Главная // Актуальные документы // Акт (форма)СПРАВКА
Источник публикации
М.: ФГБУ "Институт стандартизации", 2023
Примечание к документу
Документ
введен в действие с 01.07.2024.
Название документа
"ГОСТ Р 71113-2023. Национальный стандарт Российской Федерации. Системы и сооружения мелиоративные. Водораспределение и водоучет на оросительной сети. Градуировка гидрометрических сооружений "фиксированное русло". Общие требования"
(утв. и введен в действие Приказом Росстандарта от 23.11.2023 N 1464-ст)
"ГОСТ Р 71113-2023. Национальный стандарт Российской Федерации. Системы и сооружения мелиоративные. Водораспределение и водоучет на оросительной сети. Градуировка гидрометрических сооружений "фиксированное русло". Общие требования"
(утв. и введен в действие Приказом Росстандарта от 23.11.2023 N 1464-ст)
Утвержден и введен в действие
агентства по техническому
регулированию и метрологии
от 23 ноября 2023 г. N 1464-ст
НАЦИОНАЛЬНЫЙ СТАНДАРТ РОССИЙСКОЙ ФЕДЕРАЦИИ
СИСТЕМЫ И СООРУЖЕНИЯ МЕЛИОРАТИВНЫЕ
ВОДОРАСПРЕДЕЛЕНИЕ И ВОДОУЧЕТ НА ОРОСИТЕЛЬНОЙ СЕТИ.
ГРАДУИРОВКА ГИДРОМЕТРИЧЕСКИХ СООРУЖЕНИЙ
"ФИКСИРОВАННОЕ РУСЛО"
ОБЩИЕ ТРЕБОВАНИЯ
Reclamation systems and structures. Water distribution
and water accounting in the irrigation network.
Graduation of hydrometric constructions
"The fixed channel". General requirements
ГОСТ Р 71113-2023
Дата введения
1 июля 2024 года
1 РАЗРАБОТАН Федеральным государственным бюджетным научным учреждением "Российский научно-исследовательский институт проблем мелиорации"
2 ВНЕСЕН Техническим комитетом по стандартизации ТК 151 "Мелиорация"
3 УТВЕРЖДЕН И ВВЕДЕН В ДЕЙСТВИЕ
Приказом Федерального агентства по техническому регулированию и метрологии от 23 ноября 2023 г. N 1464-ст
4 ВВЕДЕН ВПЕРВЫЕ
Правила применения настоящего стандарта установлены в статье 26 Федерального закона от 29 июня 2015 г. N 162-ФЗ "О стандартизации в Российской Федерации". Информация об изменениях к настоящему стандарту публикуется в ежегодном (по состоянию на 1 января текущего года) информационном указателе "Национальные стандарты", а официальный текст изменений и поправок - в ежемесячном информационном указателе "Национальные стандарты". В случае пересмотра (замены) или отмены настоящего стандарта соответствующее уведомление будет опубликовано в ближайшем выпуске ежемесячного информационного указателя "Национальные стандарты". Соответствующая информация, уведомление и тексты размещаются также в информационной системе общего пользования - на официальном сайте Федерального агентства по техническому регулированию и метрологии в сети Интернет (www.rst.gov.ru)
1.1 Настоящий стандарт устанавливает общие требования к проведению градуировки гидрометрических сооружений "фиксированное русло" на оросительных каналах.
1.2 Настоящий стандарт разработан для открытых водоводов с истечением жидкости без сжатия потока.
В настоящем стандарте использованы нормативные ссылки на следующие документы:
ГОСТ 12.0.230 Система стандартов безопасности труда. Системы управления охраной труда. Общие требования
ГОСТ 7502 Рулетки измерительные металлические. Технические условия
ГОСТ 15126 Средства измерения скорости течения воды. Вертушки гидрометрические речные. Общие технические требования
ГОСТ 28725 Приборы для измерения уровня жидкостей и сыпучих материалов. Общие технические требования и методы испытаний
ГОСТ Р 51657.1 Водоучет на гидромелиоративных и водохозяйственных системах. Термины и определения
ГОСТ Р 51657.3 Водоучет на гидромелиоративных и водохозяйственных системах. Гидрометрические сооружения и устройства. Классификация
ГОСТ Р 51657.5 Водоучет на гидромелиоративных и водохозяйственных системах. Способ измерения расходов воды с использованием ультразвуковых (акустических) измерителей скорости. Общие технические требования
ГОСТ Р 51774 Тахеометры электронные. Общие технические условия
Примечание - При пользовании настоящим стандартом целесообразно проверить действие ссылочных стандартов (сводов правил) в информационной системе общего пользования - на официальном сайте Федерального агентства по техническому регулированию и метрологии в сети Интернет или по ежегодному информационному указателю "Национальные стандарты", который опубликован по состоянию на 1 января текущего года, и по выпускам ежемесячного информационного указателя "Национальные стандарты" за текущий год. Если заменен ссылочный документ, на который дана недатированная ссылка, то рекомендуется использовать действующую версию этого документа с учетом всех внесенных в данную версию изменений. Если заменен ссылочный документ, на который дана датированная ссылка, то рекомендуется использовать версию этого документа с указанным выше годом утверждения (принятия). Если после утверждения настоящего стандарта в ссылочный документ, на который дана датированная ссылка, внесено изменение, затрагивающее положение, на которое дана ссылка, то это положение рекомендуется применять без учета данного изменения. Если ссылочный документ отменен без замены, то положение, в котором дана ссылка на него, рекомендуется применять в части, не затрагивающей эту ссылку. Сведения о действии сводов правил целесообразно проверить в Федеральном информационном фонде стандартов.
4 Общий порядок проведения градуировки
Общий порядок проведения градуировки включает следующее:
- устанавливают соответствие гидрометрического сооружения "фиксированное русло" требованиям, предъявляемым к измерительному участку;
- проводят проверку соответствия предъявляемых требований к средствам измерений параметров водного потока и вспомогательным средствам измерений;
- проводят мероприятия по подготовке к проведению градуировочных работ;
- проводят градуировку с соблюдением последовательности измерений расходов и уровней воды;
- проводят обработку результатов измерений, определяют погрешности, строят градуировочные зависимости и таблицы.
5 Требования к измерительному участку канала
5.1 Проведение градуировки гидрометрических сооружений "фиксированное русло", используемых для определения расхода воды на открытом канале, должно отвечать основным требованиям
ГОСТ Р 51657.3,
[2] -
[4].
5.2 Участок канала (измерительный участок), на котором располагается гидрометрическое сооружение "фиксированное русло", в соответствии с требованиями настоящего стандарта и
[5], должен быть прямолинейным призматическим с постоянной формой поперечного сечения, иметь постоянный прямой уклон дна.
5.3 Измерительный участок канала должен иметь облицовку или фиксирующий поясок в соответствии с требованиями
