Главная // Актуальные документы // ГОСТ Р (Государственный стандарт)СПРАВКА
Источник публикации
М.: ФГБУ "РСТ", 2022
Примечание к документу
Документ
введен в действие с 01.04.2022.
Название документа
"ГОСТ Р 59625-2022. Национальный стандарт Российской Федерации. Дороги автомобильные общего пользования. Мостовые сооружения. Правила расчета и подтверждения аэроупругой устойчивости"
(утв. и введен в действие Приказом Росстандарта от 18.01.2022 N 10-ст)
"ГОСТ Р 59625-2022. Национальный стандарт Российской Федерации. Дороги автомобильные общего пользования. Мостовые сооружения. Правила расчета и подтверждения аэроупругой устойчивости"
(утв. и введен в действие Приказом Росстандарта от 18.01.2022 N 10-ст)
Утвержден и введен в действие
агентства по техническому
регулированию и метрологии
от 18 января 2022 г. N 10-ст
НАЦИОНАЛЬНЫЙ СТАНДАРТ РОССИЙСКОЙ ФЕДЕРАЦИИ
ДОРОГИ АВТОМОБИЛЬНЫЕ ОБЩЕГО ПОЛЬЗОВАНИЯ
МОСТОВЫЕ СООРУЖЕНИЯ
ПРАВИЛА РАСЧЕТА И ПОДТВЕРЖДЕНИЯ АЭРОУПРУГОЙ УСТОЙЧИВОСТИ
Automobile roads of the general use.
Bridge constructions. The rules of the aeroelastic
stability. Calculation and verification
ГОСТ Р 59625-2022
Дата введения
1 апреля 2022 года
1 РАЗРАБОТАН Обществом с ограниченной ответственностью "Мастерская мостов" (ООО "Мастерская мостов"), Открытым акционерным обществом "Институт Гипростроймост" (ОАО "Институт Гипростроймост"), Новосибирским государственным техническим университетом (НГТУ), Акционерным обществом "Институт Гипростроймост - Санкт-Петербург" (АО "Институт Гипростроймост - Санкт-Петербург"), Федеральным государственным унитарным предприятием "Крыловский государственный научный центр" (ФГУП "Крыловский государственный научный центр")
2 ВНЕСЕН Техническим комитетом по стандартизации ТК 418 "Автомобильные дороги"
3 УТВЕРЖДЕН И ВВЕДЕН В ДЕЙСТВИЕ
Приказом Федерального агентства по техническому регулированию и метрологии от 18 января 2022 г. N 10-ст
4 ВВЕДЕН ВПЕРВЫЕ
Правила применения настоящего стандарта установлены в статье 26 Федерального закона от 29 июня 2015 г. N 162-ФЗ "О стандартизации в Российской Федерации". Информация об изменениях к настоящему стандарту публикуется в ежегодном (по состоянию на 1 января текущего года) информационном указателе "Национальные стандарты", а текст изменений и поправок - в ежемесячном информационном указателе "Национальные стандарты". В случае пересмотра (замены) или отмены настоящего стандарта соответствующее уведомление будет опубликовано в ближайшем выпуске ежемесячного информационного указателя "Национальные стандарты". Соответствующая информация, уведомление и тексты размещаются также в информационной системе общего пользования - на официальном сайте Федерального агентства по техническому регулированию и метрологии в сети Интернет (www.rst.gov.ru)
Настоящий стандарт распространяется на мостовые сооружения, расположенные на автомобильных дорогах общего пользования (далее - автомобильные дороги), в том числе при прохождении автомобильных дорог общего пользования по территории населенных пунктов.
Настоящий стандарт устанавливает правила расчета и подтверждения аэроупругой устойчивости новых, реконструируемых и подвергаемых капитальному ремонту мостовых сооружений постоянного типа, а также пешеходных мостов.
В настоящем стандарте использованы ссылки на следующие документы:
ГОСТ 33390 Дороги общего пользования. Мосты. Нагрузки и воздействия
Примечание - При пользовании настоящим стандартом целесообразно проверить действие ссылочных стандартов (сводов правил) в информационной системе общего пользования - на официальном сайте Федерального агентства по техническому регулированию и метрологии в сети Интернет или по ежегодному информационному указателю "Национальные стандарты", который опубликован по состоянию на 1 января текущего года, и по выпускам ежемесячного информационного указателя "Национальные стандарты" за текущий год. Если заменен ссылочный документ, на который дана недатированная ссылка, то рекомендуется использовать действующую версию этого документа с учетом всех внесенных в данную версию изменений. Если заменен ссылочный документ, на который дана датированная ссылка, то рекомендуется использовать версию этого документа с указанным выше годом утверждения (принятия). Если после утверждения настоящего стандарта в ссылочный документ, на который дана датированная ссылка, внесено изменение, затрагивающее положение, на которое дана ссылка, то это положение рекомендуется применять без учета данного изменения. Если ссылочный документ отменен без замены, то положение, в котором дана ссылка на него, рекомендуется применять в части, не затрагивающей эту ссылку. Сведения о действии сводов правил целесообразно проверить в Федеральном информационном фонде стандартов.
В настоящем стандарте применены следующие термины с соответствующими определениями:
3.1 аэродинамика: Раздел механики сплошных сред, изучающий законы движения воздуха и силы, действующие на обтекаемые тела.
3.2 аэродинамические весы: Устройство для измерения аэродинамических сил, действующих на обтекаемую воздухом модель.
3.3 аэродинамические гасители колебаний: Конструктивные приспособления, изменяющие характер обтекания конструкции ветровым потоком с целью подавления аэроупругих колебаний.
3.4 аэродинамическая труба; АДТ: Техническое устройство, предназначенное для исследования взаимодействия воздушного потока с различными объектами.
3.5 аэроупругость: Область прикладной механики, в которой изучается взаимодействие упругой системы с потоком газа (воздуха).
3.6 аэроупругая устойчивость: Способность мостовой конструкции сопротивляться развитию негативных явлений аэроупругой неустойчивости, таких как вихревое возбуждение, галопирование, бафтинг, флаттер и др.
3.7 бафтинг: Вынужденные колебания конструкции или отдельных ее элементов в спутном следе, возникающем при обтекании ветровым потоком другой конструкции, расположенной с наветренной стороны.
3.8 базовая скорость ветра в районе строительства: Скорость ветра на уровне 10 м от поверхности земли, осредненная на 10-минутном интервале с периодом повторяемости 5 лет (превышаемая один раз в 5 лет, с вероятностью ежегодного превышения 20%).
3.9 вихревое возбуждение: Колебания сооружения поперек потока в узком диапазоне скоростей ветра, возникающие при совпадении одной из собственных частот колебаний сооружения с частотой схода вихрей дорожки Кармана.
3.10 вычислительная гидроаэродинамика; CFD: Раздел механики жидкости и газа, включающий совокупность математических и численных методов, предназначенных для решения проблем, связанных с потоками жидкости или газа, в том числе с ветровым потоком в приземном слое атмосферы.
3.11 галопирование: Автоколебания поперек потока, вызванные отрицательным аэродинамическим демпфированием, возникающие, когда профиль сооружения имеет отрицательные значения производной подъемной силы по углу атаки.
3.12 изгибно-крутильный флаттер: Совместные изгибно-крутильные самовозбуждающиеся колебания, характеризующиеся неограниченно и резко возрастающей амплитудой.
3.13 аэродинамические исследования: Физические или численные исследования.
3.14 численные исследования: Моделирование обтекания конструкции ветровым потоком методами вычислительной гидроаэродинамики при помощи численных алгоритмов с целью определения аэродинамических сил, коэффициентов аэродинамических сил и границ аэроупругой устойчивости конструкции.
3.15 физические исследования: Испытания физических моделей сооружения в аэродинамических трубах.
3.16 критерии подобия: Условия равенства одноименных чисел подобия для натурной и модельной конструкции.
3.17 критическая скорость галопирования, изгибно-крутильного и срывного флаттера, бафтинга, дивергенции: Скорость начала соответствующего аэроупругого явления.
3.18 критическая скорость вихревого возбуждения: Скорость, соответствующая максимальным амплитудам вихревого возбуждения (резонансная скорость).
Примечание - При этом в окрестностях критической скорости (в так называемой области захвата) также происходят колебания вихревого возбуждения, но с меньшими амплитудами.
3.19 ландшафтная аэродинамическая труба: Тип аэродинамической трубы с длинной рабочей частью, предназначенной для моделирования распределения по вертикали скорости и турбулентных характеристик приземного слоя атмосферы.
3.20 натурное сооружение (натурная конструкция): Частично или полностью построенное мостовое сооружение.
3.21 нормативная скорость ветра: Скорость ветра на высоте конструкции, осредненная на 10-минутном интервале с периодом повторяемости 5 лет (превышаемая один раз в 5 лет, с вероятностью ежегодного превышения - 20%).
3.22 приземный слой атмосферы: Прилегающий к земной поверхности слой атмосферы, свойства которого в основном определяются взаимодействием с земной поверхностью.
3.23 полная динамически-подобная модель: Модель всего сооружения или его части, созданная с соблюдением основных критериев подобия так, что возможность колебаний обеспечивается за счет деформаций самой модели.
3.24 расчетная скорость ветра: Скорость ветра на высоте конструкции, осредненная на 10-минутном интервале с периодом повторяемости n лет (превышаемая один раз в n лет, с вероятностью ежегодного превышения).
3.25 секционная геометрически-подобная модель: Модель секции, представляющая собой жесткую конструкцию, в которой соблюдается геометрическое подобие конструктивных элементов пролетного строения.
3.26 секционная динамически-подобная модель: Модель участка пролетного строения, созданная с соблюдением основных критериев подобия путем установки секционной геометрически-подобной модели на упругие подвесы так, что возможность колебаний модели обеспечивается за счет деформаций упругих подвесов.
3.27 спектр частот мостового сооружения: Упорядоченный по значениям набор частот собственных колебаний.
Примечание - Первой считается форма колебаний с наименьшей частотой (с наибольшим периодом).
3.28 срывной флаттер: Самовозбуждающиеся колебания конструкции с частотой, близкой к собственной частоте крутильных колебаний, связанные с гистерезисом зависимости крутящего момента от угла атаки.
3.29 турбулентное движение: Трехмерное нестационарное движение ветрового потока в приземном слое атмосферы, при котором скорость и давление изменяются хаотично, неупорядоченно во времени и пространстве.
3.30 турбулентность: Мера изменчивости скорости ветра при турбулентном движении в приземном слое атмосферы, характеризующаяся спектром пульсаций скорости, интенсивностью турбулентности, определяемой как отношение стандартного отклонения пульсаций скорости к среднему значению скорости.
3.31 экранный эффект: Эффект изменения характера обтекания и аэродинамических сил, действующих на конструкцию, расположенную близко к поверхности земли/воды (подстилающей поверхности).
4 Обозначения и сокращения
В настоящем стандарте применены следующие обозначения и сокращения с соответствующими определениями:
A - амплитуда аэроупругих колебаний, м;
AG - число Ден-Гартога;
Amax - максимальная амплитуда колебаний при вихревом возбуждении, м;

