Главная // Актуальные документы // Анкета (форма)СПРАВКА
Источник публикации
М.: Стандартинформ, 2014
Примечание к документу
Документ утратил силу с 1 сентября 2016 года в связи с изданием Приказа Росстандарта от 17.02.2016 N 54-ст. Взамен введен в действие
ГОСТ Р 66.1.03-2016.
Документ
введен в действие с 1 сентября 2014 года.
Название документа
"ГОСТ Р 56002-2014. Национальный стандарт Российской Федерации. Оценка опыта и деловой репутации строительных организаций"
(утв. и введен в действие Приказом Росстандарта от 17.04.2014 N 366-ст)
"ГОСТ Р 56002-2014. Национальный стандарт Российской Федерации. Оценка опыта и деловой репутации строительных организаций"
(утв. и введен в действие Приказом Росстандарта от 17.04.2014 N 366-ст)
Утвержден и введен в действие
агентства по техническому
регулированию и метрологии
от 17 апреля 2014 г. N 366-ст
НАЦИОНАЛЬНЫЙ СТАНДАРТ РОССИЙСКОЙ ФЕДЕРАЦИИ
ОЦЕНКА ОПЫТА И ДЕЛОВОЙ РЕПУТАЦИИ СТРОИТЕЛЬНЫХ ОРГАНИЗАЦИЙ
Assessment of experience and business reputation
of construction organizations
ГОСТ Р 56002-2014
Дата введения
1 сентября 2014 года
1. Разработан Некоммерческим партнерством "Национальный ситуационный центр развития саморегулирования "Специальный Ресурс" (НП "Национальный центр "СпецРесурс"), Закрытым акционерным обществом "Институт деловой репутации" (ЗАО "Институт деловой репутации"), Открытым акционерным обществом "Всероссийский научно-исследовательский институт сертификации" (ОАО "ВНИИС").
2. Внесен Техническим комитетом по стандартизации ТК 066 "Оценка опыта и деловой репутации предприятий".
3. Утвержден и введен в действие
Приказом Федерального агентства по техническому регулированию и метрологии от 17 апреля 2014 г. N 366-ст.
4. Введен впервые.
Правила применения настоящего стандарта установлены в ГОСТ Р 1.0-2012
(раздел 8). Информация об изменениях к настоящему стандарту публикуется в ежегодном (по состоянию на 1 января текущего года) информационном указателе "Национальные стандарты", а официальный текст изменений и поправок - в ежемесячном указателе "Национальные стандарты". В случае пересмотра (замены) или отмены настоящего стандарта соответствующее уведомление будет опубликовано в ближайшем выпуске ежемесячного информационного указателя "Национальные стандарты". Соответствующая информация, уведомление и тексты размещаются также в информационной системе общего пользования - на официальном сайте национального органа по Российской Федерации по стандартизации в сети Интернет (gost.ru).
Настоящий стандарт устанавливает общие требования, модели и критерии оценки деловой репутации строительных организаций на базе опыта их деятельности.
Стандарт позволяет обеспечить единый и объективный подход при ранжировании и выборе строительной организации при проведении тендеров, конкурсов, а также оценки их репутационного потенциала и финансовой успешности.
В настоящем стандарте использованы нормативные ссылки на следующие стандарты:
| | ИС МЕГАНОРМ: примечание. В официальном тексте документа, видимо, допущена опечатка: имеется в виду ГОСТ ISO 9000-2011, а не ГОСТ ИСО 9000-2011. | |
Примечание. При пользовании настоящим стандартом целесообразно проверить действие ссылочных стандартов в информационной системе общего пользования - на официальном сайте Федерального агентства по техническому регулированию и метрологии в сети Интернет или по ежегодному информационному указателю "Национальные стандарты", который опубликован по состоянию на 1 января текущего года, и по выпускам ежемесячного информационного указателя "Национальные стандарты" за текущий год. Если заменен ссылочный стандарт, на который дана недатированная ссылка, то рекомендуется использовать действующую версию этого стандарта с учетом всех внесенных в данную версию изменений. Если заменен ссылочный стандарт, на который дана датированная ссылка, то рекомендуется использовать версию этого стандарта с указанным выше годом утверждения (принятия).
