Скачать ГОСТ 28048-89 Протяжки с навертным хвостовиком для шлицевых отверстий с эвольвентным профилем диаметром от 50 до 120 мм модулем от 1,5 до 2,5 мм с центрированием по наружному диаметру. КонструкцияДата актуализации: 01.01.2021 ГОСТ 28048-89
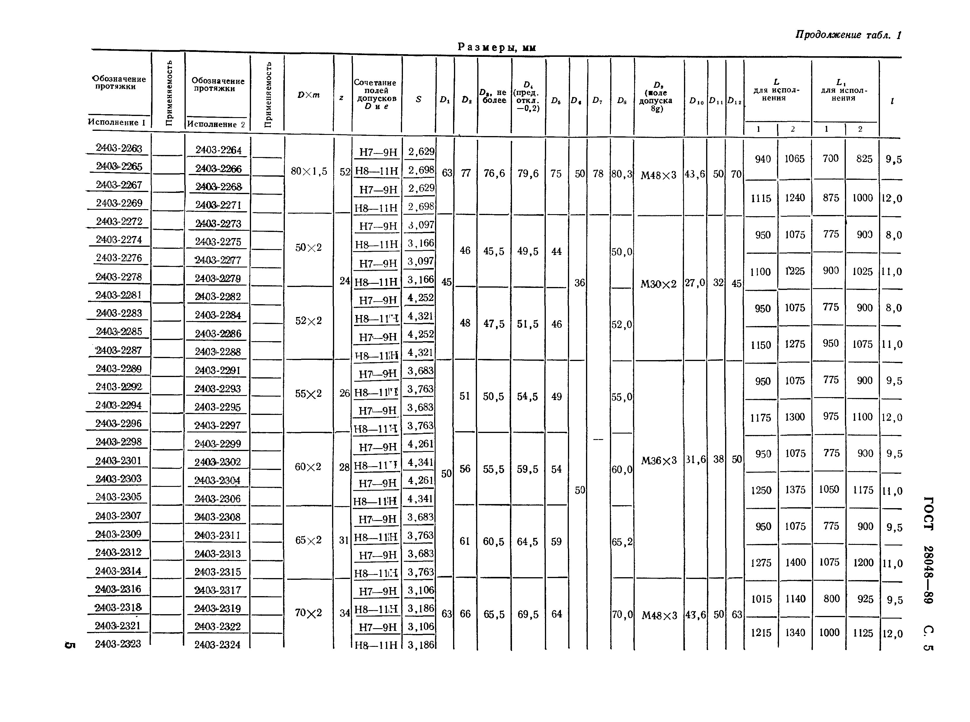
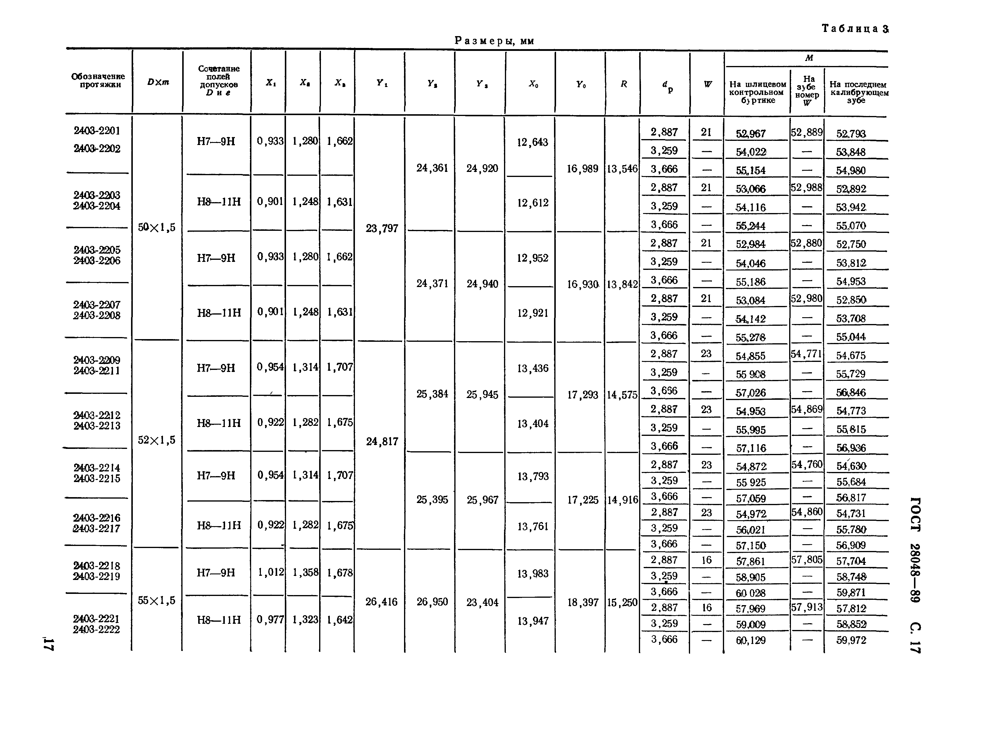
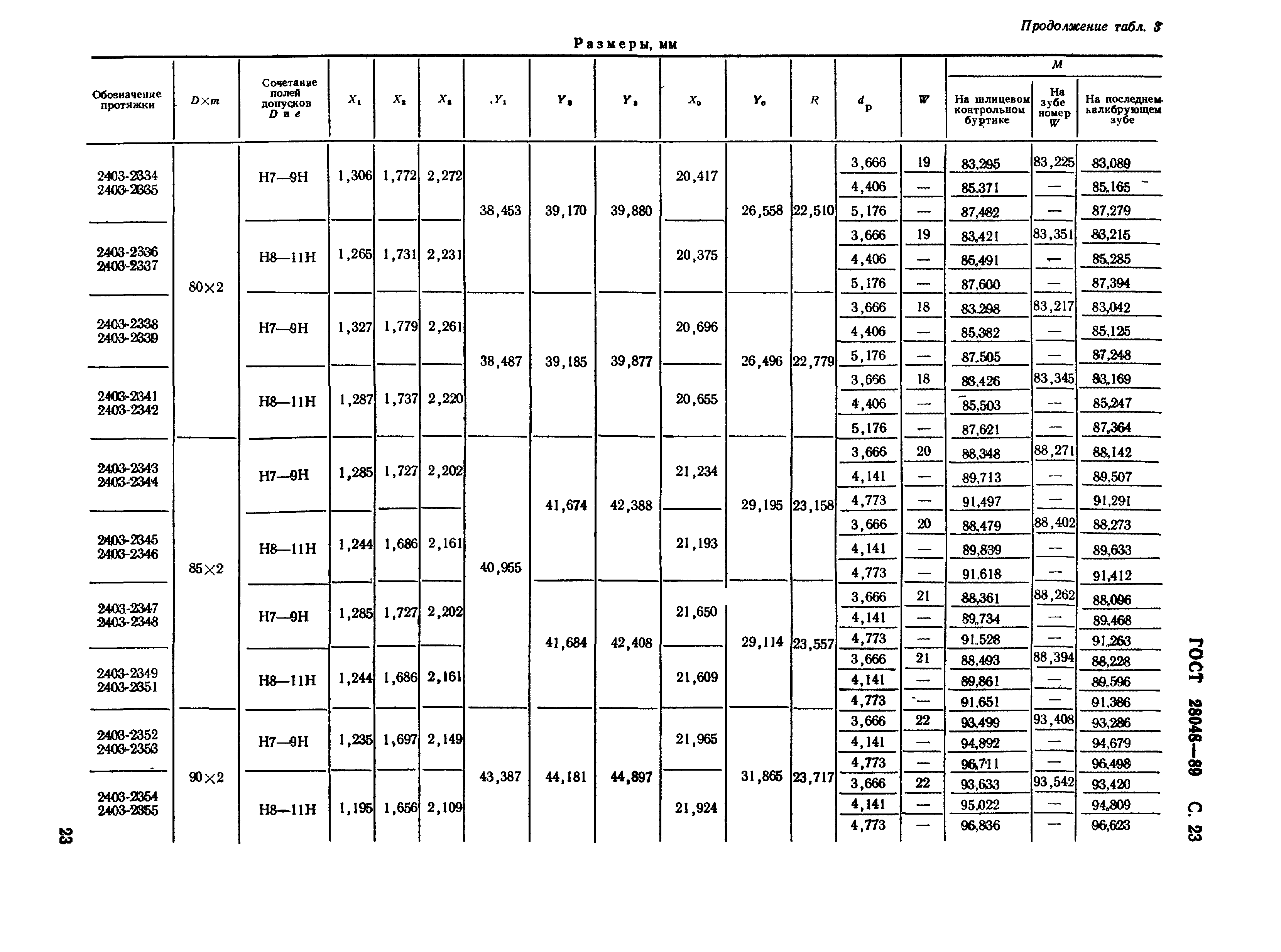
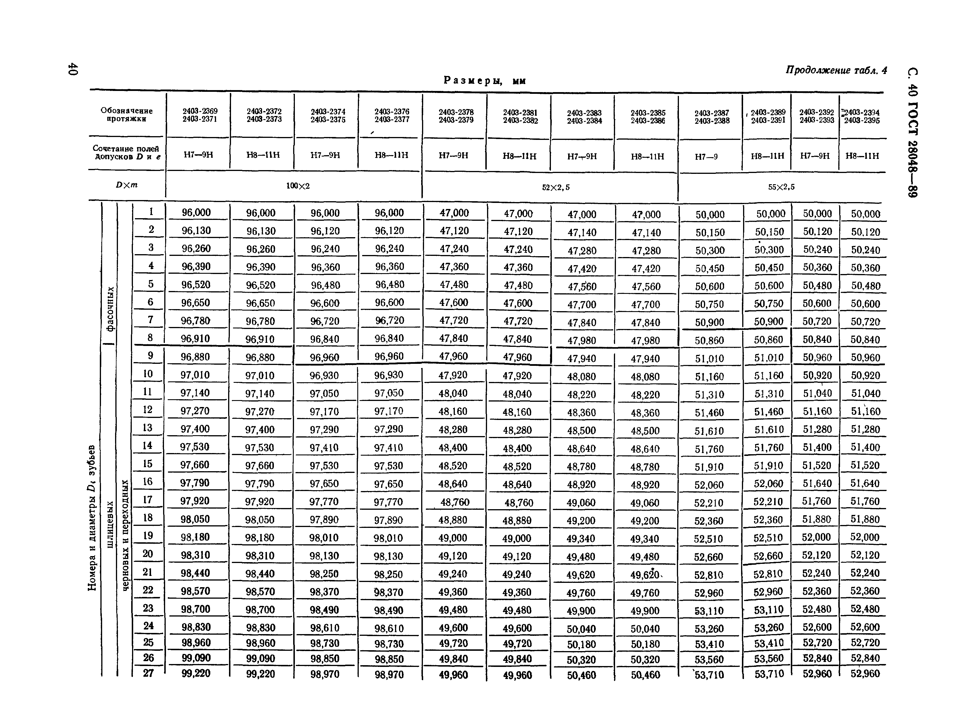
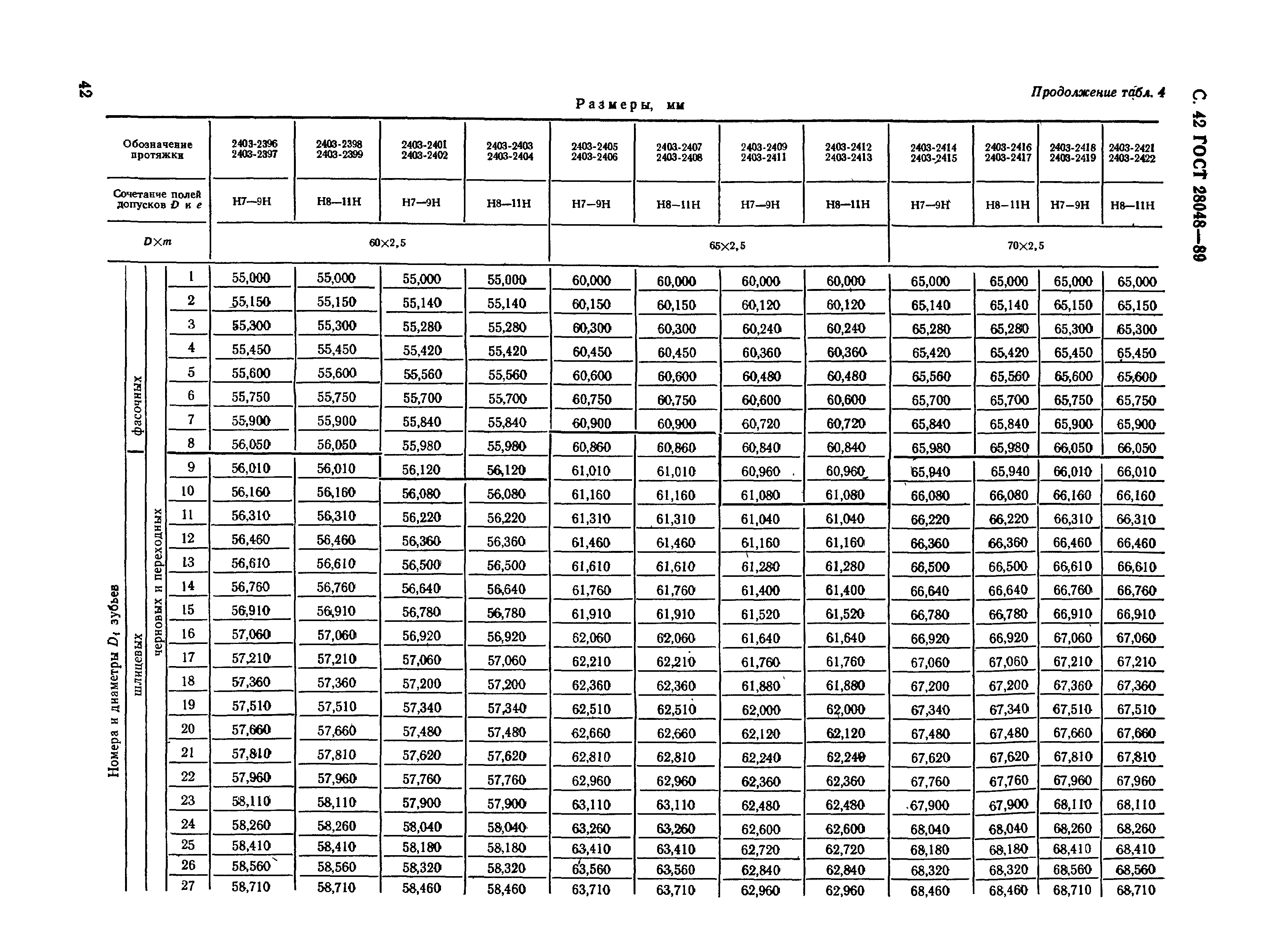
