не выдерживает статическое нагружение носка F
2sp в течение заданного времени и разрушается, то регистрируют этот факт и наибольшее достигнутое значение испытательной силы или время, в течение которого заданное значение проверочной силы
F2sp удерживалось (см.
17.2.3.1.11).
17.2.3.1.9 Если образец разрушается до удовлетворения оценочного требования
17.2.3.2 при испытании с нагружением носка, то осматривают его для определения характера и (по возможности) места повреждения и регистрируют результаты.
17.2.3.1.11 Если образец, который уже завершил без разрушения дополнительное циклическое испытание голеностопных узлов и узлов стоп (см.
17.2.3.1.2), разрушается до выполнения оценочного требования
17.2.3.2 при нагружении пятки (
17.2.3.1.4 и
17.2.3.1.5) или нагружении носка (
17.2.3.1.7 и
17.2.3.1.8), то повторяют испытание в полном объеме (
17.2.3.1.2 -
17.2.3.1.9) на замененном образце и регистрируют отказ и повторное испытание, включая все требуемые специальные записи.
17.2.3.2 Оценочное требование
Для того чтобы пройти дополнительное статическое проверочное испытание голеностопных узлов и узлов стоп, образец должен выдержать последовательное статическое нагружение пятки и носка проверочными испытательными силами F1sp и F2sp заданных значений и направлений нагружения в течение (30 +/- 3) с для каждого нагружения.
17.2.3.3 Условия соответствия
Для подтверждения соответствия протезного устройства/конструкции, представленного на испытание согласно
9.1 -
9.4, оценочному требованию дополнительного статического проверочного испытания голеностопных узлов и узлов стоп по
17.2.3.2 при установленном уровне нагрузки, испытания данного вида, каждое из которых последовательно применяет нагружение пятки и носка одного и того же образца, должны быть проведены (в значении
17.2.3.2) на двух образцах из назначенной группы, включая замененный образец, допущенный
17.2.3.1.11 (см.
9.4 и
таблицу 16).
17.2.4 Дополнительное статическое испытание на предельную прочность голеностопных узлов и узлов стоп
17.2.4.1.1 Дополнительные статические испытания на предельную прочность голеностопных узлов и узлов стоп должны быть проведены на разных образцах с нагружением первого образца на пятку, а второго на носок, как описано в
17.2.4.1.2 -
17.2.4.1.14, или наоборот.
Образец, который удовлетворяет требованиям данного испытания в одном направлении нагружения, может быть использован для этого испытания в другом направлении нагружения (см.
17.2.4.1.16).
Для образцов протезов нижних конечностей со свойствами материалов и/или особенностями конструкции, из-за которых они становятся неспособными выдерживать требуемую предельную испытательную силу со скоростью нагружения от 100 до 250 Н/с, установленную в
17.2.4.1.5 -
17.2.4.1.11, в
приложении C приведены указания по применению альтернативного статического испытания на предельную прочность с применением повышенной скорости нагружения.
| | ИС МЕГАНОРМ: примечание. В официальном тексте документа, видимо, допущена опечатка: имеется в виду п. 17.2.4.1.17, а не 17.4.2.1.17. | |
Повышенная скорость нагружения должна быть установлена в сопроводительном документе на испытания [см.
12.3.4, перечисление b)] изготовителем/предъявителем или по согласованию между изготовителем/поставщиком и испытательной лабораторией/центром (см. также
17.2.4.1.5 и
17.2.4.1.11) и может быть применена для первоначального образца или замененного образца, если первоначальный образец разрушился при скорости нагружения от 100 до 250 Н/с (см.
17.4.2.1.17).
Примечание - Блок-схема данного испытания приведена на
рисунке 20.
Рисунок 20 - Блок-схема дополнительного статического
испытания на предельную прочность голеностопных узлов
Если образец, который завершил дополнительное статическое проверочное испытание голеностопных узлов и узлов стоп без разрушения, используют для данного испытания согласно
9.5.1, то его повторно устанавливают в соответствии с
разделами 10 и
11,
12.2.1 и
12.2.2 и
таблицей 10 (см. также
17.2.4.1.15). Регистрируют повторное использование образца.
Если для данного испытания согласно с
9.5.1 используют образец, который завершил дополнительное циклическое испытание (включая заключительное статическое испытание) голеностопных узлов и узлов стоп без разрушения, то его повторно устанавливают в соответствии с
разделами 10 и
11,
12.2.1 и
12.2.2 и
таблицей 10 (см. также
17.2.4.1.15). Регистрируют повторное использование образца.
Регистрируют уровень нагрузки и соответствующие значения угла

и испытательной силы
F1 при нагружении пятки.
Делают специальную запись, если подлежит применению дополнительный уровень нагрузки P6, установленный в
приложении D.
17.2.4.1.3 Для испытания с нагружением пятки устанавливают угол направления нагружения

, установленный в
таблице 10, и регулируют платформу нагружения (пятки) перпендикулярно направлению нагружения.
Располагают платформу нагружения (пятки) так, чтобы она поддерживала носок, если нагружение пятки испытательной силой F1 деформирует образец до такой степени растяжения, при которой поддержка носка необходима во избежание нереальных условий нагружения.
Если испытательное оборудование имеет два привода, то обеспечивают условие, чтобы носок не контактировал с его платформой нагружения во время нагружения пятки.
17.2.4.1.4 Устанавливают образец в испытательное оборудование, как показано на
рисунке 7.
17.2.4.1.5 Прикладывают к пятке образца испытательную силу
F1 и плавно увеличивают ее со скоростью от 100 до 250 Н/с до разрушения образца или, если не было отказа образца, до достижения испытательной силой
F1 значения испытательной силы
F1su, upper level, установленного при соответствующем уровне нагрузки в
таблицах 11 или
D.3.
При необходимости прикладывают испытательную силу
F1 с повышенной скоростью нагружения, установленной или согласованной с изготовителем/поставщиком, в соответствии с
приложением C (см.
17.2.4.1.1).
Регистрируют наибольшее значение испытательной силы F1, достигнутое при испытании, и произошел ли отказ. Делают специальную запись, если испытательная сила F1 была приложена с повышенной скоростью нагружения.
По специальному требованию изготовителя/поставщика или при наличии требования в сопроводительном документе на испытания
[(12.3.4, перечисление a)] продолжают статическое испытание на предельную прочность после того, как образец выдержал предельную испытательную силу
F1su, upper level до получения фактического отказа, и регистрируют значение нагрузки при отказе.
17.2.4.1.6 Основываясь на оценочных требованиях согласно
17.2.4.2, проверяют результаты, полученные на этапе
17.2.4.1.5, и регистрируют полученные данные.
Если образец завершает испытание с нагружением пятки без разрушений, то продолжают работу с
17.2.4.1.8.
Обратите внимание, что согласно
C.2, перечисление c), образец, прошедший испытание, установленное в
17.2.4.1.2 -
17.2.4.1.5, согласно этапу
17.2.4.1.5, при повышенной скорости нагружения в соответствии с альтернативным статическим испытанием на предельную прочность, установленным в
приложении C (см. также
17.2.4.1.1), затем должен пройти дополнительное статическое проверочное испытание голеностопных узлов и узлов стоп, установленное в
17.2.3.1, в соответствующем направлении нагружения и при соответствующем уровне нагрузки для удовлетворения требованиям альтернативного статического испытания на предельную прочность по
приложению C (см. также
17.2.4.3).
Если образец разрушается, то принимают решение о продолжении испытания с учетом положения, приведенного ниже (см.
17.2.4.1.15). Регистрируют принятое решение.
Возникновение отказа при испытании в одном из направлений нагружения прекращает подтверждение соответствия испытываемого образца оценочным требованиям данного испытания (см.
17.2.4.3). По этой причине испытание должно быть прекращено, если иное не установлено в сопроводительном документе на испытания или не согласовано между испытательной лабораторией/центром и изготовителем/поставщиком (см.
12.3.3).
17.2.4.1.7 Если образец разрушается при испытании с нагружением пятки до удовлетворения оценочных требований
17.2.4.2, то осматривают его для определения характера и (по возможности) места любого повреждения и регистрируют результаты.
Если образец, который завершил дополнительное статическое проверочное испытание голеностопных узлов и узлов стоп без разрушения, используют для данного испытания согласно с
9.5.1, то его повторно устанавливают в соответствии с
разделами 10 и
11,
12.2.1 и
12.2.2 и
таблицей 10 (см. также
17.2.4.1.15). Регистрируют повторное использование образца.
Если образец, который завершил дополнительное циклическое испытание (включая заключительное статическое испытание) голеностопных узлов и узлов стоп без разрушения, используют для данного испытания согласно
9.5.1, то его повторно центрируют в соответствии с
разделами 10 и
11,
12.2.1 и
12.2.2 и
таблицей 10 (см. также
17.2.4.1.15). Регистрируют повторное использование образца.
Регистрируют уровень нагрузки и соответствующие значения угла

и испытательной силы
F2 при нагружении носка. Делают специальную запись, если подлежат применению дополнительные уровни нагрузки P6, P7 и P8, указанные в
приложении D.
17.2.4.1.9 Для испытания с нагружением носка устанавливают угол

направления нагружения, установленный в
таблице 10, и регулируют платформу нагружения (носка) перпендикулярно направлению нагружения.
Располагают платформу нагружения (носка) так, чтобы она поддерживала пятку, если нагружение носка испытательной силой F2 деформирует образец до такой степени растяжения, при которой поддержка пятки необходима во избежание нереальных условий нагружения.
Если испытательное оборудование имеет два привода, то обеспечивают условие, чтобы пятка не контактировала с ее платформой нагружения во время нагружения носка.
17.2.4.1.10 Устанавливают образец в испытательное оборудование, как показано на
рисунке 7.
17.2.4.1.11 Прикладывают к носку образца испытательную силу
F2 и плавно увеличивают ее со скоростью от 100 до 250 Н/с до разрушения образца или, если не было отказа образца, до достижения испытательной силой
F2 значения предельной испытательной силы
F2su, upper level, установленного при соответствующем уровне нагрузки в
таблицах 11 или
D.3.
При необходимости прикладывают испытательную силу
F2 с повышенной скоростью нагружения, установленной или согласованной с изготовителем/поставщиком в соответствии с
приложением C (см.
17.2.4.1.1).
Регистрируют наибольшее значение испытательной силы F2, достигнутое при испытании, и произошел ли отказ. Делают специальную запись, если испытательная сила F2 была приложена с повышенной скоростью нагружения.
По специальному требованию изготовителя/поставщика или требованию сопроводительного документа на испытания
[12.3.4, перечисление a)] продолжают статическое испытание на предельную прочность после того, как образец выдержал предельную испытательную силу
F2su, upper level до получения фактического отказа, и регистрируют значение нагрузки при отказе.
17.2.4.1.12 Основываясь на оценочных требованиях по
17.2.4.2, проверяют результаты, полученные на этапе
17.2.4.1.11, и регистрируют полученные данные.
Обратите внимание, что согласно
C.2, перечисление c), образец, прошедший испытание, установленное в
17.2.4.1.8 -
17.2.4.1.11, согласно этапу
17.2.4.1.11, при повышенной скорости нагружения в соответствии с альтернативным статическим испытанием на предельную прочность, установленном в
приложении C (см. также
17.2.4.1.1), затем должен пройти дополнительное статическое проверочное испытание голеностопных узлов и узлов стоп, установленное в
17.2.3.1, в соответствующем направлении нагружения и при соответствующем уровне нагрузки для удовлетворения требованиям альтернативного статического испытания на предельную прочность по
приложению C (см. также
17.2.4.3).
17.2.4.1.13 Если образец разрушается при испытании с нагружением носка до удовлетворения оценочных требований
17.2.4.2, то осматривают его для определения характера и (по возможности) места любого повреждения и регистрируют результаты.
17.2.4.1.15 Если образец, который уже завершил без разрушения дополнительное статическое проверочное испытание и/или дополнительное циклическое испытание голеностопных узлов и узлов стоп (см.
17.2.4.1.2), разрушается до выполнения одного из оценочных требований
17.2.4.2 при нагружении пятки (
17.2.4.1.2 -
17.2.4.1.5) или при нагружении носка (
17.2.4.1.8 -
17.2.4.1.11), то повторяют испытание на замененном образце в направлении нагружения, в котором произошло разрушение, и регистрируют отказ и повторное испытание, включая все требуемые специальные записи.
17.2.4.1.16 Если образец, который уже завершил без разрушения дополнительное статическое испытание на предельную прочность голеностопных узлов и узлов стоп в одном направлении нагружения (см.
17.2.4.1.1 и
17.2.4.1.6), разрушается при данном испытании в другом направлении нагружения (см.
17.2.4.1.12), то повторяют испытание на замененном образце в направлении нагружения, в котором произошло разрушение, и регистрируют отказ и повторное испытание, включая все требуемые специальные записи.
17.2.4.1.17 (Рекомендуемый) Если образец разрушается при данном испытании в одном направлении нагружения при скорости нагружения от 100 до 250 Н/с, установленной в
17.2.4.1.5 и
17.2.4.1.11, то испытание может быть повторено на замененном образце в направлении нагружения, при котором произошло разрушение, при повышенной скорости нагружения в соответствии с
приложением C, установленной в сопроводительном документе на испытания
[12.3.4, перечисление b)] изготовителем/поставщиком или согласованной между изготовителем/поставщиком и испытательной лабораторией/центром. Отказ и повторное испытание должны быть зарегистрированы, включая все требуемые специальные записи.
17.2.4.2 Оценочные требования
Для того чтобы пройти дополнительное статическое испытание на предельную прочность голеностопных узлов и узлов стоп, образец должен удовлетворять одному из следующих оценочных требований:
a) образец для испытаний должен выдержать или статическое нагружение пятки предельной испытательной силой
F1su, значение и направление нагружения которой соответствуют заданным для
F1su, upper level, или статическое нагружение носка предельной испытательной силой
F2su, значение и направление нагружения которой соответствуют заданным для
F2su, upper level, без разрушения или,
b) если механические характеристики образца препятствуют удовлетворению требования
перечисления a), то максимальное значение предельной испытательной силы
F1su или
F2su, выдерживаемой образцом без потери целостности конструкции, должно быть:
- равным или превышающим значение F1su, lower level, заданное для статического нагружения пятки, или
- равным или превышающим значение F2su, lower level, заданное для статического нагружения носка.
17.2.4.3 Условия соответствия
Для подтверждения соответствия протезного устройства/конструкции, представленного на испытание согласно
9.1 -
9.4, оценочным требованиям дополнительного статического испытания на предельную прочность голеностопных узлов и узлов стоп по
17.2.4.2 при установленном уровне нагрузки, должно быть выполнено следующее:
a) если испытательные силы
F1 и
F2 прикладывают со скоростью от 100 до 250 Н/с, то испытания данного вида, каждое из которых раздельно применяет нагружение пятки и носка к разным образцам, должны быть проведены (в значении
17.2.4.2) в каждом из этих направлений нагружения на двух образцах из назначенной группы, включая замененные образцы, допущенные
17.2.4.1.15 и
17.2.4.1.16 (см. также
17.2.4.1.17 в качестве рекомендации) (см.
9.4 и
таблицу 16);
b) если испытательные силы
F1 и
F2 прикладываются с повышенной скоростью нагружения в
приложении C (см.
17.2.4.1.1,
17.2.4.1.5,
17.2.4.1.11), то условие соответствия
перечисления a) должно быть применено в случае, если те же самые образцы также проходят (в значении
17.2.3.2) дополнительное статическое проверочное испытание голеностопных узлов и узлов стоп по настоящему стандарту в соответствующем направлении и при соответствующем уровне нагрузки (см.
17.2.4.1.6,
17.2.4.1.12 и
приложение C).
17.2.5 Дополнительное циклическое испытание голеностопных узлов и узлов стоп
17.2.5.1.1 Дополнительное циклическое испытание голеностопных узлов и узлов стоп должно быть проведено путем поочередного нагружения пятки и носка одного и того же образца, как описано в
17.2.5.1.3 -
17.2.5.1.12.
Примечание - Блок-схема этого испытания приведена на
рисунках 21 и
22.
Рисунок 21 - Блок-схема дополнительного циклического
испытания голеностопных узлов и узлов стоп, установленного
Рисунок 22 - Блок-схема дополнительного циклического
испытания голеностопных узлов и узлов стоп, установленного
17.2.5.1.2 Должны быть выполнены следующие общие требования:
a) в ходе циклического испытания определенные элементы должны быть заменены, когда число циклов достигнет значения, при котором такая замена предусмотрена в инструкциях по обслуживанию изготовителя/поставщика и/или сопроводительном документе на испытания [см.
12.3.5, перечисление b)]. Данные о всех таких заменах должны быть зарегистрированы;
b) образец, который завершает циклическое испытание без разрушения, должен быть подвергнут заключительному статическому нагружению пятки и носка испытательными силами
F1fin и
F2fin, последовательно прикладываемыми со скоростью от 100 до 250 Н/с и удерживаемыми в течение (30 +/- 3) с в каждом случае нагружения;
c) образец, который разрушается, и/или образец, который завершает циклическое испытание без разрушения, по требованию изготовителя/поставщика должен быть визуально исследован под увеличением, установленным в сопроводительном документе на испытания [см.
12.3.5, перечисление c)], а наличие, место и характер разрывов и/или трещин и примененное значение увеличения должно быть зарегистрировано.
Регистрируют уровень нагрузки, подлежащий применению, и соответствующие значения углов

и

и испытательных сил
F1 и
F2, определяющие направления и значения нагрузки пятки и носка, и назначенное число циклов. Делают специальную запись, если подлежат применению дополнительные уровни нагрузки P6, P7 и P8, установленные в
приложении D.
17.2.5.1.4 Устанавливают углы направления нагружения пятки