Если после утверждения настоящего стандарта в ссылочный стандарт, на который дана датированная ссылка, внесено изменение, затрагивающее положение, на которое дана ссылка, то это положение рекомендуется принять без учета данного изменения. Если ссылочный стандарт отменен без замены, то положение, в котором дана ссылка на него, рекомендуется применять в части, не затрагивающей эту ссылку.
| | ИС МЕГАНОРМ: примечание. В официальном тексте документа, видимо, допущена опечатка: имеется в виду ГОСТ ISO 9000-2011, а не ГОСТ ИСО 9000. | |
В настоящем стандарте применены термины и определения, данные в
ГОСТ Р 50779.10 и
ГОСТ ИСО 9000, а также следующие термины с соответствующими определениями:
3.1. Деловая репутация: совокупность характеристик, которая определяет уровень доверия и мотивации для обращения к услугам оцениваемой организации.
3.2. Гудвилл (goodwill): разница между ценой покупки предприятия и фактической стоимостью всех ее активов.
4.1. Оценка деловой репутации строительной организации проводится по инициативе или с согласия оцениваемой организации.
4.2. Оценка деловой репутации носит экспертный характер.
4.3. Расчетный способ применяют при оценке деловой репутации по результатам продажи финансовых активов с использованием экономической модели расчета, как указано в
6.1.
Оценку проводят службы финансового мониторинга в порядке, принятом для этих служб.
4.4. Экспертный способ применяют при оценке деловой репутации в целях:
4.4.1. Определения поставщика (подрядчиков, исполнителей) для обеспечения государственных и муниципальных нужд согласно Федеральному
закону от 5 апреля 2013 г. N 44-ФЗ;
4.4.2. Выбора поставщика (продукции, работ, услуг) в качестве генерального подрядчика, подрядчика, субподрядчика или исполнителя работ для реализации частных бизнес-проектов;
4.4.3. Получения руководством организации объективной оценки своего рейтинга.
4.5. Оценку проводят эксперты рейтингового агентства, которое должно быть аккредитовано или уполномочено в установленном порядке на проведение оценки деловой репутации строительных организаций.
4.6. Экспертная оценка должна быть основана на принципах, приведенных в
ГОСТ Р ИСО/МЭК 17021 в части беспристрастности, компетентности, ответственности и конфиденциальности.
4.7. Экспертный способ оценки предусматривает использование факторной модели, как указано в
6.2.
5. Порядок проведения экспертной оценки
5.1. Для проведения оценки в целях, указанных в
4.4, организация-заявитель направляет в рейтинговое агентство заявку в соответствии с
Приложением А и анкету в соответствии с
Приложением Б.
5.2. Рейтинговое агентство проводит оценку деловой репутации строительных организаций на договорной основе и, как правило, на условиях предоплаты работ.
5.3. Оценка деловой репутации проводится применительно к профильной деятельности строительной организации, указанной в заявке. Эта область должна включать в себя только виды работ, указанные в
Приложении В, по которым имеется документированное подтверждение их фактического выполнения заявителем.
5.4. Для проведения оценки рейтинговое агентство формирует группу экспертов, которые анализируют данные анкеты организации-заявителя. В случае выявления экспертами заведомо недостоверной информации, указанной в анкете, процесс оценки организации может быть прекращен. Эксперты вправе запрашивать у заявителя дополнительную информацию, помимо указанной в анкете.
5.5. Для проверки достоверности исходных данных эксперты могут выезжать на место (в офис компании или на строительные объекты) по соглашению сторон. В этом случае командировочные расходы оплачивает организация-заявитель.
5.6. Оценка деловой репутации по факторной модели проводится по
методике, приведенной в Приложении Г. Для случаев, указанных в
4.4.2 -
4.4.3, эта
методика может корректироваться по согласованию сторон.
5.7. По результатам оценки экспертная группа оформляет заключение с указанием полученного уровня. На основании экспертного заключения рейтинговое агентство выдает сертификат по
форме, представленной в Приложении Д.
6. Модели оценки деловой репутации
6.1. Экономическая модель
В экономической модели оценка деловой репутации компании

