Главная // Актуальные документы // ГОСТ Р (Государственный стандарт)СПРАВКА
Источник публикации
М.: ФГБУ "РСТ", 2022
Примечание к документу
Документ
введен в действие с 01.01.2023.
Название документа
"ГОСТ Р 70321.6-2022. Национальный стандарт Российской Федерации. Технологии искусственного интеллекта для обработки данных дистанционного зондирования Земли. Алгоритмы искусственного интеллекта для распознавания объектов дорожно-транспортной сети на космических снимках, получаемых с космических аппаратов оптико-электронного наблюдения. Типовая методика проведения испытаний"
(утв. и введен в действие Приказом Росстандарта от 28.10.2022 N 1209-ст)
"ГОСТ Р 70321.6-2022. Национальный стандарт Российской Федерации. Технологии искусственного интеллекта для обработки данных дистанционного зондирования Земли. Алгоритмы искусственного интеллекта для распознавания объектов дорожно-транспортной сети на космических снимках, получаемых с космических аппаратов оптико-электронного наблюдения. Типовая методика проведения испытаний"
(утв. и введен в действие Приказом Росстандарта от 28.10.2022 N 1209-ст)
Утвержден и введен в действие
Приказом Федерального
агентства по техническому
регулированию и метрологии
от 28 октября 2022 г. N 1209-ст
НАЦИОНАЛЬНЫЙ СТАНДАРТ РОССИЙСКОЙ ФЕДЕРАЦИИ
ТЕХНОЛОГИИ ИСКУССТВЕННОГО ИНТЕЛЛЕКТА ДЛЯ ОБРАБОТКИ
ДАННЫХ ДИСТАНЦИОННОГО ЗОНДИРОВАНИЯ ЗЕМЛИ
АЛГОРИТМЫ ИСКУССТВЕННОГО ИНТЕЛЛЕКТА ДЛЯ РАСПОЗНАВАНИЯ
ОБЪЕКТОВ ДОРОЖНО-ТРАНСПОРТНОЙ СЕТИ НА КОСМИЧЕСКИХ
СНИМКАХ, ПОЛУЧАЕМЫХ С КОСМИЧЕСКИХ АППАРАТОВ
ОПТИКО-ЭЛЕКТРОННОГО НАБЛЮДЕНИЯ
ТИПОВАЯ МЕТОДИКА ПРОВЕДЕНИЯ ИСПЫТАНИЙ
Artificial intelligence technologies for processing of Earth
remote sensing data. Artificial intelligence algorithms
for recognition of objects of road networks on satellite
images obtained from optical-electronic observation
satellites. Typical testing procedure
ГОСТ Р 70321.6-2022
Дата введения
1 января 2023 года
1 РАЗРАБОТАН Федеральным государственным автономным образовательным учреждением высшего образования "Национальный исследовательский университет "Высшая школа экономики" (НИУ ВШЭ) и Обществом с ограниченной ответственностью "ГЕОАЛЕРТ" (ООО "ГЕОАЛЕРТ")
2 ВНЕСЕН Техническим комитетом по стандартизации ТК 164 "Искусственный интеллект"
3 УТВЕРЖДЕН И ВВЕДЕН В ДЕЙСТВИЕ Приказом Федерального агентства по техническому регулированию и метрологии от 28 октября 2022 г. N 1209-ст
4 ВВЕДЕН ВПЕРВЫЕ
Правила применения настоящего стандарта установлены в статье 26 Федерального закона от 29 июня 2015 г. N 162-ФЗ "О стандартизации в Российской Федерации". Информация об изменениях к настоящему стандарту публикуется в ежегодном (по состоянию на 1 января текущего года) информационном указателе "Национальные стандарты", а официальный текст изменений и поправок - в ежемесячном информационном указателе "Национальные стандарты". В случае пересмотра (замены) или отмены настоящего стандарта соответствующее уведомление будет опубликовано в ближайшем выпуске ежемесячного информационного указателя "Национальные стандарты". Соответствующая информация, уведомление и тексты размещаются также в информационной системе общего пользования - на официальном сайте Федерального агентства по техническому регулированию и метрологии в сети Интернет (www.rst.gov.ru)
Настоящий стандарт входит в серию стандартов "Технологии искусственного интеллекта для обработки данных дистанционного зондирования Земли".
