Главная // Актуальные документы // ГОСТ Р (Государственный стандарт)СПРАВКА
Источник публикации
М.: ФГБУ "РСТ", 2021
Примечание к документу
Документ
введен в действие с 01.03.2022.
Название документа
"ГОСТ Р 59607-2021. Национальный стандарт Российской Федерации. Оптика и фотоника. Приемники излучения полупроводниковые. Фотоэлектрические и фотоприемные устройства. Методы измерений фотоэлектрических параметров и определения характеристик"
(утв. и введен в действие Приказом Росстандарта от 12.10.2021 N 1133-ст)
"ГОСТ Р 59607-2021. Национальный стандарт Российской Федерации. Оптика и фотоника. Приемники излучения полупроводниковые. Фотоэлектрические и фотоприемные устройства. Методы измерений фотоэлектрических параметров и определения характеристик"
(утв. и введен в действие Приказом Росстандарта от 12.10.2021 N 1133-ст)
Утвержден и введен в действие
по техническому регулированию
и метрологии
от 12 октября 2021 г. N 1133-ст
НАЦИОНАЛЬНЫЙ СТАНДАРТ РОССИЙСКОЙ ФЕДЕРАЦИИ
ОПТИКА И ФОТОНИКА
ПРИЕМНИКИ ИЗЛУЧЕНИЯ ПОЛУПРОВОДНИКОВЫЕ.
ФОТОЭЛЕКТРИЧЕСКИЕ И ФОТОПРИЕМНЫЕ УСТРОЙСТВА
МЕТОДЫ ИЗМЕРЕНИЙ ФОТОЭЛЕКТРИЧЕСКИХ ПАРАМЕТРОВ
И ОПРЕДЕЛЕНИЯ ХАРАКТЕРИСТИК
Optics and photonics. Semiconducting photoelectric
detectors. Photoelectric and photoreceiving
devices. Methods of measuring photoelectric parameters
and determining characteristics
ГОСТ Р 59607-2021
Дата введения
1 марта 2022 года
1 РАЗРАБОТАН Федеральным государственным унитарным предприятием "Научно-исследовательский институт физической оптики, оптики лазеров и информационных оптических систем Всероссийского научного центра "Государственный оптический институт им. С.И. Вавилова" (ФГУП "НИИФООЛИОС ВНЦ "ГОИ им. С.И. Вавилова") и Акционерным обществом "Научно-производственное объединение "Орион" (АО "НПО "Орион")
2 ВНЕСЕН Техническим комитетом по стандартизации ТК 296 "Оптика и фотоника"
3 УТВЕРЖДЕН И ВВЕДЕН В ДЕЙСТВИЕ
Приказом Федерального агентства по техническому регулированию и метрологии от 12 октября 2021 г. N 1133-ст
4 ВВЕДЕН ВПЕРВЫЕ
Правила применения настоящего стандарта установлены в статье 26 Федерального закона от 29 июня 2015 г. N 162-ФЗ "О стандартизации в Российской Федерации". Информация об изменениях к настоящему стандарту публикуется в ежегодном (по состоянию на 1 января текущего года) информационном указателе "Национальные стандарты", а официальный текст изменений и поправок - в ежемесячном информационном указателе "Национальные стандарты". В случае пересмотра (замены) или отмены настоящего стандарта соответствующее уведомление будет опубликовано в ближайшем выпуске ежемесячного информационного указателя "Национальные стандарты". Соответствующая информация, уведомление и тексты размещаются также в информационной системе общего пользования - на официальном сайте Федерального агентства по техническому регулированию и метрологии в сети Интернет (www.rst.gov.ru)
Настоящий стандарт распространяется на фотоэлектрические полупроводниковые приемники излучения (ФЭПП) и фотоприемные устройства (ФПУ) на их основе, чувствительные к излучению в диапазоне длин волн от 0,2 до 100 мкм.
Настоящий стандарт не распространяется на ФЭПП и ФПУ, представляющие собой средства измерений, подлежащие испытаниям в целях утверждения типа средств измерений.
Настоящий стандарт устанавливает методы измерений следующих фотоэлектрических параметров:
- на немодулированном излучении:
- темнового, общего тока и фототока ФЭПП,
- темнового сопротивления ФЭПП,
- дифференциального электрического сопротивления ФЭПП,
- статической токовой чувствительности ФЭПП,
- рабочего напряжения лавинного фотодиода,
- коэффициента умножения темнового тока и фототока лавинного
фотодиода,
- емкости ФЭПП;
- на модулированном излучении:
- напряжения (тока) фотосигнала ФЭПП и ФПУ,
- напряжения (тока) шума ФЭПП и ФПУ,
- эффективной фоточувствительной площади ФЭПП и ФПУ,
- статической чувствительности ФЭПП и ФПУ,
- порога чувствительности ФЭПП и ФПУ,
- обнаружительной способности ФЭПП и ФПУ;
- на импульсном потоке:
- импульсной вольтовой (токовой) чувствительности ФЭПП и ФПУ,
- собственной постоянной времени, времени нарастания и времени
спада ФЭПП и ФПУ.
Настоящий стандарт устанавливает методы определения следующих характеристик ФЭПП и ФПУ:
- вольт-амперной характеристики ФЭПП;
- плоского угла зрения ФЭПП и ФПУ;
- линейной зоны и дифференциальной крутизны координатной характеристики координатного фотодиода и ФПУ;
- временного дрейфа нулевой точки координатного фотодиода;
- коэффициента фотоэлектрической связи многоэлементных ФЭПП и ФПУ;
- неравномерности чувствительности ФЭПП и ФПУ по элементу;
- энергетических характеристик фототока ФЭПП и ФПУ;
- энергетических характеристик напряжения фотосигнала ФЭПП и ФПУ;
- динамического диапазона ФЭПП и ФПУ;
- частотных характеристик ФЭПП и ФПУ, включая:
- статическую чувствительность,
- удельный порог чувствительности,
- удельную обнаружительную способность,
- относительные спектральные характеристики чувствительности ФЭПП и
ФПУ;
- фоновых характеристик ФЭПП и ФПУ, включая:
- напряжение (тока) шума,
- напряжение (тока) фотосигнала,
- вольтовую (токовую) чувствительность,
- удельную обнаружительную способность,
- удельный порог чувствительности;
- температурных характеристик (температурной зависимости) ФЭПП и ФПУ, включая:
- напряжение (тока) шума,
- статическую вольтовую (токовую) чувствительность,
- удельный порог чувствительности,
- удельную обнаружительную способность;
- времени выхода на режим охлаждаемых ФЭПП и ФПУ;
- времени автономной работы охлаждаемых ФЭПП и ФПУ;
- нестабильности фотоэлектрических параметров.
В настоящем стандарте использованы нормативные ссылки на следующие стандарты:
ГОСТ 8.023 Государственная система обеспечения единства измерений. Государственная поверочная схема для средств измерений световых величин непрерывного и импульсного излучений
ГОСТ 8.198 Государственная система обеспечения единства измерений. Государственный специальный эталон и государственная поверочная схема для средств измерения мощности и динамических параметров приемников импульсного лазерного излучения в диапазоне длин волн от 0,4 до 10,6 мкм
ГОСТ 12.0.004 Система стандартов безопасности труда. Организация обучения безопасности труда. Общие положения
ГОСТ 12.1.019 Система стандартов безопасности труда. Электробезопасность. Общие требования и номенклатура видов защиты
ГОСТ 12.1.030 Система стандартов безопасности труда. Электробезопасность. Защитное заземление, зануление
ГОСТ 12.1.038 Система стандартов безопасности труда. Электробезопасность. Предельно допустимые значения напряжений прикосновения и токов
ГОСТ 12.2.007.0 Система стандартов безопасности труда. Изделия электротехнические. Общие требования безопасности
ГОСТ 12.2.007.14 Система стандартов безопасности труда. Кабели и кабельная арматура. Требования безопасности
ГОСТ 12.2.032 Система стандартов безопасности труда. Рабочее место при выполнении работ сидя. Общие эргономические требования
ГОСТ 12.2.033 Система стандартов безопасности труда. Рабочее место при выполнении работ стоя. Общие эргономические требования
ГОСТ 12.3.002 Система стандартов безопасности труда. Процессы производственные. Общие требования безопасности
ГОСТ 12.4.308 (EN 207:2009) Система стандартов безопасности труда. Средства индивидуальной защиты глаз. Очки для защиты от лазерного излучения. Общие технические требования и методы испытаний
ГОСТ 18986.4 Диоды полупроводниковые. Методы измерения емкости
ГОСТ 27176 Приборы спектральные оптические. Термины и определения
ГОСТ 31581 Лазерная безопасность. Общие требования безопасности при разработке и эксплуатации лазерных изделий
ГОСТ EN 208 Система стандартов безопасности труда. Средства защиты глаз при работе по настройке лазеров и лазерных систем. Общие технические требования, методы испытаний, маркировка
ГОСТ Р 8.568 Государственная система обеспечения единства измерений. Аттестация испытательного оборудования. Основные положения
ГОСТ Р 8.585 Государственная система обеспечения единства измерений. Термопары. Номинальные статические характеристики преобразования
ГОСТ Р 8.654 Государственная система обеспечения единства измерений. Требования к программному обеспечению средств измерений. Основные положения
ГОСТ Р 8.736 Государственная система обеспечения единства измерений. Измерения прямые многократные. Методы обработки результатов измерений. Основные положения
ГОСТ Р 12.1.031 Система стандартов безопасности труда. Лазеры. Методы дозиметрического контроля лазерного излучения
ГОСТ Р 55702 Источники света электрические. Методы измерений электрических и световых параметров
ГОСТ Р 58566-2019 Оптика и фотоника. Объективы для оптико-электронных систем. Методы испытаний
ГОСТ Р 59605-2021 Оптика и фотоника. Приемники излучения полупроводниковые. Фотоэлектрические и фотоприемные устройства. Термины и определения
Примечание - При пользовании настоящим стандартом целесообразно проверить действие ссылочных стандартов в информационной системе общего пользования - на официальном сайте Федерального агентства по техническому регулированию и метрологии в сети Интернет или по ежегодному информационному указателю "Национальные стандарты", который опубликован по состоянию на 1 января текущего года, и по выпускам ежемесячного информационного указателя "Национальные стандарты" за текущий год. Если заменен ссылочный стандарт, на который дана недатированная ссылка, то рекомендуется использовать действующую версию этого стандарта с учетом всех внесенных в данную версию изменений. Если заменен ссылочный стандарт, на который дана датированная ссылка, то рекомендуется использовать версию этого стандарта с указанным выше годом утверждения (принятия). Если после утверждения настоящего стандарта в ссылочный стандарт, на который дана датированная ссылка, внесено изменение, затрагивающее положение, на которое дана ссылка, то это положение рекомендуется применять без учета данного изменения. Если ссылочный стандарт отменен без замены, то положение, в котором дана ссылка на него, рекомендуется применять в части, не затрагивающей эту ссылку.
3 Термины, определения и сокращения
3.1 Термины и определения
В настоящем стандарте применены термины по
ГОСТ Р 59605, ГОСТ 27176, а также следующие термины с соответствующими определениями:
3.1.1 коэффициент использования потока излучения: Отношение эффективного потока излучения к полному потоку излучения, излучаемому источником во всем спектральном диапазоне.
Примечание - Эффективный поток излучения эквивалентен мощности излучения, определенной по уровню реакции ФЭПП.
3.1.2 коэффициент формы модуляции: Отношение среднего квадратического значения первой (основной) гармонической составляющей потока излучения к удвоенной амплитуде (полному размаху) модулированного потока.
3.1.3 фотоэлектрический параметр: Параметр фотоэлектрического полупроводникового приемника излучения и фотоприемного устройства, учитывающий особенности и эффективность преобразования оптического воздействия в электрический сигнал.
В настоящем стандарте применены следующие сокращения:
АЧТ - абсолютно черное тело;
ВАХ - вольт-амперная характеристика;
ПО - программное обеспечение;
СИ - средство измерения;
СКО - среднее квадратическое отклонение;
ПЭВМ - персональная электронная вычислительная машина;
ТСУИФ - технические устройства (системы) с измерительными функциями;
ТУ - технические условия;
ТЭДС - термоэлектродвижущая сила;
ФПУ - фотоприемное устройство;
ФЭПП - фотоэлектрический полупроводниковый приемник излучения.
4 Методы измерений и определения характеристик
4.1 Метод измерения темнового, общего тока и фототока фотоэлектрического полупроводникового приемника излучения на немодулированном излучении
4.1.1 Средства измерений и вспомогательное оборудование
4.1.1.1 СИ должны быть поверены и откалиброваны в соответствии с нормативными документами, устанавливающими порядок и методы поверки и калибровки конкретных средств измерений.
Вспомогательное оборудование должно быть аттестовано в соответствии с
ГОСТ Р 8.568.
Допускается использовать для измерений калиброванные СИ, а также вспомогательное оборудование с нормированными метрологическими характеристиками в соответствии с требованиями настоящего стандарта.
Автономное ПО самостоятельной поставки, применяемое для измерений, должно быть аттестовано в установленном в соответствии с
ГОСТ Р 8.654. Аттестация ПО не требуется, если ПО входит в состав функционально законченных СИ или ТСУИФ или его применяют только для функции дублирования отображения/записи информации.
Перечень СИ и вспомогательных устройств, применяемых для измерения параметров ФЭПП и ФПУ, должен быть указан в ТУ на их конкретные типы.
4.1.1.2 Конструкция контактных устройств (контактодержателей) для подключения ФЭПП к измерительной цепи должна обеспечивать надежность электрического контакта без механических повреждений выводов ФЭПП и исключать их влияние на результаты измерений.
4.1.1.3 Конфигурация рабочего места для выполнения измерений или конструкция измерительной установки должна исключать влияние рассеянного света и посторонних источников излучения на результаты измерений.
4.1.1.4 Тип источника излучения следует выбирать с учетом параметров испытуемого образца, установленных в стандартах или ТУ на ФЭПП конкретных типов. При измерении параметров, используемых в качестве справочных, в зависимости от области спектральной чувствительности и режима работы ФЭПП рекомендуется применять следующие источники излучения:
- лампу накаливания с цветовой температурой
TC = (2856 +/- 100) К по
ГОСТ 8.023;
- полный излучатель - излучатели в виде модели АЧТ с температурами полости T = (500 +/- 2) К, T = (800 +/- 2) К, T = (1000 +/- 5) К или T = (1273 +/- 10) К;
- светодиоды с заданным распределением спектральной яркости.
Для АЧТ с излучающей полостью в виде конуса, цилиндра или шара (или других типов с коэффициентом излучения более 0,99) допускается применять
методику измерения температуры излучателя АЧТ и ее стабильности, приведенной в приложении А.
В составе источников излучения для ослабления потока излучения или увеличения плотности мощности допускается применять ослабители (аттенюаторы), зеркала, линзы, объективы и другие оптические элементы. При измерении влияние оптических элементов не учитывают, если они изменяют коэффициент использования излучения за счет изменения его спектрального состава не более чем на 2%. Коэффициент использования излучения

вычисляют по формуле

, (1)
где

- относительная спектральная характеристика чувствительности ФЭПП, отн. ед.;

- спектральная плотность потока излучения, Вт·см
-2·мкм
-1;