определяется расчетным путем как разница между покупной ценой предприятия

, как правило, определяемой на торгах, и суммой всех его активов


. (1)
Величина, определяемая по
выражению (1), также называется оценкой Гудвилла, или гудвиллом.
Величина гудвилла может быть как положительной, так и отрицательной.
6.2.1. В факторной модели оценка деловой репутации организации выражается индексом

, который определяется по выражению

, (2)
где

- коэффициенты весомости факторов, определяемые экспертным путем таким образом, чтобы в идеальном случае R = 1, т.е. при

и

,

- фактор "История", характеризующий продолжительность присутствия организации на рынке и объем выполненных ею работ,

- фактор "Средства" зависит от обеспеченности организации ресурсами, необходимыми для проведения строительных работ,

- фактор "Кадры" характеризует наличие в организации квалифицированных специалистов и руководителей,

- фактор "Имидж" характеризует восприятие организации клиентами и обществом в целом,

- коэффициент "Достоверность" характеризует полноту и достоверность сведений, представленных организацией.
В свою очередь факторы

определяются через субфакторы, которые могут быть рассчитаны, используя информацию, предоставляемую оцениваемой организацией, а данные для расчета фактора

выдает рейтинговое агентство.
6.2.2. Фактор "История" определяется по выражению

, (3)
где

и

- коэффициенты весомости:

,

- субфактор "Количество лет на рынке" характеризует количество лет работы организации на рынке строительных работ,

- субфактор "Ритмичность работы" определяет ритмичность выполнения работ, характеризуемую коэффициентом вариации объемов строительно-монтажных работ организации.
6.2.3. Фактор "Средства" определяется по выражению

, (4)
где

,

,

- коэффициенты весомости;

- субфактор "Материально-техническая база" учитывает наличие строительной техники и оборудования в стоимостном выражении, находящихся как в собственности организации, так и на правах аренды,

- субфактор "Финансовая автономия" характеризует финансовую независимость строительной организации, определяемую отношением собственного капитала к заемным средствам,

- субфактор "Незавершенное строительство" характеризует отношение объема незавершенного строительства к прибыли.
6.2.4. Фактор "Кадры" определяется по выражению:

, (5)
где

,

,

- коэффициенты весомости:

,

- субфактор "Управление кадрами" характеризует уровень образования, стаж работы в компании и практический опыт в области строительства топ-менеджеров (руководителей организации),

- субфактор "Среднее звено" характеризует уровень специального образования, стаж работы в организации специалистов,

- субфактор "Награды и звания" учитывает наличие сотрудников с ученой степенью и (или) почетными званиями.
6.2.5. Фактор "Имидж" определяется по выражению

, (6)
где

,

,

,

,

- коэффициенты весомости:
| | ИС МЕГАНОРМ: примечание. Формула дана в соответствии с официальным текстом документа. | |

,

- субфактор "Цитируемость" показывает, насколько часто организация упоминалась в печатных изданиях, электронных средствах информации и других СМИ,

- субфактор "Устранение нарушений" характеризует работу организации по устранению нарушений, зарегистрированных органами строительного надзора,

- субфактор "Задержка сдачи объектов" учитывает среднюю продолжительность задержек сдачи строительных объектов,

- субфактор "Чрезвычайные происшествия" характеризует уровень охраны труда на объектах организации,

- субфактор "Сертифицированная система менеджмента" характеризует наличие сертификатов на систему менеджмента, выданных органом, аккредитованным Федеральной службой по аккредитации (Росаккредитация);

- субфактор "Отзывы заказчиков" учитывает наличие благоприятных отзывов и благодарностей от заказчиков работ.
6.2.6. Коэффициент "Достоверность"

учитывает полноту и достоверность сведений - исходных данных, представляемых оцениваемой организацией.
Слишком малые значения этого коэффициента лишают смысла расчет оценки деловой репутации, т.к. резко падает влияние субфакторов.
Поэтому при значениях