Настоящий стандарт развивает положения
ГОСТ Р 59898 применительно к оценке функциональной корректности алгоритмов искусственного интеллекта для распознавания объектов дорожно-транспортной сети на космических снимках по ГОСТ Р 59753-2021
(статья 32), получаемых с космических аппаратов оптико-электронного наблюдения в видимом и ближнем инфракрасном диапазонах.
Распознавание объектов дорожно-транспортной сети может проводиться, например:
- при территориальном планировании, землепользовании и застройке
[1];
- планировке и застройке городских и сельских поселений по
СП 42.13330;
- благоустройстве территорий поселений, городских округов, внутригородских районов
[2];
- благоустройстве территорий муниципальных образований
[3].
Настоящий стандарт разработан в целях унификации методов испытаний при оценке функциональной корректности алгоритмов искусственного интеллекта для распознавания объектов дорожно-транспортной сети на космических снимках.
Настоящий стандарт распространяется на алгоритмы искусственного интеллекта для распознавания объектов дорожно-транспортной сети (далее - алгоритмы ИИ) на космических снимках по ГОСТ Р 59753-2021
(статья 32), получаемых с космических аппаратов оптико-электронного наблюдения в видимом и ближнем инфракрасном диапазонах (далее - снимки).
Настоящий стандарт устанавливает типовую методику проведения испытаний при оценке функциональной корректности по ГОСТ Р 59898-2021
(8.2.3).
Примечание - В контексте настоящего стандарта под алгоритмами ИИ понимают алгоритмы на основе машинного обучения.
Настоящий стандарт может быть применен при испытаниях алгоритмов ИИ при проведении оценки соответствия первой, второй или третьей сторонами по
ГОСТ ISO/IEC 17000.
Настоящий стандарт также может быть применен при автономных предварительных и приемочных испытаниях по
ГОСТ Р 59792 алгоритмов ИИ, входящих в состав автоматизированных систем.
Настоящий стандарт предназначен для применения всеми организациями, участвующими в испытаниях алгоритмов ИИ, независимо от их вида и размера.
Типовая методика проведения испытаний алгоритмов ИИ для определения типов объектов дорожно-транспортной сети на снимках установлена в
ГОСТ Р 70321.7.
В настоящем стандарте использованы нормативные ссылки на следующие документы:
ГОСТ 19.301 Единая система программной документации. Программа и методика испытаний. Требования к содержанию и оформлению
ГОСТ Р 52438 Географические информационные системы. Термины и определения
ГОСТ Р 59276 Системы искусственного интеллекта. Способы обеспечения доверия. Общие положения
ГОСТ Р 59753-2021 Данные дистанционного зондирования Земли из космоса. Термины и определения
ГОСТ Р 59754-2021 Данные дистанционного зондирования Земли из космоса. Обработка данных дистанционного зондирования Земли из космоса. Термины и определения
ГОСТ Р 59792 Информационные технологии. Комплекс стандартов на автоматизированные системы. Виды испытаний автоматизированных систем
ГОСТ Р 59795-2021 Информационные технологии. Комплекс стандартов на автоматизированные системы. Автоматизированные системы. Требования к содержанию документов
ГОСТ Р 70321.7 Технологии искусственного интеллекта для обработки данных дистанционного зондирования Земли. Алгоритмы искусственного интеллекта для определения типов объектов дорожно-транспортной сети на космических снимках, получаемых с космических аппаратов оптико-электронного наблюдения. Типовая методика проведения испытаний
СП 42.13330 Градостроительство. Планирование и застройка городских и сельских поселений
Примечание - При пользовании настоящим стандартом целесообразно проверить действие ссылочных стандартов (сводов правил) в информационной системе общего пользования - на официальном сайте Федерального агентства по техническому регулированию и метрологии в сети Интернет или по ежегодному информационному указателю "Национальные стандарты", который опубликован по состоянию на 1 января текущего года, и по выпускам ежемесячного информационного указателя "Национальные стандарты" за текущий год. Если заменен ссылочный документ, на который дана недатированная ссылка, то рекомендуется использовать действующую версию этого документа с учетом всех внесенных в данную версию изменений. Если заменен ссылочный документ, на который дана датированная ссылка, то рекомендуется использовать версию этого документа с указанным выше годом утверждения (принятия). Если после утверждения настоящего стандарта в ссылочный документ, на который дана датированная ссылка, внесено изменение, затрагивающее положение, на которое дана ссылка, то это положение рекомендуется применять без учета данного изменения. Если ссылочный документ отменен без замены, то положение, в котором дана ссылка на него, рекомендуется применять в части, не затрагивающей эту ссылку. Сведения о действии сводов правил целесообразно проверить в Федеральном информационном фонде стандартов.