и носка

, установленные в
таблице 10, и регулируют платформу (платформы) нагружения пятки и носка перпендикулярно направлениям нагружения.
17.2.5.1.5 Устанавливают образец в испытательное оборудование как показано на
рисунке 7.
17.2.5.1.6 Прикладывают к образцу последовательно максимальные испытательные силы
F1cmax к пятке и
F2cmax к носку, значение которых для соответствующего уровня нагрузки установлены в
таблицах 11 или
D.3.
Если образец выдерживает последовательное статическое нагружение пятки и носка
F1cmax и
F2cmax, то продолжают работу с
17.2.5.1.7.
Если образец разрушается до достижения F1cmax и F2cmax при последовательном статическом нагружении пятки и носка, то регистрируют этот факт и наибольшее достигнутое значение испытательной силы в каждом направлении нагружения и прекращают испытание.
17.2.5.1.7 Прикладывают поочередно циклические испытательные силы
F1c(
t) к пятке и
F2c(
t) к носку в соответствии с требованиями
13.4.1.2 и значениями, установленными при соответствующем уровне нагрузки в
таблицах 11 или
D.3, при частоте от 0,5 до 3 Гц в соответствии с сопроводительным документом на испытания [см.
12.3.5, перечисление a)] для серии циклов для того, чтобы дать возможность образцу и испытательному оборудованию стабилизироваться.
Примечание 1 - Число циклов, требуемое при испытании для стабилизации, будет зависеть от вида образца и механизма управления испытательного оборудования.
Следят за тем, чтобы в течение стабилизации наибольшее значение силы, приложенной к пятке и носку образца, не превышало значение максимальной испытательной силы
F1cmax или
F2cmax более чем на 10% (см.
13.4.1.2.9).
Примечание 2 - Опыт показывает, что повторное нагружение при значениях, превышающих максимальное значение испытательной силы более чем на 10%, может вызывать преждевременное повреждение образца.
Не приступают к работе по
17.2.5.1.8 до тех пор, пока образец и испытательное оборудование не стабилизируются, а циклические испытательные силы
F1c(
t) и
F2c(
t) не достигнут формы волны, установленной в
13.4.1.2.4, и не будут удерживаться в пределах допусков, установленных в
14.3, перечисления f) и
g).
Регистрируют частоту и число циклов, требуемых для стабилизации, и прикладывались ли циклические силы
F1c(
t) и
F2c(
t) в соответствии с
13.4.1.2.4 и
14.3, перечисления f) и
g).
Если требуемая частота не может быть достигнута или циклические испытательные силы F1c(t) и F2c(t) не могут быть приложены как задано, то повторяют этапы, предшествующие 17.2.5.1.7, на другой частоте предпочтительно от 0,5 до 3 Гц, согласованной между испытательной лабораторией/центром и изготовителем/поставщиком.
Регистрируют любое соглашение по частоте, отличной от требуемого значения.
Если циклические испытательные силы F1c(t) и F2c(t) не могут быть приложены на частоте, согласованной между испытательной лабораторией/центром и изготовителем/поставщиком, то регистрируют это и прекращают испытание.
17.2.5.1.8 Прикладывают поочередно циклические испытательные силы
F1c(
t) к пятке и
F2c(
t) к носку в соответствии с требованиями
13.4.1.2 и значениями, установленными при соответствующем уровне нагрузки в
таблицах 11 или
D.3, при частоте от 0,5 до 3 Гц в соответствии с сопроводительным документом на испытания [см.
12.3.5, перечисление a)] или любым соглашением по частоте, отличной от требуемого здесь значения, предпочтительно от 0,5 до 3 Гц (см.
17.2.5.1.7) для назначенного числа циклов, установленного в
таблицах 11 или
D.3.
Проверяют форму волны приложенных испытательных сил
F1c(
t) и
F2c(
t). Прекращают испытание, если форма волны не соответствует
13.4.1.2.4.
Регистрируют примененную частоту, результаты проверки формы волны и решение о продолжении испытания.
17.2.5.1.9 В ходе циклического испытания заменяют элементы, которые должны быть заменены при нормальном обслуживании. Проводят следующие работы.
Останавливают испытательное оборудование, когда число циклов нагружения достигает значения, при котором обмен/замена этих элементов предусмотрен в инструкциях изготовителя/поставщика по обслуживанию и/или сопроводительном документе на испытания [см.
12.3.5, перечисление b) и
17.2.5.1.2, перечисление a)]. Регистрируют число циклов на момент отключения оборудования.
Обменивают/заменяют указанные элементы в соответствии с инструкциями изготовителя/поставщика по обслуживанию и/или с сопроводительным документом на испытания.
Возобновляют испытание с этапа
17.2.5.1.3 или с
17.2.5.1.7 в зависимости от механических характеристик этих элементов и сложности разборки и повторной сборки образца, необходимой для их обмена/замены.
Регистрируют подробное описание обмена/замены и условия возобновления испытания с указанием соответствующего пункта.
17.2.5.1.10 Продолжают испытание до возникновения отказа или достижения заданного числа циклов, установленного в
таблицах 11 или
D.3, как для пятки, так и для носка. Регистрируют число циклов на момент отключения оборудования и произошел ли отказ.
17.2.5.1.11 Со скоростью от 100 до 250 Н/с прикладывают к образцу, который завершает циклическое испытание без разрушения, заключительную статическую испытательную силу
F1fin в направлении пятки, определяемом углом

, и затем заключительную статическую испытательную силу
F2fin в направлении носка, определяемом углом

, значения которых при соответствующем уровне нагрузки установлены в
таблицах 11 или
D.3. Удерживают каждую нагрузку при максимальном значении в течение (30 +/- 3) с и регистрируют результаты [см.
17.2.5.1.2, перечисление b)].
Если образец для испытаний не выдерживает последовательное заключительное статическое нагружение пятки F1fin и носка F2fin в течение заданного времени в одном из направлений нагружения и разрушается, то регистрируют этот факт и наибольшее значение испытательной силы, достигнутое в каждом направлении нагружения, или время, в течение которого удерживались заданные значения заключительных статических испытательных сил F1fin и F2fin.
17.2.5.1.13 Если образец разрушился до удовлетворения любого из оценочных требований
17.2.5.2, то осматривают его для определения характера и (по возможности) места любого повреждения и регистрируют результаты.
17.2.5.1.14 По требованию изготовителя/поставщика визуально исследуют образец, который разрушается, и/или образец, который завершает дополнительное циклическое испытание голеностопных узлов и узлов стоп и заключительное статическое испытание без разрушения, для определения наличия, места и характера любых разрывов и/или трещин [см.
17.2.5.1.2, перечисление c)].
Выполняют исследование под увеличением, установленным в сопроводительном документе на испытания [см.
12.3.5, перечисление c)], или на условиях, согласованных с изготовителем/поставщиком.
Регистрируют примененное значение увеличения и полученные данные с учетом указаний изготовителя/поставщика по включению необходимой информации в документацию о результатах испытания.
17.2.5.2 Оценочные требования
Для того чтобы пройти дополнительное циклическое испытание голеностопных узлов и узлов стоп, образец должен удовлетворять следующим оценочным требованиям:
a) должен выдержать последовательное статическое нагружение пятки и носка максимальными испытательными силами F1cmax и F2cmax при заданных значениях и направлениях нагружения;
b) должен выдержать поочередное циклическое нагружение пятки и носка циклическими испытательными силами F1c(t) и F2c(t) при заданных уровнях и в диапазонах назначенного числа циклов;
c) должен выдержать последовательное статическое нагружение пятки и носка заключительными статическими испытательными силами F1fin и F2fin заданных значений и направлений нагружения в течение (30 +/- 3) с для каждого нагружения.
17.2.5.3 Условия соответствия
Для подтверждения соответствия протезного устройства/конструкции, представленного на испытание согласно
9.1 -
9.4, оценочным требованиям дополнительного циклического испытания голеностопных узлов и узлов стоп согласно
17.2.5.2 при установленном уровне нагрузки, испытания данного вида должны быть проведены (в значении
17.2.5.2) на двух образцах из назначенной группы (см.
9.4 и
таблицу 16).
17.3 Дополнительное статическое испытание на предельную прочность при максимальном сгибании коленных узлов и смежных с ними элементов
Требования данного испытания должны быть применены ко всем сборкам коленных узлов и смежным с ними элементам, которые обычно снабжены стопором сгибания коленного узла в полном протезе (см.
17.3.3.1), включая:
- сборки коленных узлов и смежные элементы, требуемые для их крепления к проксимальной и дистальной части протеза и/или для их установки в протезе;
- сборки узлов "колено - голень" и смежные элементы, требуемые для их крепления к проксимальной и дистальной части протеза и/или для их установки в протезе.
17.3.2 Цель испытания
Пользователи могут создавать большие нагрузки на протезы при полном сгибании коленного узла при стоянии на коленях или сидении на корточках (глубоком сгибании коленного узла). Для обеспечения соответствующего уровня безопасности при нормальном использовании протеза необходимо провести испытание на прочность.
17.3.3 Применимость испытания к конкретным образцам
17.3.3.1 Определяющим критерием для проведения испытания, установленного в
17.3.4, конкретных образцов является сложность определения необходимости применения стопора сгибания коленного узла.
Примечание 1 - Термин "стопор сгибания коленного узла", используемый в данном пункте и
17.3.1, охватывает некоторые физические границы, обеспечиваемые сборками, указанными в
17.3.1, которые останавливают угловое перемещение коленного узла в положении максимального сгибания коленного узла полных протезов. Термин не распространяется на конкретные амортизаторы стопора сгибания коленного узла, входящие в некоторые конструкции коленных узлов.
Учитывая комплексность этого критерия, для целей настоящего стандарта решение о проведении данного испытания принимают, основываясь на условиях, установленных в
17.3.3.2 и
17.3.3.3.
Примечание 2 - В некоторых протезах максимальное сгибание коленного узла, допускаемое сборками, указанными в
17.3.1, уменьшается из-за контакта с поверхностями других частей протеза, например, косметических элементов, приемной гильзы или пятки стопы. В этих случаях испытание при максимальном сгибании коленного узла не проводят.
17.3.3.2 Дополнительное статическое испытание на предельную прочность при максимальном сгибании коленного узла, установленное в
17.3.4, должно быть проведено для сборок коленного узла или узла "колено - голень" только, если стопор сгибания коленного узла встроен в коленный механизм или снабжен смежными элементами, перечисленными в
17.3.1.
Это должно определяться так, как указано в
17.3.4.1 и
17.3.4.2, а также с учетом информации, приведенной в сопроводительном документе на испытания (см.
12.2.3).
17.3.3.3 Испытание сборок коленного узла или узла "колено - голень" не следует проводить, если изготовитель/поставщик представил документ, подтверждающий, что:
a) стояние на коленях или сидение на корточках (глубокое сгибание коленного узла) исключены из назначенного использования в полном протезе в соответствии с письменными инструкциями изготовителя, поставляемыми с элементом каждого типа, или
b) сборки коленного узла или узла "колено - голень" со смежными элементами, перечисленными в
17.3.1, не предусматривают стопора сгибания коленного узла в полном протезе при любом применении, которое соответствует инструкциям изготовителя, касающимся:
- типа (типов) протезов (протезов при вычленении коленного узла, трансфеморального, и/или при вычленении бедра),
- крепления сборки к проксимальной и дистальной частям протезов,
- установки коленного узла в протезах.
Причины, по которым представленный образец не подлежит испытанию или его испытание не продолжают, должны быть зарегистрированы.
Примечание - Блок-схема данного испытания приведена на
рисунке 23.
Рисунок 23 - Блок-схема дополнительного статического
испытания на предельную прочность при максимальном сгибании
коленных узлов и смежных с ними элементов, установленного
Регистрируют значения длины Le и прикладываемой испытательной силы Fsu.
Обеспечивают условие, чтобы постериорный контур/форма и растяжение конструкции, представляющей сегмент бедра и голени в пределах длины Le (включая удлинители), были по возможности минимальных размеров в соответствии с инструкциями изготовителя, чтобы обеспечить достижение наибольшего значения сгибания коленного узла, возможного в обычном протезе, с учетом:
- использования сборок коленного узла или сборок узла "колено - голень" в протезах при вычленении в коленном суставе, трансфеморальных и/или при вычленении бедра;
- крепления этих сборок к проксимальной и к дистальной частям протезов и установки коленного узла в протезе;
- групп пользователей, для которых предназначено применение этих сборок в полном протезе.
Регистрируют параметры постериорной формы конструкций, представляющих сегмент бедра и части голени в пределах длины Le.
17.3.4.2 Перемещают образец в положение максимального сгибания коленного узла и определяют расположение/положение частей образца, которые стопорят дальнейшее сгибание.
Регистрируют расположение/положение частей образца, обеспечивающих стопорение сгибания коленного узла, и:
а) если сборка коленного узла и смежные с ним элементы крепления/установки или сборка "колено - голень", перечисленные в
17.3.1, обеспечивают остановку сгибания коленного узла, то продолжают работу с
17.3.4.3;
б) если элементы, перечисленные в
17.3.1, не обеспечивают остановку сгибания коленного узла, то прекращают испытание и регистрируют, что дополнительное статическое испытание на предельную прочность при максимальном сгибании коленного узла не применимо к данной конструкции, представленной на испытание, при установленных применении, креплении и установке в полных протезах, имитируемых в образце.
Регистрируют решение о продолжении испытания.
17.3.4.3 Устанавливают образец в испытательное оборудование, как показано на
рисунке 8.
17.3.4.4 Плавно со скоростью от 100 до 250 Н/с увеличивают испытательную силу
F, приложенную к концам удлинителей, до разрушения образца или, если не было отказа образца, до достижения испытательной силой
F статической испытательной силы
Fsu, значение которой установлено в
таблице 12.
Регистрируют наибольшее значение испытательной силы F, достигнутое при испытаниях, и произошел ли отказ.
17.3.4.5 Основываясь на оценочном требовании по
17.3.5, принимают решение и регистрируют, прошел ли образец испытание, установленное в
17.3.4.3 и
17.3.4.4, или разрушился, проверяя результаты, полученные на этапе
17.3.4.4.
17.3.4.6 Если образец разрушается до выполнения оценочного требования
17.3.5, то осматривают его для выявления характера и (по возможности) места любого повреждения и регистрируют результаты.
17.3.5 Оценочное требование
Для того чтобы пройти дополнительное статическое испытание на предельную прочность при максимальном сгибании коленных узлов и смежных с ними элементов, образец должен выдержать статическое нагружение статической испытательной силой Fsu заданного значения.
17.3.6 Условия соответствия
Для подтверждения соответствия протезного устройства/конструкции, представленного на испытание согласно
9.1 -
9.4, оценочному требованию дополнительного статического испытания на предельную прочность при максимальном сгибании коленных узлов и смежных с ними элементов по
17.3.5, испытания данного вида должны быть проведены (в значении
17.3.5) на двух образцах из назначенной группы (см.
9.4 и
таблицу 16).
17.4 Дополнительные испытания замков коленных узлов
17.4.1 Общие положения
Требования настоящего подраздела должны быть применены ко всем коленным узлам, включающим механизмы, которые запирают колено в растянутом положении.
17.4.2 Цель испытания
Замковые коленные узлы подвергаются сгибающим нагрузкам в фазе опоры при ходьбе, и отказ механизма замка коленного узла в этой фазе потенциально опасен. Для обеспечения соответствующего уровня безопасности при нормальном использовании протеза необходимо провести испытание на прочность замков коленных узлов.
17.4.3 Дополнительное статическое проверочное испытание замков коленных узлов
17.4.3.1.1 В соответствии с требованиями сопроводительного документа на испытания [см.
12.3.5, перечисление d)] или соглашением между изготовителем/поставщиком и испытательной лабораторией/центром дополнительное статическое проверочное испытание замков коленных узлов может быть заменено заключительным статическим испытанием, которое должно быть применено к образцу, завершившему дополнительное циклическое испытание замков коленных узлов без разрушения [см.
17.4.5.1.1, перечисление c) и
17.4.5.1.18]. Для этого требуется провести заключительное статическое испытание методом, установленным в
17.4.3.1.6 -
17.4.3.1.9.
Установка, регулировка и/или измерение длин сегментов и/или смещений [см.
17.4.3.1.2,
17.4.3.1.5 и
17.4.3.1.8, перечисление b)] должны быть проведены на образце, установленном или в испытательное оборудование, или в специальное приспособление, обеспечивающее приложение стабилизирующей испытательной силы
Fstab (см.
13.2.2).
Примечание - Блок-схема этого испытания приведена на
рисунке 24.
Рисунок 24 - Блок-схема дополнительного статического
проверочного испытания замков коленных
Если для данного испытания согласно
9.5.1 используют образец, который завершил дополнительное циклическое испытание замков коленных узлов (включая заключительное статическое испытание) без разрушения, то его повторно центрируют в соответствии с
разделами 10 и
11,
12.2.1,
примечанием 1 к 16.1.1 и
таблицей 13 (см. также
17.4.3.1.12). Регистрируют повторное использование образца.
Регистрируют значения смещений и приложенных испытательных сил.
При нулевой нагрузке устанавливают (или проверяют и при необходимости корректируют) длины сегментов образца (
uA -
uB,
uK -
uA и
uT -
uK или любую другую конкретную комбинацию) (см.
10.3.6) в соответствии со значениями, установленными в
таблице 5.
Регистрируют комбинацию и значения установленных длин сегментов.
При нулевой нагрузке первоначально устанавливают (или проверяют и при необходимости корректируют) нижний и верхний нагрузочные рычаги до получения значений смещений голеностопного и коленного узлов (
fA,
fK,
oA и
oK) (см.
6.8.1), установленных в
таблице 13.
Регистрируют первоначальные значения установленных смещений.
Если установку длин сегментов и смещений при нулевой нагрузке выполняют на образце, помещенном в специальное приспособление, то перед проведением работ по
17.4.3.1.3 образец из приспособления перемещают в испытательное оборудование.
Регистрируют, применялось ли специальное приспособление.
17.4.3.1.3 Прикладывают к образцу опрессовочную испытательную силу
Fset, значение которой установлено в
таблице 14.
Удерживают силу Fset при заданном значении не менее 10 и не более 30 с, а затем снимают ее. Регистрируют затраченное время.
Дают образцу выдержку при нулевой нагрузке не менее 10 и не более 20 мин перед проведением работ согласно
17.4.3.1.3. Регистрируют время выдержки.
17.4.3.1.4 Прикладывают к образцу и удерживают при проведении регулировок по
17.4.3.1.5, измерений и регистрации по
17.4.3.1.6 стабилизирующую испытательную силу
Fstab, значение которой установлено в
таблице 14.
Если регулировки согласно
17.4.3.1.5 выполняют на образце, помещенном в специальное приспособление, то после завершения работ согласно
17.4.3.1.3 образец перемещают из испытательного оборудования в приспособление и прикладывают стабилизирующую испытательную силу
Fstab с помощью приспособления. Затем снимают силу
Fstab и повторно прикладывают ее с помощью испытательного оборудования после перемещения образца из приспособления в испытательное оборудование перед проведением работ по
17.4.3.1.6.
Регистрируют, применялось ли специальное приспособление.
17.4.3.1.5 Окончательно регулируют нижний и верхний нагрузочные рычаги до получения значений смещений голеностопного и коленного узлов (
fA,
fK,
oA и
oK), установленных в
таблице 13, при стабилизирующей испытательной силе
Fstab.
Регистрируют окончательные значения установленных смещений.
17.4.3.1.6 Выполняют следующее:
a) измеряют и регистрируют расстояние
LBT (см.
6.8.4) как
L9 или перемещение

движущейся точки приложения нагрузки из ее исходного положения в испытательном оборудовании, как