6.18.2 СП 100.13330.2016, конструкция которых должна обеспечивать постоянство его формы и геометрических размеров с отклонениями не более +/- 2,0% от средних размеров. Облицовка измерительного участка канала может состоять из бетона, монолитного железобетона, железобетонных плит или композитного материала.
5.4 Длина канала должна обеспечивать условия подхода потока воды к измерительному участку в соответствии с требованиями, приведенными в таблице 1 при скорости потока в канале менее 2 м/с.
Таблица 1
Минимально допустимая длина участка канала, оснащенного
гидрометрическим сооружением "фиксированное русло"
Максимальный расход воды в канале, м3/с | Минимально допустимая длина прямолинейного участка, м |
От 0,2 до 5,0 | От 6B до 8B |
От 5 до 10 | От 4B до 6B |
От 10 до 25 | От 3B до 5B |
От 25 до 100 | От 2B до 3B |
Св. 100 | Не менее 1,5B |
Примечание - B - ширина канала по урезу воды, м. |
5.5 При скорости воды в канале более 2 м/с длина участка канала должна приниматься в 1,5 раза больше данных, приведенных в
таблице 1.
5.6 Измерительный участок канала должен быть удален от смежных гидротехнических сооружений и других источников сбойности течения потока на расстояние, исключающее появление в зоне измерений волновых явлений, косоструйности и повышенных пульсаций скорости, и его длина должна составлять не менее 10B.
5.7 Измерительный участок канала должен быть доступен для проведения технологических процедур измерения параметров водного потока. Исключается возможность зарастания и заиления русла канала.
5.8 Перед проведением градуировки проверяют режим движения потока воды в канале для исключения влияния на точность измерений попеременных кривых подпора и спада водной поверхности, т.е. подпорно-переменного режима движения потока воды в зоне размещения гидрометрического сооружения "фиксированное русло".
5.9 При невозможности по технологическим причинам производства оперативной проверки влияния подпорно-переменного режима и гистерезисных явлений допускается осуществлять контрольные операции в течение сезона эксплуатации сооружения. В этом случае результаты градуировки и метрологической аттестации гидрометрического сооружения утверждают после получения положительных результатов проверки.
5.10 В каналах с расходом более 25 м3/с и скоростью потока менее 1,5 м/с допускается использование измерительных участков без сплошной облицовки при условии планировки и уплотнения дна и откосов, обеспечивающих отклонения от средних линейных и угловых размеров сечения не более 2,0%, и создания фиксирующего пояска в створе измерений.
5.11 Измерительный участок канала должен быть оборудован средствами гидрометрической переправы. Конструкцию переправы рекомендуется выбирать по таблице 2.
Таблица 2
Данные для выбора конструкции гидрометрической переправы
Средство переправы | Ширина канала по верху, м |
Гидрометрический мостик жесткой конструкции | До 20 |
Подвесной гидрометрический мостик на стальных канатах | От 20 до 50 |
5.12 При отсутствии гидрометрического мостика допускается применение лодочной переправы из двух тросов. На одном из тросов размечается положение промерных вертикалей, на другом крепится лодка.
5.13 Стационарные гидрометрические сооружения типа "фиксированное русло" должны быть оборудованы успокоительными устройствами для размещения средств измерений уровня воды, рекомендуемые конструкции которых приведены в приложении А на
рисунке А.1.
5.14 Не допускается применение успокоительных устройств типа выносных колодцев в каналах со скоростью потока более 1,5 м/с и шириной русла менее 10 м.
5.15 На каналах с концентрацией взвешенных наносов более 1 кг/м3 должны предусматриваться меры по предотвращению заиления успокоительных устройств.
5.16 На участке расположения стационарных гидрометрических сооружений должен быть установлен топографический репер и определены геодезические отметки дна канала и начала шкалы уровнемера (см. приложение Б,
рисунок Б.1).
6 Требования к средствам измерений параметров водного потока и вспомогательным средствам измерений
6.1 Для проведения работ по градуировке гидрометрических сооружений "фиксированное русло" следует применять средства измерений утвержденного типа и прошедшие поверку в соответствии с законодательством Российской Федерации об обеспечении единства измерений
[3].
6.2 Для проведения линейно-угловых измерений могут применяться следующие геодезические инструменты:
- рейки нивелирные длиной от 1,0 до 4,0 м по
ГОСТ 10528;
- ленты мерные и рулетки металлические классов 1, 2 или 3 длиной от 1 до 50 м, ценой деления не более 0,001 м по всей длине шкалы по
ГОСТ 7502;
- тахеометры класса точности Та2 по ГОСТ Р 51774.
6.3 Для измерения скорости потока могут применяться измерители скорости водного потока различных видов и типов, обеспечивающие максимальную погрешность измерения не более +/- 2%.
6.3.1 При применении гидрометрических вертушек рекомендуется руководствоваться ГОСТ 15126.
6.3.2 При применении ультразвуковых (акустических) измерителей скорости рекомендуется руководствоваться ГОСТ Р 51657.5.
6.4 Для измерения уровней воды допускается применение любых типов уровнемеров, в том числе штриховые меры длины (гидрометрические рейки), соответствующие условиям эксплуатации и требованиям
ГОСТ 28725.
7 Подготовка к проведению градуировки
7.1 Градуировку гидрометрического сооружения типа "фиксированное русло" проводят:
- в начале эксплуатации гидрометрического сооружения;
- после завершения ремонта, не связанного с изменением конструкции и габаритов гидрометрического сооружения;
- при изменении режима работы канала на участке расположения;
- при замене комплектующих приборов;
- по требованию Федерального агентства по техническому регулированию и метрологии или его уполномоченного представителя.
7.2 Перед выездом на объект для проведения градуировочных работ проверяют:
- соответствие приборов и оборудования, входящих в состав средств измерений, предъявляемым требованиям согласно
[3] и условиям эксплуатации объекта;
- наличие сведений об утвержденном типе средств измерений (наличие свидетельств или сертификатов об утверждении типа) и их поверке (наличие знака поверки или свидетельства о поверке, или записи о проведенной поверке, заверенной подписью поверителя и знаком поверки с указанием даты поверки в паспорте или формуляре) в Федеральном информационном фонде по обеспечению единства измерений согласно
[4].
7.3 Перед градуировкой гидрометрического сооружения "фиксированное русло" проверяют состояние измерительного участка для установления соответствия установленным требованиям
(раздел 5).
7.4 Проверку проводят методами визуального осмотра и инструментальной съемки объекта по следующим показателям:
- диапазону изменения расхода и уровней воды;