- максимальная относительная амплитуда колебаний при вихревом возбуждении;
Aser - предельно допустимая амплитуда колебаний, м;
B - характерная ширина поперечного сечения ПС, м;
Bсек - ширина секционной модели, м;
Ca - число Коши;

- вероятностный коэффициент перехода от скорости ветра с вероятностью ежегодного превышения
p0 к скорости ветра с вероятностью ежегодного превышения
p;
Cсек - жесткость подвески секционной модели, Н/м;
F(z) - погонная инерционная нагрузка, Н/м;
F0 - амплитудное значение возбуждающей погонной аэродинамической силы, Н/м;
H - характерная высота поперечного сечения балки жесткости ПС с учетом ограждающих конструкций, м;
Hсек - высота секционной модели, м;
K - коэффициент модальной формы;
KR - коэффициент, учитывающий корреляцию пульсаций подъемной силы на секционной модели;
KV - коэффициент линейной зависимости приведенной критической скорости ветра от максимальной амплитуды;

- коэффициент, учитывающий зависимость ЛДК от относительной амплитуды колебаний;

- коэффициент формы колебаний;
Kкон - коэффициент, характеризующий демпфирующие свойства материала и конструкции ПС;
Kсеч - коэффициент формы поперечного сечения;
L - длина ПС или отдельного элемента, м;
L1 - расстояние между осями балок, м;
L3 - длина 1/3 лидерной консоли, м;
Li - длина i-го участка ПС, м;
Lmax - длина пролета с максимальным значением амплитуды колебаний при вихревом возбуждении, м;
Lу - длина участка ПС со снятыми плитами, м;
Lг - длина главного пролета, м;
Lк - длина консоли, м;
Lпрj - длина j-го пролета ПС, м;
Lсек - длина секционной модели, м;
Mсек - масса секционной модели с приведенной массой упругих элементов, кг;
Nw - число Ньютона;
P - интенсивность аэродинамической силы, Н/м;
Q - неравномерно распределенная нагрузка, Н/м;
R - коэффициент корреляции пульсаций подъемной силы вдоль пролета;
Re - число Рейнольдса;
S0 - расстояние в свету между сооружениями или отдельными элементами сооружений, м;
Sсек - площадь секционной модели в плане, м2;
Sc - число Скрутона;
Sh - число Струхаля;
Sh0 - число Струхаля для неподвижной модели;
T - период колебаний, с;
V - скорость ветра, м/с;
V50 - скорость ветра с периодом повторяемости 50 лет (превышаемая 1 раз в 50 лет), м/с;
Vb - базовое значение скорости ветра, м/с;
Vn - нормативная скорость ветра, м/с;
Vв.в - критическая скорость вихревого возбуждения, м/с;
Vгал - критическая скорость галопирования, м/с;
Vкон - максимальная скорость ветра для диапазона колебаний, м/с;
Vкр - критическая скорость воздушного потока для исследуемого типа аэроупругой неустойчивости, м/с;
Vкр0 - критическая скорость ветра для неподвижной модели, м/с;
Vнач - минимальная скорость ветра для диапазона колебаний, м/с;
Vрасч - расчетная скорость ветра, м/с;
Vс.фл - значение критической скорости срывного флаттера, м/с;
Vфл - значение критической скорости изгибно-крутильного флаттера, м/с;
Xa - сила лобового сопротивления, Н;
ca - коэффициент аэродинамического возбуждения, приведенный к площади конструкции в плане;

- коэффициент аэродинамического возбуждения, приведенный к фронтальной площади конструкции;

- эффективный коэффициент аэродинамического возбуждения, приведенный к площади в плане;
cR,i - коэффициент, учитывающий корреляцию пульсаций подъемной силы на i-м участке;

- коэффициент для приближенного учета корреляции пульсаций подъемной силы на
i-ом участке;
cya - коэффициент осредненной аэродинамической подъемной силы;

- коэффициент, учитывающий форму колебаний;
cxa - коэффициент осредненной силы лобового сопротивления;

- коэффициент лобового сопротивления, приведенный к площади горизонтальной проекции;
cmz - коэффициент крутящего момента;

- производная коэффициента подъемной силы по углу атаки;
f - частота собственных колебаний, Гц;
fив - частота собственных вертикальных изгибных колебаний ПС, Гц;
fк - частота собственных крутильных колебаний, Гц;
h - высота сечения без учета сквозных ограждающих конструкций, м;
h0 - высота ограждающих конструкций проезжей части, м;
k - номер формы колебаний;
k10 - параметр типа местности;
k(y) - коэффициент изменения ветрового давления по высоте;
kv(y) - коэффициент изменения скорости ветра по высоте (коэффициент профиля скорости);
m(z) - погонная масса, кг/м;
me - эквивалентная погонная масса, кг/м;

-

сосредоточенная масса, кг;
n - период повторяемости скорости ветра определенной величины, год (лет);
p - вероятность ежегодного превышения скорости ветра целевой величины (к которой осуществляется вероятностный переход);
p0 - вероятность ежегодного превышения исходной скорости ветра (от которой осуществляется вероятностный пересчет);
s - координата, отсчитываемая от центра секционной модели вдоль продольной оси модели, м;

- обезразмеренная по высоте поперечного сечения ПС координата
s;
w0 - нормативное значение ветрового давления, Па;
y - расстояние от нижней поверхности балки жесткости до уровня земли или проектного уровня воды, м;
z - координата вдоль оси ПС или элемента, м;

- обезразмеренная по высоте поперечного сечения ПС координата вдоль оси ПС;
z0,i - координата начальной точки i-го участка ПС вдоль оси ПС, м;
zmax,i - координата точки экстремума собственной формы колебаний i-го участка ПС вдоль оси ПС, м;

- угол атаки воздушного потока (в вертикальной плоскости), °;

- параметр типа местности;

- угол скольжения воздушного потока (в горизонтальной плоскости), °;

- индекс сосредоточенной массы;

- число сосредоточенных масс;

- коэффициент, учитывающий ограничение скорости при отличных от нуля углах атаки;

- коэффициент надежности по ветровой нагрузке;

- ЛДК;

- ЛДК при околонулевой амплитуде колебаний;

- конструкционный ЛДК;

- критический ЛДК;

- ЛДК от дополнительного механического гасителя;

- интенсивность турбулентности ветрового потока, %;

- редукционный коэффициент амплитуды колебаний;

- удлинение ПС или элемента;

- удлинение
i-го участка ПС;

- удлинение секционной модели;

- плотность воздуха при нормальных условиях, кг/м
3;

- экстремум функции формы на
i-ом участке ПС;

- функция формы, соответствующая рассматриваемой частоте собственных изгибных колебаний, нормированная от единицы;

- значение функции формы, соответствующее положению сосредоточенной массы;
ЛДК - логарифмический декремент колебаний;
ПС - пролетное строение.
5.1 Учет ветрового воздействия должен отражать многообразие воздействия ветра на сооружения в целом и отдельные элементы конструкций, включая:
- статическое действие ветрового потока;
- динамическое действие ветрового потока, обусловленное пульсациями ветра, одиночными порывами и грозовыми фронтами;
- аэроупругое взаимодействие ветрового потока с конструкциями ПС.
5.2 Расчеты на статическое и динамическое (пульсационное) воздействия ветра следует проводить согласно
ГОСТ 33390,
СП 20.13330.2016,
СП 35.13330.2011. Оценка аэроупругих явлений с целью обеспечения аэроупругой устойчивости мостовых сооружений и учет допустимых колебаний, вызванных ветровым воздействием, с точки зрения напряженно-деформированного состояния мостового сооружения, должны проводиться согласно требованиям настоящего стандарта.
5.3 Классификация явлений аэроупругой неустойчивости, которые необходимо учитывать при проектировании мостовых сооружений, приведена на рисунке 1.
Рисунок 1 - Явления аэроупругой неустойчивости
5.4 Проверку аэроупругой устойчивости следует выполнять:
- для вантовых и висячих мостов;
- для стальных балочных со сплошной стенкой, рамных, арочных и экстрадозных мостов при периоде собственных поперечных изгибных колебаний в вертикальной плоскости по первой форме указанных типов мостовых сооружений более 1,5 с;
- на стадии монтажа ПС для консолей, образующихся при навесной сборке или продольной надвижке, имеющих на значительной части длины сечение со сплошными стенками, при периоде собственных поперечных колебаний в вертикальной или горизонтальной плоскости более 3 с или периоде крутильных колебаний более 2 с, а для ПС, имеющих в поперечном сечении две и более балки и участок с демонтированными консольными и межбалочными плитами - при периоде более 3 - Ly/Lк с, при этом длина аванбека с переменной и/или перфорированной стенкой не учитывается в составе Ly;
- для отдельных элементов решетчатых конструкций и подвесок арочных мостов с гибкостью

