Скачать ГОСТ 28051-89 Протяжки с навертным хвостовиком для шлицевых отверстий с эвольвентным профилем диаметром от 70 до 130 мм модулем от 3 до 5 мм с центрированием по наружному диаметру двухпроходные. Конструкция

Дата актуализации: 01.01.2021

ГОСТ 28051-89

Протяжки с навертным хвостовиком для шлицевых отверстий с эвольвентным профилем диаметром от 70 до 130 мм модулем от 3 до 5 мм с центрированием по наружному диаметру двухпроходные. Конструкция

Обозначение: ГОСТ 28051-89
Обозначение англ: GOST 28051-89
Статус:введен впервые
Название рус.:Протяжки с навертным хвостовиком для шлицевых отверстий с эвольвентным профилем диаметром от 70 до 130 мм модулем от 3 до 5 мм с центрированием по наружному диаметру двухпроходные. Конструкция
Название англ.:Broaches with diameter from 70 to 130 mm for slitting holes with involute profile with round tail and centring at outside diameter with modul from 3 to 5 mm double driven. Construction
Дата добавления в базу:01.09.2013
Дата актуализации:01.01.2021
Дата введения:01.07.1990
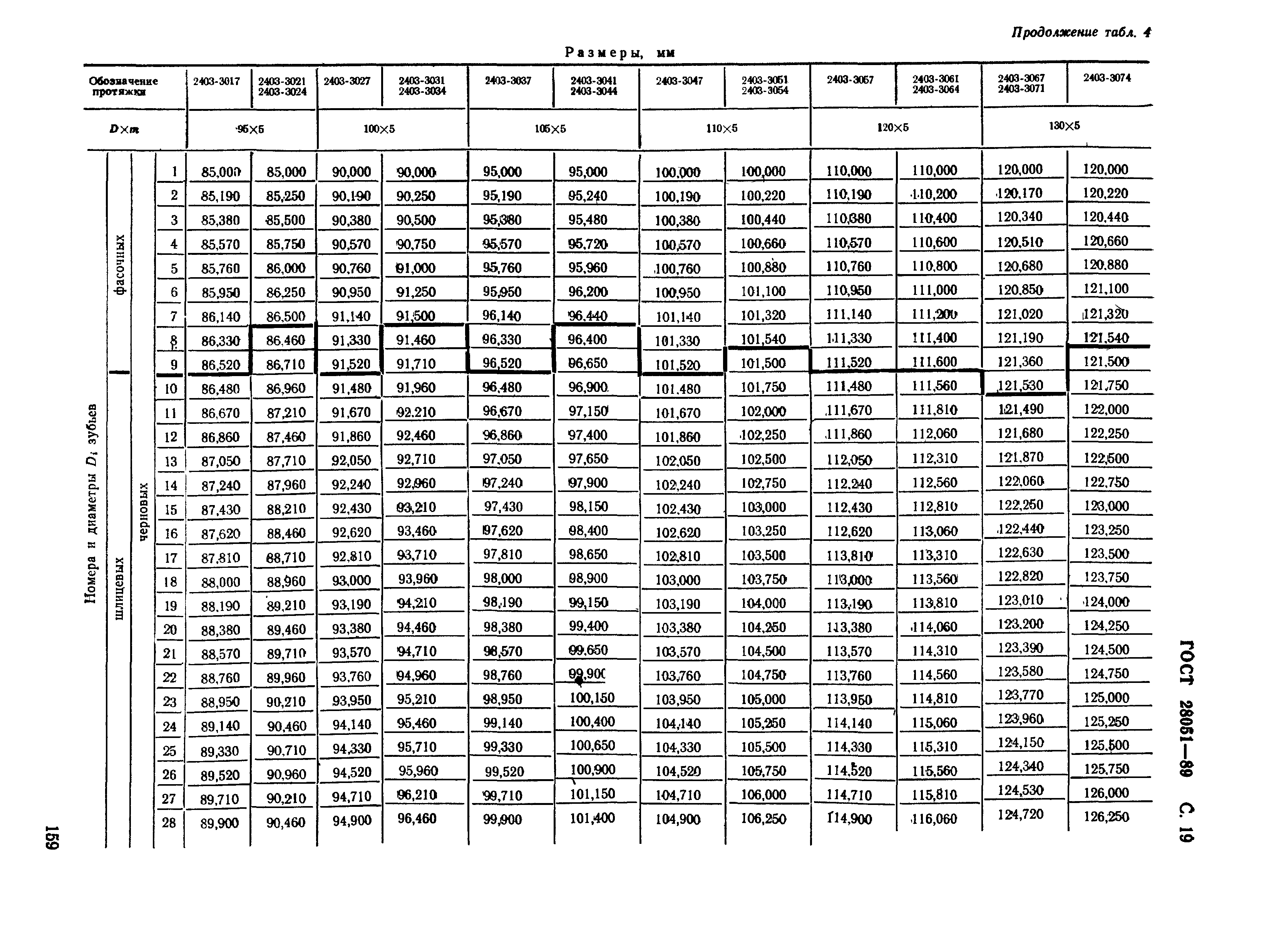
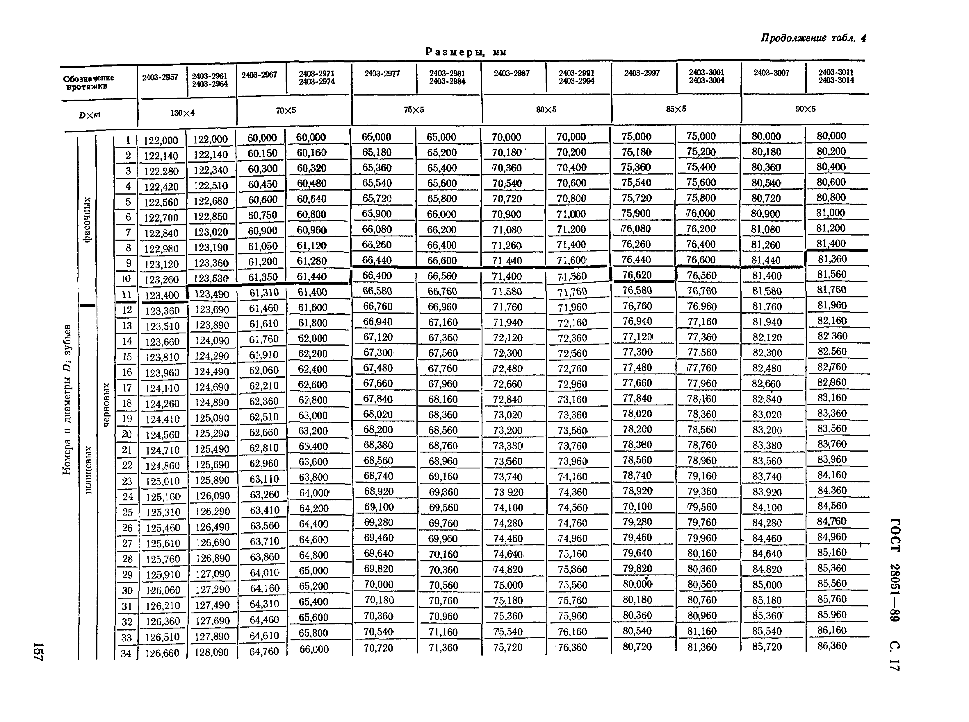
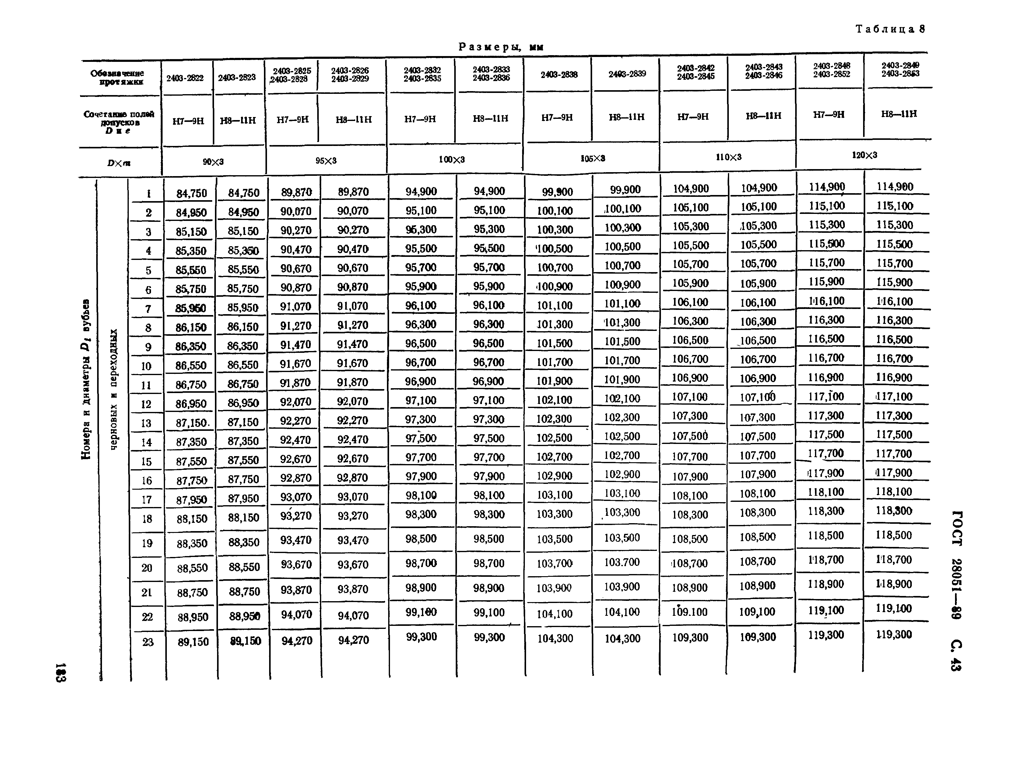
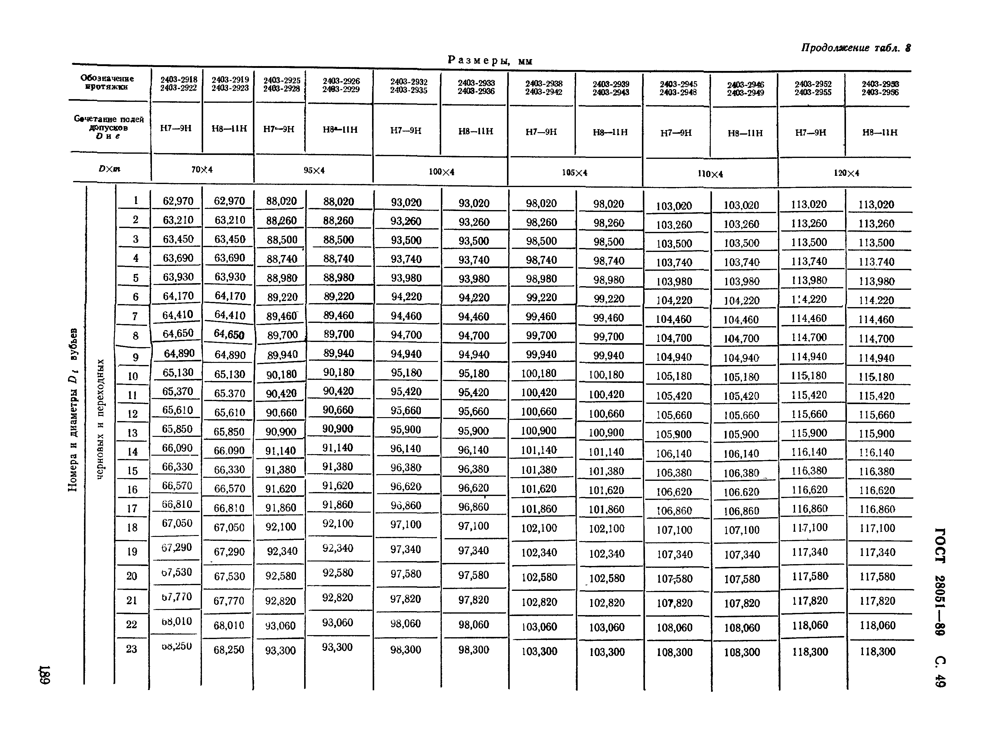
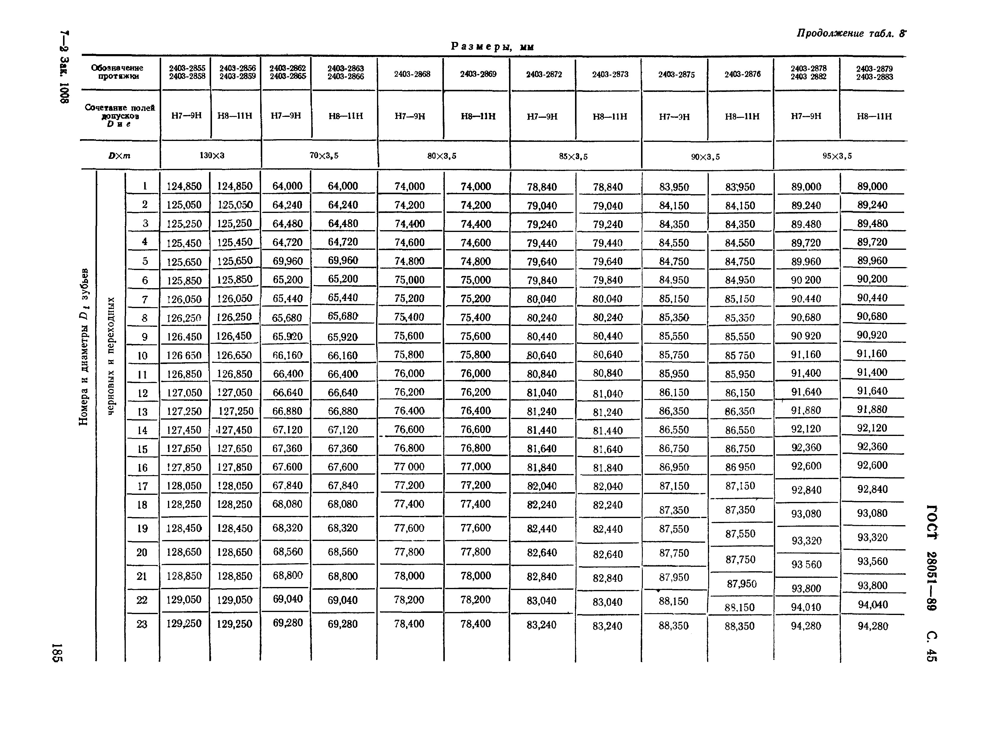