4.1 Объектами испытаний являются алгоритмы ИИ.
4.2 Стадии жизненного цикла, на которых проводят испытания алгоритмов ИИ, и группы лиц, осуществляющие тестирование, - по ГОСТ Р 59898-2021
(раздел 6).
4.3 Общие принципы и порядок испытаний алгоритмов ИИ - по ГОСТ Р 59898-2021
(раздел 7) с дополнениями, приведенными в настоящем стандарте.
5 Подготовительные работы
5.1 Перед проведением испытаний алгоритмов ИИ заказчикам испытаний рекомендуется установить (не ограничиваясь):
- перечень существенных факторов (внешних воздействий), оказывающих влияние на работу алгоритмов ИИ (далее - существенные факторы) и статистические характеристики их распределений;
- требования к квалификации экспертов, выполняющих разметку снимков для тестовых наборов данных (при необходимости);
- целесообразность проведения валидации разметки тестовых наборов данных и анонимизации снимков для тестовых наборов данных;
- показатели для оценки функциональной корректности алгоритмов ИИ и их критериальные пороги.
Перед проведением оценки качества СИИ необходимо удостовериться в отсутствии существенных различий между средой проведения тестирования и средой эксплуатации, т.е. убедиться, что потенциальные различия не влияют на надежность, валидность и репрезентативность результатов тестирования. |
Примечание - СИИ - системы искусственного интеллекта.
5.2 Подготовительные работы - по ГОСТ Р 59898-2021
(7.2.1) с дополнениями, приведенными в настоящем стандарте.
5.3 Требования к тестовым наборам данных - по ГОСТ Р 59898-2021
(9.2) с дополнениями, приведенными в настоящем стандарте.
Примечание - Описание наборов данных для тестирования - по ГОСТ Р 59898-2021
(9.1).
5.4 Дополнительные требования к тестовым наборам данных
5.4.1 Каждый образец тестового набора данных должен состоять из снимка (серии снимков) и разметки, иметь метаданные, содержащие сведения о значениях существенных факторов (см.
5.6).
5.4.2 Статистические характеристики распределений существенных факторов в тестовых наборах данных должны соответствовать статистическим характеристикам распределений существенных факторов в предусмотренных условиях эксплуатации алгоритмов ИИ.
5.4.3 Разметка снимков должна иметь пространственную привязку к соответствующему снимку.
Разметку выполняют методом наземных наблюдений или методом визуального дешифрирования. Требования к квалификации экспертов, выполняющих разметку, устанавливают заказчики испытаний, рекомендуемый уровень квалификации - в соответствии с
[4] или
[5].
Разметка снимков может быть валидирована по решению заказчиков испытаний.
5.4.4 Тестовые данные могут быть анонимизированы по решению заказчиков испытаний.
Например, тестовые данные могут иметь специально нарушенную пространственную привязку, не позволяющую однозначно определить действительное пространственное расположение объектов дорожно-транспортной сети. В таком случае для взаимной привязки снимков и разметки может быть создана искусственная пространственная привязка, причем формат снимков после ее создания должен остаться без изменений.
5.4.5 Тестовые данные могут быть расширены методом аугментации и/или путем добавления новых образцов, при этом правила разметки не должны противоречить правилам, примененным при создании базового демонстрационного набора данных, но могут их дополнять.
5.4.6 Форматы снимков тестовых наборов данных должны соответствовать форматам снимков, применяемых в предусмотренных условиях эксплуатации алгоритмов ИИ.
5.5 Демонстрационные наборы данных
5.5.1 Пример базового демонстрационного набора данных для задач сегментации прилагается к настоящему стандарту, состоит из 129 папок, в каждой из которых по 1 снимку размером не менее 500 x 500 пикселей в формате TIF и 1 файлу с разметкой в формате GEOJSON.
Примечание - Базовые демонстрационные наборы данных не обладают свойством представительности, т.е. не отражают статистические распределения существенных факторов в предусмотренных условиях эксплуатации алгоритмов ИИ (см. ГОСТ Р 59898-2021,
9.2).
5.5.2 Дополнительный демонстрационный набор данных может быть сформирован заказчиком испытаний в случае оценки соответствия второй и третьей сторонами.