более 100.
5.5 Для вантовых, висячих, арочных с гибкими подвесками и экстрадозных мостов по
5.4 следует выполнять проверки для всех явлений аэроупругой неустойчивости по
5.3.
5.6 Для балочных (включая консоли на монтаже) и рамных мостов, указанных в
5.4, следует выполнять проверки на вихревое возбуждение согласно
разделу 8 и проверку на бафтинг согласно
разделу 12; кроме того, для балочных мостов, указанных в
5.4, следует:
- выполнять проверку на галопирование согласно
разделу 9, если расчетная скорость в уровне сооружения превышает 25 м/с и соотношение ширины ПС к высоте
B/
H менее 3,5. Высота
H с учетом сплошных ограждающих конструкций проезжей части определяется в соответствии с
приложением А;
- выполнять проверку на изгибно-крутильный флаттер согласно
разделу 11, если балочное ПС состоит из главных балок открытого профиля.
5.7 Отдельные элементы решетчатых ПС по
5.4 следует проверять только на вихревое возбуждение согласно
разделу 8.
5.8 Для проверки аэроупругой устойчивости следует использовать инженерные методы, численные и физические аэродинамические исследования в соответствии с требованиями
разделов 8 -
12.
5.9 Для балочных мостов, рамных мостов и консолей на монтаже, для которых не требуется проверка на галопирование и бафтинг согласно критериям по
5.6, а также выполнен критерий невозможности развития изгибно-крутильного флаттера согласно
11.3, допускается выполнять проверку аэроупругой устойчивости только на вихревое возбуждение с использованием инженерных методик, приведенных в
приложениях Б и
В, при наличии необходимых экспериментальных параметров (в случае консоли с участками различного сечения - для всех участков). Исключение составляют мосты в условиях сложного рельефа, кривые в плане мосты с радиусом кривизны менее 200 м. Для консолей с аванбеком по
5.4 из балок со сплошной неперфорированной стенкой или при перфорации стенки не более 15% проверку аэроупругой устойчивости рекомендуется выполнять при помощи физических исследований.
5.10 При двухстадийном проектировании в случаях, предусмотренных в
5.11 и
5.12, допускается в рамках стадии "Проект" ограничиться численными исследованиями, а выполнение физических исследований завершить в рамках стадии "Рабочая документация". Для балочных мостов с периодом колебаний в интервале от 1,5 до 2,2 с допускается ограничиться численными исследованиями вне зависимости от стадии проектирования за исключением случаев выраженного трехмерного характера обтекания потоком воздуха поперечного сечения ПС:
- неравномерная установка аэродинамических средств гашения колебаний;
- при изменении высоты или ширины поперечного сечения ПС (более 0,5 м/10 м в среднем) в пределах участка длиной 6H (где H - полная высота ПС) от точки с максимальной ординатой вертикальной формы колебаний.
5.11 Физические аэродинамические исследования в аэродинамических трубах на секционных динамически-подобных моделях следует проводить:
- для балочных мостов с периодом собственных колебаний по первой вертикальной форме выше 2,2 с;
- вантовых и висячих мостов;
- арочных мостов с гибкими подвесками и экстрадозных мостов по
5.4;
- случая трехмерного характера обтекания потоком воздуха поперечного сечения исследуемого конструктивного элемента;
- подтверждения эффективности аэродинамических средств гашения колебаний, перечисленных в
Г.2.6 приложения Г, а также иных аэродинамических средств гашения, установленных дискретно по длине ПС;
- параллельных близкорасположенных мостовых сооружений в случаях, оговоренных в
разделе 12, с периодом собственных колебаний по первой вертикальной форме выше 2 с.
5.12 Физические исследования на полной динамически-подобной модели моста в дополнение к секционной динамически-подобной модели рекомендуется проводить:
- для висячих мостов;
- мостов, у которых пилоны имеют сложную пространственную форму или поперечные сечения пилона существенно отличаются от круглого или прямоугольного поперечного сечения;
- мостов с пилонами разной высоты или разной конструкции;
- параллельных вантовых и висячих мостов, находящихся в непосредственной близости друг к другу или находящихся вблизи существующего моста, в случаях, оговоренных в
разделе 12;
- ПС мостов по
5.11, расположенных на кривой в плане с радиусом менее 200 м;
- мостов с пролетом более 500 м;
- мостов по
5.11, расположенных в местности со сложным рельефом;
- вантовых мостов в условиях городской застройки с высотой зданий более 20 м;
- мостов по
5.11 через морские проливы, бухты и заливы;
- консолей на монтаже, составляющих исключение согласно
5.9;
- консолей вантовых мостов на стадии монтажа при максимальном вылете консоли.
5.13 Для вантовых и висячих мостов дополнительно рекомендуется проведение физических аэродинамических исследований на динамически-подобной модели отдельно стоящего пилона на стадии монтажа.
5.14 Для уменьшения амплитуд колебаний вихревого возбуждения и исключения недопустимых явлений аэроупругой неустойчивости рекомендуется применение средств гашения колебаний аэродинамического типа, при этом необходимо подтвердить эффективность применяемых средств путем аэродинамических исследований. Рекомендации по применению средств гашения колебаний приведены в
приложении Г.
5.15 Физические исследования необходимо проводить согласно требованиям
раздела 15.
5.16 При выполнении оценок возможности развития аэроупругих явлений, а также аэродинамических исследований мостовых сооружений следует учитывать:
- расположение автомобильного или железнодорожного транспорта на наветренном ПС при проверке подветренного ПС на бафтинг согласно требованиям
раздела 12. Допускается не учитывать негативные аэроупругие явления, возникающие при загружении транспортными колоннами при скоростях ветра 25 м/с и более;
- ситуацию возможного образования снеговых заносов на внешних барьерных ограждениях;
- экранный эффект при
y/
H менее 2,5, где
y - расстояние от нижней поверхности балки жесткости до уровня земли или проектного уровня воды,
H - характерная высота балки жесткости, определяемая в соответствии с
приложением А;
- наличие шумозащитных и грязезащитных экранов;
- сложный рельеф местности в створе мостового перехода с учетом генеральных планов развития территорий;
- обледенение гибких канатных элементов, приводящее к изменению формы сечений и характеристик обтекания.
5.17 В обоснованных случаях допускается учитывать колонны автотранспорта на исследуемом ПС. Рекомендуемые схемы транспортных средств и их расположения приведены в
приложении Д.
5.18 Оболочки вант должны иметь защиту от дожде-ветровой вибрации.
5.19 В случае применения шумозащитных и грязезащитных экранов, а также средств гашения колебаний аэродинамического типа, приведенных в
приложении Г, следует выполнить расчет данных конструкций на пиковую ветровую нагрузку по
СП 20.13330.2016.
5.20 Общая схема проверки аэроупругой устойчивости различных типов мостовых сооружений, включая основные критерии, виды аэроупругой неустойчивости и способы их оценки, приведена в
приложении Е.
6 Параметры ветрового воздействия
6.1 Нормативное значение ветрового давления
w0, соответствующее периоду повторяемости скорости ветра 5 лет, и коэффициент изменения ветрового давления по высоте
k(
y) в районе строительства следует принимать по
СП 20.13330.2016 с учетом требований
СП 35.13330.2011. Допускается принимать скорости ветра и значения ветрового давления на основе данных метеорологических изысканий. При этом переход к требуемому периоду повторяемости и к требуемой высоте допускается выполнять по
приложению Ж.
6.2 Нормативную скорость ветра
Vn вычисляют по формуле

, (1)
где
w0 - нормативное значение ветрового давления, Па, соответствующее периоду повторяемости 5 лет, принимаемое по
СП 20.13330.2016;
k(y) - коэффициент изменения ветрового давления по высоте.
6.3 Для мостовых сооружений период повторяемости расчетной скорости ветра для стадии эксплуатации следует принимать равным сроку службы сооружения. Расчетную скорость ветра для стадии монтажа следует принимать равной нормативной скорости ветра.
Расчетную скорость ветра для стадии эксплуатации, соответствующую расчетному сроку службы мостового сооружения, равному 100 лет, вычисляют по формуле

, (2)
где

- коэффициент, учитывающий ограничение скорости при отличных от нуля углах атаки, определяемый по
6.5.
Расчетная скорость ветра для иных значений расчетного срока службы определяется по
приложению Ж.
6.4 При проведении аэродинамических исследований следует учитывать возможность отклонения угла атаки ветрового потока от нулевого значения относительно сооружения. Рекомендуется учитывать диапазон углов атаки от минус 5° до плюс 5°.
6.5 При оценке аэроупругой устойчивости ПС при ненулевых углах атаки ветра

допускается вводить понижающий коэффициент

к расчетной скорости ветра в уровне сооружения, определяемый по формуле

, (3)
где

- угол атаки, град.
6.6 В настоящем стандарте применяют правила знаков и системы координат для аэродинамических сил, приведенные на рисунке 2.
Рисунок 2 - Правило знаков и система координат
Аэродинамические коэффициенты, как правило, определяют в скоростной системе координат OXaYaZa, связанной с направлением ветрового потока.
7 Расчеты по предельным состояниям
7.1 При воздействии аэроупругих колебаний с ограниченной амплитудой в заданном диапазоне скоростей ветра (вихревое возбуждение, бафтинг, галопирование) конструкцию мостового сооружения следует проверять по предельным состояниям первой и второй групп. Перечисленные аэроупругие явления допускается учитывать в виде сил инерции, вызванных колебаниями по
7.10.
7.2 При проверках по предельным состояниям первой группы для сооружений на стадии эксплуатации следует использовать параметры аэроупругих явлений, полученные в ламинарном режиме.
Для проверок по второму предельному состоянию, а также для сооружений на стадии монтажа, допускается учитывать турбулентность. Величина интенсивности турбулентности