- максимальный поток излучения, падающего на ФЭПП, который следует выбирать исходя из условий работы ФЭПП на линейном участке его энергетической характеристики.
Нестабильность потока излучения - не более +/- 2%. При использовании в качестве источника излучения лампы накаливания ее блок питания должен удовлетворять требованиям
ГОСТ Р 55702.
4.1.1.5 Источник питания ФЭПП должен обеспечивать установление напряжения питания ФЭПП с погрешностью, которая не должна выходить за пределы интервала +/- 3%, если иное не установлено в ТУ на ФЭПП конкретного типа.
Коэффициент пульсации должен находиться в пределах +/- 10-2% и не оказывать влияния на результат измерения параметров ФЭПП.
4.1.1.6 Измерители тока и напряжения должны обеспечивать измерение, погрешность которого не должна выходить за пределы +/- 3%.
4.1.2 Подготовка к измерениям
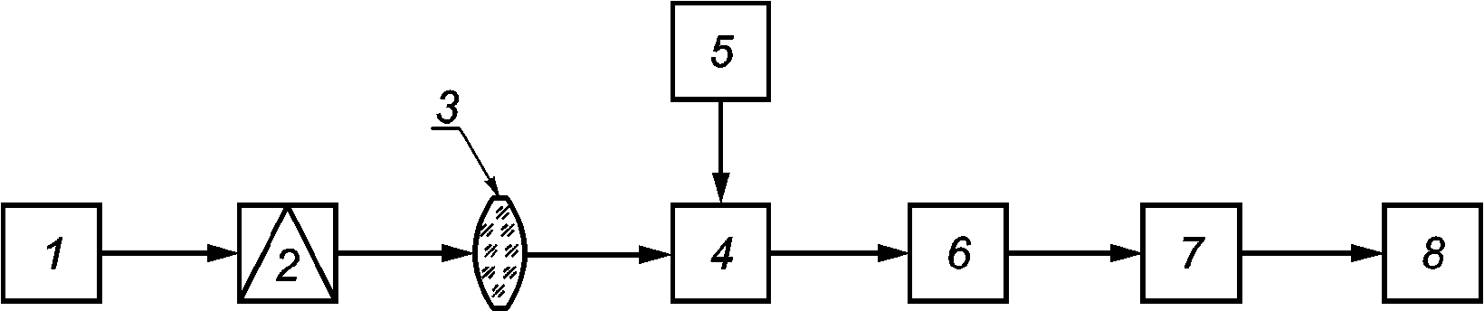
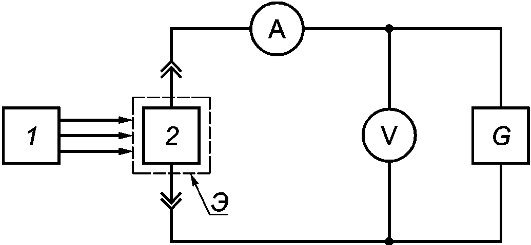
4.1.2.1 Измерения проводят на рабочем месте или установке (стенде), функциональная схема которой(го) приведена на
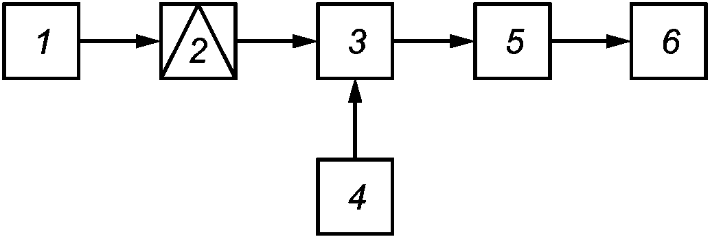
рисунке 1.
1 - источник излучения; 2 - испытуемый образец;
Э - светозащитный экран; A - измеритель тока;
V - измеритель напряжения; G - источник питания
Рисунок 1 - Структурная схема рабочего места, установки
(стенда) для проведения измерений темнового, общего тока
и фототока ФЭПП на немодулированном излучении
4.1.2.2 Рабочее место следует подготовить к работе в соответствии с требованиями инструкции по проведению измерений и/или с требованиями по подготовке приборов к измерениям, приведенными в инструкции по их эксплуатации; установку (стенд) - согласно эксплуатационной документации.
4.1.3 Проведение измерений
4.1.3.1 Климатические условия окружающей среды, в которых проводят измерения, должны соответствовать следующим требованиям, если иные не установлены в ТУ на ФЭПП конкретного типа:
- температура окружающей среды - плюс (20 +/- 5) °C;
- относительная влажность - (65 +/- 15)%;
- атмосферное давление - (100 +/- 4) кПа [(750 +/- 30) мм рт. ст].
4.1.3.2 Испытуемый образец помещают в посадочное место измерительной установки или вспомогательного устройства, подключают его к измерительной цепи, закрывают светозащитным экраном (при необходимости) и устанавливают режим измерения в соответствии с требованиями ТУ на ФЭПП конкретного типа.
4.1.3.3 Для измерения темнового тока ФЭПП устанавливают напряжение питания испытуемого образца в соответствии с требованиями ТУ на ФЭПП конкретного типа и по показаниям измерителя тока регистрируют значение темнового тока ФЭПП.
4.1.3.4 Если в ТУ на ФЭПП конкретного типа предусмотрено проводить измерение темнового тока после предварительного освещения его световым потоком, то уровень освещенности, время освещения и промежуток времени между снятием освещенности и измерением темнового тока должны соответствовать ТУ на ФЭПП конкретного типа.
4.1.3.5 Для измерения общего тока и фототока устанавливают режим измерения в соответствии с требованиями ТУ на ФЭПП конкретного типа и измеряют ток при облучении (общий ток).
4.1.4 Обработка результатов
4.1.4.1 По результатам измерений общего тока и темнового тока вычисляют фототок
Iф, А, по формуле
где Iобщ - общий ток, А;
Iт - темновой ток, А.
4.1.4.2 При обработке результатов измерений допускается применять электронные таблицы.
Погрешность измерения темнового тока, общего тока и фототока не должна выходить за пределы интервала +/- 5% с заданной вероятностью P = 0,95.
4.2 Метод измерения темнового сопротивления фотоэлектрического полупроводникового приемника излучения на немодулированном излучении
4.2.1 Средства измерений и вспомогательное оборудование
4.2.1.1 Требования к СИ и вспомогательному оборудованию - по
4.1.1.
4.2.1.2 Допускается при измерении темнового сопротивления ФЭПП использовать в составе рабочего места или измерительной установки измеритель сопротивления при условии, что напряжение на ФЭПП будет находиться в пределах линейного участка его ВАХ или соответствовать указанному в ТУ на ФЭПП конкретного типа. Погрешность измерителя сопротивлений не должна выходить за пределы интервала +/- 5% с заданной вероятностью P = 0,95.
4.2.2 Подготовка к измерениям
Подготовка к измерениям - по
4.1.2.
4.2.3 Проведение измерений
4.2.4 Обработка результатов
4.2.4.1 Темновое сопротивление Rт, Ом, вычисляют по формуле

, (3)
где U - напряжение питания испытуемого образца, В.
4.2.4.2 Погрешность измерения темнового сопротивления ФЭПП не должна выходить за пределы интервала +/- 5% с заданной вероятностью P = 0,95.
4.3 Метод измерения дифференциального электрического сопротивления фотоэлектрического полупроводникового приемника излучения на немодулированном излучении
4.3.1 Средства измерений и вспомогательное оборудование
4.3.1.1 Требования к СИ и вспомогательному оборудованию - по
4.1.1.1 -
4.1.1.3.
4.3.1.2 Генератор напряжения переменного тока должен обеспечивать установление напряжения на ФЭПП с погрешностью, которая не должна выходить за пределы интервала +/- 2,5%. Выходное сопротивление генератора Rвых, Ом, должно удовлетворять условию
Rвых < 0,01·Rд, (4)
где Rд - дифференциальное электрическое сопротивление испытуемого образца, указанное в ТУ на ФЭПП конкретного типа, Ом.
4.3.1.3 Преобразователь "ток - напряжение" должен обеспечивать требуемый коэффициент преобразования, который следует выбирать исходя из условия обеспечения линейного преобразования тока. Погрешность определения коэффициента преобразования должна находиться в пределах +/- 5%.
4.3.1.4 Селективный измеритель напряжения должен обеспечивать измерение напряжения с погрешностью, которая не должна выходить за пределы интервала +/- 6%.
4.3.1.5 Требования к источнику питания и приборам, контролирующим режим питания ФЭПП, должны соответствовать требованиям
4.1.1.5,
4.1.1.6.
4.3.2 Подготовка к измерениям
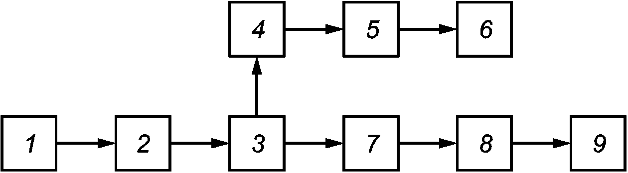
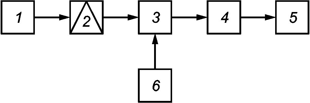
4.3.2.1 Измерение проводят на рабочем месте или установке (стенде), структурная схема которой(го) приведена на
рисунке 2.
1 - генератор напряжения переменного тока; 2 - испытуемый
образец; 3 - преобразователь "ток - напряжение";
4 - селективный измеритель напряжения;
5 - источник питания ФЭПП
Рисунок 2 - Структурная схема рабочего места,
установки (стенда) для проведения измерений
дифференциального электрического сопротивления ФЭПП
на немодулированном излучении
4.3.2.2 Рабочее место следует подготовить к работе в соответствии с требованиями инструкции по проведению измерений и/или с требованиями по подготовке приборов к измерениям, приведенными в инструкции по их эксплуатации; установку (стенд) - согласно эксплуатационной документации.
4.3.3 Проведение измерений
4.3.3.1 Климатические условия проведения измерений - по
4.1.3.1.
4.3.3.2 Испытуемый образец помещают в посадочное место измерительной установки или вспомогательного устройства, подключают его к измерительной цепи и устанавливают режим измерения в соответствии с требованиями ТУ на ФЭПП конкретного типа.
4.3.3.3 Дифференциальное электрическое сопротивление образца измеряют на переменном токе с максимальной частотой fмакс, Гц, соответствующей условию (если иное не установлено в ТУ на ФЭПП конкретного типа)

, (5)
где Rд - дифференциальное электрическое сопротивление, Ом;
C - емкость испытуемого образца, Ф.
4.3.3.4 Напряжение источника питания и напряжение на выходе генератора устанавливают в соответствии с требованиями ТУ на ФЭПП конкретного типа и регистрируют напряжение на выходе преобразователя селективным измерителем.
4.3.4 Обработка результатов
4.3.4.1 Дифференциальное электрическое сопротивление Rд, Ом, вычисляют по формуле

, (6)
где U1 - напряжение на выходе генератора, В;
U2 - напряжение на выходе преобразователя "ток-напряжение", В;
Kп - коэффициент преобразования (сопротивление обратной связи) преобразователя, Ом.
4.3.4.2 Погрешность измерения дифференциального электрического сопротивления ФЭПП не должна выходить за пределы интервала +/- 10% с заданной вероятностью P = 0,95.
4.4 Метод измерения статической токовой чувствительности фотоэлектрического полупроводникового приемника излучения на немодулированном излучении
4.4.1 Средства измерений и вспомогательное оборудование
Требования к СИ и вспомогательному оборудованию - по
4.1.1.1 -
4.1.1.3.
4.4.2 Подготовка к измерениям
Подготовка к измерениям - по
4.1.2.
4.4.3 Проведение измерений
4.4.4 Обработка результатов
4.4.4.1 Статическую токовую чувствительность SIст, А, вычисляют по формуле

, (7)
где Ф - поток излучения, Вт.
4.4.4.2 Погрешность измерения статической токовой чувствительности ФЭПП не должна выходить за пределы интервала +/- 10% с заданной вероятностью P = 0,95.
4.5 Метод измерения рабочего напряжения лавинного фотодиода на немодулированном излучении
4.5.1 Средства измерений и вспомогательное оборудование
4.5.1.1 Требования к СИ и вспомогательному оборудованию - по
4.1.1.1 -
4.1.1.3.
4.5.1.2 Источник питания должен обеспечивать установление и поддержание напряжения испытуемого лавинного фотодиода с погрешностью, которая не должна выходить за пределы интервала +/- 0,1%.
4.5.1.3 Требования к параметрам операционного усилителя должны соответствовать ТУ на лавинный фотодиод конкретного типа.
4.5.1.4 Измеритель рабочего напряжения должен обеспечивать измерение напряжения постоянного тока с погрешностью, которая не должна выходить за пределы интервала +/- 0,05%.
4.5.1.5 Требования к измерителю шума - по
4.1.1.6. Полоса пропускания таких приборов при измерении напряжения (тока) шума должна не менее чем в десять раз превышать эквивалентную шумовую полосу измерительной цепи, а время наблюдения
Tнабл, с, должно удовлетворять условию

, (8)
где

- эквивалентная шумовая полоса измерительной цепи, Гц.
4.5.1.6 Камера тепла и холода должна обеспечивать установление и поддержание температуры с погрешностью, которая не должна выходить за пределы интервала +/- 2 °C.
4.5.2 Подготовка к измерениям
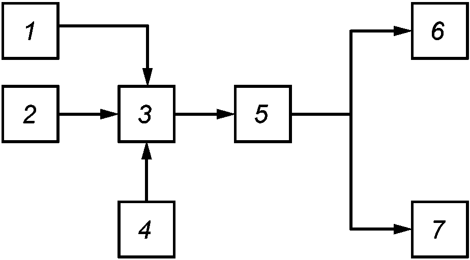
4.5.2.1 Измерение проводят на рабочем месте или установке (стенде), структурная схема которой(го) приведена на
рисунке 3.
1 - источник питания лавинного фотодиода; 2 - испытуемый
образец; 3 - операционный усилитель с цепью обратной связи;
4 - измеритель рабочего напряжения; 5 - измеритель
напряжения шума; 6 - камера тепла и холода
Рисунок 3 - Структурная схема рабочего места, установки
(стенда) для проведения измерения рабочего напряжения
лавинного фотодиода на немодулированном излучении
4.5.2.2 Рабочее место следует подготовить к работе в соответствии с требованиями инструкции по проведению измерений и/или с требованиями по подготовке приборов к измерениям, приведенными в инструкции по их эксплуатации; установку (стенд) - согласно эксплуатационной документации.
4.5.3 Проведение измерений
4.5.3.1 Климатические условия проведения измерений должны соответствовать требованиям ТУ на лавинный фотодиод конкретного типа.
4.5.3.2 Подготовительные операции - по
4.1.3.2.
4.5.3.3 Не подавая на испытуемый образец напряжения питания, измеряют напряжение собственного шума установки.
4.5.3.4 Ожидаемое напряжение шума Uш.ож, В, лавинного фотодиода вычисляют по формуле

, (9)
где Iш.ср - среднее квадратическое значение спектральной плотности тока шума, А·Гц-1/2;
Rо.с - сопротивление обратной связи операционного усилителя, Ом;
Uш.уст - напряжение собственного шума установки, В.
4.5.3.5 Испытуемый образец выдерживают при заданной температуре в течение времени, указанного в ТУ на лавинный фотодиод конкретного типа.
4.5.3.6 Плавно увеличивая напряжение питания, получают равенство измеренного напряжения шума лавинного фотодиода и ожидаемого напряжения шума, рассчитанного по
формуле (9).
4.5.4 Обработка результатов
4.5.4.1 Установленное в
4.5.3.6 напряжение питания лавинного фотодиода является его рабочим напряжением
Uр.
4.5.4.2 Погрешность измерения рабочего напряжения лавинного фотодиода не должна выходить за пределы интервала +/- 10% с заданной вероятностью P = 0,95.
4.6 Метод измерения коэффициента умножения темнового тока и фототока лавинного фотодиода на немодулированном излучении
4.6.1 Средства измерений и вспомогательное оборудование
4.6.1.1 Требования к СИ и вспомогательному оборудованию - по
4.1.1.1 -
4.1.1.3.
4.6.1.2 Требования к источнику излучения - по
4.1.1.4.
4.6.1.3 Требования к измерителю тока - по
4.1.1.6.
4.6.1.4 Требования к источнику питания - по
4.5.1.2.
4.6.1.5 Требования к измерителю рабочего напряжения - по
4.5.1.4.
4.6.1.6 Требования к камере тепла и холода - по
4.5.1.6.
4.6.2 Подготовка к измерениям
4.6.2.1 Измерение проводят на рабочем месте или установке (стенде), структурная схема которой(го) приведена на
рисунке 4.
1 - источник излучения; 2 - испытуемый образец;
3 - измеритель тока; 4 - источник питания лавинного
фотодиода; 5 - измеритель рабочего напряжения питания;
6 - камера тепла и холода
Рисунок 4 - Структурная схема рабочего места, установки
(стенда) для проведения измерений коэффициента умножения
темнового тока и фототока лавинного фотодиода
на немодулированном излучении
4.6.2.2 Рабочее место следует подготовить к работе в соответствии с требованиями инструкции по проведению измерений и/или с требованиями по подготовке приборов к измерениям, приведенными в инструкции по их эксплуатации; установку (стенд) - согласно эксплуатационной документации.
4.6.3 Проведение измерений
4.6.3.1 Климатические условия проведения измерений должны соответствовать требованиям ТУ на лавинный фотодиод конкретного типа.
4.6.3.2 Подают на испытуемый образец напряжение питания, соответствующее нелавинному режиму согласно требованиям ТУ на лавинный фотодиод конкретного типа, и измеряют темновой и общий ток по
4.1.3.2 -
4.1.3.5.
4.6.3.3 Подают на испытуемый образец рабочее напряжение, соответствующее лавинному режиму, и повторяют операции по
4.1.3.2 -
4.1.3.5.
При использовании в качестве источника излучения светодиодов или лазерных диодов мощность потока излучения следует определять в соответствии с
приложением В.
4.6.4 Обработка результатов
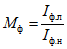
4.6.4.1 Коэффициент умножения темнового тока лавинного фотодиода Mт вычисляют по формуле

, (10)
где Iт.л - темновой ток в лавинном режиме, А;
Iт.н - темновой ток в нелавинном режиме, А.
4.6.4.2 Коэффициент умножения фототока лавинного фотодиода Mф вычисляют по формуле