5.6.1
При создании требуемых условий тестирования необходимо выделить значимые, наиболее существенные факторы (внешние воздействия), оказывающие влияние на работу СИИ. Для каждого существенного фактора требуется установить диапазон возможных изменений (закон распределения) с целью воспроизведения во время тестирования СИИ. |
Перечень существенных факторов определяется заказчиками испытаний в зависимости от специфики решаемой задачи, для которой планируется применять алгоритмы ИИ.
Пример существенных факторов приведен в таблице 1.
Существенный фактор | Диапазон возможных значений <*> |
Пространственное разрешение, м | Выбирают исходя из разрешений средств дистанционного зондирования Земли, космические снимки от которых предполагается обрабатывать с помощью оцениваемых алгоритмов ИИ |
Спектральное разрешение |
Радиометрическое разрешение, бит/пиксель |
Угол съемки от надира, град | Выбирают исходя из параметров орбиты тех космических аппаратов, на которых установлены средства дистанционного зондирования Земли, и возможности отклонения средств дистанционного зондирования Земли от направления в надир |
Угол падения солнечных лучей от надира, град | Выбирают исходя из широты той местности, на которой планируется распознавать объекты дорожно-транспортной сети, а также времени года и суток космической съемки, материалы которой планируется использовать |
Сезон съемки | Выбирают исходя из времени года космической съемки, материалы которой планируется использовать |
Контрастность объектов по отношению к подстилающей поверхности (фону) | Выбирают исходя из тех задач, которые планируется решать |
Урбанизация территории | Выбирают исходя из параметров тех объектов капитального строительства, которые планируется распознавать на космических снимках |
Ширина проезжей части, м |
<*> При необходимости диапазоны существенных факторов могут быть уточнены с учетом информационных возможностей используемых сенсоров и специфики решаемой задачи. В этом случае тестовые наборы данных должны быть скорректированы соответствующим образом для обеспечения представительности оценивания функциональной корректности алгоритмов ИИ. |
5.6.1.1 Пространственное разрешение
Пространственное разрешение снимков определяет характерный размер деталей и признаки объектов, доступных для распознавания на них. Сенсоры на существующих космических аппаратах позволяют получать снимки в фиксированном диапазоне пространственных разрешений и представлены конечным множеством дискретных значений.
5.6.1.2 Спектральное разрешение
От спектрального разрешения зависит возможность распознавания объектов дорожно-транспортной сети на снимках. Спектральное разрешение определено количеством и шириной спектральных зон съемки. Чем шире зоны и меньше зон использовано для проведения съемки, тем ниже спектральное разрешение и меньше вероятность правильного распознавания изучаемых объектов.
5.6.1.3 Радиометрическое разрешение
Радиометрическое разрешение снимков влияет на возможность распознавания слабоконтрастных объектов и объектов дорожно-транспортной сети, имеющих близкие спектральные отражательные характеристики: близкие по тону пиксели разных объектов дорожно-транспортной сети на снимках могут быть преобразованы в одинаковые значения при снижении радиометрического разрешения.
Существует два основных множества: первичные данные по ГОСТ Р 59753-2021
(статья 75) с радиометрическим разрешением от 10 до 14 бит/пиксель и данные, прошедшие обработку, по ГОСТ Р 59753-2021
(статья 76) с радиометрическим разрешением 8 бит/пиксель.
Радиометрическое разрешение выбирают в зависимости от специфики решаемой задачи. Допускается использовать оба множества значений радиометрического разрешения. Применение первичных данных позволяет решать задачи более эффективно, но с большими затратами ресурсов.
5.6.1.4 Угол съемки от надира
Угол съемки от надира влияет на возможность распознать на снимках отдельные участки объектов дорожно-транспортной сети. При увеличении угла съемки от надира возрастает количество участков объектов дорожно-транспортной сети, закрытых соседними высокими объектами.
5.6.1.5 Угол падения солнечных лучей от надира
Угол падения солнечных лучей от надира в совокупности с углом съемки от надира влияет на возможность распознать на снимках отдельные участки объектов дорожно-транспортной сети.
При увеличении угла съемки от надира возрастает количество участков объектов дорожно-транспортной сети, на которые попадает тень от соседних высоких объектов.
5.6.1.6 Сезон съемки
Сезон съемки влияет на спектральные отражательные характеристики объектов дорожно-транспортной сети на снимках. Например, значительные изменения изображения объектов вызваны наличием снежного покрова зимой и его отсутствием летом.