при проведении физических исследований назначается согласно
разделу 15. При проведении численных исследований следует принимать интенсивность турбулентности не более 7%. Отступление от данного требования допускается в случае, если данные по интенсивности турбулентности получены при проведении соответствующих метеорологических изысканий на площадке строительства или моделировании ландшафта и окружающей застройки при физических исследованиях.
7.3 Расчетные усилия в элементах конструкции при выполнении проверок по прочности и устойчивости следует определять от сочетаний нагрузок, включающих:
- постоянную нагрузку;
- инерционную нагрузку, вызванную аэроупругими колебаниями.
При этом следует учитывать коэффициенты сочетания, указанные в таблице 1. Коэффициенты надежности и динамики к постоянной и подвижной нагрузкам принимают по
СП 35.13330.2011, к основной ветровой нагрузке, приведенной в
приложении Ж, к инерционной нагрузке от аэроупругих колебаний - по
7.10.
Таблица 1
Таблица сочетаний нагрузок
N сочетания | Постоянная нагрузка | Временная нагрузка | Основная ветровая нагрузка <*> | Инерционная нагрузка |
1 | 1,0 | 0,25 | 1 | 1,0 |
2 | 1,0 | 0,8 | 0,25 | 0,25 |
<*> Основную ветровую нагрузку (ветровое давление) допускается принимать соответствующей скорости возникновения аэроупругого явления при условии учета, что аэроупругие явления могут возникать не только на низшей частоте, но и на высших частотах спектра частот мостового сооружения (особенно важно для многопролетных балочных мостов). При отсутствии исследований аэроупругих колебаний на высших частотах спектра следует принимать основную ветровую нагрузку соответствующей расчетной скорости ветра. |
7.4 Проверку выносливости главных балок, арок и пилонов ПС от действия аэроупругих явлений допускается не выполнять.
7.5 Коэффициент надежности к инерционной нагрузке от аэроупругих колебаний принимают равным 1,0.
При проверке прочности и устойчивости на стадии монтажа коэффициент надежности для всех нагрузок, входящих в сочетания по
7.4, следует принимать равным 1,0.
7.6 Возникновение аэроупругих колебаний, вызванных снеговыми заносами на барьерных ограждениях, следует рассматривать как аварийное особое сочетание нагрузок. При этом конструкция должна удовлетворять только требованиям прочности и устойчивости.
7.7 При проверке с учетом нагрузки от аэроупругих явлений ограниченное развитие пластических деформаций не допускается.
7.8 Проверки по предельному состоянию второй группы с учетом аэроупругих явлений следует выполнять только для мостов в стадии нормальной эксплуатации для скоростей ветра в уровне сооружения не превышающих нормативную скорость ветра в уровне сооружения
Vn по
6.2; при этом должны быть выполнены следующие критерии:
- максимальные ускорения в вертикальной плоскости не должны превышать 0,2g, где g = 9,81 м/с2 - это ускорение свободного падения; проверку по ускорениям допускается не выполнять при величине скорости ветра в уровне сооружения более 20 м/с;
- амплитуды аэроупругих колебаний A не должны превышать величины предельно допустимой амплитуды Aser, определяемой по формуле

, (4)
где Lг - длина главного пролета ПС, м;
Vкр - критическая скорость возникновения аэроупругих колебаний, м/с;
Vn - нормативная скорость ветра на уровне сооружения, м/с.
7.9 Отдельные гибкие элементы решетчатых конструкций по
5.4 следует проверять только по первому предельному состоянию по выносливости на действие вихревого возбуждения согласно положениям
раздела 8. Допускается выполнять проверку путем учета добавки к расчетным напряжениям по выносливости, равной 100 МПа.
7.10 Интенсивность погонной инерционной нагрузки
F(
z), Н/м, при аэроупругих колебаниях на основании рассчитанной по данным численных или физических исследований амплитуды колебаний
Amax вычисляют по формуле

, (5)
где f - собственная частота колебаний, Гц;
m(z) - погонная масса, кг/м;

- собственная форма колебаний

;
Amax - максимальная амплитуда колебаний, м.
8 Оценка возможности возникновения вихревого возбуждения и определение его параметров
8.1 Критерием обеспечения аэроупругой устойчивости при вихревом возбуждении является условие
где Vв.в - значение критической скорости вихревого возбуждения, м/с, вычисляемое по формуле

, (7)
здесь f - собственная частота, изгибных или крутильных колебаний ПС, или его элемента в поперечном ветровому потоку направлении, Гц;
H - характерная высота поперечного сечения элемента поперек ветрового потока, принимаемая в соответствии с
приложением А, м;
Sh - число Струхаля;
Vрасч - расчетное значение скорости ветрового потока в уровне конструкции в заданном районе строительства мостового перехода, определяемое по
6.3, м/с.
Для ПС с несколькими типами поперечного сечения необходимо определять
Vв.в по
формуле (7) для каждого из сечений. В этом случае при использовании
формулы (6) принимают минимальное значение
Vв.в.
8.2 При отсутствии экспериментальных данных для рассчитываемого сечения число Струхаля ориентировочно определяют согласно графику, изображенному на рисунке 3 в зависимости от отношения
B/
H, где
B - ширина сечения (размер сечения вдоль ветрового потока);
H - характерная высота поперечного сечения, принимаемая в соответствии с
приложением А. При наличии сплошных ограждающих конструкций на проезжей части высотой
h0 более 1,5 м число Струхаля следует уточнять путем проведения аэродинамических исследований.
Рисунок 3 - Зависимость числа Струхаля от
B/
H
8.3 При невыполнении критерия, указанного в
8.1, необходимо либо изменить параметры конструкции, либо провести определение амплитуд колебаний и ускорений и выполнить проверки по предельным состояниям согласно
разделу 7.
8.4 Определение амплитуд колебаний вихревого возбуждения возможно следующими способами:
- на основе проведенных аэродинамических исследований;
8.5 При
Vкр >
Vрасч амплитуды колебаний следует умножать на редукционный коэффициент

, определяемый по формуле

. (8)
9 Оценка возможности возникновения галопирования
9.1 Критерием обеспечения аэроупругой устойчивости против галопирования является положительное значение числа Ден-Гартога
AG > 0. Число Ден-Гартога определяют по
формуле (11).
При отрицательном значении числа Ден-Гартога необходимо выполнить условие:
Vгал > 1,5Vрасч, (9)
где
Vгал - значение критической скорости галопирования, определяемое по
9.2, м/с;
Vрасч - расчетное значение скорости ветрового потока в уровне конструкции в заданном районе строительства мостового перехода, определяемое по
6.3, м/с.
9.2 Критическую скорость галопирования
Vгал или факт невозможности ее достижения в расчетном диапазоне скоростей ветра допустимо определять следующими способами:
а) путем выполнения аэродинамических исследований в диапазоне скоростей потока, достигающих 1,5Vрасч;
б) по формуле

, (10)
где Sc - число Скрутона, определяемое по
14.1 при использовании суммарного ЛДК, принимаемого по
13.1;
H - характерная высота поперечного сечения поперек ветрового потока, принимаемая в соответствии с положениями
приложения А, м;
f - собственная частота, Гц;
|AG| - модуль числа Ден-Гартога, вычисляемого по формуле

, (11)
где

- производная коэффициента подъемной силы поперечного сечения
cya, приведенной к площади горизонтальной проекции ПС, по углу атаки

;

при

, равном 0°;

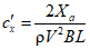
- коэффициент лобового сопротивления, приведенный к площади горизонтальной проекции ПС, вычисляемый по формуле

, (12)
где Xa - сила лобового сопротивления, Н;
V - скорость ветра, м/с;
B - характерная ширина сечения, м;
L - длина рассматриваемого участка ПС, м.
Число Ден-Гартога допускается определять экспериментально при физических исследованиях секционной геометрически-подобной модели в аэродинамической трубе на аэродинамических весах или путем численных исследований.
Для мостовых сооружений, состоящих из одной, двух, трех или четырех балок прямоугольной или трапециевидной формы сечения, значения чисел Ден-Гартога приведены в
[1].
9.3 Допускается считать проверку на галопирование выполненной при условии проведения физических исследований на динамически-подобных моделях в диапазоне скоростей от 0 до 1,5
Vрасч с учетом требований
раздела 15 и отсутствия зафиксированных колебаний галопирования.
10 Оценка возможности возникновения срывного флаттера
10.1 Срывной флаттер принципиально недопустим.
10.2 Возникновение срывного флаттера обусловлено нулевым суммарным демпфированием для рассматриваемой крутильной формы колебаний. Критерием невозможности возникновения срывного флаттера является условие
Vс.фл > 1,5Vрасч, (13)
где
Vс.фл - значение критической скорости срывного флаттера, определяемое по
10.3, м/с;
Vрасч - расчетное значение скорости ветрового потока в уровне конструкции в заданном районе строительства мостового перехода, определяемое по
6.3, м/с.
10.3 Критическую скорость срывного флаттера
Vс.фл или факт невозможности ее достижения в расчетном диапазоне скоростей ветра следует определять путем выполнения аэродинамических исследований в диапазоне скоростей потока, достигающих 1,5
Vрасч.
11 Оценка возможности возникновения изгибно-крутильного флаттера
11.1 Изгибно-крутильный флаттер принципиально недопустим.
11.2 Критерием невозможности возникновения изгибно-крутильного флаттера является условие
где
Vфл - значение критической скорости изгибно-крутильного флаттера, определяемое по
11.4, м/с;
Vрасч - расчетное значение скорости ветрового потока в уровне конструкции в заданном районе строительства мостового перехода, определяемое по
6.3, м/с.
11.3 Для балочных, рамных мостов и консолей на монтаже
условие (14) считается выполненным при выполнении условия
fк/fив > 2, (15)
где fк и fив - минимальные значения частот крутильных и изгибных поперечных ветровому потоку колебаний ПС, Гц.
11.4 Критическая скорость изгибно-крутильного флаттера
Vфл или факт невозможности ее достижения в расчетном диапазоне скоростей ветра определяется путем выполнения аэродинамических исследований в диапазоне скоростей потока, достигающих 1,5
Vрасч.
12 Оценка возможности возникновения бафтинга
12.1 Критерием обеспечения аэроупругой устойчивости против возникновения бафтинга в следе близко-расположенного (наветренного) сооружения является условие
S0/
H > 50, где
S0 - расстояние в свету между сооружениями или отдельными элементами сооружений, м,
H - характерный размер сооружения поперек потока, в следе которого находится рассматриваемое сооружение, м. Если с наветренной стороны расположен другой автодорожный мост, то
H определяют в соответствии с положениями
приложения А, если с наветренной стороны расположено железнодорожное ПС, то
H принимают с учетом средней высоты железнодорожного состава от уровня головки рельса, равной 3 м согласно рисунку 4. При этом общая высота решетчатых конструкций главных ферм не учитывается.
Рисунок 4 - Схемы наветренного железнодорожного ПС
12.2 При невыполнении условия по
12.1 необходимо проводить аэродинамические исследования. При выполнении аэродинамических исследований следует учитывать наличие автомобильного и/или железнодорожного транспорта на сооружении, со стороны которого дует ветер.
12.3 Рекомендуемые схемы расположения колонн автотранспорта при исследовании бафтинга следует принимать по
приложению Д.
13.1 В общем случае суммарное демпфирование конструкции при исследовании аэроупругой устойчивости конструкции в потоке ветра определяется выражением