- допускаемой скорости потока;
- отсутствию заиления и зарастания участка расположения средства измерений;
- отсутствию дефектов облицовки и прочих повреждений на участке расположения средства измерений;
- отсутствию размывов русла на прилегающих к средству измерений участках каналов;
- допускаемому расстоянию от средства измерений до гидротехнических сооружения и других источников, влияющих на режим потока в гидрометрическом створе.
7.5 В случае несоответствия гидрометрического сооружения установленным требованиям, исполнителями совместно с представителями заинтересованных организаций определяется необходимый состав мероприятий по исправлению недостатков и намечаются сроки их устранения. До завершения работ по устранению выявленных недостатков проведение градуировки и аттестации гидрометрического сооружения не допускается.
7.6 Основной комплекс работ по подготовке измерительного участка, включая разбивку скоростных вертикалей, измерение параметров сечения русла и привязку характерных отметок сечения гидрометрического сооружения к отметкам топографического репера или марки, следует выполнять, как правило, при отсутствии воды в канале.
7.7 Разбивку гидрометрического створа, перпендикулярного к оси канала, проводят с помощью теодолита с вешками и закрепляют с помощью постоянных створных знаков на противоположных берегах (дамбах) канала. Как правило, направление тросов переправ или боковых граней гидрометрических мостиков должно совпадать с расположением гидрометрического створа.
7.8 Для определения формы и размеров сечения канала проводят исполнительную геодезическую съемку русла канала с помощью нивелира и геодезических реек.
7.9 Если по данным съемки сечение канала имеет форму правильного прямоугольника или трапеции с отклонениями от заданных отметок не более +/- 0,2% от горизонтали, разбивку скоростных вертикалей проводят по данным таблицы 3 в зависимости от ширины канала. Схемы разбивки скоростных вертикалей приведены в приложении В на
рисунках В.1а и
В.1б. Число вертикалей не должно быть менее девяти при ширине канала по дну более 2 м.
7.10 В руслах трапецеидального сечения скоростные вертикали следует разбивать не только по дну, но и на откосах канала (см.
рисунок В.1а).
7.11 Если по данным съемки сечение канала имеет полигональную форму, следует проводить дополнительную разбивку вертикалей в характерных точках перелома поперечного профиля русла (см.
рисунок В.1б). Данные для выбора расстояния между скоростными вертикалями размещены в таблице 3.
Таблица 3
Данные для выбора расстояния между скоростными вертикалями
Ширина канала по дну, м | Максимальное расстояние между скоростными вертикалями, м |
До 2,00 | От 0,20 до 0,25 |
От 2,00 до 5,00 | От 0,25 до 0,50 |
От 5,00 до 10,00 | От 0,50 до 1,00 |
От 10,00 до 25,00 | От 1,00 до 2,50 |
От 25,00 до 50,00 | От 2,50 до 5,00 |
От 50,00 до 100,00 | От 5,00 до 10,00 |
От 100,00 до 200,00 | От 10,00 до 15,00 |
Св. 200,00 | От 15,00 до 20,00 |
7.12 Положение скоростных вертикалей должно оставаться постоянным и фиксироваться следующим образом:
- в створах, оборудованных гидрометрическими мостиками жесткого или подвесного типа, скоростные вертикали фиксируются разметкой на настиле мостика или его несущих конструкциях;
- в створах, оборудованных лодочной переправой, скоростные вертикали фиксируются по разметке троса.
7.13 Измерения линейных размеров, включая ширину створа по дну, расстояния между вертикалями и расстояния от крайних вертикалей до урезов воды, следует проводить не менее двух раз с помощью металлических рулеток с погрешностью не более 0,5% от номинальных значений. Данные измерений фиксируются в технической ведомости сооружения вместе со схемой поперечного разреза канала и схемой разбивки вертикалей.
7.14 Исполнительная нивелировка, по результатам которой определяют отметки дна канала на каждой вертикали и нуля шкалы уровнемерного устройства, а также проводят привязку указанных отметок к отметке топографического репера, должна обеспечивать погрешность всех измерений не более +/- 0,2% от измеренных значений. Результаты нивелировки фиксируют в технической ведомости сооружения.
7.15 При непрерывной работе канала в течение года разбивка вертикалей и определение формы и размеров сечения канала следует проводить при минимальных уровнях воды в канале. В этом случае разбивку вертикалей следует проводить штангой при глубине потока до 4 м, либо с помощью троса с закрепленным на нем грузом. При глубине потока более 4 м работы проводят с гидрометрического мостика или разметочного троса. Положение троса или штанги при разбивке вертикалей контролируют с помощью отвеса. В указанных условиях исполнительную нивелировку гидрометрического створа не проводят.
7.16 Перед началом градуировки гидрометрического сооружения должны быть выполнены:
- контроль отсутствия заиления, зарастания и деформаций русла канала путем внешнего осмотра и выборочных промеров с помощью штанги или троса с грузом;
- контроль правильности разбивки вертикалей с помощью рулетки, а также правильности измерения расстояний между вертикалями и общей ширины канала по дну и по верху;
- контроль правильности привязки нуля шкалы уровнемера и характерных точек сечения канала к отметке топографического репера или марки с помощью нивелира и реек;
- контроль средств измерений в соответствии с инструкциями по эксплуатации или описанием порядка работы в паспорте приборов.
8 Технология градуировки гидрометрического сооружения "фиксированное русло"
8.1 Последовательность измерений расходов и уровней воды при градуировке створа измерительного участка
8.1.1 Проведение операций градуировки гидрометрического сооружения "фиксированное русло" допускается только после стабилизации режима потока или при амплитуде колебаний уровня воды в успокоительном устройстве не более 1,0% от вычисленной средней глубины воды в канале.
8.1.2 После завершения переходных процессов в канале фиксируют время начала работ и положение уровня воды по показаниям уровнемера.
8.1.3 В дополнение к данным разбивки скоростных вертикалей измеряют расстояние от постоянного начала (бровки канала) до уреза воды, а также от уреза до ближайшей скоростной вертикали. Проекции этих точек на горизонтальную плоскость устанавливают с помощью штанги или отвеса. Если расстояние от уреза воды до ближайшей вертикали составляет более 60% от расстояния между вертикалями, то следует ввести дополнительные вертикали у уреза воды. Глубина воды на приурезной вертикали должна быть не менее 0,20 м.
8.1.4 В створе измерительного участка канала глубины потока hп, м, рассчитывают по формуле