5.6.1.7 Контрастность объектов по отношению к подстилающей поверхности (фону)
Контрастность объектов по отношению к подстилающей поверхности (фону) влияет на возможность распознавания объектов дорожно-транспортной сети на снимках. Чем выше контрастность, тем выше вероятность распознавания объектов дорожно-транспортной сети на снимках.
5.6.1.8 Урбанизация территории
Урбанизация территории определяет характерный паттерн контекста изображения объектов дорожно-транспортной сети на снимках.
5.6.1.9 Ширина проезжей части
Ширина проезжей части связана напрямую с разрешающей способностью бортовой аппаратуры: чем выше пространственное разрешение снимков, тем меньше ширина проезжей части, которая может быть распознана.
5.6.2 Статистические характеристики распределения существенных факторов устанавливают заказчики испытаний исходя из предусмотренных условий эксплуатации алгоритмов ИИ с учетом существенных факторов, перечисленных в
таблице 1. Дополнительные данные приведены в ГОСТ Р 59898-2021
(7.2.1.4).
5.7 Программа и методика испытаний
5.7.1 При составлении программы и методики испытаний следует руководствоваться
ГОСТ 19.301, ГОСТ Р 59795-2021
(5.13), ГОСТ Р 59898-2021
(7.1.1) и дополнениями, приведенными в настоящем стандарте.
5.7.2 Перечень проверок, включаемых в программы и методики испытаний, зависит от специфики тех задач, для решения которых применяют алгоритмы ИИ.
6 Тестирование и оценка показателей
6.1 Испытания алгоритмов ИИ проводят по разработанным в соответствии с
5.7 программам и методикам испытаний.
6.2 Испытания алгоритмов ИИ рекомендуется проводить в следующем порядке:
а) на вход алгоритмов ИИ подают снимки из тестовых наборов данных;
б) результаты работы алгоритмов ИИ регистрируют и сравнивают с разметкой тестовых наборов данных;
в) рассчитывают показатели функциональной корректности алгоритмов ИИ;
г) по результатам проведения испытаний оформляют протокол испытаний.
6.3 Показатели для оценки функциональной корректности алгоритмов ИИ выбирают исходя из специфики решаемой задачи на усмотрение заказчика испытаний. Ниже приведены примеры показателей для различных задач распознавания объектов дорожно-транспортной сети.
6.3.1 В задачах бинарной классификации (объект/необъект дорожно-транспортной сети на снимке) могут быть использованы такие показатели, как:
- точность (precision);
- полнота (recall);
- F-мера.
Точность, полноту и
F-меру рассчитывают по
формулам (14),
(15) и
(17) ГОСТ Р 59898-2021 соответственно, причем:
- TP - количество истинно положительных исходов: объект классифицирован как объект дорожно-транспортной сети по результатам работы алгоритма ИИ и является объектом дорожно-транспортной сети в разметке;
- TN - количество истинно отрицательных исходов: объект классифицирован как необъект дорожно-транспортной сети и не является объектом дорожно-транспортной сети в разметке;
- FN - количество ложноотрицательных исходов: объект классифицирован как необъект дорожно-транспортной сети и является объектом дорожно-транспортной сети в разметке.
6.3.2 В задачах классификации с локализацией могут быть использованы такие показатели, как:
- для оценки классификации: точность (precision), полнота (recall), F-мера (см. 6.3);
- для оценки достоверности местоположения ограничивающей рамки - отношение пересечения над объединением (Intersection over Union, IoU).
Отношение пересечения над объединением IoU рассчитывают по формуле

, (1)
где S - площадь;
A - ограничивающая рамка объекта дорожно-транспортной сети по результатам работы алгоритма ИИ;
B - ограничивающая рамка объекта дорожно-транспортной сети из разметки.
Отношение площадей ограничивающих рамок может принимать значения от 0 до 1, причем значение 1 соответствует наилучшему качеству работы алгоритмов ИИ.
6.3.3 В задачах детекции могут быть использованы такие показатели, как:
- для оценки достоверности местоположения ограничивающих рамок - усредненное по всем классам отношение площадей ограничивающих рамок IoU (см. 6.3);
- для оценки классификации по всем классам - усредненная по всем классам величина средней точности (mean average precision).
Среднюю точность APr по каждому классу рассчитывают по формуле

, (2)
где Pr - точность при условии, что ограничивающая рамка определена достоверно (т.е. значение IoU выше определенного уровня);
Re - полнота при условии, что ограничивающая рамка определена достоверно (т.е. значение IoU выше определенного уровня).