, (16)
где

- конструкционный ЛДК, определяемый по
13.2;

- дополнительный ЛДК от физического гасителя колебаний, примененного в конструкции сооружения (вязкие и массовые демпферы и др.).
13.2 Конструкционное демпфирование, выраженное ЛДК

, принимают по таблице 2.
Тип мостового сооружения | |
Стальные мосты | цельносварные | 0,02 (0,015) |
с комбинированными стыками (сварные и на высокопрочных болтах) | 0,025 (0,02) |
со стыками на высокопрочных болтах | 0,03 (0,025) |
со стыками на обычных (срезных болтах) или заклепках | 0,05 (0,045) |
Сталежелезобетонные мосты | 0,04 (X) |
Железобетонные мосты | преднапряженные (без трещин) | 0,04 |
с трещинами | 0,1 |
Канаты | из параллельных прядей | 0,006 |
витые канаты | 0,02 |
Примечания 1 В скобках указаны рекомендуемые значения декрементов для мостов на стадии монтажа (без конструкций проезжей части). 2 Значения для стальной части сталежелезобетонного моста во время монтажа X принимается как для стального моста во время монтажа в зависимости от типа монтажных стыков. 3 Допускается учитывать зависимость конструкционного демпфирования от величины напряжений, деформаций и амплитуды колебаний. Значения ЛДК  при малых амплитудах принимают по таблице 2. |
14 Динамические параметры конструкции
14.1 Число Скрутона Sc определяют по формуле

, (17)
где
me - эквивалентная погонная масса ПС или проверяемого гибкого элемента, определяемая по
14.2, кг/м;
H - высота поперечного сечения поперек ветрового потока, принимаемая в соответствии с
приложением А, м;

- ЛДК, соответствующий суммарному демпфированию сооружения (конструкционному и дополнительному) согласно
13.1.
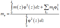
14.2 Эквивалентную погонную массу
me вычисляют по формуле

, (18)
где z - координата вдоль оси ПС или элемента, м;
m(
z) - погонная масса ПС; для консолей с переменной погонной массой определяется по
14.3, кг/м;

-

сосредоточенная масса, кг;
L - длина ПС или отдельного элемента, м;

- функция формы, соответствующая рассматриваемой частоте собственных изгибных колебаний, нормированная от единицы;

- число сосредоточенных масс;

- индекс сосредоточенной массы;

- ордината функции формы, соответствующая положению сосредоточенной массы.
14.3 Погонная масса ПС
m(
z) для консолей с переменной погонной массой может быть принята равной средней погонной массе лидерной трети консоли
L3 согласно рисунку 5.
Рисунок 5 - Схема определения
эквивалентной массы консольного стержня
15 Требования к проведению физических испытаний в АДТ
15.1 Физические эксперименты в аэродинамических трубах проводят с целью исследования аэродинамических характеристик и явлений аэроупругой неустойчивости мостовых сооружений, а также их отдельных элементов. Для проведения физических экспериментов используются секционные геометрически-подобные модели, секционные динамически-подобные модели, а также полные динамически-подобные модели.
15.2 Для обеспечения динамического подобия в экспериментах в зависимости от типа модели и эксперимента необходимо соблюдение критериев подобия по следующим определяющим числам подобия:
- число Коши

и

;
- число Ньютона

;
- число Скрутона

;
- число Рейнольдса

.
15.3 Число Струхаля

определяется по результатам проведенных в аэродинамической трубе физических исследований на динамически подобных моделях. Соблюдение определяющих критериев подобия при проведении экспериментов обеспечивает равенство чисел Струхаля на модели и на натурной конструкции.
15.4 Секционная модель
15.4.1 Секционная геометрически-подобная модель используется для определения коэффициентов осредненных аэродинамических сил и моментов

,

,

, а также других аэродинамических характеристик для всех типов мостов. В эксперименте необходимо обеспечить значение числа Re >= 10
4.
15.4.2 Секционная динамически-подобная модель ПС используется для исследований явлений аэроупругой неустойчивости, наблюдения и фиксации их параметров. В экспериментах необходимо соблюсти подобие по числам Nw, Sc, а также значение числа Re >= 104.
15.4.3 Секционную модель необходимо выполнять в масштабе не менее 1:75, при этом отношение длины модели к ее ширине не должно быть меньше четырех. Степень загромождения поперечного сечения рабочей части моделью и системой подвесок не должна превышать 10%. Отступления от данных требований должны сопровождаться соответствующими обоснованиями, в том числе проверкой наличия автомодельности при обтекании.
15.4.4 Собственная частота секционной модели как тела на жестких опорах должна превышать частоту колебаний секционной модели на упругих подвесах испытательного стенда не менее чем в два раза.
15.4.5 Исследования на секционной модели рекомендуется проводить в диапазоне углов атаки

от минус 5° до плюс 5°. При ненулевых углах атаки допускается ограничивать максимальную скорость ветра в пересчете на натуру величиной

, где

определяется по
6.5.
15.4.6 Исследования на секционных моделях следует проводить в равномерном ламинарном потоке (интенсивность турбулентности

) и, при необходимости, равномерном турбулентном потоке. Интенсивность турбулентности потока назначается исходя из типа местности, высоты сооружения, прочих индивидуальных особенностей местности расположения сооружения. При отсутствии соответствующих изысканий интенсивность турбулентности следует назначать не более 7%. Для моделирования равномерного турбулентного потока с заданной степенью турбулентности рекомендуется использовать сетки.
15.4.7 При проведении исследований на секционных динамически-подобных моделях рекомендуется учитывать зависимость аэродинамических характеристик и диссипативных свойств от режима колебаний.
15.5 Полная динамически-подобная модель
15.5.1 Полная динамически-подобная модель используется для исследований явлений аэроупругой неустойчивости и их параметров для сооружения в целом и его отдельных элементов для вантовых, висячих и арочных мостов (для стадий эксплуатации и монтажа). В эксперименте необходимо соблюсти подобие по числам Nw, Sc, Ca, а также обеспечить во время проведения эксперимента значение числа Re >= 104.
15.5.2 Полная динамически-подобная модель должна быть выполнена в масштабе не менее 1:150. Отношение максимального размера (длины/высоты) полной динамически-подобной модели к соответствующему размеру (ширине/высоте) рабочей части аэродинамической трубы не должно превышать 0,85. Степень загромождения поперечного сечения рабочей части моделью не должна превышать 10%. Отступления от данных требований должно сопровождаться соответствующими обоснованиями, в том числе проверкой наличия автомодельности при обтекании потоком.
15.5.3 Исследования мостов, приведенных в
5.4 (кроме балочных на стадии монтажа и эксплуатации), на полной динамически-подобной модели должны проводиться для минимального набора углов скольжения, соответствующих направлению ветра вдоль моста и перпендикулярно к оси моста с учетом симметрии. Дополнительно рекомендуется проводить испытания для двух и более промежуточных углов скольжения при сложной форме пилонов вантовых и висячих мостов.
15.5.4 Для исследований явлений аэроупругой неустойчивости и их параметров для консолей на монтаже рекомендуется использовать полные динамически-подобные модели. При этом для симметричных относительно продольной оси консолей допускается ограничиваться углом скольжения

.
15.5.5 При испытаниях динамически-подобной модели отдельно-стоящего пилона вантовых и висячих мостов диапазон углов скольжения следует выбирать с учетом наличия симметрии пилона. При полном отсутствии симметрии следует осуществлять исследования в диапазоне углов скольжения

от 0° до 360°. Шаг по углу скольжения рекомендуется устанавливать равным 10°.
15.5.6 Исследования на полной динамически-подобной модели следует проводить в равномерном ламинарном потоке (степень турбулентности

) и градиентном турбулентном потоке (изменение по высоте средней составляющей скорости ветра и степени турбулентности определяется типом местности). Для балочных мостов и консолей на монтаже с периодом колебаний менее 5 с, расположенных в местности типа А, допускается ограничиться исследованиями в ламинарном потоке.
15.5.7 Проведение исследований на полной динамически-подобной модели рекомендуется проводить в ландшафтных аэродинамических трубах.
15.5.8 При наличии сложного окружающего рельефа (горные ущелья, холмы и т.д.) вблизи места строительства моста либо развитой городской застройки рекомендуется при проведении исследований воспроизвести отдельные части окружающего рельефа и застройки в виде геометрически подобных моделей.
15.6 При выполнении исследований рекомендуется выбирать масштаб скорости, который позволяет моделировать диапазон натурных скоростей от минимального из значений (

или 0,3
Vрасч).
15.7 Диапазон скоростей ветра для проведения исследований рекомендуется определять исходя из значения расчетной скорости в уровне сооружения
Vрасч и теоретической возможности развития отдельных явлений аэроупругой неустойчивости, но не менее 1,5
Vрасч.
15.8 При выполнении исследований скорость потока рекомендуется изменять от минимально возможной в соответствии с техническими характеристиками аэродинамической трубы до максимальной (согласно
15.7) с шагом ~= 5% от исследуемого диапазона скоростей. В случае возникновения на модели опасных колебаний шаг изменения скорости потока рекомендуется уменьшить до ~= 2% от исследуемого диапазона скоростей.
15.9 Перед началом проведения испытаний модели после ее установки на стенд или изменения ее конфигурации следует выполнить контрольное измерение частоты собственных колебаний и ЛДК модели, который следует определять при амплитудах, соответствующих максимальным амплитудам аэроупругих колебаний.
15.10 Меры по недопущению разрушения модели и подвески обеспечиваются ведущим по испытаниям.
15.11 Аэродинамические трубы для проведения физических испытаний должны быть аттестованы. Средства измерения должны иметь метрологические свидетельства о поверке.
(обязательное)
ПАРАМЕТРЫ СЕЧЕНИЯ БАЛКИ ЖЕСТКОСТИ
А.1 Характерную высоту балки жесткости H для расчета числа Струхаля принимают равной высоте сечения h без учета сквозных ограждающих конструкций. При наличии сплошных ограждающих конструкций, а также в случаях учета наличия автотранспортных средств на ПС, высоту для расчета числа Струхаля допускается принимать следующей: H = h + h0 согласно рисунку А.1.
1 - сквозные перильные ограждения; 2 - сквозные барьерные
ограждения; 3 - сплошные конструкции (парапеты, барьерные
ограждения); 4 - автотранспорт; 5 - шумозащитные
или грязезащитные экраны; B - ширина балки жесткости;
h - высота балки жесткости; h0 - высота
ограждающих конструкций проезжей части
Рисунок А.1 - Параметры сечения балки жесткости
(рекомендуемое)
МЕТОДИКА ОПРЕДЕЛЕНИЯ АМПЛИТУД ПРИ ВИХРЕВОМ ВОЗБУЖДЕНИИ
Б.1.1 В настоящем приложении приведена методика определения максимальных амплитуд колебаний Amax ПС балочных мостов при вихревом возбуждении на основании данных экспериментальных или численных исследований аэродинамических характеристик ПС. Методика позволяет также проводить приближенную оценку амплитуд колебаний при отсутствии полного набора аэродинамических характеристик ПС.
Б.2 Упрощенная методика определения амплитуд колебаний
Б.2.1 Допускается выполнять предварительный расчет относительной амплитуды