, (11)
где Iф.л - фототок в лавинном режиме, А;
Iф.н - фототок в нелавинном режиме, А.
4.6.4.3 Погрешность измерения коэффициентов умножения темнового тока и фототока не должна выходить за пределы интервала +/- 4% и +/- 12% соответственно с заданной вероятностью P = 0,95.
4.7 Метод измерения емкости фотоэлектрического полупроводникового приемника излучения на немодулированном излучении
4.7.1 Средства измерений и вспомогательное оборудование
Требования к СИ и вспомогательному оборудованию - по ГОСТ 18986.4.
4.7.2 Подготовка к измерениям
4.7.2.1 Подготовку к измерениям проводят по ГОСТ 18986.4.
4.7.2.2 Рабочее место следует подготовить к работе в соответствии с требованиями инструкции по проведению измерений и/или с требованиями по подготовке приборов к измерениям, приведенными в их инструкции по эксплуатации; установку (стенд) - согласно эксплуатационной документации.
4.7.3 Проведение измерений
Измерение емкости ФЭПП - по ГОСТ 18986.4. Режим и условия проведения измерений указывают в ТУ на ФЭПП конкретного типа.
4.7.4 Обработка результатов
Обработку результатов измерений выполняют по ГОСТ 18986.4.
4.8 Метод измерения напряжения (тока) фотосигнала и напряжения (тока) шума фотоэлектрического полупроводникового приемника излучения и фотоприемного устройства на модулированном излучении
4.8.1 Средства измерений и вспомогательное оборудование
4.8.1.1 Требования к СИ и вспомогательному оборудованию - по
4.1.1.1 -
4.1.1.3.
4.8.1.2 Требования к источнику излучения - по
4.1.1.4.
4.8.1.3 Способ модуляции, частоту, форму и глубину модуляции потока излучения следует выбирать в соответствии с требованиями ТУ на ФЭПП или ФПУ конкретного типа. При отсутствии этих требований, а также при измерении параметров ФЭПП или ФПУ, используемых в качестве справочных, следует применять электромеханические модуляторы с вращающимися дисками и 100%-ной глубиной модуляции. При этом частота модуляции должна быть
fмод = (800 +/- 12) Гц. Конструкция модулятора должна быть такой, чтобы закон изменения потока излучения приближался к синусоидальному. Нестабильность частоты модуляции не должна выходить за пределы интервала +/- 1,5%.
4.8.1.4 Тип усилительного устройства следует выбирать в зависимости от требований к частоте и форме модуляции потока излучения, уровня регистрируемого сигнала, вида измеряемого параметра и других требований, приведенных в ТУ на ФЭПП или ФПУ конкретного типа. В зависимости от этих требований в состав усилительного устройства могут входить селективные и широкополосные усилители, а также регистрирующие приборы.
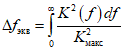
4.8.1.5 Если в состав усилительного устройства входит селективный усилитель, то он должен быть настроен на частоту модуляции потока излучения. Эквивалентная шумовая полоса пропускания должна соответствовать требованиям ТУ на ФЭПП или ФПУ конкретного типа. Если такие требования отсутствуют, то эквивалентная шумовая полоса пропускания

, Гц, должна удовлетворять условию

, (12)
где fрез - резонансная частота (частота настройки) селективного усилителя, Гц.
Эквивалентную шумовую полосу пропускания

, Гц, вычисляют по формуле

, (13)
где K(f) - функция, определяющая зависимость коэффициента усиления по напряжению от частоты;
Kмакс - коэффициент усиления на резонансной частоте.
Допускается определение эквивалентной шумовой полосы пропускания по
методике, изложенной в приложении В.
Амплитудно-частотная характеристика фильтров селективного усилителя должна удовлетворять следующим требованиям:
- ослабление, вносимое фильтрами на частотах 0,1fрез и 10fрез, должно быть не менее 40 дБ (по напряжению);
- на частотах 0,05fрез и 20fрез - не менее 46 дБ и не должна иметь дополнительных максимумов.
4.8.1.6 Если в состав усилительного устройства входит широкополосный усилитель, то нижняя и верхняя границы полосы пропускания fн, Гц, и fв, Гц, такого усилителя должны удовлетворять условиям:
fн <= 0,2 fмод.мин, (14)
fв >= 5 fмод.макс, (15)
где fмод.мин - минимальная частота модуляции потока излучения, Гц;
fмод.макс - максимальная частота модуляции потока излучения, Гц.
Нижнюю и верхнюю границы полосы пропускания следует определять на уровне 0,7 от максимального значения коэффициента передачи по напряжению. Значения максимальной и минимальной частот модуляции потока излучения должны быть установлены в ТУ на ФЭПП или ФПУ конкретного типа. Если такие требования отсутствуют, то значения нижней и верхней границ полосы пропускания должны быть в пределах
fн <= 20 Гц; fв >= 20000 Гц. (16)
Неравномерность частотной характеристики коэффициента передачи по напряжению широкополосного усилителя в области рабочих частот модуляции потока излучения fмод (от fмин до fмакс) должна находиться в пределах интервала +/- 0,5 дБ.
4.8.1.7 Коэффициент передачи усилительного устройства должен быть стабильным и не изменяться в течение 8 ч непрерывной работы более чем на 2,5%, если иное не установлено в ТУ на ФЭПП или ФПУ конкретного типа. Рекомендуется применять в составе усилительного устройства калибраторы, с помощью которых можно проводить периодические измерения и, при необходимости, корректировку коэффициента передачи измерительной цепи.
4.8.1.8 Допускается совмещение усилителя и регистрирующего прибора в едином измерительном приборе.
4.8.1.9 Динамический диапазон усилительного устройства, предназначенного для измерения напряжения (тока) шума ФЭПП или ФПУ, должен обеспечивать прохождение без ограничения синусоидальных сигналов, средние квадратические значения которых не менее чем в пять раз превышают максимальное значение выбранного предела измерения.
4.8.1.10 Максимально допустимое значение напряжения Uш.вх, В (тока Iш.вх, А), шума, приведенного к входу усилительного устройства, в котором испытуемый ФЭПП или ФПУ имеет резистивную нагрузку, должно удовлетворять условию (если иное не установлено в ТУ на ФЭПП или ФПУ конкретного типа)

, (17)

, (18)
где k - постоянная Больцмана, равная k = 1,380510-23, Дж/К;
Rн - сопротивление нагрузки ФЭПП или ФПУ, Ом;
T - температура окружающей среды, К.
4.8.1.11 Требования к регистрирующему прибору - по
4.5.1.5.
4.8.1.12 Входное сопротивление усилительного устройства должно удовлетворять условию
при измерении параметров ФЭПП
|Zвх| >= 5·Rн, (19)
где Rн - сопротивление нагрузки ФЭПП, Ом;
при измерении ФПУ
|Zвх| >= 10·Rвых, (20)
где Rвых - выходное сопротивление ФПУ, Ом.
4.8.1.13 Требования к источнику питания - по
4.1.1.5.
4.8.1.14 В установке (стенде) допускается не использовать приборы для измерения режима питания ФЭПП или ФПУ, если обеспечена требуемая погрешность установления и поддержания режима.
4.8.2 Подготовка к измерениям
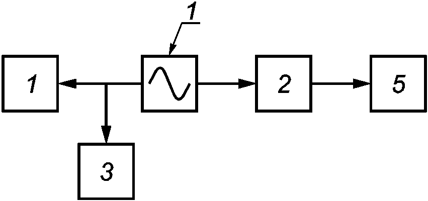
4.8.2.1 Измерение проводят на рабочем месте или установке (стенде), структурная схема которой(го) приведена на
рисунке 5.
1 - источник излучения; 2 - модулятор; 3 - испытуемый
образец; 4 - усилительное устройство; 5 - регистрирующий
прибор; 6 - источник питания испытуемого образца
Рисунок 5 - Структурная схема рабочего места, установки
(стенда) для проведения измерений напряжения (тока)
фотосигнала и напряжения (тока) шума ФЭПП и ФПУ
на модулированном излучении
4.8.2.2 Рабочее место следует подготовить к работе в соответствии с требованиями инструкции по проведению измерений и/или с требованиями по подготовке приборов к измерениям, приведенными в инструкции по их эксплуатации; установку (стенд) - согласно эксплуатационной документации.
4.8.3 Проведение измерений
4.8.3.1 Климатические условия проведения измерений - по
4.1.3.1.
4.8.3.2 Подготовительные операции - по
4.3.3.2.
4.8.3.3 К испытуемому образцу подключают сопротивление нагрузки, значение которого установлено в ТУ на ФЭПП или ФПУ конкретного типа.
4.8.3.4 Устанавливают режим питания на испытуемом образце в соответствии с требованиями ТУ на ФЭПП или ФПУ конкретного типа и регистрируют значение напряжения (тока) шума по показаниям регистрирующего измерительного прибора. Продолжительность измерения и значения напряжения (тока) шума должны соответствовать требованиям ТУ на ФЭПП или ФПУ конкретного типа. Если эти требования отсутствуют, то напряжение (ток) шума следует регистрировать по максимальным повторяющимся показаниям прибора за время не менее 10 с.
Примечание - Непосредственное измерение тока шума и тока фотосигнала ФЭПП выполняют при наличии в составе рабочего места или измерительной установки откалиброванного по току преобразователя "ток - напряжение".
4.8.3.5 Если напряжение (ток) шума близки к напряжению (току) шума измерительной установки, то сначала необходимо зарегистрировать напряжение шума без подачи напряжения на испытуемый образец, а затем суммарное напряжение шума при подаче на него напряжения.
Напряжение шума Uш, В, вычисляют по формуле

, (21)
где Uш2 - суммарное напряжение шума при подаче напряжения питания на испытуемый образец, В;
Uш1 - напряжение шума без подачи напряжения питания на испытуемый образец, В.
Если в состав измерительной установки входит преобразователь "ток - напряжение", то сначала необходимо измерить ток без подключения испытуемого образца, а затем ток с подключенным образцом.
Ток шума Iш, А, вычисляют по формуле

, (22)
где Iш2 - суммарный ток шума с подключенным образцом, А;
Iш1 - ток шума без подключения образца, А.
4.8.3.6 На испытуемый образец подают модулированный поток излучения и регистрируют напряжение (ток) фотосигнала по показаниям регистрирующего прибора.
4.8.4 Обработка результатов
Погрешность измерения напряжения (тока) шума и напряжения (тока) фотосигнала не должна выходить за пределы интервала для Uш(Iш) = +/- 7%, для напряжения (тока) фотосигнала Uс(Iс) = +/- 7%.
4.9 Метод определения эффективной фоточувствительной площади фотоэлектрического полупроводникового приемника излучения и фотоприемного устройства на модулированном излучении
4.9.1 Средства измерений и вспомогательное оборудование
4.9.1.1 Требования к СИ и вспомогательному оборудованию - по
4.1.1.1 -
4.1.1.3.
4.9.1.2 Требования к источнику излучения - по
4.1.1.4.
4.9.1.3 Требования к модулятору - по
4.8.1.3.
4.9.1.4 Допускается замена модулятора и источника излучения на генератор и полупроводниковые светодиоды или лазерные диоды, нестабильность выходной мощности которых не должна выходить за пределы интервала +/- 2% за время измерений.
4.9.1.5 Оптическая система измерительной установки при определении эффективной фоточувствительной площади испытуемого образца с иммерсионной линзой должна формировать на выходе пучок с расходимостью излучения не более

.
4.9.1.6 Максимальный размер пятна оптического зонда на фоточувствительной поверхности испытуемого образца или на поверхности иммерсионной линзы [
D1,
рисунок 6а)] следует выбирать в соответствии с требованиями ТУ на ФЭПП или ФПУ конкретного типа. Если такие требования отсутствуют, то максимальный размер пятна в рабочем диапазоне спектра, в пределах которого сосредоточено не менее 90% мощности падающего излучения, не должен превышать размера эффективной фоточувствительной площади. При этом распределение облученности в пятне должно быть центрально симметричным. Рекомендуемый метод контроля пятна рассеяния оптического зонда (совокупности объектива, диафрагмы и других элементов) - по ГОСТ Р 58566-2019
(подраздел 6.1), требования к коллиматорной диафрагме не предъявляются.
4.9.1.7 Напряжение (ток) фотосигнала Uс, В (Iс, А) при полном попадании пятна оптического зонда на фоточувствительную площадь испытуемого образца должно соответствовать условию
Uс(Iс) >= 100·Uш(Iш) (23)
и находиться в пределах динамического диапазона ФЭПП или ФПУ.
4.9.1.8 Требования к регистрирующему прибору - по
4.5.1.5.
4.9.1.10 Конструкция координатного столика должна обеспечивать перемещение испытуемого образца относительно источника оптического излучения в двух взаимно перпендикулярных направлениях. Перемещение испытуемого образца следует осуществлять плавно, без рывков и вибраций.
Перемещение координатного столика относительно пятна оптического зонда измеряют индикаторным микрометром. При этом цена деления шкалы индикаторного микрометра не должна превышать 5% диаметра пятна оптического зонда. Допускается использование столиков со встроенными системами измерения перемещения.
Допускается применять системы автоматической регистрации данных (ПЭВМ со специализированным ПО, самописцы и т.д.) и устройства автоматического перемещения координатного столика. При этом скорость перемещения следует выбирать таким образом, чтобы инерционность измерительной цепи не влияла на форму зависимости фотосигнала от значения перемещения.
4.9.2 Подготовка к измерениям
4.9.2.1 Испытуемый образец, СИ и вспомогательное оборудование при проведении измерений должны быть расположены в соответствии с
рисунком 6. Измерение проводят на рабочем месте или установке (стенде), структурная схема которой(го) приведена на
рисунке 6б).
1 - оптическая система; 2 - координатный столик;
3 - иммерсионная система испытуемого образца;
4 - фоточувствительный элемент испытуемого образца
1 - источник излучения; 2 - модулятор; 3 - оптическая
система; 4 - испытуемый образец; 5 - усилительное
устройство; 6 - регистрирующий прибор;
7 - координатный столик
Рисунок 6 - Расположение испытуемого образца, СИ
и вспомогательного оборудования при проведении измерений
4.9.2.2 Рабочее место следует подготовить к работе в соответствии с требованиями инструкции по проведению измерений и/или с требованиями по подготовке приборов к измерениям, приведенными в инструкции по их эксплуатации; установку (стенд) - согласно эксплуатационной документации.
4.9.3 Проведение измерений
4.9.3.1 Климатические условия проведения измерений - по
4.1.3.1.
4.9.3.2 Подготовительные операции - по
4.3.3.2.
4.9.3.3 Пятно оптического зонда устанавливают в зоне эффективной фоточувствительной площади испытуемого образца. Добиваются максимального значения напряжения (тока) фотосигнала перемещением пятна оптического зонда относительно эффективной площади испытуемого образца.
4.9.3.4 Испытуемый образец перемещают вдоль одной из его осей симметрии до тех пор, пока напряжения (токи) фотосигнала
Uс.макс(
Iс.макс) не будут соответствовать условию
Uс(
Iс) = 0,5·
Uс.макс(
Iс.макс) - для прямоугольных площадок или
Uс(
Iс) = 0,44·
Uс.макс(
Iс.макс) - для круглых площадок. Регистрируют показания
x1 и
x2 индикаторного микрометра.
4.9.3.5 Перемещая испытуемый образец в перпендикулярном направлении, проводят измерения по
4.9.3.4 и регистрируют соответствующие показания
x'1 и
x'2.
4.9.4 Обработка результатов
4.9.4.1 Эффективную фоточувствительную площадь Aэфф, мм2, вычисляют по формулам:
- при площади круглой формы

, (24)
где dэфф - диаметр эффективной фоточувствительной площади круглой формы, вычисляемый по формуле
dэфф = x2 - x1; (25)
- при площади прямоугольной формы
Aэфф = (x2 - x1)·(x'2 - x'1), (26)
где x2, x1, x'2 и x'1 - координаты перемещений столика в двух взаимно перпендикулярных направлениях.
Примечание - Эффективную фоточувствительную площадь при других формах площади следует определять по ТУ на ФЭПП или ФПУ конкретного типа.
4.9.4.2 Погрешность определения эффективной фоточувствительной площади не должна выходить за пределы интервала +/- 8% с заданной вероятностью P = 0,95.
4.10 Метод измерения статической чувствительности, порога чувствительности и обнаружительной способности фотоэлектрического полупроводникового приемника излучения и фотоприемного устройства на модулированном излучении
4.10.1 Средства измерений и вспомогательное оборудование
Требования к СИ и вспомогательному оборудованию - по
4.8.1.
4.10.2 Подготовка к измерениям
Подготовка к измерениям - по
4.8.2.
4.10.3 Проведение измерений
Проведение измерений - по
4.8.3.
4.10.4 Обработка результатов
4.10.4.1 Статическую вольтовую чувствительность ФЭПП или ФПУ SUст, В/Вт, вычисляют по формуле

, (27)
где Uс - среднее квадратическое значение напряжения фотосигнала;
ФI - среднее квадратическое значение потока излучения, Вт (лм).
Токовую чувствительность ФЭПП или ФПУ SIст, А/Вт, вычисляют по формуле

, (28)
где Iс - среднее квадратическое значение тока фотосигнала, А.
4.10.4.2 По результатам измерений напряжения (тока) фотосигнала и напряжения (тока) шума вычисляют по формулам:
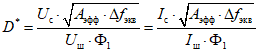
- порог чувствительности (Фп1), Вт·Гц-1/2 (лм·Гц-1/2):

; (29)
- удельный порог чувствительности Ф*п, Вт·Гц-1/2·см-1 (лм·Гц-1/2·см-1):

; (30)
- обнаружительную способность D, Вт-1·Гц1/2 (лм-1·Гц1/2):

; (31)
- удельную обнаружительную способность D*, Вт-1·Гц1/2·см (лм-1·Гц1/2·см):