целесообразно прекращать оценку или ее повторять после предоставления более достоверной информации.
Методика оценки деловой репутации строительной организации дана в Приложении Г.
(справочное)
ФОРМА ЗАЯВКИ НА ПРОВЕДЕНИЕ ОЦЕНКИ ДЕЛОВОЙ РЕПУТАЦИИ
ЗАЯВКА
НА ПРОВЕДЕНИЕ ОЦЕНКИ
___________________________________________________________________________
наименование организации-заказчика
Местонахождение ___________________________________________________________
Телефон ________________________ Факс ______________ E-mail _______________
Банковские реквизиты ______________________________________________________
___________________________________________________________________________
в лице ____________________________________________________________________
фамилия, имя, отчество руководителя
просит провести оценку деловой репутации применительно к __________________
___________________________________________________________________________
область деятельности
(в области деятельности указывают виды работ согласно
Приложению Г)
Дополнительные сведения ___________________________________________________
___________________________________________________________________________
___________________________________________________________________________
Руководитель организации ________________________ ________________________
подпись инициалы, фамилия
Главный бухгалтер ________________________ ________________________
подпись инициалы, фамилия
М.П. Дата
(справочное)
АНКЕТА ОЦЕНИВАЕМОЙ ОРГАНИЗАЦИИ И ПРИМЕР ЕЕ ЗАПОЛНЕНИЯ
Данные об организации
Наименование организации:
ООО "Стаф"
ИНН 6330055760, КПП 633001001
Алексей
staf-samara@mail.ru
Сегмент рынка:
Строительство
Укажите размер вашей организации:
малые предприятия - 400 млн рублей
История
Количество лет на рынке:
6 лет
Объем выполненных работ по годам:
Год Стоимость, тыс. руб.
2013 34000
2013 34000
2013 27000
2013 32000
2013 31000
2013 28000
2013 11000
Перечень объектов за последние 3 года:
Объект | Название | Адрес | Период работ | Характер работ | Объем работ, тыс. руб. |
Объект 1 | Ремонт тепловых сетей г. Новокуйбышевска | Ремонт тепловых сетей г. Новокуйбышевска | 06.2010 - 09.2010 | Ремонт теплосетей - замена труб, работы на ТЭЦ | 12000 |
Объект 2 | Замена водопровода (гор., хол.) в г. Самара | Замена водопровода (гор., хол.) в г. Самара | 05.2011 - 10.2011 | Замена водопроводных труб | 54000 |
Средства
Стоимость материальных средств производства:
4 млн руб.
Финансовая автономия:
Собственный капитал: 360 тыс. руб.
Размер активов: 420 тыс. руб.
Незавершенное строительство:
150 тыс. руб.
Валовая прибыль:
320 тыс. руб.
Кадры
Управленческие кадры:
ФИО | Должность | Образование | Стаж работы в организации, лет | Опыт работы в строительстве, лет |
Черкасов Алексей Геннадьевич | Генеральный директор | Высшее | | |
Сотрудники среднего звена:
% сотрудников, работающих в организации на постоянной основе более 5 лет | % сотрудников организации, имеющих специальное образование по основной деятельности организации |
23 | 67 |
Регалии: отсутствуют
Имидж
Количество упоминаний в СМИ за всю историю деятельности организации: 0
Устранение нарушений:
Название объекта | Характер замечаний и результат их устранения |
Ремонт тепловых сетей г. Новокуйбышевска | Замечаний не было |
Замена водопровода (гор., хол.) в г. Самаре | Замечания устранены добровольно |
Задержка сдачи объектов:
Название объекта | Срок Задержки в неделях | Причина |
Ремонт тепловых сетей г. Новокуйбышевска | 0 | - |
Замена водопровода (гор., хол.) в г. Самара | 2 | Сбой в работе поставщиков |
Чрезвычайные происшествия на объектах: | 0 | |
(обязательное)
ВИДЫ РАБОТ, ВЫПОЛНЕННЫХ СТРОИТЕЛЬНЫМИ ОРГАНИЗАЦИЯМИ
- Геодезические работы, выполняемые на строительных площадках
- Подготовительные работы
- Земляные работы
- Устройство скважин
- Свайные работы. Закрепление грунтов
- Устройство бетонных и железобетонных монолитных конструкций
- Монтаж сборных бетонных и железобетонных конструкций
- Буровзрывные работы при строительстве
- Работы по устройству каменных конструкций
- Монтаж металлических конструкций
- Монтаж деревянных конструкций
- Защита строительных конструкций, трубопроводов и оборудования
(кроме магистральных и промысловых трубопроводов)
- Устройство кровель
- Фасадные работы
- Устройство внутренних инженерных систем и оборудования зданий и сооружений
- Устройство наружных сетей водопровода
- Устройство наружных сетей канализации
- Устройство наружных сетей теплоснабжения
- Устройство наружных сетей газоснабжения, кроме магистральных
- Устройство наружных электрических сетей и линий связи
- Устройство объектов использования атомной энергии
- Устройство объектов нефтяной и газовой промышленности
- Монтажные работы
- Пусконаладочные работы
- Устройство автомобильных дорог и аэродромов
- Устройство железнодорожных и трамвайных путей
- Устройство тоннелей, метрополитенов
- Устройство шахтных сооружений
- Устройство мостов, эстакад и путепроводов
- Гидротехнические работы, водолазные работы
- Промышленные печи и дымовые трубы
- Работы по осуществлению строительного контроля привлекаемым застройщиком или заказчиком на основании договора юридическим лицом или индивидуальным предпринимателем
- Работы по организации строительства, реконструкции и капитального ремонта привлекаемым застройщиком или заказчиком на основании договора юридическим лицом или индивидуальным предпринимателем (генеральным подрядчиком)
- Работы по осуществлению строительного контроля застройщиком либо привлекаемым застройщиком или заказчиком на основании договора юридическим лицом или индивидуальным предпринимателем при строительстве, реконструкции и капитальном ремонте объектов использования атомной энергии
(обязательное)
ОЦЕНКИ ДЕЛОВОЙ РЕПУТАЦИИ СТРОИТЕЛЬНОЙ ОРГАНИЗАЦИИ
1. Применяемые для целей оценки значения коэффициентов весомости факторов