колебаний ПС в предположении, что:
- аэродинамическая нагрузка постоянна по длине пролета;
- коэффициент аэродинамического возбуждения
ca, число Струхаля Sh и ЛДК

не зависят от амплитуды колебаний.
Б.2.2 Расчет максимальной относительной амплитуды

проводят по упрощенной формуле

, (Б.1)
B,
H - характерные размеры поперечного сечения ПС, м, определяемые по
Б.3.1;
Sh - число Струхаля (см.
Б.4.9);
K - коэффициент модальной формы (см.
Б.4.2).
Б.2.3 При отсутствии экспериментальных данных camax допускается принимать равным 0,1.
Б.2.4 При невыполнении проверок по предельным состояниям согласно
разделу 7 при полученном значении амплитуды расчет следует продолжить по полной методике данного приложения.
Б.3.1 Характерные высоту
H и ширину
B определяют в соответствии с
приложением А. В случае многобалочного ПС без верхней ортотропной плиты размер
B складывается из соответствующих размеров
B1,
B2, ...,
Bn отдельных балок (
B =
B1 +
B2 + ... +
Bn).
Б.3.2 Как правило расчеты проводят для первой формы или для нескольких первых форм колебаний.
Б.3.3 Если поперечное сечение состоит из нескольких балок, то следует учитывать возможность образования нескольких областей скоростей ветра, опасных для вихревого возбуждения.
Б.3.4 Для достоверной оценки амплитуды колебаний ПС необходимо иметь, как минимум, исходные данные, полученные при испытаниях секционной динамически-подобной модели ПС в аэродинамической трубе: зависимости коэффициента аэродинамического возбуждения ca и числа Струхаля Sh от относительной амплитуды колебаний.
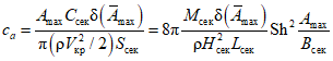
Б.3.5 Коэффициент аэродинамического возбуждения ca определяют на основании испытаний секционной модели по формуле

, (Б.2)
где Amax - максимальная амплитуда колебаний ПС при вихревом возбуждении, м;
Cсек - жесткость подвески, Н/м;

- ЛДК секционной модели, значение которого необходимо принимать при данной

;

- плотность воздушного потока в эксперименте, кг/м
3;
Vкр - критическая скорость, соответствующая

, м/с;
Sсек - площадь секционной модели в плане, м2;
Mсек - масса модели с приведенной массой упругих элементов, кг;
Hсек - высота секционной модели, м;
Lсек - длина секционной модели, м;
Bсек - ширина секционной модели, м.
Коэффициенты ca приведены к площади ПС в плане, а числа Струхаля Sh - к характерной высоте ПС.
ЛДК при проведении экспериментов должен целенаправленно изменяться от минимально достижимого значения 0,005...0,01 до 0,05...0,1.
Коэффициенты
ca должны рассчитываться при значениях ЛДК, соответствующих относительной амплитуде колебаний

в каждом конкретном опыте.
Для повышения точности расчетов амплитуд колебаний натурного сооружения рекомендуется проводить исследования по определению распределения зависимости коэффициента корреляции
R пульсаций подъемной силы по длине модели от относительной амплитуды колебаний

.
Б.3.6 Для каждой собственной формы колебаний с функцией формы

ПС делят на участки [
z0,i,
z0,i +
Li] между узлами формы (см.
рисунок Б.1) с длинами
Li. Функция

должна быть нормирована по максимальному прогибу

, достигаемому, как правило, на участке с максимальной длиной
Lmax. На участках определяют координаты
zmax,i экстремумов собственной формы и соответствующие им максимальные прогибы

.
Типовые схемы ПС с несколькими пролетами приведены на рисунке Б.1.
собственные формы вертикальных колебаний:
а - по 1-й частоте; б - по 2-й частоте;
в - ПС с консольной частью
Рисунок Б.1 - Расчетные схемы балочных
ПС для определения амплитуд колебаний
Для ускоренной предварительной оценки амплитуды колебаний многопролетного ПС рекомендуется рассчитать вначале только один пролет максимальной длины.
Б.4 Определение амплитуды колебаний
Б.4.1 Максимальную относительную амплитуду колебаний ПС

вычисляют по формуле

, (Б.3)
где B, H - характерные размеры поперечного сечения ПС, м;
K - коэффициент модальной формы (см.
Б.4.2);

- эффективный коэффициент аэродинамического возбуждения (см.
Б.4.3);
Sh - число Струхаля (см.
Б.4.9);
Коэффициент

, число Струхаля и ЛДК в общем случае являются функциями относительной амплитуды колебаний, поэтому
формулу (Б.3) рекомендуется решать методом последовательных приближений.
Б.4.2 Коэффициент
K рассчитывают по формуле

. (Б.4)
В первом приближении коэффициент принимают по таблице Б.1.
Таблица Б.1
Значения коэффициента в частных случаях
Тип конструкции | Коэффициент K |
Однопролетная балка постоянного сечения | |
Многопролетная балка | ~= 0,13 |
Секционная модель | |
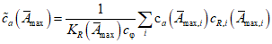
Б.4.3 Коэффициент

рассчитывают по формуле

, (Б.5)
где

- максимальная относительная амплитуда колебаний на
i-ом участке ПС, вычисляемая по формуле

, (Б.6)
KR - коэффициент, учитывающий корреляцию пульсаций силы на секционной модели ПС (см.
Б.4.4);

- коэффициент, учитывающий форму колебаний (см.
Б.4.5);
ca - коэффициент аэродинамического возбуждения на
i-ом участке ПС (см.
Б.4.7);
cR,i - коэффициент, учитывающий корреляцию пульсаций подъемной силы на
i-ом участке ПС (см.
Б.4.6).
В
формуле (Б.5) суммирование по
i ведется по всем участкам ПС между узлами собственной формы колебаний.
Б.4.4 Коэффициент

при наличии опытных данных рассчитывают по формуле

, (Б.7)
где

- удлинение секционной модели (если удлинение модели неизвестно, то для оценки рекомендуется принимать

);

[
s - координата, отсчитываемая от центра секционной модели, при продувках которой определяется зависимость

, м];

- коэффициент корреляции пульсаций подъемной силы вдоль пролета (для секционной модели в качестве

принимают

).
При отсутствии опытных данных

коэффициент

рекомендуется рассчитывать по формуле

, (Б.8)
Б.4.5 Коэффициент

рассчитывают по формуле

, (Б.9)
где

- удлинение ПС;

- относительная координата вдоль ПС;

- величина, полученная из

заменой аргумента
z на

.
В первом приближении коэффициент

принимают по таблице Б.2.
Таблица Б.2
Рекомендуемые значения коэффициента

в частных случаях
Тип конструкции | Коэффициент  |
Однопролетная балка постоянного сечения | |
Секционная модель | |
Б.4.6 Коэффициент

рассчитывают по формуле

, (Б.10)
где

и

- относительные координаты начальной точки
i-го участка и экстремума собственной формы на
i-м участке соответственно
(рисунок Б.1);

- удлинение
i-го участка ПС.
При отсутствии опытных данных по

рекомендуется использовать формулу

. (Б.11)
Для однопролетной балки постоянного сечения и 1-й формы колебаний коэффициент cR,1 рассчитывают по формуле

, (Б.12)
где функция

определяется выражением

. (Б.13)
Для ПС, имеющего на разных участках различные поперечные сечения (например, консоль на стадии монтажа), отличающиеся друг от друга критическими скоростями вихревого возбуждения, следует выполнять расчеты

отдельно от возбуждения колебаний каждым из участков, а коэффициент
cR,i [формула (Б.10)] при этом определяется интегрированием только по рассматриваемому участку (

- координата середины рассматриваемого участка).
Решетчатый аванбек, а также аванбек со сплошной стенкой, перфорированной отверстиями при коэффициенте сплошности 0,85 и менее, не считаются участками, возбуждающими колебания. При наличии на консоли аванбека со сплошной стенкой переменной высоты при отсутствии перфораций или при коэффициенте сплошности более 0,85 следует выполнять физические аэродинамические исследования.
Б.4.7 Зависимость

определяют при аэродинамических исследованиях. Для некоторых поперечных сечений данные приведены в таблице Б.3.
Таблица Б.3
Зависимости для некоторых поперечных сечений
при нулевом угле атаки
Поперечное сечение | Данные по  |
Прямоугольное, B/H = 1/3 | |
Прямоугольное, B/H = 2/3 | |
Коробчатой балки, B/H = 3/4 | |
Квадратное, B/H = 1 | |
С тремя коробчатыми балками (без плиты), B/H = 2,25 Для данного типа сечения существует три резонансные области, каждой из которых соответствует своя критическая скорость (см. Б.4.11) | а |
б |
в |
Трапециевидное сечение с плитой, B/H = 3,98 | |
Прямоугольное сечение с плитой, B/H = 3,98 | |
Трапециевидное сечение с плитой, B/H = 5,58 | |
Б.4.8 При отсутствии данных о ЛДК ПС следует принимать для расчетов линейную зависимость ЛДК от

:

, (Б.14)
где

- ЛДК при околонулевой амплитуде колебаний;

- коэффициент, учитывающий зависимость ЛДК от относительной амплитуды колебаний, определяемый по формуле