Затем среднюю точность усредняют по всем классам.
Средняя точность и усредненная по всем классам средняя точность могут принимать значения от 0 до 1, причем значение 1 соответствует наиболее эффективному качеству работы алгоритмов ИИ.
6.3.4 В задачах сегментации могут быть использованы такие показатели, как:
- усредненная по всем классам попиксельная точность;
- усредненная по всем классам попиксельная полнота;
- усредненная по всем классам попиксельная F-мера;
- мера сходства средней длины пути.
Попиксельную точность, попиксельную полноту и попиксельную
F-меру по каждому классу рассчитывают по
формулам (14),
(15) и
(17) ГОСТ Р 59898-2021 соответственно, причем:
- TP - количество истинно положительных исходов: совокупность пикселей снимка, классифицированных как относящиеся к объектам дорожно-транспортной сети по результатам работы алгоритма ИИ, принадлежит к объектам дорожно-транспортной сети в разметке;
- TN - количество истинно отрицательных исходов: совокупность пикселей снимка, классифицированных как не относящиеся к объектам дорожно-транспортной сети, не принадлежит к объектам дорожно-транспортной сети в разметке;
- FN - количество ложноотрицательных исходов: совокупность пикселей снимка, классифицированных как не относящиеся к объектам дорожно-транспортной сети, принадлежит к объектам дорожно-транспортной сети в разметке.
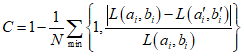
Меру сходства средней длины пути рассчитывают по формуле

, (3)
где N - количество уникальных объектов дорожно-транспортной сети в разметке;
L(ai, bi) - длина i-го объекта дорожно-транспортной сети (ai, bi), присутствующего в разметке;
L(a'i, b'i) - длина i-го объекта дорожно-транспортной сети (a'i, b'i) по результатам работы алгоритма ИИ.
Усредненные по всем классам попиксельная точность, попиксельная полнота и попиксельная F-мера, а также мера сходства средней длины пути могут принимать значения от 0 до 1, при этом значение 1 соответствует наилучшему качеству работы алгоритма ИИ.
6.4 Протоколы испытаний должны включать информацию по ГОСТ ISO/IEC 17025-2019
(7.8.2.1), а также следующую информацию:
- статистические характеристики распределения существенных факторов;
- сведения о тестовых наборах данных, в том числе количество снимков, значения и характеристики распределения существенных факторов;
- полученные оценки показателей функциональной корректности.
Протоколы испытаний оформляют по ГОСТ Р 58973-2020
(раздел 5).
7 Анализ и интерпретация результатов испытаний
7.1 Критерии качества устанавливают заказчики испытаний в зависимости от специфики тех задач, для которых планируется применять алгоритмы ИИ.
7.2 При проведении сравнительных оценок нескольких алгоритмов ИИ в дополнение к требованию по ГОСТ Р 59898-2021
(7.2.2.5) следует учитывать характеристики распределения существенных факторов тестовых наборов данных.
7.3 С помощью полученных результатов испытаний можно решить следующие задачи:
- ранжирование алгоритмов ИИ по качеству;
- сравнение результатов работы алгоритмов ИИ с заданным порогом качества;
- сравнение результатов работы алгоритмов ИИ с качеством, обеспечиваемым человеком-оператором.
| Федеральный закон от 29 декабря 2004 г. N 190-ФЗ "Градостроительный кодекс Российской Федерации" |
| Методические рекомендации для подготовки правил благоустройства территорий поселений, городских округов, внутригородских районов (утверждены приказом Министерства строительства и жилищно-коммунального хозяйства Российской Федерации от 13 апреля 2017 г. N 711/пр) |
| Методические рекомендации по разработке норм и правил по благоустройству территорий муниципальных образований (утверждены приказом Министерства строительства и жилищно-коммунального хозяйства Российской Федерации от 29 декабря 2021 г. N 1042/пр) |
| | Специалист в области аэрофотогеодезии |
| | Специалист в области картографии и геоинформатики |
УДК 006.86:006.354 | |
Ключевые слова: технологии искусственного интеллекта, обработка данных дистанционного зондирования Земли, алгоритмы искусственного интеллекта, распознавание объектов дорожно-транспортной сети, обработка космических снимков, оптико-электронное наблюдение, видимый диапазон, ближний инфракрасный диапазон, методика испытаний, оценка функциональной корректности |