;
b) по требованию изготовителя/поставщика измеряют и регистрируют действительные плечи рычагов
LA и
LK (см.
6.8.3).
Обратите внимание на то, что полученные данные не соответствуют оценочным требованиям
17.4.3.2, хотя могут предоставлять интересную и полезную информацию в сочетании с данными, полученными по
17.4.3.1.8, перечисление b), особенно о деформации образца под нагрузкой. По этой причине данные измерения и записи выполняют только по требованию изготовителя/поставщика.
Примечание - В принципе, измерение и регистрация действительных плеч рычагов
LA и
LK здесь не являются необходимыми. Они идентичны смещениям голеностопного и коленного узлов
fA и
fK, т.к. установлены до того же значения в той же самой плоскости (
oA и
oK установлены при нуле), поскольку линия нагружения проходит параллельно оси
u. Однако они могут изменяться после приложения проверочной нагрузки [см.
17.4.3.1.8, перечисление b)].
17.4.3.1.7 Плавно, со скоростью от 100 до 250 Н/с увеличивают испытательную силу
F до проверочной испытательной силы
Fsp, значение которой установлено в
таблице 14.
Удерживают эту силу Fsp при заданном значении в течение (30 +/- 3) с.
Уменьшают испытательную силу F до Fstab.
Если образец выдерживает статическое нагружение
Fsp в течение заданного времени, то регистрируют этот факт и продолжают работу с
17.4.3.1.8.
Если образец не выдерживает статическое нагружение
Fsp в течение заданного времени и разрушается, то регистрируют этот факт и наибольшее достигнутое значение испытательной силы или время, в течение которого заданное значение проверочной испытательной силы
Fsp удерживалось, и прекращают испытание (но см.
17.4.3.1.12).
17.4.3.1.8 Удерживают (или, если применяют специальное приспособление, прикладывают и удерживают) испытательную силу
Fstab до завершения измерений и записей по
перечислению a) [и
перечислению b)], указанных ниже:
a) измеряют и регистрируют расстояние
LBT как
L10 или перемещение

движущейся точки приложения нагрузки из ее исходного положения в испытательном оборудовании как

. Завершают измерение в течение 5 мин (см.
примечание);
b) по требованию изготовителя/поставщика измеряют и регистрируют смещения
fA,
fK,
oA и
oK и/или действительные плечи рычагов
LA и
LK. Завершают измерения в течение 15 мин (см.
примечание).
Обратите внимание на то, что полученные данные не соответствуют оценочным требованиям
17.4.3.2, хотя могут представлять интересную и полезную информацию в сочетании с данными, полученными по
17.4.3.1.6, перечисление b), особенно о деформации образца под нагрузкой. По этой причине данные измерения и записи выполняют только по требованию изготовителя/поставщика.
Если измерения по
перечислению b) выполняют на образце, помещенном в специальное приспособление, то снимают стабилизирующую испытательную силу F
stab и повторно прикладывают ее с помощью приспособления после перемещения образца из испытательного оборудования в приспособление после завершения измерений по
перечислению a).
После уменьшения значения испытательной силы
F до
Fstab (17.4.3.1.7) отмечают и регистрируют время, в течение которого проводилось каждое из измерений по
перечислениям a) и
b).
Регистрируют, применялось ли специальное приспособление.
Примечание - Ограничения по времени устанавливают для того, чтобы ограничить воздействие возврата на остаточную деформацию
(17.4.3.1.9), смещения голеностопного и коленного узлов и действительные плечи рычагов. Различные значения ограничения времени, установленные для измерений по
перечислениям a) и
b), учитывают различное время, необходимое для измерений и регистрации.
17.4.3.1.9 Вычисляют и регистрируют остаточную деформацию
D4 между нижней и верхней точками приложения нагрузки:
D4 =
L9 -
L10 или

. (16)
17.4.3.1.10 Основываясь на оценочных требованиях по
17.4.3.2, принимают решение и регистрируют, прошел ли образец испытание, установленное в
17.4.3.1.2 -
17.4.3.1.9, или разрушился, проверяя результаты, полученные на этапах
17.4.3.1.7 и
17.4.3.1.9.
17.4.3.1.11 Если образец разрушается до выполнения какого-либо из оценочных требований
17.4.3.2, то его осматривают с целью выявления характера и (по возможности) места повреждения, а также регистрируют результаты.
17.4.3.1.12 Если образец, который уже прошел без разрушения дополнительное циклическое испытание замков коленных узлов (см.
17.4.3.1.2), разрушается, не выполнив какого-либо из оценочных требований
17.4.3.2, то повторяют испытание на замененном образце и регистрируют отказ и повторное испытание, включая все требуемые специальные записи.
17.4.3.2 Оценочные требования
Для того чтобы пройти дополнительное статическое проверочное испытание замков коленных узлов, образец должен удовлетворять следующим оценочным требованиям:
a) образец должен выдержать статическое нагружение проверочной испытательной силой
Fsp заданного значения в течение (30 +/- 3) с;
b) значение остаточной деформации
D4 образца не должно превышать:
- 2 мм при общей длине образца (uT - uB)specified = 650 мм, или
- 2 мм, умноженных на отношение [(
uT -
uB)
actual/(
uT -
uB)
specified], при значениях общей длины образца, превышающих 650 мм (см.
сноску <b> таблицы 5).
17.4.3.3 Условия соответствия
Для подтверждения соответствия протезного устройства/конструкции, представленного на испытание согласно
9.1 -
9.4, оценочным требованиям дополнительного статического проверочного испытания замков коленных узлов по
17.4.3.2, испытания данного вида должны быть проведены (в значении
17.4.3.2) на двух образцах из назначенной группы, включая замененный образец, допущенный
17.4.3.1.12 (см.
9.4 и
таблицу 16).
17.4.4 Дополнительное статическое испытание на предельную прочность замков коленных узлов
Установка и регулировка длин сегментов и/или смещений (см.
17.4.4.1.2 и
17.4.4.1.5) должны быть выполнены на образце, установленном или в испытательное оборудование, или в специальное приспособление, обеспечивающее приложение стабилизирующей испытательной силы
Fstab (см.
13.2.2).
Примечание - Блок-схема данного испытания приведена на
рисунке 25.
Рисунок 25 - Блок-схема дополнительного статического
испытания на предельную прочность замков
коленных узлов, установленного в
17.4.4.1
| | ИС МЕГАНОРМ: примечание. Нумерация пунктов дана в соответствии с официальным текстом документа. | |
Если образец, который завершил дополнительное статическое проверочное испытание замков коленных узлов без разрушения, используют для данного испытания согласно
9.5.1, то повторно устанавливают его в соответствии с
разделами 10 и
11,
12.2.1,
примечанием 1 к 16.1.1 и
таблицей 13 (см. также
17.4.4.1.9). Регистрируют повторное применение образца.
Если образец, который прошел дополнительное циклическое испытание замков коленных узлов (включая заключительное статическое испытание) без разрушения, используют для данного испытания согласно
9.5.1, то повторно устанавливают его в соответствии с
разделами 10 и
11,
12.2.1,
примечанием 1 к 16.1.1 и
таблицей 13 (см. также
17.4.4.1.9). Регистрируют повторное использование образца.
Регистрируют значения смещений и приложенных испытательных сил.
При нулевой нагрузке устанавливают (проверяют и при необходимости корректируют) длины сегментов образца (
uA -
uB,
uK -
uA и
uT -
uK или другую конкретную комбинацию) (см.
10.3.6) в соответствии с значениями, установленными в
таблице 5.
Регистрируют комбинацию и значения установленных длин сегментов.
При нулевой нагрузке первоначально устанавливают (или проверяют и при необходимости корректируют) нижний и верхний нагрузочные рычаги до значений смещений голеностопного и коленного узлов (
fA,
fK,
oA и
oK) (см.
6.8.1), установленных в
таблице 13.
Регистрируют первоначальные значения установленных смещений.
Если установку длин сегментов и смещений при нулевой нагрузке выполняют на образце, помещенном в специальное приспособление, то перемещают его из приспособления в испытательное оборудование перед проведением работ с
17.4.4.1.3.
Регистрируют, применялось ли специальное приспособление.
17.4.4.1.3 Прикладывают к образцу опрессовочную испытательную силу
Fset, значение которой установлено в
таблице 14.
Удерживают эту силу Fset при заданном значении не менее 10 и не более 30 с, а затем снимают ее. Регистрируют затраченное время.
Дают образцу выдержку при нулевой нагрузке не менее 10 и не более 20 мин перед проведением работ с
17.4.4.1.4. Регистрируют время выдержки.
17.4.4.1.4 Прикладывают к образцу и удерживают в течение регулировок по
17.4.4.1.5 стабилизирующую силу
Fstab, значение которой установлено в
таблице 14.
Если регулировки по
17.4.4.1.5 выполняют на образце, помещенном в специальное приспособление, то прикладывают стабилизирующую силу
Fstab с помощью приспособления после перемещения образца из испытательного оборудования в приспособление после завершения работ по
17.4.4.1.3. Затем снимают
Fstab и повторно прикладывают ее с помощью испытательного оборудования после перемещения образца из приспособления в испытательное оборудование перед проведением работ с
17.4.4.1.6.
Регистрируют, применялось ли специальное приспособление.
17.4.4.1.5 Окончательно регулируют нижний и верхний нагрузочные рычаги до получения значений смещений голеностопного и коленного узлов (
fA,
fK,
oA и
oK), установленных в
таблице 13, при стабилизирующей испытательной силе
Fstab.
Регистрируют окончательные значения установленных смещений.
17.4.4.1.6 Плавно, со скоростью от 100 до 250 Н/с, увеличивают испытательную силу
F до разрушения образца или, если отказа не было, до достижения испытательной силой
F предельной испытательной силы
Fsu, значение которой установлено в
таблице 14.
Регистрируют наибольшее значение испытательной силы F, достигнутое при испытании, и произошел ли отказ.
По специальному требованию изготовителя/поставщика или требованию сопроводительного документа на испытания
[12.3.4, перечисление a)] продолжают дополнительное статическое испытание на предельную прочность замков коленных узлов после того, как образец выдержал предельную испытательную силу
Fsu до достижения фактического отказа, и регистрируют значение нагрузки при отказе.
Обратите внимание, что в этом случае применяемые концевые крепления должны иметь более высокое значение жесткости, и их прогиб и остаточная деформация не должны превышать предельных значений, установленных в
13.2.1.2.10 при более высокой проверочной нагрузке, чем установленная в
таблице 4 (см.
второй параграф 13.2.1.2.1).
17.4.4.1.7 Основываясь на оценочном требовании по
17.4.4.2, принимают решение и регистрируют, прошел ли образец испытание, установленное в
17.4.4.1.2 -
17.4.4.1.6, или разрушился, проверяя результаты, полученные на этапе
17.4.4.1.6.
17.4.4.1.8 Если образец разрушается до удовлетворения оценочного требования
17.4.4.2, то его осматривают для выявления характера и (по возможности) места повреждения и регистрируют результаты.
17.4.4.1.9 Если образец, который уже прошел дополнительное статическое проверочное испытание и/или дополнительное циклическое испытание замков коленных узлов без разрушения (см.
17.4.4.1.2), разрушается, не выполнив оценочного требования
17.4.4.2, то повторяют испытание на замененном образце и регистрируют отказ и повторное испытание, включая все требуемые специальные записи.
17.4.4.2 Требование к выполнению испытания
Для того чтобы пройти дополнительное статическое испытание на предельную прочность замков коленных узлов, образец должен выдержать статическое нагружение предельной испытательной силой Fsu заданного значения.
17.4.4.3 Условия соответствия
Для подтверждения соответствия протезного устройства/конструкции, представленного на испытание согласно
9.1 -
9.4, оценочному требованию дополнительного статического испытания на предельную прочность замков коленных узлов по
17.4.4.2 испытания данного вида должны быть проведены (в значении
17.4.4.2) на двух образцах из назначенной группы, включая замененный образец, допущенный
17.4.4.1.9 (см.
9.4 и
таблицу 16).
17.4.5 Дополнительное циклическое испытание замков коленных узлов
17.4.5.1.1 Должны быть выполнены следующие общие требования:
a) если выбранная частота нагружения выше 1 Гц, то максимальная частота должна быть ниже уровня, при котором начинает проявляться влияние динамической массы на максимальное значение нагрузки или форму волны;
b) в ходе циклического испытания определенные элементы должны быть заменены, когда число циклов достигнет значения, при котором такая замена предусмотрена в инструкциях изготовителя/поставщика по обслуживанию и/или сопроводительном документе на испытания [см.
12.3.5, перечисление b)]. Данные о всех заменах должны быть зарегистрированы;
c) образец, который завершает циклическое испытание без разрушения, должен быть подвергнут заключительному статическому нагружению испытательной силой
Ffin, прикладываемой со скоростью от 100 до 250 Н/с и удерживаемой в течение (30 +/- 3) с.
В соответствии с требованием сопроводительного документа на испытания [см.
12.3.5, перечисление d)], или по согласованию между изготовителем/поставщиком и испытательной лабораторией/центром заключительное статическое испытание может заменять также дополнительное статическое проверочное испытание замков коленных узлов, если его проводят без повторной установки образца методом, установленным в
17.4.3.1.6 -
17.4.3.1.9;
d) образец, который разрушается, и/или образец, который завершает циклическое испытание без разрушения, по требованию изготовителя/поставщика должен быть визуально исследован под увеличением, установленным в сопроводительном документе на испытания [см.
12.3.5, перечисление c)], а наличие, расположение и характер любых разрывов и/или трещин и примененное значение увеличения зарегистрировано;
e) установка, регулировка и/или измерения длин сегментов и/или смещений [см.
17.4.5.1.2,
17.4.5.1.4 (
17.4.5.1.16 и
17.4.5.1.18)] должны быть выполнены на образце, установленном или в испытательное оборудование, или в специальное приспособление, обеспечивающее приложение стабилизирующей испытательной силы
Fstab (см.
13.2.2).
Примечание - Блок-схема данного испытания приведена на
рисунках 26 -
28.
Рисунок 26 - Блок-схема дополнительного циклического
испытания замков коленных узлов, установленного
Рисунок 27 - Блок-схема дополнительного циклического
испытания замков коленных узлов, установленного в
17.4.5.1
Рисунок 28 - Блок-схема дополнительного циклического
испытания замков коленных узлов, установленного в
17.4.5
Регистрируют значения смещений, испытательных сил и назначенное число циклов, подлежащих применению.
При нулевой нагрузке устанавливают (проверяют и при необходимости корректируют) длины сегментов образца (
uA -
uB,
uK -
uA и
uT -
uK или любую другую комбинацию) (см.
10.3.6) в соответствии с значениями, установленными в
таблице 5.
Регистрируют комбинацию и значения установленных длин сегментов.
При нулевой нагрузке первоначально устанавливают (или проверяют и при необходимости корректируют) нижний и верхний нагрузочные рычаги до получения значений смещений голеностопного и коленных узлов (
fA,
fK,
oA и
oK) (см.
6.8.1), установленных в
таблице 13.
Регистрируют первоначальные значения установленных смещений.
Если установку длин сегментов и смещений при нулевой нагрузке выполняют на образце, помещенном в специальное приспособление, то перемещают образец из приспособления в испытательное оборудование перед проведением работ с
17.4.5.1.3.
Регистрируют, применялось ли специальное приспособление.
17.4.5.1.3 Прикладывают к образцу опрессовочную испытательную силу
Fset, значение которой установлено в
таблице 14.
Удерживают эту силу Fset при заданном значении не менее 10 и не более 30 с, а затем снимают ее. Регистрируют затраченное время.
Дают образцу выдержку при нулевой нагрузке не менее 10 и не более 20 мин перед проведением работ согласно
17.4.5.1.4. Регистрируют время выдержки.
17.4.5.1.4 Прикладывают к образцу и удерживают во время проведения регулировок по
17.4.5.1.5, измерений и регистрации по
17.4.5.1.6 стабилизирующую испытательную силу
Fstab, значение которой установлено в
таблице 14.
Если регулировки по
17.4.5.1.5 выполняют на образце, помещенном в специальное приспособление, то прикладывают стабилизирующую испытательную силу
Fstab с помощью приспособления после перемещения образца из испытательного оборудования в приспособление после завершения работ по
17.4.5.1.3, а затем снимают
Fstab и повторно прикладывают эту силу с помощью испытательного оборудования после перемещения образца из приспособления в испытательное оборудование перед проведением работ с
17.4.5.1.6.
Регистрируют, применялось ли специальное приспособление.
17.4.5.1.5 Окончательно регулируют нижний и верхний нагрузочные рычаги до получения значений смещений голеностопного и коленного узлов (
fA,
fK,
oA и
oK), установленных в
таблице 13, при стабилизирующей испытательной силе
Fstab.
Регистрируют окончательные значения установленных смещений.
17.4.5.1.6 Выполняют следующее:
a) измеряют и регистрируют расстояние
LBT (см.
6.8.4) как
L11 или перемещение

движущейся точки приложения нагрузки из исходного положения в испытательном оборудовании, как

;
b) по требованию изготовителя/поставщика измеряют и регистрируют действительные плечи рычагов
LA и
LK (см.
6.8.3).
Обратите внимание на то, что полученные данные не соответствуют
17.4.5.2, хотя могут предоставлять интересную и полезную информацию в сочетании с данными, полученными по
17.4.5.1.8, перечисление b),
17.4.5.1.16 и
17.4.5.1.17, особенно о деформации образца под нагрузкой. По этой причине данные измерения и регистрацию выполняют только по требованию изготовителя/поставщика.
Примечание - В принципе измерение и регистрация действительных плеч рычагов
LA и
LK не являются здесь необходимыми. Они идентичны смещениям голеностопного и коленного узлов
fA и
fK, т.к. установлены того же значения в той же самой плоскости (
oA и
oK установлены на нуле), поскольку линия нагружения проходит параллельно оси
u. Однако они могут изменяться после применения других условий нагружения [см.
17.4.5.1.8, перечисление b),
17.4.5.1.16 и
17.4.5.1.17].
17.4.5.1.7 Прикладывают к образцу максимальную испытательную силу
Fcmax, значение которой установлено в
таблице 14.
Удерживают силу
Fcmax до завершения этапа
17.4.5.1.8.
17.4.5.1.8 Выполняют следующее:
a) измеряют и регистрируют расстояние
LBT как
L12 или перемещение

движущейся точки приложения нагрузки из исходного положения в испытательном оборудовании как