, (Б.15)
где

- коэффициент формы колебаний;
Kкон - коэффициент, характеризующий демпфирующие свойства материала и особенности конструкции ПС;
Kсеч - коэффициент формы поперечного сечения;

- удлинение ПС.
Коэффициент

рассчитывают по формуле

, (Б.16)
где

- обезразмеренная по длине ПС координата;

- величина, получаемая из

заменой аргумента
z на

;

.
Например, для двухопорной балки постоянного сечения коэффициент

рассчитывают по формуле

, (Б.17)
где k - номер формы колебаний.
Значения Kкон следует принимать:
- 1800 для многопролетного ПС в проектном положении;
- 1300 для ПС с консолью на стадии монтажа.
Для типовых ПС Kсеч ~= 0,48, не зависит от абсолютных размеров и слабо зависит от соотношения толщин стенок.
При малых амплитудах значение

следует принимать равным

и определять по
таблице 2 настоящего стандарта.
Б.4.9 Следует учитывать различие критических скоростей ветра при максимальной амплитуде колебаний
Vкр и для неподвижной модели
Vкр0, а также соответствующих чисел Струхаля Sh =
fH/
Vкр и Sh
0 =
fH/
Vкр0 (см. рисунок Б.2).
Рисунок Б.2 - Влияние демпфирования
на амплитудно-скоростную характеристику модели
Допускается использовать следующую зависимость

:

, (Б.18)
где KV - коэффициент линейной зависимости приведенной критической скорости ветра от максимальной амплитуды.
Соответственно число Струхаля Sh в зависимости от амплитуды колебаний вычисляют по формуле

. (Б.19)
Данные о параметрах Sh
0,

и
KV некоторых типовых поперечных сечений представлены в таблице Б.4.
Таблица Б.4
Поперечное сечение | Sh0 | | KV |
Прямоугольное | B/H = 1/3 | 0,130 | 7,68 | 0,20 |
Прямоугольное | B/H = 2/3 | 0,127 | 7,85 | 0,48 |
Коробчатой балки | 0,131 | 7,63 | 0,91 |
Квадратное | 0,131 | 7,61 | 2,2 |
С тремя коробчатыми балками (без плиты) | а | 0,090 | 10,0 | 0,19 |
б | 0,087 | 11,5 | 0 |
в | 0,15 | 6,7 | 1,43 |
Трапециевидное с плитой | B/H = 3,98 | 0,118 | 8,44 | 1,6 |
Прямоугольное с плитой | B/H = 3,98 | 0,112 | 8,93 | 0 |
Трапециевидное с плитой | B/H = 5,58 | 0,103 | 9,71 | 0 |
Если имеется единственное значение коэффициента
ca при известных амплитуде

и числе Струхаля Sh, то расчеты носят оценочный характер. В этом случае рекомендуется принимать
KV = 0, известное значение Sh использовать в качестве Sh
0. ЛДК принимают по
Б.4.8.
При отсутствии экспериментальных данных число Струхаля для расчета
Vкр допускается принимать по
рисунку 3, а для расчета амплитуды по
формуле (Б.1) данное число Струхаля умножается на коэффициент 0,85.
Б.4.10 Определение амплитуды

по
формуле (Б.3) рекомендуется проводить с учетом положений данного пункта.

. (Б.20)
Вначале проводят локализацию корней. Для этого следует, задаваясь рядом значений

, построить по
формуле (Б.20) зависимость
(рисунок Б.3). По графику находят примерное значение корня и при необходимости уточняют его, например методом половинного деления.
При

может наблюдаться множественность решений (линия
2 на
рисунке Б.3). В этом случае определяют больший корень.
Если
ca (0) ~= 0, то существует некоторая критическая величина ЛДК

, такая, что при

колебания вообще не возникают (т.е. отсутствует решение

- линия
3 на
рисунке Б.3). Формула для определения

имеет вид

. (Б.21)
Рисунок Б.3 - Графическое отображение
Если в процессе расчета
ca выходит за границы экспериментальной зависимости

, то экстраполяция недопустима. В этом случае необходимы дополнительные исследования для расширения указанных границ.
Б.4.11 Если ПС имеет поперечное сечение с несколькими зависимостями

при разных числах Струхаля Sh, то аналогичные расчеты амплитуды колебаний проводят для всех зависимостей

и соответствующих им чисел Sh.
(рекомендуемое)
УПРОЩЕННАЯ МЕТОДИКА ОПРЕДЕЛЕНИЯ
АМПЛИТУД ПРИ ВИХРЕВОМ ВОЗБУЖДЕНИИ
В.1 Методика основана на следующих допущениях:
- аэродинамическая нагрузка распределена по длине пролета пропорционально форме колебаний;
- коэффициент аэродинамического возбуждения

, число Струхаля Sh и ЛДК постоянны.
В.2 Усилия в конструкции с постоянной по длине формой сечения при вихревом возбуждении
Q(
z) следует определять из расчета на воздействие сил инерции при колебаниях ПС, представленных неравномерно распределенной нагрузкой, по формуле

, (В.1)
где

- амплитудное значение возбуждающей аэродинамической силы на единицу длины ПС, при

, Н/м;
m(z) - погонная масса, кг/м;

- ЛДК;
me - эквивалентная погонная масса, определяемая по
14.2, кг/м;

- форма колебаний, у которой

;
f - частота собственных колебаний, Гц;
H - характерная высота балки жесткости, определяемая в соответствии с
приложением А, м;

- коэффициент аэродинамического возбуждения, приведенный к фронтальной площади по
В.5;
Sh - число Струхаля, принимаемое по
В.5.
Коэффициенты

и
ca связаны соотношением

. (В.2)
Если погонная масса m(z) вблизи опоры (на расстоянии 1/5 от длины соседних пролетов) не превышает более чем в два раза погонную массу в центре пролета, то нагрузку Q(z) допускается вычислять по формуле

. (В.3)
В.3 Амплитуду колебаний следует определять как перемещения, вызванные инерционной нагрузкой, в соответствии с
В.2.
Максимальную амплитуду колебаний при вихревом возбуждении для конструкций, указанных в
В.2, в сечении

допускается вычислять по формуле

, (В.4)
где Sh - число Струхаля, принимаемое по
В.5;
Sc - число Скрутона, определяемое по
14.1.
В.4 Для консоли, образующейся при навесной сборке или продольной надвижке и имеющей участки различного сечения, следует рассмотреть возможность вихревого возбуждения для каждого из участков.
Амплитуду колебаний консоли следует определять по результатам динамического расчета на воздействие аэродинамических сил, распределенных по длине соответствующего участка. Интенсивность аэродинамических сил вычисляют по формуле

, (В.5)
где f - собственная частота вертикальных колебаний, Гц.
Расчет следует выполнять до достижения установившихся резонансных колебаний.
Для консолей без аванбека, имеющих на конце участок без плит, амплитуду колебаний, возбуждаемых этим участком, допускается вычислять по приближенной формуле

, (В.6)
где Lу - длина участка на конце консоли, м;
Lк - полная длина консоли, м;
Sc, Sh - числа Скрутона и Струхаля для участка на конце консоли;

- коэффициент аэродинамического возбуждения для участка на конце консоли, приведенный к фронтальной площади по В.5.
В.5 Коэффициент аэродинамического возбуждения

для ПС на стадии эксплуатации при отсутствии экспериментальных данных допускается принимать равным 0,5. Для участков консоли с убранными плитами или аванбека с балками со сплошной стенкой коэффициент

допускается приближенно принимать равным 1,0.
При отсутствии экспериментальных данных, для учета влияния индивидуальных особенностей аэродинамического профиля поперечного сечения, допускается число Струхаля для определения амплитуды и инерционной нагрузки принимать равным 0,85 от значения, определяемого по
рисунку 3.
Для участков консоли с убранными плитами или аванбека с балками со сплошной стенкой при отсутствии экспериментальных данных допускается приближенно принимать Sh равным 0,15.
Допускается уточнять значения числа Струхаля Sh и коэффициента

по данным испытаний динамически-подобной секционной модели. При этом величину

вычисляют по формуле

, (В.7)
где Mсек - масса секционной модели и приведенная масса упругих подвесок, кг;
Hсек и Lсек - высота и длина секционной модели соответственно, м;