, (1)
где

- геодезическая отметка начала шкалы уровнемера, м;
H0 - показание уровнемера, м;

- геодезическая отметка дна канала на вертикали, м.
Данные для расчетов по
формуле (1) следует использовать из журнала исполнительной нивелировки.
8.1.5 При амплитуде пульсаций уровня воды, превышающей 0,05 м, для определения глубин потока на каждой вертикали проводят дополнительную геодезическую съемку уровней воды. При съемке рекомендуется использовать нивелирную рейку с закрепленным на ее нижнем торце металлическим стержнем либо крючковую рейку. На каждой вертикали снимается не менее двух отсчетов по рейке, соответствующих максимальному и минимальному значениям уровня воды, и определяется среднее значение. В этом случае глубины потока на каждой вертикали рассчитывают по формуле

, (2)
где

- средняя геодезическая отметка уровня поверхности воды, м, вычисляемая следующим образом:

, (3)
где

- геодезическая отметка репера, м;
yр - отсчет по шкале нивелирной рейки на репере или марке, м;
yср - среднее арифметическое из отсчетов по шкале нивелирной рейки при измерении уровня, м.
8.1.6 При отсутствии данных геодезической съемки для определения глубины потока, превышающей 1 м на каждой вертикали, следует проводить промеры с помощью штанги, а при глубинах более 4 м - с помощью лота (троса с грузом). При амплитуде пульсаций поверхности воды более 0,05 м среднее значение глубины определяют по результатам пяти измерений максимального и минимального значений уровня воды.
8.1.7 Допустимая относительная погрешность измерений уровня воды не должна превышать в диапазоне (0,25 - 1,00)hп:
- по уровнемеру в успокоительном устройстве +/- 1%;
- при определении глубины на каждой вертикали при фиксированном русле канала и амплитуде пульсаций уровня воды в канале (до 0,05 м) +/- 2%.
8.1.8 При измерении скорости потока количество точек установки первичного преобразователя скорости (гидрометрической вертушки) на каждой вертикали и координаты их расположения должны приниматься согласно
таблице 4 и приложению В,
рисунок В.2.
8.1.9 При определении координат установки первичного преобразователя скорости допускается осуществлять отсчет от поверхности воды, если амплитуда пульсации уровня не превышает 0,05 м.
Таблица 4
Данные для выбора количества точек установки
преобразователя скорости (гидрометрической вертушки)
Глубина потока на вертикали, м | Допускаемое количество точек установки первичного преобразователя вертушки на вертикали, шт. | Координаты установки первичного преобразователя вертушки на вертикали (при отсчете от дна канала) |
Менее 0,30 | 1 | 0,40hп |
От 0,30 до 0,50 | 2 | 0,20hп; 0,80hп |
От 0,50 до 0,80 | 3 | 0,20hп; 0,40hп; 0,80hп |
Св. 0,80 | 5 | 0,10 м от дна; 0,20hп; 0,40hп; 0,80hп и у поверхности (hпов) |
То же при наличии ледяного покрова | 6 | 0,10 м от дна; 0,20hп; 0,40hп; 0,60hп; 0,80hп и на расстоянии 0,10 м от поверхности льда |
8.1.10 Абсолютные отклонения точки установки первичного преобразователя скорости в потоке от заданных координат на вертикали, м, не должны превышать:
- +/- 0,01 - при установке на штанге;
- +/- 0,02 - при установке на тросе с грузом.
8.1.11 При использовании гидрометрической вертушки необходимо соблюдение условий, чтобы кромка лопасти винта находилась не менее 2 - 3 см от поверхности и дна.
8.1.12 Применение метода "скорость - площадь" при градуировке ограничивает диапазон измеряемой скорости потока воды от 0,2 до 3,5 м/с.
8.1.13 Порядок измерения скорости потока гидрометрическими вертушками с контактом через 20 оборотов приведен в
приложении Г.
8.1.14 Технология измерений скоростей потока должна соответствовать порядку проведения работ, изложенных в паспортах на конкретные виды приборов. Допускается одновременное измерение скорости потока на вертикали двумя и более приборами.
8.1.15 При проведении измерений расхода воды измерение каждого линейно-углового параметра, уровней воды и скорости потока в каждой точке следует проводить не менее двух раз, за исключением приведенного в
8.1.5. Рекомендуется измерять скорость потока двумя различными вертушками или другими измерителями скорости для исключения систематической погрешности.
8.1.16 В зависимости от применяемых средств измерений скорости движения воды и требований водопользователей допускается применять методики измерения расхода воды, использующие основной и детальный способы (вариант применения гидрометрических вертушек). В случае использования ультразвуковых и электромагнитных измерителей скорости необходимо применять методики измерения, рекомендуемые разработчиками средств измерений.
8.1.17 Методики измерения расхода воды основным или детальным способами аналогичны и различаются лишь следующими показателями:
- при основном способе допускается принимать сокращенное число точек установки первичного преобразователя вертушек на каждой вертикали, по сравнению с данными
таблицы 4, в том числе при глубине потока до 0,50 м - в одной точке на расстоянии 0,40
hп от дна (0,60
hп от поверхности уровня воды); при глубине потока свыше 0,50 м - в двух точках на расстоянии 0,20
hп и 0,80
hп от дна;
- измерения скорости потока допускается проводить одной вертушкой или другим измерителем скорости без дублирования;
- допустимое число измерений других параметров выбирают согласно
8.1.15;
- расстояние между скоростными вертикалями допускается увеличить в 1,5 раза, по сравнению с данными
таблицы 3, но число вертикалей следует принимать не менее пяти.
8.2 Последовательность проведения градуировки
8.2.1 Осуществляют предварительную регулировку расхода воды в канале.
8.2.2 При регулировке расходов воды в канале, с которыми увязываются результаты градуировки, необходимо учитывать следующие условия:
- максимальный измеренный расход должен соответствовать величине, составляющей не менее 90% от максимального расхода воды в канале;
- минимальный измеренный расход должен соответствовать величине, составляющей не более 10% от максимального расхода воды в канале;
- все промежуточные измеренные расходы должны равномерно распределяться внутри диапазона измерений. Величины расхода воды, соответствующие двум ближайшим точкам, должны различаться между собой более чем на 5% от средней величины расхода.
8.2.3 При установившемся режиме потока в канале последовательность измерения расхода воды проводят согласно
8.1.
8.2.4 Одновременно с началом проведения измерений фиксируется величина уровня воды на градуируемом гидрометрическом сооружении типа "фиксированное русло" по уровнемерному устройству. Допустимая погрешность измерения уровня должна находиться в пределах значений, указанных в таблице 5.
Таблица 5
Предел допускаемой погрешности измерений уровня
Наименование показателя | Уровень воды (УВ), м |
менее 0,10 | от 0,10 до 0,25 | от 0,25 до 1,00 |
Отношение фактической величины уровня к его верхнему пределу, % | 4,0 | 2,0 | 1,0 |
8.2.5 Операции градуировки повторяют после изменения величины расхода воды в канале. Допустимое число измерений для построения градуировочной зависимости должно быть не менее восьми.
8.2.6 Градуировку гидрометрического сооружения типа "фиксированное русло" следует проводить без перерыва, если режим эксплуатации канала позволяет осуществлять регулирование расходов без ущерба для производства. В остальных случаях допускается проводить градуировку по мере плановых изменений величины расхода воды в канале.
8.2.7 При неравномерном режиме потока воды в канале период измерения скорости потока в точке измерения должен составлять от 20 до 25 мин. В течение указанного периода времени уровень воды в створе измерительного участка канала не должен изменяться более чем на 0,02 м.
8.2.8 Во избежание появления дополнительной погрешности градуировки измерения расхода воды следует проводить при:
- температуре воздуха от 278 до 303 К (от 5 °C до 30 °C);
- скорости ветра не более 5 м/с;
- отсутствие тумана (прямая видимость объектов не менее 100 м).
8.2.9 После завершения градуировки составляется акт о проведении градуировки (см.
приложение Д).
8.3 Обработка результатов измерений
8.3.1 Вычисление расхода воды
Q, м
3/с, по результатам измерения линейно-угловых параметров сечения канала, глубины, местных скоростей потока проводят согласно методике
[5] по формуле