;
b) при наличии требования изготовителя/поставщика (см.
примечание к 17.4.5.1.6) измеряют и регистрируют смещения
fA,
fK,
oA и
oK и/или действительные плечи рычагов
LA и
LK.
Обратите внимание на то, что полученные данные не имеют отношения к оценочным требованиям
17.4.5.2, хотя могут предоставлять интересную и полезную информацию в сочетании с данными, полученными в соответствии с
17.4.5.1.6, перечисление b),
17.4.5.1.16 и
17.4.5.1.17, особенно о деформации образца под нагрузкой. По этой причине измерения и регистрации выполняют только по требованию изготовителя/поставщика.
17.4.5.1.9 Уменьшают испытательную силу
F до минимальной испытательной силы
Fcmin, значение которой установлено в
таблице 14.
Если образец выдерживает статическое нагружение
Fcmax согласно этапу
17.4.5.1.8, то продолжают работу по
17.4.5.1.10.
Если образец разрушается до завершения этапа
17.4.5.1.8 при статическом нагружении
Fcmax, то регистрируют этот факт и наибольшее достигнутое значение испытательной силы или время, в течение которого назначенное значение максимальной испытательной силы
Fcmax удерживалось, и прекращают испытание.
17.4.5.1.10 Прикладывают к образцу циклическую испытательную силу
Fc(
t) в соответствии с требованиями
13.6.3.2,
13.2.3.2.3 и
17.4.5.1.1, перечисление a), и значениями, установленными в
табл. 14, при частоте, предусмотренной в сопроводительном документе на испытания [см.
12.3.5, перечисление a)] для серии циклов, дающих возможность образцу и испытательному оборудованию стабилизироваться.
Примечание 1 - Число циклов, требуемое при испытании для стабилизации, зависит от вида образца и механизма управления испытательного оборудования.
Следят за тем, чтобы в течение стабилизации наибольшее значение силы, приложенной к образцу, не превышало максимальное значение испытательной силы
Fcmax более чем на 10% (см.
13.6.3.2.2,
13.2.3.2.8).
Примечание 2 - Опыт показывает, что повторное нагружение при значениях, превышающих максимальное значение испытательной силы Fcmax более чем на 10%, может вызвать преждевременное повреждение образца.
Не приступают к работе с
17.4.5.1.11 до тех пор, пока образец и испытательное оборудование не стабилизируются, а циклическая испытательная сила
Fc(
t) не достигнет формы волны, установленной в
13.6.3.2.2,
13.2.3.2.8, и не будет удерживаться в пределах допусков, установленных в
14.3, перечисления f) и
g).
Останавливают испытательное оборудование и регистрируют частоту и число циклов, требуемые для стабилизации, и прикладывалась ли циклическая испытательная сила
Fc(
t) в соответствии с
13.2.3.2.3 и
14.3, перечисления f) и
g).
Если требуемая частота не может быть достигнута или циклическая испытательная сила
Fc(
t) не может быть приложена, как это задано, то повторяют этапы, предшествующие
17.4.5.1.10, при другой частоте, согласованной между испытательной лабораторией/центром и изготовителем/поставщиком.
Регистрируют любое соглашение по частоте, отличной от требуемого значения.
Если циклическая испытательная сила Fc(t) не может быть приложена на частоте, согласованной между испытательной лабораторией/центром и изготовителем/поставщиком, то регистрируют этот факт и прекращают испытание.
17.4.5.1.11 Прикладывают к образцу максимальную испытательную силу
Fcmax
Измеряют и регистрируют первоначальное значение расстояния
LBT как
L13 или перемещения

движущейся точки приложения нагрузки из исходного положения в испытательном оборудовании как

.
17.4.5.1.12 Уменьшают испытательную силу F до минимальной испытательной силы Fcmin
Проверяют форму волны приложенной циклической испытательной силы
Fc(
t). Прекращают испытание, если форма волны не соответствует
13.6.3.2.2,
13.2.3.2.3.
Регистрируют примененную частоту и результаты проверки формы волны и решение о продолжении испытания.
Настраивают испытательное оборудование таким образом, чтобы оно отключалось при перемещении на 5 мм ниже первоначального значения расстояния
L13 при
Fcmax или на 5 мм выше первоначального значения перемещения

при
Fcmax, определенных по
17.4.5.1.11.
17.4.5.1.14 Регистрируют все случаи отключения оборудования и число циклов нагрузки, приложенной к этому времени, продолжительность и причины отключения.
17.4.5.1.15 Исследуют образец на повреждения, если испытательное оборудование отключалось из-за чрезмерного перемещения, и:
a) если отсутствуют признаки разрушения, возобновляют испытание с
17.4.5.1.10 и прикладывают назначенное число циклов, уменьшенное на число циклов, завершенных до отключения испытательного оборудования. Регистрируют возобновление испытания;
b) если образец разрушается, регистрируют этот факт и число циклов на момент отключения испытательного оборудования и прекращают испытание (см.
17.4.5.1.22).
17.4.5.1.16 В ходе циклического испытания заменяют элементы, которые должны быть заменены при нормальном обслуживании. Проводят следующие работы.
Останавливают испытательное оборудование, когда число циклов нагружения достигает значения, при котором обмен/замена этих элементов предусмотрен в инструкциях изготовителя/поставщика по обслуживанию и/или в сопроводительном документе на испытания [см.
12.3.5, перечисление b) и
17.4.5.1.1, перечисление b)]. Регистрируют число циклов на момент отключения.
Измеряют и регистрируют расстояние
LBT или перемещение

и, по требованию изготовителя/поставщика [см. дополнительные указания
17.4.5.1.6, перечисление b) и
17.4.5.1.8, b)], смещения f
A,
fK,
oA и
oK и/или действительные плечи рычагов
LA и
LK при приложенной испытательной силе
Fcmin, а затем при приложенной испытательной силе
Fcmax.
Обменивают/заменяют указанные элементы в соответствии с инструкциями изготовителя/поставщика по обслуживанию и/или сопроводительным документом на испытания.
Возобновляют испытание с
17.4.5.1.2,
17.4.5.1.3 или
17.4.5.1.10 в зависимости от механических свойств данных элементов и сложности разборки и повторной сборки образца, необходимой для их обмена/замены.
Регистрируют подробное описание обмена/замены, условия возобновления и номер соответствующего раздела.
17.4.5.1.17 Продолжают испытание до возникновения отказа или завершения назначенного числа циклов, установленного в
таблице 14.
Если происходит отказ, регистрируют этот факт, число циклов на момент отключения испытательного оборудования и прекращают испытание (см.
17.4.5.1.22).
Если проведено назначенное число циклов, то останавливают испытательное оборудование, измеряют и регистрируют расстояние
LBT или перемещение

