Скачать ВСН 49-86 Минэнерго СССР Проектирование временной крепи гидротехнических туннелейДата актуализации: 01.01.2021
|
| Обозначение: | ВСН 49-86 Минэнерго СССР |
| Обозначение англ: | VSN 49-86 Минэнерго СССР |
| Статус: | введен впервые |
| Название рус.: | Проектирование временной крепи гидротехнических туннелей |
| Название англ.: | Design of Initial Tunnel Support Systems for Hydraulic Tunnels - Industry-Specific Engineering Standards |
| Дата добавления в базу: | 01.09.2013 |
| Дата актуализации: | 01.01.2021 |
| Дата введения: | 01.09.1986 |
| Область применения: | Нормы распространяются на проектирование временной крепи при проходке гидротехнических туннелей, входящих в состав гидроузлов (ГЭС, ГАЭС, водохранилищ). При проектировании временной крепи других подземных сооружений гидроэлектростанций (не гидротехнических туннелей, камер, машинных залов, трансформаторных помещений, уравнительных резервуаров и др.) разрешается пользоваться настоящими ВСН при надлежащем обосновании. Нормы содержат правила по выбору и конструктивным решениям временной крепи в различных инженерно-геологических условиях проходки туннелей, а также основные положения по расчетам временной крепи. |
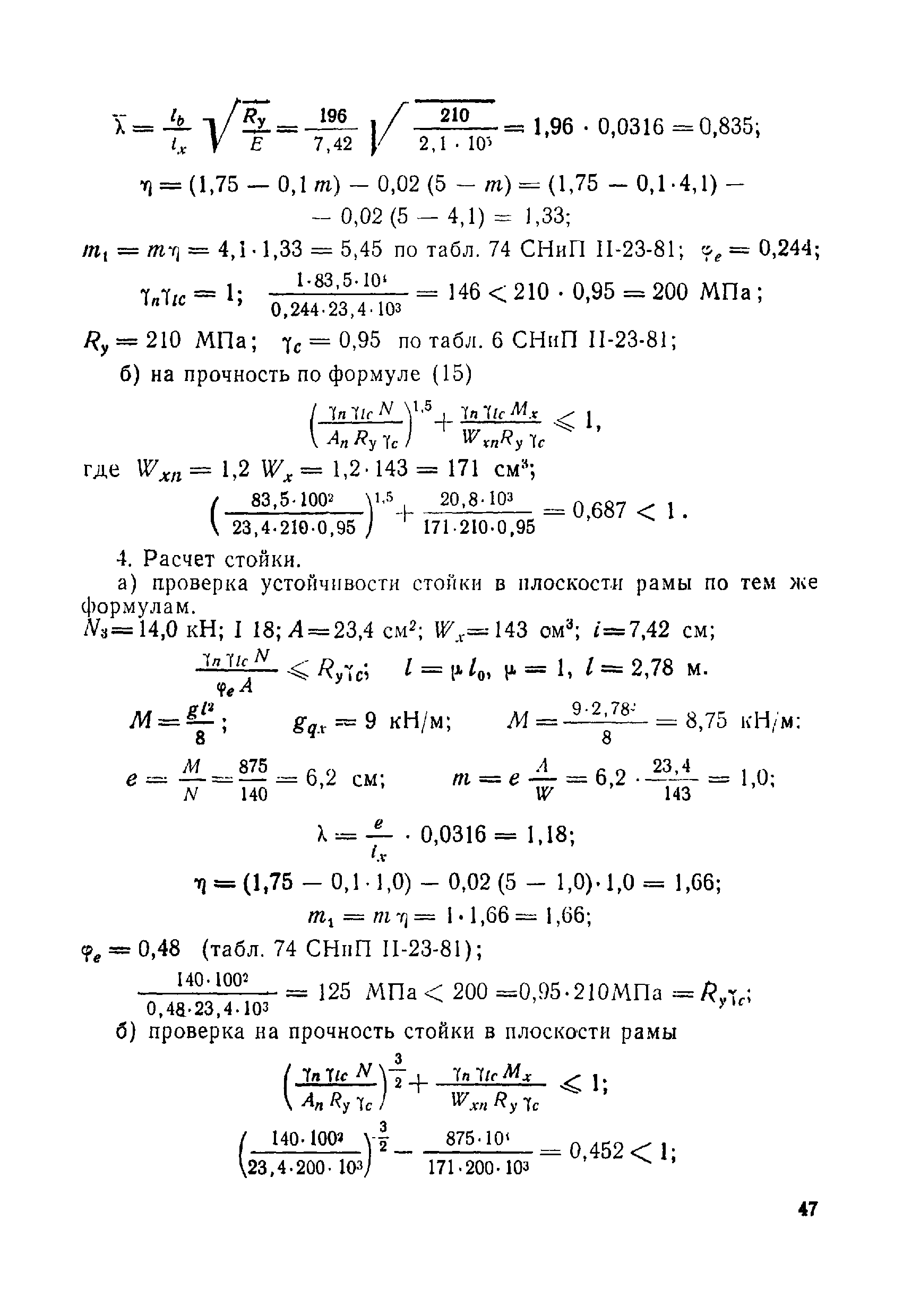
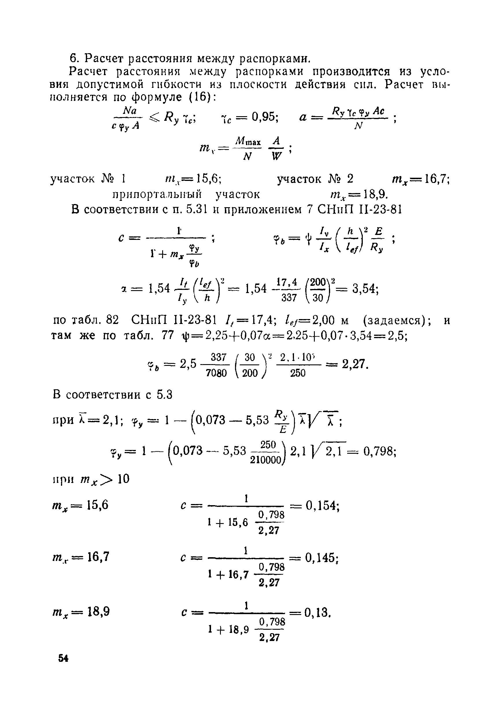
| Оглавление: | 1. Общие положения 2. Типы временной крепи. Конструкция. Область применения 3. Нагрузки на временную крепь 4. Расчет временной крепи 5. Контроль качества временной крепи Приложение 1. Обязательное. Основные параметры и характеристики пород Приложение 2. Рекомендуемое. Расчет анкерной и набрызг-бетонной крепи Приложение 3. Рекомендуемое. Пример расчета крепи из армокаркасов. Пример конструкции Приложение 4. Рекомендуемое. Пример расчета арочной крепи. Пример конструкции Приложение 5. Рекомендуемое. Пример расчета крепи из сборного железобетона Приложение 6. Рекомендуемое. Примеры расчетов монолитной бетонной крепи Приложение 7. Рекомендуемое. Примеры паспортов временной крепи Приложение 8. Справочное. Формулы в единицах МКГСС |
| Разработан: | Институт Гидропроект им. С.Я. Жука Институт Оргэнергострой НИС Гидропроекта |
| Утверждён: | 17.06.1986 Минэнерго СССР (USSR Minenergo 131а) |
| Нормативные ссылки: |
|











































