, (4)
где K - коэффициент скорости для прибрежных отсеков, который следует принимать равным:
- 0,90 - для гладких бетонных облицовок со средней высотой выступов неровностей менее 0,01 м;
- 0,85 - для неровных облицовок из монолитного бетона и железобетонных плит со средней высотой выступов неровностей от 0,01 до 0,03 м;
- 0,80 - для облицовок из необтесанного камня, булыжника и для необлицованных откосов каналов со средней высотой выступа неровностей от 0,03 до 0,05 м;
- 0,70 - для каналов с пологими берегами, имеющими заложение откосов от 1:2,5 до 1:5, без облицовки;
V1 ... Vn - средние скорости на вертикалях, м/с;
f1 ... fn - площади отсеков между соседними вертикалями, м2;

,

- площади отсеков прибрежных вертикалей, м
2.
8.3.2 Площади отсеков потока f, м2, между вертикалями определяют по следующим формулам:
- для прибрежных отсеков на каналах с откосами:

, (5)
- для прибрежных отсеков на каналах с вертикальными стенками и всех прочих отсеков:
fn = 0,5(hn1 + hn)bn1, (6)
где b0, bn - расстояния от соответствующих урезов воды до ближайших скоростных вертикалей, м;
bn1 - расстояние между вертикалями, м;
h ... hn - глубины потока на вертикалях, м.
8.3.3 Среднюю скорость потока на вертикалях Vn, м/с, определяют по формулам:
- при установке вертушки в одной точке на вертикали:
- то же в двух точках:
Vn = 0,5(V0,2 + V0,8), (8)
- то же в трех точках:
Vn = 0,33(V0,2 + V0,4 + V0,8), (9)
- то же в пяти точках:
Vn = 0,083Vдон + 0,173V0,2 +
+ 0,347(V0,4 + V0,8 + 0,05Vпов), (10)
- то же в шести точках и при наличии ледяного покрова:
Vn = 0,1[
Vдон + 2(
V0,2 +
V0,4 +
V0,6 +
V0,8) +
Vпов]. (11)
Схема вычисления расхода воды по результатам измерений и обозначения, указанные в
формулах (7) -
(11), приведены в приложении В на
рисунке В.2.
8.3.4 Определение скорости следует проводить в соответствии с паспортными данными и инструкцией по эксплуатации конкретного вида измерительного прибора.
8.3.5 При использовании гидрометрических вертушек частоту вращения лопастного винта определяют согласно
приложению Г.
8.3.6 После завершения расчетов в ведомости измерений расхода воды
(приложение Е) отмечают расчетные показатели, в том числе расход воды, площадь живого сечения и среднюю скорость потока. Заполненная ведомость подписывается исполнителями, а в случае необходимости и представителями заинтересованных организаций и предприятий.
8.3.7 Конечным результатом градуировки гидрометрического сооружения "фиксированное русло" являются:
- заполненные и подписанные исполнителями ведомости измерения расхода воды методом "скорость - площадь"
(приложение Е);
- подписанные и утвержденные акты о проведении градуировки гидрометрического сооружения
(приложение Д);
- ведомость технических характеристик гидрометрического сооружения
(приложение Ж);
- бланк градуировочной зависимости гидрометрического сооружения
(приложение И);
- расходная таблица, составленная на основании градуировочной зависимости
(приложение К).
8.4 Определение погрешности градуировки
8.4.1 В соответствии с
[5] относительную среднеквадратическую погрешность градуировки гидрометрического сооружения (
SQ), %, рассчитывают с учетом методических, случайных и не устраненных систематических составляющих погрешности по формуле

, (12)
где

- относительная среднеквадратическая погрешность единичного измерения расхода воды методом "скорость - площадь", %;

- относительная среднеквадратическая погрешность построения градуировочной характеристики гидрометрического сооружения, %;

- сумма основных погрешностей средств измерений контролируемых параметров (общее обозначение), %.
8.4.2 Относительная среднеквадратическая погрешность измерения расхода воды методом "скорость - площадь"

, %, должна определяться по формуле

, (13)
где

- величина метрологического параметра;
n - количество отсеков;

- основная относительная погрешность средства измерений скорости потока, %;

- основная относительная погрешность средства измерений времени, %;

- основная относительная погрешность средств измерений линейных параметров измерительного створа, %;

- основная относительная погрешность средства измерений глубины потока на вертикалях, %;

- предел допускаемой относительной погрешности привязки геодезических отметок дна измерительного створа в точках расположения вертикалей к отметкам топографического репера и началу шкалы уровнемера, %;

- предел систематической погрешности, вызванной отклонением фактической эпюры скоростей на вертикалях от определенной при дискретном числе точек установки средств измерения скорости на вертикалях, %.
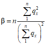
8.4.3 Величину метрологического параметра

в
формуле (13), характеризующую равномерность распределения расхода воды по ширине измерительного створа, рассчитывают по формуле

, (14)
где n - количество отсеков между соседними вертикалями;
qx - удельный расход воды в отсеке между соседними вертикалями, м2/с.
8.4.4 В
формуле (14) значения удельных расходов воды в отсеках между скоростными вертикалями
qx следует принимать из ведомости измерения расхода при градуировке гидрометрического сооружения при значениях расхода, составляющих не менее 85% от максимального для данного объекта. Количество отсеков
n между соседними вертикалями следует принимать из той же ведомости. В случае размещения измерительного створа на каналах трапецеидального сечения, значения удельных расходов
qx в прибрежных отсеках между урезами и крайними скоростными вертикалями в
формуле (14) допускается не учитывать при соответствующем уменьшении количества отсеков
n.
8.4.5 Значения основных погрешностей средств измерений скорости (гидрометрических вертушек)

, средств измерений времени (секундомеров)

, средств измерений линейных параметров (мерных лент или рулеток)

, а также средств измерений глубины потока на вертикалях

должны приниматься из паспортных данных применяемых приборов. Как правило, пределы допускаемых основных погрешностей указанных средств измерений должны составлять:

;

;

;

.
8.4.6 Предел допускаемой погрешности

привязки геодезических отметок дна измерительного створа в точках расположения вертикалей к отметкам топографического репера и началу шкалы (нулю) уровнемера должен составлять не более 0,5%.
8.4.7 Предел систематической погрешности, вызванной отклонением фактической эпюры скоростей на вертикалях от определенной при конечном числе точек установки средств измерений скорости на вертикали, следует принимать по данным таблицы 6.
Таблица 6
Предел систематической погрешности
Количество точек установки вертушки на вертикали, шт. | Предел систематической погрешности  , % |
1 | 1,8 |
2 | 1,6 |
3 | 1,4 |
4 | 1,2 |
5 | 1,0 |
8.4.8 Относительную погрешность построения градуировочной характеристики гидрометрического сооружения

, %, следует определять как среднее квадратическое отклонение результатов измерения расхода от соответствующих значений расхода, определенных по градуировочной характеристике, снятых с графика либо рассчитанных по аналитической зависимости. Величина

является комплексной оценкой погрешности, учитывающей не исключенные систематические составляющие погрешности, связанные с колебаниями величин расхода и уровня воды в процессе измерений, несинхронностью работы секундомеров и вертушек, а также с пульсационными характеристиками потока. Величину градуировки

, %, рассчитывают по формуле

, (15)
где Qi - значение расхода воды, принятое из ведомости измерения расхода при градуировке, м3/с;

- значение расхода воды, определенное по градуировочному графику при значениях контролируемого параметра (например, уровня воды), соответствующих каждому значению
Qi, м
3/с;
n - число результатов измерений;
i - порядковый номер измерений.
8.4.9 Величина основной погрешности средств измерений контролируемых параметров гидрометрического сооружения

должна приниматься из паспортных данных или свидетельств о поверках конкретных приборов. В случае использования в составе гидрометрического сооружения нескольких средств измерений, например, самопишущих или интегрирующих приборов, в
формуле (12) следует суммировать основные погрешности всех применяемых средств измерений.
8.4.10 Для определения погрешности градуировочной характеристики средств измерений рекомендуется руководствоваться
[6].
8.4.11 Результаты градуировки считаются положительными, если расчетная величина погрешности градуировки не превышает допустимого значения +/- 5%.
9 Требования к квалификации исполнителей и технике безопасности работ
9.1 Выполнение измерений расхода воды методом "скорость - площадь" должно проводиться специалистами соответствующих квалификаций (техник-гидротехник, гидротехник), усвоившими методику выполнения измерений
[5], основные требования настоящего стандарта, инструкции по эксплуатации средств измерений и имеющими практический опыт их применения.
9.2 При оборудовании гидрометрического сооружения типа "фиксированное русло" приборами, входящими в системы дистанционного либо автоматизированного управления и контроля и требующими наличия источников электроэнергии, вышеуказанные специалисты, выполняющие измерения, должны проходить специальный курс подготовки по эксплуатации и обслуживанию этих приборов.
9.3 Специалисты, проводящие обработку результатов измерений, должны знать технологии расчетов и графоаналитических построений и уметь обращаться с индивидуальной вычислительной техникой и оборудованием.
9.4 К выполнению измерений расхода воды допускаются лица, прошедшие инструктаж по технике безопасности, зарегистрированный в специальном журнале. Выполнение измерений расходов воды методом "скорость - площадь" должно осуществляться с учетом обеспечения безопасности труда по
ГОСТ 12.0.230 и
[7].
(рекомендуемое)
ТИПОВЫЕ СХЕМЫ УСТАНОВКИ УРОВНЕМЕРОВ
а - береговой ковш; б - береговой колодец с открытым лотком;
в - береговой колодец с подводящей трубой; г - консольный
выносной колодец; д - свайный выносной колодец;
е - уровнемерная рейка в русле
Рисунок А.1 - Типовые схемы установки уровнемеров
в успокоительных устройствах
(рекомендуемое)
СХЕМА ГИДРОМЕТРИЧЕСКОГО СООРУЖЕНИЯ "ФИКСИРОВАННОЕ РУСЛО"
B - ширина дна канала; B1 - ширина канала поверху;
R - топографический репер; P1 - геодезическая отметка
дна канала, м; P2 - геодезическая отметка начала шкалы
уровнемера, м; P3 - средняя геодезическая отметка
поверхности воды, м
Рисунок Б.1 - Схема стационарного гидрометрического
сооружения "фиксированное русло"
(справочное)
СХЕМЫ РАЗБИВКИ СКОРОСТНЫХ ВЕРТИКАЛЕЙ
а - при трапецеидальной форме сечения канала
б - при полигональной форме сечения канала

- отметки характерных точек;
b0,1,...,n - расстояние между вертикалями, м;
f1,2,...,n - площади между отсеками, м2
Рисунок В.1 - Схемы разбивки скоростных вертикалей

- координаты установки вертушки на вертикалях;

- отметки характерных точек;