и, по требованию изготовителя/поставщика [см. дополнительные указания
17.4.5.1.6, перечисление b) и
17.4.5.1.8, перечисление b)], смещения
fA,
fK,
oA и
oK и/или действительные плечи рычагов
LA и
LK при приложенной испытательной силе
Fcmin, а затем при приложенной испытательной силе
Fcmax. Регистрируют число циклов в момент отключения.
17.4.5.1.18 Прикладывают к образцу, который завершает циклическое испытание без разрушения, заключительную статическую испытательную силу
Ffin, значение которой установлено в
таблице 14, со скоростью нагружения от 100 до 250 Н/с и удерживают силу в течение (30 +/- 3) с, регистрируют результаты.
Если образец не выдерживает заключительное статическое нагружение Ffin в течение назначенного времени и разрушается, то регистрируют этот факт и наибольшее достигнутое значение испытательной силы или время, в течение которого удерживалось заданное значение заключительной статической испытательной силы Ffin.
Если заключительное статическое испытание предназначено также для замены дополнительного статического проверочного испытания замков коленных узлов, установленного в
17.4.3.1 [см.
17.4.5.1.1, перечисление c)], то следует руководствоваться указаниями, приведенными в
17.4.3.1.6 -
17.4.3.1.9.
17.4.5.1.20 Если образец разрушается до удовлетворения любого из оценочных требований
17.4.5.2, то осматривают его для определения характера и (по возможности) места любого повреждения и регистрируют результаты.
17.4.5.1.21 По требованию изготовителя/поставщика визуально исследуют образец замков коленных узлов, который разрушается, и/или образец, который завершает дополнительные циклическое и заключительное статическое испытания без разрушения для выявления наличия, места и характера любых разрывов и/или трещин [см.
17.4.5.1.1, перечисление d)].
Выполняют исследование под увеличением, установленным в сопроводительном документе на испытания [см.
12.3.5, перечисление c)] или на условиях, согласованных с изготовителем/поставщиком, если приемлемо.
Регистрируют примененное значение увеличения и полученные данные с учетом указаний изготовителя/поставщика по включению необходимой информации в документацию о результатах испытания [см.
12.3.5, перечисление c)].
17.4.5.1.22 Если образец, испытанный на частоте 3 Гц или выше, разрушается до выполнения какого-либо из оценочных требований
17.4.5.2, то повторяют испытание на замененном образце на частоте менее 3 Гц, установленной в сопроводительном документе на испытания [см.
12.3.5, перечисление e)] или по согласованию между испытательной лабораторией/центром и изготовителем/поставщиком, и регистрируют отказ и повторное испытание, включая все требуемые специальные записи.
17.4.5.2 Оценочные требования
17.4.5.2.1 Для того чтобы пройти дополнительное циклическое испытание замков коленных узлов, образец должен удовлетворять оценочным требованиям:
a) образец должен выдержать статическое нагружение максимальной испытательной силой
Fcmax заданного значения в течение времени, требуемого для измерений и регистрации по
17.4.5.1.8;
b) образец должен выдержать циклическое нагружение циклической испытательной силой Fc(t) при заданном уровне нагрузки и назначенном числе циклов;
c) образец должен выдержать статическое нагружение заключительной статической испытательной силой
Ffin заданного значения в течение (30 +/- 3) с.
17.4.5.2.2 Для того, чтобы пройти также дополнительное статическое проверочное испытание замков коленных узлов, установленное в
17.4.3.1, при заключительном статическом испытании, проводимом методом, установленным в
17.4.3.1.6 -
17.4.3.1.9 для дополнительного статического проверочного испытания замков коленных узлов [см.
17.4.5.1.1, перечисление c) и
17.4.5.1.18], образец должен удовлетворять
17.4.5.2.1, перечисление c) [идентичному
17.4.3.2, перечисление a)] и следующему требованию [идентичному
17.4.3.2, перечисление b)]:
Значение остаточной деформации D4 образца не должно превышать 2 мм.
Если образец удовлетворяет оценочному требованию
17.4.5.2.1, перечисление c), но разрушается до выполнения оценочного требования, указанного в
17.4.5.2.2, то дополнительное статическое проверочное испытание замков коленных узлов должно быть проведено в соответствии с
17.4.3.1.
17.4.5.3 Условия соответствия
17.4.5.3.1 Для подтверждения соответствия протезного устройства/конструкции, представленного на испытание согласно
9.1 -
9.4, оценочным требованиям настоящего международного стандарта в отношении дополнительного циклического испытания замков коленных узлов согласно
17.4.5.2.1, испытания данного вида должны быть проведены (в значении
17.4.5.2.1) на двух образцах из назначенной группы, включая замененный образец, допущенный
17.4.5.1.22 (см.
9.4 и
таблицу 16).
17.4.5.3.2 Для подтверждения соответствия того, что протезное устройство/конструкция, представленное на испытание согласно
9.1 -
9.4, удовлетворяет также условиям соответствия дополнительного статического проверочного испытания замков коленных узлов согласно
17.4.3.3,
17.4.5.3.1, испытание должно быть применено при условии, что образцы также удовлетворяют оценочному требованию
17.4.5.2.2.
18 Журнал испытательной лаборатории/центра
18.1.1 Испытательная лаборатория/центр, проводящая испытания, установленные в настоящем стандарте и указанные в сопроводительном документе на испытания, должна обеспечить, чтобы все требуемые по настоящему стандарту записи были приведены в журнале испытательной лаборатории/центра.
18.1.2 Должны быть четко указаны наименование поставщика образцов и обозначение сопроводительного документа на испытания, а дата или даты получения образцов зарегистрированы.
18.1.3 Должно быть четко указано обозначение отчета или отчетов об испытаниях (например, порядковый номер), а даты подготовки и представления зарегистрированы.
18.2 Специальные требования
В соответствии с положениями настоящего стандарта в журнале испытательной лаборатории/центра должны быть приведены специальные записи, касающиеся:
a) обозначения (номера) применяемого испытательного оборудования, концевых креплений, специального приспособления и измерительных устройств (если применялись);
b) отбора, типа, подготовки, обозначения и установки образцов;
c) проведения конкретных испытаний, выбранных в соответствии с настоящим стандартом и сопроводительным документом на испытания;
d) любых необычных свойств, наблюдавшихся в течение испытания (испытаний).
Примечание - В
приложении E для информации и указаний сотрудникам испытательной лаборатории/центра и поставщикам (см.
19.3) приведены данные, которые должны быть включены в журнал испытательной лаборатории/центра.
19.1.1 Испытательная лаборатория/центр должна подготовить протокол о проведенном испытании (испытаниях) и представить, как минимум, одну копию поставщику образца.
Примечание - Испытательная лаборатория/центр должна хранить другую копию протокола испытания вместе с журналом испытания. Это упростит ответы на возможные дополнительные запросы изготовителя/поставщика.
19.1.2 Протокол испытания должен быть подписан и датирован от имени испытательной лаборатории/центра уполномоченным лицом.
19.1.3 Испытательная лаборатория/центр обязана четко указать свое наименование и адрес для контакта.
19.1.4 Испытательная лаборатория/центр должна присвоить неповторяемое и отслеживаемое обозначение и дату подготовки протокола испытания (например, порядковый номер) с приведением нумерации каждой страницы и общего количества страниц в протоколе. Испытательная лаборатория/центр должна сохранить регистрацию этого обозначения и даты.
19.1.5 Должны быть четко указаны наименование поставщика образца, изготовителя, если он известен, и наименование испытательной лаборатории/центра.
19.1.6 Должны быть четко указаны дата получения образцов и дата (даты) подготовки протокола испытания.
19.2 Специальные требования
19.2.1 Для каждого вида проведенного испытания (см.
9.4) протокол испытания должен иметь ссылки на конкретные разделы настоящего стандарта, относящиеся к конкретному виду проведенного испытания, применяемые условия нагружения или направление нагружения, уровень нагрузки, и на то, какие специальные установки для испытания были использованы. Эти требования, в частности, применяют для испытания, которые проводят на дополнительных уровнях нагрузки P6, P7 и P8 в соответствии с
приложением D (см.
16.2.1.1.2,
16.2.2.1.2 и
16.3.2.2, и/или
17.2.3.1.2,
17.2.4.1.2 и
17.2.5.1.3), и для альтернативного статического испытания на предельную прочность в соответствии с
приложением C (см.
16.2.2.1.1 и
16.2.2.1.6, и/или
17.2.4.1.1 и
17.2.4.1.5,
17.2.4.1.11).
19.2.2 Отчет об испытаниях должен включать любые сведения (с обоснованием) о том, почему дополнительное статическое испытание на предельную прочность при максимальном сгибании коленных узлов и смежных с ними элементов не следует применять для образцов конкретной конструкции протеза, включающей коленный узел или сборку "колено - голень" (см.
17.3.3.3).
19.2.3 Для каждого протезного устройства/конструкции из соответствующей группы или групп, представленной на испытание, в отчете об испытаниях должны быть указаны испытания, которые должны подтвердить его соответствие требованиям настоящего стандарта. В отчете об испытаниях должны быть также указаны проведенные испытания, при которых соответствие требованиям не было подтверждено.
Если один или более образцов протезного устройства/конструкции, представленного на испытание, разрушился/разрушается при испытании конкретного вида, то в отчете об испытаниях должно быть приведено подробное описание отказа.
19.3 Дополнительные требования
19.3.1 Отчет об испытаниях должен включать любую дополнительную информацию, специально затребованную в сопроводительном документе на испытания (см.
12.1.2 и
12.1.3).
19.3.2 По требованию поставщика испытательная лаборатория/центр должна копировать из журнала испытаний в отчет об испытаниях любые требуемые дополнительные данные об образцах и результатах испытания. В
приложении E приведено подробное описание данных, включаемых в журнал испытательной лаборатории/центра, в соответствии с указаниями настоящего международного стандарта.
20 Классификация и обозначение
Протезное устройство/конструкция нижней конечности,
a) соответствие которого требованиям настоящего стандарта подтверждено (см.
9.1,
9.2 и
9.3) на конкретном уровне нагрузки P (см.
7.2), и
b) которое пригодно для пользователей с массой тела, не превышающей конкретное значение максимальной массы тела m в кг, указанное в письменных инструкциях изготовителя по назначенному использованию данного устройства,
должно быть классифицировано и обозначено, как показано ниже:
ГОСТ Р ИСО 10328 - "P" - "m" кг
20.2 Примеры классификации и обозначения
Примеры 1 -
3 показывают варианты классификации/обозначения протезных устройств/конструкций нижней конечности, которые соответствуют требованиям настоящего международного стандарта для одного и того же уровня нагрузки (P4).
Данные примеры отличаются разными значениями максимальной массы тела (70 кг, 80 кг, 90 кг), которые указывают на различия назначенного использования устройств в зависимости от индивидуальной конструкции этих устройств.
Пример 1 - ГОСТ Р ИСО 10328 - P4 - 70 кг.
Пример 2 - ГОСТ Р ИСО 10328 - P4 - 80 кг.
Пример 3 - ГОСТ Р ИСО 10328 - P4 - 90 кг.
С учетом исходных данных, приведенных в
приложении B, можно утверждать следующее:
a) классификация/обозначение, соответствующая
примеру 1, является типовой для протезного устройства/конструкции, предназначенного для использования активными пользователями, которые предположительно будут нагружать свой протез на более высоком уровне, чем пользователи с локомоторными данными для уровня нагрузки P4. По этой причине значение максимальной массы тела пользователя ограничено 70 кг, которое на 10 кг меньше максимальной массы тела таких пользователей (80 кг);
b) классификация/обозначение, соответствующая
примеру 2, является типовой для протезного устройства/конструкции, предназначенного для применения пользователями, которые предположительно будут нагружать свой протез на том же уровне, что и пользователи с локомоторными данными для уровня нагрузки P4. По этой причине значение максимальной массы тела пользователя ограничено значением 80 кг, которое идентично максимальной массе тела таких пользователей (80 кг);
c) классификация/обозначение, соответствующая
примеру 3, является типовой для протезного устройства/конструкции, предназначенного для применения пользователями, которые предположительно будут нагружать свой протез на более низком уровне, чем пользователи с локомоторными данными для уровня нагрузки P4. По этой причине значение максимальной массы тела пользователя ограничено значением 90 кг, которое на 10 кг больше максимальной массы тела таких пользователей (80 кг).
Все примеры классификации/обозначения, проиллюстрированные в
примерах 1 -
3 и прокомментированные в
перечислениях a) -
c), требуют от изготовителя указать в инструкциях по предназначенному использованию протезного устройства/конструкции условия использования с их обоснованием.
Примечание - Классификации/обозначения, указанные выше, также использованы в образцах этикеток (см.
21.3 и
рисунок 30).
Каждое протезное устройство/конструкция нижней конечности,
a) соответствие которого требованиям настоящего стандарта подтверждено (см.
9.1,
9.2 и
9.3) на конкретном уровне нагрузки P (см.
7.2) и
b) которое пригодно для пользователей с массой тела, не превышающей конкретное значение максимальной массы тела
m кг, указанное в письменных инструкциях изготовителя по назначенному использованию данного устройства, должно маркироваться в соответствии с классификацией/обозначением, установленной в
20.1. При необходимости, этикетка может включать дополнительную информацию, которая показана на
рисунке 29 и указана в
21.2.
Рисунок 29 - Общая концепция макета этикетки
Сообщения на этикетке должны быть приведены вне зависимости от какой-либо специальной информации по предназначенному использованию протезного устройства/конструкции, предоставляемой изготовителем вместе с устройством/конструкцией.
21.2 Применение знака "*)" и предупреждающего знака
Знак "*)" после сокращения "кг" должен обратить внимание пользователей на краткое сообщение на этикетке о том, что указанное значение "m" устанавливает предельную массу тела, не подлежащую превышению, и о том, что дополнительная важная информация о конкретных условиях использования приведена в инструкциях изготовителя по назначенному использованию устройства.
Предупреждающий знак, подлежащий применению в дополнение к знаку "*)", должен обратить внимание пользователей на краткое сообщение на этикетке о частных ограничениях по использованию, например, об ограничениях, касающихся активности пользователей. Таким, например, является случай, когда указанная предельная масса тела "m" превышает предельную массу тела пользователей с локомоторными данными для уровня нагрузки "P".
Применение на этикетках знака "
*)" и предупреждающего знака проиллюстрировано на образцах этикеток
a -
c, приведенных на
рисунке 30, с комментариями, изложенными в
21.3.
Этикетка должна быть выполнена по одному из
образцов a -
c, приведенных на рисунке 30. Классификация/обозначение протезных устройств/конструкций нижней конечности, использованная в этих образцах этикеток, соответствует
примерам 1 -
3, приведенным в подразделе 20.2, а именно:
Рисунок 30 - Образцы этикеток
Этикетка должна быть размещена на устройстве и/или на упаковке каждого узла или на торговой упаковке. Если индивидуальная упаковка каждого узла нецелесообразна, то этикетка должна быть размещена на информационном листке, поставляемом с каждым или несколькими устройствами.
(справочное)
ОПИСАНИЕ ВНУТРЕННИХ НАГРУЗОК И ИХ ВОЗДЕЙСТВИЯ
A.1 Общие положения
Условия нагружения при основных (и дополнительных) испытаниях на прочность, установленные в основной части настоящего международного стандарта, основаны на внутренних базовых нагрузках, состоящих из осевой силы (осевого сжатия), изгибающих моментов и крутящего момента (вызывающего вращение), указанных в
A.3.
Базовые силы и моменты действуют соответственно вдоль и вокруг базовых линий.
A.2 Базовые линии моментов
A.2.1 Общие положения
Базовые линии моментов - это линии, относительно которых действуют моменты, установленные в
A.3. Они установлены, как указано ниже, с использованием элементов геометрической системы, описанной в
разделе 6.
A.2.2 Базовые линии моментов в голеностопном узле
A.2.2.1 Базовая линия момента в голеностопном узле Af - это линия пересечения базовой голеностопной плоскости (A) с плоскостью f - u.
A.2.2.2 Базовая линия момента в голеностопном узле Ao - это линия пересечения базовой голеностопной плоскости (A) с плоскостью o - u.
A.2.3 Базовые линии моментов в коленном узле
A.2.3.1 Базовая линия моментов в коленном узле Kf - это линия пересечения базовой коленной плоскости (K) с плоскостью f - u.
A.2.3.2 Базовая линия момента в коленном узле Ko - это линия пересечения базовой коленной плоскости (K) с плоскостью o - u.
A.3.1 Общие положения
Внутренние силы и моменты и анатомическое описание их действия указаны в
A.3.2 и
A.3.3.
Таблица A.1 содержит перечень нагрузок и соответствующее описание перемещений, вызываемых положительными силами, изгибающими и крутящими моментами.
Таблица A.1
Положительные внутренние силы и моменты
с описанием их воздействия
Внутренняя нагрузка | Анатомическое описание | Альтернативное описание |
Результат действия положительной нагрузки |
Осевая сила | Fu | Сжатие протеза в его продольном направлении |
Изгибающий момент в голеностопном узле | MAo | Вызывает дорсифлексию в голеностопном узле | Перемещает голеностопный узел для поднятия носка |
Изгибающий момент в голеностопном узле f | MAf | Вызывает инверсию в голеностопном узле | Перемещает голеностопный узел для поднятия внутренней стороны стопы |
Изгибающий момент в коленном узле | MKo | Вызывает растяжение в коленном узле | Выпрямляет коленный узел |
| Результат действия положительной нагрузки |
Изгибающий момент в коленном узле | MKf | Вызывает латеральное движение в коленном узле относительно стопы и бедра (аддукцию в коленном узле) | Перемещает коленный узел наружу относительно стопы и бедра |
Крутящий момент | Mu | Вызывает внутреннюю ротацию дистального конца протеза относительно проксимального конца | Скручивает протез для поворота носка вовнутрь |
Для левостороннего применения осевая сила и все моменты должны быть положительными, как показано на
рисунках A.1 и
A.2.
1 - левосторонний образец протеза; 2 - линия нагружения;
3 - действительный центр голеностопного узла;
4 - действительная центральная линия голеностопного узла;
5 - действительный центр коленного узла; Af - базовая линия
момента MAf в голеностопном узле; Ao - базовая линия момента
MAo в голеностопном узле; Kf - базовая линия момента MKf
в коленном узле; Ko - базовая линия момента MKo в коленном
узле и действительная центральная линия коленного узла;
PT - верхняя точка приложения нагрузки; PA - базовая точка
приложения нагрузки коленного узла; PB - нижняя точка
приложения нагрузки
Примечание - Специальное условие нагружения I левостороннего образца в системе координат при uB = 0 в обозначенных базовых плоскостях, базовых линиях, базовых точках и элементах внутреннего нагружения создается при приложении испытательной силы F.
Рисунок A.1 - Условие нагружения I
1 - левосторонний образец протеза; 2 - линия нагружения;
3 - действительный центр голеностопного узла;
4 - действительная центральная линия голеностопного узла;
5 - действительный центр коленного узла; Af - базовая линия
момента MAf в голеностопном узле; Ao - базовая линия момента
MAo в голеностопном узле; Kf - базовая линия момента MKf
в коленном узле; Ko - базовая линия момента MKo в коленном
узле и действительная центральная линия коленного узла;
PT - верхняя точка приложения нагрузки; PA - базовая точка
приложения нагрузки коленного узла; PB - нижняя точка
приложения нагрузки
Примечание - Специальное условие нагружения II левостороннего образца в системе координат при uB = 0 в обозначенных базовых плоскостях, базовых линиях, базовых точках и элементах внутреннего нагружения создается при приложении испытательной силы F.
Рисунок A.2 - Условие нагружения II
Для правостороннего применения используют зеркальное отображение (см.
6.1 и
рисунки 1,
2 и
3). Как следствие, моменты
MAf,
MKf и
Mu считают положительными в противоположном направлении.
A.3.2 Осевая сила Fu (осевое сжатие)
Осевая сила Fu - это составляющая силы, действующая вдоль оси u. Положительная сила Fu сжимает протез в продольном направлении.
A.3.3.1 Изгибающий момент в голеностопном узле MAo
Изгибающий момент в голеностопном узле MAo - это момент относительно базовой линии момента в голеностопном узле Ao. Положительный момент MAo вызывает дорсифлексию в голеностопном узле.
A.3.3.2 Изгибающий момент в голеностопном узле MAf
Изгибающий момент в голеностопном узле MAf - это момент относительно базовой линии момента в голеностопном узле Af. Положительный момент MAf вызывает инверсию в голеностопном узле.
A.3.3.3 Изгибающий момент в коленном узле MKo
Изгибающий момент в коленном узле MKo - это момент относительно базовой линии момента в коленном узле Ko. Положительный момент MKo вызывает растяжение в коленном узле.
A.3.3.4 Изгибающий момент в коленном узле MKf
Изгибающий момент в коленном узле MKf - это момент относительно базовой линии момента в коленном узле Kf. Положительный момент MKf вызывает латеральное движение коленного узла относительно стопы и бедра (вызывает аддукцию в коленном узле).
A.3.3.5 Крутящий момент Mu
Крутящий момент Mu - это момент относительно оси u. Положительный момент Mu вызывает внутреннюю ротацию дистального конца протеза относительно проксимального конца.
(справочное)
ИСХОДНЫЕ ДАННЫЕ ДЛЯ ОПРЕДЕЛЕНИЯ УСЛОВИЙ НАГРУЖЕНИЯ
И УРОВНЕЙ НАГРУЗКИ ПРИ ОСНОВНЫХ ЦИКЛИЧЕСКИХ ИСПЫТАНИЯХ
Уровни нагрузки P5, P4 и P3 по
7.2 соответствуют уровням нагрузки A100, A80 и A60 по ИСО 10328-1:1996 - 10328-8:1996. Обозначения уровней нагрузки изменены для того, чтобы при ссылке на них при классификации, обозначении и маркировке (см.
разделы 20 и
21) исключить риск неправильного толкования при указании рядом с уровнем нагрузки значения массы тела пользователя.
Уровни нагрузки основываются на данных, полученных на момент разработки ИСО 10328, измеренных на протезах нижних конечностей всех типов, используемых на этот момент и перечисленных в соответствии с массой тела пользователей, локомоторная деятельность которых была измерена. Использованные данные включали информацию, представленную на заседании в Филадельфии в 1977 г. и дополнительные данные, представленные затем несколькими государствами.
Уровень нагрузки P5 основывается на данных от всех пользователей, включая некоторых из них, масса тела которых превышала 100 кг. Уровни испытательной нагрузки P6 и P7 основываются на локомоторных данных пациентов, перенесших ампутацию, масса тела которых была менее 125 и 150 кг соответственно, полученных на основе имитаций и полевых наблюдений. Уровень P8 экстраполирован на основе этих двух вышеуказанных уровней в отношении пациентов, перенесших ампутацию, масса тела которых менее 175 кг. Уровни испытательной нагрузки P4 и P3 основываются на локомоторных данных пациентов, перенесших ампутацию, масса тела которых была менее 80 и 60 кг соответственно. Для предлагаемых дополнительных уровней испытательной нагрузки P6, P7 и P8 см.
приложение D. Метод классифицирования/связи уровней нагрузки с конкретными диапазонами массы тела пациентов, перенесших ампутацию, основывается на локомоторных данных этих лиц. Однако не следует скрывать тот факт, что эти локомоторные данные определялись также под влиянием всех других факторов, от которых зависят нагрузки, создаваемые в протезах при использовании (см.
примечание 1), конечно, только в пределах диапазона, который был возможен с учетом стиля жизни и уровня активности пациентов, перенесших ампутацию, и характеристик протезных устройств/конструкций нижних конечностей, имевшихся на момент сбора данных (см.
примечание 2). Все эти факторы следует учитывать наряду с массой тела при установлении условий использования конкретного протезного устройства/конструкции, которые соответствуют требованиям настоящего стандарта к конкретному уровню испытательной нагрузки [см.
5.2, перечисление b)].
Примечание 1 - Кроме общих физических параметров и локомоторных характеристик пациентов, перенесших ампутацию, уже указанных в
7.2.1, другими конкретными факторами, от которых зависят нагрузки, создаваемые в протезе при использовании, являются индивидуальный характер использования протеза пациентом, перенесшим ампутацию, определяемый его/ее стилем жизни и уровнем активности, характеристики протеза, обусловленные механическими характеристиками элементов и их сборкой и установкой в протезе, случайными событиями, такими, например, как падение и спотыкание, и окружающими условиями, в которых протез подлежит использованию.
Примечание 2 - Диапазон влияния этих факторов может изменяться во времени, вследствие изменений стиля жизни и уровня активности пациентов, перенесших ампутацию, а также усовершенствований характеристик протезных устройств/конструкций.
B.2 Определение различных условий нагружения и уровней нагрузки для основных циклических испытаний
Данные, приведенные в
B.1, составляют основу для установления параметров и значений различных условий нагружения, описанных в
7.1.2 и установленных в
таблицах 6,
7 и
8, а также уровней нагрузки, описанных в
7.2 и указанных в
7.2.3.
В
таблицах B.1 и
B.3 представлены значения испытательной силы
F и соответствующие значения изгибающих моментов в голеностопном и коленных узлах (см.
примечание) при условиях нагружения I и II и уровнях испытательной нагрузки (P8, P7, P6), P5, P4 и P3 в основных циклических испытаниях. В
таблицах B.2 и
B.4 представлены значения осевой силы и крутящего момента (см.
примечание), соответствующие испытательной силе
F при условиях нагружения I и II и уровнях испытательной нагрузки (P8, P7, P6), P5, P4 и P3 при основных циклических испытаниях, вычисленных по формулам, приведенным в
B.3. Для значений, представленных в
таблицах B.1 и
B.2, испытательная сила
F соответствует циклическому диапазону
Fcr пульсирующей испытательной силы
Fc(t).
Для значений, представленных в
таблицах B.3 и
B.4, испытательная сила
F соответствует максимальной испытательной силе
Fcmax =
Fcmin +
Fcr.
Примечание - Описание этих внутренних нагрузок см. в
приложении A.
В
B.4 приведены формулы для вычисления смещений голеностопных и коленных узлов (см.
6.8.1 и
таблицу 6), по которым устанавливают положение линий нагружения при условиях нагружения I и II (см.
7.1.2) в системе координат (см.
6.1 -
6.3) так, что внутренние нагрузки, описанные в
приложении A и установленные в
таблицах B.1 -
B.4, одновременно создаются испытательной силой
F.
Таблица B.1
Значения моментов в голеностопном и в коленном узлах,
соответствующие испытательной силе F = Fcr, для различных
условий нагружения и уровней нагрузки при основных
циклических испытаниях
Параметр | Условие нагружения I | Условие нагружения II |
(P8) | (P7) | (P6) | P5 | P4 | P3 | (P8) | (P7) | (P6) | P5 | P4 | P3 |
Испытательная сила | Fcr, (Н) | 2050 | 1770 | 1530 | 1280 | 1180 | 920 | 1950 | 1700 | 1400 | 1150 | 1035 | 797 |
Изгибающий момент в голеностопном узле | MAo, (Н·м) | -63,2 | -54,3 | -47,2 | -39,5 | -39,5 | -36,1 | 232,4 | 202,6 | 166,8 | 137,0 | 118,0 | 91,0 |
Изгибающий момент в голеностопном узле | MAf, (Н·м) | -59,3 | -51,2 | -44,2 | -37 | -28 | -21,3 | 42,6 | 37,1 | 30,6 | 25,1 | 25,1 | 20,5 |
Изгибающий момент в коленном узле | MKo, (Н·м) | 102,8 | 88,7 | 76,7 | 64,2 | 64,2 | 43,0 | 139,4 | 121,6 | 99,6 | 81,8 | 70,0 | 53,6 |
Изгибающий момент в коленном узле | MKf, (Н·м) | 98,8 | 85,3 | 73,8 | 61,7 | 54,9 | 50,0 | 67,8 | 59,7 | 48,7 | 40,0 | 40,0 | 34,0 |
Таблица B.2
Расчетные значения осевой силы и крутящего момента,
соответствующие испытательной силе F = Fcr для различных
условий нагружения и уровней нагрузки при основных
циклических испытаниях
Параметр | Условие нагружения I | Условие нагружения II |
(P8) | (P7) | (P6) | P5 | P4 | P3 | (P8) | (P7) | (P6) | P5 | P4 | P3 |
Осевая сила | Fu (Н) | 1976 | 1706 | 1475 | 1234 | 1137 | 884 | 1936 | 1688 | 1390 | 1142 | 1028 | 791 |
Крутящий момент | Mu (Н·м) | -0,2 | -0,2 | -0,2 | -0,1 | -0,8 | -2,4 | 12,1 | 10,5 | 8,7 | 7,1 | 6,9 | 6,0 |
Таблица B.3
Значения моментов в голеностопном и коленном узлах,
соответствующие испытательной силе F = Fcmax, для различных
условий нагружения и уровней нагрузки при основных
циклических испытаниях
Параметр | Условие нагружения I | Условие нагружения II |
(P8) | (P7) | (P6) | P5 | P4 | P3 | (P8) | (P7) | (P6) | P5 | P4 | P3 |
Испытательная сила | Fcmax (Н) | 2100 | 1820 | 1580 | 1330 | 1230 | 970 | 2000 | 1750 | 1450 | 1200 | 1085 | 847 |
Изгибающий момент в голеностопном узле | MAo (Н·м) | -64,8 | -56,1 | -48,7 | -41,0 | -41,2 | -38,1 | 238,3 | 208,5 | 172,8 | 143,0 | 123,7 | 96,7 |
Изгибающий момент в голеностопном узле | MAf (Н·м) | -60,7 | -52,6 | -45,6 | -38,4 | -29,2 | -22,5 | 43,7 | 38,2 | 31,7 | 26,2 | 26,3 | 21,8 |
Изгибающий момент в коленном узле | MKo (Н·м) | 105,3 | 91,2 | 79,2 | 66,7 | 66,9 | 45,3 | 143,0 | 125,1 | 103,2 | 85,4 | 73,4 | 57,0 |
Изгибающий момент в коленном узле | MKf (Н·м) | 101,2 | 87,7 | 76,2 | 64,1 | 57,2 | 52,7 | 69,5 | 60,8 | 50,4 | 41,7 | 41,9 | 36,1 |
Таблица B.4
Расчетные значения осевой силы и крутящего момента,
соответствующие испытательной силе F = Fcmax для различных
условий нагружения и уровней нагрузки при основных
циклических испытаниях
Параметр | Условие нагружения I | Условие нагружения II |
(P8) | (P7) | (P6) | P5 | P4 | P3 | (P8) | (P7) | (P6) | P5 | P4 | P3 |
Осевая сила | Fu, (Н) | 2024 | 1754 | 1523 | 1282 | 1185 | 932 | 1986 | 1738 | 1440 | 1192 | 1078 | 841 |
Крутящий момент | Mu, (Н·м) | -0,2 | -0,2 | -0,2 | -0,1 | -0,8 | -2,5 | 12,4 | 10,8 | 9,0 | 7,4 | 7,2 | 6,4 |
B.3 Вычисление осевой силы и крутящего момента
Осевую силу Fu и крутящий момент Mu по заданным значениям испытательной силы F, моментов в коленном и в голеностопном узлах и расстояния uK - uA вычисляют по формулам:

, (B.1)

. (B.2)
B.4 Вычисление смещений голеностопного и коленных узлов (см.
6.8.1)
Смещения голеностопного и коленного узлов f и o по заданным значениям осевой силы F и изгибающих моментов в коленном и голеностопном узлах M вычисляют по формулам:
- смещение голеностопного узла вперед:

; (B.3)
- смещение голеностопного узла наружу:

; (B.4)
- смещение коленного узла вперед:

; (B.5)
- смещение коленного узла наружу:

