Скачать ГОСТ 18410-73 Кабели силовые с пропитанной бумажной изоляцией. Технические условияДата актуализации: 01.01.2021 ГОСТ 18410-73
Кабели силовые с пропитанной бумажной изоляцией. Технические условия| Обозначение: | ГОСТ 18410-73 | | Обозначение англ: | GOST 18410-73 | | Статус: | взамен | | Название рус.: | Кабели силовые с пропитанной бумажной изоляцией. Технические условия | | Название англ.: | Power paper insulated cables. Specifications | | Дата добавления в базу: | 01.09.2013 | | Дата актуализации: | 01.01.2021 | | Дата введения: | 01.01.1975 | | Область применения: | Стандарт распространяется на силовые кабели с алюминиевыми и медными жилами с бумажной изоляцией, пропитанной вязким или нестекающим составом, в алюминиевой или свинцовой оболочке, с защитными покровами или без них, предназначенные для передачи и распределения электрической энергии в стационарных установках в электрических сетях на напряжение до 35 кВ переменного тока частотой 50 Гц. Кабели могут быть использованы в электрических сетях постоянного тока. | | Оглавление: | 1 Марки, основные параметры и размеры 2 Технические требования 2а Требования безопасности 3 Правила приемки 4 Методы испытаний 5 Упаковка, маркировка, транспортирование и хранение 5а Указание по эксплуатации 6 Гарантии изготовителя Приложение 1а Коды ОКП Приложение 1 Длительно допустимые токовые нагрузки кабелей при прокладке Приложение 2 Допустимые токи односекундного короткого замыкания кабелей | | Разработан: | Министерство электротехнической промышленности СССР
| | Утверждён: | 08.02.1973 Государственный комитет стандартов Совета Министров СССР (USSR National Committee on Standards at the Cabinet of Ministers 311)
| | Издан: | ИПК Издательство стандартов (1998 г. ) ИПК Издательство стандартов (2000 г. )
| | Список изменений: | | | Заменяет собой: | | | Нормативные ссылки: |   ГОСТ 1497-84 «Металлы. Методы испытаний на растяжение»  ГОСТ 15150-69 «Машины, приборы и другие технические изделия. Исполнения для различных климатических районов. Категории, условия эксплуатации, хранения и транспортирования в части воздействия климатических факторов внешней среды»  ГОСТ 12176-89 «Кабели, провода и шнуры. Методы проверки на нераспространение горения»  ГОСТ 13843-78 «Катанка алюминиевая. Технические условия»  ГОСТ 2990-78 «Кабели, провода и шнуры. Методы испытания напряжением»  ГОСТ 7006-72 «Покровы защитные кабелей. Конструкция и типы, технические требования и методы испытаний»  ГОСТ 7229-76 «Кабели, провода и шнуры. Метод определения электрического сопротивления токопроводящих жил и проводников»  ГОСТ 3345-76 «Кабели, провода и шнуры. Метод определения электрического сопротивления изоляции»  ГОСТ 12177-79 «Кабели, провода и шнуры. Методы проверки конструкции»  ГОСТ 1292-81 «Сплавы свинцово-сурьмянистые. Технические условия»  ГОСТ 22483-77 «Жилы токопроводящие медные и алюминиевые для кабелей, проводов и шнуров. Основные параметры. Технические требования» ГОСТ 10751-85 «Бумага электропроводящая кабельная. Технические условия»  ГОСТ 12.2.007.14-75 «Система стандартов безопасности труда. Кабели и кабельная арматура. Требования безопасности» ГОСТ 12179-76 «Кабели и провода. Метод определения тангенса угла диэлектрических потерь» ГОСТ 1770-74 «Посуда мерная лабораторная стеклянная. Цилиндры, мензурки, колбы, пробирки. Общие технические условия» ГОСТ 18690-82 «Кабели, провода, шнуры и кабельная арматура. Маркировка, упаковка, транспортирование и хранение» ГОСТ 20.57.406-81 «Комплексная система контроля качества. Изделия электронной техники, квантовой электроники и электротехнические. Методы испытаний» ГОСТ 24641-81 «Оболочки кабельные свинцовые и алюминиевые. Технические условия»
|
                        
Текстовое изменение Поправка от 09.01.2002

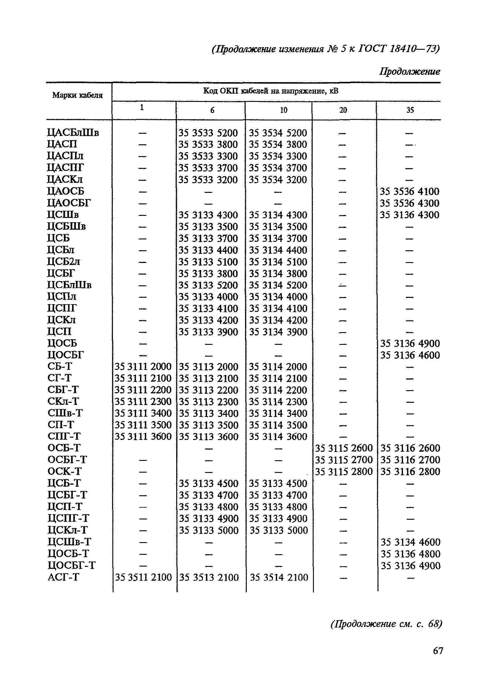
Текстовое изменение № 5 от 01.07.1996
                             
Текстовое изменение Поправка
|