- номера вертикалей;
b0,1,...,n - расстояние между вертикалями, м;
h1,2,...,n - глубина потока для координат установки
первичного преобразователя вертушки (при отсчете от дна
канала) на вертикалях 1, 2,..., n, м; hдна - глубина потока
для координат установки первичного преобразователя
вертушки у дна, м; hпов - глубина потока для координат
установки первичного преобразователя вертушки
на водной поверхности, м
Рисунок В.2 - Схема измерения и расчета расхода воды
методом "скорость - площадь"
(справочное)
ПОРЯДОК ИЗМЕРЕНИЯ СКОРОСТИ ПОТОКА
Г.1 Порядок измерения скорости потока гидрометрическими вертушками с контактом через 20 оборотов
Первичный преобразователь вертушки устанавливают в заданной точке и выдерживают в потоке не менее 10 с для того, чтобы ее лопасти приобрели равномерную скорость вращения.
Синхронно с появлением звукового или светового сигнала включают секундомер и фиксируют число сигналов за один прием, продолжительность которого должна составлять не менее 25 с.
Без выключения секундомера фиксируют продолжительность последующих приемов при том же числе сигналов, что и в первом приеме. Число приемов назначается четным. Общая продолжительность выдержки первичного преобразователя вертушки в точке должна быть не менее установленной.
Синхронно с появлением последнего сигнала секундомер выключается, и в бланке записывается общая продолжительность выдержки первичного преобразователя вертушки между первым и последним сигналами с точностью до 0,2 с и общее число оборотов вертушки.
Контролем правильности работы вертушки является сравнение продолжительности периодов за каждый прием, которые не должны отличаться между собой более чем на 2 с.
Если при регистрации времени наблюдается неравномерное вращение лопастей вертушки, измерение прекращают, устанавливают и устраняют причину явления, после чего измерения повторяют вновь.
При использовании вертушки ГР-99 технология измерения скорости потока в точке отличается от изложенной в
разделе 8 тем, что фиксируют лишь общую продолжительность первичного преобразователя вертушки в заданной точке и общее число оборотов вертушки за этот период, а регистрацию промежуточных показаний за каждый прием не ведут.
При использовании вертушки ВГ-1-120-70 в комплекте с измерителем скорости течения ИСТ 1-0,06/120/70 в режиме счета оборотов лопастного винта технология измерений соответствует излагаемой в данном приложении, а в режиме автоматического контроля продолжительность периода выдержки в потоке устанавливают регулировкой специального переключателя на лицевой панели прибора на любой из диапазонов (60 или 100 с). После включения кнопки "ПУСК" измерения проводят автоматически. Результаты измерений отражаются на цифровом табло после включения кнопки "ИНД".
Г.2 Порядок определения скорости потока в точке
При использовании вертушек ГР-21, ГР-55, ГР-99, а также вертушки ВГ-I-120/70 в комплекте с измерителем скорости течения ИСТ 1-0,06/120/70, работающим в режиме счета оборотов лопастного винта, рассчитывают частоту вращения лопастного винта m по формуле
m = N/T, (Г.1)
где N - сумма оборотов лопастей вертушки за период измерений;
T - период измерений скорости потока, с.
Скорость потока в точке определяют по градуировочному графику или уравнению, приведенному в паспорте или свидетельстве о поверке каждой конкретной вертушки в зависимости от вычисленного значения частоты вращения лопастей.
При использовании вертушки ВГ-I-120/70 в комплекте с ИСТ 1-0,06/120/70 в режиме автоматического контроля скорость потока в точке определяют по индикации показаний на цифровом табло.
В случае применения ГР-21 и ГР-55 число оборотов лопастей вертушки за прием определяют умножением числа интервалов между сигналами за один прием на число оборотов лопастей за один интервал.
Продолжительность наблюдений по приемам в нарастающем порядке записывают в ведомость по показаниям секундомера. Общее число оборотов вертушки определяют умножением числа оборотов за один прием на число приемов.
При использовании вертушек в режиме счета оборотов лопастного винта в ведомости записывают общее число оборотов по показаниям индикатора счетчика и общей продолжительности наблюдения без промежуточных измерений по приемам.
(справочное)
ФОРМА АКТА О ПРОВЕДЕНИИ ГРАДУИРОВКИ
СОГЛАСОВАНО УТВЕРЖДАЮ
___________________ ___________________
___________________ ___________________
___________________ ___________________
"__" _______20__ г. "__" _______20__ г.
АКТ
о проведении градуировки на
___________________________________________________________________________
___________________________________________________________________________
1 Мы, нижеподписавшиеся _____________________________________________
________________________ провели "__" _______ 20__ г.
градуировку _____________________, используемого для измерения расхода воды
(гидрометрического сооружения). Сведения о конструкции и размерах
гидрометрического сооружения: _____________________________________________
___________________________________________________________________________
___________________________________________________________________________
___________________________________________________________________________
2 Градуировка проведена при измерении __________ значений расходов воды
детальным способом.
Диапазон измерений: Qmax = ____ м3/с, Qmin = ____ м3/с. Пропускная
способность канала _____ м3/с.
3 При градуировке (аттестации) гидрометрического сооружения
использовался _____________________ гидрометрический створ, расположенный
на расстоянии _____ м от гидрометрического сооружения.
4 Характеристика гидрометрического створа. Число скоростных
вертикалей - ____________, расстояние между ними - _____ м. Состояние русла
канала в створе: ___________________________________
5 Измерение скоростей течения воды проводилось:
___________________________________________________________________________
(название средства измерения скорости, место тарировки,
дата и название тарировавшей организации)
____________________ устанавливался на ____________________________________
(штанга, трос)
Скорости течения потока измерялись в _____ точках на вертикали.
6 Условия проведения градуировки (аттестации) _________________________
7 Результаты градуировки (аттестации) _________________________________
___________________________________________________________________________
Измеренные расходы воды, м3/с | Измеренные значения контролируемых параметров |
Наименование контролируемого параметра | Наименование контролируемого параметра |
отсчеты по шкале средства измерений | приведенное значение контролируемого параметра | отсчеты по шкале средства измерений | приведенное значение контролируемого параметра |
| | | | |
8 По результатам проведения градуировки построена градуировочная
зависимость Q = f(H) методом ______________________________________________
___________________________________________________________________________
(наименование метода, установление зависимости)
Относительная погрешность результатов (аттестации) градуировки
не превышает _______%.
Градуировочные таблицы ________________________________________________
рассчитаны по следующей зависимости:
Q = ________, где значения коэффициентов определяются по полученной(ым)
зависимости(ям).
9 Заключение __________________________________________________________
(устанавливается достоверность результатов
градуировки (аттестации),
___________________________________________________________________________
возможность проведения учета расходов воды по градуировочной
зависимости сооружения)
___________________________________________________________________________
___________________________________________________________________________
___________________________________________________________________________
___________________________________________________________________________
___________________________________________________________________________
Ответственный за проведение
градуировочных работ (аттестации): _______________
Исполнители: _______________
_______________
"__" _______ 20__ г.
(справочное)
ВЕДОМОСТЬ ИЗМЕРЕНИЙ РАСХОДА ВОДЫ
МЕТОДОМ "СКОРОСТЬ - ПЛОЩАДЬ"
___________________________________________________________________________
наименование министерства, ведомства
Участок _________ канал _________ гидрометрическое сооружение ________ N _____ ПК _____
ВЕДОМОСТЬ ИЗМЕРЕНИЙ РАСХОДА ВОДЫ N ________
Начало измерений __ ч __ мин
Конец измерений __ ч __ мин
Средство измерений скорости _______ тип ______ N ______ Показание уровнемера:
Опускался со штанги __________ с троса с грузом ____ кг в начале измерения ________________________