и субфакторов

указаны в таблице 1.
Таблица 1
Коэффициент весомости | | | | | | | | | | | | | | | | | | |
Числовое значение | 0,125 | 0,50 | 0,50 | 0,375 | 0,34 | 0,33 | 0,33 | 0,15 | 0,42 | 0,42 | 0,16 | 0,35 | 0,20 | 0,15 | 0,15 | 0,15 | 0,20 | 0,15 |
Значения субфакторов выбирают, как указано в 2 -
13.
2. Субфактор

"Количество лет на рынке"

определяется по таблице 2.
Таблица 2
Количество лет на рынке строительных услуг | x < 2 | 2 <= x < 3 | 3 <= x < 4 | 4 <= x < 5 | 5 <= x < 6 | x >= 6 |
Значение  | 0,2 | 0,36 | 0,56 | 0,68 | 0,84 | 1 |
3. Субфактор "Ритмичность выполнения работ"

определяется по
таблице 3 в зависимости от коэффициента вариации

объемов работ за N лет.

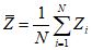
,
где

;

- объем выполненной работы за i-год.
| До 0,10 | От 0,11 до 0,15 | От 0,16 до 0,20 | От 0,21 до 0,25 | От 0,26 до 0,30 | Св. 0,30 |
| 1 | 0,84 | 0,68 | 0,52 | 0,36 | 0,2 |
4. Субфактор "Материально-техническая база"

определяется по таблице 4 в зависимости от суммарной стоимости строительной техники и оборудования

, находящихся как в собственности организации, так и в аренде.
Таблица 4
 (млн руб.) | До 15,0 | От 15,1 до 30,0 | От 30,1 до 45,0 | От 45,1 до 60,0 | От 60,1 до 75,0 | Св. 75,0 |
| 0,2 | 0,36 | 0,52 | 0,36 | 0,84 | 1 |
| | ИС МЕГАНОРМ: примечание. Текст абзаца дан в соответствии с официальным текстом документа. | |
5. Субфактор "Финансовая автономия"

определяется в зависимости от величины "

= "Собственный капитал" - /"Заемные средства" по таблице 5.
Таблица 5
| До 2,0 | От 2,1 до 3,0 | От 3,1 до 4,0 | От 4,1 до 5,0 | От 5,1 до 6,0 | Св. 6,0 |
| 0,2 | 0,30 | 0,52 | 0,68 | 0,84 | 1 |
6. Субфактор "Незавершенное строительство"

определяется в зависимости от величины
по таблице 6.
Таблица 6
m | До 2,0 | От 2,1 до 3,0 | От 3,1 до 4,0 | От 4,1 до 5,0 | От 5,1 до 6,0 | Св. 6,0 |
| 1 | 0,84 | 0,68 | 0,52 | 0,36 | 0,2 |
7. Субфактор "Управленческие кадры"

определяется по выражению

,

характеризует уровень персонала и определяется по
таблице 7,
где

;
N - количество руководителей высшего звена (генеральный директор, главный инженер, главный архитектор, главный бухгалтер, заместители генерального директора),
| До 0,170 | От 0,171 до 0,330 | От 0,331 до 0,500 | От 0,501 до 0,670 | От 0,671 до 0,830 | Св. 0,830 |
| 0,2 | 0,36 | 0,52 | 0,68 | 0,84 | 1 |

- характеризует стаж работы в компании и определяется по
таблице 8 в зависимости от среднего стажа руководителей

,

- стаж работы i-го руководителя в годах.
| До 2,0 | От 2,1 до 3,0 | От 3,1 до 4,0 | От 4,1 до 5,0 | От 5,1 до 6,0 | Св. 6,0 |
| 0,2 | 0,36 | 0,52 | 0,68 | 0,84 | 1 |
8. Субфактор