. (32)
4.10.4.3 Погрешность измерения не должна выходить за пределы интервала с заданной вероятностью P = 0,95:
+/- 13% - для статической вольтовой (токовой) чувствительности;
+/- 14% - для порога чувствительности;
+/- 14% - для обнаружительной способности.
4.11 Метод измерения импульсной вольтовой (токовой) чувствительности фотоэлектрического полупроводникового приемника излучения и фотоприемного устройства на импульсном потоке
4.11.1 Средства измерений и вспомогательное оборудование
4.11.1.1 Требования к СИ и вспомогательному оборудованию - по
4.1.1.1 -
4.1.1.3.
4.11.1.2 Тип источника излучения, тип контрольного ФЭПП или ФПУ, длительность и форма импульсов, уровень мощности излучения следует выбирать с учетом параметров испытуемого образца, установленных в ТУ на ФЭПП или ФПУ конкретного типа.
В качестве источников излучения рекомендуется использовать полупроводниковые лазерные диоды или светодиоды, нестабильность выходной мощности которых не должна выходить за пределы интервала +/- 5% за время измерений.
4.11.1.3 Нижняя
fн, Гц, и верхняя
fв, Гц, границы полосы пропускания усилительного устройства должны удовлетворять условиям:
где fповт - частота повторения импульсов, Гц;

(34)
где

- время нарастания (время спада) импульсов потока излучения, с.
Если время нарастания и спада импульсов потока излучения не одинаково, то в
условия (33) и
(34) следует подставить значение наименьшего из них.
4.11.1.4 В качестве регистрирующего прибора рекомендуется использовать осциллограф или импульсный измеритель напряжения, общее время нарастания и спада переходной характеристики которых не превышает 30% минимального времени нарастания и спада переходной характеристики испытуемого образца. Связь полосы пропускания осциллографа
Fосц, Гц, и времени нарастания импульсов потока излучения
tнар, с, вычисляют по формуле

. (35)
4.11.1.5 Требования к источнику питания - по
4.1.1.5.
4.11.1.6 Требования к камере тепла и холода - по
4.5.1.6.
4.11.1.7 В качестве контрольных ФЭПП или ФПУ следует использовать ФЭПП или ФПУ, калиброванные по импульсной чувствительности сличением с образцовыми СИ в соответствии с поверочной схемой по ГОСТ 8.198.
4.11.2 Подготовка к измерениям
4.11.2.1 Измерение проводят на рабочем месте или установке (стенде), структурная схема которой(го) приведена на
рисунке 7.
1 - источник излучения; 2 - испытуемый образец;
3 - усилительное устройство; 4 - регистрирующий прибор;
5 - источник питания испытуемого образца; 6 - камера
тепла и холода; 7 - контрольный ФЭПП или ФПУ
Рисунок 7 - Структурная схема рабочего места, установки
(стенда) для проведения измерений импульсной вольтовой
(токовой) чувствительности ФЭПП и ФПУ на импульсном потоке
4.11.2.2 Рабочее место следует подготовить к работе в соответствии с требованиями инструкции по проведению измерений и/или с требованиями по подготовке приборов к измерениям, приведенными в инструкции по их эксплуатации; установку (стенд) - согласно эксплуатационной документации.
4.11.3 Проведение измерений
4.11.3.1 Климатические условия проведения измерений - по
4.1.3.1. При использовании камеры тепла и холода требования к установлению и поддержанию температуры должны соответствовать
4.5.1.6.
4.11.3.2 Подготовительные операции - по
4.3.3.2.
4.11.3.3 При отсутствии требований в ТУ на ФЭПП или ФПУ конкретного типа сопротивление нагрузки Rн, Ом, должно соответствовать условию

(36)
где

- время нарастания (время спада) импульса излучения, с;
C - суммарная емкость испытуемого образца и входа усилительного устройства, Ф.
4.11.4 Обработка результатов
4.11.4.1 Импульсную вольтовую чувствительность испытуемого образца SUисп, В/Вт, к импульсному потоку вычисляют по формуле

, (37)
где Uс исп, Uс к - максимальное напряжение фотосигнала испытуемого образца и контрольного ФЭПП или ФПУ соответственно, В;
SUк - вольтовая чувствительность к мощности (энергии) падающего излучения контрольного ФЭПП или ФПУ, В/Вт.
Импульсную токовую чувствительность испытуемого образца SIисп, А/Вт, к импульсному потоку вычисляют по формуле

, (38)
где Iс исп, Iс к - максимальный ток фотосигнала испытуемого образца и контрольного ФЭПП или ФПУ соответственно, А;
SIк - токовая чувствительность к мощности (энергии) падающего излучения контрольного ФЭПП или ФПУ, А/Вт.
4.11.4.2 Погрешность измерений импульсной вольтовой (токовой) чувствительности не должна выходить за пределы интервала +/- 15% с заданной вероятностью P = 0,95.
4.12 Метод определения собственной постоянной времени, времени нарастания и времени спада фотоэлектрического полупроводникового приемника излучения и фотоприемного устройства на импульсном потоке
4.12.1 Средства измерений и вспомогательное оборудование
4.12.1.1 Требования к СИ и вспомогательному оборудованию - по
4.1.1.1 -
4.1.1.3.
4.12.1.2 Источник излучения (модулятор) должен формировать прямоугольные или трапецеидальные импульсы излучения.
Время нарастания

, с, или время спада

, с, должно удовлетворять условию

(39)
где

- минимальное значение собственной постоянной времени испытуемого образца, указанное в ТУ на ФЭПП или ФПУ конкретного типа.
При несоблюдении
условия (39) время нарастания

, с, вычисляют по формуле

, (40)
где

- измеренное время нарастания переходной характеристики;

- время нарастания импульса потока излучения.
При несоблюдении
условия (39) время спада

, с, вычисляют по формуле

, (41)
где

- измеренное время спада переходной характеристики;

- время спада импульса потока излучения.
Длительность импульса

, с, потока излучения должна соответствовать условию

. (42)
Скважность импульсов потока излучения должна быть более или равна 2.
Допускается замена модулятора и источника излучения на генератор и полупроводниковые светодиоды или лазерные диоды, нестабильность выходной мощности которых не должна выходить за пределы интервала +/- 2% за время измерений.
4.12.1.3 Требования к усилительному устройству - по
4.11.1.3.
4.12.1.4 В качестве регистрирующего прибора допускается использовать осциллограф, соответствующий требованиям по
4.11.1.4.
4.12.1.5 Требования к источнику питания - по
4.1.1.5.
4.12.1.6 Требования к источнику излучения - по
4.11.1.2.
4.12.2 Подготовка к измерениям
4.12.2.1 Измерение проводят на рабочем месте или установке (стенде), структурная схема которой(го) приведена на
рисунке 8.
1 - источник излучения; 2 - модулятор; 3 - испытуемый(ое)
ФЭПП (ФПУ); 4 - усилительное устройство; 5 - регистрирующий
прибор; 6 - источник питания ФЭПП (ФПУ)
Рисунок 8 - Структурная схема рабочего места, установки
(стенда) для проведения измерений собственной постоянной
времени, времени нарастания и времени спада ФЭПП и ФПУ
на импульсном потоке
4.12.2.2 Рабочее место следует подготовить к работе в соответствии с требованиями инструкции по проведению измерений и/или с требованиями по подготовке приборов к измерениям, приведенными в инструкции по их эксплуатации; установку (стенд) - согласно эксплуатационной документации.
4.12.3 Проведение измерений
4.12.3.1 Климатические условия проведения измерений - по
4.1.3.1.
4.12.3.2 Подготовительные операции - по
4.1.3.2.
4.12.3.3 На испытуемый образец подают импульсный поток излучения и регистрирующим прибором регистрируют фотосигнал испытуемого образца.
4.12.3.4 Используя отметки времени или масштаба развертки на экране осциллографа, определяют собственную постоянную времени по уровню 0,63 от максимального значения, время нарастания

и время спада

.
4.12.4 Обработка результатов
Погрешность определения времени нарастания и спада не должна выходить за пределы интервала +/- 15% с заданной вероятностью P = 0,95.
4.13 Метод определения вольт-амперной характеристики фотоэлектрического полупроводникового приемника излучения
4.13.1 Средства измерений и вспомогательное оборудование
Требования к СИ и вспомогательному оборудованию - по
4.1.1.
4.13.2 Подготовка к измерениям
Подготовка к измерениям - по
4.1.2.
4.13.3 Проведение измерений
4.13.3.1 Климатические условия проведения измерений - по
4.1.3.1.
4.13.3.2 Для определения ВАХ проводят несколько последовательных измерений темнового и общего токов в зависимости от напряжения питания при постоянном потоке излучения по
4.1.3.3 и
4.1.3.5.
Диапазон изменения напряжения питания испытуемого образца и уровень потока излучения, падающего на него, должны быть установлены в ТУ на ФЭПП конкретного типа.
При отсутствии этих требований измерения проводят при изменении напряжения питания ФЭПП от 0 до рабочего напряжения Uр, В, и при уровнях потока излучения Ф, вычисляемых по формуле

, (43)
где SIст - токовая статическая чувствительность, А/Вт (А/лм).
Число значений напряжения питания должно быть не менее 10.
Темновой ток и статическая токовая чувствительность должны быть установлены в ТУ на ФЭПП конкретного типа.
4.13.4 Обработка результатов
По результатам измерений строят график ВАХ темнового и общего токов ФЭПП для каждого из уровней потока излучения по формуле
Iпит = f(Uпит), Iобщ = f(Uпит) при Ф = const. (44)
4.14 Метод определения плоского угла зрения фотоэлектрического полупроводникового приемника излучения и фотоприемного устройства
4.14.1 Средства измерений и вспомогательное оборудование
4.14.1.1 Требования к СИ и вспомогательному оборудованию - по
4.1.1.1 -
4.1.1.3.
4.14.1.2 Требования к источнику излучения - по
4.1.1.4.
4.14.1.3 Требования к модулятору - по
4.8.1.3.
4.14.1.4 Оптическая система рабочего места или измерительной установки должна формировать на выходе параллельный пучок с расходимостью излучения не более 30'.
Допускается проводить измерения на рабочем месте или установке (стенде) без оптической системы, если отношение размеров фоточувствительной площади A, мм2, испытуемого образца к расстоянию от нее до источника I, мм, удовлетворяет условию

. (45)
4.14.1.5 Максимальный размер светового пучка на выходе оптической системы должен быть не менее диаметра входного окна ФЭПП или ФПУ, значение которого должно соответствовать требованиям ТУ на ФЭПП или ФПУ конкретного типа.
4.14.1.6 Требования к усилительному устройству - по
4.8.1.4 -
4.8.1.9.
4.14.1.7 Требования к регистрирующему прибору - по
4.5.1.5.
4.14.1.8 Конструкция координатного столика должна обеспечивать поворот испытуемого образца вокруг оси, лежащей в плоскости чувствительного элемента. Угол поворота должен быть в пределах +/- 90° или соответствовать установленному в ТУ на ФЭПП или ФПУ конкретного типа. Поворот координатного столика необходимо осуществлять плавно и контролировать с помощью лимбов с нониусами, обеспечивающими погрешность отсчета не более 0,1 шага, с которым проводят измерения.
4.14.2 Подготовка к измерениям
4.14.2.1 Измерение проводят на рабочем месте или установке (стенде), приведенной(ом) на
рисунке 6.
4.14.2.2 Рабочее место следует подготовить к работе в соответствии с требованиями инструкции по проведению измерений и/или с требованиями по подготовке приборов к измерениям, приведенными в инструкции по их эксплуатации; установку (стенд) - согласно эксплуатационной документации.
4.14.3 Проведение измерений
4.14.3.1 Климатические условия проведения измерений - по
4.1.3.1.
4.14.3.2 Испытуемый образец помещают в посадочное место установки и регистрируют показания со шкалы регистрирующего прибора.
4.14.3.3 Плавно поворачивая координатный столик с испытуемым образцом вокруг оси в пределах угла, значение которого должно соответствовать ТУ на ФЭПП или ФПУ конкретного типа, измеряют напряжение фотосигнала Uс, В, в зависимости от положения образца. Шаг, с которым следует проводить поворот испытуемого образца, выбирают таким образом, чтобы в пределах угла зрения было получено не менее 10 отсчетов, и его значение должно соответствовать требованиям, установленным в ТУ на ФЭПП или ФПУ конкретного типа.
4.14.4 Обработка результатов
4.14.4.1 Полученные значения сигналов нормируют относительно максимального значения и определяют углы

и

, соответствующие уменьшению фотосигнала до значения, установленного в стандартах или ТУ на ФЭПП или ФПУ конкретного типа.
4.14.4.2 Плоский угол зрения

определяют как сумму

. Схема определения плоского угла зрения приведена на
рисунке 9.
Рисунок 9 - Схема определения плоского угла зрения
4.14.4.3 Погрешность определения плоского угла зрения не должна выходить за пределы интервала +/- 10% с заданной вероятностью P = 0,95.
4.15 Метод определения линейной зоны и дифференциальной крутизны координатной характеристики координатного фотодиода и фотоприемного устройства
4.15.1 Средства измерений и вспомогательное оборудование
Требования к СИ и вспомогательному оборудованию - по
4.9.1.
4.15.2 Подготовка к измерениям
Подготовка к измерениям - по
4.9.2.
4.15.3 Проведение измерений
4.15.3.1 Проведение измерений - по
4.9.3.
4.15.3.2 Направление перемещения пятна оптического зонда по фоточувствительным элементам должно быть установлено в ТУ на координатный фотодиод или ФПУ конкретного типа.
4.15.3.3 Координатную характеристику координатного фотодиода или ФПУ и ее крутизну определяют при модулированном и немодулированном потоках излучения в зависимости от их типов.
4.15.4 Обработка результатов
4.15.4.1 Строят график координатной характеристики координатного фотодиода или ФПУ в виде зависимости напряжения (тока) фотосигнала от положения пятна оптического зонда:
Uс =
f(
x),
Iс =
f(
x). Число точек отсчета должно быть не менее 10. График координатной характеристики координатного фотодиода или ФПУ представлен на
рисунке 10.
Uс (Iс) - напряжение (ток) фотосигнала
Рисунок 10 - График координатной характеристики
координатного фотодиода или ФПУ
4.15.4.2 На графике координатной характеристики (см.
рисунок 10) определяют координаты
x1 и
x2, расположенные симметрично относительно нулевой точки
x0 координатного фотодиода или ФПУ, и соответствующую линейную зону этой характеристики. За линейную зону принимают участок координатной характеристики, в котором зависимость
Uс (
Iс) от
x отклоняется от линейной не более чем на +/- 5%.
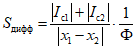
4.15.4.3 По выбранным значениям координат x1 и x2 и соответствующим значениям напряжения (тока) фотосигнала вычисляют дифференциальную крутизну координатной характеристики координатного фотодиода или ФПУ Sдифф, В·мм-1·Вт-1 (В·мм-1·лм-1), по формулам:
- для немодулированного потока излучения

, (46)

; (47)
- для модулированного потока излучения

. (48)
4.15.4.4 Погрешность определения линейной зоны и дифференциальной крутизны не должна выходить за пределы интервала +/- 5%, +/- 15% соответственно с заданной вероятностью P = 0,95.
4.16 Метод определения временного дрейфа нулевой точки координатного фотодиода
4.16.1 Средства измерений и вспомогательное оборудование
Требования к СИ и вспомогательному оборудованию - по
4.9.1.
4.16.2 Подготовка к измерениям
Подготовка к измерениям - по
4.9.2.
4.16.3 Проведение измерений
4.16.3.1 Подготовительные операции - по
4.3.3.2.
4.16.3.2 Пятно оптического зонда устанавливают в область ожидаемого расположения нулевой точки (в область геометрического центра) испытуемого образца и перемещением координатного столика добиваются минимального фотосигнала с выхода испытуемого образца.
4.16.3.3 Регистрируют показания x1 и y1 индикаторов подвижек координатного столика.
4.16.3.4 Испытуемый образец выдерживают в течение заданного времени, указанного в ТУ на координатный фотодиод конкретного типа.
4.16.3.5 Перемещением координатного столика повторно добиваются минимального фотосигнала с выхода испытуемого образца и регистрируют показания x2 и y2 индикаторов подвижек координатного столика.
4.16.4 Обработка результатов
4.16.4.1 Дрейф нулевой точки x0(t), мкм, вычисляют по формулам:
- по направлению оси x
x0(t) = |x1 - x2|; (49)
- по направлению оси y
y0(t) = |y1 - y2|; (50)
- общий дрейф нулевой точки