. (B.6)
(справочное)
УКАЗАНИЯ ПО ПРИМЕНЕНИЮ АЛЬТЕРНАТИВНОГО
СТАТИЧЕСКОГО ИСПЫТАНИЯ НА ПРЕДЕЛЬНУЮ ПРОЧНОСТЬ
C.1 Дополнительная информация. Из-за свойств большинства неметаллических материалов, применяемых в протезах нижних конечностей, скорость нагружения от 100 до 250 Н/с, установленная в
16.2.2.1.6 для основного статического испытания на предельную прочность и в
17.2.4.1.5,
17.2.4.1.11 для дополнительного статического испытания на предельную прочность, может быть слишком низкой.
Учитывая это, в данном приложении предложено альтернативное статическое испытание на предельную прочность, при котором применяют повышенные скорости нагружения, установленные изготовителем/поставщиком образца (рекомендуется использовать скорости нагружения в диапазоне от 1 до 5 кН/с).
Указанное альтернативное статическое испытание на предельную прочность предназначено для испытания образцов со свойствами материалов и/или особенностями конструкции, из-за которых они становятся неспособными выдержать требуемую предельную испытательную силу при скорости нагружения, установленной для стандартных статических испытаний на предельную прочность (например, элементы конструкции, изготовленные из материалов, склонных к значительной ползучести).
Если основное статическое испытание на предельную прочность
(16.2.2.1.1) или дополнительное статическое испытание на предельную прочность голеностопных узлов и узлов стоп
(17.2.4.1.1) проводят со скоростью нагружения более 250 Н/с, то испытание предусматривает проведение соответствующего статического проверочного испытания, указанного в
16.2.1 и
17.2.3, и, следовательно, если требуемое количество образцов из назначенной группы соответствует требованиям, которые установлены в
16.2.1.3 и
17.2.3.3, то в дополнительном статическом проверочном испытании нет необходимости.
C.2 Порядок проведения испытания
b) Проводятся работы согласно
16.2.2.1.6 или
17.2.4.1.5, и
17.2.4.1.11, прикладывая соответствующую испытательную силу
F с повышенной скоростью нагружения, установленной в сопроводительном документе на испытания
[12.3.4, перечисление b)], до тех пор, пока образец не разрушится или выдержит заданную предельную испытательную силу без разрушения образца.
Регистрируют скорость нагружения наибольшего значения испытательной силы, достигнутого при испытании, и произошел ли отказ образца.
c) Если образец удовлетворяет оценочным требованиям, установленным в
16.2.2.2 или
17.2.4.2 соответственно, то подвергают его основному статическому проверочному испытанию, установленному в
16.2.1.1, или дополнительному статическому проверочному испытанию голеностопных узлов и узлов стоп, установленному в
17.2.3.1, соответственно, и регистрируют результаты.
(обязательное)
УКАЗАНИЯ ПО ПРИМЕНЕНИЮ ДОПОЛНИТЕЛЬНЫХ УРОВНЕЙ
НАГРУЗКИ P6, P7 И P8
D.1 Исходные положения
Низкая интенсивность отказов при полевых испытаниях при уровне нагрузки P5 (A 100) (см.
приложение B) подтверждена имеющимися данными от всех пользователей. Однако опыт полевых испытаний показывает, что существует необходимость в протезах нижних конечностей, которые выдерживают нагрузки, превышающие этот уровень.
Для обеспечения возможности испытания на прочность таких протезов на единой основе разработаны дополнительные уровни нагрузки P6, P7 и P8 для основных испытаний на прочность и дополнительных испытаний на прочность голеностопных узлов и узлов стоп. Дополнительный уровень нагрузки P6 получен на основе данных измерений и испытаний существующих эксплуатируемых изделий. Уровни нагрузки P7 и P8 получены на основе измерений протезов у пациентов с избыточным весом, имитаций колеблющейся и нормальной массы. Установить зависимости циклических, проверочных и предельных значений для уровней нагрузки P6, P7, P8, как для уровней нагрузки P3, P4, P5 (см.
таблицу 3) не представляется возможным. В качестве предварительной меры, которая ожидает валидации, было предложено, что условия нагружения, установленные в
D.3 и
D.4, являются приемлемыми.
D.2 Испытательные силы при проверочном испытании концевых креплений
Испытательные силы при проверочном испытании концевых креплений должны соответствовать значениям, установленным в
таблице D.1.
Таблица D.1
Значения испытательных сил при проверочном испытании
концевых креплений для уровней нагрузки P6, P7, P8
Концевые крепления для | Стабилизирующая испытательная сила, Fstab, Н | Опрессовочная испытательная сила, Fset, Н | Проверочная испытательная сила, Fpa, Н |
Вид испытания | Уровня нагрузки | Условия нагружения |
Основные испытания на прочность | P8 | I | 50 | 1640 | 6840 |
II | 1560 | 6300 |
P7 | I | 1416 | 6360 |
II | 1360 | 5808 |
P6 | I | 1224 | 5856 |
II | 1120 | 5310 |
D.3 Условия нагружения при основных испытаниях на прочность
a) Значения общей длины и длин сегментов образцов различных типов должны соответствовать значениям, установленным в
таблице 5.
b) Схемы нагружения должны соответствовать условиям нагружения, установленным в
таблице 8 для уровня нагрузки P5.
c) Испытательные силы и назначенное число циклов должны соответствовать значениям, установленным в
таблице D.2.
Таблица D.2
Значения испытательных сил при всех основных испытаниях
и назначенное число циклов при циклическом испытании
для уровней нагрузки P6, P7 и P8 (см.
16.2 и
16.3)
Вид испытания и испытательная нагрузка | Уровень нагрузки |
P8 | P7 | P6 |
Условие нагружения |
I | II | I | II | I | II |
Статические и циклические испытания | Стабилизирующая испытательная сила | Fstab | Н | 50 |
Опрессовочная испытательная сила | Fset | Н | 1640 | 1560 | 1416 | 1360 | 1224 | 1120 |
Статическое испытание | Проверочная испытательная сила | Fsp | Н | 3200 | 2950 | 2900 | 2650 | 2490 | 2263 |
Предельная статическая испытательная сила | Fsu, lower level | Н | 4450 | 4150 | 4100 | 3775 | 3760 | 3419 |
Fsu, upper level | Н | 5700 | 5250 | 5300 | 4840 | 4880 | 4425 |
Циклическое испытание | Минимальная испытательная сила | Fcmin | Н | 50 |
Циклический диапазон | Fcr | Н | 2050 | 1950 | 1770 | 1700 | 1530 | 1400 |
Максимальная испытательная сила | Fcmax Fcmax = Fcmin + Fcr | Н | 2100 | 2000 | 1820 | 1750 | 1580 | 1450 |
Средняя испытательная сила | Fcmean Fcmean = 0,5(Fcmin + Fcmax) | Н | 1075 | 1025 | 935 | 900 | 815 | 750 |
Циклическая амплитуда | Fca Fca = 0,5·Fcr | Н | 1025 | 1000 | 910 | 875 | 765 | 700 |
Заключительная статическая испытательная сила | Ffin Ffin = Fsp | Н | 3200 | 2950 | 2900 | 2650 | 2490 | 2263 |
Назначенное число циклов | цикл | 3 x 106 |
D.4 Условия нагружения при дополнительных испытаниях голеностопных узлов и узлов стоп
a) Направления нагружения должны соответствовать направлениям, установленным в
таблице 10.
b) Испытательные силы и назначенное число циклов должны соответствовать значениям, установленным в
таблице D.3.
Таблица D.3
Значения испытательных сил при всех дополнительных
испытаниях голеностопных узлов и узлов стоп и назначенное
число циклов при циклическом испытании для уровней нагрузки
Вид испытания и испытательная нагрузка | Ед. | Уровень нагрузки |
P8 | P7 | P6 |
Условие нагружения |
| | A | B | A | B |
Статическое испытание | Проверочная испытательная сила | F1sp, F2sp | Н | 3200 | 3200 | 2900 | 2900 | 2490 | 2490 |
Предельная испытательная сила | F1su, lower level F2su, lower level | Н | 4450 | 4450 | 4100 | 4100 | 3760 | 3760 |
F1su, upper level F1su, upper level | Н | 5700 | 5700 | 5300 | 5300 | 4880 | 4880 |
Циклическое испытание | Минимальная испытательная сила | F1cmin, F2cmin | Н | 50 |
Циклический диапазон | F1cr, F2cr | Н | 2050 | 2050 | 1770 | 1770 | 1530 | 1530 |
Максимальная испытательная сила | F1cmax, F2cmax Fxcmax = Fxcmin + Fxcr | Н | 2100 | 2100 | 1820 | 1820 | 1580 | 1580 |
Средняя испытательная сила | F1cmean, F2cmean Fxcmean = 0,5(Fxcmin + Fxcmax) | Н | 1075 | 1075 | 935 | 935 | 815 | 815 |
Циклическая амплитуда | F1ca, F2ca Fxca = 0,5·Fxcr | Н | 1025 | 1025 | 885 | 885 | 765 | 765 |
Заключительная статическая сила | F1fin, F2fin Fxfin = Fxsp | Н | 3200 | 3200 | 2900 | 2900 | 2490 | 2490 |
Назначенное число циклов | 1 | 2 x 106 |
<a> Нагрузка на пятку F1x. <b> Нагрузка на носок F2x. |
(справочное)
ДАННЫЕ, ПОДЛЕЖАЩИЕ ВКЛЮЧЕНИЮ В ЖУРНАЛ
ИСПЫТАТЕЛЬНОЙ ЛАБОРАТОРИИ/ЦЕНТРА
E.1 Сведения об испытательном оборудовании
E.1.1 Сведения о видах испытательного оборудования
Конкретный вид используемого испытательного оборудования с указанием существенных его особенностей в соответствии с
13.1 -
13.6.
E.1.2 Сведения о проверочном испытании концевых креплений
a) Подробное описание сборки концевых креплений, в соответствии с
13.2.1.2.2.
b) Подробное описание регулировки нижней и верхней точек приложения нагрузки P
B и P
T в соответствии с
13.2.1.2.3.
c) Условие нагружения и уровень нагрузки, подлежащие применению, и соответствующие значения испытательных сил в соответствии с
13.2.1.2.4.
d) Значения расстояний
L1,
L2 и
L3 между двумя точками приложения нагрузки или перемещений

,

и

точки приложения нагрузки из исходного положения в испытательном оборудовании в соответствии с
13.2.1.2.6,
13.2.1.2.7 и
13.2.1.2.8.
e) Значения прогиба
D1 и остаточной деформации
D2 в соответствии с
13.2.1.2.9.
E.1.3 Сведения о точности
a) Подробное описание методов, применяемых для определения погрешности измерения и калибровки испытательного оборудования и всех приспособлений и поверки средств измерений в соответствии с
14.1.
b) Точность испытательного оборудования, то есть точность, с которой испытательное оборудование и все приспособления и измеряют линейные и угловые размеры, испытательные силы, моменты и частоту циклических испытаний, в соответствии с
14.2.
c) Погрешность измерения линейных и угловых размеров, используемых для установки и окончательной регулировки, испытательных сил и моментов, частоты циклических испытаний и расстояния
LBT или перемещения

контролируют в соответствии с
14.3.
E.2 Сведения о всех образцах для испытаний
a) Полностью отслеживаемое обозначение каждого испытываемого образца и дата его представления - в соответствии с представленным изготовителем обозначением. Если образец не имеет постоянного нанесенного обозначения, то испытательная лаборатория/центр должна нанести его после завершения/завершений испытания/испытаний.
b) Документ, подтверждающий отбор образцов из серийной продукции, в соответствии с
10.1.1.
c) Тип образца в соответствии с
10.2.1,
10.2.2 или
10.2.3. В специальных случаях ссылаются на сопроводительный документ на испытания.
d) Документ, подтверждающий, что действительная схема нагружения при специальной установке образца при испытании специальной конструкции протеза удовлетворяет требованиям
разделов 8,
16 или
17, в соответствии с
10.2.3.
e) Подробное описание подготовки образца, включая приемную гильзу или ее макет, в соответствии с
10.3.3.
f) Наиболее неблагоприятный вариант сборки протеза, возможный согласно
10.3.4, и наихудшее положение образца при его установке согласно
10.6, установленные в сопроводительном документе на испытания [в зависимости от типа образца см.
перечисление c)].
g) Комбинация сегментов длин, выбранная для достижения общей заданной длины, установленной в
таблице 5, в соответствии с
10.3.6.
h) Тип и обозначение остальной части протезов, к которой присоединяется голеностопный узел или узел стопы, в соответствии с
10.3.7.
i) Форма конкретной сборки и любые замененные элементы в соответствии с
10.3.8.
j) Длина удлинителей в соответствии с
10.3.9.
k) Установка в соответствии с соответствующими элементами по
10.5 и
11.6.
l) Нагрузочные рычаги, применяемые в соответствии с
11.4. Если они присоединены изготовителем/поставщиком, то им должен быть представлен документ, подробно описывающий присоединение нагрузочных рычагов.
| | ИС МЕГАНОРМ: примечание. В официальном тексте документа, видимо, допущена опечатка: имеется в виду п. 17.2.4.1.2, а не 7.2.4.1.2. | |
m) Условие нагружения и/или уровень нагрузки, при которых должно быть подтверждено соответствие или несоответствие требованиям в соответствии с
16.2.1.1.2,
16.2.2.1.2,
16.2.2.1.3,
17.1.3.1,
17.2.3.1.2,
7.2.4.1.2/
17.2.4.1.8,
17.2.5.1.3,
17.3.4.1,
17.4.3.1.2,
17.4.4.1.2 и/или
17.4.5.1.2.
E.3 Сведения для всех испытаний
a) Конкретные испытания, выполненные согласно соответствующим разделам настоящего стандарта. В специальных случаях может быть необходимым приведение ссылки на сопроводительный документ на испытания.
b) Конкретные установленные размеры и нагрузки, приложенные при испытаниях, согласно соответствующим разделам настоящего стандарта. В специальных случаях может быть необходимым приведение ссылок на сопроводительный документ на испытания.
c) Дата (даты) проведения испытания (испытаний).
d) Результаты испытания, то есть заявление о соответствии протезного устройства/конструкции, представленного на испытание, требованиям настоящего стандарта или указание причин, по которым оно не соответствует этим требованиям.
E.4 Сведения для основных испытаний на прочность
E.4.1 Специальные сведения для основных статических проверочных испытаний
E.4.1.1 Для каждого образца протезного устройства/конструкции, представленного на испытания из назначенной группы в соответствии с
16.2.1.3, регистрируют:
b) повторную установку и повторное использование образца, который завершил основное циклическое испытание (включая заключительное статическое испытание) без разрушения, в соответствии с
16.2.1.1.2;
c) условие нагружения и уровень нагрузки, подлежащие применению, и соответствующие значения смещений и испытательных сил, делая специальную запись о применении дополнительного уровня нагрузки P6, установленного в
приложении D, если применяют, в соответствии с
16.2.1.1.2;
d) комбинацию и значения длин сегментов (
ux -
uy) и первоначальные значения смещений (
fx и
ox), установленные при нулевой нагрузке, в соответствии с
16.2.1.1.2;
f) время, в течение которого опрессовочная испытательная сила
Fset удерживалась при заданном значении, и время выдержки образца при нулевой нагрузке, в соответствии с
16.2.1.1.3;
g) окончательные значения смещений, установленные в соответствии
16.2.1.1.5 при стабилизирующей силе
Fstab;
h) значения расстояния
LBT или перемещения

и, при необходимости, действительные плечи рычагов
LA и
LK, измеренные в соответствии с
16.2.1.1.6, перечисления a) и
b), при стабилизирующей испытательной силе
Fstab;
i) полученные данные о том, выдерживает или нет образец нагружение проверочной испытательной силой
Fsp, и, если не выдерживает, то наибольшее достигнутое значение испытательной силы или время, в течение которого удерживалось заданное значение проверочной силы
Fsp, в соответствии с
16.2.1.1.7;
j) значения расстояния
LBT или перемещения

и, при необходимости, смещений (
fx и
ox) и/или действительных плеч рычагов
LA и
LK, измеренные при приложенной стабилизирующей испытательной силе
Fstab, и время проведения каждого из измерений по
перечислениям a) и
b) в соответствии с
16.2.1.1.8, перечисления a) и
b);
k) значение остаточной деформации
D3, вычисленное в соответствии с
16.2.1.1.9;
l) решение о том, прошел ли образец основное статическое проверочное испытание или разрушился в соответствии с
16.2.1.1.10;
m) после осмотра образца - характер и (по возможности) место любого повреждения в соответствии с
16.2.1.1.11;
n) повторное испытание на замененном образце после отказа образца, который уже прошел основное циклическое испытание, включая все требуемые специальные записи [
перечисления a) -
m)], в соответствии с
16.2.1.1.12.
E.4.1.2 Для протезного устройства/конструкции, представленного на испытание, регистрируют решение о соответствии основному статическому проверочному испытанию в соответствии с
16.2.1.3, фиксируя:
a) заявление о соответствии или
b) причину, или причины, по которым соответствие не может быть заявлено.
E.4.2 Специальные сведения для основных статических испытаний на предельную прочность
E.4.2.1 Для каждого образца протезного устройства/конструкции, представленного на испытание из назначенной группы в соответствии с
16.2.2.3, регистрируют:
b) повторную установку и повторное использование образца, который завершил основное статическое проверочное испытание и/или циклическое испытание (включая заключительное статическое испытание) без разрушения, в соответствии с
16.2.2.1.2;
c) условие нагружения и уровень нагрузки, подлежащие применению, и соответствующие значения смещений и испытательных сил, делая специальную запись о применении дополнительного уровня нагрузки P6, установленного в
приложении D, если применяют, в соответствии с
16.2.2.1.2;
d) комбинацию и значения длин сегментов (
ux -
uy) и первоначальные значения смещений (
fx и
ox), установленные при нулевой нагрузке, в соответствии с
16.2.2.1.2;
f) время, в течение которого опрессовочная испытательная сила
Fset удерживалась при заданном значении, и время выдержки образца при нулевой нагрузке в соответствии с
16.2.2.1.3;
g) значения окончательных смещений, установленные в соответствии с
16.2.2.1.5 при стабилизирующей силе
Fstab;
h) наибольшее значение испытательной силы, достигнутое при испытании, и произошел ли отказ, делая специальную запись о применении испытательной силы при повышенной скорости нагружения, если применяют [см.
перечисление a)], в соответствии с
16.2.2.1.6;
j) решение о том, прошел ли образец основное статическое испытание на предельную прочность или разрушился, в соответствии с
16.2.2.1.7;
k) результаты основного статического проверочного испытания, установленного в
16.2.1, которому образец был подвергнут после завершения альтернативного статического испытания на предельную прочность по
приложению C [см.
перечисление a)], в соответствии с
16.2.2.1.7;
l) после осмотра образца - характер и (по возможности) место любого повреждения в соответствии с
16.2.2.1.8;
m) повторное испытание на замененном образце после отказа образца, который уже прошел основное статическое проверочное испытание и/или основное циклическое испытание, включая все требуемые специальные записи [
перечисления a) -
l)], в соответствии с
16.2.2.1.9;
n) [в качестве варианта] повторное испытание на замененном образце при повышенной скорости нагружения, если образец разрушился при этом испытании при скорости нагружения [см.
перечисление a)] от 100 до 250 Н/с, включая все требуемые специальные записи [
перечисления a) -
l)], в соответствии с
16.2.2.1.10.
E.4.2.2 Для протезного устройства/конструкции, представленного на испытание, регистрируют решение о соответствии основному статическому испытанию на предельную прочность настоящего международного стандарта в соответствии с
16.2.2.3, фиксируя:
a) заявление о соответствии или
b) причину или причины, по которым соответствие не может быть заявлено.
E.4.3 Специальные сведения для основных циклических испытаний
E.4.3.1 Для каждого образца протезного устройства, представленного на испытание из назначенной группы в соответствии с
16.3.4, регистрируют:
a) применение заключительного статического испытания методом, требуемым для замены основного статического проверочного испытания, установленного в
16.2.1.1, в соответствии с
16.3.1.3 и
16.3.2.18 [см. ниже
перечисление w)];
b) условие нагружения и уровень нагрузки, подлежащие применению, и соответствующие значения смещений, испытательных сил и назначенное число циклов, делая специальную запись о применении дополнительных уровней нагрузки P6, P7 и P8, установленных в
приложении D, если применяют, в соответствии с
16.3.2.1;
c) комбинацию и значения длин сегментов (
ux -
uy), и первоначальные значения смещений (
fx и
ox), установленные при нулевой нагрузке, в соответствии с
16.3.2.2;
e) время, в течение которого опрессовочная испытательная сила
Fset удерживалась при заданном значении, и время выдержки образца при нулевой нагрузке, в соответствии с
16.3.2.3;
f) окончательные значения смещений, установленные в соответствии с
16.3.2.5 при стабилизирующей силе
Fstab;
g) значения расстояния
LBT или перемещения