Область применения:Стандарт распространяется на двухпроходные протяжки универсального назначения с навертным хвостовиком диаметром D от 70 до 130 мм модулем m от 3 до 5 мм, предназначенные для обработки шлицевых втулок с эвольвентным профилем по ГОСТ 6033 с центрированием по наружному диаметру.
Разработан: Министерство станкостроительной и инструментальной промышленности СССР
Утверждён:16.03.1989 Государственный комитет СССР по стандартам (USSR National Committee on Standards 518)
Издан: Издательство стандартов (1989 г. )
Нормативные ссылки:
ГОСТ 28051-89ГОСТ 28051-89ГОСТ 28051-89ГОСТ 28051-89ГОСТ 28051-89ГОСТ 28051-89ГОСТ 28051-89ГОСТ 28051-89ГОСТ 28051-89ГОСТ 28051-89ГОСТ 28051-89ГОСТ 28051-89ГОСТ 28051-89ГОСТ 28051-89ГОСТ 28051-89ГОСТ 28051-89ГОСТ 28051-89ГОСТ 28051-89ГОСТ 28051-89ГОСТ 28051-89ГОСТ 28051-89ГОСТ 28051-89ГОСТ 28051-89ГОСТ 28051-89ГОСТ 28051-89ГОСТ 28051-89ГОСТ 28051-89ГОСТ 28051-89ГОСТ 28051-89ГОСТ 28051-89ГОСТ 28051-89ГОСТ 28051-89ГОСТ 28051-89ГОСТ 28051-89ГОСТ 28051-89ГОСТ 28051-89ГОСТ 28051-89ГОСТ 28051-89ГОСТ 28051-89ГОСТ 28051-89ГОСТ 28051-89ГОСТ 28051-89ГОСТ 28051-89ГОСТ 28051-89ГОСТ 28051-89ГОСТ 28051-89ГОСТ 28051-89ГОСТ 28051-89ГОСТ 28051-89ГОСТ 28051-89ГОСТ 28051-89ГОСТ 28051-89ГОСТ 28051-89ГОСТ 28051-89ГОСТ 28051-89ГОСТ 28051-89ГОСТ 28051-89ГОСТ 28051-89ГОСТ 28051-89ГОСТ 28051-89ГОСТ 28051-89ГОСТ 28051-89ГОСТ 28051-89ГОСТ 28051-89ГОСТ 28051-89ГОСТ 28051-89ГОСТ 28051-89ГОСТ 28051-89