- ЛДК секционной модели;
Sh - экспериментально определенное число Струхаля;
Amax - максимальная амплитуда установившихся колебаний при вихревом возбуждении, м.
(справочное)
РЕКОМЕНДАЦИИ ПО ПОДБОРУ СРЕДСТВ ГАШЕНИЯ КОЛЕБАНИЙ
Г.1 Общие положения, способы гашения колебаний
Г.1.1 В настоящем разделе приведены основные принципы и классификация способов гашения аэроупругих колебаний ПС мостов в ветровом потоке на стадиях эксплуатации и монтажа.
Г.1.2 Применение средств гашения колебаний позволяет существенно снизить амплитуды колебаний либо полностью исключить возможность развития негативных аэроупругих явлений.
Г.1.3 Гашение колебаний мостовых конструкций обеспечивается следующими способами:
а) аэродинамическими;
б) механическими:
1) конструкционными;
2) конструктивными;
3) динамическими;
в) комбинированными (аэродинамическими и механическими).
Г.1.4 При выборе средств гашения колебаний рекомендуется использовать аэродинамические способы. В исключительных случаях допускается применение механических способов, при этом следует обеспечить надежность применяемых механических устройств в течение всего срока эксплуатации мостового сооружения и регулярный эксплуатационный контроль их состояния.
Г.2 Аэродинамическое гашение колебаний
Г.2.1 Аэродинамическое гашение колебаний заключается в изменении характера обтекания сооружений или их отдельных элементов ветровым потоком.
Г.2.2 Один из основных принципов аэродинамического гашения - формирование такой структуры потока, при которой будет исключено или значительно ослаблено периодическое вихреобразование, т.е. будет размыт четкий пик на спектре пульсаций давления в окрестности тела, снижена корреляция пульсаций аэродинамической силы по длине строения, устранена возможность существования многовариантности структур течения. Для этого необходимо двухмерную вихревую пелену за плохообтекаемым телом превратить в трехмерную структуру.
Г.2.3 Рекомендуется:
- придавать поперечным сечениям конструктивных элементов мостов (ПС, пилоны и т.д.) удобообтекаемые формы;
- для балок жесткости ПС применять законцовки сечения специальных форм (обтекатели), дефлекторы в нижней части, устанавливаемые с разрывами (см.
рисунок Г.1);
- в качестве несущих балок (ферм) использовать конструкции с решетчатыми (перфорированными) стенками;
- для многобалочных мостов принимать во внимание и избегать следующие неблагоприятные расположения балок: для двухбалочных L1/H ~= 3 - 6 и L1/H > 7, для трехбалочных L1/H > 3 (где L1 - расстояние между осями балок, H - высота поперечного сечения ПС).
Рисунок Г.1 - Схема поперечного сечения моста
с законцовками (обтекателями) и дефлекторами
Г.2.4 В качестве перильного и барьерного ограждений для стадии эксплуатации возможно применение перфорированных щитов, перил или элементов малых форм, сплошных щитов с разрывами. Окончательный подбор проницаемости и прочих геометрических параметров аэродинамических гасителей и подтверждение их эффективности должны проводиться в процессе физических исследований в аэродинамических трубах.
Г.2.5 Аэродинамические устройства для гашения колебаний должны удовлетворять следующим требованиям:
- обеспечение высокой эффективности во всем диапазоне возможных скоростей ветра;
- сохранение виброгасящих свойств при любых направлениях ветра, т.е. симметричное расположение устройств для гашения относительно продольной оси ПС;
- незначительное увеличение лобового сопротивления конструкции для исключения возникновения колебаний в горизонтальной плоскости;
- отсутствие статической составляющей подъемной силы при нулевом угле атаки для исключения вертикальных колебаний конструкции от горизонтальных порывов ветра;
- сами устройства не должны быть подвержены заметным аэроупругим колебаниям;
- минимально возможные габариты и вес устройств;
- устройства не должны быть причиной снегонакопления;
- устройства не должны затруднять процесс монтажа;
- желательно, чтобы шаг размещения устройств по длине строения был согласован с шагом силовых элементов для унификации узлов крепления;
- технологичность при изготовлении и монтаже устройств.
Г.2.6 Для балочных мостов высокую эффективность гашения колебаний, особенно на стадии монтажа, показывают щитки, дефлекторы и интерцепторы (см. рисунок Г.2). Данные устройства допускается использовать по отдельности или совместно друг с другом или с обтекателями.
1 - щиток; 2 - дефлектор; 3 - интерцептор
Рисунок Г.2 - Аэродинамические устройства гашения
колебаний для стадии монтажа (ПС без ортотропных плит)
Г.2.7 Для каждой разновидности аэродинамических гасителей колебаний существует широкий диапазон геометрических параметров, таких как ширина устройства и зубцов, высота устройства и зубцов, угол наклона, превышение над поверхностью балки и т.п.
Г.2.8 Виды механических способов гашения колебаний:
- к конструкционному демпфированию относится установка демпфирующих устройств в опорных узлах и опорных частях, использование вибропоглощающих покрытий и сплавов с повышенными демпфирующими свойствами;
- конструктивные способы гашения колебаний включают изменение расчетной схемы конструкции, установку дополнительных опорных точек или оттяжек, изменение изгибной или крутильной жесткости демпфируемой конструкции;
- динамическое гашение колебаний заключается в присоединении к основной колеблющейся массе дополнительной массы, составляющей незначительную долю основной.
Г.2.9 Динамические методы демпфирования колебаний могут осуществляться с помощью настраиваемых масс (TMD) (см. рисунки Г.3,
Г.4), жидкостных демпферов (TLD) и вязко-упругих демпферов. Параметры гасителей должны настраиваться под конкретное сооружение.
1 - пружина; 2 - масса; 3 - демпфер
Рисунок Г.3 - Динамический
гаситель колебаний (TMD - демпфер)
1 - ванта; 2 - гибкий стержень (трос) с грузами на концах
Рисунок Г.4 - Конструкция динамического
гасителя колебаний типа Stockbridge damper
(рекомендуемое)
СХЕМЫ РАСПОЛОЖЕНИЯ ТРАНСПОРТА НА ПРОЛЕТНОМ СТРОЕНИИ
Д.1 В настоящем приложении приведены рекомендуемые к учету при аэродинамических исследованиях схемы расположения транспортных средств на ПС.
Д.2 Наиболее неблагоприятное положение транспортных средств с точки зрения риска возникновения явления галопирования приведено на рисунке Д.1.
1 - колонна, составленная преимущественно
из грузовых транспортных средств
Рисунок Д.1 - Расчетное расположение транспорта
с наветренной стороны для исследования галопирования
Д.3 Наиболее неблагоприятное расположение транспортных средств для вихревого возбуждения приведено на рисунке Д.2.
1 - колонна, составленная преимущественно
из грузовых транспортных средств
Рисунок Д.2 - Расчетное расположение
транспорта с подветренной стороны
для исследования вихревого возбуждения
Д.4 Для многополосных мостовых сооружений рекомендуется учитывать колонны легковых транспортных средств, расположенных на внутренних полосах в дополнение к колоннам грузовых транспортных средств на внешних полосах.
Д.5 При аэродинамических исследованиях моделей двух близкорасположенных мостовых сооружений следует учитывать загружение наветренного мостового сооружения (со стороны которого дует ветер) колоннами транспортных средств, расположенных на всех полосах (см. рисунок Д.3). Также рекомендуется учитывать одновременное загружение двух ПС транспортом.
1 - колонна, составленная преимущественно
из грузовых транспортных средств; 2 - колонна, составленная
преимущественно из легковых транспортных средств
Рисунок Д.3 - Расположение транспорта
на двух близко расположенных ПС
Д.6 Схемы расположения транспортных средств в колонне по
Д.2,
Д.3,
Д.5 рекомендуется принимать согласно рисункам Д.4 и
Д.5. Допускается принимать колонну транспортных средств, составленную только из грузовых транспортных средств с габаритами, приведенными на
рисунке Д.5а.
Рисунок Д.4 - Рекомендуемая схема
транспорта в полосе движения
Д.7 При многополосном движении допускается комбинировать колонны, составленные преимущественно или полностью из грузовых транспортных средств, расположенных на крайних полосах, и колонны, составленные преимущественно или полностью из легковых транспортных средств.
Рисунок Д.5 - Рекомендуемые схемы
различных видов транспортных средств
(справочное)
ОБЩАЯ СХЕМА ТРЕБОВАНИЙ К ИССЛЕДОВАНИЮ
АЭРОУПРУГОЙ УСТОЙЧИВОСТИ МОСТОВЫХ СООРУЖЕНИЙ
Физические исследования на динамически подобных моделях проводятся также:
- в случае трехмерного характера обтекания потоком воздуха поперечного сечения исследуемого конструктивного элемента;
- для подтверждения эффективности аэродинамических средств гашения колебаний;
- для параллельных близко расположенных мостовых сооружений (в случае возможности развития бафтинга).
Рисунок Е.1 - Общая схема требований к исследованию
аэроупругой устойчивости мостовых сооружений
(справочное)
ПАРАМЕТРЫ ВЕТРОВОГО ПОТОКА
Ж.1 Плотность воздуха в общем случае зависит от высоты, температуры и давления; допускается принимать

согласно
ГОСТ 4401.
Ж.2 Базовое значение скорости ветра
Vb, вычисляют по формуле

, (Ж.1)
где
w0 - нормативное значение ветрового давления, Па, соответствующее периоду повторяемости 5 лет, принимаемое по
СП 20.13330.2016;

- плотность воздуха, кг/м
3, принимаемая по
Ж.1.
Ж.3 Базовую скорость ветра допускается определять на основании данных метеорологических изысканий. В случае, когда скорости ветра по данным метеорологических изысканий представлены для периода повторяемости 50 лет, базовую скорость ветра следует вычислять по формуле

, (Ж.2)
где

- вероятностный коэффициент перехода от периода повторяемости 50 лет к периоду повторяемости 5 лет, вычисляемый согласно
Ж.5. При метеорологических данных, приведенных с иной повторяемостью, следует принимать соответствующие параметры в расчете коэффициента
Cprob.
Ж.4 Нормативную скорость ветра в уровне конструкции
Vn допускается вычислять по формуле
Vn = kv(y)Vb (Ж.3)
где
kv(
y) - коэффициент профиля скорости на высоте
y, соответствующей уровню конструкции, принимаемый по
Ж.6;
Vb - базовое значение скорости ветра, м/с, принимаемое по
Ж.2 или
Ж.3.
Ж.5 Вероятностный коэффициент перехода от скорости ветра с вероятностью ежегодного превышения
p0 (период повторяемости
n0 лет, где
n0 = 1/
p0) к скорости ветра с вероятностью ежегодного превышения
p (период повторяемости
n лет, где
n = 1/
p) вычисляют по формуле

. (Ж.4)
Ж.6 Коэффициенты профиля скорости рассчитывают согласно степенному закону изменения скорости по высоте по формуле

, (Ж.5)
где y - расстояние от нижней поверхности балки жесткости до уровня земли или проектного уровня воды, м;
Коэффициент профиля скорости на высоте y допускается вычислять по формуле

, (Ж.6)
где
k(
y) - коэффициент изменения ветрового давления по высоте, принимаемый по
СП 20.13330.2016.
Ж.7 Расчетную скорость ветра Vрасч в уровне конструкции требуемой вероятности ежегодного превышения p допускается вычислять по формуле

, (Ж.7)
где
Vn - нормативная скорость ветра, м/с, принимаемая по
Ж.4;

- вероятностный коэффициент перехода от вероятности ежегодного превышения 20% (период повторяемости 5 лет) к вероятности ежегодного превышения
p (период повторяемости
n = 1/
p), вычисляемый согласно
Ж.5.
Ж.8 Коэффициент надежности

к ветровому давлению (основной ветровой нагрузке) допускается определять в зависимости от периода повторяемости расчетной скорости ветра и соответствующей ему вероятности ежегодного превышения по формуле

, (Ж.8)
где

- вероятностный коэффициент, определяемый по
Ж.5.
| | Методические рекомендации по оценке аэродинамических характеристик сечений пролетных строений мостов |
УДК 624.21:006.354 | |
Ключевые слова: мостовые сооружения, аэродинамика, аэроупругая устойчивость |