"Среднее звено" определяется по выражению

,
где

определяется по
таблице 9 в зависимости от среднего стажа руководителей среднего звена y

,
где L - общее число руководителей среднего звена (производители работ, менеджеры проектов, инженеры, архитекторы, проектировщики и др.),

- стаж i-го руководителя в годах.
y | До 1,0 | От 1,1 до 2,0 | От 2,1 до 3,0 | От 3,1 до 4,0 | От 4,1 до 5,0 | Св. 5,0 |
| 0,2 | 0,36 | 0,52 | 0,68 | 0,84 | 1 |

определяется по
таблице 10 в зависимости от доли руководителей среднего звена, имеющих высшее и среднее специальное образование

.

,
| До 0,15 | От 0,16 до 0,30 | От 0,31 до 0,45 | От 0,46 до 0,60 | От 0,61 до 0,75 | Св. 0,75 |
| 0,2 | 0,36 | 0,52 | 0,68 | 0,84 | 1 |
9. Субфактор "Награды и звания"

определяется по выражению
10. Субфактор "Цитируемость"

определяется по таблице 11 в зависимости от количества позитивных сообщений (упоминаний) об организации в средствах массовой информации

за весь срок присутствия организации на рынке строительных услуг.
Таблица 11
| До 3 | От 3 до 10 | От 11 до 20 | От 21 до 30 | От 31 до 40 | Св. 40 |
| 0,2 | 0,36 | 0,52 | 0,68 | 0,86 | 1 |
11. Субфактор "Устранение нарушений"

определяется по
таблице 12 в зависимости от доли нарушений при строительстве, устраняемых по решению суда,

за последние три года.
| Св. 0,50 | От 0,50 до 0,40 | От 0,39 до 0,30 | От 0,29 до 0,20 | От 0,19 до 0,10 | От 0,09 до 0,01 | 0 |
| 0,2 | 0,36 | 0,52 | 0,68 | 0,86 | 0,95 | 1 |
12. Субфактор

"Задержка сдачи объектов" определяется по
таблице 13 в зависимости от средней величины задержек

.

,
где r - общее количество задержек за последние 3 года,

- задержка сдачи i-го объекта в неделях.
| 0 | От 1 до 11 | От 12 до 20 | От 21 до 28 | От 29 до 36 | От 37 до 48 | Св. 48 |
| 1 | 0,95 | 0,84 | 0,68 | 0,52 | 0,38 | 0,2 |
13. Субфактор "Чрезвычайные происшествия"

определяется по таблице 14 в зависимости от количества нарушений требований охраны труда

за последние 3 года, приведших к инвалидности или летальному исходу работников на строительных объектах.
Таблица 14
| Отсутствуют | 1 | От 2 до 4 | От 5 до 7 | От 8 до 10 | Св. 10 |
| 1 | 0,84 | 0,68 | 0,52 | 0,38 | 0,2 |
14. Фактор "Сертифицированная система менеджмента"

определяется по выражению
15. Субфактор "Отзывы заказчиков"

определяется по выражению
16. Фактор "Достоверность сведений"

, представленный организацией для оценки ее деловой репутации, определяется по выражению
(обязательное)
ФОРМА СЕРТИФИКАТА ОЦЕНКИ ДЕЛОВОЙ РЕПУТАЦИИ
┌─────────────────────────────────────────────────────────────────────────┐
│ Рейтинговое агентство │
│ _______________________________________________________________________ │
│ наименование │
│ _______________________________________________________________________ │
│ адрес │
│ _______________________________________________________________________ │
│ аттестат уполномочивания (аккредитации) │
├─────────────────────────────────────────────────────────────────────────┤
│ СЕРТИФИКАТ │
│ │
│ Выдан _________________________________________________________________ │
│ наименование │
│ _______________________________________________________________________ │
│ юридический адрес строительной организации │
│ применительно к _______________________________________________________ │
│ виды деятельности │
│ и │
│ УДОСТОВЕРЯЕТ │
│ │
│ что индекс ее деловой репутации составляет │
│ │
│ 0,... │
│ _______________________________________________________________________ │
│ двузначное число (после запятой) │
│ │
│ Дата регистрации ____________________________ │
│ Руководитель агентства _________________ ___________________ │
│ подпись инициалы, фамилия │
│ Председатель экспертной комиссии _________________ ___________________ │
│ подпись инициалы, фамилия │
└─────────────────────────────────────────────────────────────────────────┘