Протяжки с навертным хвостовиком для шлицевых отверстий с эвольвентным профилем диаметром от 50 до 120 мм модулем от 1,5 до 2,5 мм с центрированием по наружному диаметру. Конструкция| Обозначение: | ГОСТ 28048-89 | | Обозначение англ: | GOST 28048-89 | | Статус: | введен впервые | | Название рус.: | Протяжки с навертным хвостовиком для шлицевых отверстий с эвольвентным профилем диаметром от 50 до 120 мм модулем от 1,5 до 2,5 мм с центрированием по наружному диаметру. Конструкция | | Название англ.: | Broaches with diameter from 50 to 120 mm for slitting holes with involute profile with round tail and centring at outside diameter with modul frome 1,5 to 2,5 mm. Construction | | Дата добавления в базу: | 01.09.2013 | | Дата актуализации: | 01.01.2021 | | Дата введения: | 01.07.1990 | | Область применения: | Стандарт распространяется на однопроходные протяжки универсального назначения с навертным хвостовиком диаметром D от 50 до 120 мм модулем m от 1,5 до 2,5 мм, предназначенные для обработки шлицевых втулок с эвольвентным профилем по ГОСТ 6033 с центрированием по наружному диаметру. | | Разработан: | Министерство станкостроительной и инструментальной промышленности СССР
| | Утверждён: | 16.03.1989 Государственный комитет СССР по стандартам (USSR National Committee on Standards 517)
| | Издан: | Издательство стандартов (1989 г. )
| | Нормативные ссылки: | |
                                                          
|