. (51)
4.16.4.2 Погрешность определения дрейфа нулевой точки координатного фотодиода не должна выходить за пределы интервала +/- 20% с заданной вероятностью P = 0,95.
4.17 Метод определения коэффициента фотоэлектрической связи многоэлементных фотоэлектрического полупроводникового приемника излучения и фотоприемного устройства
4.17.1 Средства измерений и вспомогательное оборудование
4.17.1.1 Требования к СИ и вспомогательному оборудованию - по
4.1.1.1 -
4.1.1.3.
4.17.1.2 Требования к источнику излучения - по
4.1.1.4.
4.17.1.3 Требования к модулятору - по
4.8.1.3.
4.17.1.4 Оптическая система должна формировать в плоскости фоточувствительных элементов испытуемого образца пятно оптического зонда, максимальный размер которого следует выбирать в соответствии с требованиями ТУ на ФЭПП или ФПУ конкретного типа. Если такие требования отсутствуют, то размер пятна оптического зонда, в пределах которого сосредоточено не менее 90% мощности падающего излучения, не должен превышать суммарного размера эффективной фоточувствительной площади и зазора между фоточувствительными элементами.
4.17.1.5 Напряжение (ток) фотосигнала при попадании пятна излучения на фоточувствительный элемент испытуемого образца должно (должен) превышать напряжение (ток) шума не менее чем в 100 раз и находиться в пределах динамического диапазона, если иное не установлено в ТУ на ФЭПП или ФПУ конкретного типа.
4.17.1.6 Требования к координатному столику - по
4.9.1.10.
4.17.1.7 Коммутатор должен обеспечивать поочередное подключение фоточувствительных элементов к усилительному устройству.
4.17.1.8 Требования к усилительному устройству - по
4.8.1.4 -
4.8.1.9.
4.17.2 Подготовка к измерениям
4.17.2.1 Измерение проводят на рабочем месте или установке (стенде) (см.
рисунок 11).
1 - источник излучения; 2 - модулятор; 3 - оптическая
система; 4 - испытуемый образец; 5 - координатный
столик; 6 - коммутатор; 7 - усилительное устройство;
8 - регистрирующий прибор
Рисунок 11 - Структурная схема рабочего места, установки
(стенда) для проведения измерений коэффициента
фотоэлектрической связи многоэлементных ФЭПП и ФПУ
4.17.2.2 Рабочее место следует подготовить к работе в соответствии с требованиями инструкции по проведению измерений и/или с требованиями по подготовке приборов к измерениям, приведенными в инструкции по их эксплуатации; установку (стенд) - согласно эксплуатационной документации.
4.17.3 Проведение измерений
4.17.3.1 Климатические условия проведения измерений - по
4.1.3.1.
4.17.3.2 Подготовительные операции - по
4.1.3.2.
4.17.3.3 Пятно оптического зонда следует сфокусировать на один из фоточувствительных элементов испытуемого образца и добиться максимального фотосигнала Uмакс на выходе облучаемого элемента.
4.17.3.4 Оптический зонд передвигают вдоль линейки в сторону соседних фоточувствительных элементов до тех пор, пока фотосигнал на выходе облучаемого элемента не станет равным 0,5·Uмакс, и регистрируют соответствующие показания x1 и x2 индикаторного микрометра.
4.17.3.5 Оптический зонд устанавливают в положение, соответствующее условию

. (52)
4.17.3.6 Напряжение фотосигналов измеряют на выходе облученного и соседних с ним необлученных элементов. Число и расположение необлученных элементов, подлежащих контролю, должны быть указаны в ТУ на ФЭПП или ФПУ конкретного типа.
4.17.3.7 Испытуемый образец перемещают в следующее положение, обеспечивая выполнение измерений в соответствии с
4.17.3.2 -
4.17.3.6 для других элементов.
4.17.4 Обработка результатов
4.17.4.1 Коэффициент фотоэлектрической связи Kф.с в относительных единицах между фоточувствительными элементами многоэлементного ФЭПП или ФПУ вычисляют по формуле

, (53)
где Uс.н - напряжение фотосигнала с необлученного фоточувствительного элемента, В;
Uс.о - напряжение фотосигнала с облученного фоточувствительного элемента, В.
4.17.4.2 Погрешность определения коэффициента фотоэлектрической связи ФЭПП и ФПУ не должна выходить за пределы интервала +/- 3% с заданной вероятностью P = 0,95.
4.18 Метод определения неравномерности чувствительности фотоэлектрического полупроводникового приемника излучения и фотоприемного устройства по элементу
4.18.1 Средства измерений и вспомогательное оборудование
4.18.1.1 Требования к СИ и вспомогательному оборудованию - по
4.1.1.1 -
4.1.1.3.
4.18.1.2 Требования к источнику излучения - по
4.1.1.4.
4.18.1.3 Требования к модулятору - по
4.8.1.3.
4.18.1.4 Максимальный размер пятна оптического зонда на фоточувствительной поверхности испытуемого образца следует выбирать в соответствии с требованиями ТУ на ФЭПП или ФПУ конкретного типа. Если такие требования отсутствуют, то максимальный размер пятна в рабочем диапазоне спектра, в пределах которого сосредоточено не менее 90% мощности падающего излучения, не должен превышать 0,2 размера фоточувствительного элемента, вдоль которого определяют неравномерность чувствительности.
4.18.1.5 Напряжение (ток) фотосигнала при полном попадании пятна оптического зонда на фоточувствительную площадь испытуемого образца должно (должен) не менее чем в 100 раз превышать напряжение (ток) шума и находиться в пределах динамического диапазона ФЭПП или ФПУ.
4.18.1.6 Требования к усилительному устройству - по
4.8.1.4 -
4.8.1.9.
4.18.1.7 Требования к регистрирующему прибору - по
4.5.1.5.
4.18.1.8 Требования к координатному столику - по
4.9.1.9.
4.18.2 Подготовка к измерениям
Подготовка к измерениям - по
4.9.2.
4.18.3 Проведение измерений
4.18.3.2 Испытуемый образец перемещают в положение (см.
4.18.3.3) и регистрируют соответствующие значения напряжений фотосигнала и координаты положения столика.
4.18.3.3 Последовательное перемещение испытуемого образца в каждую сторону от положения, соответствующего максимальному напряжению фотосигнала, и измерение напряжения (тока) фотосигнала продолжают до тех пор, пока пятно оптического зонда не достигнет края площади образца, при котором
Uс = 0,05·
Uмакс. Регистрируют соответствующие значения координат
x1 и
x2. Шаг, с которым перемещается пятно оптического зонда, и число регистрируемых точек должны быть установлены в ТУ на ФЭПП или ФПУ конкретного типа. При отсутствии таких требований число точек должно быть не менее 10.
Допускается применять системы автоматической регистрации данных (ПЭВМ со специализированным ПО, самописцы и т.д.) и устройства автоматического перемещения координатного столика.
4.18.4 Обработка результатов
4.18.4.1 Строят график зависимости напряжения (тока) фотосигнала
Uс(
Iс) от положения пятна оптического зонда на фоточувствительной поверхности испытуемого образца
Uс(
Iс) =
f(
x). График зависимости напряжения фотосигнала
Uс от положения пятна оптического зонда на фоточувствительной поверхности испытуемого образца приведен на
рисунке 12.
Рисунок 12 - График зависимости напряжения фотосигнала
Uс
от положения пятна оптического зонда на фоточувствительной
поверхности испытуемого образца
4.18.4.2 На графике (см.
рисунок 12) отмечают координаты
x3 и
x4, соответствующие началу и концу фоточувствительной площади элемента, вычисляемые по формулам:
x3 = x1 + d, (54)
x4 = x2 - d, (55)
где d - максимальный размер пятна оптического зонда, мкм.
4.18.4.3 Внутри интервала (x3 - x4) отмечают максимальное Uс.макс(Iс.макс) и минимальное Uс.мин(Iс.мин) напряжение (ток) фотосигнала.
Неравномерность чувствительности ФЭПП и ФПУ по элементу

в относительных единицах вычисляют по формулам:

, (56)
где Uс.макс, Uс.мин, Uс.ср - соответственно максимальное, минимальное и среднее арифметическое значение напряжения фотосигнала ФЭПП или ФПУ на участке графика (x3 - x4), В;

, (57)
где Iс.макс, Iс.мин, Iс.ср - соответственно максимальное, минимальное и среднее арифметическое значение тока фотосигнала ФЭПП или ФПУ на участке графика (x3 - x4), А.
4.18.4.4 Погрешность определения неравномерности чувствительности ФЭПП и ФПУ по элементу не должна выходить за пределы интервала +/- 20% с заданной вероятностью P = 0,95.
4.19 Метод определения энергетических характеристик фототока и напряжения фотосигнала фотоэлектрического полупроводникового приемника излучения и фотоприемного устройства
4.19.1 Средства измерений и вспомогательное оборудование
4.19.1.1 Требования к СИ и вспомогательному оборудованию - по
4.1.1.1 -
4.1.1.3.
4.19.1.2 Требования к источнику излучения - по
4.1.1.4.
4.19.1.3 Требования к модулятору - по
4.8.1.3.
4.19.1.4 Требования к усилительному устройству - по
4.8.1.4 -
4.8.1.9.
4.19.1.5 Требования к регистрирующему прибору - по
4.5.1.5.
4.19.1.6 Требования к источнику питания - по
4.1.1.5.
4.19.2 Подготовка к измерениям
Подготовка к измерениям - по
4.8.2.
4.19.3 Проведение измерений
4.19.3.1 Климатические условия проведения измерений - по
4.1.3.1.
4.19.3.2 Устанавливают начальное значение потока излучения, при котором значения фототока и напряжения фотосигнала в два-три раза превышают значения темнового тока и напряжения шума, и измеряют соответствующие значения потока излучения Ф0, фототока IФ0, если иное не установлено в стандартах или ТУ на ФЭПП или ФПУ конкретного типа.
4.19.3.3 Метод расчета потока излучения приведен в
приложении Б.
4.19.3.4 Увеличивают поток излучения и повторно измеряют поток излучения Фi, фототок IФi, напряжение фотосигнала Uсi. Число точек, необходимых для определения энергетических характеристик фототока или напряжения фотосигнала, должно быть не менее 10, а диапазон изменения потока излучения - не менее 104 относительно начального значения Ф0, если другие требования не установлены в ТУ на ФЭПП или ФПУ конкретного типа.
4.19.4 Обработка результатов
4.19.4.1 Строят графики энергетической характеристики фототока и напряжения фотосигнала Iф = f(Ф) и Uс = f(Ф).
4.19.4.2 Погрешность определения энергетических характеристик фототока и напряжения фотосигнала ФЭПП и ФПУ не должна выходить за пределы интервала +/- 10% с заданной вероятностью P = 0,95.
4.20 Метод определения динамического диапазона фотоэлектрического полупроводникового приемника излучения и фотоприемного устройства
4.20.1 Средства измерений и вспомогательное оборудование
4.20.1.1 Требования к СИ и вспомогательному оборудованию - по
4.1.1.1 -
4.1.1.3.
4.20.1.2 Требования к источнику излучения - по
4.1.1.4.
4.20.1.3 Требования к модулятору - по
4.8.1.3.
4.20.1.4 Требования к усилительному устройству - по
4.8.1.4 -
4.8.1.9.
4.20.1.5 Требования к регистрирующему прибору - по
4.5.1.5.
4.20.1.6 Требования к источнику питания - по
4.1.1.5.
4.20.2 Подготовка к измерениям
Подготовка к измерениям - по
4.8.2.
4.20.3 Проведение измерений
Проведение измерений - по
4.19.3.
4.20.4 Обработка результатов
4.20.4.1 Строят график энергетической характеристики, используя формулу

, (58)
где Iф.л - фототок в лавинном режиме, А;
Iф.крит - критический фототок, А.
График энергетической характеристики приведен на
рисунке 13.
Рисунок 13 - График энергетической характеристики
По графику энергетической характеристики определяют критическую мощность излучения Фкрит, Вт (лм), ФЭПП или ФПУ. Отклонение от линейного закона зависимости I'Ф = f(Ф), U'с = f(Ф) следует выбирать в соответствии с требованиями ТУ на ФЭПП или ФПУ конкретного типа, при отсутствии требований отклонение принимают равным 20%.
При необходимости уровень отклонения энергетической характеристики ФЭПП или ФПУ от линейного закона указывают в ТУ на ФЭПП или ФПУ конкретного типа.
4.20.4.2 Порог чувствительности в заданной полосе частот Фп, Вт (лм), вычисляют по формуле

, (59)
где Ф
п1 - порог чувствительности в единичной полосе частот, вычисляемый по
формуле (29), Вт·Гц
-1/2 (лм·Гц
-1/2).
4.20.4.3 Динамический диапазон Д в относительных единицах вычисляют по формуле

. (60)
Если требования к динамическому диапазону ФЭПП или ФПУ установлены отношением напряжения фотосигнала с заданным уровнем искажения к напряжению шума, допускается определять динамический диапазон по методу, приведенному в
приложении Г.
4.20.4.4 Погрешность определения динамического диапазона ФЭПП и ФПУ не должна выходить за пределы интервала +/- 15% с заданной вероятностью P = 0,95.
4.21 Метод определения частотных характеристик фотоэлектрического полупроводникового приемника излучения и фотоприемного устройства, включая статическую чувствительность, удельный порог чувствительности, удельную обнаружительную способность
4.21.1 Средства измерений и вспомогательное оборудование
4.21.1.1 Требования к СИ и вспомогательному оборудованию - по
4.1.1.1 -
4.1.1.3.
4.21.1.2 Требования к источнику излучения - по
4.1.1.4.
4.21.1.3 Требования к модулятору - по
4.8.1.3.
4.21.1.4 Требования к источнику питания - по
4.1.1.5.
4.21.1.5 Требования к усилительному устройству - по
4.8.1.4 -
4.8.1.9.
В качестве усилительного устройства следует применять селективный перестраиваемый усилитель или анализатор спектра, обеспечивающий измерения в диапазоне частот от 2 до 20 000 Гц. Допускается совмещение усилителя и регистрирующего прибора в едином измерительном приборе.
Число промежуточных частот внутри диапазона должно быть не менее 10.
При необходимости проведения измерений за пределами указанного диапазона частот требования к усилительному устройству должны быть установлены в ТУ на ФЭПП или ФПУ конкретного типа.
4.21.1.6 Требования к регистрирующему прибору - по
4.5.1.5.
4.21.2 Подготовка к измерениям
4.21.2.1 Измерение проводят на рабочем месте или установке (стенде) (см.
рисунок 14).
1 - источник излучения; 2 - модулятор; 3 - испытуемый
образец; 4 - источник питания испытуемого образца;
5 - усилительное устройство; 6 - регистрирующий прибор
Рисунок 14 - Структурная схема рабочего места, установки
(стенда) для проведения измерений частотных характеристик
ФЭПП и ФПУ
4.21.2.2 Рабочее место следует подготовить к работе в соответствии с требованиями инструкции по проведению измерений и/или требованиями по подготовке приборов к измерениям, приведенными в инструкции по их эксплуатации; установку (стенд) - согласно эксплуатационной документации.
4.21.3 Проведение измерений
4.21.3.1 Климатические условия проведения измерений - по
4.1.3.1.
4.21.3.2 Подготовительные операции - по
4.3.3.2.
4.21.3.3 Напряжение (ток) шума и напряжение (ток) фотосигнала измеряют на всех выбранных частотах, лежащих внутри диапазона, по
4.8.3.
4.21.4 Обработка результатов
4.21.4.1 Для каждого значения частоты спектральную плотность напряжения шума Uш f, В·Гц1/2, и тока шума Iш f, А·Гц1/2 вычисляют по формулам:

, (61)

, (62)
где Uш i - напряжение шума на i-й частоте, В;

- эквивалентная шумовая полоса для
i-й частоты, Гц;
Iш i - ток шума на i-й частоте, А.
4.21.4.2 По рассчитанным значениям спектральной плотности напряжения (тока) шума строят графики частотных характеристик

,

.
4.21.4.3 Для каждого значения частоты рассчитывают вольтовую (токовую) чувствительность
SU (
SI), удельный порог чувствительности

и удельную обнаружительную способность (
D*), измеряемые по
4.10 и
4.11, и строят графики их частотных характеристик

,

,

,

.
4.21.4.4 Погрешность определения частотных характеристик с заданной вероятностью P = 0,95 не должна выходить за пределы интервала:
+/- 13% - для статической чувствительности ФЭПП и ФПУ;
+/- 16% - для удельного порога чувствительности ФЭПП и ФПУ;
+/- 16% - для удельной обнаружительной способности ФЭПП и ФПУ.
4.22 Метод определения относительной спектральной характеристики чувствительности фотоэлектрического полупроводникового приемника излучения и фотоприемного устройства
4.22.1 Средства измерений и вспомогательное оборудование
4.22.1.1 Требования к СИ и вспомогательному оборудованию - по
4.1.1.1 -
4.1.1.3.
4.22.1.2 Требования к источнику излучения - по
4.1.1.4.
4.22.1.3 Источник излучения следует выбирать в зависимости от области спектральной характеристики чувствительности испытуемого образца.
4.22.1.4 Требования к модулятору - по
4.8.1.3.
4.22.1.5 Монохроматор должен быть согласован с испытуемым образцом по спектральному диапазону измерений. Спектральная селективность монохроматора должна быть не менее 60.
4.22.1.6 Спектральная погрешность монохроматора должна быть не более