и, при необходимости, действительных плеч рычагов
LA и
LK, измеренные в соответствии с
16.3.2.6, перечисления a) или
b), при стабилизирующей испытательной силе
Fstab;
h) значения расстояния
LBT или перемещения

и, при необходимости, смещений (
fx и
ox) и/или действительных плеч рычагов
LA и
LK, измеренные в соответствии с
16.3.2.8, перечисления a) и
b), при максимальной испытательной силе
Fcmax;
i) данные о том, выдерживает или нет образец нагружение максимальной испытательной силой
Fcmax, и, если не выдерживает, то наибольшее достигнутое значение испытательной силы или время, в течение которого удерживалось заданное значение максимальной испытательной силы
Fcmax, в соответствии с
16.3.2.9;
l) соглашение о частоте, отличной от значения, требуемого в соответствии с
16.3.2.10;
m) прекращение испытания, если циклическая испытательная сила
Fc(
t) не может быть приложена на какой-либо частоте, согласованной между испытательной лабораторией/центром и изготовителем/поставщиком, в соответствии с
16.3.2.10;
n) первоначальное значение расстояния
LBT или перемещения

, измеренное в соответствии с
16.3.2.11 при максимальной испытательной силе
Fcmax;
o) примененную частоту, то есть требуемую или согласованную частоту [см.
перечисления j) и
l)], и результаты проверки формы волны и решение о продолжении испытания в соответствии с
16.3.2.13;
p) продолжительность и причины всех случаев отключения оборудования и число циклов нагрузки, приложенной к этому времени, в соответствии с
16.3.2.14;
q) результаты исследования образца и подробное описание возобновления испытания в соответствии с
16.3.2.15;
r) значения расстояния
LBT или перемещения

и, при необходимости, смещений (
fx и
ox) и/или действительных плеч рычагов
LA и
LK, измеренные в соответствии с
16.3.2.16 при приложенной минимальной испытательной силе
Fcmin, а затем при приложенной максимальной испытательной силе
Fcmax;
s) подробное описание обмена/замены определенных элементов, включая число циклов на момент отключения оборудования и условия возобновления испытания в соответствии с
12.3.5, перечисление b),
16.3.1.2 и
16.3.2.16;
t) случай отказа, число циклов на момент отключения испытательного оборудования и прекращение испытания в соответствии с
16.3.2.17;
u) завершение циклического испытания и число циклов при отключении испытательного оборудования и значения расстояния
LBT или перемещения

, и, при необходимости, смещений (
fx и
ox) и/или действительных плеч рычагов
LA и
LK, измеренные в соответствии с
16.3.2.17 при минимальной испытательной силе
Fcmin, а затем при максимальной испытательной силе
Fcmax;
v) данные о том, выдерживает или нет образец, который прошел циклическое испытание, заключительное статическое нагружение испытательной силой
Ffin, и, если не выдерживает, то наибольшее достигнутое значение испытательной силы или время, в течение которого удерживалось заданное значение заключительной статической испытательной силы
Ffin, в соответствии с
16.3.2.18;
w) проведение заключительного статического испытания методом, требуемым для замены основного статического проверочного испытания, установленного в
16.2.1.1 [см.
перечисление a)], и результаты испытания, в соответствии с
16.3.2.18;
x) решение о том, прошел ли образец основное циклическое испытание или разрушился, в соответствии с
16.3.2.19;
y) после осмотра образца - характер и (по возможности) место любого повреждения в соответствии с
16.3.2.20;
z) по результатам визуального исследования образца по требованию изготовителя/поставщика - наличие и характер любых трещин, примененное увеличение в соответствии с
12.3.5, перечисление c),
16.3.1.4 и
16.3.2.21;
aa) повторное испытание на замененном образце после отказа образца, который испытывался на частоте 3 Гц или выше, включая все требуемые специальные записи [
перечисления a) -
z)], в соответствии с
16.3.2.22.
E.4.3.2 Для протезного устройства/конструкции, представленного на испытание, регистрируют решение о соответствии основному циклическому испытанию в соответствии с
16.3.4, фиксируя:
a) заявление о соответствии или
b) причину, или причины, по которым соответствие не может быть заявлено.
E.5 Сведения для дополнительных испытаний на прочность
E.5.1 Сведения для дополнительных статических испытаний на кручение
E.5.1.1 Для каждого образца протезного устройства/конструкции, представленного на испытание из назначенной группы в соответствии с
17.1.5, регистрируют:
a) значение (значения) момента (моментов) затяжки болтов крепления узлов в соответствии с
17.1.3.1;
b) значения крутящих моментов, подлежащие приложению в соответствии с
17.1.3.1;
c) установку образца, включая отрегулированные средние положения в соответствии с
17.1.3.2;
d) время, в течение которого опрессовочный крутящий момент
Mu-set удерживался при заданном значении, и время выдержки образца при нулевой нагрузке в соответствии с
17.1.3.4;
e) значения первоначальных угловых положений нижнего и верхнего элементов образца

и

соответственно, скручиваемых относительно оси
u, в соответствии с
17.1.3.6;
f) данные о том, выдерживает или нет образец нагружение максимальным крутящим моментом
Mu-max в направлении кручения, обозначенном как положительное, и, если не выдерживает, то наибольшее достигнутое значение крутящего момента или время, в течение которого удерживалось заданное значение максимального крутящего момента
Mu-max, в соответствии с
17.1.3.7;
g) решение о продолжении испытания в соответствии с
12.3.3 и
17.1.3.7;
h) значения окончательных угловых положений нижнего и верхнего элементов образца

и

соответственно, скручиваемых относительно оси
u, и время, затраченное на измерение, в соответствии с
17.1.3.8;
i) значение относительного углового перемещения

относительно оси
u в соответствии с
17.1.3.9;
j) решение о продолжении испытания в соответствии с
12.3.3 и
17.1.3.9;
k) решение о том, выдерживает ли образец испытание в положительном направлении кручения или разрушается, в соответствии с
17.1.3.10;
l) решение о применении испытания в отрицательном направлении кручения в соответствии с
12.3.3 и
17.1.3.10;
m) после осмотра образца - любое проскальзывание крепежных соединений, характер и (по возможности) место любого повреждения, в соответствии с
17.1.3.11;
n) проведение испытания в отрицательном направлении кручения, включая все требуемые специальные записи [
перечисления a) -
m)], в соответствии с
17.1.3.12;
o) решение о том, выдерживает ли образец испытание в отрицательном направлении кручения или разрушается, в соответствии с
17.1.3.13;
p) после осмотра образца - любое проскальзывание крепежных соединений, характер и (по возможности) место любого повреждения, в соответствии с
17.1.3.14;
q) решение о том, прошел ли образец дополнительное статическое испытание на кручение в обоих направлениях кручения или разрушился, в соответствии с
17.1.3.15.
E.5.1.2 Для протезного устройства/конструкции, представленного на испытание, регистрируют решение о соответствии дополнительному статическому испытанию на кручение в соответствии с
17.1.5, фиксируя:
a) заявление о соответствии или
b) причину или причины, по которым соответствие не может быть заявлено.
E.5.2 Сведения для дополнительных испытаний голеностопных узлов и узлов стоп
E.5.2.1 Сведения для дополнительных статических проверочных испытаний голеностопных узлов и узлов стоп
E.5.2.1.1 Для каждого образца протезного устройства/конструкции, представленного на испытание из назначенной группы в соответствии с
17.2.3.3, регистрируют:
b) повторную установку и повторное использование образца, который завершил дополнительное циклическое испытание голеностопных узлов и узлов стоп (включая заключительное статическое испытание) без разрушения, в соответствии с
17.2.3.1.2;
c) уровень нагрузки, подлежащий применению, и соответствующие значения углов, определяющих направления, и испытательных сил, делая специальную запись о применении дополнительных уровней нагрузки P6, P7 и P8, установленных в
приложении D, если применяют, в соответствии с
17.2.3.1.1;
d) данные о том, выдерживает или нет образец нагружение пятки проверочной испытательной силой
F1sp, и, если не выдерживает, то наибольшее достигнутое при испытании значение испытательной силы или время, в течение которого удерживалось заданное значение проверочной испытательной силы
F1sp, в соответствии с
17.2.3.1.5;
e) решение о проведении испытания с нагружением носка в соответствии с
12.3.3 и
17.2.3.1.5;
f) после осмотра образца - характер и (по возможности) место любого повреждения в соответствии с
17.2.3.1.6;
g) данные о том, выдерживает или нет образец нагружение носка проверочной испытательной силой
F2sp, и, если не выдерживает, то наибольшее достигнутое при испытании значение испытательной силы или время, в течение которого заданное значение проверочной испытательной силы
F2sp удерживалось, в соответствии с
17.2.3.1.8;
h) после осмотра образца - характер и (по возможности) место любого повреждения в соответствии с
17.2.3.1.9;
i) решение о том, прошел или нет образец испытание с нагружением пятки и испытание с нагружением носка, в соответствии с
17.2.3.1.10;
j) повторное испытание на замененном образце, если образец, который уже прошел дополнительное циклическое испытание голеностопных узлов и узлов стоп, разрушается до удовлетворения оценочного требования
17.2.3.2 при нагружении пятки или носка, включая все требуемые специальные записи [
перечисления a) -
i)], в соответствии с
17.2.3.1.11.
E.5.2.1.2 Для протезного устройства/конструкции, представленного на испытание, регистрируют решение о соответствии дополнительному статическому проверочному испытанию голеностопных узлов и узлов стоп в соответствии с
17.2.3.3, фиксируя:
a) заявление о соответствии или
b) причину, или причины, по которым соответствие не может быть заявлено.
E.5.2.2 Специальные сведения для дополнительных статических испытаний на предельную прочность голеностопных узлов и узлов стоп
E.5.2.2.1 Для каждого образца протезного устройства/конструкции, представленного на испытание из назначенной в соответствии с
17.2.4.3, регистрируют:
b) повторную установку и повторное использование образца, который завершил дополнительное статическое проверочное испытание или дополнительное циклическое испытание голеностопных узлов и узлов стоп (включая заключительное статическое испытание) без разрушения, в соответствии с
17.2.4.1.2;
c) уровень нагрузки, подлежащий применению, и соответствующие значения угла

, определяющего направление нагружения, и испытательной силы
F1, делая специальную запись о применении дополнительных уровней нагрузки P6, P7 и P8, установленных в
приложении D, если применяют, в соответствии с
17.2.4.1.1;
d) наибольшее значение испытательной силы
F1, достигнутое при испытании с нагружением пятки, и произошел ли отказ, делая специальную запись о применении испытательной силы
F1 при повышенной скорости нагружения, если применяют (см.
перечисление a)], в соответствии с
17.2.4.1.5;
e) по требованию изготовителя/поставщика результаты продолжения испытания с нагружением пятки до получения фактического отказа в соответствии с
12.3.4, перечисление a) и
17.2.4.1.5;
f) решение о том, проходит ли образец испытание с нагружением пятки или разрушается, в соответствии с
17.2.4.1.6;
g) результаты дополнительного статического проверочного испытания голеностопных узлов и узлов стоп, установленного в
17.2.3, которому образец должен быть подвергнут после прохождения испытания с нагружением пятки испытательной силой
F1 при повышенной скорости нагружения [см.
перечисление a)], в соответствии с
17.2.4.1.6;
h) решение о проведении испытания с нагружением носка в соответствии с
12.3.3 и
17.2.4.1.6;
i) после осмотра образца - характер и (по возможности) место любого повреждения в соответствии с
17.2.4.1.7;
j) повторную установку и повторное использование образца, который завершил дополнительное статическое проверочное испытание или дополнительное циклическое испытание голеностопных узлов и узлов стоп (включая заключительное статическое испытание) без разрушения, в соответствии с
17.2.4.1.8;
k) уровень нагрузки, подлежащий применению, и соответствующие значения угла

, определяющего направление нагружения, и испытательной силы F
2, делая специальную запись о применении дополнительных уровней нагрузки P6, P7 и P8, установленных в
приложении D, если применяют, в соответствии с
17.2.4.1.7;
l) наибольшее значение испытательной силы
F2, достигнутое при испытании с нагружением носка, и произошел ли отказ, делая специальную запись о применении испытательной силы
F2 при повышенной скорости нагружения, если приемлемо [см.
перечисление a)], в соответствии с
17.2.4.1.11;
m) по требованию изготовителя/поставщика результаты продолжения испытания с нагружением носка до получения фактического отказа в соответствии с
12.3.4, перечисление a) и
17.2.4.1.11;
n) решение о том, проходит ли образец испытание с нагружением носка, или разрушается, в соответствии с
17.2.4.1.12;
o) результаты дополнительного статического проверочного испытания голеностопных узлов и узлов стоп, установленного в
17.2.3, которому образец должен быть подвергнут после прохождения испытания с нагружением носка испытательной силой
F2 при повышенной скорости нагружения [см.
перечисление a)], в соответствии с
17.2.4.1.12;
p) после осмотра образца регистрируют характер и (по возможности) место повреждения в соответствии с
17.2.4.1.13;
r) повторное испытание на замененном образце в направлении нагружения, в котором произошло разрушение, если предыдущий образец, который уже прошел дополнительное статическое проверочное испытание и/или дополнительное циклическое испытание голеностопных узлов и узлов стоп, разрушается до удовлетворения одного из оценочных требований
17.2.4.2 при нагружении пятки или носка, с приведением всех требуемых специальных записей [
перечисления a) -
q)], в соответствии с
17.2.4.1.15;
| | ИС МЕГАНОРМ: примечание. В официальном тексте документа, видимо, допущена опечатка: имеется в виду п. 17.2.4.1.16, а не 17.2.3.1.16. | |
s) повторное испытание на замененном образце в том же направлении нагружения, в котором произошло разрушение, если предыдущий образец, который уже прошел дополнительное статическое испытание на предельную прочность голеностопных узлов и узлов стоп в одном направлении нагружения, разрушается при этом испытании в другом направлении нагружения, с приведением всех специальных требуемых записей [
перечисления a) -
q)], в соответствии с
17.2.3.1.16;
t) (в качестве рекомендации) повторное испытание на замененном образце при повышенной скорости нагружения [см.
перечисление a)] в том же направлении нагружения, в котором произошло разрушение, если предыдущий образец разрушается при этом испытании в одном направлении нагружения при скорости нагружения от 100 до 250 Н/с, с приведением всех специальных требуемых записей [
перечисления a) -
q)], в соответствии с
17.2.4.1.17.
E.5.2.2.2 Для протезного устройства/конструкции, представленного на испытание, регистрируют решение о соответствии дополнительному статическому испытанию на предельную прочность голеностопных узлов и узлов стоп в соответствии с
17.2.4.3, фиксируя:
a) заявление о соответствии или
b) причину, или причины, по которым соответствие не может быть заявлено.
E.5.2.3 Специальные сведения для дополнительных циклических испытаний голеностопных узлов и узлов стоп
E.5.2.3.1 Для каждого образца протезного устройства/конструкции, представленного на испытание из назначенной группы в соответствии с
17.2.5.3, регистрируют:
a) уровень нагрузки, подлежащий применению, и соответствующие значения углов, определяющих направления, и испытательных сил, делая специальную запись о применении дополнительных уровней нагрузки P6, P7 и P8, установленных в
приложении D, если применяют, в соответствии с
17.2.5.1.2;
b) данные о том, выдерживает или нет образец нагружение пятки максимальной испытательной силой
F1cmax и нагружение носка максимальной испытательной силой
F2cmax, и, если не выдерживает, то наибольшее значение испытательной силы, достигнутое в каждом направлении нагружения, в соответствии с
17.2.5.1.6;
c) решение о прекращении испытания в соответствии с
17.2.5.1.6;
f) соглашение о частоте, отличной от значения, требуемого в соответствии с
17.2.5.1.7;
g) прекращение испытания, если циклические испытательные силы
F1c(
t) и/или
F2c(
t) не могут быть приложены при какой-либо частоте, согласованной между испытательной лабораторией/центром и изготовителем/поставщиком, в соответствии с
17.2.5.1.7;
h) примененную частоту, то есть требуемую или согласованную частоту [см.
перечисления d) и
f)], и результаты проверки формы волны и решение о продолжении испытания в соответствии с
17.2.5.1.8;
j) число циклов на момент отключения оборудования и произошел ли отказ в соответствии с
17.2.5.1.10;
k) данные о том, выдерживает или нет образец, который прошел циклическое испытание, заключительное статическое нагружение последовательно приложенной испытательной силой
F1fin к пятке и испытательной силой
F2fin к носку, и, если не выдерживает, то наибольшее значение испытательной силы, достигнутое в каждом направлении нагружения, или время, в течение которого удерживались заданные значения заключительных статических испытательных сил
F1fin и
F2fin, в соответствии с
17.2.5.1.11;
l) решение о том, прошел ли образец дополнительное циклическое испытание голеностопных узлов и узлов стоп или разрушился в соответствии с
17.2.5.1.12;
m) после осмотра образца - характер и (по возможности) место любого повреждения в соответствии с
17.2.5.1.13;
E.5.2.3.2 Для протезного устройства/конструкции, представленного на испытание, регистрируют решение о соответствии дополнительному циклическому испытанию голеностопных узлов и узлов стоп в соответствии с
17.2.5.3, фиксируя:
a) заявление о соответствии или
b) причину или причины, по которым соответствие не может быть заявлено.
E.5.3 Сведения для дополнительных статических испытаний на предельную прочность при максимальном сгибании коленных узлов и смежных с ними элементов
E.5.3.1 Для каждого образца протезного устройства/конструкции, представленного на испытание из назначенной группы в соответствии с
17.3.6, регистрируют:
a) причины, указанные изготовителем/поставщиком или выявленные испытательной лабораторией/центром, отказа от проведения испытания представленного образца или от продолжения испытания в соответствии с
17.3.3.3;
b) значения длины
Le и испытательной силы
Fsu, подлежащей приложению в соответствии с
17.3.4.1;
c) параметры постериорной формы конструкции, представляющей сегменты бедра и голени в пределах длины
Le, в соответствии с
17.3.4.1;
d) расположение/положение частей образца, обеспечивающих стопорение сгибания коленного узла при максимальном его сгибании, в соответствии с
17.3.4.2;
e) решение о том, применимо ли дополнительное статическое испытание на предельную прочность при максимальном сгибании коленного узла и о продолжении испытания, в соответствии с
17.3.4.2;
f) наибольшее значение испытательной силы, достигнутое при испытании, и произошел ли отказ, в соответствии с
17.3.4.4;
g) решение о том, прошел ли образец дополнительное статическое испытание на предельную прочность при максимальном сгибании коленных узлов и смежных с ними элементов или разрушился, в соответствии с
17.3.4.5;
h) после осмотра образца - характер и (по возможности) место любого повреждения в соответствии с
17.3.4.6.
E.5.3.2 Для протезного устройства/конструкции, представленного на испытание, регистрируют решение о соответствии дополнительному статическому испытанию на предельную прочность при максимальном сгибании коленных узлов и смежных с ними элементов в соответствии с
17.3.6, фиксируя:
a) заявление о соответствии или
b) причину или причины, по которым соответствие не может быть заявлено.
E.5.4 Сведения для дополнительных испытаний замков коленных узлов
E.5.4.1 Общие сведения для всех дополнительных испытаний замков коленных узлов
Регистрация вида испытания, условий нагружения, подлежащих применению, и того, соответствует ли протезное устройство/конструкция, представленное на испытание, требованиям настоящего стандарта, или регистрация причины, по которой протезное устройство/конструкция, представленное на испытание, не соответствует этим требованиям.
E.5.4.2 Специальные сведения для дополнительных статических проверочных испытаний замков коленных узлов
E.5.4.2.1 Для каждого образца протезного устройства/конструкции, представленного на испытание из назначенной группы в соответствии с
17.4.3.3, регистрируют:
a) решение о том, что дополнительное статическое проверочное испытание замков коленных узлов должно быть заменено заключительным статическим испытанием [см.
E.5.4.4.1, перечисление a)], в соответствии с
17.4.3.1.1;
b) повторную установку и повторное использование образца, который завершил дополнительно циклическое испытание замков коленных узлов (включая заключительное статическое испытание) без разрушения, в соответствии с
17.4.3.1.2;
c) значения смещений и испытательных сил, подлежащих приложению в соответствии с
17.4.3.1.2;
d) комбинацию и значения длин сегментов (
ux -
uy) и первоначальные значения смещений (
fx и
ox), установленные при нулевой нагрузке, в соответствии с
17.4.3.1.2;
f) время, в течение которого удерживалась опрессовочная испытательная сила
Fset при заданном значении, и время выдержки образца при нулевой нагрузке, в соответствии с
17.4.3.1.3;
g) окончательные значения смещений, установленные в соответствии с
17.4.3.1.5 при стабилизирующей силе
Fstab;
h) значения расстояния
LBT или перемещения