Последнее измерение производилось "__" ________ 20__ г. в конце измерения _________________________
Состояние погоды ______________________________________ среднее ___________________________________
Мутность _________ донные наносы + ______ мусор + _____ Q = F =
Прочие сведения и примечания ___________________ VСР = B =
N вертикали | Расстояние между вертикалями, м | Глубина воды на вертикали, м | Средняя глубина воды между вертикалями, м | Площадь живого сечения между вертикалями, м2 | Расстояние от точки измерения до дна, м | Число оборотов лопастей вертушки за прием | Продолжительность измерения по приемам от начала работы, с (заполняется при использовании вертушек ГР-21 и ГР-55) | Число оборотов на весь период | Число оборотов лопастей в 1 с | Скорость потока в точке, м/с | Средняя скорость на вертикали, м/с | Средняя скорость между вертикалями, м/с | Расход воды между вертикалями, м3/с |
1 | 2 | 3 | 4 | 5 |
1 | 2 | 3 | 4 | 5 | 6 | 7 | 8 | 9 | 10 | 11 | 12 | 13 | 14 |
Составил __________ _____________
Проверил __________ _____________
Ведомость измерений расхода воды
методом "скорость - площадь"
___________________________________________________________________________
наименование министерства, ведомства
Участок _________ канал _________ гидрометрическое сооружение ________ N _____ ПК _____
ВЕДОМОСТЬ ИЗМЕРЕНИЙ РАСХОДА ВОДЫ N ________
Начало измерений __ ч __ мин
Конец измерений __ ч __ мин
Средство измерений скорости _______ тип ______ N ______ Показание уровнемера:
Опускался со штанги __________ с троса с грузом ____ кг в начале измерения ________________________
Последнее измерение производилось "__" ________ 20__ г. в конце измерения _________________________
Состояние погоды ______________________________________ среднее ___________________________________
Мутность _________ донные наносы + ______ мусор + _____ Q = F =
Прочие сведения и примечания ___________________ VСР = B =
N вертикали | Расстояние между вертикалями, м | Глубина воды на вертикали, м | Средняя глубина воды между вертикалями, м | Площадь живого сечения между вертикалями, м2 | Расстояние от точки измерения до дна, м | Скорость потока в точке, м/с (заполняется при использовании вертушек типа МКРС, ГМЦМ-1 с вторичными преобразователями) | Средняя скорость на вертикали, м/с | Средняя скорость между вертикалями, м/с | Расход воды между вертикалями, м3/с |
1 | 2 | 3 | 4 | 5 | 6 | 7 | 8 | 9 | 10 |
Составил __________ _____________
Проверил __________ _____________
(справочное)
Ведомость технических характеристик
гидрометрического сооружения
1 _________________________________________________________________________
(наименование канала, пикет)
2 _________________________________________________________________________
(назначение гидрометрического сооружения)
3 _________________________________________________________________________
(тип, конструктивные особенности, особенности
расположения и эксплуатации)
4 _________________________________________________________________________
(характеристика гидравлического режима)
___________________________________________________________________________
5 Гидрометрическое сооружение установлено в ________ г.
6 Сметная и фактическая стоимость _________________________________________
7 Схема расположения ______________________________________________________
8 Технические характеристики ______________________________________________
___________________________________________________________________________
собственно гидрометрического сооружения ___________________________________
___________________________________________________________________________
средств измерений уровней воды ____________________________________________
___________________________________________________________________________
средств переправы _________________________________________________________
___________________________________________________________________________
успокоительного устройства ________________________________________________
___________________________________________________________________________
облицовки измерительного участка __________________________________________
___________________________________________________________________________
реперов и створных знаков _________________________________________________
___________________________________________________________________________
средств автоматизации и телемеханизации ___________________________________
___________________________________________________________________________
вспомогательного оборудования и инвентаря _________________________________
9 Гидравлические элементы
Наименование гидравлического элемента | Значение гидравлического элемента |
канал | водовыпуск из канала | контрольное сечение |
Максимальный расход воды, м3/с | | | |
Строительная глубина, м | | | |
Ширина по дну, м | | | |
Ширина по верху, м | | | |
Заложение откосов | | | |
Площадь живого сечения, м2 | | | |
Максимальное наполнение, м | | | |
Максимальная скорость потока, м/с | | | |
Максимальный гидравлический радиус, м | | | |
Максимальный перепад уровней в бьефах, м | | | |
Уклон дна | | | |
10 Условные отметки характерных точек
Наименование характерных точек | Время измерения, год |
20__ | 20__ | 20__ | 20__ |
Репер | | | | |
Бровка канала | | | | |
Дно канала | | | | |
Начало шкалы уровнемера | | | | |
11 ________________________________________________________________________
(отметки о проведении капитальных ремонтов
гидрометрического сооружения)
___________________________________________________________________________
12 ________________________________________________________________________
(отметки о проведении градуировок гидрометрического сооружения)
___________________________________________________________________________
___________________________________________________________________________
___________________________________________________________________________
____________ 20__ г. Подписи
_______________
_______________
(справочное)
БЛАНК ГРАДУИРОВОЧНОЙ ЗАВИСИМОСТИ
ГИДРОМЕТРИЧЕСКОГО СООРУЖЕНИЯ
для гидрометрического сооружения N _____ типа "фиксированное русло" ______,
расположенного на ПК ______ канала ______ оросительной системы ____________
___________________________________________________________________________
наименование министерства, ведомства
| | УТВЕРЖДАЮ | |
__________________________ |
______ _____________ 20__ г. |
Результаты градуировки |
Показания по шкале средства измерений, м | Измеренные расходы воды, м3/с |
| |
Составил __________________
Проверил __________________ Согласовано ________________
(справочное)
Зависимость расхода воды от _______________________________________________
Q = f(H) на гидрометрическом сооружении N _________________________________
типа _____________, расположенного ________________________________________
на ПК _________________ канала ____________________________________ системы
Десятые доли метра | Расход воды, м3/с |
сотые доли метра |
0,00 | 0,01 | 0,02 | 0,03 | 0,04 | 0,05 | 0,06 | 0,07 | 0,08 | 0,09 |
0,0 | | | | | | | | | | |
0,1 | | | | | | | | | | |
0,2 | | | | | | | | | | |
0,3 | | | | | | | | | | |
0,4 | | | | | | | | | | |
0,5 | | | | | | | | | | |
0,6 | | | | | | | | | | |
0,7 | | | | | | | | | | |
0,8 | | | | | | | | | | |
0,9 | | | | | | | | | | |
Составил ______________ ______________
Проверил ______________ ______________
Замечания о введении поправок и завершении срока действия таблицы
___________________________________________________________________________
Согласовано ___________ ______________
| | Государственная система обеспечения единства измерений. Метрология. Основные термины и определения |
| Федеральный закон от 27 декабря 2002 г. N 184-ФЗ "О техническом регулировании" |
| Федеральный закон от 26 июня 2008 г. N 102-ФЗ "Об обеспечении единства измерений" |
| Приказ Минпромторга России от 31 июля 2020 г. N 2510 "Об утверждении порядка проведения поверки средств измерений, требований к знаку поверки и содержанию свидетельства о поверке" |
| | ГСИ. Расход воды на реках и каналах. Методика выполнения измерений методом "скорость - площадь" |
| | ГСИ. Градуировочные характеристики средств измерений. Методы построения. Оценивание погрешностей |
| Правила по технике безопасности при производстве наблюдений и работ по сети Госкомгидромета (утверждены Приказом Госкомгидромета СССР от 31 мая 1982 г.) |
УДК 626.82/83:628.17 | |
Ключевые слова: водоучет, оросительная сеть, гидрометрическое сооружение, фиксированное русло, градуировка |