, где

- длина волны настройки монохроматора.
4.22.1.7 Контрольное ФЭПП или ФПУ должно иметь известную относительную спектральную характеристику чувствительности, определяемую по уровню в интервале 0,1 - 1,0 максимального значения характеристики с погрешностью, которая не должна выходить за пределы интервала +/- 4% с заданной вероятностью P = 0,95.
4.22.1.8 Контрольный(ое) ФЭПП или ФПУ должен (должно) быть линейным во всем диапазоне измеряемых мощностей излучения. Отклонение от линейности - не более 1%.
4.22.1.9 Допускается применение контрольного ФЭПП или ФПУ с погрешностью относительной спектральной характеристики чувствительности, не выходящей за пределы интервала +/- 6% с заданной вероятностью P = 0,95.
4.22.1.10 Требования к усилительному устройству - по
4.8.1.4 -
4.8.1.9.
4.22.1.11 Требования к регистрирующему прибору - по
4.5.1.5.
4.22.1.12 Конструкция установки должна обеспечивать равенство оптических длин путей от источника излучения до контрольного ФЭПП или ФПУ и от источника излучения до испытуемого образца. Атмосфера, через которую проходит излучение, должна быть одинаковой по влажности, содержанию углекислого газа и другим примесям, имеющим полосы поглощения в спектральном диапазоне измерений.
4.22.2 Подготовка к измерениям
4.22.2.1 Измерение проводят на рабочем месте или установке (стенде) (см.
рисунок 15). Допускается совмещение приборов позиций
4 -
9 в единый(ые) прибор(ы).
1 - источник излучения; 2 - модулятор; 3 - монохроматор;
4 - контрольный(ое) ФЭПП или ФПУ; 5 - усилительное
устройство контрольного ФЭПП или ФПУ; 6 - регистрирующий
прибор; 7 - испытуемый образец; 8 - усилительное
устройство; 9 - регистрирующий прибор
Рисунок 15 - Структурная схема рабочего места, установки
(стенда) для проведения измерений относительной
спектральной характеристики чувствительности ФЭПП и ФПУ
4.22.2.2 Рабочее место следует подготовить к работе в соответствии с требованиями инструкции по проведению измерений и/или требованиями по подготовке приборов к измерениям, приведенными в инструкции по их эксплуатации; установку (стенд) - согласно эксплуатационной документации.
4.22.3 Проведение измерений
4.22.3.1 Климатические условия проведения измерений - по
4.1.3.1.
4.22.3.2 Относительную спектральную характеристику чувствительности определяют при модулированном и немодулированном излучении в зависимости от типа ФЭПП или ФПУ.
4.22.3.3 Испытуемый образец помещают в посадочное место измерительной установки (стенда) или вспомогательного устройства и подсоединяют его к усилительному устройству (при необходимости).
4.22.3.4 Устанавливают сопротивление нагрузки и рабочее напряжение.
4.22.3.5 Направляют излучение из выходной щели монохроматора на испытуемый образец, контрольный(ое) ФЭПП или ФПУ и устанавливают требуемое значение потока, максимальное значение которого Фмакс, Вт, должно удовлетворять условию

. (63)
При необходимости максимальное значение потока облучения указывают в ТУ на ФЭПП или ФПУ конкретного типа.
4.22.3.6 Устанавливают длину волны, соответствующую началу спектрального диапазона измерений, и регистрируют сигналы с контрольного ФЭПП или ФПУ и испытуемого образца. Изменяют длину волны и повторяют измерения.
Длину волны

рекомендуется устанавливать последовательно во всем спектральном диапазоне измерений через равные шаги спектрального сканирования. Число шагов должно быть не менее 20 во всем спектральном диапазоне, а в области максимума (по уровням 0,95 - 1,0 от максимального значения) относительной спектральной характеристики чувствительности селективного ФЭПП или ФПУ - не менее 5.
4.22.4 Обработка результатов
4.22.4.1 Относительную спектральную характеристику чувствительности

испытуемого образца на длине волны

при использовании неселективного контрольного ФЭПП или ФПУ вычисляют по формуле

, (64)
где

- показание прибора, регистрирующего сигнал в цепи испытуемого ФЭПП или ФПУ;

- показание прибора, регистрирующего сигнал в цепи контрольного ФЭПП или ФПУ;

- показание прибора, регистрирующего сигнал в цепи испытуемого образца в максимуме относительной спектральной характеристики чувствительности;

- показание прибора, регистрирующего сигнал в цепи контрольного ФЭПП и ФПУ в максимуме относительной спектральной характеристики чувствительности испытуемого образца.
Если испытуемый образец имеет нелинейную энергетическую характеристику или малый по сравнению с диапазоном изменения мощности излучения на выходе монохроматора линейный участок, то относительную спектральную характеристику чувствительности определяют следующим образом. Устанавливают последовательно требуемые длины волн и добиваются неизменного значения сигнала на выходе испытуемого образца. Регистрируют по сигналу на выходе контрольного ФЭПП или ФПУ мощность монохроматического излучения, падающего на испытуемый образец, на каждой длине волны (изменение мощности допускается указывать в относительных единицах).
Относительную спектральную характеристику чувствительности

на длине волны

для ФЭПП или ФПУ с нелинейной энергетической характеристикой при использовании неселективного контрольного ФЭПП или ФПУ вычисляют по формуле

, (65)
где

- минимальное показание прибора, регистрирующего сигнал в цепи контрольного ФЭПП или ФПУ.
Если в качестве контрольного ФЭПП или ФПУ применяют селективный ФЭПП, то значение

вычисляют по формуле

, (66)
где

- относительная спектральная характеристика чувствительности контрольного ФЭПП или ФПУ на длине волны

;

- относительная спектральная характеристика чувствительности контрольного ФЭПП или ФПУ на длине волны, соответствующей максимуму чувствительности испытуемого образца.
4.22.4.2 Строят график относительной спектральной характеристики чувствительности ФЭПП или ФПУ

.
По графику определяют положение коротковолновой и длинноволновой границ чувствительности на уровне 0,1 от максимального значения. При необходимости границы чувствительности должны быть установлены в ТУ на ФЭПП или ФПУ конкретного типа.
Допускается использовать график для определения монохроматической вольтовой (токовой) чувствительности

испытуемого образца на длине волны

, выполнив вычисления по формуле

, (67)
где

- вольтовая (токовая) чувствительность испытуемого образца в максимуме его спектральной чувствительности, измеренная непосредственно или вычисленная по формуле

, (68)
где SU ст - статическая вольтовая (токовая) чувствительность испытуемого образца, В/Вт;

- спектральная плотность энергетической светимости источника, Вт/(мкм·см
2).
4.22.4.3 Погрешность определения положения относительной спектральной характеристики чувствительности по уровню 0,1 - 0,01 от максимального значения в спектральном диапазоне измерений при погрешности относительной спектральной характеристики чувствительности опорного ФЭПП или ФПУ, не превышающей +/- 4% с заданной вероятностью P = 0,95, не должна выходить за пределы интервала +/- 11% с заданной вероятностью P = 0,95. В случае расположения относительной спектральной характеристики чувствительности ФЭПП или ФПУ в области полос поглощения паров воды, углекислого газа и других примесей, а также при погрешности относительной спектральной характеристики чувствительности опорного ФЭПП или ФПУ, не превышающей +/- 6% с заданной вероятностью P = 0,95, погрешность не должна выходить за пределы интервала +/- 15% с заданной вероятностью P = 0,95.
4.22.4.4 Погрешность определения монохроматической вольтовой (токовой) чувствительности ФЭПП или ФПУ не должна выходить за пределы интервала +/- 17% с заданной вероятностью P = 0,95.
4.23 Метод определения фоновых характеристик фотоэлектрического полупроводникового приемника излучения и фотоприемного устройства, включая напряжение (тока) шума, напряжения (тока) фотосигнала, вольтовой (токовой) чувствительности, удельной обнаружительной способности и удельного порога чувствительности
4.23.1 Средства измерений и вспомогательное оборудование
4.23.1.1 Требования к СИ и вспомогательному оборудованию - по
4.1.1.1 -
4.1.1.3.
4.23.1.2 Требования к источнику излучения - по
4.1.1.4.
4.23.1.3 Тип источника фонового излучения, диапазон изменения уровня фонового потока излучения следует выбирать в соответствии с требованиями ТУ на ФЭПП или ФПУ конкретного типа. При отсутствии требований к диапазону изменения уровня фонового потока излучения его минимальное Фмин и максимальное Фмакс вычисляют по формулам:

, (69)

. (70)
Минимальное число точек, необходимое для построения графиков фоновых характеристик, должно быть не менее 10.
4.23.1.4 Требования к модулятору - по
4.8.1.3.
4.23.1.5 Требования к источнику питания - по
4.1.1.5.
4.23.1.7 Требования к регистрирующему прибору - по
4.5.1.5.
4.23.1.8 Требования к источнику импульсного излучения - по
4.11.1.2.
4.23.1.9 Требования к регистрирующему прибору для измерения напряжения (тока) фотосигнала - по
4.11.1.4.
4.23.1.10 Требования к регистрирующему прибору для измерения напряжения (тока) шума - по
4.5.1.5.
4.23.2 Подготовка к измерениям
4.23.2.1 Измерение проводят на рабочем месте или установке (стенде) (см.
рисунок 16).
1 - источник излучения; 2 - источник фонового излучения;
3 - модулятор; 4 - испытуемый образец; 5 - источник
питания испытуемого образца; 6 - усилительное устройство;
7 - регистрирующий прибор
Рисунок 16 - Структурная схема рабочего места, установки
(стенда) для проведения измерений фоновых характеристик
ФЭПП и ФПУ
В случае использования импульсного потока излучения измерение следует проводить на рабочем месте или установке (стенде) (см.
рисунок 17).
1 - источник фонового излучения; 2 - источник импульсного
излучения; 3 - испытуемый образец; 4 - источник питания
испытуемого образца; 5 - усилительное устройство;
6 - регистрирующий прибор для измерения напряжения (тока)
фотосигнала; 7 - регистрирующий прибор для измерения
напряжения (тока) шума
Рисунок 17 - Структурная схема рабочего места, установки
(стенда) для проведения измерений фоновых характеристик
ФЭПП и ФПУ при использовании импульсного потока излучения
4.23.2.2 Рабочее место следует подготовить к работе в соответствии с требованиями инструкции по проведению измерений и/или требованиями по подготовке приборов к измерениям, приведенными в инструкции по их эксплуатации; установку (стенд) - согласно эксплуатационной документации.
4.23.3 Проведение измерений
4.23.3.1 Климатические условия проведения измерений - по
4.1.3.1.
4.23.3.2 Подготовительные операции - по
4.3.3.2.
4.23.3.3 Фоновый поток, измеренный и соответствующий началу диапазона, подают на испытуемый образец.
4.23.3.4 Напряжение (ток) шума и напряжение (ток) фотосигнала измеряют по
4.8.3.
4.23.3.5 Уровень фонового потока излучения изменяют до следующего значения и повторно измеряют напряжение (ток) шума и напряжение (ток) фотосигнала. Указанные измерения проводят на всех значениях уровня фонового потока излучения установленного диапазона, от минимального до максимального.
4.23.4 Обработка результатов
4.23.4.1 По измеренным напряжению (току) шума
Uш (
Iш) и напряжению (току) фотосигнала
Uс (
Iс) в соответствии с
4.1.1 для каждого значения уровня фонового потока излучения вычисляют вольтовую чувствительность
SU, В/Вт, токовую чувствительность
SI, А/Вт, удельный порог чувствительности

, Вт·Гц
-1/2·см
-1 (лм·Гц
-1/2·см
-1), и удельную обнаружительную способность
D*, Вт
-1·Гц
1/2·см (лм
-1·Гц
1/2·см) в соответствии с
4.8,
4.10,
4.1, и строят графики их фоновых характеристик:

,

,

,

,

,

.
4.23.4.2 Погрешность определения фоновых характеристик с заданной вероятностью P = 0,95 не должна выходить за пределы интервала:
+/- 10% - для напряжения (тока) шума;
+/- 10% - для напряжения (тока) фотосигнала;
+/- 16% - для вольтовой (токовой) чувствительности;
+/- 17% - для удельной обнаружительной способности и удельного порога чувствительности ФЭПП (ФПУ).
4.24 Метод определения температурных характеристик (температурной зависимости) напряжения (тока) шума, статической вольтовой (токовой) чувствительности, удельного порога чувствительности и удельной обнаружительной способности фотоэлектрического полупроводникового приемника излучения и фотоприемного устройства
4.24.1 Средства измерений и вспомогательное оборудование
4.24.1.1 Требования к СИ и вспомогательному оборудованию - по
4.1.1.1 -
4.1.1.3.
4.24.1.2 Требования к источнику излучения - по
4.1.1.4.
4.24.1.3 Требования к модулятору - по
4.8.1.3.
4.24.1.6 Требования к источнику питания ФЭПП или ФПУ - по
4.1.1.5.
4.24.1.7 Диапазон изменения температуры камеры тепла и холода, погрешность ее установки и поддержания должны быть установлены в ТУ на ФЭПП или ФПУ конкретного типа. При отсутствии этих требований термокамера должна обеспечивать температуру от плюс 85 °C до минус 70 °C с погрешностью, которая не должна выходить за пределы интервала +/- 2 °C.
4.24.1.8 Требования к источнику импульсного излучения - по
4.11.1.2.
4.24.2 Подготовка к измерениям
4.24.2.1 Измерение проводят на рабочем месте или установке (стенде) (см.
рисунок 18).
1 - источник излучения; 2 - модулятор; 3 - испытуемый
образец; 4 - усилительное устройство; 5 - регистрирующий
прибор; 6 - источник питания; 7 - камера тепла и холода
Рисунок 18 - Структурная схема рабочего места, установки
(стенда) для проведения измерений температурных
характеристик (температурной зависимости) напряжения (тока)
шума, статической вольтовой (токовой) чувствительности,
удельного порога чувствительности и удельной
обнаружительной способности ФЭПП и ФПУ
При использовании импульсного потока излучения измерение следует проводить на рабочем месте или установке (стенде) (см.
рисунок 19).
1 - источник импульсного излучения; 2 - испытуемый образец;
3 - усилительное устройство; 4 - регистрирующий прибор
для измерения напряжения (тока) фотосигнала;
5 - регистрирующий прибор для измерения напряжения (тока)
шума; 6 - источник питания; 7 - камера тепла и холода
Рисунок 19 - Структурная схема рабочего места, установки
(стенда) для проведения измерений температурных
характеристик (температурной зависимости) напряжения (тока)
шума, статической вольтовой (токовой) чувствительности,
удельного порога чувствительности и удельной
обнаружительной способности ФЭПП и ФПУ при использовании
импульсного потока излучения
4.24.2.2 Рабочее место следует подготовить к работе в соответствии с требованиями инструкции по проведению измерений и/или требованиями по подготовке приборов к измерениям, приведенными в инструкции по их эксплуатации; установку (стенд) - согласно эксплуатационной документации.
4.24.3 Проведение измерений
4.24.3.1 Климатические условия проведения измерений - по
4.1.3.1.
4.24.3.2 Подготовительные операции - по
4.3.3.2.
4.24.3.3 В зоне расположения испытуемого образца устанавливают температуру, значение которой должно соответствовать началу ее диапазона, и при достижении заданной температуры выдерживают испытуемый образец в течение времени, указанного в ТУ на ФЭПП или ФПУ конкретного типа. Если такие требования отсутствуют, то испытуемый образец выдерживают при заданной температуре не менее 5 мин.
4.24.3.4 Напряжение (ток) шума
Uш (
Iш) и напряжение (ток) фотосигнала
Uс (
Iс) измеряют по
4.8.3.4 -
4.8.3.6.
4.24.3.5 Температуру камеры тепла и холода изменяют до следующего значения и после выдержки повторно измеряют напряжение (ток) шума и напряжение (ток) фотосигнала. Измерения напряжения (тока) шума и фотосигнала следует повторять для всех выбранных значений температуры внутри температурного диапазона. Число точек внутри диапазона температур может варьироваться в зависимости от его значения, но не должно быть менее 5.
4.24.4 Обработка результатов
4.24.4.1 Определяют значения удельной обнаружительной способности
D*, удельного порога чувствительности Ф*
п и статической вольтовой (токовой) чувствительности
SU ст,
SI ст по
4.11.4.
4.24.4.2 Строят графики температурных характеристик напряжения (тока) шума
Uш (
T),
Iш (
T), статической вольтовой (токовой) чувствительности
SU ст (
T),
SI ст (
T), удельной обнаружительной способности
D* (
T), и удельного порога чувствительности

:
Uш =
f(
T),
Iш =
f(
T),
SI ст =
f(
T),
SU ст =
f(
T),
D* =
f(
T),

.
4.24.4.3 Погрешность определения температурных характеристик с заданной вероятностью P = 0,95 не должна выходить за пределы интервала:
+/- 7% - для напряжения (тока) шума ФЭПП и ФПУ;
+/- 13% - для статической вольтовой (токовой) чувствительности ФЭПП и ФПУ;
+/- 14% - для удельного порога чувствительности ФЭПП и ФПУ;
+/- 14% - для удельной обнаружительной способности.
4.25 Метод определения времени выхода на режим и времени автономной работы охлаждаемых фотоэлектрического полупроводникового приемника излучения и фотоприемного устройства
4.25.1 Средства измерений и вспомогательное оборудование
4.25.1.1 Требования к СИ и вспомогательному оборудованию - по
4.1.1.1 -
4.1.1.3.
4.25.1.2 Требования к источнику излучения - по
4.1.1.4.
4.25.1.3 Требования к модулятору - по
4.8.1.3.
4.25.1.4 Усилительные устройства канала измерения напряжения (тока) шума и канала измерения напряжения (тока) фотосигнала должны быть селективными. Конкретные значения резонансных частот канала измерения напряжения (тока) шума и канала измерения напряжения (тока) фотосигнала с их эквивалентной шумовой полосой пропускания должны быть установлены в ТУ на ФЭПП или ФПУ конкретного типа.
Допускается совмещение усилителя и регистрирующего прибора в едином измерительном приборе.
Увеличение уровня собственного шума испытуемого образца при облучении его модулированным потоком излучения не должно превышать 5% значения шума образца в необлученном состоянии.
4.25.1.5 Требования к регистрирующему прибору - по
4.5.1.5.
Постоянная времени регистрирующих приборов