, измеренные в соответствии с
17.4.3.1.6, перечисления a) и
b), при стабилизирующей испытательной силе
Fstab;
i) данные о том, выдерживает или нет образец нагружение проверочной испытательной силой
Fsp, и, если не выдерживает, то наибольшее значение испытательной силы, достигнутое при испытании, или время, в течение которого удерживалось заданное значение проверочной испытательной силы
Fsp, в соответствии с
17.4.3.1.7;
j) значения расстояния
LBT или перемещения

и, при необходимости, смещений (
fx и
ox) и/или действительных плеч рычагов
LA и
LK, измеренные при приложенной стабилизирующей испытательной силе
Fstab, и время проведения каждого из измерений по
перечислениям a) и
b), в соответствии с
17.4.3.1.8, перечисления a) и
b);
k) значение остаточной деформации
D3, вычисленное в соответствии с
17.4.3.1.9;
l) решение о том, прошел ли образец дополнительное статическое проверочное испытание замков коленных узлов или разрушился в соответствии с
17.4.3.1.10;
m) после осмотра образца - характер и (по возможности) место повреждения в соответствии с
17.4.3.1.11;
n) повторное испытание на замененном образце после отказа образца, который уже прошел основное циклическое испытание, включая все требуемые специальные записи [
перечисления a) -
m)], в соответствии с
17.4.3.1.12.
E.5.4.2.2 Для протезного устройства/конструкции, представленного на испытание, регистрируют решение о соответствии дополнительному статическому проверочному испытанию замков коленных узлов в соответствии с
17.4.3.3, фиксируя:
a) заявление о соответствии или
b) причину, или причины, по которым соответствие не может быть заявлено.
E.5.4.3 Специальные сведения для дополнительных статических испытаний замков коленных узлов на предельную прочность
E.5.4.3.1 Для каждого образца протезного устройства/конструкции, представленного на испытание из назначенной группы в соответствии с
17.4.4.3, регистрируют:
a) повторную установку и повторное использование образца, который завершил дополнительное циклическое испытание замков коленных узлов (включая заключительное статическое испытание) без разрушения, в соответствии с
17.4.4.1.2;
b) значения смещений и испытательных сил в соответствии с
17.4.4.1.2;
c) комбинацию и значения длин сегментов (
ux -
uy) и первоначальные значения смещений (
fx и
ox), установленные при нулевой нагрузке, в соответствии с
17.4.4.1.2;
e) время, в течение которого удерживалась опрессовочная испытательная сила
Fset при заданном значении, и время выдержки образца при нулевой нагрузке, в соответствии с
17.4.4.1.3;
f) окончательные значения смещений, установленные в соответствии с
17.4.4.1.5 при стабилизирующей силе
Fstab;
g) наибольшее значение испытательной силы, достигнутое при испытаниях, и произошел ли отказ, в соответствии с
17.4.4.1.6;
i) решение о том, прошел ли образец дополнительное статическое испытание на предельную прочность замков коленных узлов, или разрушился, в соответствии с
17.4.4.1.7;
j) после осмотра образца - характер и (по возможности) место любого повреждения в соответствии с
17.4.4.1.8;
k) повторное испытание на замененном образце после отказа образца, который уже прошел дополнительное статическое проверочное испытание и/или дополнительное циклическое испытание замков коленных узлов, включая все требуемые специальные записи от [
перечисления a) -
j)], в соответствии с
17.4.4.1.9.
E.5.4.3.2 Для протезного устройства/конструкции, представленного на испытание, регистрируют решение о соответствии дополнительному статическому испытанию на предельную прочность замков коленных узлов в соответствии с
17.4.4.3, фиксируя:
a) заявление о соответствии или
b) причину, или причины, по которым соответствие не может быть заявлено.
E.5.4.4 Специальные сведения для дополнительных циклических испытаний замков коленных узлов
E.5.4.4.1 Для каждого образца протезного устройства/конструкции, представленного на испытание из назначенной группы в соответствии с
17.4.5.3, регистрируют:
b) значения смещений, испытательных сил и назначенное число циклов в соответствии с
17.4.5.1.2;
c) комбинацию и значения сегментов длин (
ux -
uy) и первоначальные значения смещений (
fx и
ox), установленные при нулевой нагрузке, в соответствии с
17.4.5.1.2;
e) время, в течение которого удерживалась опрессовочная испытательная сила
Fset при заданном значении, и время выдержки образца при нулевой нагрузке, в соответствии с
17.4.5.1.3;
f) окончательные значения смещений, установленные в соответствии с
17.4.5.1.5 при стабилизирующей силе
Fstab;
g) значения расстояния
LBT или перемещения

, измеренные в соответствии с
17.4.5.1.6, перечисления a) и
b), при стабилизирующей испытательной силе
Fstab;
h) значения расстояния
LBT или перемещения

и, при необходимости, смещений (
fx и
ox), и/или действительных плеч рычагов
LA и
LK, измеренные в соответствии с
17.4.5.1.8, перечисления a) и
b), при максимальной испытательной силе
Fcmax;
i) данные о том, выдерживает или нет образец нагружение максимальной испытательной силой
Fcmax, и, если не выдерживает, то наибольшее достигнутое значение испытательной силы или время, в течение которого удерживалось заданное значение максимальной испытательной силы
Fcmax, в соответствии с
17.4.5.1.9;
l) соглашение о частоте, отличной от значения, требуемого в соответствии с
17.4.5.1.10;
m) прекращение испытания, если циклическая испытательная сила
Fc(
t) не может быть приложена с какой-либо частотой, согласованной между испытательной лабораторией/центром и изготовителем/поставщиком, в соответствии с
17.4.5.1.10;
n) первоначальное значение расстояния
LBT или перемещения

, измеренное в соответствии с
17.4.5.1.11 при максимальной испытательной силе
Fcmax;
o) примененную частоту, то есть требуемую или согласованную [см.
перечисления j) и
l)] частоту, и результаты проверки формы волны и решение о продолжении испытания в соответствии с
17.4.5.1.13;
| | ИС МЕГАНОРМ: примечание. В официальном тексте документа, видимо, допущена опечатка: имеется в виду п. 17.4.5.1.14, а не 17.4.4.1.14. | |
p) продолжительность и причины отключения всех случаев отключения оборудования и число циклов нагрузки, приложенной на этот момент, в соответствии с
17.4.4.1.14;
q) результаты исследования образца и подробное описание возобновления испытания в соответствии с
17.4.5.1.15;
r) значения расстояния
LBT или перемещения

и, при необходимости, смещений (
fx и
ox) и/или действительных плеч рычагов
LA и
LK, измеренные в соответствии с
17.4.5.1.16 при минимальной испытательной силе
Fcmin, а затем при максимальной испытательной силе
Fcmax;
t) возникновение отказа, число циклов на момент отключения испытательного оборудования и прекращение испытания в соответствии с
17.4.5.1.17;
u) завершение циклического испытания и число циклов на момент отключения испытательного оборудования и значения расстояния
LBT или перемещения

, и, при необходимости, смещений (
fx и
ox) и/или действительных плеч рычагов
LA и
LK, измеренные в соответствии с
17.4.5.1.17 при минимальной испытательной силе
Fcmin, а затем при максимальной испытательной силе
Fcmax;
v) данные о том, выдерживает или нет образец, который прошел циклическое испытание, заключительное статическое нагружение испытательной силой
Ffin, и, если не выдерживает, то наибольшее достигнутое значение испытательной силы или время, в течение которого удерживалось заданное значение заключительной статической испытательной силы
Ffin, в соответствии с
17.4.5.1.18;
w) проведение заключительного статического испытания методом, требуемым для замены дополнительного статического проверочного испытания замков коленных узлов, установленного в
17.4.3 [см.
перечисление a)], и результаты испытания в соответствии с
17.4.5.1.18;
| | ИС МЕГАНОРМ: примечание. В официальном тексте документа, видимо, допущена опечатка: имеется в виду п. 17.4.5.1.19, а не 17.4.4.1.19. | |
x) решение о том, прошел ли образец дополнительное циклическое испытание замков коленных узлов или разрушился, в соответствии с
17.4.4.1.19;
y) после осмотра образца - характер и (по возможности) место любого повреждения в соответствии с
17.4.5.1.20;
aa) повторное испытание на замененном образце после отказа образца, который испытывался на частоте 3 Гц или выше, включая все требуемые специальные записи [
перечисления a) -
z)], в соответствии с
17.4.5.1.22.
E.5.4.4.2 Для протезного устройства/конструкции, представленного на испытание, регистрируют решение о соответствии дополнительному циклическому испытанию замков коленных узлов в соответствии с
17.4.5.3, фиксируя:
a) заявление о соответствии или
b) причину, или причины, по которым соответствие не может быть заявлено.
E.6 Сведения для альтернативного статического испытания на предельную прочность, соответствующего приложению C
E.6.1 Для каждого образца для испытаний протезной конструкции/устройства, представленного для проведения испытаний из назначенной группы в соответствии с
16.2.2.3, или
17.4.5.3, регистрируют:
E.6.2 Для протезного устройства/конструкции, представленного на испытание, регистрируют решение о соответствии альтернативному статическому испытанию на предельную прочность в соответствии с
C.2, перечисление d), фиксируя:
a) заявление о соответствии или
b) причину, или причины, по которым соответствие не может быть заявлено.
(справочное)
ИСХОДНАЯ ИНФОРМАЦИЯ О ПРОФИЛЯХ НАГРУЖЕНИЯ, СОЗДАВАЕМЫХ
ИСПЫТАТЕЛЬНЫМ ОБОРУДОВАНИЕМ, СООТВЕТСТВУЮЩИМ 13.4.1.2,
ПРИ ДОПОЛНИТЕЛЬНЫХ ЦИКЛИЧЕСКИХ ИСПЫТАНИЯХ ГОЛЕНОСТОПНЫХ
УЗЛОВ И УЗЛОВ СТОП, СООТВЕТСТВУЮЩИХ 17.2.5.1
F.1 Общие положения
В соответствии с ответами (см.
примечание 1) на вопросы анкеты (см.
примечание 2), направленной сторонам, участвовавшим в проведении испытания голеностопных узлов и узлов стоп по
17.2.5.1, применяемое в настоящее время испытательное оборудование, соответствующее
13.4.1.2, разработано для создания одного или нескольких различных профилей, показанных на
рисунке 10 и перечисленных в
F.2.
Примечание 1 - Сборник ответов приведен в виде документа ISO/TC 168/WG 3 N 289 = CEN/TC 293/WG 5 N 127.
Примечание 2 - Анкета представлена в виде документа ISO/TC 168/WG 3 N 285 = CEN/TC 293/WG 5 N 123.
Рисунок 10a и
b иллюстрирует примеры профиля нагружения первоначально предназначаемого для применения. При применении данных профилей голеностопный узел или узел стопы при испытании должны нагружаться поочередно без фаз одновременного нагружения, в отличие от минимального уровня нагрузки стабилизирующей силой F
stab.
Рисунок 10c иллюстрирует профиль нагружения, который представлялся и обсуждался на 24-м заседании РГ (рабочей группы) 3 ТК 168/ISO в Ден Пойнт, Калифорния, США в январе 1996 г. (
[2]. РГ 3 согласилась с тем, что "в течение циклического испытания голеностопных узлов, в которых всегда должны прикладываться испытательные силы к носку и пятке, каждая значением большим или равным заданному значению стабилизирующей силы
Fstab) и "во время цикла нагружения испытательные силы, превышающие значение стабилизирующей силы
Fstab, могут прикладываться к пятке и носку одновременно, при условии, что, когда значение испытательной силы в одном месте имеет заданное максимальное значение, то испытательная сила в другом месте не превышает значения заданной стабилизирующей силы
Fstab) (см. пункт 6 предварительного отчета 24-го заседания
[3]).
Вопрос приложения нагрузки в ходе дополнительного циклического испытания голеностопных узлов и узлов стоп был повторно рассмотрен на совместном заседании РГ 3 ТК 168 ISO и РГ 5 ТК 293 СЕН в Форзейме (Германия) в октябре 1999 г., при частном обсуждении последствий, касающихся значений и направления/расположения вектора результирующей силы испытательных сил, одновременно приложенных к пятке и носку (см. пункт 8 предварительного отчета заседания
[4] = CEN/TC 293/WG 5 N 77).
Было отмечено, что профиль нагружения, соответствующий
рисунку 10c, создает условия нагружения, которые отличаются от реальных условий нагружения при ходьбе, варианты которых перечислены ниже:
- в имитируемый момент удара пятки (выше уровня стабилизирующей силы Fstab) носок нагружается при максимальном значении (этого не происходит в реальных условиях нагружения при ходьбе);
- при увеличении нагрузки пятки до максимального значения нагрузка носка уменьшается до стабилизирующей силы Fstab, изменяя при этом расположение результирующей силы от носка в направлении пятки (этого не происходит в реальных условиях нагружения при ходьбе);
- при последующем увеличении нагрузки носка до максимального значения нагрузка пятки уменьшается до стабилизирующей силы Fstab, изменяя при этом расположение результирующей силы от пятки в направлении носка (этого не происходит в реальных условиях нагружения при ходьбе);
- в среднем положении имитируемой фазы опоры при ходьбе пятка и носок нагружаются одновременно (этого не происходит в реальных условиях нагружения при ходьбе, но не при значении результирующей силы, соответствующей пиковым нагрузкам при ударе пятки и отталкивании, и не при углах, определяемых наклоняемыми платформами нагружения, которые формируют вид углубления);
- при уменьшении нагрузки до стабилизирующей силы Fstab нагрузка пятки возрастает до максимального значения, изменяя при этом расположение результирующей силы от носка в направлении пятки (этого не происходит в реальных условиях нагружения при ходьбе);
- в имитируемый момент отключения носка (на уровне стабилизирующей силы Fstab) пятка нагружается при максимальном значении (этого не происходит в реальных условиях нагружения при ходьбе).
Рисунок 10d иллюстрирует профиль нагружения, который очень близко подходит к реальным условиям нагружения при ходьбе, за исключением того, что в среднем положении имитируемой фазы опоры при ходьбе пятка и носок все еще нагружаются при углах, определяемых наклонными платформами нагружения, которые образуют вид впадины.
(справочное)
ССЫЛКА НА ОСНОВНЫЕ ПРИНЦИПЫ БЕЗОПАСНОСТИ И ХАРАКТЕРИСТИКИ
МЕДИЦИНСКИХ ИЗДЕЛИЙ В СООТВЕТСТВИИ С ISO/TR 16142
Настоящий стандарт разработан в обеспечение основных принципов безопасности и характеристик протезов нижних конечностей, как медицинских изделий, соответствующих ISO/TR 16142. Настоящий стандарт пригоден для целей оценки соответствия.
Соответствие настоящему международному стандарту является одним из средств подтверждения соответствия конкретным основным принципам ISO/TR 16142. Возможны другие средства подтверждения.
Примечание 1 - Основные принципы безопасности и характеристики, соответствующие ISO/TR 16142, за незначительными исключениями, соответствуют основным требованиям
приложения I Европейской Директивы 93/42/EEC, касающегося медицинских изделий, как по конструкции, так и по содержимому.
Примечание 2 - Приложение G включено для приведения той же информации, что и в исходном приложении ZA, которое исключено из настоящего стандарта по формальным причинам.
Таблица G.1 соответствует таблице ZA.1 первоначального приложения ZA как по построению, так и по содержанию, за исключением заголовков колонок.
Таблица G.1
Соответствие настоящего стандарта
основным принципам ISO/TR 16142
Разделы/подразделы настоящего стандарта | Соответствующие основные принципы ISO/ISO/TR 16142:2016 | Квалификационные замечания/примечания |
| A.2, A.4, A.12.7.1 | - |
| A.9.1 | - |
| A.13 | - |
| A.13 | - |
(справочное)
СВЕДЕНИЯ О СООТВЕТСТВИИ ССЫЛОЧНЫХ МЕЖДУНАРОДНЫХ СТАНДАРТОВ
НАЦИОНАЛЬНЫМ СТАНДАРТАМ
Таблица ДА.1
Обозначение ссылочного международного стандарта | Степень соответствия | Обозначение и наименование соответствующего национального стандарта |
ISO 8549-1:1989 | IDT | ГОСТ Р ИСО 8549-1-2011 "Протезирование и ортезирование. Словарь. Часть 1. Общие термины, относящиеся к наружным протезам конечностей и ортезам" |
ISO 16142-1:2016 | - | |
ISO 22523:2006 | IDT | |
ISO 22675:2016 | IDT | ГОСТ Р ИСО 22675-2019 "Протезирование. Испытание голеностопных узлов и узлов стоп протезов нижних конечностей. Требования и методы испытаний" |
<*> Соответствующий национальный стандарт отсутствует. До его принятия рекомендуется использовать перевод на русский язык данного международного стандарта. Перевод данного международного стандарта находится в Федеральном информационном фонде стандартов. Примечание - В настоящей таблице использовано следующее условное обозначение степени соответствия стандартов: - IDT - идентичные стандарты. |
[1] | ISO 15032, Prostheses - Structural testing of hip units |
| Document ISO/TC 168/WG 3 N192 |
| Document ISO/TC 168/WG 3 N195 |
| Document ISO/TC 168/WG 3 N244 |
УДК 615.477.22:006.354 | |
Ключевые слова: протезы нижних конечностей, конструкция, требования и методы испытаний |