должна удовлетворять условию

, (71)
где tвых - время выхода на режим испытуемого образца, с.
В качестве регистрирующего прибора рекомендуется использовать многоканальные системы автоматической регистрации данных (ПЭВМ со специализированным ПО, самописцы и т.д.).
4.25.1.6 Требования к источнику питания - по
4.1.1.5.
4.25.1.7 Режим системы охлаждения, рабочее напряжение испытуемого образца, сопротивление нагрузки должны быть установлены в ТУ на ФЭПП или ФПУ конкретного типа.
4.25.1.8 Датчик моментов включения и выключения системы охлаждения должен обеспечивать их надежную фиксацию с погрешностью, которая не должна выходить за пределы интервала +/- 10%.
4.25.2 Подготовка к измерениям
4.25.2.1 Измерение проводят на рабочем месте или установке (стенде) (см.
рисунок 20).
1 - источник излучения; 2 - модулятор; 3 - испытуемый
образец; 4 - усилительное устройство измерения напряжения
(тока) шума; 5 - усилительное устройство измерения
напряжения (тока) фотосигнала; 6 - регистрирующий прибор
для измерения напряжения (тока) шума; 7 - регистрирующий
прибор для измерения напряжения (тока) фотосигнала;
8 - источник питания испытуемого образца; 9 - система
охлаждения; 10 - датчик моментов включения и выключения
системы охлаждения
Рисунок 20 - Структурная схема рабочего места, установки
(стенда) для проведения измерений времени выхода на режим
и времени автономной работы охлаждаемых ФЭПП и ФПУ
4.25.2.2 Рабочее место следует подготовить к работе в соответствии с требованиями инструкции по проведению измерений и/или требованиями по подготовке приборов к измерениям, приведенными в инструкции по их эксплуатации; установку (стенд) - согласно эксплуатационной документации.
4.25.3 Проведение измерений
4.25.3.1 Климатические условия проведения измерений - по
4.1.3.1.
4.25.3.2 Подготовительные операции - по
4.3.3.2.
4.25.3.3 Измеряют напряжение (ток) шума и напряжение (ток) фотосигнала испытуемого образца при выключенной системе охлаждения.
4.25.3.4 Включают систему охлаждения и фиксируют этот момент
t1. Диаграмма записи напряжения (тока) шума и напряжения (тока) фотосигнала при включенной системе охлаждения приведена на
рисунке 21.
Рисунок 21 - Диаграмма записи напряжения (тока) шума
и напряжения (тока) фотосигнала при включенной
системе охлаждения
4.25.3.5 Система охлаждения должна работать до тех пор, пока ФЭПП или ФПУ не выйдет на режим, т.е. значения напряжений (токов) шума и фотосигнала станут неизменными. Выключают систему охлаждения и фиксируют этот момент
t3. Измерение напряжений (токов) шума и фотосигнала продолжают до
t5 до тех пор, пока они не достигнут первоначальных значений, измеренных по
4.25.3.3.
4.25.4 Обработка результатов
4.25.4.1 Среднее значение напряжения (тока) шума ФЭПП или ФПУ определяют по диаграмме записи напряжения (тока) шума. Отдельные выбросы диаграммы записи не учитывают.
4.25.4.2 По усредненным диаграммам записи напряжения (тока) шума и напряжения (тока) фотосигнала определяют моменты времени t2 и t4, при которых отношение напряжения (тока) фотосигнала к напряжению (току) шума становится равным значению K, указанному в ТУ на ФЭПП или ФПУ конкретного типа. При отсутствии установленного в ТУ значения K его принимают равным 2.
4.25.4.3 Промежуток времени с момента включения системы охлаждения до момента достижения отношения Uс/Uш (Iс/Iш) заданного уровня считают временем выхода на режим tвых, с, охлаждаемого испытуемого образца и вычисляют по формуле
tвых = t2 - t1, (72)
где t2 - момент выхода на режим испытуемого образца, с.
4.25.4.4 Промежуток времени с момента отключения системы охлаждения t3 до момента выхода из режима охлаждаемого испытуемого образца, определяемого падением значения отношения Uс/Uш (Iс/Iш) до уровня, установленного в ТУ на ФЭПП или ФПУ конкретного типа, является временем автономной работы tраб.авт, с, охлаждаемого образца, вычисляемым по формуле
tраб.авт = t4 - t3, (73)
где t4 - момент выхода из режима охлаждаемого испытуемого образца.
4.25.4.5 Погрешность определения времени выхода на режим и времени автономной работы охлаждаемого ФЭПП и ФПУ не должна выходить за пределы интервала +/- 30% с заданной вероятностью P = 0,95.
4.26 Метод определения нестабильности фотоэлектрических параметров фотоэлектрического полупроводникового приемника излучения и фотоприемного устройства
4.26.1 Средства измерений и вспомогательное оборудование
4.26.1.1 Все СИ и вспомогательное оборудование, применяемые при проведении измерений нестабильности фотоэлектрических параметров, должны удовлетворять требованиям, установленным в соответствующих разделах настоящего стандарта.
4.26.1.2 При определении нестабильности измеряемых параметров следует учитывать только случайную составляющую погрешности и нестабильность СИ, значения которых не должны выходить за пределы интервала с заданной вероятностью:
+/- 4% - при измерениях на немодулированном излучении;
+/- 10% - при измерениях на импульсном и модулированном излучениях.
4.26.2 Подготовка к измерениям и проведение измерений
4.26.2.1 Подготовку к измерениям и проведение измерений осуществляют согласно требованиям
4.1 -
4.5,
4.8,
4.10,
4.11,
4.13,
4.15 -
4.17,
4.19 -
4.21,
4.23 -
4.25, устанавливающим методы измерений соответствующих требуемых параметров по ТУ на ФЭПП или ФПУ конкретного типа.
4.26.2.2 Проводят несколько последовательных измерений параметра. Число измерений и промежуток времени между ними должны быть установлены в ТУ на ФЭПП или ФПУ конкретного типа.
4.26.2.3 Температура окружающей среды в зоне размещения испытуемого образца при первом и последующих измерениях не должна отличаться более чем на 2 °C, если другая температура не установлена в ТУ на ФЭПП или ФПУ конкретного типа.
4.26.3 Обработка результатов
4.26.3.1 Среднее значение измерений Aср параметра вычисляют по формуле

(74)
где Ai - значение параметра i-го измерения;
n - общее число измерений.
4.26.3.2 Максимальное отклонение параметра

от среднего значения вычисляют по формуле

. (75)
4.26.3.3 Нестабильность параметра испытуемого образца, %, вычисляют по формуле

. (76)
Примеры расчета погрешностей измерений фотоэлектрических параметров и определения характеристик приведены в
приложении Д.
5 Требования безопасности
5.1 Измерение фотоэлектрических параметров и определение характеристик ФЭПП и ФПУ относят к работам по управлению электроустановками с напряжением от 36 до 1000 В. Конструкции установок, применяемых для измерений, должны соответствовать требованиям
ГОСТ 12.2.007.0,
ГОСТ 12.2.007.14,
ГОСТ 12.1.019,
[1],
[2].
5.3 Общие требования безопасности измерений при работе с лазерным излучением в диапазоне длин волн от 0,25 до 12,0 мкм должны соответствовать
ГОСТ Р 12.1.031 и
ГОСТ 31581.
5.4 Общие требования безопасности измерений при работе с газами высокого давления и жидкими хладагентами должны соответствовать
[3].
5.5 При работе с лазерным излучением не допускается:
- находиться посторонним лицам вблизи точки контроля.
5.6 К работе по измерению параметров и определению характеристик ФЭПП и ФПУ допускаются операторы, прошедшие специальную подготовку и имеющие допуск к указанным работам в соответствии с требованиями
ГОСТ 12.0.004,
ГОСТ 12.3.002,
ГОСТ 12.1.038,
[1],
[2].
5.8 Посадочное место ФЭПП и ФПУ должно быть оборудовано блокировкой, исключающей возможность прикосновения оператора к его токоведущим частям.
6 Оформление результатов измерений и определения характеристик
6.1 Результаты измерений и определения характеристик оформляют в виде протокола по форме, принятой на предприятии, проводившем измерения. Обработку и оформление результатов прямых измерений осуществляют в соответствии с
ГОСТ Р 8.736.
6.2 В протоколе указывают следующие сведения:
- полное и сокращенное наименование предприятия, проводившего измерения;
- дату проведения измерений;
- основание и цель проведения измерений;
- тип и номер основных СИ и вспомогательного оборудования;
- данные об условиях проведения измерений (параметрах окружающей среды или другие параметры, указанные в ТУ);
- идентификационные данные образцов, параметры и характеристики которых подвергались измерениям.
6.3 Результаты, полученные при измерении каждого параметра и определении каждой характеристики, регистрируют в протоколе.
6.4 В конце протокола должны быть указаны должности, фамилии, инициалы, а также должны быть подписи всех сотрудников, проводивших измерения и обработку их результатов.
(рекомендуемое)
МЕТОДИКА ИЗМЕРЕНИЯ ТЕМПЕРАТУРЫ ПОЛНОГО ИЗЛУЧАТЕЛЯ
(ИЗЛУЧАТЕЛЯ В ВИДЕ МОДЕЛИ АБСОЛЮТНО ЧЕРНОГО ТЕЛА)
И ЕЕ СТАБИЛЬНОСТИ
А.1 Средства измерений и вспомогательное оборудование
А.1.1 СИ должны быть поверены и откалиброваны в соответствии с нормативными документами, устанавливающими порядок и методы поверки и калибровки конкретных средств измерений. Вспомогательное оборудование должно быть аттестовано в соответствии с
ГОСТ Р 8.568.
Допускается использовать для измерений калиброванные СИ, а также вспомогательное оборудование с нормированными метрологическими характеристиками согласно настоящему стандарту.
А.1.2 В качестве измерителя температуры рекомендуется использовать термоэлектрические преобразователи по
ГОСТ Р 8.585. Допускается применять СИ установленного типа, обеспечивающие погрешность измерения не более 1/3 погрешности температуры, указанной в
4.1.1.4 для полного излучателя.
А.1.3 В качестве измерителя ТЭДС следует применять цифровой вольтметр типа В7-28, В7-34, В7-78 или другие СИ с аналогичными параметрами, обеспечивающими заданную точность измерений.
А.2 Подготовка к измерениям
А.2.1 Измерение проводят на рабочем месте или установке (стенде) (см.
рисунок А.1). Допускается совмещение приборов позиций
2 и
3 в единый измерительный прибор.
1 - источник излучения; 2 - измеритель температуры
(термопара); 3 - измеритель ТЭДС термопары
Рисунок А.1 - Структурная схема рабочего места, установки
(стенда) для проведения измерений температуры полного
излучателя и ее стабильности
А.2.2 Полный излучатель следует подготовить к работе в соответствии с требованиями ТУ на ФЭПП или ФПУ конкретного типа или ТУ на установку, в состав которой он входит, или согласно требованиям эксплуатационной документации излучателя.
А.3 Проведение измерений
А.3.1 Климатические условия проведения измерений - по
4.1.3.1.
А.3.2 При использовании термоэлектрических преобразователей и измерителя ТЭДС выполняют следующие действия. В полость полного излучателя вводят термопару и следят за тем, чтобы ее рабочий (горячий) конец плотно прилегал к стенке полного излучателя, а свободный (холодный) конец был помещен в ванну с тающим льдом (при температуре 273 К).
Допускается замена ванны термостатом или другим компенсирующим устройством при условии, что вносимая им ошибка - не более 0,3 °C.
К входу измерителя ТЭДС подключают термопару, проводят не менее 10 последовательных измерений и показания вольтметра регистрируют с интервалом 1 - 2 мин.
Для каждого результата измерения ТЭДС термопары определяют соответствующее ему значение температуры полости полного излучателя по
ГОСТ Р 8.585.
А.3.3 При использовании контактных СИ выполняют следующие действия. Щуп измерительного прибора вводят в излучающую полость измеряемого АЧТ таким образом, чтобы щуп плотно прилегал к стенке полного излучателя. Измерения температуры проводят согласно руководству по эксплуатации СИ (не менее 10 последовательных измерений), показания вольтметра регистрируют с интервалом 1 - 2 мин.
А.3.4 При использовании бесконтактных СИ выполняют следующие действия. Измерительный прибор ставят соосно АЧТ. Допускается определять соосность по показаниям измерительного прибора; при таком обеспечении соосности показания измерительного прибора будут максимальными. Измерения температуры проводят согласно руководству по эксплуатации измерительного прибора (не менее 10 последовательных измерений), показания вольтметра регистрируют с интервалом 1 - 2 мин.
А.4 Обработка результатов
А.4.1 Среднее арифметическое значение температуры полного излучателя tср, °C, вычисляют по формуле

, (А.1)
где n - число отсчетов;
ti - температура полости полного излучателя, °C.
А.4.2 СКО результата измерения температуры полости полного излучателя

, °C, вычисляют по формуле

(А.2)
где

- отклонение каждого результата измерения температуры от его среднего значения, равное

. (А.3)
А.4.3 Значения средней температуры полости полного излучателя и его СКО принимают за истинные значения и фиксируют в паспорте полного излучателя или установки, в котором(й) его используют. При проведении периодической поверки или аттестации значения заносят в эксплуатационную документацию.
Интервалы времени между периодическими проверками полости полного излучателя должны быть указаны в эксплуатационной документации излучателей или установок, в которые они входят. При отсутствии требований к интервалу времени периодическую аттестацию проводят не позднее 1 года.
А.4.4 Погрешность измерения температуры полости полного излучателя должна соответствовать
ГОСТ Р 8.585, по которому определяют тип используемого термоэлектрического преобразователя с погрешностью его аттестации.
(справочное)
МЕТОД РАСЧЕТА ПОТОКА ИЗЛУЧЕНИЯ
Б.1 Поток излучения Фэ, лм, падающий на ФЭПП или ФПУ, при использовании СИ, не включающих в себя оптические элементы, фильтры или ослабители, вычисляют по формулам:
- для ламп накаливания, лм
Фэ = E·Aэфф, (Б.1)
где Aэфф - эффективная фоточувствительная площадь испытуемого образца, м2;
E - освещенность, лк, вычисляемая по формуле

, (Б.2)
где I - сила света, кд;

- расстояние между центром тела накала источника излучения и плоскостью фоточувствительного элемента испытуемого образца, м;
- для АЧТ, Вт

, (Б.3)
где

- постоянная Стефана Больцмана, равная 5,670·10
-8 Вт/(м
2·К
4);

,

- коэффициент излучения полости АЧТ и диска модулятора соответственно, отн. ед.;
T1, T0 - температура полости АЧТ и диска модулятора соответственно, К;
F - площадь отверстия диафрагмы АЧТ, м2;

- расстояние между диафрагмой АЧТ и плоскостью фоточувствительного элемента испытуемого образца, м.
Формулу (Б.2) с погрешностью не более 1% применяют при

, превышающем размер тела накала лампы не менее чем в пять раз.
При модуляции потока излучения его действующее значение Фэ1 вычисляют по формуле

, (Б.4)
где

- коэффициент формы модуляции.
Б.2 При применении электромеханических модуляторов с вращающимися дисками и селективных усилителей, настроенных в резонанс с частотой модуляции, определяют коэффициент формы модуляции (см.
рисунок Б.1 и
таблицу Б.1).
Рисунок Б.1 - Схема определения коэффициента формы модуляции
| Коэффициент формы модуляции  |
при круглой диафрагме источника излучения | при прямоугольной диафрагме источника излучения |
0,00 | 0,450 | 0,450 |
0,05 | 0,449 | 0,448 |
0,08 | 0,446 | 0,445 |
0,10 | 0.444 | 0,442 |
0,15 | 0,438 | 0,433 |
0,20 | 0,428 | 0,421 |
0,25 | 0,416 | 0,405 |
0,30 | 0,402 | 0,386 |
0,35 | 0,385 | 0,365 |
0,40 | 0,367 | 0,341 |
0,45 | 0,347 | 0,314 |
0,50 | 0,325 | 0,286 |
При применении модуляторов других типов коэффициент формы модуляции рассчитывают или экспериментально определяют в соответствии с требованиями ТУ на модуляторы конкретных типов.
Б.3 При использовании СИ, включающих в себя оптические элементы или источники излучения, отличные от указанных в
4.1.1.4, поток излучения рассчитывают или экспериментально определяют по методикам, изложенным в ТУ на СИ конкретного типа.
Если определение отношения

затруднено и использование данных
таблицы Б.1 невозможно, то коэффициент формы модуляции определяют по непосредственным измерениям амплитудных и действующих значений сигналов. Измерения проводят в следующей последовательности. Сигнал с выхода испытуемого образца при облучении его модулированным потоком регистрируют с помощью осциллографа с полосой, обеспечивающей воспроизведение сигнала без искажения формы, и измеряют амплитудное значение фотосигнала.
К осциллографу подключают стандартный генератор сигналов и, изменяя частоту и выходное напряжение генератора, получают синусоидальный сигнал, по частоте и амплитуде совпадающий с фотосигналом.
Затем эти сигналы последовательно измеряют стандартным селективным вольтметром или селективным усилительным устройством, входящим в состав измерительной установки, и по полученным эффективным значениям вычисляют коэффициент модуляции

по формуле

, (Б.5)
где 0,353 - коэффициент формы модуляции для синусоидального сигнала;
Uс - эффективное значение напряжения фотосигнала, В;
Uг - эффективное значение напряжения генератора, В.
Б.4 Мощность потока излучения определяют с применением контрольного ФЭПП, или фотодиода, или ФПУ.
Мощность потока излучения P, Вт, вычисляют по формуле

, (Б.6)
где
Uс - напряжение фотосигнала, измеряемое по
4.8.3.6, В;
Rн - сопротивление нагрузки контрольного ФЭПП, или фотодиода, или ФПУ, Ом;

- монохроматическая чувствительность контрольного ФЭПП, или фотодиода, или ФПУ, А/Вт.
(рекомендуемое)
МЕТОДИКА ОПРЕДЕЛЕНИЯ ЭКВИВАЛЕНТНОЙ ШУМОВОЙ ПОЛОСЫ
ПРОПУСКАНИЯ СЕЛЕКТИВНОГО УСИЛИТЕЛЬНОГО
И/ИЛИ ИЗМЕРИТЕЛЬНОГО УСТРОЙСТВА
В.1 Средства измерений и вспомогательное оборудование
В.1.1 СИ должны быть поверены и откалиброваны в соответствии с нормативными документами, устанавливающими порядок и методы поверки и калибровки конкретных средств измерений. Вспомогательное оборудование должно быть аттестовано в соответствии с
ГОСТ Р 8.568. Допускается использовать для измерений калиброванные СИ, а также вспомогательное оборудование с нормированными метрологическими характеристиками в соответствии с требованиями настоящего стандарта.
В.1.2 Рабочий диапазон частот генератора синусоидальных сигналов должен обеспечивать сигнал в полосе частот усилительного устройства от 0,05 до 20 fнастр, где fнастр - частота настройки усилительного устройства.
В зависимости от полосы частот селективного усилительного устройства рекомендуется использовать генераторы типа Г3-110 или Г3-118. Допускается применение других генераторов, имеющих аналогичные или достаточные метрологические характеристики.
В.1.3 Для измерения выходного напряжения генератора синусоидальных сигналов в зависимости от полосы частот селективного усилительного устройства рекомендуется использовать милливольтметры типа В3-38А или В3-57. Допускается применение других типов милливольтметров, имеющих аналогичные метрологические характеристики. При измерении шумовой полосы селективных вольтметров допускается использовать встроенные в прибор индикаторы.
В.1.4 В качестве измерителя частоты рекомендуется применять частотомеры типа Ч3-57, Ч3-63 или другие, имеющие аналогичные метрологические характеристики. При использовании генераторов типа Г3-110, Г3-118 и иных, имеющих индикацию установленной частоты, допускается производить отсчет частоты по показаниям переключателей частоты генератора.
В.1.5 Требования к регистрирующему измерительному прибору, входящему в состав усилительного устройства, - по
4.5.1.5.
Если усилительное устройство не имеет регистрирующего прибора, то допускается использовать приборы, приведенные в
4.3.
В.2 Подготовка к измерениям
В.2.1 Измерение проводят на рабочем месте или установке (стенде) (см.
рисунок В.1).
1 - генератор синусоидальных сигналов; 2 - контролируемое
усилительное устройство или измерительное устройство;
3 - измеритель выходного напряжения генератора;
4 - измеритель частоты; 5 - регистрирующий прибор
Рисунок В.1 - Структурная схема рабочего места, установки
(стенда) для проведения измерений эквивалентной шумовой
полосы пропускания селективного усилительного и/или
измерительного устройства
В.2.2 Контролируемое усилительное устройство или измерительный прибор следует подготовить к работе в соответствии с эксплуатационной документацией на усилительное устройство.
В.3 Проведение измерений
В.3.1 На вход усилительного устройства подают напряжение, равное половине выбранного предельного напряжения, и, перестраивая частоту генератора, добиваются максимального показания регистрирующего прибора.
В.3.2 Не изменяя частоты генератора, увеличивают напряжение на входе усилительного устройства до выбранного предельного значения.
В.3.3 Поддерживая неизменным значение входного напряжения, уменьшают частоту генератора и регистрируют значения нижних граничных частот, на которых напряжение на выходе усилительного устройства становится последовательно равным 0,9; 0,8; 0,7; 0,6; 0,5; 0,4; 0,3; 0,2; 0,1 от первоначально установленного напряжения.
В.3.4 Устанавливают частоту генератора равной частоте настройки усилительного устройства и, поддерживая неизменным значение входного напряжения, увеличивают частоту генератора и регистрируют значения верхних граничных частот. Отсчеты верхних граничных частот снимают при напряжениях на выходе измерительного устройства, указанных в
В.3.3.
В.4 Обработка результатов
В.4.1 Эквивалентную шумовую полосу пропускания

селективного усилительного устройства вычисляют по формуле

, (В.1)
где

- ширина полосы пропускания
i-го, Гц, вычисляемая по формуле

, (В.2)
где fiв - значение верхней граничной частоты, соответствующей i-му уровню, Гц;
fiн - значение нижней граничной частоты, соответствующей i-му уровню, Гц;
Mi - безразмерный коэффициент, значения которого для уровней приведены в
таблице В.1.
Уровень | 0,9 | 0,8 | 0,7 | 0,6 | 0,5 | 0,4 | 0,3 | 0,2 | 0,1 |
Коэффициент Mi | 0,18 | 0,16 | 0,14 | 0,12 | 0,10 | 0,08 | 0,06 | 0,04 | 0,025 |
В.4.2 Погрешность определения эквивалентной шумовой полосы пропускания селективного усилительного устройства не должна выходить за пределы интервала +/- 10% с заданной вероятностью P = 0,95.
(рекомендуемое)
МЕТОД ОПРЕДЕЛЕНИЯ ДИНАМИЧЕСКОГО ДИАПАЗОНА
Г.1 Средства измерений и вспомогательное оборудование
Требования к СИ и вспомогательному оборудованию - по
4.20.1.
Г.2 Подготовка к измерениям
Подготовка к измерениям - по
4.8.2.
Г.3 Проведение измерений
Г.3.1 Измерение напряжения (тока) шума испытуемого образца в рабочей полосе частот измеряют по
4.8, если иные требования не установлены в ТУ на ФЭПП или ФПУ конкретного типа.
Г.3.2 На испытуемый образец направляют модулированный поток излучения. При этом в ход лучей устанавливают ослабляющий фильтр с определенным коэффициентом ослабления Кф. Значение коэффициента ослабления рекомендуется выбирать от 50 до 100.
Г.3.3 Изменяют мощность излучения, падающего на испытуемый образец путем его перемещения относительно источника излучения таким образом, чтобы напряжение (ток) фотосигнала Uс.ф (Iс.ф) на выходе испытуемого образца соответствовали условиям:

, (Г.1)

, (Г.2)
где Д - заданное значение динамического диапазона, отн. ед.;
Кф - коэффициент ослабления фильтра, отн. ед.;
Uс.ф (Iс.ф) - напряжение (ток) фотосигнала на выходе испытуемого образца, В (А);
Uш (
Iш) - напряжение (ток) шума, измеренное по
Г.3.1, В (А).
При этом необходимо обеспечить постоянство спектрального состава излучения, падающего на испытуемый образец, во всем диапазоне изменения его мощности.
Г.3.4 Не изменяя положения испытуемого образца, извлекают из хода лучей ослабляющий фильтр и измеряют напряжение (ток) фотосигнала.
Г.4 Обработка результатов
Г.4.1 Отклонение от линейности напряжения фотосигнала

и тока фотосигнала

в процентах динамического диапазона вычисляют по формулам:

, (Г.3)

, (Г.4)
где Uс (Iс) - напряжение (ток) фотосигнала на выходе испытуемого образца при измерениях без фильтра, В (А).
Г.4.2 Полученное значение отклонения сравнивают с заданным в качестве допустимого в ТУ на ФЭПП или ФПУ конкретного типа.
(справочное)
ПРИМЕРЫ РАСЧЕТА ПОГРЕШНОСТЕЙ ИЗМЕРЕНИЯ ПАРАМЕТРОВ
И ОПРЕДЕЛЕНИЯ ХАРАКТЕРИСТИК ФОТОЭЛЕКТРИЧЕСКОГО
ПОЛУПРОВОДНИКОВОГО ПРИЕМНИКА ИЗЛУЧЕНИЯ
И ФОТОПРИЕМНОГО УСТРОЙСТВА
Д.1 Обработка результатов прямых измерений
Обработку результатов прямых измерений осуществляют в соответствии с
ГОСТ Р 8.736.
Д.2 Обработка результатов косвенных измерений
Обработку результатов косвенных измерений осуществляют в соответствии со следующими требованиями:
- пределы допускаемых основных и дополнительных погрешностей СИ по
[4] рассматривают в качестве границ неисключенной систематической погрешности;
- правила суммирования независимых составляющих неисключенной систематической погрешности результата измерения соответствуют
[4];
- неисключенные систематические погрешности СИ каждого типа и погрешности поправок рассматривают как случайные величины с равномерным распределением;
- суммирование неисключенных составляющих систематической погрешности СИ, имеющих корреляционные связи, вычисляют по формуле

, (Д.1)
где

,

- границы
i-й,
j-й неисключенных систематических погрешностей;
rij - коэффициент корреляции между каждой парой составляющих погрешностей, принимающей значения от минус 1 до плюс 1;
- суммирование случайных составляющих погрешностей СИ, имеющих корреляционные связи, вычисляют по формуле

, (Д.2)
где

,

- СКО
i-го (
j-го) результата измерения.
Д.3 Расчет погрешности измерения удельной обнаружительной способности
Д.3.1 Значение удельной обнаружительной способности D*, Вт-1Гц1/2 см, вычисляют по формуле

. (Д.3)
Д.3.2 Результирующую погрешность вычисляют по формуле

, (Д.4)
где

,

- неисключенные систематическая и случайная составляющие результирующей погрешности измерения.
Д.3.3 СКО случайной составляющей результирующей погрешности измерения вычисляют по формуле

, (Д.5)
где K - значение коэффициента влияния нестабильности вращения модулятора на СКО измерения сигнала (при ослаблении 40 дБ/декаду не превышает 2);

- СКО результата измерения нестабильности вращения модулятора, +/- 0,87%;

- СКО результата измерения сигнала за счет нестабильности потока источника излучения, +/- 1,15%;

- СКО результата измерения сигнала за счет погрешности установления и поддержания питания испытуемого образца, +/- 1,7%;

- СКО результата измерения шума за счет погрешности установления и поддержания питания испытуемого образца, +/- 1,7%;
Kп - коэффициент корреляции, Kп = 1 при одновременном измерении напряжения фотосигнала и напряжения шума, Kп = 0 при одновременном измерении напряжения фотосигнала и напряжения шума;

- СКО результата измерения сигнала за счет нестабильности коэффициента передачи усилительного устройства, +/- 1,45%;

- СКО результата измерения шума за счет нестабильного коэффициента передачи, 1,45%;
Kк = 1 - при одновременном измерении напряжения фотосигнала и напряжения шума;
Kк = 0 - при одновременном измерении напряжения фотосигнала и напряжения шума;

- СКО результата измерения сигнала за счет невоспроизводимости показаний регистрирующего прибора, +/- 1,7%;

- СКО результата измерения шума за счет невоспроизводимости показаний регистрирующего прибора, +/- 1,7%;

- СКО результата измерения эквивалентной шумовой полосы пропускания усилительного устройства, +/- 1,7% [при использовании
формулы (13)];

- СКО результата измерения эффективной фоточувствительной площади испытуемого образца,

, вычисляемое по формуле

, (Д.6)
где

- СКО результата измерения площади за счет конечного значения цены деления измерительного микрометра, +/- 1%;

- СКО результата измерения облученности испытуемого образца, +/- 3,8%, вычисляемое по формуле

, (Д.7)
где

- СКО результата измерения температуры полости полного излучателя относительно модулятора, 0,4% (для
T = 500 К);

- СКО результата измерения расстояния от диафрагмы полного излучателя до испытуемого образца, +/- 0,5%;

- СКО результата измерения площади диафрагмы полного излучателя, +/- 1,2%;

- СКО результата измерения коэффициента формы модуляции, +/- 3%.
+/- 6,3% - при неодновременном измерении сигнала и шума;
+/- 5,4% - при одновременном измерении сигнала и шума.
Границы неисключенной систематической составляющей результирующей погрешности измерения вычисляют по формуле

, (Д.8)
где

- границы неисключенной систематической погрешности определения эквивалентной шумовой полосы пропускания усилительного устройства по
методике приложения В, 10%;

- границы неисключенной систематической погрешности определения напряжения шума за счет конечного значения времени измерения вычисляют по формуле

, (Д.9)
отсюда при

и
t = 10 с,

.

- при неодновременном измерении
Uс и
Uш;

- при одновременном измерении
Uс и
Uш.
Результирующая погрешность определения удельной обнаружительной способности находится с заданной вероятностью P = 0,95 в интервале +/- 13,5% при неодновременном измерении Uс, Uш и в интервале +/- 12% при одновременном измерении Uс и Uш.
Д.4 Расчет погрешности определения нормированной характеристики (относительной спектральной характеристики чувствительности)
Д.4.1 Результирующую погрешность относительной спектральной характеристики чувствительности вычисляют по формуле

, (Д.10)
где

- СКО результата измерения сигнала за счет нестабильности потока источника излучения, +/- 1,15%;

- СКО результата измерения сигнала за счет нестабильности вращения модулятора, +/- 0,87%,
K = 2;

- СКО результата измерения сигнала за счет погрешности установления и поддержания питания контрольного ФЭПП или ФПУ, +/- 1,7%;

- то же для испытуемого образца;

- СКО результата измерения сигнала контрольного ФЭПП или ФПУ за счет нестабильности коэффициента передачи усилительного устройства, +/- 1,45%;

- то же для испытуемого образца;

- СКО спектральной погрешности монохроматора, +/- 1%;

- СКО результата определения относительной спектральной чувствительности контрольного ФЭПП или ФПУ по уровню 0,1 - 1,0 от максимального значения, +/- 2%;

- СКО результата измерения сигнала за счет нелинейности энергетической характеристики контрольного ФЭПП или ФПУ, +/- 0,59%;

- СКО результата измерения сигнала контрольного ФЭПП или ФПУ за счет невоспроизводимости регистрирующего прибора, +/- 1,7%;

- СКО результата измерения сигнала испытуемого образца за счет невоспроизводимости регистрирующего прибора, +/- 1,7%;

- СКО результата измерения сигнала испытуемого образца за счет спектральной неоднородности освещенности плоскости многоэлементного ФЭПП или ФПУ, +/- 1%;

- СКО результата измерения сигнала контрольного ФЭПП или ФПУ за счет его нестабильности за время измерения, +/- 0,3%;

- то же для испытуемого образца;

- СКО результата измерения сигнала контрольного ФЭПП или ФПУ за счет мешающего излучения монохроматора, +/- 1,7%;

- то же, для испытуемого образца, +/- 1,7%;

- СКО результатов измерений сигналов испытуемого образца за счет разницы оптических длин путей в его каналах, +/- 5%.
Д.4.2 Результирующая погрешность определения относительной спектральной характеристики чувствительности по уровню 0,1 - 1,0 от максимального значения находится в интервале +/- 16% с заданной вероятностью P = 0,95 при расположении относительной спектральной характеристики чувствительности в области атмосферных полос поглощения и +/- 11% при отсутствии полос поглощения.
Д.5 Расчет погрешности определения ненормированной характеристики (абсолютной спектральной характеристики чувствительности)
Д.5.1 Результирующую погрешность определения абсолютной спектральной характеристики чувствительности испытуемого образца вычисляют по формуле

, (Д.11)
где

- СКО результата измерения облученности в плоскости испытуемого образца, +/- 3,8%;

- результирующая погрешность определения относительной спектральной характеристики чувствительности испытуемого образца:

- вне области поглощения атмосферы;

- в области поглощения атмосферы;

- СКО результата измерения эффективной фоточувствительной площади испытуемого образца, +/- 3,7%.
Д.5.2 Результирующая погрешность определения абсолютной спектральной характеристики чувствительности испытуемого образца по уровню 0,1 - 1,0 от максимального значения находится в интервале +/- 15,5% с заданной вероятностью P = 0,95 вне области поглощения атмосферы и +/- 18% в области поглощения атмосферы.
| Правила технической эксплуатации электроустановок потребителей (утверждены приказом Министерства энергетики РФ от 13 января 2003 г. N 6) |
| Правила по охране труда при эксплуатации электроустановок. ПОТЭУ (утверждены приказом Минтруда России от 15 декабря 2020 г. N 903н) |
| | О безопасности оборудования, работающего под избыточным давлением |
| | Государственная система обеспечения единства измерений. Измерения косвенные. Определение результатов измерений и оценивание их погрешностей |
УДК 535.247.4.089.5:006.354 | |
Ключевые слова: оптика и фотоника, приемники излучения полупроводниковые фотоэлектрические, фотоприемные устройства, методы измерений фотоэлектрических параметров, методы определения характеристик |